(Sung-Gyu Kwak)
{ label needed for aff[@id='af1-kjmm-2019-57-5-328'] }
(Go-Eun Lee)
{ label needed for aff[@id='af1-kjmm-2019-57-5-328'] }
(Il-Ho Kim)
{ label needed for aff[@id='af1-kjmm-2019-57-5-328'] }*
Copyright © 2019 The Korean Institute of Metals and Materials
Key words(Korean)
thermoelectric, tetrahedrite, mechanical alloying, hot pressing, doping
1. INTRODUCTION
The natural mineral tetrahedrite has attracted attention as a promising p-type thermoelectric material for intermediate temperature applications, because of
its eco-friendly and earth-abundant characteristics. The synthetic tetrahedrite Cu12Sb4S13 exhibits a very low thermal conductivity of less than 1 W m-1 K-1 at temperatures above 300 K, as well as high dimensionless figure of merit (ZT) values at temperatures near 723 K [1,2]. Ternary tetrahedrite exists as a
Cu
10
I
Cu
2
II
Sb
4
S
12
I
S
II
, according to the valence and coordination of its constituent elements. The active
lone-pair electrons of the Sb atoms result in a low thermal conductivity, due to the
low-frequency and high-amplitude vibrations of the CuII atoms out of the CuS3 trigonal planes [3–5]. Generally, onethird and two-thirds of the CuI sites are occupied
by Cu+ and Cu2+ ions, respectively, whereas the CuII site is occupied exclusively by Cu+ [6]. The low lattice thermal conductivity is mainly related to the CuII sites. The substitution of Cu2+ at the CuI sites reduces the contribution of charge carriers to the thermal conductivity,
mostly because it affects electrical resistivity [7-9].
M-substituted Cu12-xMxSb4S13 tetrahedrites (where M is a transition element such as Zn, Fe, Ni, Co, and Mn) have
been reported to be good p-type thermoelectric materials [10]. Doping transition metals into the tetrahedrite structure can improve their thermoelectric
performance with respect to that of lead telluride and skutterudite, and further studies
on doped tetrahedrites are needed to confirm. Lu et al. [2] successfully synthesized Cu11ZnSb4S13 using a melting method and obtained a ZT value close to 1 at 720 K; this high ZT value resulted from the very low lattice thermal conductivity. The low thermal conductivity
of the tetrahedrite compound is caused by the peculiar chemical environment of some
of the Cu atoms, resulting in anharmonic phonon scattering with low-frequency planar
vibrations [11]. In this study, Zn-doped tetrahedrites were prepared by mechanical alloying (MA)
and hot pressing (HP), and their electronic transport and thermoelectric properties
were examined.
2. EXPERIMENTAL PROCEDURE
Zn-substituted Cu12-xZnxSb4S13 (x = 0–1.2) tetrahedrites were synthesized by MA. Appropriate amounts of Cu (purity
99.9%, < 45 μm, Kojundo), Zn (purity 99.9%, < 75 μm, Kojundo), Sb (purity 99.999%,
< 150 μm, Kojundo), and S (purity 99.99%, < 75 μm, Kojundo) were weighed according
to the stoichiometric composition. The mixed powder was charged into a hardened stainless
steel jar with stainless steel balls of 5 mm diameter. The ball-to-powder weight ratio
(BPR) was 20:1. MA was performed at 350 rpm for 24 h in an Ar atmosphere using a planetary
mill (Fritsch Pulverisette5). The synthesized powder was loaded into a graphite mold
with an inner diameter of 10 mm and then consolidated by HP at 723 K for 2 h, under
70 MPa in vacuum.
The phases of the MA powders and HP specimens were analyzed using X-ray diffraction
(XRD; Bruker D8-Advance) with Cu Kα radiation (λ = 0.15405 nm). The diffraction patterns were measured in the θ–2θ mode (2θ = 10°–90°) with a step size of 0.02° and a scan speed of 0.4 s/step. The fractured
surfaces of the HP specimens were observed using scanning electron microscopy (SEM;
FEI Quanta400), while elemental analysis was carried out using energy-dispersive spectrometry
(EDS; Bruker Quantax200). The thermoelectric properties were examined in the temperature
range from 323 to 723 K, while the Seebeck coefficient (α) and electrical conductivity
(σ) were measured using temperature differential and direct current (DC) fourprobe
methods in He atmosphere (Ulvac-Riko ZEM-3). The thermal conductivity (κ) was obtained
by the laser flash method (Ulvac-Riko TC-9000H) after measuring thermal diffusivity,
specific heat, and density. Finally, we evaluated the power factor (PF = α2σ) and the dimensionless figure of merit (ZT = α2σκ-1T).
3. RESULTS AND DISCUSSION
Figure 1 shows the XRD patterns of Cu12-xZnxSb4S13 samples synthesized by MA and sintered by HP. The diffraction peaks of all specimens
matched the standard diffraction data (PDF #071-0555, space group I43m), and no residual
elements or secondary phases were identified. This indicated that the tetrahedrites
were successfully synthesized by the MA-HP process. The diffraction peaks shifted
to lower angles with increasing Zn content. Zn doping of the tetrahedrite structure
can lead to an increase in the lattice constant, because the ionic radius of Zn2+ (60 pm) is larger than that of Cu2+ (57 pm) and Cu+ (60 pm) [12]. As shown in Table 1, as the Zn doping level increased, the lattice constant increased from 1.0327 to
1.0361 nm. Tippireddy et al. [12] reported that the lattice constant increased from 1.03198 nm for Cu12Sb4S13 to 1.03391 nm for Cu11ZnSb4S13. Suekuni et al. [13] reported similar results that the lattice constant increased from 1.031 nm for Cu12Sb4S13 to 1.038 nm for Cu10Zn2Sb4S13. Thus, the above results confirm the successful substitution
of Zn at the Cu site.
Figure 2 presents SEM images of fractured surfaces of the Cu12-xZnxSb4S13 compounds. The microstructure of the samples showed no significant variations with
Zn content. Densely sintered bodies, with high relative densities of 97.1–99.2%, were
obtained. Figure 3 shows the EDS elemental mappings of Cu10.8Zn1.2Sb4S13, as a typical specimen with a uniform distribution of the constituent elements. As
shown in Table 1, the actual and nominal compositions were in almost perfect agreement.
Figure 4 shows the electrical conductivity of the Cu12-xZnxSb4S13 compounds. The non-doped specimen exhibited the maximum electrical conductivity at
623 K, while the Zndoped specimens showed nondegenerate semiconductor behavior with
a positive temperature dependence. The electrical conductivity decreased with increasing
Zn content, due to the reduced hole concentration and low mobility [12]. The additional electrons generated from Zn substitution for Cu could fill the holes
in the valence band and shift the Fermi level closer to the top of the valence band,
thereby reducing the carrier concentration [14].
Figure 5 presents the Seebeck coefficients of the Cu12-xZnxSb4S13 compounds. All specimens showed positive Seebeck coefficient values, and the Zn-doped
specimens showed higher values than undoped Cu12Sb4S13. As the Zn content increased, the Seebeck coefficient showed a marked increase. The
Seebeck coefficient of a p-type semiconductor can be expressed as
α
=
(
8
/
3
)
π
2
k
B
2
m
∗
T
e
–
1
h
–
2
(
π
⁄
3
n
)
2
/
3
, where kB, h, m*, e, n, and T are the Boltzmann constant, Planck constant, effective carrier mass, electronic charge,
carrier concentration, and absolute temperature, respectively [15]. In general, the Seebeck coefficient increases with increasing temperature. However,
at a certain temperature (or higher) the occurrence of the intrinsic transition leads
to a rapid increase in the carrier concentration. Therefore, as the temperature increases,
the contribution to reduction of the Seebeck coefficient becomes larger than to the
increase in carrier concentration; therefore, the Seebeck coefficient decreases after
reaching its peak value. In the present study, the specimens with x = 0–0.8 showed
a similar temperature dependence of the Seebeck coefficient and no intrinsic transition
occurred up to 723 K. However, in the case of the x = 1.2 specimen, the Seebeck coefficient
showed a very weak temperature dependence and the intrinsic transition occurred at
523 K. This indicated that the intrinsic transition temperature was shifted to lower
temperatures due to carrier concentration decrease in upon Zn doping, i.e., the Fermi
level was shifted from the valence band to the midgap [12].
Figure 6 shows that the power factor of the Cu12-xZnxSb4S13 materials increases with the Seebeck coefficient and the electrical conductivity
[16]. However, both parameters have a trade-off relationship with the carrier concentration.
Therefore, optimization of the carrier concentration is necessary to maximize the
PF value. In this study, PF decreased with increasing Zn content due to decrease in
electric conductivity prevailed over the increase in the Seebeck coefficient caused
by Zn doping. Cu12Sb4S13 and Cu11.6Zn0.4Sb4S13 exhibited maximum PFs of 0.95 and 0.75 mW m-1 K-2, respectively, at 723 K. Therefore, Zn doping was not an effective strategy to
increase the PF value of the tetrahedrite materials. Trippireddy et al. [12] reported a PF value of 0.86 mW m-1 K-2 at 673 K for Cu11ZnSb4S13 prepared by melting and hot pressing; which was slightly higher than that obtained
in the present study. Harish et al. [17] obtained a PF value of 0.05 mW m-1 K-2 at 573 K for Cu10.5Zn1.5Sb4S13 produced by mechanical alloying and spark plasma
sintering obtained very low value was due to the presence of secondary phases. In
this study, the decreased carrier concentration caused by the substitution of Zn at
the Cu sites resulted in a decreased PF.
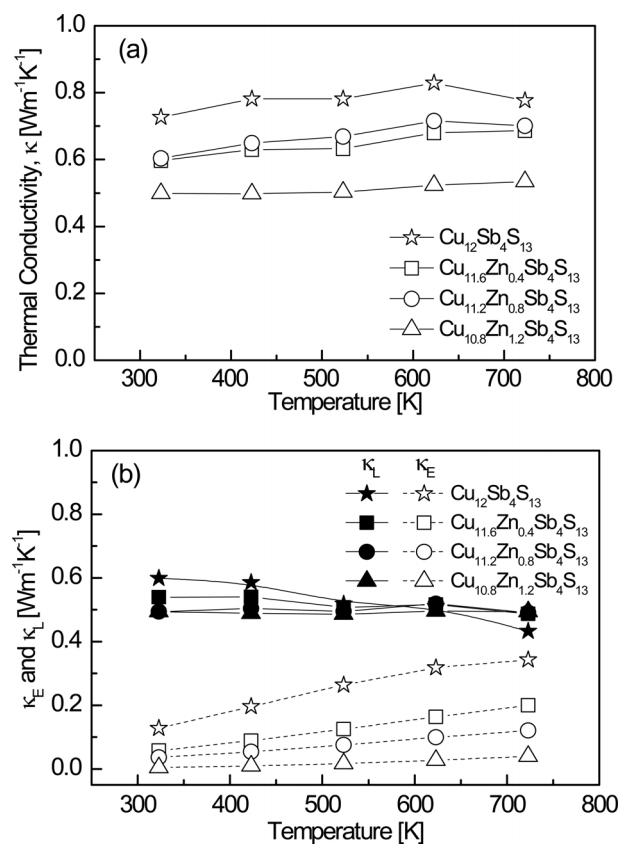
Figure 7 presents the thermal conductivity of the Cu12-xZnxSb4S13 tetrahedrites. The thermal conductivity is the sum of the electronic thermal conductivity
(κE), corresponding to the charge carrier contribution, and the lattice thermal conductivity
(κL), corresponding to the phonon contribution. The electronic thermal conductivity
was calculated using the Wiedemann-Franz law (κE = LσT, where L is the Lorenz number) [18]. The Lorenz number was obtained by the relation L [10-8 V2 K-2] = 1.5 + exp(-|α|/116) [19], as shown in Table 1. The thermal conductivity decreased considerably with increasing Zn content; the
specimen with x = 1.2 showed very low thermal conductivities of 0.50–0.53 W m-1 K-1 in the temperature range from 323 to 723 K, which resulted from a lower κE due to the decreased electrical conductivity (carrier concentration). However, the
change in κL caused by Zn doping was not particularly large. Tippireddy et al. [12] proposed that tetrahedrite exhibited an intrinsically low thermal conductivity,
and the doping of transition metal atoms substituting Cu atoms could reduce the lattice
thermal conductivity through phonon scattering, bringing it close to the theoretical
minimum value. In addition, they reported that the substitution of Zn for Cu led a
low κE value due to the decrease in carrier concentration, resulting in low thermal conductivities
of 0.55-0.79 W m-1 K-1 at temperatures from 373 to 673 K.
Figure 8 shows the ZT values of the Cu12-xZnxSb4S13 samples. ZT increased with the temperature because the power factor increased while the thermal
conductivity remained low at high temperatures, below the intrinsic transition. Among
the Zn-doped specimens, Cu11.6Zn0.4Sb4S13 exhibited the highest ZT (0.76) at 723 K; however, this value was lower than that (0.86) of the undoped specimen
at 723 K. Tippireddy et al. [12] and Lu et al. [2] achieved maximum ZT values at 673 K of 0.71 and 0.80, respectively, for Cu11ZnSb4S13 produced by melting, annealing, and hot pressing. Therefore, in this study, Zn-doped
tetrahedrites could be synthesized by the MA-HP process without postannealing, and
showed good thermoelectric performance, comparable to that of specimens synthesized
by the sophisticated melting method. However, Zn doping had a negative effect on the
thermoelectric properties.
4. CONCLUSIONS
Zn-doped Cu12-xZnxSb4S13 (x = 0–1.2) tetrahedrites were successfully synthesized by MA without subsequent
heat treatment. The synthesized powders were hot-pressed to obtain dense sintered
bodies. The analysis of the XRD peaks and lattice constant variations confirmed the
successful substitution of Zn at the Cu sites. The electrical conductivity showed
a peak at 623 K for the undoped specimen, while it increased with increasing temperature
for the Zn-doped specimens. As the Zn content increased, the electrical conductivity
decreased and the Seebeck coefficient increased. However, Zn doping was not effective
for increasing the power factor. As the Zn content increased, the thermal conductivity
decreased and then reached a value close to the theoretical minimum. The contribution
of the decrease in electron thermal conductivity prevailed over that of the decrease
in lattice thermal conductivity. Cu11.6Zn0.4Sb4S13 showed the highest figure of merit, ZT = 0.76, at 723 K.
Acknowledgements
This study was supported by a grant from the Industrial Core Technology Development
Program (10083640) funded by the Ministry of Trade, Industry and Energy (MOTIE), Republic
of Korea.
REFERENCES
Lu X., Morelli D. T., Phys. Chem. Chem. Phys,15, 5762 (2013)

Lu X., Morelli D. T., Xia Y., Zhou F., Ozolins V., Chi H., Zhou X., Uher C., Adv.
Energy Mater,3, 342 (2013)

Bouyrie Y., Candolfi C., Pailhès S., Koza M. M., Malaman B., Dauscher A., Tobola J.,
Boisron O., Saviot L., Lenoir B., Chem. Phys,17, 19751 (2015)

Lai W., Wang Y., Morelli D. T., Lu X., Adv. Funct. Mater,25, 3648 (2015)

Lara-Curzio E., May A. F., Delaire O., McGuire M. A., Lu X., Liu C. Y., Case E. D.,
Morelli D. T., J. Appl. Phys,115, 193515 (2014)

Benedetto F. Di, Bernardini G. P., Cipriani C., Emiliani C., Gatteschi D., Romanelli
M., Phys. Chem. Miner,32, 155 (2005)

Jonnson N. E., Craig J. R., Rimstidt J. D., Am. Mineral,73, 389 (1988)

Friese K., Grzechnik A., Makovicky E., Balic-Zunic T., Karup-Møller S., Phys. Chem.
Miner,35, 455 (2008)

Suekuni K., Tsuruta K., Kunii M., Nishiate H., Nishibori E., Maki S., Ohta M., Yamamoto
A., Koyano M., J. Appl. Phys,113, 043712 (2013)

Lu X., Morelli D. T., Wang Y., Lai W., Xia Y., Ozolins V., Chem. Mater,28, 1782 (2016)

Bouyrie Y., Candol C., Dauscher A., Malaman B., Lenoir B., Chem. Mater,27, 8354 (2015)

Tippireddy A. S., Chetty R., Naik M. H., Jain M., Chattopadhyay K., Mallik R. C.,
J. Phys. Chem. C,122, 8743 (2018)

Suekuni K., Tsuruta K., Ariga T., Koyano M., Appl. Phys. Express,5, 051201 (2012)

Lu X., Morelli D. T., Xia Y., Ozolins V., Chem. Mater,27, 408 (2015)

Snyder G. J., Toberer E. S., Nat. Mater,7, 105 (2008)

Yan X., Poudel B., Ma Y., Liu W., Joshi G., Wang H., Lan Y., Wang D., Chen G., Ren
Z., Nano Lett,10, 3373 (2010)

Harish S., Sivaprahasam D., Battabyal M., Gopalan R., J. Alloy. Compd,667, 323 (2016)

Cailat H., Borshchevsky A., Fleurial J. P., J. Appl. Phys,80, 4442 (1996)

Madavali B., Hong S. J., J. Electron. Mater,45, 6059 (2016)

Figures and Table
Fig. 1.
XRD patterns of Cu12-xZnxSb4S13 tetrahedrites prepared by the MA-HP process.
Fig. 2.
SEM images of fractured surfaces of Cu12-xZnxSb4S13 tetrahedrites.
Fig. 3.
EDS elemental mappings of Cu12-xZnxSb4S13 tetrahedrites.
Fig. 4.
Temperature dependence of the electrical conductivity of Cu12-xZnxSb4S13 tetrahedrites.
Fig. 5.
Temperature dependence of the Seebeck coefficient of Cu12-xZnxSb4S13 tetrahedrites.
Fig. 6.
Temperature dependence of the power factor of Cu12-xZnxSb4S13 tetrahedrites.
Fig. 7.
Temperature dependence of the thermal conductivities of Cu12-xZnxSb4S13 tetrahedrites: (a) total thermal conductivity and (b) electronic and lattice thermal
conductivities.
Fig. 8.
Dimensionless figure of merit of Cu12-xZnxSb4S13 tetrahedrites.
Table 1.
Chemical compositions and physical properties of Cu12-xZnxSb4S13 tetrahedrites at room temperature.
Composition
|
Relative density
|
Lattice constant
|
Lorenz Number
|
|
Nominal
|
Actual
|
[%]
|
[nm]
|
[108 V2K-2]
|
|
Cu12Sb4S13 |
Cu12.48Sb4.13S12.39 |
99.2
|
1.0327
|
1.71
|
|
Cu11.6Zn0.4Sb4S13 |
Cu11.76Zn0.46Sb3.33S13.43 |
97.1
|
1.0346
|
1.66
|
|
Cu11.2Zn0.8Sb4S13 |
Cu11.79Zn0.92Sb3.99S12.29 |
99.2
|
1.0353
|
1.66
|
|
Cu10.8Zn1.2Sb4S13 |
Cu11.54Zn1.19Sb4.08S12.17 |
99.1
|
1.0361
|
1.57
|