(Ye-Eun Cha)
1
(Il-Ho Kim)
1*
Copyright © 2019 The Korean Institute of Metals and Materials
Key words(Korean)
thermoelectric, skutterudite, partial double filling, charge compensation
1. INTRODUCTION
Thermoelectricity is a technology that directly converts thermal energy into electrical
energy or electrical energy into thermal energy. The thermoelectric conversion efficiency
is evaluated by a dimensionless figure of merit, ZT = α2σκ−1T, where α is the Seebeck coefficient, σ is the electrical conductivity, κ is the
thermal conductivity, and Τ is the absolute temperature [1]. Two main methods are used to improve ZT and obtain high conversion efficiency.
The first is to increase the power factor (α2σ) and the second is to decrease the thermal conductivity. The thermal conductivity
is composed of two contributions: lattice thermal conductivity (κL) and electronic thermal conductivity (κE). These components can be separated using the Wiedemann-Franz law (κE = LσT), where L is the Lorenz number [2]. As the carrier concentration increases, the electrical conductivity and electronic
thermal conductivity increase, but the Seebeck coefficient decreases. Specifically,
because the power factor has a trade-off relationship between the electrical conductivity
and Seebeck coefficient, the reduction in thermal conductivity should be achieved
through the reduction in lattice thermal conductivity. However, the parameters cannot
be controlled independently because the thermal conductivity increases along with
the electrical conductivity [3,4].
Skutterudite has a body-centered cubic structure with the space group Im
3
, and its unit cell is assembled in the form of 8MX3 with 32 atoms, where M is the transition element and X is the pnicogen element [5]. There are two voids per unit cell of the skutterudite, and p-type RFe4Sb12-based and n-type RCo4Sb12-based filled skutterudites have been studied, where R is the rattler filled with
alkali, alkaline-earth, or rare-earth atoms. The filled skutterudite induces phonon
scattering of rattlers in the lattice to reduce the lattice thermal conductivity [6,7]. However, similar to RFe4Sb12, it is difficult to obtain a high thermoelectric performance as the hole concentration
is very high and the Seebeck coefficient is relatively low. In addition, [Fe4Sb12] is unstable owing to deficient valence electrons, thus four electrons are required
to stabilize the skutterudite phase [8]. The skutterudite can be stabilized in the form R4+[Fe4Sb12]4− by filling the voids with R4+ ions; however, most elements used as fillers exist with valences of R2+ and R3+, as a result, the valence electrons are insufficient [9]. Thus, charge compensation is required and this is fulfilled by substituting Co
or Ni at the Fe site [10]. Several studies on phase stabilization and improved thermoelectric performance
of the p-type RFe4Sb12 have been reported, and the thermoelectric properties may be enhanced by reducing
the lattice thermal conductivity through single or multiple fillings with charge compensation
[11-14]. In particular, filling two or more rare-earth elements with heavy atomic masses
greatly reduces the lattice thermal conductivity through phonon scatterings with lower
and broader resonance frequencies [6,15,16]. In this study, we prepared p-type (La1−zYbz)0.8Fe4−xCoxSb12 with partial double filling of La/Yb and substitution of Co at the Fe site and examined
their thermoelectric properties.
2. EXPERIMENTAL PROCEDURE
Elemental La (purity 99.9%, Kojundo), Yb (purity 99.9%, Sigma Aldrich), Co (purity
99.95%, Alfa Aesar), Fe (purity 99.95%, Cerac), and Sb (purity 99.999%, LTS) were
weighed according to the stoichiometric compositions of (La1−zYbz)0.8Fe4−xCoxSb12 (z = 0.25−0.75 and x = 0−1), and melted at 1323 K for 10 h in an evacuated quartz
ampoule that was coated inside with carbon followed by water quenching. The obtained
ingot was vacuum-sealed and annealed at 873 K for 24 h. The ingot was ground into
powder with a particle size of less than 75 μm. The powder was then charged in a graphite
die and consolidated by hot pressing at 873 K for 1 h under 70 MPa.
The phases of the hot-pressed bodies were analyzed using X-ray diffraction (XRD; Bruker,
D8-Advance) with Cu-Kα radiation in the θ-2θ mode. Microstructures were observed using scanning electron
microscopy (SEM; FEI, Quanta400), and atomic distributions were analyzed using energy
dispersive spectroscopy (EDS; Oxford, JSM-5800). The electrical conductivity and Seebeck
coefficient were simultaneously measured using the DC four-probe method with ZEM-3
(Ulvac-Riko) equipment. The thermal conductivity was evaluated from the measured thermal
diffusivity, specific heat, and density using the laser flash method with TC-9000H
(Ulvac-Riko) system. The measured Seebeck coefficient, electrical conductivity, and
calculated thermal conductivity were used to evaluate the power factor and dimensionless
ZT.
3. RESULTS AND DISCUSSION
XRD patterns of the (La1−zYbz)0.8Fe4−xCoxSb12 skutterudites are presented in Fig 1. The diffraction patterns were in good agreement with the standard diffraction data
(PDF# 56-1123) for the skutterudite phase, and a small quantity of the marcasite phase
(PDF# 70-3985) was identified. The diffraction peaks for the marcasite phase between
30.9° and 32.1° are enlarged in Figs 1(b) and 1(c). The intensity of peak decreased with increasing Co substitution (x); this indicates
that the skutterudite phase was stabilized by Co charge compensation. In addition,
the diffraction peaks shifted to higher angles with increasing Co content because
the smaller Co (atomic radius: 0.167 nm) was substituted for the larger Fe (atomic
radius: 0.172 nm) site, which is consistent with the previous studies [17-19].
Figure 2 displays the SEM images and EDS analyses of (La1−zYbz)0.8Fe4−xCoxSb12 skutterudites. The secondary phase was observed along with the main skutterudite
phase; however, less secondary phase was observed with increasing Co substitution.
This was consistent with the XRD results. Charge compensation was confirmed to stabilize
the skutterudite phase and suppress the formation of the secondary phase. In a previous
study [20], the marcasite phase was observed in fully-filled La1-zYbzFe4-xCoxSb12 skutterudites with x ≤ 0.5. However, in this study, the marcasite phase was detected
in all specimens, which was because the charge compensation was not sufficiently performed
owing to the partial filling with low valence ions of La3+ and Yb2+/3+ [21].
Chemical compositions, relative densities, and lattice constants of the (La1−zYbz)0.8Fe4−xCoxSb12 are summarized in Table 1. After the completion of the preparation processes, the actual composition showed
no significant difference from the nominal composition, and hot-pressed specimens
showed relative densities higher than 97.4% compared to the theoretical density. The
calculated lattice constant ranged from 0.9129 to 0.9142 nm, and it decreased with
increasing amount of La filling and Co substitution because the ionic radii are Fe
(0.172 nm), Co (0.167 nm), La (0.136 nm), and Yb (0.139 nm) [22].
Figure 3 presents the temperature dependence of electrical conductivity for (La1−zYbz)0.8Fe4−xCoxSb12. All specimens showed degenerate semiconductor behavior with decreasing electrical
conductivity as the temperature increased. Lower electrical conductivity was obtained
with increasing La filling and Co substitution. This resulted from the reduction in
the carrier concentration caused by the difference in valences of La/Yb and the charge
compensation of Co. (La0.25Yb0.75)0.8Fe4Sb12 showed the highest electrical conductivity of 2.48 × 105 Sm-1 at 323 K. The fully-filled La0.25Yb0.75Fe3.5Co0.5Sb12 exhibited a maximum electrical conductivity of 2.08 × 105 Sm-1 at 323 K [20]; however, in this study, the partially-filled (La0.25Yb0.75)0.8Fe3.5Co0.5Sb12 demonstrated higher electrical conductivity than the fully-filled specimens.
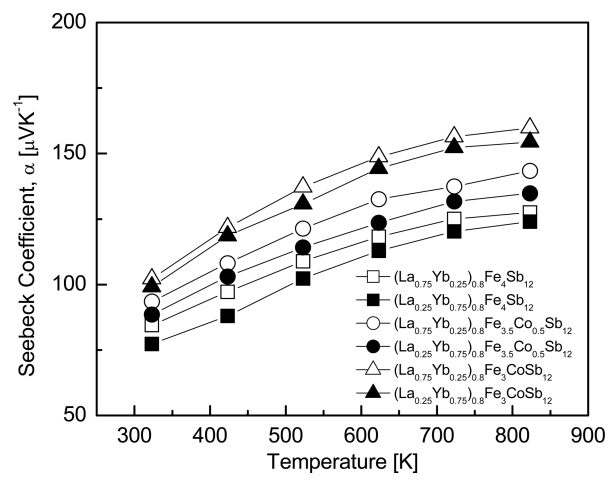
The temperature dependence of the Seebeck coefficient for (La1−zYbz)0.8Fe4−xCoxSb12 is shown in Fig 4. All specimens displayed positive values of p-type conductions. The Seebeck coefficient
increased as the temperature increased, and it further increased with increasing La
filling and Co substitution. This was due to the increased electron donation by Yb
and the enhanced charge compensation by Co. (La0.75Yb0.25)0.8Fe3CoSb12 yielded the highest Seebeck coefficient of 159.7 μVK-1 at 823 K, and the fully-filled La0.75Yb0.25Fe3CoSb12 exhibited a maximum Seebeck coefficient of 175.5 μVK-1 at 723 K [20]. Thus, the partially-filled specimens showed lower Seebeck coefficient values than
the fully-filled specimens with lower carrier concentrations.
Figure 5 presents the variations of the power factor with temperature and composition for
(La1−zYbz)0.8Fe4−xCoxSb12. As the temperature increased, the power factor increased and reached the maximum
value at 723 K. Higher power factor values were obtained with increasing La filling
and Co substitution. However, the difference in the La/Yb filling ratio did not significantly
affect the power factor. (La0.75Yb0.25)0.8Fe3CoSb12 exhibited maximum power factor of 3.01 mWm-1K-2 at 723 K, which was higher than the power factor of 2.42 mWm-1K-2 at 723 K of the fully-filled La0.75Yb0.25Fe3CoSb12 [20].
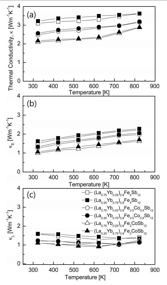
The temperature dependence of the thermal conductivity for (La1−zYbz)0.8Fe4−xCoxSb12 is shown in Fig 6. The total thermal conductivity is shown in Fig 6(a). The thermal conductivity apparently decreased with increasing Co substitution, and
it was slightly lowered with increasing La filling. The increased thermal conductivity
at temperatures above 623 K was due to the bipolar effect. (La0.75Yb0.25)0.8Fe3CoSb12 showed the lowest thermal conductivity of 2.08 Wm-1K-1 at 323 K, and the value was lower than 2.20 Wm-1K-1 at 523 K of the fully-filled La0.75Yb0.75Fe3CoSb12 [20].
The electronic thermal conductivity is shown in Fig 6(b). The Lorenz number was assumed to be 2.0 × 10-8 V2K-2. The electronic thermal conductivity decreased with increasing La filling and Co
substitution with the same tendency as that of the total thermal conductivity. (La0.75Yb0.25)0.8Fe3CoSb12 showed the lowest electronic thermal conductivity of 0.98 Wm-1K-1 at 323 K. The lattice thermal conductivity is shown in Fig 6(c). The lowest values of κL = 0.91‒1.34 Wm-1K-1 were achieved in the temperature range of 623‒823 K. No significant change in the
lattice thermal conductivity was found by varying the La/Yb filling ratio, but the
lattice thermal conductivity decreased with increasing Co substitution. This was due
to the enhanced phonon scattering caused by the impurity scattering. (La0.25Yb0.75)0.8Fe3CoSb12 showed the lowest lattice thermal conductivity of 0.91 Wm-1K-1 at 623 K. In the case of the fully-filled La0.25Yb0.75Fe3CoSb12 [20], the minimum lattice thermal conductivity was reported to be 0.71 Wm-1K-1 at 723 K. In this study, the lattice thermal conductivity slightly increased as a
result of partial double filling. Enhanced phonon scattering was expected by the double
filling of La and Yb to reduce the lattice thermal conductivity. However, the enhancement
of phonon scattering was not significant owing to the similar atomic masses and ionic
radii of La and Yb, and the lattice thermal conductivity slightly increased over the
fully-filled specimens.
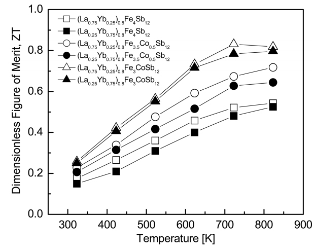
Figure 7 presents the temperature dependence of the ZT for (La1−zYbz)0.8Fe4−xCoxSb12. As the temperature increased, the ZT values increased and reached maximum values
at temperatures between 723 and 823 K. (La0.75Yb0.25)0.8Fe3CoSb12 exhibited ZTmax = 0.83 at 723 K owing to a higher power factor and a lower thermal conductivity.
This value was higher than ZTmax = 0.64 at 723 K for the fully-filled La0.75Yb0.25Fe3CoSb12 [20]. Park et al. [23] reported ZTmax = 0.56 at 823 K for single filled LaFe4Sb12 and Park et al. [24] further obtained ZTmax = 0.59 at 823 K for single filled YbFe4Sb12. In our previous studies on the La/Pr- and Ce/Yb-partially-double-filled skutterudites,
ZTmax = 0.79 was obtained at 723 K for (La0.25Pr0.75)0.8Fe3.5Co0.5Sb12 [18] and ZTmax = 0.66 was achieved at 823 K for (Ce0.25Yb0.75)0.8Fe3.5Co0.5Sb12 [19]. However, Zhou et al. [25] reported high ZTmax = 0.99 at 700 K for La0.60Yb0.25Fe2.7Co1.3Sb12. Therefore, in this study, partial double filling of La/Yb and charge compensation
of Co were effective for the improvement of thermoelectric performance, and further
improvement is expected through precise control of the filling ratio and substitution.
4. CONCLUSION
La/Yb-partially-double-filled and Co-substituted (La1−zYbz)0.8Fe4−xCoxSb12 skutterudites were synthesized by encapsulated melting and hot pressing processes.
A small quantity of the marcasite was detected as a secondary phase along with the
skutterudite phase. However, the marcasite phase formation was suppressed by Co substitution.
As La filling and Co substitution increased, the Seebeck coefficient increased while
the electrical conductivity decreased. The thermal conductivity significantly decreased
with increasing Co substitution, and was further slightly lowered with increasing
La filling. Compared to the La/Yb-fully-filled skutterudites, the thermoelectric performance
was improved because of a higher Seebeck coefficient and a lower thermal conductivity.
(La0.75Yb0.25)0.8Fe3CoSb12 showed a maximum ZT of 0.83 at 723 K. Partial double filling of La/Yb and charge
compensation of Co improved the thermoelectric performance, and further enhancement
is expected through precise composition design.
Acknowledgements
This study was supported by the Industrial Core Technology Development Program funded
by the Ministry of Trade, Industry and Energy (Grant No. 10083640), and by the Basic
Science Research Capacity Enhancement Project (National Research Facilities and Equipment
Center) through the Korea Basic Science Institute funded by the Ministry of Education
(Grant No. 2019R1A6C1010047), Republic of Korea.
REFERENCES
Zhao L. D., Dravid V. P., Kanatzidis M. G., Energy Environ. Sci,7, 251 (2014)

Tan G. J., Wang S. Y., Yan G., Li H., Tang X. F., J. Electron. Mater,41, 1147 (2012)

Caillat T., Borshchevsky A., Fleurial J. P., J. Appl. Phys,80, 4442 (1996)

Sales C., Mandrus D., Chakomakos B. C., Keppens V., Thompson J. R., Phys. Rev. B,56,
15081 (1997)

Yu J., Zhao W. Y., Wei P., Tang D. G., Zhang Q. J., J. Electron. Mater,41, 1414 (2012)

Chen L. D., Kawahara T., Tang X. F., Goto T., Hirai T., Dyck J. S., Chen W., Uher
C., J. Appl. Phys,90, 1864 (2001)

Shi X., Yang J., Salvador J. R., Chi M. F., Cho J. Y., Wang H., Bai S. Q., Yang J.
H., Zhang W. Q., Chen L. D., J. Am. Chem. Soc,133, 7837 (2011)

Rogl G., Grytsiv A., Rogl P., Bauer E., Zehetbauer M., Intermetallics,19, 546 (2010)

Chen B. X., Xu J. H., Uher C., Morelli D. T., Meisner G. P., Fleurial J. P., Caillat
T., Borshchevsky A., Phys. Rev. B,55, 1476 (1997)

Ballikaya S., Uzar N., Yildirim S., Chi H., Su X. L., Tan G. J., Tang X. F., Uher
C., J. Electron. Mater,42, 1622 (2013)

Slack G. A., Rowe D. M., Handbook of Thermoelectricity,407CRC, Boca Raton (1995)

Li X., Chen L., Fan J., Zhang W., Kawahara T., Hirai T., J. Appl. Phys,98, 3702 (2005)

Carlini R., Khan A. U., Ricciardi R., Mori T., J. Alloy. Compd,655, 321 (2016)

Liu R., Cho J. Y., Yang J., Zhang W., Chen L., J. Mater. Sci,30, 1134 (2014)

Morelli D. T., Meisner G. P., J. Appl. Phys,77, 3777 (1995)

Li Q., Lin Z. W., Zhou J., J. Electron. Mater,38, 1268 (2009)

Cha Y. E., Kim I. H., Korean J. Met. Mater,56, 772 (2018)

Cha Y. E., Kim I. H., Korean J. Met. Mater,57, 366 (2019)

Choi D. Y., Cha Y. E., Kim I. H., Korean J. Met. Mater,56, 822 (2018)

Joo G. S., Shin D. K., Kim I. H., J. Electron. Mater,44, 1383 (2015)

Yang K., Cheng H., Hng H. H., Ma J., Mi J. L., Zhao X. B., Zhu T. J., Zhang Y. B.,
J. Alloy. Compd,467, 528 (2009)

Shammon R. D., Acta Crystallogr. A,32, 751 (1976)

Park K. H., Kim I. H., Choi S. M., Lim Y. S., Seo W. S., Kim K. H., Jpn. J. Appl.
Phys,52, (2013)

Park K. H., Kim I. H., Choi S. M., Seo W. S., Cheong D. I., Kang H., J. Electron.
Mater,42, 1377 (2013)

Zhou L., Qiu P. F., Uher C., Shi X., Chen L. D., Intermetallics,32, 209 (2013)

Figures and Table
Fig. 1.
XRD patterns of (a) the (La1−zYbz)0.8Fe4−xCoxSb12 skutterudites and enlarged patterns of the specimens with (b) z = 0.25 and (c) z
= 0.75.
Fig. 2.
SEM images and EDS line scans of (La1−zYbz)0.8Fe4−xCoxSb12.
Fig. 3.
Temperature dependence of the electrical conductivity for (La1−zYbz)0.8Fe4−xCoxSb12.
Fig. 4.
Temperature dependence of the Seebeck coefficient for (La1−zYbz)0.8Fe4−xCoxSb12.
Fig. 5.
Temperature dependence of the power factor for (La1−zYbz)0.8Fe4−xCoxSb12.
Fig. 6.
Temperature dependence of the thermal conductivity for (La1−zYbz)0.8Fe4−xCoxSb12: (a) total thermal conductivity, (b) electronic thermal conductivity, and (c) lattice
thermal conductivity.
Fig. 7.
Temperature dependence of the ZT for (La1−zYbz)0.8Fe4−xCoxSb12.
Table 1.
Chemical compositions, relative densities, and lattice constants of (La1−zYbz)0.8Fe4−xCoxSb12.
Composition
|
Relative Density [%]
|
Lattice Constant [nm]
|
|
Nominal
|
Actual
|
|
(La0.75Yb0.25)0.8Fe4Sb12 |
La0.57Yb0.17Fe3.96Sb11.96 |
98.8
|
0.9138
|
|
(La0.25Yb0.75)0.8Fe4Sb12 |
La0.19Yb0.58Fe3.98Sb11.98 |
99.7
|
0.9142
|
|
(La0.75Yb0.25)0.8Fe3.5Co0.5Sb12 |
La0.57Yb0.16Fe3.49Co0.48Sb11.91 |
99.0
|
0.9134
|
|
(La0.25Yb0.75)0.8Fe3.5Co0.5Sb12 |
La0.15Yb0.56Fe3.49Co0.50Sb11.90 |
99.5
|
0.9139
|
|
(La0.75Yb0.25)0.8Fe3CoSb12 |
La0.54Yb0.18Fe2.98Co0.96Sb11.88 |
97.4
|
0.9129
|
|
(La0.25Yb0.75)0.8Fe3CoSb12 |
La0.18Yb0.57Fe2.95Co0.99Sb11.96 |
99.9
|
0.9131
|