김성수
(Sung Soo Kim)
1*
김영석
(Young Suk Kim)
1
정종엽
(Jong Yeob Jung)
1
-
한국원자력연구원
(Korea Atomic Energy Research Institute, Daejeon 34057, Republic of Korea)
Copyright © 2018 The Korean Institute of Metals and Materials
Key words
Zr-2.5%Nb, differential scanning calorimetry (DSC), short range ordering (SRO), aging, tensile property
1. 서 론
Zr-2.5%Nb 합금의 중수로 압력관은 피더 관(feeder pipe)과 함께 중수로 원자로의 1차 압력 경계를 형성한다 [1]. 압력관은 핵분열을 일으키는 핵연료를 감싸고 있으며, 압력관과 연료 사이에는 냉각재이자 감속재인 중수(D2O)가 흐른다. 중수로 원자로의 압력관은 초기에는 Zircaloy-2 합금이 사용되었으나, 가동 중 발생하는 수소의 침투 율이 높아 원자로 가동 중
파단된 사례가 있다 [2]. 이에 반해 Zr-2.5%Nb 합금은 상대적으로 높은 항복 강도를 가지고 수소 흡수율도 낮아 압력관 재료로 대체 사용되었다.
압력관은 잉곳 제조 공정에서 진공 아크 용해한 회수에 따라 4회 진공 용해 (quadruple melt)와 2회 진공 용해(double melt)로
분류된다 [3]. 초기 압력관은 2회 진공 용해 상태로 사용되었으나 압력관의 가공 공정에서 나오는 스크랩 등을 재활용(recycle)하며 4회 용해 압력관이 탄생하게
되었다. 2회 용해 압력관과 4회 용해 압력관이 명확히 구분되기 시작한 계기는 4회 용해 압력관의 파괴 인성이 2회 용해 압력관보다 높다는 것이 확인되었기
때문이다. 이렇게 4회 용해 압력관의 파괴 인성이 높은 이유는 4회 진공 용해 과정에서 파괴 인성에 유해한 성분인 chlorine (Cl) 농도가
더 낮기 때문이다.
중수로 냉각재는 압력관의 outlet을 통하여 증기 발생기로 이동하여 증기를 생산하는 열에너지를 공급한다 [1]. 이 과정에서 중수는 열에너지를 증기로 전달하고 압력관의 inlet으로 되돌아온다. 캐나다의 Point Lepreau 원자로는 월성 원자로와 유사한
설계를 가진 것으로 이 원자로의 inlet 온도는 267 ºC이고 outlet 온도는 310 ºC이다.
압력관은 원자로의 가동에 따라 고온에서 고속중성자에 노출되어 조사 손상을 겪는다 [4,5]. 압력관 재료는 응력이 가해지지 않은 상태에서 중성자 조사에 의하여 압력관의 길이 방향은 늘어나고 횡 방향은 수축하는데, 이 현상은 조사 성장
(irradiation growth)이라고 부른다. 그러나 실제 가동 중 중수로 압력관은 중성자 조사 환경에서 가동 중 길이 방향과 횡 방향으로 동시에
변형이 일어난다. 압력관 횡 방향의 팽창은 중성자 조사 작용으로 팽창하는 조사 크리프에 의한 것으로 보인다. 압력관 내경의 증가는 압력관과 핵연료
사이의 공간을 증가시키고, 냉각재가 핵연료를 충분히 감싸지 못할 가능성 때문에 원자로의 출력 제한 요소가 된다.
근본적으로 가동 압력관의 물성 변화는 기본적으로 열적인 변화에 의한 효과와 중성자 조사에 의한 효과가 중첩된 것이다. 왜냐하면 응력이 가해지지 않은
상태에서 압력관 재료는 길이 방향으로는 팽창하고 횡 방향으로는 수축하는데, 실제 압력관은 길이 방향과 횡 방향에서 공히 팽창하기 때문이다. 그러나
원자로에서 가동 중 조사된 압력관에서는 이런 효과를 분리하여 평가할 수 없다. 그러므로 aging에 의한 열적 효과만을 이를 따로 분리하여 평가하는
것은 매우 유용하다.
원자로 가동 온도에 재료를 유지하면 나타나는 재료의 변화는 일반적으로 aging 현상이라고 표현된다. 현재까지는 aging 현상에 대한 연구는 aging
처리에 따른 강도나 인성의 변화를 확인하는 게 일반적이었다. 그러나 재료는 제조 공정에서 엔트로피가 증가되고 실제 구조물에서 사용 중에 엔트로피의
감소가 나타난다. 합금에서 이 과정은 특정 원자 간의 인력으로 특정 원자 주위에 인력이 큰 특정 원자가 모이는 원자 배열을 갖기 때문이다. 이런 원자
배열이 3차원적인 규칙성을 갖지 않고 그 크기가 2 nm 정도로 작으면 초격자를 형성하지 않으므로 단 범위 규칙(short range order,
SRO)라고 불린다 [6,7].
원자로 가동 환경에서 aging 처리하면 필연적으로 SRO 현상이 수반된다. 즉, SRO 현상은 적어도 aging 효과를 유발하는 원인 중의 하나이다.
다만, 현재까지 aging 현상의 본질이 SRO 현상과의 연관성을 알지 못했을 뿐이다. Aging 처리 과정에서 SRO 현상이 일어나면 원자 간의
거리가 가까워지면서 격자 거리가 축소되고 구조물의 길이는 수축된다. 즉, SRO 현상은 구조물 내부에서 스스로 추가적인 응력을 발생시킨다 [8-10].
따라서 본 연구는 가동 온도와 유사한 온도인 300 ºC부터 시효 처리 효과가 가속되는 조건인 420 ºC까지 3,000시간까지 4회 용해 압력관
재료를 열적으로 시효 처리하여 outlet 온도인 310 ºC에서 압력관재료의 기계적 성질에 미치는 효과를 분석하였다. 아울러 변형 속도의 효과 및
단 범위 규칙화(short range ordering, SRO)의 영향에 대하여 상세히 논의하였다.
2. 실 험
실험에 사용한 압력관 재료는 4회 용해된 압력관 재료를 사용하였으며, 이 압력관의 화학 조성은 표 1과 같다. 이 결과는 압력관 제조에 사용한 ingot의 위치별 편차를 고려하여 분석한 값을 요약한 것이다.
Aging 효과를 모사하기 위하여 이 재료를 300, 350, 400, 420 ºC에서 각각 1,000 및 3,000시간 동안 공기 중에서 aging
처리하였다. Aging 효과를 분석하기 위하여 aging 처리를 하지 않은 as-received 시편과 aging 처리 시편을 함께 인장 시험하였다.
시험 온도는 압력관의 outlet 온도인 310 ± 2 ºC에서 실시하였다. 인장 시험편의 수는 as-received 시편은 3개를 시험하여 평균값과
표준편차의 범위를 확인하였으며, aging 시편은 재료의 제약으로 인하여 1개씩 시험하였다.
압력관은 가동 중 횡 방향에서 가장 높은 응력을 받으므로 횡 방향에서의 물성 변화를 이해하는 것이 중요하다. 압력관의 형상은 횡 방향으로는 곡률을
가지고 있기 때문에 인장 시편의 gage length에는 한계가 있다. 따라서 가공 가능한 횡 방향 인장 시편은 그림 1에 보인 바와 같이 gage length가 16 mm, 시편의 폭은 4 mm, 두께는 2 mm의 판상 시편이다. 그림의 인장 시편 어깨를 걸어 인장
시험할 수 있는 그립을 사용하여 인장 시험하였다. 변위 속도는 0.001 mm/min으로 gage length 16 mm를 고려한 변형 속도는 1
× 10-6/s이다.
변형 속도가 응력 변형 곡선에 미치는 영향을 확인하기 위하여 일부 시편은 변형 속도의 영향을 분석하기 위하여 5 × 10-6/s의 변형 속도로 5배 빠르게 인장 시험하였다. 1 × 10-6/s의 변위 속도는 ASTM 등에서 항복 및 인장 강도를 측정할 때 사용되는 변형 속도보다 적어도 10-100배 정도 낮다. 이렇게 낮은 변형 속도가
사용된 이유는 원자로의 구조재료가 가동되는 조건은 1차수의 가압에 의하여 느리게 가해지는 응력 상태를 가장 잘 모사할 수 있기 때문이다.
압력관 재료는 제조 공정에서 열적 및 기계적인 처리에 의해 엔트로피 증가가 수반되고, 가동 중 방출되며, 격자는 수축된다. 이런 SRO 현상은 시차
열분석 (differential scanning calorimeter, DSC)를 이용하여 체계적으로 분석가능하다. DSC 분석을 위하여 재료에서
일어나는 규칙화 반응을 확인하기 위해서는 WQ 처리와 같이 엔트로피가 잔류된 상태로 만든다.
이를 위해 DSC 분석 시편은 950 ºC에서 1시간 유지한 후 수냉 (water quenching, WQ)하였다. 이 과정은 압력관의 제조 공정과는
다르지만 규칙화 재료의 내부에 엔트로피를 잔류시키기 위해 필수적이다. 즉, 어떤 반응에 대한 활성화 에너지를 구하면 이를 바탕으로 반응을 지배하는
확산 반응의 본질을 이해할 수 있다. 예를 들어, 직렬(serial) 과정은 가장 느린 활성화 과정에 의해 지배되고, 병렬 (parallel) 과정은
가장 빠른 활성화 과정을 지배된다.
이 시편을 사용하여 DSC에서 10 K/min 정도로 가열과 냉각하면서 비열을 측정하였다. 또한, 규칙화 반응이 어떤 반응과 관련이 있는 지를 확인하기
위하여 가열 속도를 변화시키며 발열 반응의 온도 변화를 측정하였다. 발열 반응에 대한 활성화 에너지 측정을 위하여 20, 30, 40, 50 K/min로
가열할 때 열분석 중 나타나는 발열 peak 온도와 가열 속도로부터 발열 반응에 대한 활성화 에너지를 구하였다 [11]. 가열 속도와 반응의 peak 온도 사이의 관계는 식 (1)과 같다.
여기서 T1 및 T2는 열분석 중 시험편의 가열 속도가 각각 α2 및 α1일 때의 발열 반응의 온도이다.
압력관 재료의 기지 조직에서 나타나는 SRO를 확인하기 위하여 TEM을 이용하여 분석하였다. Electro jet polishing은 메탄올 + 10%
과염소산 용액을 사용하였으며, 온도는 –30 ºC 정도에서 실시하였다.
3. 결과 및 논의
3.1 Zr-2.5%Nb 합금 압력관 재료의 단 범위 규칙화 (short range ordering, SRO) 현상
그림 2는 950 ºC-1 H 후 수냉 (WQ) 처리한 4회 용해 Zr-2.5%Nb 합금의 온도에 따른 비열을 나타낸 것이다. 일반적으로 재료는 가열 과정에서
상변태를 수반하지 않는다면 비열은 온도의 증가에 따라 증가한다. 그러나 Zr-2.5%Nb 합금은 그림 2에 보인 바와 같이 410 ºC 및 590 ºC에서 비열의 감소가 나타나고, 이것은 이 온도에서 발열 반응이 일어난다는 의미이다. 이와 같이 DSC
분석 과정에서 발열 반응이 나타나는 것은 규칙화가 일어나고 엔트로피 감소하는 과정에서 발열하기 때문이다 [6]. 또한 600 ºC 이상에서 급격히 비열이 증가하는 것은 α-Zr 영역에서 α-Zr + β-Zr 영역으로 상변태가 일어나기 때문이다 [12,13].
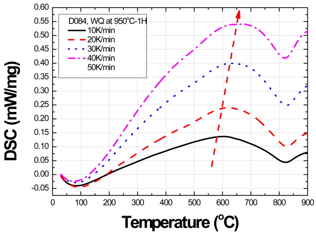
그림 3은 WQ 압력관 시편에 대하여 가열 속도를 변화시키며 DSC 분석 결과를 함께 나타낸 것이다. 즉, 가열 속도의 증가에 따른 발열 반응의 온도 변화를
나타낸 결과이다. 가열 속도가 느리면 상대적으로 평형에 가깝게 열적 변화가 나타나고 가열 속도가 빠르면 상대적으로 더 높은 온도에서 발열 반응이 나타난다.
이 특성의 정도는 발열 반응의 활성화 에너지 크기에 의해 좌우된다. 표 2는 Kissinger 방법을 이용하여 압력관 재료의 발열 반응에 대한 활성화 에너지를 구하는 과정을 정리한 것이다.
그림 4는 압력관 재료에서 발열 반응에 대한 활성화 에너지를 도시한 것이다. 950 ºC-1 H 후 수냉 (WQ) 처리한 4회 용해 Zr-2.5%Nb 합금에서
발열 반응에 대한 활성화 에너지, Q = 90 kJ/mole로 나타났다. 이 값은 α-Zr에서 산소의 확산에 의해 지배되는 열적 활성화 과정에 대한
것으로 보인다. 압력관 재료에서 나타나는 이 열적 활성화 과정(발열 반응)은 기지 원소인 Zr과 침입형 원자인 O (산소) 사이에 형성하는 SRO
현상으로 판단된다. 왜냐하면 표 1에 보인 바와 같이 연구에 사용한 Zr-2.5%Nb 합금은 1100 ppm 정도의 산소(O)를 합금 원소롤 포함하고 있기 때문이다.
이것이 타당한 이유는 α-Zr에서 산소의 확산은 650 ºC 이하에서 입계 확산의 영향이 주도적이며 산소의 입계 확산에 대한 활성화 에너지는 94
kJ/mole로 보고한 값과 본 연구에서 측정한 값이 유사하기 때문이다 [14]. 한편, HCP 결정 구조의 α-Zr 격자를 통한 산소의 확산에 대한 활성화 에너지는 200 kJ/mole 정도로 보고한 바 있다.
다결정 재료에서 일어나는 확산은 적어도 입계 확산과 격자 확산의 두 가지 과정으로 일어난다. 이런 과정은 병렬 과정이라고 하고, 이 경우 가장 빠른
반응에 의하여 율속 제어(rate control)된다. Ritche 등[14]의 실험에서와 같이 650 ºC 이하에서 입계 확산이 격자 확산보다 압도적으로 빠르면 입계 확산에 의한 작용만을 관측하게 된다. 따라서 본 연구에서
관찰한 활성화 에너지는 입계 확산 반응에 의하여 지배되는 SRO 반응에 대한 것으로 판단된다.
그림 5 (a)는 as-received Zr-2.5%Nb 합금의 고 분해능 TEM 미세조직으로 가장 뚜렷하게 좌우로 약간 기울어져 보이는 라인은 (0002)면이다.
그림 5 (b)는 회절 패턴과 회절 패턴의 회절면의 지수를 나타낸 것이다. 회절 패턴에는 {2112} 족의 회절점이 표시되어 있고, 그 안쪽에 점선으로 표시한 8개의
잉여 회절점이 있다. 점선으로 표시한 8개의 잉여 회절 점은 HCP 결정 구조에서는 나타나지 않는 것으로 as-received Zr-2.5%Nb 압력관
재료에 존재하는 SRO에 의해 나타나는 것이다.
서론에서 간략히 언급한 바와 같이 SRO 현상은 재료를 구성하고 있는 특정 원자 간의 인력에 의하여 특정 원자들이 모이는 것이다 [6]. 이 현상의 본질은 제조 공정에서 재료에 유입된 엔트로피의 감소 과정과 관련되어 있으므로 제조 공정에서 엔트로피가 유입되었지만 충분히 빠져나가지
못한 모든 재료에서 일어나는 현상이다. 본 연구의 이 접근 방법은 불규칙화 온도로 가열하고 급랭하여 불규칙 상태를 만들고 DSC 분석에서 규칙화가
일어나는 과정을 조사하는 것이다. 이 시편의 상태는 상용 압력관 재료의 제조 공정과 다르지만, 이 실험이 타당한 이유는 엔트로피가 빠져나가면서 규칙화가
일어나는 본질은 동일하기 때문이다.
상용 Zr-2.5%Nb 압력관 재료는 제조 공정에서 고온 압출 공정과 냉간 인발을 통해 25-28% 정도의 냉간 변형이 가해진다. 이 상태의 압력관은
높은 강도를 가지지만 낮은 인성을 가지므로 400 ºC에서 24시간 동안 autoclave 내에서 응력 제거 처리 과정을 거친다 [13]. 이 공정에서 압력관 재료는 서서히 냉각되므로 SRO를 포함하고 있는 상태이다. 이 재료는 압력관의 가동 환경에 노출되어 점진적으로 더 안정한
상태로 변화하며, aging 처리나 원자로 가동 중에 SRO 현상이 지속적으로 일어난다.
SRO 현상은 발열 반응을 일으키는 동시에 격자의 수축을 유발하는데, 다결정 재료는 이방적 격자 수축에 의하여 내부적으로 추가적인 응력을 발생시킨다
[8-10]. 현재까지는 구조물을 제작할 때 사용된 재료는 변하지 않고 초기와 같이 그대로 유지된다고 이해되었다. 그러나 규칙화가 일어나는 온도에서 사용되면
재료는 규칙화를 일으키고 외부에서 가해지는 응력 이외에 내부에서 재료 스스로가 만들어내는 응력이 추가적으로 작용한다. 압력관 재료에서 나타나는 열화
또는 aging 현상의 원인은 이것 때문이다. 현재까지 이런 현상을 이해하지 못하여 aging 현상을 설명할 수 없었고, 물성의 변화만을 관측할 수
있었을 뿐이다. 실제 가동 압력관 재료는 가동 중 고속중성자 조사에 따른 변화가 일어나는 점은 열적 처리에 의한 규칙화에 따른 변화와는 다른 점이다.
3.2 시효 처리가 Zr-2.5%Nb 합금 압력관 재료의 응력-변형 곡선에 미치는 영향
그림 6 (a)는 시효 처리하지 않은 압력관 재료의 횡 방향 시편을 310 ºC에서 1 × 10-6/s과 5 × 10-6/s로 시험한 응력-변형 곡선을 비교한 것이다. 그림 6 (b)는 시험편에 응력이 가해지기 시작하는 초기의 변형 구간을 확대하여 나타낸 것이다. 310 ºC에서 변형 속도 1 × 10-6/s과 5 × 10-6/s로 시험한 결과는 두 가지가 다르다.
첫째는 그림 6 (b)에 보인 바와 같이 1 × 10-6/s의 변형 속도에서는 변형 초기에 응력의 등락이 관찰되는데 반하여 5 × 10-6/s의 변형 속도에서는 응력의 하락이 나타나지 않는다. 이것은 변형 속도가 빨라 응력의 하락이 나타나기 전에 연속적으로 응력이 증가하기 때문으로 설명할
수 있다. 즉, 5 × 10-6/s의 변형 속도는 압력관 재료에서 응력의 하락이 일어날 시간을 주지 않을 정도로 빠르다는 것이다. 표준 인장 시험 방법에 따르면 항복 및 인장 강도
측정에 사용하는 변형 속도는 5 × 10-6/s보다 훨씬 빠르다. 따라서 본 연구에서 적용한 1 × 10-6/s 정도의 변형 속도에서 나타나는 응력 하락 현상은 거의 보고된 바 없을 것이다.
둘째는 그림 6 (b)에 보인 바와 같이 변형 초기에서 1 × 10-6/s의 변형 속도에서 약 1% 내외 구간에서 응력의 증가가 느려지는 구간이 나타나고 응력의 하락이 관찰된다. 이것은 변형 속도가 충분히 낮을 때만
관찰되는 현상이다. 이런 현상이 나타나는 이유는 위에서 언급한 바와 같이 Zr-2.5%Nb 압력관 제조 공정에서 이미 SRO가 형성되어 있고, 이것이
응력에 의하여 전단되기 때문이다. 이렇게 형성된 SRO는 탄화물과 같이 강한 결합력을 갖지 못하기 때문에 탄성 범위의 하중이라도 하중이 증가하면서
전단(shearing)이 일어나면서 응력의 하락이 나타나는 것이다.
이렇게 응력이 하락하는 현상은 단순히 변형 속도가 낮기 때문에만 나타나는 것이 아니다. 인장 시험 온도인 310 ºC에서 1 × 10-6/s의 변형 속도로 시험하면 변형이 0.5% 정도 나타날 때까지 약 3시간 정도 소요된다. 이 정도의 시간이면 비록 낮은 응력이 가해지더라도 SRO
반응이 빠르게 일어나는 변형 유기 규칙화 (strain induced ordering, SIO) 현상이 동시에 일어난다.
그림 6 (b)에 보인 바와 같이 1 × 10-6/s의 변형 속도에서 변형이 약 1% 정도가 될 때까지 응력의 증가(탄성 변형 구간)가 나타나지 않는다. 즉, 변형을 서서히 일으키면 탄성 변형 구간이
나타나기 전에 약 1% 정도의 변형이 일어난다는 의미이다. 이 현상은 1 × 10-6/s 및 5 × 10-6/s 변형 속도에서 동일한 그립을 사용하였으므로 변형 속도의 차이에 의한 것이 분명하다. 이 현상의 물리적 의미는 실제 구조물의 변형은 단순히 응력-탄성
변형의 관계에 의해 계산된 것보다 더 커진다는 것이다. 즉, 구조물에 응력이 가해지는 속도가 낮으면 강도와 연신율 등의 인장 성질에서 측정되지 않는
구조물의 변형이 존재한다는 것이다.
그림 7에는 300 ºC에서 1,000시간 및 3,000시간 동안 시효 처리한 압력관 재료의 횡 방향에서의 응력 변형 곡선을 비교하여 나타내었다. 횡 방향
인장 시험 결과는 탄성 구간을 지나 곧바로 최대 하중에 이른다. 변형이 시작되는 강도인 항복 강도를 지나 최대 하중까지의 변형은 균일 연신율(uniform
elongation, UE)이라고 정의하며 횡 방향에서 약 2% 내외이다. 변형이 시작되어 시편이 파단될 때까지의 변형을 나타내는 연신율은 시효 처리
시간에 따라 약간 증가하거나 감소하는데 본 실험에서 나타나는 차이는 시편과 시편 사이의 차이에 의한 것이거나 시편의 파단 위치에 따라 다르게 나타난
것으로 보인다.
그림 7 (b)는 최대 하중 부근의 응력-변형 곡선을 나타낸 것으로 변형에 따른 응력의 등락(serration)이 더 잘 나타난다. 응력의 하락은 모든 시편에서
공통적으로 나타나지만 300 ºC에서의 시효 처리 시간이 증가함에 따라 그 진폭이 더 증가한다. 이 효과는 위에서 언급한 SIO 현상과는 약간 다른
것이다. 시효 처리는 시편에 아무런 하중을 가하지 않고 실시한다. 즉, 재료는 300 ºC 시효 처리 동안 열적 규칙화 현상만 일어나지만, 인장 시편은
310 ºC에서 하중이 가해지기 시작하면 열적 규칙화에 의한 SRO와 SIO 효과에 의한 SRO가 추가적으로 형성된다. 그러므로 시효 처리 시편과
as-received 시편의 차이가 미미하게 보이는 것이다.
인장 시험 온도인 310 ºC에서 serration이 나타나는 이유는 SIO에 의해 형성되는 SRO에 의한 응력의 증가와 SRO의 전단에 다른 응력의
하락이 반복되기 때문이다. 이런 현상은 규칙화 현상이 일어나는 Ni-base 합금 Alloy 600의 고온 인장 변형 거동에서 나타나는 현상과 유사하다
[15].
그림 7 (c)는 인장 변형 초기의 응력-변형 곡선을 확대해 나타낸 것이다. As-received 압력관은 40 MPa 이하의 응력에서 작은 응력의 하락이 있으나
300 ºC에서의 시효 처리 시간이 증가함에 따라 응력 하락의 폭이 커지는 것을 알 수 있다. 위에서 설명한 바와 같이 압력관 재료는 제조 공정에서
400 ºC에서의 응력 제거 처리 및 냉각 과정에서 SRO 현상이 일어난다. 이런 이유로 그림 7 (c)에 나타낸 바와 같이 as-received 압력관에서도 변형의 증가에 따라 응력의 하락이 관찰된다. 그러나 시효 처리하면 규칙화 된 영역은 더 늘어나게
되며 이로 인해 응력 하락의 폭이 증가하는 것이다. 그림 6 (b)보다 그림 7 (c)에서 응력의 낙폭이 커지는 이유이다.
그림 8 (a)는 1,000시간 시효 처리한 시편의 횡 방향 시편을 310 ºC에서 인장 시험한 응력-변형 곡선을 비교하여 나타낸 것이다. 그림 8 (b)는 최대 하중 부근의 응력-변형 곡선을 확대하여 나타낸 것이다. 이 도표의 특징은 변형의 증가에 따라 응력의 등락이 반복적으로 나타난다는 것이다.
1,000 시간 시효 처리가 인장 강도 감소에 미치는 효과는 350 ºC 이하에서 약하게 나타나고, 400 ºC 이상에서 두드러지게 나타났다.
그림 9 (a)는 3,000시간 시효 처리한 시편의 횡 방향 시편을 310 ºC에서 인장 시험한 응력-변형 곡선을 비교하여 나타낸 것이다. 그림 9 (b)는 최대 하중 부근의 응력-변형 곡선을 확대하여 나타낸 것이다. 3,000 시간 시효 처리가 인장 강도 감소에 미치는 영향은 350 ºC 이하에서
약하게 나타나고, 400 ºC 이상에서 두드러지는 것으로 나타났다. Aging 처리 시간이 3,000 시간으로 증가하면 최대 하중 부근에서 응력 등락(serration)의
진폭은 큰 변화가 없으나 등락의 주기는 약간 길어지는 것으로 나타났다.
3.3 시효 처리 온도와 시간이 Zr-2.5%Nb 합금 압력관 재료의 기계적 성질 변화에 미치는 영향
표 3에는 310 ºC에서 as-received 재료의 인장 성질의 통계적 처리를 확인하기 위하여 실험한 실험 결과를 나타내었다. 310 ºC에서 평균값은
항복 강도 540 MPa, 인장 강도 596 MPa, 연신율 15%, 균일 연신율은 2% 정도이다. 이 표에는 3개의 시편에서 나타난 평균값과 표준
편차를 나타내었다. 기계적 물성과 표준 편차의 비율을 보면 항복 강도와 인장 강도는 각각 1.5%와 0.5%로 나타난 반면 연신율과 균일 연신율은
각각 5.7%와 9.5%로 나타났다. 이것은 연신율의 변화는 aging 효과를 평가하는데 적절하지 않다는 의미이다.
표 4는 시효 처리 전에 비하여 시효 처리 기계적 성질의 변화율을 나타낸 것이다. 300, 350, 400, 420 ºC에서 3,000 시간까지 시효 처리하면
항복 강도는 각각 3-4%, 5%, 7-9%, 11-12% 정도의 감소를 보인다. 반면, 인장 강도는 350 ºC까지는 2% 이내의 감소를 보이고
400 및 420 ºC에서는 각각 7-9% 및 9-12% 정도의 감소를 나타낸다.
그림 10은 300 ºC에서의 시효 처리 시간에 따른 강도와 연신율 변화를 함께 도시한 것이다. 1,000 시간의 시효 처리에 의하여 항복 강도는 약 4%
정도의 감소를 보이지만 인장 강도의 감소는 1% 미만으로 나타났다.
그림 11은 350 ºC에서의 시효 처리 시간에 따른 기계적 성질의 변화를 함께 비교한 것이다. 항복 강도 및 인장 강도는 3,000시간까지의 시효 처리에
의하여 각각 약 5% 및 약 2% 정도의 감소를 보인다.
그림 12는 400 ºC에서 시효 처리한 시편의 기계적 성질의 변화를 aging 시간에 따라 함께 나타낸 것이다. 항복 강도와 인장 강도는 aging 시간의
증가에 따라 약 7-9% 정도 지속적으로 감소하였다.
그림 13은 300-420 ºC에서 3,000시간 동안 시효 처리된 시편에서 처리 온도에 따른 기계적 성질의 변화를 함께 비교하여 도시한 것이다. 시효 처리
온도가 증가하면 항복 강도와 인장 강도는 감소하였다.
그림 14는 300-420 ºC에서 시효 처리 시간에 따른 항복 강도의 변화율을 비교하여 나타낸 것이다. 항복 강도는 1,000시간 이상의 시효 처리에 의하여
4-11% 정도 감소하고, 시효 처리 시간이 3,000 시간으로 증가하여도 항복 강도의 감소율은 크게 변화하지 않는다.
그림 15는 300-420 ºC에서 시효 처리 시간에 따른 인장 강도의 변화율을 비교하여 나타낸 것이다. 300 ºC 및 350 ºC에서 aging 처리하면
인장 강도는 거의 변화하지 않고 감소율은 2% 이내이다. 그러나 400 ºC 및 420 ºC에서 aging 처리하면 1,000 시간에서 7-9%,
3,000 시간에서 9-12% 감소한다.
항복 강도는 aging 처리 온도의 증가에 따라 점진적인 감소를 보이는 반면, 인장 강도는 350 ºC 이하와 400 ºC 이상에서 aging 하면
변화율에 큰 차이가 나타난다. 본 연구는 Zr-2.5%Nb 합금 압력관에 대한 열적 처리에 의한 효과만을 분석하였다. 그러나 실제 원자로 압력관은
고속중성자 조사 환경에서 사용되기 때문에 고속중성자 조사에 의한 조사 효과가 SRO 속도에 영향을 미치게 된다. 따라서 본 연구에서 나타나는 aging
효과는 가동 압력관의 물성 평가에 직접적으로 사용하는 것은 부적절하지만, 압력관 재료의 aging 효과를 SRO 현상의 관점에서 연구하고 aging
현상의 본질을 이해한다는 측면에서 의미 있다.
4. 결 론
1. 불규칙화 온도인 950 ºC WQ 처리하면 410 ºC 및 590 ºC 부근에서 발열 반응이 나타나며 이 발열 반응에 대한 활성화 에너지, Q
= 90 kJ/mole로 나타나며 이 발열 반응은 Zr과 침입형 원자인 O (산소) 사이에 형성되는 SRO에 기인한 것으로 보인다.
2. As-received Zr-2.5%Nb 압력관 재료에 대한 TEM 분석 결과 회절 패턴에 잉여 회절점이 나타나는 것으로부터 단 범위 규칙상을
포함하고 있다는 것을 확인하였다.
3. As-received Zr-2.5%Nb 압력관 재료에 SRO가 존재하는 것은 310 ºC에서 1 × 10-6/s 정도의 낮은 변형 속도로 인장 시험할 때 응력의 하락이 관찰되는 것으로부터 확인할 수 있다. 압력관 재료에서 인장 변형을 이용하여 SRO가 존재하는
지를 확인하려면 약 1 × 10-6/s 이하의 낮은 변형 속도가 필요하다.
4. As-received 및 시효 처리된 4회 용해 압력관 재료는 310 ºC에서 1 × 10-6/s 정도의 낮은 변형 속도로 인장 변형하면 50 MPa 이하에서 응력의 하락을 보이며 시효 처리한 시편에서 응력 하락 폭이 커진다. 이것은 시효
처리에 의하여 SRO 상의 크기나 영역이 확대되었기 때문으로 보인다.
5. Zr-2.5%Nb 압력관과 같은 원자로 부품에 대한 인장 물성 평가는 1 × 10-6/s의 낮은 변형 속도로 평가해야 할 것으로 보인다. 그 이유는 인장 변형 중 탄성 구간에 도달하기 전에 이미 1% 정도의 변형을 나타내는데, 낮은
변형 속도에서만 관측되기 때문이다.
6. 300-420 ºC에서 3,000시간의 시효 처리에 의하여 항복 및 인장 강도는 각각 4-11% 및 0-12% 정도의 감소를 보인다.
7. Zr-2.5%Nb 압력관 재료에서 Zr 및 O 사이에 형성되는 단 범위 규칙화 (short range ordering, SRO) 반응은 적어도
aging 현상이 원인 중 하나이다.
Acknowledgements
이 연구는 과학기술정보통신부의 재원으로 한국연구재단의 지원을 받아 수행되었습니다(세부과제번호: NRF-2017M2A8A4017282).
REFERENCES
Field G. J., J. Nucl. Mater,159, 3 (1988)

Field G. J., Dunn J. T., Cheadle B. A., AECL-8335, Analysis of the pressure tube failure
at pickering NGS ‘A’ Unit 2, (1984)

Davies P. H., Shewfelt R. S. W., ASTM STP,1295, 492 (1996)

Fidlerris V., J. Nucl. Mater,159, 22 (1988)

Holt R. A., Ibrahim E. F., Acta Metall. Mater,27, 1319 (1979)

Kim S., Kuk I., Kim J., Mater. Sci. Eng,A279, 142 (2000)

Kim Y., Maeng W., Kim S., Acta Mater,83, 507 (2015)

Kim S., Kim J., J. Kor. Inst. Met. & Mater,44, 473 (2006)

Kim S., Kim D., Kim Y., Met. Mater. Int,19, 969 (2013)

Kim S., Kang S., Kim Y., Korean J. Met. Mater,54, 154 (2016)

Kissinger R. E., Anal. Chem,29, 1702 (1957)

Parodi S. A., Ponzoni L. M. E., De Las Heras M. E., Mieza J. I., Domizzi G., J. Nucl.
Mater,477, 305 (2016)

Srivastava D., dey G. K., Banerjee S., Metall. Mater. Trans,26, 2707 (1995)

Ritche I. G., Atrens A., J. Nucl. Mater,27, 254 (1977)

Kim S., Kim D., Kim Y., Korean J. Met. Mater,50, 703 (2012)

Figures and Tables
Fig. 1.
Specimen geometry of tensile specimen in transverse direction in Zr-2.5%Nb pressure
tube.
Fig. 2.
Specific heat variation with temperature in Zr-2.5%Nb alloy water quenched from 950
ºC-1 H treatment.
Fig. 3.
DSC results with heating rate in Zr-2.5%Nb alloy water quenched from 950 ºC-1H treatment.
Fig. 4.
Activation energy for exothermic reaction at about 600 ºC in Zr-2.5%Nb alloy water
quenched from 950 ºC-1 H treatment. (a) TEM micrographs in in as-received in Zr-2.5%Nb
pressure tube material. (b) SADP (selected area diffraction pattern) of [0110] zone
in as-received in Zr-2.5%Nb pressure tube material.
Fig. 5.
TEM micrographs and diffraction pattern of [0110] zone in as-received in Zr-2.5%Nb
pressure tube material. (a) TEM micrographs in in as-received in Zr-2.5%Nb pressure
tube material. (b) SADP (selected area diffraction pattern) of [0110] zone in as-received
in Zr-2.5%Nb pressure tube material.
Fig. 6.
Strain-stress curves at 310 ºC in as-received Zr-2.5%Nb pressure tube material. (a)
Strain-stress curves at 310 ºC in as-received Zr-2.5%Nb pressure tube material. (b)
Magnified strain-stress curves at 310 ºC in low strain region in as-received Zr-2.5%Nb
pressure tube material.
Fig. 7.
Strain-stress curves at 310 ºC of aged at 300 ºC for 1,000 and 3,000 hrs in as-received
Zr-2.5%Nb pressure tube material. (a) Variation of strain-stress curves at 310 ºC
in Zr-2.5%Nb pressure tube material aged at 300 ºC for 1,000 and 3,000 hrs. (b) Strain-stress
curves at 310 ºC of maximum stress region in Zr-2.5%Nb pressure tube material aged
at 300? for 1,000 and 3,000 hrs. (c) Magnified strain-stress curves at 310 ºC in low
strain region in Zr-2.5%Nb pressure tube material aged at 300 ºC for 1,000 and 3,000
hrs.
Fig. 8.
Variation of strain-stress curves at 310 ºC in Zr-2.5%Nb pressure tube material with
aging temperature for 1,000 hrs. (a) Variation of strain-stress curves at 310 ºC in
Zr-2.5%Nb pressure tube material with aging temperature for 1,000 hrs. (b) Strain-stress
curves at 310 ºC of maximum stress region in Zr-2.5%Nb pressure tube material with
aging temperature for 1,000 hrs.
Fig. 9.
Variation of strain-stress curves at 310 ºC in Zr-2.5%Nb pressure tube material with
aging temperature for 3,000 hrs. (a) Variation of strain-stress curves at 310 ºC in
Zr-2.5%Nb pressure tube material with aging temperature for 3,000 hrs. (b) Strain-stress
curves at 310 ºC of maximum stress region in Zr-2.5%Nb pressure tube material with
aging temperature for 3,000 hrs.
Fig. 10.
Variation of mechanical properties at 310 ºC in Zr-2.5%Nb pressure tube material with
aging at 300 ºC up to 3,000 hrs
Fig. 11.
Variation of mechanical properties at 310 ºC in Zr-2.5%Nb pressure tube material with
aging at 350 ºC up to 3,000 hrs
Fig. 12.
Variation of mechanical properties at 310 ºC in Zr-2.5%Nb pressure tube material with
aging at 400 ºC up to 3,000 hrs
Fig. 13.
Variation of mechanical properties at 310 ºC in Zr-2.5%Nb pressure tube material with
aging at 420 ºC up to 3,000 hrs
Fig. 14.
Variation of yield strength at 310 ºC in Zr-2.5%Nb pressure tube material with aging
conditions up to 3,000 hrs.
Fig. 15.
Variation of tensile strength at 310 ºC in Zr-2.5%Nb pressure tube material with aging
conditions up to 3,000 hrs.
Table 1.
Chemical composition of quadruple melt Zr-2.5%Nb pressure tube material.
|
elements
|
Zr
|
Nb
|
Fe
|
Ta
|
Cr
|
Ti
|
W
|
O
|
H
|
|
composition
|
Balance
|
2.6%
|
980 ppm
|
100 ppm
|
<100 ppm
|
<50 ppm
|
<50 ppm
|
1100 ppm
|
<3 ppm
|
Table 2.
Determination of activation energy from exothermic reaction through DSC analysis in
Zr-2.5%Nb water quenched from 950 °C-1 H treatment.
|
950 °C-1 H WQ, heating rate [K/min]
|
peak temperature [C]
|
absolute temperature [K]
|
1/T [1/K]
|
ln (alpha/T2)
|
alpha/T2
|
|
20
|
601.5
|
874.65
|
0.001143
|
-10.551915
|
2.61434E-05
|
|
30
|
619
|
892.15
|
0.001121
|
-10.186071
|
3.76917E-05
|
|
40
|
632.5
|
905.65
|
0.001104
|
-9.9284264
|
4.87685E-05
|
|
50
|
660.5
|
933.65
|
0.001071
|
-9.7661803
|
5.7359E-05
|
|
|
|
|
Q=
|
-90
|
kJ/mol
|
Table 3.
Average and standard deviation of mechanical properties at 310 °C in the transverse
direction in quadruple melt Zr-2.5%Nb pressure tube material.
|
D084, Trans (T)
|
condition
|
Yield strength (MPa)
|
Tensile strength (MPa)
|
Total Elongation (%)
|
Uniform Elongation (%)
|
|
310 °C, 1 × 10-6/s (=0.001 mm/min)
|
D84 T1
|
543.6
|
592.7
|
15.2
|
1.9
|
|
D84 T2
|
545.2
|
599.1
|
15.9
|
2.1
|
|
D84 T3
|
530.2
|
597
|
14.2
|
2.3
|
|
Average
|
539.7
|
596.3
|
15.1
|
2.1
|
|
Standard Deviation
|
8.2
|
3.3
|
0.9
|
0.2
|
|
Variation (%)
|
1.5
|
0.5
|
5.7
|
9.5
|
Table 4.
Mechanical properties at 310 °C with aging conditions in the transverse direction
in quadruple melt Zr-2.5%Nb pressure tube material.
|
D084, Trans (T)
|
Condition, Aging (Hr)
|
Yield strength (MPa)
|
Tensile strength (MPa)
|
Total Elongation (%)
|
Uniform Elongation (%)
|
|
310 °C, 1 × 10-6/s (=0.001 mm/min)
|
300 °C
|
1,000
|
-4.3
|
-0.6
|
-9.9
|
-15.8
|
|
3,000
|
-3.0
|
0.1
|
5.9
|
5.3
|
|
350 °C
|
1,000
|
-5.0
|
-1.5
|
2.0
|
5.3
|
|
3,000
|
-5.3
|
-1.6
|
-2.0
|
10.5
|
|
400 °C
|
1,000
|
-7.3
|
-7.3
|
0.0
|
-31.6
|
|
3,000
|
-9.3
|
-9.5
|
17.8
|
-42.1
|
|
420 °C
|
1,000
|
-11.0
|
-8.8
|
27.0
|
15.8
|
|
3,000
|
-12.0
|
-11.8
|
8.6
|
-31.6
|