김민정
(Minjeong Kim)
12
강용준
(Yongjoon Kang)
1
김남규
(Namkyu Kim)
1
이상훈
(Sanghoon Lee)
3
송상우
(Sangwoo Song)
1*
강남현
(Namhyun Kang)
2*
-
한국기계연구원 부설 재료연구소 접합기술연구실
(Joining Technology Department, Korea Institute of Materials Science, Changwon 51508,
Republic of Korea)
-
부산대학교 재료공학과
(Division of Materials Science and Engineering, Pusan National University, Busan 46241,
Republic of Korea)
-
한국기계연구원 부설 재료연구소 원자력공인검사단
(Authorized Nuclear Inspection Department, Korea Institute of Materials Science, Changwon
51508, Republic of Korea)
Copyright © 2019 The Korean Institute of Metals and Materials
Key words
martensitic 10cr steel, heat-affected zone, post-weld heat treatment, stress rupture test, δ-ferrite
1. 서 론
에너지 원료 가격 상승과 환경오염 문제가 대두됨에 따라 석탄화력발전의 효율을 높이기 위한 연구가 전 세계적으로 활발하게 진행되어 왔다. 최근에는 터빈을
구동하는 증기온도가 700 oC 이상인 극초임계압(advanced-ultra supercritical, A-USC) 발전소 개발 단계까지 이르렀으며, 이에 따라 고온강도 및 내산화성
등이 우수한 A-USC 발전소용 재료 개발을 위한 많은 연구도 이루어지고 있다 [1-4].
화력발전 설비에 사용되는 재료에는 Cr-Mo계 내열강, 탄소강, 스테인리스강 등이 있으나, 이들은 650 oC 이하의 사용온도 한계를 가지기 때문에 고온, 고압설비 등 일부 구간에 크리프 특성이 우수한 Ni기 초내열합금의 적용이 요구된다 [3]. Ni기 초내열합금의 적용을 위해 Cr-Mo계 내열강, 스테인리스강 등 기존 재료와의 용접은 필수적으로 수행되어야 한다. Ni기 초내열합금의 경우
용접 후 γ’ 석출물을 형성시키기 위해 Cr-Mo계 내열강 등 기존 재료의 용접후열처리(post-weld heat treatment, PWHT) 온도보다
높은 온도 범위에서 PWHT가 요구되므로 [5,6], 이러한 PWHT에 따른 이종 재료의 용접성 및 기계적 특성평가가 선행되어야 한다.
Cr-Mo계 내열강의 경우 PWHT 중 용접 열영향부(heat-affected zone, HAZ)에서 균열 발생빈도가 높기 때문에, 이러한 PWHT
균열 감수성을 평가하고 균열 발생 기구를 규명하기 위한 연구가 국내외에서 꾸준히 수행되어 왔다. 특히, 2.25Cr-1Mo계 내열강은 coarse-grained
HAZ(CGHAZ)에서 조대한 Cr-rich M23C6-type 탄화물이 결정립계에 석출됨으로써 주변에 형성된 Cr-depleted zone에 응력이 발생하게 되어 PWHT 균열 감수성이 높아진다고 보고된
바 있다 [7-13]. 한편 최근에는 고온, 고압화 된 화력발전소에 적용하기 위해 다양한 합금원소 첨가를 통해 고온강도, 내산화성 등을 향상시킨 Cr-Mo계 내열강에
대한 개발이 이루어지고 있다. 특히, 9Cr-1Mo계, 9Cr-1MoVNb(T/P91), 9Cr-0.5Mo-1.8WVNb(T/P92)내열강의 경우
우수한 고온강도 및 내산화성을 지녀 화력발전소의 압력 용기, 파이프 등 다양한 소재로 사용되고 있다 [14-17]. 그러나 이러한 고 Cr계 내열강의 PWHT 균열 감수성에 대해서는 많은 연구가 이루어지지 않은 실정이다.
따라서 본 연구에서는 A-USC 발전소용 고 Cr계 내열강의 PWHT 균열 감수성에 대한 평가를 수행하였다. 고 Cr계 내열강으로 현재 개발 단계에
있는 W, Co, Mo 등이 첨가된 10Cr계 내열강을 사용하였으며, Gleeble을 이용하여 용접 HAZ를 재현하였다. 용접 HAZ 재현 후 688-788
oC 범위에서 stress rupture test를 실시한 후 미세조직 및 석출물의 변화와 PWHT 균열 감수성의 상관관계를 분석하였다.
2. 실험 방법
2.1 실험재료
본 연구에 사용된 모재는 W, Co, Mo 등이 첨가된 10Cr계 내열강으로써, 630 oC 이상의 온도에서 우수한 내산화성과 크리프 강도를 확보하도록 설계된 개발재료이다. 열간압연을 통해 최종 10 mm의 두께를 가지며, 1010 oC에서 노멀라이징 후 700 oC에서 템퍼링된 상태로 제조되었다. 광학발광분석기(optical emission spectroscopy)를 이용한 모재의 화학조성 분석 결과를 표 1에 제시하였다. 한편 그림 1은 Thermo-Calc를 이용하여 평형 상분율을 계산한 결과이다. 본 연구에 사용된 재료는 평형 상태일 때 960-1060 oC의 온도 범위에서 오스테나이트 단상(single phase)을 가지며 1300 oC의 온도범위에서 δ-페라이트로 존재하는 것을 확인하였다.
2.2 용접 열영향부 재현 및 용접후열처리 균열 감수성 평가
모재로부터 6 mm의 지름과 121 mm의 길이의 시편을 채취한 후 Gleeble(Gleeble-3500, DSI)을 이용하여 용접 열사이클을 재현하였다.
본 연구에서 용접 HAZ는 열사이클의 최고온도(peak temperature, Tp)가 δ-페라이트 형성영역인 HAZ 1, 오스테나이트 단상영역인 HAZ 2로 분류하였다. 그림 1의 열역학 계산 결과를 참고하여 HAZ 1과 HAZ 2를 모사하기 위한 열사이클의 Tp는 각각 1350 oC, 1050 oC로 선정하였으며, 약 15 kJ/cm의 용접 입열 조건일 때의 가열 및 냉각속도를 Eq. 1의 Rosenthal의 열유동 방정식(Thermal field equation)으로 계산하여 적용하였다 [7,9].
T0는 용접 전 시편의 온도, q/v는 입열량, λ는 열전도도(Thermal conductivity), t는 시간, a는 열확산도(Thermal diffusivity)이고
r은 용접 열원으로부터의 거리를 나타낸다. 열사이클 계산을 위한 λ와 a는 상용 9Cr-1Mo계 내열강의 참고하여 33 Jm-1s-1K-1와 0.0000068 m2s-1을 사용했다 [18].
용접 HAZ 재현 후 PWHT 온도인 688-788 oC까지 가열한 후 PWHT 균열 감수성 평가를 위한 stress-rupture test를 실시하였다. PWHT 온도 범위는 Ni기 초내열합금과의 이종용접을
고려하여 선정하였으며, 시험 응력수준은 PWHT 온도에서의 항복강도보다 낮게 선정하였다. 실험 방법과 시편의 형상 및 크기는 그림 2에 나타내었다. Stress rupture test 후 파단시간과 단면감소율을 측정하였으며, 이를 외삽하여 10분의 파단시간에 해당하는 파단강도와
단면감소율을 구한 후 이들의 곱을 통해 stress rupture parameter(SRP)를 구하였다 [7,9,11]. SRP가 높을 때 우수한 파단강도 혹은 우수한 연성을 가지며, 이는 PWHT 균열에 대한 감수성이 낮음을 의미한다.
2.3 경도 측정 및 미세조직 분석
PWHT에 따른 HAZ의 연화정도를 평가하기 위해 경도를 측정하여 비교하였다. 경도는 비커스경도계를 이용하여 500 g의 하중으로 10회 측정 후
평균값을 구하였다.
광학현미경(optical microscope, OM)과 전계 방사형 주사전자현미경(scanning electron microscope, SEM) 및
field emission electron probe microanalyer(FE-EPMA)를 이용하여 미세조직을 분석하였으며, 미세조직 관찰을 위한
시편은 Vilella’s reagent(1 g picric, 5 ml hydrochloric acid, 100 ml ethanol)로 에칭하였다.
또한, 석출물 분석을 위해 투과전자현미경(transmission electron microscope, TEM)를 이용하였으며, TEM 분석을 위한
시편은 carbon replica 방법으로 제작하였다.
3. 결과 및 고찰
3.1 모재 미세조직
그림 3은 SEM을 이용한 모재의 미세조직 관찰 결과이다. 템퍼드 마르텐사이트(tempered martensite, TM) 조직으로 구성되며, 결정립계와
결정립 내부에 석출물들이 분포하였다. 그림 4에서 보듯이 TEM을 이용한 분석 결과, 주된 석출상은 결정립계를 따라 생성된 조대한 Cr-rich M23C6-type 탄화물과 결정립 내부에 분포하는 미세한 Nb/V-rich MC-type 탄화물임을 확인하였다. 한편 그림 5는 EPMA를 이용하여 합금원소의 분포를 분석한 결과로서 C, Cr, Mo, W이 결정립계를 따라 분포하는 것을 확인하였다. 즉, 탄화물 상태로 존재하는
C, Cr 외에 상당한 양의 Mo, W이 원자상태로 결정립계에 편석되어 있음을 알 수 있었다.
3.2 재현 용접 HAZ의 미세조직
재현 용접 HAZ의 미세조직을 그림 6에 나타내었다. HAZ 2는 열사이클의 TP가 오스테나이트 영역이므로 가열 중 완전 오스테나이트화된 후 냉각을 통해 형성된 마르텐사이트가 관찰되었다. 그림 1에서 알 수 있듯이 HAZ 2는 열사이클의 TP가 M23C6-type 탄화물의 용해온도를 상회하지만, 열사이클동안 낮은 TP에서 짧은 시간 동안 유지되었기 때문에 고용되지 않은 M23C6-type 탄화물도 일부 관찰되었다.
한편 HAZ 1은 그림 1에서 확인할 수 있듯이 TP가 MC-type 탄화물의 용해온도보다 훨씬 높기 때문에 탄화물이 완전히 용해된 것으로 확인되었다. HAZ 2와 마찬가지로 주로 마르텐사이트 조직이
발달하였으나, 결정립계를 따라 필름 형태로 형성된 δ-페라이트도 관찰되었다. HAZ 1의 경우 열사이클의 TP가 δ-페라이트와 오스테나이트 이상 영역이므로 고온 영역에서 형성된 δ-페라이트가 빠른 냉각속도에 의해 필름 형태로 잔류하게 된 것으로 보인다 [19]. 최근 연구결과에 따르면 템퍼드 마르텐사이트에 잔류하는 δ-페라이트는 비교적 연한 상(phase)이기 때문에 경도를 감소시키지만 [20,21], 고온 사용온도에서 σ상 석출을 촉진시킴에 따라 크리프 연성을 감소시킬 수 있다고 보고되고 있다 [22].
HAZ 2 및 HAZ 1에서의 합금원소 분포에 대한 EPMA 분석 결과를 그림 7과 8에 각각 나타내었다. 상대적으로 원자량이 큰 치환형 합금원소인 Mo와 W의 경우 열사이클의 TP에 관계없이 모재와 동일하게 결정립계를 따라 편석되어 있음을 확인하였다. 반면 C와 Cr의 편석은 열사이클 재현 후 크게 감소하였다. 이것은 Cr-rich
M23C6-type 탄화물이 열사이클에 의해 분해됨에 따라 고용된 C와 Cr이 결정립 내부로 확산되었기 때문으로 판단된다. 한편 Co는 HAZ 1의 δ-페라이트에서
결핍되어 있음을 관찰하였다. δ-페라이트의 Co고용도가 오스테나이트에 비해 매우 낮기 때문에 열사이클동안 고용한계 이상의 Co는 주변 오스테나이트로
이동한 것으로 사료된다 [23].
3.3 재현 용접 HAZ의 PWHT 균열 감수성 평가
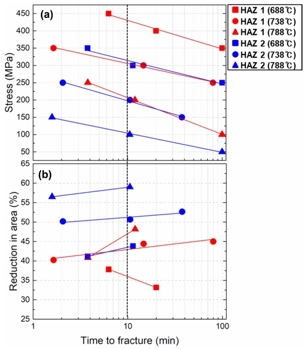
그림 9는 재현 HAZ에 대한 stress rupture test 결과이다. HAZ 1과 HAZ 2 모두 PWHT 온도가 낮아질수록 파단강도는 증가하지만
단면감소율은 감소하는 경향을 보였다. 단면감소율이 높다는 것은 연성이 크다는 것을 의미하며, 본 연구에 사용된 10Cr계 내열강의 HAZ 1과 HAZ
2는 대부분 PWHT 조건에서 35%를 상회하는 단면감소율을 보였다. Vinckier와 Pense [24]는 PWHT 균열 감수성을 평가하기 위한 지수로 단면감소율을 이용하였으며, 20%를 초과하는 단면감소율을 가질 때 PWHT 균열 감수성이 낮다고
보고한 바 있다. 그러나 고온에서 높은 연성을 가짐에도 불구하고 낮은 강도로 인해 PWHT 균열이 발생할 수 있기 때문에 최근에는 PWHT 균열 감수성을
평가하기 위한 지수로 연성과 파단강도를 동시에 고려한 SRP를 주로 적용하고 있다 [7,9,11,25]. 표 2는 그림 9를 참고하여 10분의 파단시간에 해당하는 파단강도(psi)와 단면감소율(%)의 곱을 통해 얻은 SRP를 제시한 것이다. 주목할 점은 모든 PWHT
온도에서 HAZ 1이 HAZ 2에 비해 높은 SRP를 가진다는 것이다. 즉, HAZ 1이 HAZ 2에 비해 우수한 PWHT 균열 저항성을 가지며,
이것은 표 2에서 확인할 수 있듯이 HAZ 1이 HAZ 2 대비 낮은 연성을 가짐에도 불구하고 우수한 파단강도를 갖기 때문이다. 일반적으로 2.25Cr계 내열강은
CGHAZ에서 높은 PWHT 균열 감수성을 보이는데 [25-28], 본 연구에 사용된 10Cr계 내열강의 경우 이와는 상반된 결과를 보였다.
3.4 PWHT에 따른 재현 용접 HAZ의 미세조직 변화
PWHT에 따른 재현 용접 HAZ의 미세조직 변화를 분석하기 위해 용접 HAZ 재현 후 응력을 가하지 않고 688 oC와 788 oC의 온도에서 30분간 열처리를 수행하였으며, 미세조직 관찰 결과를 그림 10에 나타내었다. HAZ 2와 HAZ 1에 형성된 마르텐사이트 조직은 열처리에 의해 템퍼링되어 템퍼드 마르텐사이트 조직이 발달하였으며, HAZ 1에
결정립계를 따라 형성된 δ-페라이트는 열처리 후에도 잔류하는 것으로 확인되었다. 한편 열처리에 따라 탄화물이 석출되었으며 열처리 온도가 높을수록 석출물의
양은 증가하는 것으로 관찰되었다.
그림 11은 TEM을 이용한 석출물 분석 결과를 나타낸 것이다. 모재와 동일하게, 결정립계를 따라 생성된 조대한 Cr-rich M23C6-type 탄화물과 결정립 내부에 분포하는 미세한 Nb/C-rich MC-type 탄화물이 주된 석출상임을 확인하였다. 한편 두 시편에서 MC-type
탄화물의 크기는 유사한 반면 M23C6-type 탄화물의 크기는 HAZ 1에서 작은 것으로 관찰되었다. δ-페라이트와 템퍼드 마르텐사이트 경계에서 석출되는 M23C6-type 탄화물의 크기를 결정하는 인자에 대해서는 향후 추가적인 연구가 필요한 것으로 판단된다.
그림 12는 PWHT에 따른 재현 HAZ의 경도 변화를 나타낸 것이다. 두 시편 모두 PWHT에 의한 경도 감소효과가 큰 것으로 확인되었다. 따라서, 마르텐사이트
조직이 발달한 재현 용접 HAZ의 경우 688-788 oC의 PWHT 온도에서 발생하는 연화로 인해 낮은 PWHT 균열 감수성을 보이는 것을 알 수 있다. 일반적으로 마르텐사이트 조직은 A1 온도 이하에서 열처리 시 회복(recovery)에 의한 전위 밀도 감소, 래스(lath) 경계 소멸 등이 발생할 수 있으며 [29-31], 이러한 조직학적인 변화에 의해 재현 용접 HAZ의 경도가 감소한 것으로 사료된다. 한편 PWHT 전 경도는 HAZ 1이 비교적 연한 상(phase)
δ-페라이트 잔류로 인해 HAZ 2보다 낮은 반면 [20-22], PWHT 후에는 HAZ 1의 경도가 HAZ 2보다 높은 것으로 확인되었다. 즉, PWHT에 따른 연화 정도는 상대적으로 HAZ 1에서 작게 나타났다.
HAZ 1의 경우 PWHT 전 모든 석출물이 용해된 상태이기 때문에 PWHT동안 MC-type 탄화물의 석출에 따른 경화가 발생하게 되어 연화 효과가
일부 상쇄된 것으로 보이며, 이로 인해 HAZ 1가 HAZ 2대비 우수한 파단강도를 갖게 되는 것으로 판단된다.
4. 결 론
본 연구에서는 우수한 내산화성과 크리프강도를 가지는 마르텐사이트계 10Cr강의 용접 후열처리 균열의 감수성에 대하여 평가하였으며 다음과 같은 결론을
얻었다.
모재는 템퍼드 마르텐사이트 조직이 발달하였으며, 결정립계를 따라 조대한 Cr-rich M23C6-type 탄화물과 결정립 내부에는 미세한 Nb/V-rich MC-type 탄화물이 석출되었다.
재현된 HAZ 2는 주로 마르텐사이트로 조직이 구성되어 있으며, 고용되지 않은 M23C6-type 탄화물이 존재한다. 반면 HAZ 1은 필름 형태의 δ-페라이트가 관찰되며, M23C6-type 탄화물과 MC-type 탄화물이 완전히 고용되었다.
Stress rupture test 결과, HAZ 1은 HAZ 2에 비해 높은 SRP를 지닌다. 즉, HAZ 1은 용접 후열처리 균열에 대한 감수성이
낮다. 이는 단면감소율이 낮음에도 불구하고 우수한 파단강도를 지니기 때문인 것으로 판단된다.
HAZ 2는 열처리 후 템퍼드 마르텐사이트로 구성되어 있으며, 열처리 온도가 증가함에 따라 조대한 M23C6-type 탄화물이 존재한다. HAZ 1 또한 열처리에 의해 템퍼드 마르텐사이트로 구성되어 있으며 HAZ 2보다 미세한 M23C6-type 탄화물을 가진다.
HAZ 2과 HAZ 1 모두 열처리 후 기지의 연화에 의해 경도가 급격히 감소한다. 하지만 HAZ 1의 경우 MC-type 탄화물의 재석출에 의해
석출강화가 발생하여 높은 파단강도를 가져 PWHT 균열에 대한 저항성이 높은 것으로 사료된다.
Acknowledgements
본 연구는 재료연구소의 민간수탁활성화지원사업의 지원으로 수행되었습니다. (Grant No.POC2880)
REFERENCES
Saito E., Matsuno N., Tanaka K., Nishimoto S., Yamamoto R., Imano S., Mitsubishi Heavy
Ind. Tech. Rev,52, 2, 39 (2015)

Tanaka Y., Magoshi R., Nishimoto S., Setoyama M., Yamamoto R., Hirakaw Y., Kawasaki
K., ASME Turbo Expo 2012 GT2012-69009, 549 (2012)

Gianfrancesco A. D., Gianfrancesco, Materials for Ultra-Supercritical and Advanced
Ultra-Supercritical Power Plants,8-13, Woodhead Publishing (2017)

Saito E., Nishimoto S., Endo H., Yamamoto R., Kawasaki K., Sato J., Mitsubishi Heavy
Ind. Tech. Rev,54, 10 (2017)

{ label needed for ref[@id='b5-kjmm-2019-57-7-430'] }
Andersson J., Sjöberg G., Chaturvedi M., 7th International Symposium on Superalloy
718 and Derivatives, 539 (2010)

Dupont N., Lippold C., Kiser D., Welding metallurgy and weldability of nickel-base
alloys,93-96, (2009)

Park K., Master, PWHT cracking susceptibility in the welds of new ferritic steels(TP23
and 91) for power plant applications,8-15, Hanyang University (2010)

Lee S. H., Ph. D, Correlation between Reheat Cracking and Microstructure of HAZ in
2.25Cr-1.6W Steel for Power Plant,11-15, Pusan National University (2018)

Lee J., Moon J., Lee C. H., Park J. Y., Lee T. H., Hong H. U., Cho K. M., J. Weld.
Join,34, 47 (2016)

Hippsley C. A., Knott J. F., Edwards B. C., Acta metall,30, 64 (1982)

Moon J., Lee J., Lee C.H, Park J. Y, Lee T. H., Cho K. M, Hong H. UK., Kim H. C, Fusion
Eng. Des,124, 1038 (2017)

Pandey C., Mahapatra M. M., Kumar P., Saini N., J. Alloy. Compd,743, 332 (2018)

Pandey C., Mahapatra M. M., Kumar P., Mater. Sci. Eng. A,731, 249 (2018)

Jung N., Formation behavior of δ-ferrite within LB and GTA weld zone of Mod. 9Cr-1Mo
steel in terms of thermal history,1-5, Pusan National University (2018)

Pandey C., Mahapatra M. M., Kumar P., Giri A., Met. Mater. Int,23, 900 (2017)

Sakthivel T., Vasudevan M., Laha K., Parameswaran P., Chandravathi K. S., Selvi S.
Panneer, Maduraimuthu V., Mathew M. D., Mater. Sci. Eng. A,591, 111 (2014)

Zhang Q., Zhang J., Zhao P., Huang Y., Yang Y., Zhao Y., Mater. Sci. Eng. A,638, 30
(2015)

Peninsular Steel Tubes, Alloy steel tubes for high-temperature service,http://www.peninsulardevastagos.es/wp-content/uploads/P91-T91.pdf,
(2014)

Yin H., Emi T., Shibata H., Acta Metall,47, 1523 (1999)

Chandravathi K. S., Laha K., Rao B. S., Mannan S. L., Mater. Sci. Technol,17, 559
(2001)

Kumar A., Laha K., Jayakumar T., Bhanu Sakara Rao K., Raj B., Metall. Mater. Trans.
A,33A, 1617 (2002)

Ahn S. Y., Kang N., J. Weld. Join,31, 8 (2013)

Ohnuma I., Enoki H., Ikeda O., Kainuma R., Ohtani H., Sundman B., Ishida K., Acta
Mater,50, 379 (2002)

Vinckier A. G., Pense A. W., Pense, A review of underclad cracking in pressure-vessel
components,197WRC bulletin (1974)

Park K., Kim S., Chang J., Lee C., Mater. Des,34, 699 (2012)

Lee S. H., Na H. S., Lee K. W., Choe Y., Kang C., JOM,8, 170 (2018)

Lee S. H., Na H. S., Lee K. W., Lee J. Y., Kang C., JOM,8, 416 (2018)

Lee K. W., A study of Microstructure and Reheat Cracking Susceptibility of Simulated
HAZ in 2.25Cr-1Mo-V-Ti Steel for Power Plant,46-110, Pusan National University (2017)

Armaki H. G., Chen R., Maruyama K., Igarashi M., Mater. Sci. Eng. A,527, 6581 (2010)

Pesicka J., Dronhofer A., Eggeler G., Mater. Sci. Eng. A,387, 176 (2004)

Pesicka J., Aghajani A., Somsen Ch., Hartmaier A., Eggeler G., Scr. Mater,62, 353
(2010)

Figures and Tables
Fig. 1.
Calculated equilibrium phase fraction of individual phases as a function of temperature
in the base metal.
Fig. 2.
Schematic illustration of the PWHT cracking susceptibility test.
Fig. 3.
SEM micrographs: (a) base metal and (b) higher magnification image taken from the
rectangular area in (a).
Fig. 4.
Results of TEM analysis of carbides contained in the base metal: (a) scanning TEM
image of the replica, (b) higher magnification image taken from the rectangular area
in (a), (c) EDS of the M23C6-type carbide shown in (b), (d) EDS of the MC-type carbide shown in (b), (e) SAED
pattern of the M23C6-type carbide shown in (b), and (f) FFT pattern of the MC-type carbide shown in (b).
Fig. 5.
Results of EPMA mapping of the base metal.
Fig. 6.
SEM micrographs: (a) HAZ 2, (b) higher magnification image taken from the rectangular
area in (a), (c) HAZ 1, (d) higher magnification image taken from the rectangular
area in (c).
Fig. 7.
Results of EPMA mapping of the HAZ 2.
Fig. 8.
Results of EPMA mapping of the HAZ 1.
Fig. 9.
Results of PWHT cracking test: (a) rupture stress, (b) reduction in area.
Fig. 10.
SEM micrographs: (a) HAZ 2 heat-treated at 688 oC, (b) HAZ 2 heat-treated at 788 oC, (c) HAZ 1 heat-treated at 688 oC, and (d) HAZ 1 heat-treated at 788 oC
Fig. 11.
Scanning TEM image of the replica: (a) HAZ 2 heat-treated at 688 oC, (b) HAZ 2 heat-treated at 788 oC, (c) HAZ 1 heat-treated at 688 oC, (d) HAZ 1 heat-treated at 788 oC.
Fig. 12.
Results of Vickers hardness tests.
Table 1.
Chemical composition of the base metal used (wt%)
|
C
|
Cr
|
W
|
Co
|
Mo
|
Mn
|
V
|
Nb
|
|
0.04
|
9.8
|
1.6
|
2.7
|
0.7
|
0.05
|
0.2
|
0.06
|
Table 2.
SRPs at different PWHT temperatures.
|
|
PWHT temp., ℃
|
Rupture stress, psi (MPa)
|
Reduction in area, %
|
Stress rupture parameter(x104)
|
|
HAZ 1 (TP=1350 ℃)
|
688
|
62,540 (431.311)
|
35.902
|
224.531
|
|
738
|
44,293 (305.469)
|
42.967
|
190.314
|
|
788
|
29,887 (206.12)
|
47.088
|
140.732
|
|
HAZ 2 (TP=1050 ℃)
|
688
|
45,493 (313.748)
|
43.556
|
198.149
|
|
738
|
28,687 (197.841)
|
51.357
|
147.328
|
|
788
|
15,001 (103.46)
|
58.863
|
88.300
|