김성은
(Seong-Eun Kim)
1
오세훈
(Se-Hoon Oh)
2
손인진
(In-Jin Shon)
1*
-
전북대학교 신소재공학부 수소연료전지 연구센터
(Division of Advanced Materials Engineering, Research Center of Hydrogen Fuel Cell,
Jeonbuk National University, Jeonju 54896, Republic of Korea)
-
중앙대학교 기계공학과
(Department of Mechanical Engineering, Chung-Ang University, Seoul 06974, Republic of Korea)
Copyright © 2019 The Korean Institute of Metals and Materials
Key words
composite, Nb-Al2O3, nanomaterials, mechanical properties, sintering
1. 서 론
전세계적으로 고령화 사회에 접어들면서 생체 재료에 대한 관심이 높아지고 있으며, 인공관절에 대한 연구는 더욱더 활발해지고 있다. 인간의 뼈를 대체할
수 있는 인공관절로 사용하기 위해서는 화학적, 물리적, 기계적, 생체 적합성 특성들이 우수해야 한다. 현재 인공관절로 사용되고 있는 재료로는 세라믹,
Co-Cr합금, 스테인레스 강, Ti-6Al-4V 합금 등이 있다 [1]. 이 중에서 Ti-6Al-4V 합금은 다른 인공 관절 재료에 비하여 우수한 생체 적합성, 높은 강도, 낮은 탄성계수, 높은 내식성 등의 특성을
나타냄으로써 많은 연구가 진행되고 있으며, 오랜 기간 동안 인공관절 재료로 사용되었다 [2]. 하지만 이러한 장점에도 불구하고 Ti-6Al-4V 합금에서 V은 세포독성과 발암성 문제에 밀접한 관계가 있는 것으로 보고되고 있다 [3-6]. 따라서, 본 실험에서는 독성 물질로 보고 되어진 V가 첨가되지 않은 재료를 선택해서 연구하고자 하였다. Al2O3는 우수한 생체 적합성과 높은 경도 때문에 1970년도 이후로 인공관절 대체재료로 사용되어 왔다 [7,8]. 하지만 이러한 장점에도 불구하고, 낮은 파괴 인성에 의하여 인공관절 대체 재료로 폭넓게 사용하기에는 한계를 보였다. 따라서 Al2O3 파괴 인성을 증가시키기 위해서는 제 이상을 첨가해서 나노구조의 복합재료를 제조하는 것이다. 제 이상이 첨가된 복합재료에서 균열이 전파할 때 제 이상에
의해 균열 굴절, 균열 가교가 일어나서 균열 전파를 억제시키기 때문에 파괴인성이 높아지는 것으로 보고되고 있다 [9,10]. 나노구조의 재료는 파괴인성과 동시에 경도를 향상시키기 때문에 많은 연구자들이 연구하고 있다. 나노 분말은 고 에너지 볼 밀링, 공침 법, 전기
폭발법 등에 의해 제조되고 있다 [11-13]. 나노분말 제조 방법 중에서 볼 밀링 방법은 밀링에 의해 분말이 미세화 되고, 분말에 많은 스트레인과 결함을 발생시키기도 하고, 밀링 도중에 합성이
일어나기도 한다. 이러한 이유들로 분말이 활성화되어 낮은 온도에서 소결이 이루어진다 [14].
초기분말이 나노크기로 매우 미세하더라도 기존의 고온에서 장시간 가열하는 소결 방법으로는 소결 도중에 입자 성장이 일어나서 나노구조를 갖는 벌크 재료를
제조하기 어렵다 [15]. 소결 도중에 입자 성장을 억제시키기 위해서는 저온에서 짧은 시간에 치밀화가 이루어 져야한다. 이러한 관점에서 고주파유도 가열 소결 법이 개발되었다
[14].
본 연구에서는 Nb2O5와 Al분말을 고 에너지 볼 밀링하여 나노분말의 Nb와 Al2O3를 합성하였다. 합성한 이들 분말을 고주파유도가열 소결 장치로 짧은 시간 (3분) 내에 소결하였다. 소결한 시편의 미세조직과 결정상은 각각 주사전자현미경과
X-선 회절장치로 조사 분석하였다.
2. 실험방법
본 연구에서 사용된 원료분말 Nb2O5는 Alfa 회사에서 제조한 <45 μm 입자 크기와 순도 99.5% 이었고, Al분말은 Alfa회사에서 제조한 <45 μm의 입자 크기와 순도 99.5%
이었다. 최종적으로 2Nb-5/3Al2O3 조성을 갖도록 하기 위해 원료 분말로 사용한 Nb2O5와 Al분말을 1 대 10/3으로 측량하였다. 측량한 분말들은 아르곤 가스 분위기하에서 용기에 넣고 직경이 11 mm 인 WC-8Co 볼을 사용하여
10시간 동안 300 rpm 속도로 볼 밀링을 실시하였다. 이때, 텅스텐 카바이드와 분말의 무게 비는 15:1로 하였다.
고주파유도가열 소결 장치의 개략도는 참고문헌 [14]에 나타내었다. 소결 공정은 4단계 공정으로 이루어졌다. 첫 번째는 볼 밀링한 분말을 흑연 다이에 충진한 후 소결장치 내부에 장착하고 50 mTorr의
진공분위기로 만든다. 두 번째는 낮은 온도에서 치밀한 소결체를 얻기 위해서 80 MPa의 일축압력을 가한다. 세 번째는 시편과 흑연 다이에 유도 전류를
가한다. 시편의 수축길이는 LVDT로 실시간 측정하고 수축길이의 변화가 없을 때 시편의 소결이 완료된 것으로 판단하였고, 이때까지 유도전류를 가하였다.
그리고 흑연 다이의 온도는 디지털 광 온도계로 측정하였다. 마지막 단계로 유도전류를 멈추고 시편을 상온까지 냉각시킨다.
고주파 유도가열 소결방법으로 제조된 2Nb-5/3Al2O3 복합재료의 상대밀도는 아르키메데스(Archimedes) 법으로 시편의 부피를 구한 후 실제밀도를 계산하여 측정하였다. 결정상은 CuKα 타겟을 이용하여
20~80 °의 범위에서 주사속도 4 °/min 로 X-선 회절시험을 실시하여 분석하였다. 이 때 사용된 전류와 전압은 각각 30 mA와 40 kV이었다.
시편의 미세조직은 시편을 연마한 후 EDS가 부착된 주사전자현미경(SEM)으로 관찰하였다.
밀링한 분말과 소결한 시편의 결정자 (crystallite) 크기는 X-선 회절시험 반가폭으로부터 Suryanarayana 식을 사용하여 계산하였다
[16]. 소결한 시편의 경도는 비커스 경도계를 사용하여 압흔의 면적을 계산하여 측정하였다. 파괴인성은 압흔의 모서리에서 균열이 발생하는데 이 균열의 길이를
측정하여 Anstis식 [17]을 사용하여 계산하였다.
3. 결과 및 고찰
3.1 합성
Nb2O5와 10/3 Al로부터 2Nb-5/3Al2O3 형성 시 온도에 따른 깁스 자유에너지 차이는 그림 1에 나타내었다. 그림 1에서 알 수 있듯이 자유에너지 차이 (생성물의 자유에너지- 반응물의 자유에너지)는 음의 값을 갖고 있으므로 열역학적으로 이 반응은 안정하다는 것을
판단할 수 있다. 그림 2는 초기분말을 주사전자현미경으로 관찰한 미세조직을 나타낸 것이다. Nb2O5분말은 각진 형태를 나타내고, Al 분말은 둥근 모양을 갖고 있는 것을 관찰할 수 있다. 밀링한 분말과 초기분말의 X-선 회절 시험한 결과는 그림 3에 나타냈다. 밀링한 분말의 X-선 회절도형에서 반응물인 Nb2O5와 Al 피크는 관찰되지 않고, 생성물인 Nb와 Al2O3 피크만 관찰되었다. 따라서 고 에너지볼 밀링 도중 합성이 일어났음을 판단할 수 있다. 고 에너지 볼밀링 시 Nb2O5의 환원과 Al의 산화가 발생하는 것은 고속으로 움직이는 볼에 의해 반응물들이 강한 충격 에너지를 받아서 활성화 장벽을 넘어가기 때문으로 생각된다.
밀링한 분말의 피크 반가폭은 원료 분말 피크 반가폭 보다 컸다. 이와 같은 이유는 밀링 도중에 분말이 미세화 되고, 분말에 스트레인이 발생되었기 때문으로
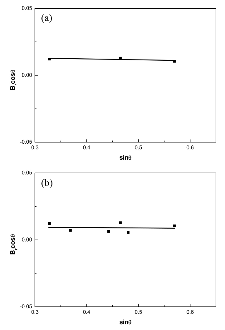
생각된다. 그림 4는 밀링한 분말의 Nb와 Al2O3의 결정립 크기를 Suryanarayana식[16]을 이용하여 구하기 위해서 XRD 데이터로부터 Br ·cosθ에 따른 sinθ를 도시한 것이다. 계산한 Al2O3 와 Nb 결정립 크기는 각각 19 nm와 13 nm이다. 밀링한 분말의 전계 방출 주사전자현미경 미세조직과 EDS분석 결과는 그림 5에 나타내었다. 분말은 매우 미세한 분말로 구성되었고 약간 응집되어 있다. EDS분석에서는 볼 밀링 도중 볼이나 용기로부터 오염될 수 있는 Fe이나
W피크는 관찰되지 않고 Nb, O와 Al 피크만 관찰되었다.
3.2 소결
그림 6은 유도전류와 80 MPa의 기계적 압력을 동시에 가한 상태에서 밀링한 분말을 가열했을 때 가열시간에 따른 온도와 수축길이를 나타낸 것이다. 온도는
유도전류가 가해지면 거의 일정하게 증가하였다. 약 1100 °C까지 열팽창 현상을 보이다가 그 이상의 온도에서는 수축길이가 급격히 증가하였다. 수축길이는
1350 °C 이상의 온도에서는 거의 일정하였다.
이것으로부터 1400 °C에서는 소결이 완료되었음을 알 수 있다. 1400 °C로 소결한 시편의 X-선 회절 결과는 그림 7 나타냈다. 회절패턴에서 Nb와 Al2O3피크만 관찰되었고, Nb피크의 강도가 Al2O3보다 높았다. 복합재료에서 Nb상이 차지하는 부피 분율은 0.32이지만 그림 7 XRD에서 강도가 높게 나타난 것은 Nb가 원자번호가 높아서 원자의 산란 인자가 크기 때문으로 생각된다. 피크의 반가폭은 밀링한 분말의 반가폭보다
약간 감소하였다. 이것은 소결 도중에 입성장이 일어났기 때문으로 판단된다. 그림 8은 1400 °C에서 소결한 복합재료에서 Nb와 Al2O3의 결정자 크기를 구하기 위해서 X-선 회절 자료로부터 sinθ에 따른 Br·cosθ를 도시한 것이다. 계산한 Nb와 Al2O3의 평균 결정립 크기는 각각 약 250 nm와 63 nm이다. 소결한 2Nb-5/3Al2O3복합재료의 주사전자현미경 미세조직과 X-선 맵핑은 그림 9에 나타냈다. 미세조직에서 미세한 밝은 회색과 어두운 회색상들로 구성되어 있음을 관찰할 수 있다. X-선 맵핑과 질량효과에 의해서 밝은 회색과 어두운
회색상은 각각 Nb와 Al2O3 이었다. 이 복합재료의 상대밀도는 99%이었다. 3분 이내의 짧은 시간에 나노구조인 2Nb-5/3Al2O3 복합재료를 제조할 수 있는 것은 아래와 같이 생각된다. 유도전류 의해 분말과 분말사이에 프라즈마 발생으로 표면정화가 일어나서 원자의 확산이 쉽고,
원자의 확산은 전기장하에서는 빠르고, 또한 분말들의 접촉점에서는 주울 열 발생으로 온도가 높아서 원자의 확산이 용이하기 때문에 낮은 온도에서도 짧은
시간 (3분) 내에 소결이 이루어지기 때문으로 생각된다 [18-21].
3.3 복합재료의 경도와 파괴인성
2Nb-5/3Al2O3 복합재료의 경도는 비커스 경도계로 하중을 20 Kgf 으로 측정하였으며, 경도는 1460 kg/mm2 이었다. 파괴인성 (KIC)은 압흔 자국 모서리에서 생성된 균열의 길이를 측정하여 Anstis식 [17]을 이용하여 계산하였다.
여기서 P는 압흔 하중이고, C는 균열의 길이이며, E는 탄성계수이고, H는 경도값이다. Nb와 Al2O3의 탄성계수와 부피분율은 각각 105 GPa [22]와 0.32 그리고 380 GPa [23]와 0.68이다. 복합재료의 탄성계수 E는 복합 측을 이용해서 계산하였다. 그림 10은 소결한 2Nb-5/3Al2O3 복합재료에서 압흔 자국과 압흔의 모서리에서 전파된 균열을 나타낸 것이다. 균열은 압흔 자국 모서리에서 전파되고 있음을 알 수 있으며, 전파된 균열은
가교 (↑)와 굴곡(↓)을 지면서 전파되고 있음을 관찰할 수 있다. 2Nb-5/3Al2O3 복합재료의 파괴인성은 8.7 MPa.m1/2 이었다. 2Nb-5/3Al2O3 복합재료의 경도는 결정립 크기가 4.5 μm인 Al2O3의 경도1800 kg/mm2 [23]보다 낮았지만, 복합재료의 파괴인성은 Al2O3의 파괴인성 4 MPa.m1/2 [23]보다 2배 정도 향상되었다. 이것은 복합재료에서 균열 전파 시 Nb와 Al2O3각각 균열 전파를 억제시키고, 나노구조를 형성하고 있기 때문으로 판단된다.
4. 결 론
Nb2O5와 10/3 Al분말을 고 에너지 볼 밀링하여 나노크기의 미세한 Nb와 Al2O3를 합성하였다. 3분 이내의 짧은 시간과 1400 °C의 온도에서 고주파 유도가열 소결 장치로 치밀한 나노구조의 Nb-Al2O3 복합재료를 소결하였다. 제조된 복합재료의 상대밀도 99%이었고, 복합재료내의 Nb와 Al2O3 결정립 크기는 각각 250 nm와 63 nm 이었다. Nb-Al2O3 복합재료의 경도와 파괴인성은 각각 1460 kg/mm2와 8.7MPa.m1/2 이었다. Nb-Al2O3 복합재료의 경도는 결정립 크기가 4.5 μm인 Al2O3보다 낮았지만, 파괴 인성은 Al2O3보다 2배 정도 향상되었다.
Acknowledgements
본 연구는 산업통상자원부 (MOTIE)와 한국에너지기술평가원 (KETEP)의 지원을 받아 수행한 연구과제입니다(No. 20184030202210).
REFERENCES
Rahaman M. N., Yao A., J. Am. Ceram. Soc,90, 1965 (2007)

Niinomi M., Mat. Sci. Eng. A,243, 231 (1998)

Farrar G., Lancet,335, 747 (1990)

Landsberg J. P., Nature,360, 65 (1992)

Okazaki Y., Kyo K., Ito Y., Tateishi T., J. Japan Inst. Metals,10, 1061 (1995)

Yumoto S., Int. J. PIXE,4, 493 (1992)

Hench L. L., Wilson J., An Introduction to Bioceramics,World Scientific (1993)

Boutin P., Presse Med,79, 639 (1971)

Kwon S. M., Lee S. J., Shon I. J., Ceram. Int,41, 835 (2015)

Kim S. E., Shon I. J., Korean J. Met. Mater,56, 854 (2018)

Xia C., Zha S., Yang W., Peng R., Peng D., Meng G., Solid State Ion,133, 287 (2000)

Keshimiri M., Kesler O., Acta Mater,54, 4149 (2006)

Suciu C., Hoffmann A. C., Kosinski P., J. Mater. Process. Tech,202, 316 (2008)

Cho W. J., Shon I. J., Korean J. Met. Mater,56, 658 (2018)

Jung J., Kang S., Scripta Mater,56, 561 (2007)

Suryanarayana C., Grant Norton M., Press Plenum, X-ray Diffraction A Practical Approach,Plenum
Press (1998)

Anstis G. R., Chantikul P., Lawn B. R., Marshall D. B., J. Am. Ceram. Soc,64, 533
(1981)

Shen Z., Johnsson M., Zhao Z., Nygren M., J. Am. Ceram. Soc,85, 1921 (2002)

Garay J. E., Anselmi-Tamburini U., Munir Z. A., Glade S. C., Asoka-Kumar P., Appl.
Phys. Lett,85, 573 (2004)

Friedman J. R., Garay J. E., Anselmi-Tamburini U., Munir Z. A., Intermetallics,12,
589 (2004)

Garay J. E., Anselmi-Tamburini U., Munir Z. A., Acta Mater,51, 4487 (2003)

Chen X. Q., Fu C. L., Morris J. R., Intermetallics,18, 998 (2010)

Rahaman M. N., Yao A., Bal B. S., Garino J. P., Ries M. D., J. Am. Ceram. Soc,7, 1965
(2007)

Figures
Fig. 1.
Temperature dependence of Gibbs free energy variation by interaction of Niobium Oxide
and Aluminum
Fig. 2.
Scanning electron microscope images of raw powders : (a) Niobium Oxide, (b) Aluminum.
Fig. 3.
XRD patterns of raw powders : (a) Niobium Oxide, (b) Aluminum and (c) milled Nb2O5+10/3 Al composite.
Fig. 4.
Plot of Br·cosθ versus sinθ of Nb (a) and Al2O3 (b) in milled powders
Fig. 5.
Scanning electron microscope (SEM) image and corresponding EDS analysis for ball-milled
Nb2O5+10/3 Al composite powder.
Fig. 6.
Variations of temperature and shrinkage displacement with heating time during high-frequency
induction heated sintering of Nb+5/3Al2O3added for various ratio.
Fig. 7.
XRD pattern of Nb+5/3Al2O3 composite sintered at 1400 °C.
Fig. 8.
Plot of Br·cosθ versus sinθ of Nb (a) and Al2O3 (b) in composite heated to 1400 °C.
Fig. 9.
SEM image and X-ray mapping of Nb+5/3Al2O3 composite sintered at 1400 °C : (a) FE-SEM image, (b) Al mapping, (c) Nb mapping,
(d) O mapping
Fig. 10.
(a) Vickers hardness indentation and (b) median crack propagating in Nb+5/3Al2O3 composite.