The Journal of
the Korean Journal of Metals and Materials

The Journal of
the Korean Journal of Metals and Materials

Monthly
  • pISSN : 1738-8228
  • eISSN : 2288-8241

Editorial Office


  1. 서울대학교 재료공학부 (Department of Materials Science and Engineering, Seoul National University, Seoul 08826, Republic of Korea)
  2. 부산대학교 재료공학부 (School of Materials Science and Engineering, Pusan National University, Busan 46241, Republic of Korea)



Al-based metallic glass, liquid-liquid phase separation, Pb-rich 2nd phase, crack shielding, liquid-based healing mechanism

1. 서 론

비정질 합금 (Metallic glass, MG)은 결정질 합금과 구별되는 우수한 기계적, 전자기적 및 화학적 성질 등을 보유하고 있어 이것을 실용화하기 위한 많은 연구가 수행되어 왔다 [1-3]. 특히, Al 함량이 현저히 높은 Al-TM (전이 금속)-RE (희토류 원소) 금속 비정질 합금 (> 80 at% Al)은 경량 고비강도 특성으로 최근 휴대용 및 유연전자제품의 구조용 소재로 주목을 받고 있다 [4,5].

Al계 합금에서 단일상의 비정질 합금은 1981년 Al을 50 at% 이상 함유한 Al-(Fe or Co)-B 계 3원 합금에서 멜트스피닝 방법에 의해 최초로 보고되었다 [6]. 하지만 이 비정질 합금은 극단적인 취성 (Brittleness)으로 인해 크게 관심을 끌지 못하였다. 그 후 Al-Fe-Si, Al-Fe-Ge, 및 Al-Mn-Si계 합금 [7,8]에서도 비정질 단상이 얻어졌지만 Al-(Fe, Co)-B계와 마찬가지로 극단적 취성을 가져, Al계 비정질 합금은 본질적으로 강한 취성을 갖는다고 믿게 되었다.

하지만 1980년대 후반 동북대학교의 Masumoto, Inoue교수 등은 Al계 합금의 액체 급냉 조직을 체계적으로 조사하여, 비정질 단상이 Al-TM-Si [9], Al-TM-Ge [10]의 새로운 합금계에서도 생성되는 것을 발견하였다. 특히, Al-Ni-Si 계 합금의 경우 [9] 약 80 at% 이상의 Al을 포함하는 비정질 합금이 제조 가능하며 180 도 밀착 굽힘 변형이 가능한 우수한 연성을 갖는 것을 밝혀냈다. 이러한 발견은 종래 취성을 가진다고 여겨졌던 Al계 비정질 합금도 적정 합금조성 선택을 통해 고강도뿐 아니라 연신 부여가 가능함을 확인하는 계기가 되었다. 이를 기초로 하여 Al-ETM (Early transition metal = IV, V, VI 족 전이금속)-LTM (Late transition metal = VII, VIII 족 전이금속)계의 많은 다원계 합금에서 연성이 있는 비정질 합금이 개발되었다 [11,12]. 그후 ETM을 Y, La, Ce 등의 희토류 금속으로 치환한 Al-RE-LTM 계의 다원계 합금에서 양호한 연성과 더불어 1 GPa을 능가하는 고강도와 분명한 유리천이거동을 나타내는 비정질 합금이 개발되어 [13-17], Al계 비정질 합금은 재료공학적인 기초이론과 응용면에서 많은 관심을 받게 되었다. 또한, Al 계 비정질 합금은 합금설계와 적합한 열처리를 통해 나노 크기의 α-Al 결정상을 부분 석출시킬 수 있으며 [18,19], 이를 통해 비정질 단상보다 약 50% 이상 경도, 인장강도 등의 기계적 특성이 향상된다는 것이 보고되었다 [20-22]. 하지만, α-Al 결정상 이외에 새로운 조성의 결정상을 제2상으로 갖는 Al계 비정질 신합금 개발 및 특성 향상 기구에 관해서는 아직 활발한 연구개발이 진행되고 있지 못한 실정이다.

냉각과정에서 균질한 단일 액상이 조성이 다른 두 액상으로 분리되거나, 또는 단일 비정질상으로 응고된 이후에도 추후 열처리에 의해 조성이 서로 다른 두상으로 분리되는 현상을 상분리 (Phase separation) 현상이라 한다. 상분리 현상은 기본적으로 구성원소들 사이에 액상에서 양의 혼합열 관계 (ΔHmix > 0) 를 가져 서로 혼합되지 않으려는 불혼화 (Immiscibility) 현상에 기인한다. 즉 이종 원자 사이에 척력이 작용하는 계에서 에너지적으로 안정해지기 위해 단일상에서 두 상으로 분리되는 현상이다. 액체상태에서 유발된 상분리 현상은 상대적으로 우수한 비정질 형성능을 가지는 Oxide glass 계에서 이미 오래전부터 많은 연구 결과들이 보고되어 이론적으로 규명되어 왔으며 [23,24], 최근 금속 비정질 합금계에서도 다양한 합금 시스템에서 보고되고 있다 [25-29].

폴리머 기반의 재료에서 자가치유 효과를 구현하는 방안으로써 고상의 기지 내에 액상의 Healing agent를 첨가하는 설계전략이 있다 [30,31]. 이러한 전략을 통해 상대적으로 낮은 용융온도를 가진 제2상을 포함시킨 금속 재료에서도 자가치유 효과가 구현될 수 있음이 최근 보고되고 있다. 이를 부연하면, 변형 중 인위적 가열 혹은 전류 인가를 통해 금속기지내 저융점 제2상이 부분적으로 액상화 되면서 크랙 전파를 방지하는 Healing agent로써 재료의 파단을 지연시키는 효과를 나타내는 것이다 [32-34].

본 연구에서는 최근 고엔트로피 원소제어 방법으로 개발된 대표적 Al계 비정질 형성 합금 시스템인 Al-TM-RE (TM = Ni, Co, Fe, Ti, RE=La, Ce, Nd, Gd, Y, MM)에 구성원소들과 양의 혼합열 관계를 가지는 Pb를 첨가하여 Pb-rich 결정상이 액상 상분리 거동을 통해 구형으로 석출된 Al계 비정질 합금 복합재를 개발하였다. 특히, 개발된 복합재의 독특한 파괴저항성을 평가하고자 인위적으로 형성된 크랙 형성부 주변에서 Pb-rich 결정상의 미세구조를 관찰하였고, 유연소자용 전극소재로 활용가능성이 높은 Ag paste에 Oxide glass frit 대신 Al 계 비정질 합금 frit 혹은 Pb 상분리 결정질 제2상을 가진 Al계 비정질 합금 frit을 첨가하여 304 스테인리스 스틸 (304SS) 기판위에서 소결된 전극의 피로변형 저항성을 체계적으로 고찰하였다. 이를 통해 대부분 α-Al 결정상 조절에 따른 특성개선에만 집중하여 다른 형태의 제2상의 석출에 관한 연구가 미비하였던 Al계 비정질 합금 시스템의 기존 한계를 탈피하여, 독특한 액상상분리 거동을 활용하여 저융점 결정질 제2상을 석출시킴으로써 변형시 부분 액상화 치유 기구 (Liquid-based healing mechanism)에 의해 파손 저항성을 극대화할 수 있는 새로운 Al계 비정질 기지 복합재를 개발하는 가이드라인을 제시하고, 다양한 응용분야로 관련 재료를 확대 적용할 수 있는 가능성을 확인하였다.

2. 실험 방법

본 연구에서는 99.9% 이상의 고순도 알루미늄 (Al), 전이금속 (TM=니켈 (Ni), 코발트 (Co), 철 (Fe), 티타늄 (Ti)), 희토류 원소 (RE=란타늄 (La), 세륨 (Ce), 네오디뮴 (Nd), 가돌리늄 (Gd), 이트륨 (Y), 미쉬메탈 (MM=Ce50.2La25.3Nd19.5Pr5) 모원소를 이용하여 (Al84(Ni,Co,Fe,Ti)10(La,Ce,Nd,Gd,Y)6)100-xPbx (x=0, 5 at%) 조성에 대해 아르곤 가스 분위기에서 아크플라즈마 공정을 통해 용해하여 버튼 형태의 모합금을 제조하였다. 아크 용해시에는 합금성분의 편석을 줄이기 위해 시료를 반전시키며 5 회 반복하여 용해하였다.

아크플라즈마 용해를 통해 준비된 모합금을 멜트스피닝 공정 (냉각속도 > 105 K/s)을 이용하여 리본 형태의 시편으로 제조하였다. 이를 위하여 먼저 제조된 모합금을 석영관에 장입한 상태로 고주파 유도 가열을 이용하여 완전히 용해한 후, 약 50 kPa의 아르곤 가스를 주입함으로써 용탕을 약 40 m/s의 표면속도로 회전하는 구리 휠 (Wheel) 표면에 분출하여 두께가 약 20 μm, 폭이 약 3 mm인 리본 시편을 제조하였다.

급냉 응고된 시편의 결정구조 분석을 위해 X-선 회절분석기 (D8 Advance, Bruker)를 이용하여 Cu-Kα 선(λ = 1.5405Å)으로 20–80° 구간에서 2 °/min의 속도로 회절시험을 진행하였으며, 주사전자현미경 (MIRA3, Tescan)을 통해 0.05 μm 콜로이달 실리카 용액으로 최종 연마된 시편의 표면 미세조직을 관찰하였다.

제조된 합금의 유리천이온도 (Tg), 결정화 개시온도 (Tx)와 같은 열분석을 행하기 위하여 시차주사열량계 (DSC 8500, Perkin Elmer)를 사용하여 473 ~ 673 K의 온도 범위에서 측정하였다. DSC 분석은 알루미늄 팬에 약 20 mg 정도의 시료를 넣은 후 고순도 아르곤 가스 분위기에서 40 K/min의 일정한 승온 속도로 수행하였으며 빈 알루미늄 팬을 Reference로 사용하였다. 합금의 공정온도 (Te), 액상화 온도 (Tl), 액상-액상 상분리의 경계온도 (Tcrit) 및 편정 반응 온도 (Tmono)의 확인은 1800 K 이상의 고온까지 열 분석이 가능한 시차열분석기 (TGA/DSC1, Mettler Toledo)를 이용하여 800 K ~ 1500 K의 온도 범위에서 Al2O3 도가니에 약 40 mg의 시료를 넣은 후 10 K/min의 승온 속도로 측정하였다.

유연소자 전극용 Ag paste에 첨가할 frit을 제조하기 위해 MG frit은 멜트스피닝 공정으로 제조된 비정질 합금리본을 High power milling (Pulverisette-5, Fritsch)을 통해 분쇄하여 제조하였다. 효과적인 Milling을 위해 경도가 높은 ZrO2 Chamber와 Ball을 사용하였으며 200 RPM 조건에서 8 시간동안 분쇄하였다. 온도증가에 의한 Mechanical alloying 및 상변화를 막기 위해 에탄올 용액을 이용한 습식조건에서 Ball milling을 진행한 뒤 12 μm 미세 Mesh를 이용한 Sieving을 통해 수십 μm 크기의 불균일한 크기의 분말을 제거하였다. Ag paste 전극 제조를 위해 Doctor blade를 이용하여 10 μm 두께로 MG frit이 첨가된 Ag paste를 두께 100 μm, 폭 1 cm, 길이 10 cm인 304SS 박판 위에 균일하게 도포 한 뒤 1073 K 에서 30분 동안 상압 분위기에서 소결하였다.

첨가 물질에 따른 Ag paste 전극의 재료의 기계적 특성 평가는 자체 제작한 굽힘 피로 시험기 (Slide and bending fatigue, CK-Trade)를 활용하였다. 본 연구의 굽힘 피로 시험은 0.15% 최대 변형률 하에서 시편이 고정된 plate 중 아래쪽의 plate가 1 초당 0.5 회 1 cm 거리만큼 왕복운동을 하는 형태로 피로 사이클을 인가하였다. 특히, 피로시험 중 발생하는 시편 내부의 결함에 의한 파단 거동을 실시간으로 관찰하고자 시편 양 끝단에서 저항 변화를 동시에 측정하였다.

3. 실험결과 및 고찰

최근 Al-TM-RE계 비정질 합금에 다중 TM 혹은 RE를 첨가하게 되면 합금의 혼합 엔트로피의 증가로 인해, 준안정 액상의 안정성을 대변하는 Tg 나 결정화의 저항성을 대변하는 Tx의 최적화를 통해 과냉각 액체영역 (ΔTx = Tx-Tg) 및 비정질 형성능의 증가가 가능하다고 보고되었다 [17]. 이러한 기존 연구에 착안하여, 본 연구에서는 다수의 RE 원소들의 조합으로 인해 액상안정성과 비정질 형성능을 향상시켜 줄 수 있는 MM이 첨가된 Al84Ni10MM6 비정질 합금과 [35], 조성비는 유지한 채 등가원소비로 다중 TM 및 RE를 치환 첨가한 Al84(Ni5.5Co1.5Fe1.5Ti1.5)MM6, Al84Ni10(LaCeNdGdY)6 비정질 합금을 제조하였다. 그리고 여기에 Pb를 5 at% 첨가하여 Pb가 액상 상분리 거동을 통해 구형의 나노 결정상으로 석출된 Al 계 비정질 기지 복합재를 개발하였다.

그림 1-a는 본 연구에서 제조한 (Al-TM-RE)-Pb 상분리 알루미늄계 비정질 합금 구성원소들의 원자 반지름과 구성원소간 혼합열 관계 [36]를 도식화하여 개념적으로 나타낸 도면이다. 그림에서 알 수 있는 바와 같이 Al, TM 그리고 RE로 구성된 비정질 합금 설계시 구성 원소간 커다란 원자반경 차이 및 음의 혼합열 관계는 고충진된 액상구조를 유발하기 때문에 우수한 비정질 형성능을 가지도록 할 수 있음을 알 수 있다. 특히, 제4원소로 포함된 Pb의 경우, 주 원소인 Al 및 Ni과 10 kJ/mol 이상의 커다란 양의 혼합열 관계를 가지고 있으며, RE와는 음의 혼합열 관계를 가지지만 0.5 at% 이하의 낮은 고용도를 가져 [37-39], Pb 원소가 액상 상분리 현상이 일어나기에 유리한 조건임을 알 수 있다. 그림 1-b는 CALPHAD 방법 (SSOL6: SGTE Solution Database, Thermo-Calc)으로 계산한 Al과 Pb 간 이원 상태도이다. 그림에서 알 수 있는 바와 같이 Al과 Pb는 고용도가 거의 없고 안정 불혼화 영역 (Stable miscibility gap)을 통해 액상 상분리 거동이 일어남을 알 수 있다. 이러한 상분리 거동은 조성에 따라 핵생성 및 성장 기구에 의한 변태와 스피노달 분해에 의한 변태를 통해 각각 구형의 제2상이 균일하게 분산된 Droplet 구조와 연속된 두상이 네트워크 형태를 이룬 Interconnected 구조를 형성하게 된다. 이러한 점에 착안하여 본 연구에서는 Pb의 함량을 5 at%로 조절하여 상분리된 Pb-rich 결정상이 불혼화 영역내 핵생성 및 성장 기구에 의해 Droplet 형태로 Al계 비정질 기지내에 균일하게 분산될 수 있도록 하고자 하였다.

그림 2는 본 연구의 합금들 중 (Al84Ni10MM6)95Pb5 비정질 합금 리본의 수직 단면에 대한 주사전자현미경 사진과 위치에 따른 Pb-rich 결정상의 크기 분포도이다. EDS 분석을 통해 Al계 비정질 기지 내부에 구형 (Droplet)의 Pb-rich 결정상이 석출되었음을 확인할 수 있었다. Pb-rich 결정상의 크기는 액상이 Cu Wheel과 직접 접촉하여 가장 빠른 냉각속도가 주어지는 Wheel side에서 75 ± 10 nm를 나타내고, 가장 느린 냉각속도가 주어지는 중심부 부근 (14 μm 높이)까지 138 ± 32 nm로 점차 증가하다가, 다시 Free side에 가까워질수록 100 ± 28 nm로 점차 감소하는 형태의 분포를 나타낸다. 이 합금에서 석출된 전체 Pb-rich 결정상의 평균 직경은 107 ± 20 nm이며, 석출 분율은 약 10 vol% 수준임을 확인할 수 있었다. 본 연구에서 개발된 다른 조성인 (Al84Ni10(LaCeNdGdY)10)95Pb5와 (Al84(Ni5.5Co1.5Fe1.5Ti1.5)MM6)95Pb5 합금들에서도 그림 2에 도시한 것과 유사하게 구형의 Pb 결정상이 비정질 기지 내에 나노 스케일로 균일하게 분산된 비정질 기지 복합재를 제조할 수 있음을 확인하였다 (Not shown).

그림 3은 본 연구의 합금들 중 (Al84Ni10(LaCeNdGdY)6)95Pb5 합금 리본 시편을 고온 시차 열분석기를 이용하여 800 K ~ 1500 K의 온도 범위에서 10 K/min의 속도로 가열 및 냉각시 얻어진 열분석 결과이다. 가열곡선 (Red line)의 약 893 K 부근에서 커다란 흡열 피크로 공정온도 (Te)가 측정되었으며, 긴 용융 구간을 거친 후 흡열 피크로 최종 용융 온도 (Tl)가 1185.5 K로 얻어졌다. 냉각곡선 (Blue line)에서 베이스 라인에서 첫 번째 벗어나는 작은 흡열 거동을 통해 액상-액상 상분리의 Critical 온도 (Tcrit)가 약 1404 K 부근에서 얻어졌으며, 이 온도는 Al-Pb 이원계 합금의 5 at% Pb 합금의 약 1453 K 보다 약 50 K가 낮은 온도이다. 이후 냉각을 통해 편정반응 온도 (Tmono)는 약 1145.9 K로 얻어졌으며, 이 온도는 Al-Pb 이원계 합금의 5 at% Pb 합금의 932 K 보다 약 213 K가 증가한 온도이다. 이를 통해, 본 합금의 불혼화 영역 크기 (ΔTIM = Tcrit-Tmono)는 약 214 K로, Al-Pb 이원계 합금의 5 at% Pb 합금의 521 K보다 크게 작아진 것을 확인할 수 있었으며, 이렇듯 낮아진 Tcrit와 짧아진 ΔTIM 온도 구간은 동일한 조건의 응고시 액상 상분리를 통해 상대적으로 작은 크기의 Pb 상이 제2상으로 석출되도록 한다.

그림 4는 본 연구에서 제조된 비정질 합금 리본의 X-선 회절 분석 결과이다. 그림 4-a의 Pb를 포함하지 않은 (a) Al84Ni10MM6, (b) Al84Ni10(LaCeNdGdY)6, (c) Al84(Ni5.5Co1.5Fe1.5Ti1.5)MM6 합금 리본은 약 35°-45° 사이의 각도에서 비정질 상에서 나타나는 전형적인 Diffuse halo pattern을 나타내고 있으며, 결정상이 포함되어 있음을 의미하는 Sharp 회절 피크는 관찰되지 않았다. 그림 4-b에서는 그림 4-a의 (a), (b) 조성에 Pb를 5 at% 포함하는 (d), (e) 조성들의 경우 Diffuse halo pattern과 함께 FCC-Pb에 대응되는 Sharp 회절 피크들을 볼 수 있고, (f) 조성의 경우 FCC-Pb와 함께 CePb3 결정상에 대한 회절 피크가 낮은 크기 (Intensity)로 함께 나타남을 알 수 있다.

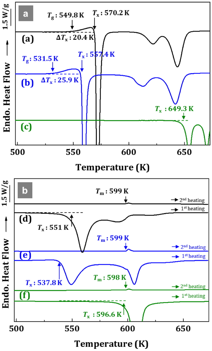
그림 5는 본 연구에서 제조된 비정질 합금 리본들을 40 K/min의 승온 속도로 가열하면서 473 ~ 673 K의 온도 범위에서 측정한 시차주사열분석 결과이다. 그림 5-a에 도시한 바와 같이 (a) Al84Ni10MM6와 (b) Al84Ni10(LaCeNdGdY)6 합금 리본은 상대적으로 안정한 비정질이 형성되었음을 의미하는 가열시 분명한 유리천이거동과 Tg (Tg,(a)=549.8 K, Tg,(b)=531.5 K)를 나타내고 있으나, Pb를 5 at% 포함하는 (d) (Al84Ni10MM10)95Pb5 (e) (Al84Ni10(LaCeNdGdY)10)95Pb5 합금 리본은 분명한 Tg를 확인하기 어려웠다. 더불어 각각 두 합금들에서 Tx는 Pb를 포함하는 경우 (a)→(d): 570.2 K→ 551.0 K, (b)→(e): 557.4 K→ 537.8 K 로 약 20 K 정도 감소하는 것을 확인할 수 있다. 이는 구형의 나노 크기 Pb-rich 결정상의 상분리 석출이 비정질의 상 안정성을 일부 감소시키기 때문에 발생한 것으로 사료된다. 이와는 달리, 분명한 유리천이거동 및 Tg를 나타내지 않은 (c) Al84(Ni5.5Co1.5Fe1.5Ti1.5)MM6 합금에 Pb를 첨가하는 경우는 약 52 K ((c)→ (f): 649.3 K→596.6 K)의 커다란 Tx 감소를 확인할 수 있었다. 이는 그림 4-b에서 확인한 것처럼 Pb-rich 결정상과 함께 CePb3 금속간 화합물의 형성으로 인해 비정질 기지합금의 커다란 RE 조성 변화를 유발하여, (f) 비정질 상의 안정성이 상대적으로 크게 저하했음을 의미한다. 이와 함께 특징적인 현상으로, Pb를 첨가한 (d)-(f) 합금들의 경우, 순 Pb의 용융온도 (Tm = 600.5 K)와 유사한 599 K 부근에서 분명한 흡열 반응이 관찰되는 것을 확인할 수 있었다. 상기 Al계 비정질 합금들이 600 K 전후에서 결정화 거동에 의한 커다란 발열 피크를 가지므로 첫번째 가열과정에서는 명확히 확인이 어렵지만, 비정질 기지가 결정화된 상태인 두번째 가열과정에서는 명확하게 Pb-rich 결정질 제2상의 용융에 의한 흡열 피크를 관찰할 수 있었다.

그림 6는 본 연구에서 제조된 비정질 합금 리본들을 10 K/min의 승온 속도로 가열하면서 800K~1500K의 온도 범위에서 측정한 시차주사열분석 결과이다. 그림 6-a는 Pb를 첨가하지 않은 (a) Al84Ni10MM6, (b) Al84Ni10(LaCeNdGdY)10, (c) Al84(Ni5.5Co1.5Fe1.5Ti1.5)MM6 합금의 용융거동을 나타내고 있으며, 그림 6-b그림 6-a의 조성에 5 at%의 Pb를 첨가한 상분리 합금의 용융거동을 나타내고 있다. 그림 5에서 Tx 감소 경향과 유사하게, (c)→(f) 가 (a)→(d), (b)→(e)에 비해 기지 조성변화로 인해 (a)-(c)에서 약 900 K로 유사하던 Te 값이 (d), (e)와 (f) 간에 약 3 K 정도 차이가 발생하는 것을 확인할 수 있었다. 이에 반해, 최종 응고 온도 (Tl)은 (d)-(f)에서 모두 (a)-(c) 대비 약 10 K 정도 감소함을 확인할 수 있었다.

이처럼 Pb 첨가는 비정질 합금의 열적 거동과 비정질형성능을 변화시킬 수 있으나, 그 영향은 합금계마다 다르다. 부연하면, 각 합금의 상대적인 결정화 저항성 및 비정질 형성능을 대변하는 Trg (=Tg/Tl [40], 단, 본 논문에서는 Tg가 분명히 나타나지 않아 Tx로 대신하여 계산함) 값을 고려하였을 때, Pb를 첨가하여도 Trg 값은 (a)→(d): 0.487→0.476, (b)→(e): 0.466→0.453로 매우 유사한 범위 값을 가지므로, Pb 첨가가 비정질 형성능을 크게 저하시키지 않는다고 평가할 수 있다. 하지만 (f) Al84(Ni5.5Co1.5Fe1.5Ti1.5)MM6 합금의 경우, Trg 값이 0.533→0.493로 상대적으로 큰 폭으로 감소함과 동시에, Pb-rich 결정상과 함께 비정질 합금 기지에서 CePb3 결정상이 추가로 석출되어 나온 것을 미루어 보아 TM 원소의 혼합열 관계가 Pb 석출거동에 크게 영향을 끼쳐 비정질 형성능을 감소시킬 수 있음을 확인할 수 있다. 이를 통해, Al계 비정질 합금에서 비정질 형성능의 저하없이 Pb-rich 상만 석출시키기 위해서는 양의 혼합열을 가진 전이금속의 선택이 중요한 요소임을 확인할 수 있었다.

Pb와 같이 상대적으로 낮은 용융온도를 가진 제2상을 포함하는 금속 재료는 변형 중 인위적 가열 혹은 전류 인가를 통해 금속기지내 저융점 제2상이 부분적으로 액상화되어 크랙 전파를 방지하는 Healing agent로 작동함으로써 재료의 파단을 지연시키는 효과를 가질 수 있다 [30-34]. 일반적으로 Al 계 비정질 합금은 1 GPa 이상의 고강도 특성으로 인해 압축 응력부에서 발생한 전단띠 (Shear band) 내부에서 α-Al이 석출되는 등 영구 변형시 전단 변형 주변부의 온도가 Tg에 비례관계를 가지고 크게 올라감이 보고되었다 (Al 계 비정질 합금의 경우 약 600 K 내외) [41]. 이러한 점에 착안하여 본 연구에서는 개발된 합금 내 나노 크기의 Pb-rich 결정상이 크랙 주변부에서 어떻게 역할을 하는지 파악하기 위하여 고속냉간 압연 (그림 7 삽입 그림 참조)을 통해 큰 변형률 조건하에서 10% 두께 감소를 통해 인위적으로 크랙을 발생시켜 크랙 주변부를 관찰하였다. 그림 7은 (Al84Ni10MM6)95Pb5 합금 균열 주변부의 주사전자현미경 사진이다. 그림에 표시한 바와 같이 상온에서 크랙을 형성시켰음에도 크랙 주변부의 자발적 온도 증가 (일반적으로 전단띠 형성시 보다 수 백 K 이상의 커다란 온도상승이 보고됨)로 인해 부분 용해된 저융점 Pb-rich 결정상이 크랙 부분을 메워서 크랙 선단의 응력집중을 완화시켜 액상 기반 크랙 전파지연 효과가 있을 수 있음을 확인할 수 있었다. 단, Pb-rich 결정상은 Al 비정질 기지와 커다란 양의 혼합열 관계를 가져 형성된 Pb 액상이 크랙과 Wetting이 원활하지 않을 수도 있을 것으로 예상된다.

본 연구를 통해 개발된 저융점 Pb-rich 결정상을 포함한 복합재의 보다 분명한 기계적 특성 개선효과를 확인하고자, Al계 비정질 합금의 응용처로 기존에 제시된 Ag paste에 Oxide glass frit 대신 개발된 비정질 복합재 frit을 적용하여 Ag paste의 피로 변형 저항성에 미치는 영향을 고찰하였다. 전극용 Ag paste는 일반적으로 은 (Ag) 분말과, 유기 매질, 그리고 PbO2계 Oxide glass frit을 포함하고 있다. 이 때 PbO2계 Oxide glass는 Si 혹은 SiN과 화학적 반응을 통해 반도체 소자와 Ag paste간 전기적 접합을 통한 전극형성을 위해 필수적으로 포함되는 물질로써 [42], 상기 Ag paste는 실리콘 태양전지뿐 아니라, 각종 플렉서블 전자기기 (Flexible electronic device)에서 전극 물질로 직접 활용될 수 있는 가능성이 높아 주목을 받고 있다. 최근의 연구에 따르면 Oxide glass frit을 대체하여 Al계 비정질 합금 frit을 Ag paste에 첨가하게 되면 최대 0.2%의 태양전지 효율의 증가가 가능하다고 보고되었다 [43,44]. 따라서 취성이 강한 Oxide glass frit을 대체하여 본 연구에서 개발된 저융점 Pb-rich 결정상을 포함한 Al 계 비정질 기지 복합재를 Ag paste의 구성물로 활용하면 성능이 더욱 개선된 유연소자용 Ag paste 전극의 개발이 가능할 것으로 기대된다.

그림 8은 (I) 약 20 wt%의 Oxide glass frit을 포함하는 Ag paste로 제조한 전극물질, (II) 약 10 wt%의 Al84Ni10 (LaCeNdGdY)6 MG frit을 포함하는 Ag paste로 제조한 전극물질, (III) 약 10 wt%의 (Al84Ni10(LaCeNdGdY)6)95Pb5 MG frit을 포함하는 Ag paste로 제조한 전극물질에 대한 사진 및 간단한 제조방법의 설명이다. 구체적으로 (I) 전극물질은 약 70 wt%의 은 분말, 약 10 wt%의 유기 매질, 그리고 약 20 wt%의 Oxide glass frit을, (II) 전극 물질은 약 78.75 wt%의 은 분말, 약 11.25 wt%의 유기 매질, 그리고 약 10 wt%의 Al84Ni10(LaCeNdGdY)6 MG frit을, (III) 전극 물질은 약 78.75 wt%의 은 분말, 약 11.25 wt%의 유기 매질, 그리고 약 10 wt%의 (Al84Ni10(LaCeNdGdY)6)95Pb5 MG frit을 포함하고 있다. 구성한 전극 물질에서 Al MG frit은 고온의 소결 공정 중 Tg를 지나며 과냉각 액체상태에서 105 Pa·s 수준으로 점도가 급격히 감소하게 되며 [45], Capillary force에 의해 Ag paste 구성물질 사이를 채우며 이동하게 된다. 이를 통해 최종적으로 결정화된 상태로 고상의 Ag particle과 단단한 화학적 결합을 이룰 수 있음이 실험과 시뮬레이션을 통해 증명되었다 [38,39]. 그러므로, 본 연구에서 개발한 Pb를 포함한 Al MG frit을 전극 구성 물질로 사용하는 경우, 소결과정에서 Al 비정질기지의 과냉각 액상의 유동뿐 아니라 Pb의 안정 액상 유동을 통한 접합능 향상뿐만 아니라 소결 후 저융점 Pb-rich 제2상의 크랙 지연 효과로 기계적 특성 향상을 꾀할 수 있을 것으로 기대된다.

그림 9는 304SS 박판 위에 Ag paste가 도포된 전극물질의 기계적 특성을 평가하기 위해 본 연구에서 자체 제작한 굽힘 피로시험 장치의 개략도를 나타낸다. 피로 변형시 시편 영역을 시편에 걸리는 응력 조건으로 구분하면 반복적인 하중이 가해지는 Fatigue area (그림 9의 적색영역), 항복 응력 이하의 지속적인 하중이 가해지고 있는 Constant load area (그림 9의 녹색영역), 그리고 하중이 가해지지 않는 Load-free area로 크게 3 영역으로 나눌 수 있으며, 피로 파단은 일반적으로 반복적인 Load 변화가 발생하는 Fatigue area를 따라 일어나게 된다. 피로시험시 Ag paste가 도포된 영역이 인장응력이 걸리는 바깥쪽 곡면에 위치하도록 하였으며, Fixed plate와 Lower plate의 양끝단에서 Ag paste를 따라 저항이 측정되도록 하여 변형 중 발생하는 결함 혹은 피로 크랙 전파에 따른 전기저항값 변화를 모니터링하여 피로파괴 거동에 대해 정량적으로 분석이 가능하도록 하였다.

그림 10은 상기 3가지 Ag paste가 도포된 304SS 박판을 0.15% 최대 변형률 하에서 굽힘 피로시험시 피로 수명(Fatigue lifetime)과 전기저항의 변화를 나타낸 것이다. 먼저 Oxide glass frit을 사용한 일반적인 Ag paste를 도포한 경우 약 4.4·104 cycles의 피로 수명을 가지며 한계수명에 도달했을 때 취성에 의한 급격한 크랙 전파로 파단이 발생하는 것을 급작스런 전기저항의 상승을 통하여 확인할 수 있었다. 이에 반해 Al MG frit을 사용한 Ag paste를 도포한 경우 약 5.2·104 cycles의 피로 한계를 가지며 한계수명에 도달했을 때 약 3000 cycles의 지연된 피로 크랙 전파거동 이후에 파단이 일어났음을 확인할 수 있었다. 특히, Pb를 포함한 Al MG frit을 사용한 Ag paste를 도포한 경우 약 7.0·104 cycles의 피로 수명을 가지며 한계수명에 도달했을 때 약 5000 cycles의 지연된 피로크랙 전파거동 이후에 파단이 일어남을 확인할 수 있었다. 이러한 결과는 Pb 제2상이 분산된 Al MG frit을 사용한 Ag paste가 일반적인 Oxide glass frit을 사용한 경우보다 현저하게 큰 약 60% 이상, Al MG frit을 사용한 경우 보다도 약 30% 수준의 피로 수명 증가 효과가 피로 크랙 생성 및 전파 지연을 통해 나타낼 수 있음을 의미한다. 부연하면, Pb를 포함한 Al MG frit을 사용한 Ag paste의 소결 열처리시 Al MG와 분산된 결정질 Pb가 함께 녹아서 견고한 Ag paste의 소결체 및 304SS 기판과의 접합부를 형성하기 때문에 피로 크랙 형성 및 전파가 어렵고, 피로 크랙 전파시 발생하는 발열에 의한 결정질 Pb의 부분 용해 후 Capillary force에 의한 크랙 채움 거동으로 결함 선단의 Blunting이 일어나 응력 집중을 방해하는 것에 기인한다. 이를 통해, 기존에 알려진 Al MG frit의 반도체-금속간 고효율화 전극 접합능 향상 효과와 함께, 분산된 Pb 결정상에 의한 크랙 지연 효과에 의한 파손 저항성 증가가 가능함을 확인할 수 있었다.

4. 결 론

본 연구에서는 다성분계 Al계 비정질 합금에 구성원소들과 10 kJ/mol 이상의 양의 혼합열 관계를 가져 안정 불혼화 영역에 의한 액상 상분리 거동이 나타나는 Pb를 첨가하여 Al 비정질 기지 내 Pb-rich 나노 결정상이 구형으로 석출된 (Al84(Ni,Co,Fe,Ti)10(La,Ce,Nd,Gd,Y)6)95Pb5 비정질 기지 복합재를 개발하였다. 특히, 개발된 복합재의 독특한 파괴저항성을 평가하고자 인위적으로 형성된 크랙 주변부에서 Pb-rich 결정상의 미세구조 변화를 관찰하였고, 이를 통해 크랙 형성시 발생하는 열량에 의한 Pb-rich 결정상의 부분 액상화가 크랙 전파를 방해하고 급격한 파괴를 막을 수 있음을 확인하였다. 또한, Pb를 포함한 Al MG frit을 첨가한 Ag paste 전극물질은 상대적으로 견고한 접합부를 형성하기 때문에 제2상 Pb가 포함된 경우 피로 크랙 형성 및 전파가 어렵고, 피로 크랙 전파시 발생하는 발열에 의한 부분 용해 후 Capillary force에 의한 크랙 채움 거동으로 결함 선단의 Blunting이 일어나 응력 집중을 방해하여, Oxide glass frit을 첨가한 Ag paste 전극물질에 비해 최대 60% 수준으로 향상된 굽힘 피로 저항성을 나타내어, Al MG frit의 고효율화 전극 접합능 이외에 저융점 Pb 결정상의 분산으로 인한 크랙지연 효과에 의한 파손 저항성 증가를 확인하였다. 결언하면, 본 연구에서는 독특한 액상 상분리 거동을 활용하여 저융점 Pb-rich 결정상을 Al 비정질 기지내에 성공적으로 균일하게 상분리 석출시킴으로써, 관련 소재의 사용환경에서 기계적 변형시 부분적 액상화 치유 기구에 의한 파손 저항성을 극대화할 수 있는 새로운 Al계 비정질 기지 복합재를 개발하였다. 이러한 연구 결과는 저융점 구형 제2상의 석출로 재료 신뢰성이 월등히 향상되고 독특한 다기능 특성을 가지는 다양한 금속기지 복합재를 개발하는데 초석이 될 수 있을 것으로 기대된다.

Acknowledgements

This work was supported by by Creative Materials Discovery Program through the National Research Foundation of Korea (NRF) funded by Ministry of Science and ICT (No. NRF-2019M3D1A1079215). ESPark also benefited from the Center for Iron and Steel Research (RIAM) and Engineering Research Institute at Seoul National University.

REFERENCES

1 
Greer A. L., Science,267, 1947 (1995)Google Search
2 
Inoue A., Acta. Mater,48, 279 (2000)Google Search
3 
Park E. S., Kim D. H., Met. Mater. Int,11, 19 (2005)Google Search
4 
He Y., Poon S. J., Shiflet G. J., Science,241, 1640 (1988)Google Search
5 
Tasi A. P., Kamiyama T., Kawamura Y., Inoue A., Acta. Mater,45, 1477 (1997)Google Search
6 
Inoue A., Kitamura A., Masumoto T., J. Mater. Sci,18, 1985 (1981)Google Search
7 
Suzuki R. O., Komatsu Y., Kobayashi K. E., Singu P. G., J. Mater. Sci,18, 1195 (1983)Google Search
8 
Dunlap R. A., Dini K., J. Mater. Res,1, 415 (1986)Google Search
9 
Inoue A., Yamamoto M., Kimura H. M., Masumoto T., J. Mater. Sci,23, 3640 (1988)Google Search
10 
Inoue A., Bizen Y., Kimura H. M., Masumoto T., Sakamoto M., J. Mater. Sci,6, 194 (1987)Google Search
11 
Tsai A. P., Inoue A., Masumoto T., Met. Trans,19A, 391 (1988)Google Search
12 
Tsai A.P., Inoue A., Masumoto T., J. Mater. Sci. Lett,7, 805 (1988)Google Search
13 
Inoue A., Ohtera K., Tsai A. P., Masumoto T., Jpn. J. Appl. Phys,27, L479 (1988)Google Search
14 
Inoue A., Ohtera K., Masumoto T., Jpn. J. Appl. Phys,27, L736 (1988)Google Search
15 
Inoue A., Prog. Mater. Sci,43, 365 (1998)Google Search
16 
Louzguine D. V., Inoue A., Appl. Phys. Lett,79, 3410 (2001)Google Search
17 
Kim W., Oh H. S., Park E. S., Intermetallics,91, 8 (2017)Google Search
18 
Mansouri M., Simchi A., Barahram N., Park E. S., Mat. Sci. Eng,A604, 92 (2014)Google Search
19 
Mansouri M., Simchi A., Lee J. I., Park E. S., Varahram N., J. Non-Cryst. Solids,387, 36 (2014)Google Search
20 
Ko B. C., Wesseling P., Vatamaru O. L., Shiflet G. J., Lewandowski J. J., Intermetallics,10, 1099 (2002)Google Search
21 
Gloriant T., Greer A. L., Nanostruct. Mater,10, 389 (1998)Google Search
22 
Gögebakan M., J. Jpn. Inst. Light Met,2, 271 (2002)Google Search
23 
Greig J. W., Am. J. Sci,13, 133 (1927)Google Search
24 
Porai-Koshits E. A., Andreev N. S., Nature,182, 335 (1958)Google Search
25 
Kündig A. A., Ohnuma M., Ping D. H., Ohkubo T., Hono K., Acta. Mater,52, 2441 (2004)Google Search
26 
Park B. J., Chang H. J., Kim D. H., Kim W. T., Chattopadhyaya K., Abinandanan T. A., Bhattacharyya S., Phys. Rev. Lett,96, 245503 (2006)Google Search
27 
Mattern N., Gemming T., Thomas J., Goerigk G., Franz H., Eckert J., J. Alloy. Compd,509, S42 (2010)Google Search
28 
Kim D. H., Kim W. T., Park E. S., Mattern N., Eckert J., Prog. Mater. Sci,58, 1103 (2013)Google Search
29 
Kim J., Oh H. S., Kim W., Choi P. P., Raabe D., Park E. S., Acta. Mater,140, 116 (2017)Google Search
30 
Kessler M. R., P. I. Mech. Eng. G-J. Aer. Eng,221, 479 (2007)Google Search
31 
Keller M. W., Blaiszik B. J., White S. R., Sottos N. R., Sottos, Recent advances in self-healing materials systems, in Adaptive Structures: Engineering Applications,247-260, John Wiley&Sons (2007)Google Search
32 
Files B. S., Design of a Biomimetic Self-Healing Superalloy Composite,Dissertation,Northwestern University (1997)Google Search
33 
Manuel M. V., Design of a Biomimetic Self-Healing Alloy Composite,Northwestern University (2007)Google Search
34 
Grabowski B., Tasan C. C., Tasan; Self-Healing Materials,387-407, Springer Nature (2016)Google Search
35 
Louzguine D. V., Yavari A. R., Inoue A., J. Non-Cryst. Solids,316, 255 (2003)Google Search
36 
Takeuchi A., Inoue A., Mater. Trans,46, 2817 (2005)Google Search
37 
Palenzona A., Cirafic S., J. Phase Equilib,13, 1 (1992)Google Search
38 
Okamoto H., J. Phase Equilib. Diffus,36, 183 (2015)Google Search
39 
Okamoto H., J. Phase Equilib. Diffus,36, 390 (2015)Google Search
40 
Park E. S., Ryu C. W., Kim W. T., Kim D. H., J. Appl. Phys,118, 064902 (2015)Google Search
41 
Lewandowski J. J., Greer A. L., Nature Mater,5, 15 (2006)Google Search
42 
Chung B. M., Cho S. B., Chun J. W., Kim Y. S., Okamoto K., Huh J. Y., Electrochim. Acta,106, 333 (2013)Google Search
43 
Kim S. Y., Kim S. J., Jee S. S., Park J. M., Park K. H., Park S. C., Cho E. A., Lee J. H., Song I. Y., Lee S. M., Han I. T., Lim K. R., Kim W. T., Park J. C., Eckert J., Kim D. H., Lee E. S., Sci. Rep,3, 2185 (2013)Google Search
44 
Kim S. J., Kim S. Y., Park J. M., Heo J. N., Lee J. H., Lee S. M., Kim D. H., Kim W. T., Lim K. R., Kim D., Park S. C., Kim H. K., Song M. C., park J., Jee S. S., Lee E. S., Appl. Phys. Lett,101, 064106 (2012)Google Search
45 
Busch R., Bakke E., Johnson W. L., Acta. Mater,46, 4725 (1998)Google Search

Figures

Fig. 1.

a_Atomic radii and heat of mixing relations among constituent elements in Al-TM-RE-Pb phase separating metallic glass and b_Al-Pb binary phase diagram.

../../Resources/kim/KJMM.2020.58/kjmm-2020-58-2-77f1.jpg
Fig. 2.

Cross-sectional SEM image of (Al84Ni10MM6)95Pb5 phase separating metallic glass ribbon and size distribution of embedded Pb-rich crystalline phase as a function of the distance from the wheel side surface.

../../Resources/kim/KJMM.2020.58/kjmm-2020-58-2-77f2.jpg
Fig. 3.

DSC traces of the annealed samples upon heating (Red line) and cooling (Blue line) in (Al84Ni10(LaCeNdGdY)6)95Pb5 phase separating metallic glass. L1 and L2 denote Al-rich and Pb-rich liquids, respectively.

../../Resources/kim/KJMM.2020.58/kjmm-2020-58-2-77f3.jpg
Fig. 4.

XRD results of a_(a) Al84Ni10MM6, (b) Al84Ni10 (LaCeNdGdY)6, (c) Al84(Ni5.5Co1.5Fe1.5Ti1.5)MM6) metallic glasses and b_(d) (Al84Ni10MM10)95Pb5, (e) (Al84Ni10(LaCeNdGdY)6)95Pb5, (f) (Al84(Ni5.5Co1.5Fe1.5Ti1.5)MM6)95Pb5 phase separating metallic glasses

../../Resources/kim/KJMM.2020.58/kjmm-2020-58-2-77f4.jpg
Fig. 5.

DSC traces of a_(a) Al84Ni10MM6, (b) Al84Ni10 (LaCeNdGdY)6, (c) Al84(Ni5.5Co1.5Fe1.5Ti1.5)MM6 metallic glasses and b_(d) (Al84Ni10MM6)95Pb5, (e) (Al84Ni10(LaCeNdGdY)6)95Pb5, (f) (Al84(Ni5.5Co1.5Fe1.5Ti1.5)MM6)95Pb5 phase separating metallic glasses

../../Resources/kim/KJMM.2020.58/kjmm-2020-58-2-77f5.jpg
Fig. 6.

DSC traces of a_(a) Al84Ni10MM6, (b) Al84Ni10 (LaCeNdGdY)6, (c) Al84(Ni5.5Co1.5Fe1.5Ti1.5)MM6 metallic glasses and b_(d) (Al84Ni10MM6)95Pb5, (e) (Al84Ni10(LaCeNdGdY)6)95Pb5, (f) (Al84(Ni5.5Co1.5Fe1.5Ti1.5)MM6)95Pb5 phase separating metallic glasses showing endothermic peaks related with eutectic and liquidus points of the alloys.

../../Resources/kim/KJMM.2020.58/kjmm-2020-58-2-77f6.jpg
Fig. 7.

SEM image of cold rolled (Al84Ni10MM6)95Pb5 phase separating metallic glass ribbon with a micro-scaled crack penetrating from surface and partially melted Pb-rich crystalline particles along the crack.

../../Resources/kim/KJMM.2020.58/kjmm-2020-58-2-77f7.jpg
Fig. 8.

Image of 304SS thin plates coated with cured Ag paste containing (I) 20 wt% oxide glass frit, (II) 10 wt% Al84Ni10(LaCeNdGdY)6 MG frit and (III) 10 wt% (Al84Ni10(LaCeNdGdY)6)95Pb5 MG frit.

../../Resources/kim/KJMM.2020.58/kjmm-2020-58-2-77f8.jpg
Fig. 9.

Equipment image and applied load conditions of bending fatigue test

../../Resources/kim/KJMM.2020.58/kjmm-2020-58-2-77f9.jpg
Fig. 10.

Correlation between resistance variation and number of cycles in 304SS thin plates coated with cured Ag paste containing (I) 20 wt% oxide glass frit, (II) 10 wt% Al84Ni10(LaCeNdGdY)6MG frit and (III) 10 wt% (Al84Ni10(LaCeNdGdY)6)95Pb5 MG frit. Applied maximum strain value is 0.15% and frequency is 0.5 Hz.

../../Resources/kim/KJMM.2020.58/kjmm-2020-58-2-77f10.jpg