The Journal of
the Korean Journal of Metals and Materials

The Journal of
the Korean Journal of Metals and Materials

Monthly
  • pISSN : 1738-8228
  • eISSN : 2288-8241

Editorial Office


  1. ํ•œ๊ตญ์›์ž๋ ฅ์—ฐ๊ตฌ์› (Reactor Materails Development, Korea Atomic Energy Research Institute, Daejeon 34057, Republic of Korea)
  2. ใˆœ๋งฅํ… (MACTEC(Materials Core Technology Center), Nuclear Tech-Biz Center, Daejeon 34057, Republic of Korea)



Ni-base alloy, X-750, short range ordering, exothermic reaction, entropy

1. ์„œ ๋ก 

์›์ž๋กœ ๊ตฌ์กฐ ์žฌ๋ฃŒ๋Š” ์›์ž๋กœ ๊ฐ€๋™ ์˜จ๋„์—์„œ ์‚ฌ์šฉํ•˜๋ฉด ์‹œ๊ฐ„์— ๋”ฐ๋ฅธ ๋ฌผ์„ฑ์˜ ๋ณ€ํ™”๊ฐ€ ๋‚˜ํƒ€๋‚˜๋Š”๋ฐ ์ด๋Ÿฐ ํ˜„์ƒ์„ ํฌ๊ด„์ ์œผ๋กœ aging์ด๋ผ๊ณ  ํ•œ๋‹ค [1]. ์žฌ๋ฃŒ์— ๋”ฐ๋ผ์„œ aging ํ˜„์ƒ์€ ๊ฒฐ์ • ์ž…๊ณ„๋ฅผ ๋”ฐ๋ฅธ ํŒŒ๊ดด๋กœ ๋‚˜ํƒ€๋‚˜๊ธฐ๋„ ํ•˜๋ฉฐ ๊ฐ•๋„๋‚˜ ์ธ์„ฑ์˜ ๋ณ€ํ™”๋ฅผ ์ˆ˜๋ฐ˜ํ•œ๋‹ค [2, 3]. ๋”ฐ๋ผ์„œ ํ˜„์žฌ๊นŒ์ง€ aging ํ˜„์ƒ์— ๋Œ€ํ•œ ์—ฐ๊ตฌ๋Š” aging ์ฒ˜๋ฆฌ์— ๋”ฐ๋ฅธ ๊ฐ•๋„๋‚˜ ์ธ์„ฑ์˜ ๋ณ€ํ™”๋ฅผ ํ™•์ธํ•˜๋Š” ๊ฒŒ ์ผ๋ฐ˜์ ์ด์—ˆ๋‹ค. ์ด๋Ÿฐ ๋ณ€ํ™”์˜ ์›์ธ์€ ์ถฉ๋ถ„ํžˆ ์ดํ•ด๋˜์ง€ ๋ชปํ•˜์—ฌ ๊ตฌ์กฐ๋ฌผ ์„ค๊ณ„ ๊ณผ์ •์—์„œ๋Š” aging ํ˜„์ƒ์ด ์ดˆ๋ž˜ํ•˜๋Š” ์˜ํ–ฅ์„ ์ ์ ˆํžˆ ๋ฐ˜์˜ํ•  ์ˆ˜ ์—†์—ˆ๋‹ค.

์ตœ๊ทผ ๋ฐœํ‘œ๋œ ์—ฐ๊ตฌ ๊ฒฐ๊ณผ์— ๋”ฐ๋ฅด๋ฉด aging ํ˜„์ƒ์„ ์ดˆ๋ž˜ํ•˜๋Š” ์›์ธ ์ค‘์˜ ํ•˜๋‚˜๋Š” ์žฌ๋ฃŒ ๋‚ด์— ๋‚จ์•„ ์žˆ๋Š” ์ž‰์—ฌ ์—”ํŠธ๋กœํ”ผ์˜ ๊ฐ์†Œ ๋•Œ๋ฌธ์ด๋ผ๋Š” ๊ฒƒ์ด๋‹ค [1]. ๋ชจ๋“  ์žฌ๋ฃŒ๋Š” ์›์ž(atom)๋กœ ๊ตฌ์„ฑ๋˜์–ด ์žˆ์œผ๋ฉฐ, ์ด ์›์ž๋“ค์˜ ๋ฐฐ์—ด ์ƒํƒœ์— ๋”ฐ๋ผ ์žฌ๋ฃŒ์˜ ์—”ํŠธ๋กœํ”ผ๋Š” ๋‹ฌ๋ผ์ง„๋‹ค. ์˜ˆ๋ฅผ ๋“ค๋ฉด ์šฉ์ฒดํ™”(solution anneal, SA) ์ฒ˜๋ฆฌ๋œ ์žฌ๋ฃŒ๋Š” ๋Œ€๋ถ€๋ถ„ ์ˆ˜๋ƒ‰ (water quenching, WQ) ์ฒ˜๋ฆฌ ๋˜๋Š”๋ฐ, SA ์ฒ˜๋ฆฌ ์˜จ๋„์—์„œ ์œ ์ž…๋œ ์—”ํŠธ๋กœํ”ผ๊ฐ€ WQ ์ฒ˜๋ฆฌ ๊ณผ์ •์—์„œ ์ž”๋ฅ˜๋œ ์ƒํƒœ๋กœ ๋ƒ‰๊ฐ๋œ๋‹ค. ๋”ฐ๋ผ์„œ ๋ชจ๋“  ์žฌ๋ฃŒ๋Š” ๋ณ€ํ˜•, ์šฉ์ ‘, ๊ธ‰๋ƒ‰ ์ฒ˜๋ฆฌ ๋“ฑ์˜ ์—ด์  ๊ธฐ๊ณ„์  ๊ณต์ •์œผ๋กœ ์ œ์กฐ๋˜๋ฉด์„œ ์—”ํŠธ๋กœํ”ผ๊ฐ€ ์ฆ๊ฐ€ํ•˜๊ณ , ์ด๋Ÿฐ ์žฌ๋ฃŒ๋Š” ์›์ž ํ™•์‚ฐ์ด ๊ฐ€๋Šฅํ•œ ๊ฐ€๋™ ํ™˜๊ฒฝ์— ๋…ธ์ถœ๋˜๋ฉด ์—”ํŠธ๋กœํ”ผ๊ฐ€ ๊ฐ์†Œํ•˜๋ฉด์„œ aging ํšจ๊ณผ๊ฐ€ ๋‚˜ํƒ€๋‚œ๋‹ค.

์—”ํŠธ๋กœํ”ผ๋Š” ์—ด(thermal)๊ณผ ์›์ž ๋ฐฐ์—ด(configuration)์˜ ๋‘๊ฐ€์ง€ ํ˜•ํƒœ๋กœ ์กด์žฌํ•œ๋‹ค [4]. ์›์ž ๋ฐฐ์—ด ์—”ํŠธ๋กœํ”ผ๋Š” ํ•ฉ๊ธˆ์—์„œ ํŠน์ • ์›์ž ์ฃผ์œ„์— ์ด์ข… ์›์ž๊ฐ€ ๋ถˆ๊ทœ์น™ํ•˜๊ฒŒ ํ˜ผํ•ฉ๋˜๋Š” ์›์ž๋ฐฐ์—ด์„ ๊ฐ€์งˆ ๋•Œ ๋†’๋‹ค. ์ด๋Ÿฐ ์›์ž ๋ฐฐ์—ด์ด 3์ฐจ์›์ ์ธ ๊ทœ์น™์„ฑ์„ ๊ฐ–์ง€ ์•Š๊ณ  ๊ทธ ํฌ๊ธฐ๊ฐ€ 2 nm ์ •๋„๋กœ ์ž‘์œผ๋ฉด ์ดˆ๊ฒฉ์ž๋ฅผ ํ˜•์„ฑํ•˜์ง€ ์•Š์œผ๋ฏ€๋กœ ๋‹จ๋ฒ”์œ„ ๊ทœ์น™ (short range order, SRO)๋ฐ˜์‘์ด๋ผ๊ณ  ๋ถˆ๋ฆฐ๋‹ค [5-15]. ์›์ž ๋ฐฐ์—ด ์—”ํŠธ๋กœํ”ผ๋Š” ์›์ž๊ฐ€ ๋ฐฐ์—ด๋˜์–ด ์žˆ๋Š” ์ƒํƒœ์— ๋”ฐ๋ผ ๋‹ฌ๋ผ์ง€๋ฏ€๋กœ ํ•ฉ๊ธˆ๋ฟ๋งŒ ์•„๋‹ˆ๋ผ ์ˆœ ๊ธˆ์†์—์„œ๋„ ์กด์žฌํ•œ๋‹ค. ์ด๊ฒƒ์€ ์›์ž๊ฐ€ ์™„์ „ํ•œ ๊ตฌ๊ฐ€ ์•„๋‹ˆ๋ผ๋Š” ์ ์„ ๊ณ ๋ คํ•˜๋ฉด ์ดํ•ดํ•  ์ˆ˜ ์žˆ๋‹ค. ์›์ž๋กœ ๊ตฌ์กฐ ์žฌ๋ฃŒ๋Š” ๊ฐ€๋™ ํ™˜๊ฒฝ์—์„œ ๋…ธ์ถœ๋˜๋ฉด ์›์ž ๋ฐฐ์—ด ๋ณ€ํ™”์™€ ํ•จ๊ป˜ ์—”ํŠธ๋กœํ”ผ๊ฐ€ ๊ฐ์†Œ๋˜๋ฉด์„œ SRO ๋ฐ˜์‘์ด ์ผ์–ด๋‚œ๋‹ค [16-18].

์ตœ๊ทผ ์•Œ๋ ค์ง„ ๋ฐ”์— ๋”ฐ๋ฅด๋ฉด SRO ํ˜„์ƒ์€ ์›์ž ๊ฐ„์˜ ๊ฑฐ๋ฆฌ๊ฐ€ ๊ฐ€๊นŒ์›Œ์ง€๊ฒŒ ๋งŒ๋“ค์–ด ๊ฒฉ์ž ๊ฑฐ๋ฆฌ๋ฅผ ์ถ•์†Œ์‹œํ‚ค๊ณ  ์žฌ๋ฃŒ ์ „์ฒด๋Š” ์••์ถ• ์‘๋ ฅ์„ ๋ฐ›๊ฒŒ ๋˜๋ฉฐ ๊ทธ ๊ฒฐ๊ณผ ๊ตฌ์กฐ๋ฌผ์˜ ๊ธธ์ด๋Š” ์ˆ˜์ถ•๋œ๋‹ค [1,10-15]. ๊ธˆ์† ์žฌ๋ฃŒ์˜ ๊ฒฐ์ •์€ ์ด๋ฐฉ์„ฑ(anisotropy)์„ ๊ฐ€์ง€๊ณ  ์žˆ์–ด์„œ ๊ฒฉ์ž ์ˆ˜์ถ•์ด ๋ฐœ์ƒํ•˜๋ฉด, ๊ฒฐ์ • ์ž…๊ณ„๋Š” ์ธ์žฅ์‘๋ ฅ ์ƒํƒœ์— ๋†“์ธ๋‹ค. ์ฆ‰, SRO ํ˜„์ƒ์€ ๊ฐ€๋™ ํ™˜๊ฒฝ์—์„œ ์—”ํŠธ๋กœํ”ผ๊ฐ€ ๊ฐ์†Œํ•˜๋ฉด์„œ ์ผ์–ด๋‚˜๋ฏ€๋กœ ๊ตฌ์กฐ๋ฌผ ๋‚ด๋ถ€์—์„œ ์Šค์Šค๋กœ ์ถ”๊ฐ€์ ์ธ ์‘๋ ฅ์„ ๋ฐœ์ƒ์‹œํ‚จ๋‹ค.

ํ˜„์žฌ ์ „ ์„ธ๊ณ„์—์„œ ๊ฐ€๋™ ์ค‘์ธ ์ƒ์—…์šฉ ์›์ž๋กœ๋Š” ๊ฒฝ์ˆ˜๋กœ์™€ ์ค‘์ˆ˜๋กœ์˜ ๋‘ ๊ฐ€์ง€๊ฐ€ ์žˆ๋‹ค. ๊ฒฝ์ˆ˜๋กœ๋Š” ํ•˜๋‚˜์˜ ์••๋ ฅ ์šฉ๊ธฐ์—์„œ ํ•ต๋ถ„์—ด์„ ์ผ์œผํ‚ค๊ณ  ์ด๋•Œ ๋ฐฉ์ถœ๋˜๋Š” ์—ด์„ ๋ฌผ(H2O)๋กœ ์ด๋™์‹œ์ผœ ์ „๊ธฐ๋ฅผ ์ƒ์‚ฐํ•œ๋‹ค. ๋ฐ˜๋ฉด, ์ค‘์ˆ˜๋กœ๋Š” 380๊ฐœ์˜ ์••๋ ฅ๊ด€์— ํ•ต์—ฐ๋ฃŒ๋ฅผ ๊ฐ๊ฐ ๋‹ด์•„์„œ ํ•ต๋ถ„์—ด์„ ์ผ์œผํ‚ค๊ณ  ์ด ์••๋ ฅ๊ด€์„ ๋”ฐ๋ผ ๋ƒ‰๊ฐ์žฌ์ธ ์ค‘์ˆ˜(D2O)๊ฐ€ ํ˜๋Ÿฌ ์—ด์„ ์ฆ๊ธฐ๋ฐœ์ƒ๊ธฐ๋กœ ์ด๋™ํ•˜๋„๋ก ์„ค๊ณ„๋˜์–ด ์žˆ๋‹ค [18,19]. ์ค‘์ˆ˜๋กœ ์••๋ ฅ๊ด€์€ ์ˆ˜ํ‰์œผ๋กœ ๋†“์—ฌ์žˆ์œผ๋ฉฐ ๊ธธ์ด๊ฐ€ 6m์ด๋‹ค. ๋”ฐ๋ผ์„œ ์••๋ ฅ๊ด€์€ ์ž์ฒด ์ค‘๋Ÿ‰, ํ•ต์—ฐ๋ฃŒ, ๋ƒ‰๊ฐ์ˆ˜ ๋“ฑ์„ ๋‹ด๊ณ  ์žˆ์œผ๋ฏ€๋กœ ์–ด๋А ์ •๋„ ์ฒ˜์ง€๊ฒŒ ๋œ๋‹ค.์ด ๊ฒฝ์šฐ์—๋„ ์••๋ ฅ๊ด€์ด ์บ˜๋ž€๋“œ๋ฆฌ์•„(calandria) ๊ด€์— ์ ‘์ด‰๋˜์ง€ ์•Š๋„๋ก ์••๋ ฅ๊ด€์˜ ์™ธ๋ถ€์—๋Š” X-750 ํ•ฉ๊ธˆ์œผ๋กœ ์ œ์ž‘๋œ garter spring 4๊ฐœ๋ฅผ ์ผ์ •ํ•œ ๊ฐ„๊ฒฉ์œผ๋กœ ์„ค์น˜ํ•ด ๋†“์•˜๋‹ค. ์ด๋Ÿฐ ๋ชฉ์ ์„ ๋‹ฌ์„ฑํ•˜๊ธฐ ์œ„ํ•˜์—ฌ garter spring์€ ์›์ž๋กœ ๊ฐ€๋™ ๊ธฐ๊ฐ„ ๋™์•ˆ ๊ฑด์ „์„ฑ์ด ์œ ์ง€๋˜์–ด์•ผ ํ•œ๋‹ค.

๊ทธ๋Ÿฌ๋‚˜ ์ตœ๊ทผ ์บ๋‚˜๋‹ค์˜ ์—ฐ๊ตฌ ๊ฒฐ๊ณผ์— ๋”ฐ๋ฅด๋ฉด ๊ฐ€๋™ ํ™˜๊ฒฝ์— ๋…ธ์ถœ๋˜์–ด ์žˆ๋˜ garter spring์„ ์ธ์ถœํ•˜์—ฌ ๊ฒ€์‚ฌํ•œ ๊ฒฐ๊ณผ ์ž…๊ณ„(intergranular, IG) ํŒŒ๊ดด๊ฐ€ ์ผ์–ด๋‚˜๋Š” ๊ฒƒ์œผ๋กœ ํ™•์ธ๋˜์—ˆ๋‹ค [20,21]. ์ด ์—ฐ๊ตฌ์ž๋“ค์€ ์ž…๊ณ„ ํŒŒ๊ดด๊ฐ€ ์ผ์–ด๋‚œ X-750 garter spring์— ๋Œ€ํ•œ ๋ฏธ์„ธ์กฐ์ง ๋ถ„์„์œผ๋กœ ์ž…๊ณ„์—์„œ ํ˜•์„ฑ๋œ He bubble์„ ํ™•์ธํ•˜๊ณ , ์ด He bubble์˜ ํ˜•์„ฑ์ด ์ž…๊ณ„ ํŒŒ๊ดด์˜ ์›์ธ์ด๋ผ๊ณ  ํ•ด์„ํ•˜์˜€๋‹ค. ์ด ํ•ด์„์€ ๋™์œ„์›์†Œ ๋ณ€ํ™˜์— ์˜ํ•ด He ์›์ž๊ฐ€ ํ˜•์„ฑ๋˜๊ณ  ์ด๊ฒƒ๋“ค์ด bubble์„ ๋งŒ๋“ ๋‹ค๋Š” ๊ฒƒ์ด์ง€๋งŒ, ์ด ํ•ด์„์˜ ํ•œ๊ณ„๋Š” He bubble์˜ ๋‚ด๋ถ€ ์••๋ ฅ์ด ๊ฒฐ์ • ์ž…๊ณ„๋ฅผ ๋ฒŒ๋ฆด ์ˆ˜ ์žˆ๋Š” ์ •๋„๋กœ ํฐ ์ง€๋Š” ์˜๋ฌธ์ด๋‹ค. ์ฆ‰, He์ด ํ˜•์„ฑ๋˜๋ฉด He์ด ๋ญ‰์ณ์ ธ bubble์„ ๋งŒ๋“ค๊ณ  ์ด๊ฒƒ์ด ์ปค์ง€๋ฉด์„œ ์ž…๊ณ„๋ฅผ ๋ฒŒ๋ฆฌ๋Š” ๊ฒƒ์ธ์ง€, ์•„๋‹ˆ๋ฉด ๋‹ค๋ฅธ ์ด์œ ๋กœ void๊ฐ€ ๋จผ์ € ์ƒ๊ธฐ๊ณ  ํ•ต๋ณ€ํ™˜์œผ๋กœ ์ƒ๊ธฐ๋Š” He์ด ์ด๊ณณ์— ๋ชจ์ด๋Š” ๊ฒƒ์ธ์ง€ ๊ตฌ๋ถ„ํ•˜์ง€ ๋ชปํ•œ๋‹ค.

์ค‘์ˆ˜๋กœ์—์„œ ์ธ์ถœ๋œ X-750 garter spring์—์„œ ๋‚˜ํƒ€๋‚˜๋Š” IG ํ˜•ํƒœ์˜ ํŒŒ๊ดด๋Š” aging ํ˜„์ƒ์˜ ๊ฒฐ๊ณผ๋กœ ์ถ”๋ก ๋œ๋‹ค. ์œ„์—์„œ ์„ค๋ช…ํ•œ ๋ฐ”์™€ ๊ฐ™์ด SRO ํ˜„์ƒ์ด ์ผ์–ด๋‚˜๋ฉด ์žฌ๋ฃŒ ๋‚ด์—์„œ ์—”ํŠธ๋กœํ”ผ๊ฐ€ ๊ฐ์†Œํ•˜๋ฉด์„œ ์›์ž ๊ฐ„์˜ ๊ฑฐ๋ฆฌ๊ฐ€ ์ขํ˜€์ง€๊ณ , ์ด ๊ณผ์ •์—์„œ ๋นˆ ๊ณต๊ฐ„(void)์ด ํ˜•์„ฑ๋  ์ˆ˜ ์žˆ๋‹ค. ๋”ฐ๋ผ์„œ SRO ํ˜„์ƒ๋งŒ์œผ๋กœ๋„ ์ž…๊ณ„๋‚˜ ์ž…๋‚ด์— void๊ฐ€ ํ˜•์„ฑ๋˜๊ณ  ์—ฌ๊ธฐ์— ํ•ต๋ณ€ํ™˜ ๋ฌผ์งˆ He์ด ๋ชจ์—ฌ์„œ He bubble์ด ๋  ์ˆ˜ ์žˆ๋‹ค๋Š” ๊ฒƒ์ด๋‹ค.

์—ฐ๊ตฌ ๊ฒฝํ—˜์— ๋”ฐ๋ฅด๋ฉด SRO ๋ฐ˜์‘์„ ํ™•์ธํ•˜๋Š” ๊ฐ€์žฅ ์œ ์šฉํ•œ ๋ฐฉ๋ฒ•์€ ์‹œ์ฐจ ์—ด๋ถ„์„ (differential scanning calorimeter, DSC) ๋ฐฉ๋ฒ•์ด๋‹ค [5,6]. ๋”ฐ๋ผ์„œ ๋ณธ ์—ฐ๊ตฌ์—์„œ๋Š” DSC๋ฅผ ์ด์šฉํ•˜์—ฌ X-750 ํ•ฉ๊ธˆ์˜ SRO ๋ฐ˜์‘์˜ ์กด์žฌ๋ฅผ ํ™•์ธํ•˜๊ณ , ๊ทธ ๋ฐ˜์‘์— ๋Œ€ํ•œ ํ™œ์„ฑํ™” ์—๋„ˆ์ง€๋ฅผ ๊ฒฐ์ •ํ•˜์—ฌ ์–ด๋–ค ์ข…๋ฅ˜์˜ SRO ๋ฐ˜์‘์ธ์ง€ ์ถ”๋ก ํ•˜๋ฉฐ, ๊ทœ์น™ํ™” ์ฒ˜๋ฆฌ๊ฐ€ ๊ฒฉ์ž ๋ณ€ํ™”์— ๋ฏธ์น˜๋Š” ํšจ๊ณผ๋ฅผ ํ™•์ธํ–ˆ๋‹ค. ์ด์— ๋”ํ•˜์—ฌ SRO ๋ฐ˜์‘์— ๋”ฐ๋ฅธ ๊ฒฉ์ž ์ˆ˜์ถ•์ด ์žฌ๋ฃŒ์˜ ๋‚ด๋ถ€์— void๋ฅผ ๋งŒ๋“ค์–ด He bubble ํ˜•์„ฑ ์œ„์น˜๋ฅผ ์ œ๊ณตํ•  ์ˆ˜ ์žˆ๋Š” ์ง€์— ๋Œ€ํ•ด ๋…ผ์˜ํ•˜์˜€๋‹ค.

2. ์‹ค ํ—˜

์‹คํ—˜์— ์‚ฌ์šฉํ•œ X-750 ์žฌ๋ฃŒ์˜ ํ™”ํ•™ ์กฐ์„ฑ์€ ํ‘œ 1์— ๋ณด์˜€๋‹ค. ์ง๊ฒฝ 30 mm ์ •๋„์˜ ๋ด‰์„ 1,100 ยฐC์—์„œ 1์‹œ๊ฐ„ ์œ ์ง€ํ•œ ํ›„ ๋‘๊ป˜ 8 mm ์ •๋„์˜ ํŒ์žฌ๋กœ ์—ด๊ฐ„ ์••์—ฐ(hot roll, HR)ํ•˜์˜€๋‹ค. ์ด ์žฌ๋ฃŒ๋Š” 1,100 ยฐC์—์„œ 1์‹œ๊ฐ„ ์œ ์ง€๋œ ํ›„ ์ˆ˜๋ƒ‰(water quenching, WQ) ๋ฐ ๋…ธ๋ƒ‰(furnace cooling, FC) ์ฒ˜๋ฆฌ๋˜์—ˆ๋‹ค. ๋ƒ‰๊ฐ„ ๊ฐ€๊ณต ์‹œํŽธ์€ HR ์ดํ›„ WQ ์ƒํƒœ์˜ ํŒ์žฌ๋ฅผ 20% ๋ƒ‰๊ฐ„ ์••์—ฐ(cold rolled, CR)ํ•œ ๊ฒƒ์ด๋‹ค. ๊ทœ์น™ํ™” ์ฒ˜๋ฆฌ์˜ ํšจ๊ณผ๋ฅผ ํ™•์ธํ•˜๊ธฐ ์œ„ํ•˜์—ฌ 475 ยฐC์—์„œ WQ ๋ฐ CR ์‹œํŽธ์„ ๊ฐ๊ฐ 2,160์‹œ๊ฐ„ ์œ ์ง€ํ•˜์—ฌ, WQ+O ๋ฐ CR+O ์‹œํŽธ์„ ์ค€๋น„ํ•˜์˜€๋‹ค.

X-750์—์„œ์˜ SRO ๋ฐ˜์‘์„ ํ™•์ธํ•˜๊ธฐ ์œ„ํ•˜์—ฌ WQ, CR, WQ+O, CR+O ์‹œํŽธ์— ๋Œ€ํ•˜์—ฌ DSC ๋ถ„์„์„ ์‹ค์‹œํ•˜์˜€๋‹ค. ์˜จ๋„์— ๋”ฐ๋ฅธ ๋น„์—ด ๋ถ„์„์€ 10 K/min์˜ ๊ฐ€์—ด ์†๋„๋ฅผ ์‚ฌ์šฉํ•˜์˜€๋‹ค. ์—”ํŠธ๋กœํ”ผ ๊ฐ์†Œ์— ์˜ํ•œ ๋ฐœ์—ด ๋ฐ˜์‘์˜ peak์„ ํ™•์ธํ•˜๊ณ  ๊ทœ์น™ํ™” ๋ฐ˜์‘์— ๋Œ€ํ•œ ํ™œ์„ฑํ™” ์—๋„ˆ์ง€๋ฅผ ๊ตฌํ•˜๊ธฐ ์œ„ํ•˜์—ฌ DSC์˜ ๊ฐ€์—ด ์†๋„๋ฅผ 5, 10, 20, 40 K/min์œผ๋กœ ๋ณ€ํ™”์‹œ์ผฐ๋‹ค [6,15,16,22]. ๊ทœ์น™ํ™” ์ฒ˜๋ฆฌ๋œ ์‹œํŽธ์€ ๋ฐœ์—ด ๋ฐ˜์‘์ด ๋‚˜ํƒ€๋‚˜์ง€ ์•Š๊ณ  ํก์—ด ๋ฐ˜์‘์ด ๋‚˜ํƒ€๋‚˜๋ฏ€๋กœ ๊ฐ€์—ด ์†๋„๋ฅผ ๋ณ€ํ™”์‹œ์ผœ์„œ ํก์—ด ๋ฐ˜์‘์— ๋Œ€ํ•œ ํ™œ์„ฑํ™” ์—๋„ˆ์ง€๋ฅผ ๊ตฌํ•˜์˜€๋‹ค.

๊ฐ€์—ด ์†๋„์™€ ๋ฐ˜์‘์˜ peak ์˜จ๋„ ์‚ฌ์ด์˜ ๊ด€๊ณ„๋Š” ์‹ (1)๊ณผ ๊ฐ™๋‹ค.

(1)
ln   ( ( ฮฑ 2 T 1   2   / ฮฑ 1 T 2   2   )   =   Q / R ( 1 / T 1 โˆ’ 1 / T 2 )

์—ฌ๊ธฐ์„œ T1 ๋ฐ T2๋Š” ์—ด๋ถ„์„ ์ค‘ ์‹œํ—˜ํŽธ์˜ ๊ฐ€์—ด ์†๋„๊ฐ€ ๊ฐ๊ฐ ฮฑ1 ๋ฐ ฮฑ2 ์ผ ๋•Œ์˜ ๋ฐœ์—ด ๋ฐ˜์‘์˜ ์˜จ๋„์ด๋‹ค.

๊ทœ์น™ํ™” ์ฒ˜๋ฆฌ์— ์˜ํ•œ ๊ฒฉ์ž ๋ณ€ํ™”๋ฅผ ๊ด€์ฐฐํ•˜๊ธฐ ์œ„ํ•˜์—ฌ WQ, FC, CR ์‹œํŽธ์„ 6๊ฐœ ์ด์ƒ ์ค€๋น„ํ•˜์˜€๋‹ค. ์ด๋“ค 3 ์ข…๋ฅ˜์˜ X-750 ์‹œํŽธ์€ 475 ยฐC์—์„œ 0, 4, 24, 100, 500, 2,160์‹œ๊ฐ„ ๋™์•ˆ ๊ทœ์น™ํ™” ์ฒ˜๋ฆฌํ•˜์˜€๋‹ค. XRD๋ฅผ ์ด์šฉํ•˜์—ฌ ์ด๋“ค ์‹œํŽธ์— ๋Œ€ํ•œ ๊ฒฉ์ž์˜ ๋ณ€ํ™”๋ฅผ ์ธก์ •ํ•˜์˜€๋‹ค. XRD ๋ถ„์„์šฉ ์‹œํŽธ์€ ๊ธฐ๊ณ„์ ์œผ๋กœ ์—ฐ๋งˆํ•œ ํ›„ 10% perchloric acid + ethanol ์šฉ์•ก์œผ๋กœ ์ „ํ•ด ์—ฐ๋งˆํ•˜์—ฌ ๋ณ€ํ˜• ์ธต์„ ์ถฉ๋ถ„ํžˆ ์ œ๊ฑฐํ•˜์˜€๋‹ค. XRD ๋ถ„์„์—๋Š” CuKa X-ray๋ฅผ ์‚ฌ์šฉํ•˜์˜€๋‹ค. ๊ฐ ์กฐ๊ฑด์˜ ์‹œํŽธ์— ๋Œ€ํ•œ XRD ๋ถ„์„ ๊ฒฐ๊ณผ๋ฅผ ์‚ฌ์šฉํ•˜์—ฌ ๊ทœ์น™ํ™” ์ฒ˜๋ฆฌ๋ฅผ ํ•˜์ง€ ์•Š์€ WQ, FC, CR ์‹œํŽธ์˜ ๊ฒฉ์ž ๊ธธ์ด๋ฅผ ๊ฐ๊ฐ d0๋กœ ์ •ํ•˜๊ณ  ๊ทœ์น™ํ™” ์ฒ˜๋ฆฌ ์‹œ๊ฐ„์— ๋”ฐ๋ฅธ XRD ๊ฒฐ๊ณผ๋ฅผ ์‚ฌ์šฉํ•˜์—ฌ ๊ฒฉ์ž ๋ณ€ํ™”๋Š”(di-d0)/d0์˜ ๊ด€๊ณ„๋ฅผ ์ด์šฉํ•ด ๊ณ„์‚ฐํ•˜์˜€๋‹ค.

3. ๊ฒฐ ๊ณผ

๊ทธ๋ฆผ 1์€ WQ ์‹œํŽธ์„ 1,100 ยฐC๊นŒ์ง€ 10 K/min ์†๋„๋กœ DSC ๋ถ„์„ํ•œ ๋น„์—ด์„ ๋‚˜ํƒ€๋‚ธ ๊ฒƒ์ด๋‹ค. ๊ฒ€์€ ์„ ์€ WQ ์‹œํŽธ์„ ๋ถ„์„ํ•œ ๊ฒƒ์ด๊ณ , ๋ถ‰์€ ์„ ์€ WQ ์‹œํŽธ์„ 1,100 ยฐC๊นŒ์ง€ DSC ๋ถ„์„ ํ›„ ๋ƒ‰๊ฐ๋œ ์‹œํŽธ์„ ๋‹ค์‹œ DSC ๋ถ„์„ํ•œ ๊ฒฐ๊ณผ์ด๋‹ค. DSC ๋ถ„์„ ์žฅ๋น„์˜ ํŠน์„ฑ์ƒ 1์ฐจ ๊ฐ€์—ด ์‹คํ—˜ํ–ˆ๋‹ค๊ฐ€ ๋ƒ‰๊ฐํ•˜๋ฉด DSC ์žฅ๋น„์˜ ๋ƒ‰๊ฐ ์†๋„์— ๋”ฐ๋ผ ๋ƒ‰๊ฐ๋˜๋ฏ€๋กœ FC ์ฒ˜๋ฆฌ๋œ ๊ฒƒ์ด๋ผ๊ณ  ํ•  ์ˆ˜ ์žˆ๋‹ค. FC ์ฒ˜๋ฆฌ๋Š” ์„œ์„œํžˆ ๋ƒ‰๊ฐ๋˜์–ด ํ‰ํ˜•์— ๊ฐ€๊นŒ์šด ์ƒํƒœ์ด๋‹ค. ๊ทธ๋Ÿฌ๋ฏ€๋กœ FC ์‹œํŽธ์˜ ๊ฒฐ๊ณผ๋ฅผ WQ ์ƒํƒœ์™€ ๋น„๊ตํ•˜๋ฉด WQ ์ฒ˜๋ฆฌ ์‹œํŽธ์˜ ํŠน์„ฑ์„ ์ž˜ ํŒŒ์•…ํ•  ์ˆ˜ ์žˆ๋‹ค. ๋”ฐ๋ผ์„œ FC ๊ณก์„ ๋ณด๋‹ค ๋‚ฎ๊ฒŒ ๋‚˜ํƒ€๋‚˜๋Š” ๋ถ€๋ถ„์€ ๋น„์—ด์ด ์ž‘์€ ๊ฒƒ์ด๊ณ , ์ด๊ฒƒ์€ WQ ์‹œํŽธ์ด ๋ถ„์„ ๊ณผ์ •์—์„œ ๋ฐœ์—ดํ•˜๊ธฐ ๋•Œ๋ฌธ์ด๋‹ค.

WQ X-750 ์‹œํŽธ์€ 530-630 ยฐC, 630-740 ยฐC, 740-920 ยฐC์˜ 3 ๋ถ€๋ถ„์—์„œ FC ์‹œํŽธ๋ณด๋‹ค ๋‚ฎ์€ ๊ฐ’์„ ๋ณด์ธ๋‹ค. ์ฆ‰, WQ ์‹œํŽธ์€ ์•ฝ 580 ยฐC์™€ 690 ยฐC ๋ถ€๊ทผ์—์„œ ๋‘ ๊ฐœ์˜ ๋ฐœ์—ด ๋ฐ˜์‘์„ ๋ณด์ด๊ณ , 740-920 ยฐC ๋ถ€๋ถ„์—์„œ๋„ ๋‚ฎ๊ฒŒ ๋‚˜ํƒ€๋‚œ๋‹ค. 530-740 ยฐC ์‚ฌ์ด์—์„œ WQ์™€ FC ๋‘ ๊ณก์„  ์‚ฌ์ด์˜ ๋ฐœ์—ด ์–‘์€ 13 J/g์œผ๋กœ ๋‚˜ํƒ€๋‚ฌ๋‹ค. ์ด๊ฒƒ์€ WQ ์‹œํŽธ์— ๋‚จ์•„ ์žˆ๋Š” ์—”ํŠธ๋กœํ”ผ๊ฐ€ DSC ๋ถ„์„ ๊ณผ์ •์—์„œ ๋ฐฉ์ถœ๋œ ์—ด์ด๋‹ค. WQ ์‹œํŽธ์—์„œ ๋ฐฉ์ถœ๋˜๋Š” ์—ด์„ ์—”ํŠธ๋กœํ”ผ๋ผ๊ณ  ๋ถ€๋ฅด๋Š” ๊ฒƒ์€ ์›์ž์˜ ๋ฐฐ์—ด์ด ๋ฐ”๋€Œ๋Š” ๊ณผ์ •์—์„œ ๋“œ๋‚˜๋“œ๋Š” ์—ด์ด๊ธฐ ๋•Œ๋ฌธ์ด๋‹ค. ์ด๊ฒƒ์€ ์‘๊ณ ๋‚˜ ์šฉํ•ด ๊ณผ์ •์˜ ์‘๊ณ ์—ด์ด๋‚˜ ์šฉํ•ด์—ด๊ณผ ์œ ์‚ฌํ•˜๋‹ค. ์ด์™€ ๊ฐ™์ด ์ƒ ๋ณ€ํƒœ ๊ณผ์ •์—์„œ ๋“œ๋‚˜๋“œ๋Š” ์—ด์€ ๋ณธ์งˆ์ ์œผ๋กœ ์—”ํŠธ๋กœํ”ผ์ด๊ณ , ์—”ํŠธ๋กœํ”ผ๋Š” ์—ด๋Ÿ‰์„ ์˜จ๋„๋กœ ๋‚˜๋ˆˆ ๊ฒƒ(S=Q/T)์ด๋ฏ€๋กœ ๋‹จ์œ„๋Š” ์—ด๋Ÿ‰๊ณผ ๋‹ค๋ฅด๋‹ค.

WQ ์‹œํŽธ์€ 1100 ยฐC๊นŒ์ง€ ๊ฐ€์—ดํ•˜๊ณ  1์‹œ๊ฐ„ ์œ ์ง€ํ•œ ํ›„ WQ ์ฒ˜๋ฆฌํ•œ ๊ฒƒ์ด๋‹ค. ๋ชจ๋“  ๋ฌผ์งˆ์€ ๊ฐ€์—ดํ•˜๋ฉด ๋น„์—ด์ด ์ฆ๊ฐ€ํ•˜๋ฉด์„œ ์—”ํƒˆํ”ผ(enthalpy)๊ฐ€ ์ฆ๊ฐ€ํ•  ๋ฟ๋งŒ ์•„๋‹ˆ๋ผ ์—”ํŠธ๋กœํ”ผ๋„ ์ฆ๊ฐ€ํ•œ๋‹ค. 1100 ยฐC์—์„œ WQ ์ฒ˜๋ฆฌ๋˜๋ฉด ๋ƒ‰๊ฐ๋˜๋ฉด์„œ ๋น ์ ธ ๋‚˜๊ฐˆ ์ˆ˜ ์žˆ๋Š” ์—ด์€ ๋น ์ ธ ๋‚˜๊ฐ€๊ณ  ์‹œํŽธ์€ ๋ƒ‰๊ฐ๋œ๋‹ค. ๋ฐ˜๋ฉด, ๊ณ ์˜จ์—์„œ ์›์ž ๋ฐฐ์—ด์ด ํํŠธ๋Ÿฌ์ ธ ๊ธ‰์† ๋ƒ‰๊ฐ ๊ณผ์ •์—์„œ ๋น ์ ธ ๋‚˜๊ฐˆ ์ˆ˜ ์—†๋Š” ์—ด์€ ์—”ํŠธ๋กœํ”ผ ์ƒํƒœ๋กœ ์žฌ๋ฃŒ์— ๋‚จ๋Š”๋‹ค. ์ด๊ฒƒ์€ ์ฃผ๋กœ ๋ถˆ๊ทœ์น™ํ™” ๋ฐ˜์‘์— ์˜ํ•œ ์›์ž ๋ฐฐ์—ด์˜ ํํŠธ๋Ÿฌ์ง์— ์˜ํ•œ ๊ฒƒ์ด๋‹ค. ์ด๋ ‡๊ฒŒ ๊ธ‰๋ƒ‰ํ•œ ์‹œํŽธ์—์„œ ๋ฐฉ์ถœ๋˜์ง€ ๋ชปํ•˜๊ณ  ๋‚จ์•„ ์žˆ๋Š” ์—”ํŠธ๋กœํ”ผ๋Š” DSC ๋ถ„์„ ์ค‘ ์›์ž ํ™•์‚ฐ์ด ์ผ์–ด๋‚˜๋ฉด ๋ฐ–์œผ๋กœ ๋ฐฉ์ถœ๋˜๊ธฐ ๋•Œ๋ฌธ์— ๋ฐœ์—ด ๋ฐ˜์‘์œผ๋กœ ๊ด€์ฐฐ๋˜๋Š” ๊ฒƒ์ด๋‹ค.

๊ทธ๋ฆผ 2๋Š” X-750 WQ ์‹œํŽธ์„ 5, 10, 20, 40 K/min์œผ๋กœ ๊ฐ€์—ดํ•  ๋•Œ ๋ฐœ์—ด ๋ฐ˜์‘์˜ ์˜จ๋„๊ฐ€ ๊ฐ€์—ด ์†๋„์˜ ์ฆ๊ฐ€์— ๋”ฐ๋ผ ์ฆ๊ฐ€ํ•˜๋Š” ๊ฒƒ์„ ๋„์‹œํ•œ ๊ฒƒ์ด๋‹ค. ๊ทธ๋ฆผ 1์—์„œ 580 ยฐC ๋ถ€๊ทผ์—์„œ ๋‚˜ํƒ€๋‚œ ๋ฐœ์—ด ๋ฐ˜์‘์€ peak 1์ด๋ผ๊ณ  ํ•œ๋‹ค. ์ด ๋ฐ˜์‘์€ ๊ทธ๋ฆผ 2์˜ ํŒŒ๋ž€์ƒ‰์œผ๋กœ ๋‚˜ํƒ€๋‚ธ ๊ฒƒ์ฒ˜๋Ÿผ ๊ฐ€์—ด ์†๋„๋ฅผ ๋ณ€ํ™”์‹œ์ผœ 40 K/min์ผ ๋•Œ 620 ยฐC์—์„œ ๊ด€์ฐฐ๋œ๋‹ค. ์ด๋ ‡๊ฒŒ ๊ฐ€์—ด ์†๋„๋ฅผ ๋ณ€ํ™”์‹œํ‚ค๋ฉด ํŠน์ • ๋ฐ˜์‘์˜ ์˜จ๋„๊ฐ€ ์ฆ๊ฐ€ํ•˜๋Š” ๊ด€๊ณ„๋ฅผ ์ด์šฉํ•˜์—ฌ ๊ฐ€์—ด ์†๋„๊ฐ€ 0 K/min ์ผ ๋•Œ์˜ ๋ฐ˜์‘ ์˜จ๋„๋ฅผ ๊ตฌํ•˜๋ฉด ์ด ๋ฐ˜์‘์— ๋Œ€ํ•œ ์ž„๊ณ„ ์˜จ๋„(critical temperature, Tc)์ด๋‹ค. ์ฆ‰, Tc๋Š” ๊ฐ€์—ด ์†๋„์— ๋”ฐ๋ฅธ ๋ฐ˜์‘์˜ ์˜จ๋„๋ฅผ ๋„์‹œํ•˜์—ฌ ๊ฐ€์—ด ์†๋„๊ฐ€ ๋ฌดํ•œํžˆ ๋А๋ฆฐ 0 K/min์ธ ์ ์„ ๊ตฌํ•˜๋Š” ๊ฒƒ์ด๋‹ค. WQ X-750 ์žฌ๋ฃŒ์˜ peak 1 ๋ฐ 2์˜ Tc๋Š” ๊ฐ๊ฐ 578 ยฐC ๋ฐ 671 ยฐC์ด๋‹ค.

DSC ๋ถ„์„ ์žฅ๋น„๋Š” ๊ฐ€์—ด ์†๋„๋ฅผ ์ผ์ •ํ•˜๊ฒŒ ์กฐ์ ˆํ•  ์ˆ˜ ์žˆ๋„๋ก ์ œ์ž‘๋˜์–ด ์žˆ์œผ๋ฏ€๋กœ DSC ๋ถ„์„ ์‹œํŽธ์„ ์›ํ•˜๋Š” ๊ฐ€์—ด ์†๋„๋กœ ์‹œํŽธ์„ ๊ฐ€์—ดํ•  ์ˆ˜ ์žˆ๋‹ค. ์–ด๋–ค ๋ฐ˜์‘์ด ์ผ์–ด๋‚˜๋Š” ์˜จ๋„๋Š” ๊ฐ€์—ด ์†๋„๊ฐ€ ๋นจ๋ผ์ง€๋ฉด ๊ทธ ๋ฐ˜์‘์ด ๋” ๋†’์€ ์˜จ๋„์—์„œ ์ผ์–ด๋‚˜๋Š” ๊ฒƒ์ฒ˜๋Ÿผ ๊ด€์ฐฐ๋œ๋‹ค. ์ด ๋ณ€ํ™”์˜ ์ •๋„๋Š” ๊ทธ ๋ฐ˜์‘์˜ Q์— ๋”ฐ๋ผ ๋‹ฌ๋ผ์ง€๋Š”๋ฐ, ์ด ์›๋ฆฌ๋ฅผ ์ด์šฉํ•˜์—ฌ SRO ๋ฐ˜์‘์— ๋Œ€ํ•œ Q๋ฅผ ๊ตฌํ•  ์ˆ˜ ์žˆ๋‹ค.

๊ทธ๋ฆผ 3์€ ๊ฐ€์—ด ์†๋„์— ๋”ฐ๋ฅธ peak ์˜จ๋„์˜ ๊ด€๊ณ„๋ฅผ ์ด์šฉํ•˜์—ฌ WQ X-750 ์žฌ๋ฃŒ์˜ ๋ฐœ์—ด ๋ฐ˜์‘ peak 1 ๋ฐ 2์— ๋Œ€ํ•œ Q๋ฅผ ๋‚˜ํƒ€๋‚ธ ๊ฒƒ์ด๋‹ค. Peak 1 ๋ฐ 2์— ๋Œ€ํ•œ Q๋Š” ๊ฐ๊ฐ 303 ๋ฐ 217 kJ/mol๋กœ ๋‚˜ํƒ€๋‚ฌ๋‹ค. ํ‘œ 2 ๋ฐ 3์€ Kissinger ๋ฐฉ๋ฒ•์„ ์ด์šฉํ•˜์—ฌ WQ X-750 ์žฌ๋ฃŒ์˜ peak 1 ๋ฐ peak 2 ๋ฐœ์—ด ๋ฐ˜์‘์— ๋Œ€ํ•œ Q๋ฅผ ๊ตฌํ•œ ๊ณผ์ •์„ ์ƒ์„ธํžˆ ๋‚˜ํƒ€๋‚ธ ๊ฒƒ์ด๋‹ค.

X-750์€ ํ•ฉ๊ธˆ์ด๋ฏ€๋กœ SRO ๋ฐ˜์‘์˜ Q์— ๋ถ€ํ•ฉํ•˜๋Š” ๋ณธ์งˆ์„ ์ •ํ™•ํžˆ ๊ฒฐ์ •ํ•˜๋Š” ๊ฒƒ์€ ์–ด๋ ต๋‹ค. ๋‹ค๋งŒ, X-750์ด Ni-base ํ•ฉ๊ธˆ์ด๋ผ๋Š” ๊ฒƒ์„ ๊ฐ์•ˆํ•˜๋ฉด ์ œ2์›์†Œ์ธ ํฌ๋กฌ(Cr)๊ณผ ์ œ3์›์†Œ์ธ ์ฒ (Fe)์˜ ํ™•์‚ฐ๊ณผ ๊ด€๋ จ์ง€์–ด ๋ณผ ์ˆ˜ ์žˆ๋‹ค. ์ž๊ธฐ ํ™•์‚ฐ์— ๋Œ€ํ•œ Q๋Š” ํฌ๋กฌ์€ 309 kJ/mol, ์ฒ ์€ 240 kJ/mol์ด๋ผ๋Š” ๊ฒƒ[23]์„ ๊ณ ๋ คํ•˜๋ฉด peak 1์€ Cr์˜ ํ™•์‚ฐ, peak 2๋Š” Fe์˜ ํ™•์‚ฐ๊ณผ ๊ด€๋ จ๋œ ๊ฒƒ์œผ๋กœ ๋ณด์ธ๋‹ค. Ni-Cr ์ด์› ์ƒํƒœ๋„๋ฅผ ๋ณด๋ฉด Tc๊ฐ€ 590 ยฐC์ธ Ni2Cr ๊ทœ์น™ ๋ฐ˜์‘์ด ์กด์žฌํ•œ๋‹ค [24]. ์ด ์˜จ๋„๋Š” Ni:Cr์˜ ๋น„์œจ์ด 2:1์ธ ๊ฒฝ์šฐ์— ๊ทœ์น™ํ™”๊ฐ€ ์ผ์–ด๋‚˜๋Š” ์˜จ๋„์ด๋‹ค. X-750์€ Ni:Cr์˜ ๋น„์œจ์ด ๋Œ€๋žต 5:1 ์ •๋„๋กœ Tc๋Š” 590 ยฐC๋ณด๋‹ค ๋‚ฎ์•„์งˆ ๊ฒƒ์ด๋‹ค. ๋”ฐ๋ผ์„œ Peak 1์€ Q๊ฐ€ Cr์˜ ์ž๊ธฐ ํ™•์‚ฐ์— ๋Œ€ํ•œ Q๋ณด๋‹ค ์•ฝ๊ฐ„ ๋‚ฎ์ง€๋งŒ X-750์—์„œ ์ œ2์›์†Œ์ธ Cr์ด Ni2Cr SRO๋ฅผ ํ˜•์„ฑํ•˜๋Š” ๋ฐ˜์‘์œผ๋กœ ๋ณด์ธ๋‹ค.

X-750์˜ ์ œ 2 ๋ฐ ์ œ 3 ์›์†Œ์ธ Cr-Fe ์ด์› ์ƒํƒœ๋„๋ฅผ ๋ณด๋ฉด sigma (ฯƒ, CrFe) ์ƒ์ด 821 ยฐC ์ดํ•˜์—์„œ ํ˜•์„ฑ๋œ๋‹ค [24]. Sigma ์ƒ์˜ Cr:Fe ๋น„์œจ์€ 1:1 ์ด์ง€๋งŒ X-750์—์„œ Cr:Fe ๋น„๋Š” ์•ฝ 2:1 ์ •๋„์ด๋‹ค. ๋”ฐ๋ผ์„œ ํ‰ํ˜• ์˜จ๋„๋ณด๋‹ค ๋‚ฎ์€ ์˜จ๋„์—์„œ SRO ๋ฐ˜์‘์„ ์ผ์œผํ‚ฌ ์ˆ˜ ์žˆ๋‹ค. ๋”ฐ๋ผ์„œ Tc=671 ยฐC์ธ peak 2๋Š” CrFe SRO ํ˜•์„ฑ ๋ฐ˜์‘์— ์˜ํ•œ ๊ฒƒ์œผ๋กœ ํŒ๋‹จ๋œ๋‹ค. ๊ทธ๋ฆผ 1์—์„œ 720-920 ยฐC ์‚ฌ์ด์—์„œ ๋ฐœ์—ด ๋ฐ˜์‘์€ X-750์˜ ์ œ4์›์†Œ์ธ Ti๊ณผ ๊ด€๋ จ๋˜์–ด Ni-Ti ์‚ฌ์ด์—์„œ ํ˜•์„ฑ๋˜๋Š” SRO ๋ฐ˜์‘์— ์˜ํ•œ ๊ฒƒ์œผ๋กœ ์ถ”์ •๋œ๋‹ค [24].

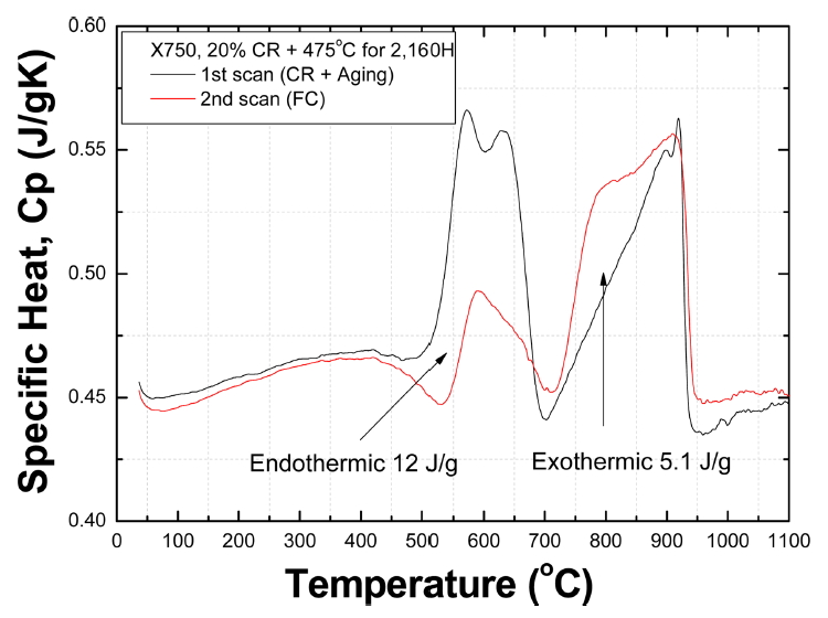
๊ทธ๋ฆผ 4๋Š” 20% ๋ƒ‰๊ฐ„ ์••์—ฐํ•œ CR ์‹œํŽธ์˜ ์˜จ๋„์— ๋”ฐ๋ฅธ ๋น„์—ด์„ ๋‚˜ํƒ€๋‚ธ ๊ฒƒ์ด๋‹ค. ๊ฒ€์€ ์„ ์€ 20% ๋ƒ‰๊ฐ„ ์••์—ฐ ์‹œํŽธ์— ๋Œ€ํ•œ 1์ฐจ DSC ๊ฒฐ๊ณผ์ด๋‹ค. ๋ฐ˜๋ฉด, ๋ถ‰์€ ์„ ์€ DSC ๋ถ„์„ ํ›„ ๋‹ค์‹œ DSC ๋ถ„์„ํ•œ ๊ฒƒ์ด๋‹ค. ๊ฒ€์€ ์„ ์€ 130-520 ยฐC์—์„œ ๋ถ‰์€ ์„ ๋ณด๋‹ค ๋‚ฎ๊ณ , 570-920 ยฐC ์‚ฌ์ด์—์„œ ๋ถ‰์€ ์„ ๋ณด๋‹ค ๋‚ฎ๋‹ค. 570-920 ยฐC์—์„œ ๋‚˜ํƒ€๋‚˜๋Š” ๋ฐœ์—ด ๋ฐ˜์‘์€ WQ ์‹œํŽธ์—์„œ ์ผ์–ด๋‚˜๋Š” SRO ๋ฐ˜์‘๊ณผ ์œ ์‚ฌํ•œ ๊ฒƒ์œผ๋กœ ๋ณด์ธ๋‹ค. ์œ„์—์„œ ์„ค๋ช…ํ•œ ๋ฐ”์™€ ๊ฐ™์ด ๋น„์—ด์ด ๋‚ฎ์•„์ง€๋Š” ๊ฒƒ์€ SRO ๋ฐ˜์‘์ด ์ผ์–ด๋‚˜๋ฉด์„œ ๋ฐœ์—ด ๋ฐ˜์‘์ด ์ผ์–ด๋‚˜๋Š” ๊ฒƒ์ด๋‹ค.

CR ์‹œํŽธ์—์„œ ๋‚˜ํƒ€๋‚˜๋Š” ๋ฐœ์—ด ๋ฐ˜์‘์€ ์ƒ์„ธํžˆ ์‚ดํŽด๋ณด๋ฉด 170, 320, 460 ยฐC์—์„œ 3๊ฐœ์˜ peak์œผ๋กœ ๊ตฌ์„ฑ๋˜์–ด ์žˆ๋‹ค. X-750์˜ ํ•ฉ๊ธˆ ์›์†Œ๋Š” ์ด๋ก ์ ์œผ๋กœ๋Š” ์™„์ „ํžˆ ์„ž์ด์ง€๋งŒ, ๋ถ€๋ถ„์ ์œผ๋กœ๋Š” ์„œ๋กœ ์„ ํ˜ธํ•˜๋Š” ์›์†Œ๋“ค์ด ๊ฒฐํ•ฉ์„ ํ•˜๊ฒŒ ๋œ๋‹ค. Ni-Cr ํ•ฉ๊ธˆ์€ 590 ยฐC์—์„œ Ni2Cr ๊ทœ์น™์ƒ์„ ๋งŒ๋“ค๊ณ , Ni-Fe ํ•ฉ๊ธˆ์€ 220 ยฐC์—์„œ NiFe3, 350 ยฐC์—์„œ NiFe, 500 ยฐC์—์„œ Ni3Fe ๊ทœ์น™์ƒ์„ ๋งŒ๋“ ๋‹ค [25]. ์ด๋ ‡๊ฒŒ Ni, Cr, Fe ์›์ž๋“ค์€ ํ™•์‚ฐ์ด ๊ฐ€๋Šฅํ•œ ์˜จ๋„์—์„œ ์„œ๋กœ ๊ฒฐํ•ฉํ•˜์—ฌ ๋ถ„์ž ๊ทœ๋ชจ์˜ ๊ทœ์น™ํ™”๊ฐ€ ์ผ์–ด๋‚˜๊ณ , ์ด ๊ณผ์ •์—์„œ ๋ฐœ์—ด ๋ฐ˜์‘์ด ๋‚˜ํƒ€๋‚˜๋Š” ๊ฒƒ์ด๋‹ค.

๊ทธ๋ฆผ 4์˜ CR ์‹œํŽธ์€ 130-520 ยฐC์—์„œ 3๊ฐœ์˜ ๋ฐœ์—ด ๋ฐ˜์‘์„ ๋ณด์ด๋Š” ์ ์€ WQ ์‹œํŽธ๊ณผ ๋‹ค๋ฅด๋‹ค. ์šฐ์„  ์ค‘์š”ํ•œ ์ฐจ์ด๋Š” CR ์ฒ˜๋ฆฌ๊ฐ€ SRO ๋ฐ˜์‘์„ 130 ยฐC ๋ถ€๊ทผ๊นŒ์ง€ ๋‚ฎ์ถ˜๋‹ค๋Š” ๊ฒƒ์ด๋‹ค. WQ ์‹œํŽธ์€ 530 ยฐC ์ •๋„์— ๋ฐœ์—ด์ด ์‹œ์ž‘๋˜๋Š”๋ฐ, CR ์žฌ๋ฃŒ๋Š” 130 ยฐC๋ถ€๊ทผ์—์„œ ๋ฐœ์—ด ๋ฐ˜์‘์ด ์‹œ์ž‘๋œ๋‹ค. CR ์žฌ๋ฃŒ๋Š” SA ์žฌ๋ฃŒ๋ณด๋‹ค ์•ฝ 400 ยฐC ๋‚ฎ์€ ์˜จ๋„์—์„œ SRO ๋ฐ˜์‘์„ ์ผ์œผํ‚ค๋ฏ€๋กœ CR ์žฌ๋ฃŒ๋Š” SA ์žฌ๋ฃŒ๋ณด๋‹ค ๋” ์‰ฝ๊ฒŒ SRO ๋ฐ˜์‘์„ ์ผ์œผํ‚จ๋‹ค๋Š” ๊ฒƒ์„ ์•Œ ์ˆ˜ ์žˆ๋‹ค. ์ด ๊ฒฐ๊ณผ๋Š” CR ์žฌ๋ฃŒ๊ฐ€ SA ์žฌ๋ฃŒ๋ณด๋‹ค ๋” ๋‚ฎ์€ ์˜จ๋„์—์„œ ์†์ƒ์— ์ทจ์•ฝํ•œ ์ด์œ ๋ฅผ ์„ค๋ช…ํ•ด์ฃผ๋Š” ๋‹จ์„œ๊ฐ€ ๋  ์ˆ˜ ์žˆ๋‹ค. ์—ฐ๊ตฌ์ž๋“ค์€ ๊ฒฝํ—˜์ ์œผ๋กœ CR ์žฌ๋ฃŒ๋Š” SA ์ฒ˜๋ฆฌ๋œ ์žฌ๋ฃŒ์— ๋น„ํ•˜์—ฌ ๋‚ฎ์€ ์†์ƒ ์ €ํ•ญ์„ฑ์„ ๊ฐ€์ง€๊ธฐ ๋•Œ๋ฌธ์— ๊ฐ€์† ํšจ๊ณผ๋ฅผ ์–ป๊ธฐ ์œ„ํ•ด CR ์žฌ๋ฃŒ๋ฅผ ์‚ฌ์šฉํ•ด ์™”๋‹ค. ๋ƒ‰๊ฐ„ ๊ฐ€๊ณต์˜ ๊ฐ€์† ํšจ๊ณผ๊ฐ€ SRO ๋ฐ˜์‘์˜ ์†๋„ ์ฆ๊ฐ€ ๋•Œ๋ฌธ์ผ ์ˆ˜ ์žˆ๋‹ค. X-750 ์žฌ๋ฃŒ์—์„œ ๋‚˜ํƒ€๋‚˜๋Š” CR ํšจ๊ณผ๋Š” Alloy 600 (Ni-16Cr-9Fe) ํ•ฉ๊ธˆ์—์„œ๋„ ํ™•์ธ๋œ ๋ฐ” ์žˆ๋‹ค [6].

๊ทธ๋ฆผ 5๋Š” WQ X-750์„ 475 ยฐC์—์„œ 2,160 ์‹œ๊ฐ„ ๊ทœ์น™ํ™” ์ฒ˜๋ฆฌํ•œ ์‹œํŽธ(WQ+O)์˜ ์˜จ๋„์— ๋”ฐ๋ฅธ ๋น„์—ด์„ ๋‚˜ํƒ€๋‚ธ ๊ฒƒ์ด๋‹ค. ๊ฒ€์€ ์ƒ‰์€ WQ+O ์‹œํŽธ, ๋ถ‰์€ ์ƒ‰์€ WQ+O ์‹œํŽธ์„ 2์ฐจ DSC ๋ถ„์„ํ•œ ๊ฒƒ์ด๋‹ค. WQ+O ์‹œํŽธ์€ ์•ฝ 500-700 ยฐC ์‚ฌ์ด์—์„œ ํฐ ํก์—ด ๋ฐ˜์‘์„ ๋‚˜ํƒ€๋‚ธ๋‹ค. ๋ฐ˜๋ฉด, 750-920 ยฐC์—์„œ๋Š” ๋ฐœ์—ด ๋ฐ˜์‘์ด ๋‚˜ํƒ€๋‚œ๋‹ค. ์ด ์˜จ๋„ ๊ตฌ๊ฐ„์—์„œ ๋ฐœ์—ด ๋ฐ˜์‘์ด ๋‚˜ํƒ€๋‚˜๋Š” ์ด์œ ๋Š” 475 ยฐC ๊ทœ์น™ํ™” ์ฒ˜๋ฆฌํ•˜์—ฌ๋„ 750-920 ยฐC์—์„œ SRO ๋ฐ˜์‘์„ ์ผ์œผํ‚ค๋Š” Ni-Ti ๊ด€๋ จํ•œ SRO ๋ฐ˜์‘์€ ์ผ์–ด๋‚˜์ง€ ์•Š๋Š”๋‹ค๋Š” ์˜๋ฏธ์ด๋‹ค.

WQ+O ์‹œํŽธ์ด ํก์—ด ๋ฐ˜์‘์„ ๋ณด์ด๋Š” ์ด์œ ๋Š” 475 ยฐC์—์„œ 2,160 ์‹œ๊ฐ„ ๊ทœ์น™ํ™” ์ฒ˜๋ฆฌํ•˜๋Š” ๊ณผ์ •์—์„œ ๊ทœ์น™ํ™”๋˜์–ด ํ˜•์„ฑ๋œ SRO๊ฐ€ 500-700 ยฐC์—์„œ ๋ถˆ๊ทœ์น™ํ™” ๋˜๋ฉด์„œ ์—”ํŠธ๋กœํ”ผ๊ฐ€ ์ฆ๊ฐ€ํ•˜๊ธฐ ๋•Œ๋ฌธ์ด๋‹ค. ๋ฐ˜๋ฉด ๋ถ‰์€ ์ƒ‰์œผ๋กœ ํ‘œ์‹œ๋œ 2์ฐจ ๋ถ„์„ ๊ฒฐ๊ณผ๋Š” 500-700 ยฐC์—์„œ ํก์—ด ๋ฐ˜์‘์„ ๋ณด์ด์ง€ ์•Š๋Š”๋‹ค. ์ด๊ฒƒ์€ WQ+O ์‹œํŽธ์ด 1,100 ยฐC๊นŒ์ง€ ๊ฐ€์—ด๋˜๋ฉด์„œ SRO๋Š” ์ถฉ๋ถ„ํžˆ ๋ถ„ํ•ด๋˜๊ณ , FC ๊ณผ์ •์—์„œ Ni2Cr์ด๋‚˜ CrFe SRO ๋ฐ˜์‘์ด ์ผ์–ด๋‚˜์ง€ ์•Š์•˜๊ธฐ ๋•Œ๋ฌธ์ด๋‹ค. ๊ฒ€์€ ์„ ๊ณผ ๋ถ‰์€ ์„  ์‚ฌ์ด์˜ ๋ฉด์  ์ฐจ์ด๋Š” ์—”ํŠธ๋กœํ”ผ๊ฐ€ ์ฆ๊ฐ€ํ•˜๋Š” ๊ณผ์ •์—์„œ WQ+O ์‹œํŽธ์ด ํก์ˆ˜ํ•˜๊ฒŒ ๋œ ์—ด๋Ÿ‰์œผ๋กœ 10 J/g ์ •๋„์ด๋‹ค.

WQ+O ์‹œํŽธ์—์„œ ๋‚˜ํƒ€๋‚˜๋Š” 2๊ฐœ์˜ ํก์—ด peak์— ๋Œ€ํ•œ Tc๋ฅผ ๊ตฌํ•œ ๊ฒฐ๊ณผ peak 1 ๋ฐ 2๋Š” ๊ฐ๊ฐ 553 ยฐC ๋ฐ 595 ยฐC๋กœ ๋‚˜ํƒ€๋‚ฌ๋‹ค. ํก์—ด peak 1(553 ยฐC)๋Š” ๊ทธ๋ฆผ 1์˜ ๋ฐœ์—ด peak 1(578 ยฐC) ๋ณด๋‹ค ์•ฝ 25 ยฐC ๋‚ฎ๊ณ , ํก์—ด peak 2(595 ยฐC)๋Š” ๋ฐœ์—ด peak 2(671 ยฐC)๋ณด๋‹ค 76 ยฐC ์ •๋„ ๋‚ฎ๋‹ค. WQ+O ์‹œํŽธ์˜ peak 1 ๋ฐ 2์— ๋Œ€ํ•œ Q๋Š” ๊ฐ๊ฐ 202 kJ/mol ๋ฐ 247 kJ/mol๋กœ ๋‚˜ํƒ€๋‚ฌ๋‹ค. ์ด ๊ฐ’๋“ค์€ ํ‘œ 4์— ์ •๋ฆฌ๋˜์–ด ์žˆ๋‹ค.

๊ทธ๋ฆผ 6์€ 20% ๋ƒ‰๊ฐ„ ๊ฐ€๊ณต๋œ ์žฌ๋ฃŒ๋ฅผ 475 ยฐC์—์„œ 2,160 ์‹œ๊ฐ„ aging ์ฒ˜๋ฆฌํ•œ CR+O ์žฌ๋ฃŒ์˜ DSC ๊ฒฐ๊ณผ๋ฅผ ๋‚˜ํƒ€๋‚ธ ๊ฒƒ์ด๋‹ค. ๊ฒ€์€ ์„ ์€ CR+O ์‹œํŽธ์˜ ๊ฒฐ๊ณผ์ด๊ณ , ๋ถ‰์€ ์„ ์€ ๊ฐ™์€ ์‹œํŽธ์„ 2๋ฒˆ์งธ DSC ๋ถ„์„ํ•œ ๊ฒฐ๊ณผ๋ฅผ ๋„์‹œํ•œ ๊ฒƒ์ด๋‹ค. ์ด๊ฒƒ์€ ๊ทธ๋ฆผ 5์— ๋ณด์ธ WQ+O ์‹œํŽธ์˜ ๊ฒฐ๊ณผ์™€ ๋งค์šฐ ํก์‚ฌํ•˜๋‹ค. ๋‹ค๋งŒ, CR+O ์‹œํŽธ์€ 450-680 ยฐC์—์„œ ํก์—ด ๋ฐ˜์‘์ด ๋‚˜ํƒ€๋‚˜๋ฉฐ WQ+O ์‹œํŽธ๋ณด๋‹ค ๋” ํฌ๋‹ค.

CR+O ์‹œํŽธ์˜ peak 1 ๋ฐ peak 2์˜ Tc๋Š” 554 ยฐC ๋ฐ 621 ยฐC๋กœ ๋‚˜ํƒ€๋‚ฌ๋‹ค. Tc๋ฅผ ๊ธฐ์ค€์œผ๋กœ ๋ณผ ๋•Œ, Peak 1์€ Ni2Cr์˜ ๋ถˆ๊ทœ์น™ํ™”์™€ ๊ด€๋ จ๋˜์–ด ์žˆ๊ณ , peak 2๋Š” FeCr์˜ ๋ถˆ๊ทœ์น™ํ™”์™€ ๊ด€๋ จ๋˜์–ด ๋ณด์ธ๋‹ค. X-750์—์„œ ํ•ฉ๊ธˆ ์›์†Œ๋กœ ๋“ค์–ด์žˆ๋Š” Cr๊ณผ Fe์˜ ํ•จ๋Ÿ‰์€ Ni-Cr ๋ฐ FeCr์—์„œ ๊ทœ์น™์ƒ์˜ ์›์ž ๋‹น๋Ÿ‰์ด ๋งž์ง€ ์•Š์œผ๋ฏ€๋กœ ์ƒํƒœ๋„์—์„œ ๋‚˜ํƒ€๋‚˜๋Š” ํ‰ํ˜• ์˜จ๋„๋ณด๋‹ค๋Š” ์•ฝ๊ฐ„ ๋‚ฎ์„ ๊ฒƒ์ด๋‹ค.

WQ+O ์‹œํŽธ์˜ Peak 1(Tc=553 ยฐC)์€ CR+O ์‹œํŽธ์˜ peak 1(Tc=554 ยฐC)์™€ ๋งค์šฐ ์œ ์‚ฌํ•˜์ง€๋งŒ, WQ+O ์‹œํŽธ์˜ peak 2(595 ยฐC)๋Š” CR+O ์‹œํŽธ์˜ peak 2(621 ยฐC)๋ณด๋‹ค ์•ฝ 26 ยฐC ์ •๋„ ๋‚ฎ๋‹ค. Peak 1์€ WQ+O๊ณผ CR+O ์‹œํŽธ์ด ๊ฐ™์€ SRO ์„ฑ๋ถ„์˜ ๋ถˆ๊ทœ์น™ํ™”์— ์˜ํ•œ ๊ฒƒ์ด๋ผ๋Š” ์˜๋ฏธ์ด๋‹ค. Peak 2์˜ ๋ถˆ๊ทœ์น™ํ™” ์˜จ๋„๊ฐ€ 26 ยฐC ์ •๋„ ๋†’๊ฒŒ ๋‚˜ํƒ€๋‚œ ๊ฒƒ์€ CR ์‹œํŽธ์˜ ๊ทœ์น™ํ™” ์˜จ๋„๋Š” 130 ยฐC ์ •๋„์—์„œ ์‹œ์ž‘๋˜๊ธฐ ๋•Œ๋ฌธ์— DSC ๋ถ„์„ ๊ณผ์ •์—์„œ ๊ทœ์น™ํ™”๊ฐ€ ์ง„ํ–‰๋˜๋Š” ์‹œ๊ฐ„์ด ๊ธธ์–ด์„œ SRO ์ƒ์ด ๋” ๋งŽ์ด ํ˜•์„ฑ๋˜์—ˆ๊ธฐ ๋•Œ๋ฌธ์œผ๋กœ ๋ณด์ธ๋‹ค. ์ด๊ฒƒ์€ ๊ทธ๋ฆผ 5 ๋ฐ 6์— ๋ณด์ธ ํก์—ด ๋ฐ˜์‘์˜ Cp๊ฐ€ CR+O ์‹œํŽธ์—์„œ ๋” ๋†’์€ ๊ฒƒ์œผ๋กœ๋ถ€ํ„ฐ ํ™•์ธํ•  ์ˆ˜ ์žˆ๋‹ค.

Tc๋Š” ๊ทธ ์˜จ๋„ ์ด์ƒ์—์„œ๋Š” ๋ถˆ๊ทœ์น™ํ™”๊ฐ€ ์ผ์–ด๋‚˜๊ณ  ๊ทธ ์˜จ๋„ ์ดํ•˜์—์„œ๋Š” ๊ทœ์น™ํ™”๊ฐ€ ์ผ์–ด๋‚˜๋Š” ์˜จ๋„์ด๋‹ค. CR+O ์‹œํŽธ์—์„œ Tc๊ฐ€ ๋‚ฎ์•„์ง€๋Š” ์ด์œ  ์ค‘ ํ•˜๋‚˜๋Š” ๋ƒ‰๊ฐ„ ๊ฐ€๊ณต์— ์˜ํ•˜์—ฌ ์žฌ๋ฃŒ ๋‚ด์— ์œ ์ž…๋œ ์—”ํŠธ๋กœํ”ผ๊ฐ€ ์ฆ๊ฐ€ํ•˜์—ฌ ๊ทœ์น™ํ™”์— ๋Œ€ํ•œ ๊ตฌ๋™๋ ฅ์„ ์ถ”๊ฐ€์ ์œผ๋กœ ์ œ๊ณตํ•˜์—ฌ ๊ทœ์น™ํ™”๊ฐ€ ์ด‰์ง„๋˜๊ธฐ ๋•Œ๋ฌธ์ด๋‹ค. ๋‹ค๋ฅธ ํ•˜๋‚˜๋Š” 1,100 ยฐC์—์„œ ๊ณ ์šฉ๋œ ํƒ„์†Œ๊ฐ€ WQ ์ฒ˜๋ฆฌ์˜ ๊ฒฝ์šฐ ๊ฑฐ์˜ ๋‹ค ๊ฒฉ์ž์— ๊ณ ์šฉ๋œ ์ƒํƒœ๋กœ ๋‚จ๊ฒŒ ๋˜๋Š”๋ฐ, ์ด๋ ‡๊ฒŒ ๊ณ ์šฉ ํƒ„์†Œ๊ฐ€ ๋งŽ์•„์ง€๋ฉด ์›์ž์˜ ํ™•์‚ฐ์„ ์–ด๋ ต๊ฒŒ ๋งŒ๋“ค์–ด์„œ ๊ทœ์น™ํ™”๊ฐ€ ์–ด๋ ค์›Œ์ง€๊ฒŒ ๋˜๊ณ  ์ด๋Ÿฐ ์ด์œ ๋กœ Tc๋Š” ๋†’์•„์ง€๊ฒŒ ๋œ๋‹ค. ๊ทธ๋Ÿฌ๋‚˜ CR+O ์‹œํŽธ์€ ๊ทœ์น™ํ™” ์ฒ˜๋ฆฌ ๊ณผ์ •์—์„œ SRO์— ๋Œ€ํ•œ ๊ตฌ๋™๋ ฅ๋„ ํฌ์ง€๋งŒ ํƒ„ํ™”๋ฌผ ์„์ถœ์— ์šฉ์ดํ•œ ๋‚ด๋ถ€ ๊ฒฐํ•จ์„ ๊ฐ€์ง€๊ณ  ์žˆ์–ด์„œ ๊ณ ์šฉ ํƒ„์†Œ๊ฐ€ ํƒ„ํ™”๋ฌผ๋กœ ์„์ถœํ•˜๊ธฐ ์šฉ์ดํ•˜๋‹ค. ๋”ฐ๋ผ์„œ ๊ฒฉ์ž ๋‚ด์— ๋‚จ์•„ ์žˆ๋Š” ๊ณ ์šฉ ํƒ„์†Œ๊ฐ€ ์ค„์–ด๋“ค์–ด ๋‚ฎ์€ ์˜จ๋„์—์„œ ํ™•์‚ฐ์ด ์‰ฌ์›Œ์ง€๊ธฐ ๋•Œ๋ฌธ์— Tc๊ฐ€ ๋‚ฎ์•„์ง€๋Š” ๊ฒƒ์œผ๋กœ ๋ณด์ธ๋‹ค.

Peak 1 ๋ฐ 2์— ๋Œ€ํ•œ Q๋Š” ๊ฐ๊ฐ 239 kJ/mol ๋ฐ 245 kJ/mol๋กœ ๋‚˜ํƒ€๋‚ฌ๋‹ค. ์ด๊ฒƒ์€ ์ž๊ธฐ ํ™•์‚ฐ์˜ Q๋ฅผ ๊ธฐ์ค€์œผ๋กœ ๋ณผ ๋•Œ Fe์˜ ํ™•์‚ฐ๊ณผ ๊ด€๋ จ๋˜์–ด ์žˆ๋Š” ๊ฒƒ์œผ๋กœ ์ถ”์ธก๋œ๋‹ค. CR+O ์‹œํŽธ์— ๋Œ€ํ•œ Q ๋ฐ Tc๋Š” ํ‘œ 4์— ์ •๋ฆฌ๋˜์–ด ์žˆ๋‹ค.

4. ๋…ผ ์˜

์—ด์—ญํ•™ ์ œ2๋ฒ•์น™์€ ฮ”S = ฮ”H/T (๋˜๋Š” ฮ”Q/T)๋กœ ํ‘œํ˜„๋œ๋‹ค. ์ด๊ฒƒ์€ ์—ด์€ ๋†’์€ ์˜จ๋„์—์„œ ๋‚ฎ์€ ์˜จ๋„๋กœ ์ด๋™ํ•˜๊ณ , ์ „์ฒด ๊ณ„์˜ ์—”ํŠธ๋กœํ”ผ๊ฐ€ ์ฆ๊ฐ€ํ•˜๋Š” ๋ฐฉํ–ฅ์œผ๋กœ ๋ฐ˜์‘์ด ์ผ์–ด๋‚œ๋‹ค๋Š” ์˜๋ฏธ์ด๋‹ค. ๋ณธ ์—ฐ๊ตฌ์—์„œ ์‚ฌ์šฉํ•œ WQ X-750 ์‹œํŽธ์ด ๋ฐฉ์ถœํ•˜๋Š” ์—ด์€ ์ฃผ์œ„๋กœ ์ „๋‹ฌ๋˜์–ด ํฉ์–ด์ง„๋‹ค. SRO ๋ฐ˜์‘์œผ๋กœ ์—”ํŠธ๋กœํ”ผ์— ๊ฐ์†Œ(-ฮ”S)์— ์˜ํ•œ ๋ฐœ์—ด(-ฮ”H)์€ ๋†’์€ ์˜จ๋„ THigh์—์„œ TCold๋กœ ๋ฐฉ์ถœ๋˜๋ฏ€๋กœ -ฮ”H/TH (=-ฮ”SHigh) < -ฮ”H/Tc (=-ฮ”SCold)์˜ ๊ด€๊ณ„๊ฐ€ ์„ฑ๋ฆฝํ•œ๋‹ค. ์ฆ‰, X-750์—์„œ ๊ด€์ฐฐ๋˜๋Š” ๊ณ„์˜ ์—”ํŠธ๋กœํ”ผ ๊ฐ์†Œ๋Š” ์—ด์—ญํ•™ ์ œ2๋ฒ•์น™์— ์œ„๋ฐฐ๋˜์ง€ ์•Š๋Š”๋‹ค. ๋”ฐ๋ผ์„œ ์šฐ๋ฆฌ๊ฐ€ ๊ด€์ฐฐํ•˜๋Š” ํŠน์ •ํ•œ ๊ณ„์—์„œ์˜ ์—”ํŠธ๋กœํ”ผ ์ฆ๊ฐ€๋‚˜ ๊ฐ์†Œ์— ๋Œ€ํ•˜์—ฌ ํ•ด์„ํ•˜๋Š” ๊ฒƒ์ด ์ค‘์š”ํ•˜๋‹ค.

๊ทธ๋ฆผ 7์€ SRO ํ˜„์ƒ์„ ์‰ฝ๊ฒŒ ์„ค๋ช…ํ•˜๊ธฐ ์œ„ํ•˜์—ฌ ์›์ž ๋ฐฐ์—ด์„ 2์ฐจ์›์œผ๋กœ ๋‚˜ํƒ€๋‚ธ ๋„ํ‘œ์ด๋‹ค. ์ด ๋„ํ‘œ์—์„œ ๊ฐ€์žฅ ์ค‘์š”ํ•œ ๊ฒƒ์€ ์›์ž๊ฐ€ ์›์œผ๋กœ ํ‘œ์‹œ๋˜์ง€ ์•Š๊ณ  ํƒ€์›์œผ๋กœ ํ‘œ์‹œ๋˜์—ˆ๋‹ค๋Š” ๊ฒƒ์ด๋‹ค. ์›์ž๋Š” ๊ตฌ๋ผ๊ณ  ๊ฐ€์ •๋˜๋Š” ๊ฒฝ์šฐ๊ฐ€ ๋งŽ์ง€๋งŒ ์‹ค์ œ๋Š” ๊ตฌ๊ฐ€ ์•„๋‹ˆ๋‹ค. ์—ฌ๋Ÿฌ ๊ต๊ณผ์„œ์—์„œ ์›์ž๋ฅผ ๊ตฌ๋ผ๊ณ  ๊ฐ€์ •ํ•ด ์˜จ ์ด์œ ๋Š” ๋…ผ์˜์˜ ํŽธ์˜์„ฑ์„ ์œ„ํ•œ ๊ฒƒ์ด๋ผ๋Š” ์ ์„ ์œ ์˜ํ•ด์•ผ ํ•œ๋‹ค. ๋ฌผ๋ก  ์›์ž๋Š” ํƒ€์›์ฒด๋„ ์•„๋‹ˆ์ง€๋งŒ ์—ฌ๊ธฐ์„œ๋Š” ํƒ€์›์ฒด๋ผ๊ณ  ๊ฐ€์ •ํ•œ๋‹ค. ์—ฌ๊ธฐ์„œ ์›์ž๋ฅผ ๊ตฌ๊ฐ€ ์•„๋‹ˆ๋ผ ํƒ€์›์ฒด๋ผ๊ณ  ๊ฐ•์กฐํ•˜๋Š” ์ด์œ ๋Š” ์›์ž ๋ฐฐ์—ด์˜ ์กฐํ•ฉ์ด ์›์ž์˜ ์žฅ์ถ• ๋ฐฉํ–ฅ์— ๋”ฐ๋ผ ํฌ๊ฒŒ ์ฆ๊ฐ€ํ•˜๋Š” ๊ฒƒ์„ ์„ค๋ช… ํ•  ์ˆ˜ ์žˆ๊ธฐ ๋•Œ๋ฌธ์ด๋‹ค.

๊ทธ๋ฆผ 7์—๋Š” ๋ฌด๋Šฌ๊ฐ€ ํ‘œ์‹œ๋œ ์›์ž(A)์™€ ๋ฌด๋Šฌ๊ฐ€ ๋“ค์–ด ์žˆ์ง€ ์•Š์€ ์›์ž(B)๊ฐ€ 1:1๋กœ ์„ž์—ฌ ์žˆ๋‹ค. ์ด ๋„ํ‘œ๋Š” (๊ฐ€) ์›์ž A์™€ B๊ฐ€ ์„ž์ด๋Š” ๊ฒƒ๊ณผ ๊ด€๋ จํ•œ ์ด์ข… ์›์ž ์‚ฌ์ด์˜ ์—”ํŠธ๋กœํ”ผ์™€ (๋‚˜) ์›์ž๊ฐ€ ๋‹ค๋ฅธ ์›์ž๋ฅผ ๋งŒ๋‚  ๋•Œ ํƒ€์›์˜ ์žฅ์ถ•์ด๋‚˜ ๋‹จ์ถ• ๋ฐฉํ–ฅ์ด ๋งŒ๋‚˜๋Š” ๋ฐฉ์œ„๊ฐ€ ๋‹ฌ๋ผ์ง€๋Š” ๊ฒƒ์— ๊ธฐ์ธํ•œ ์—”ํŠธ๋กœํ”ผ๋ฅผ ์„ค๋ช…ํ•˜๊ธฐ ์œ„ํ•œ ๊ฒƒ์ด๋‹ค.

๊ทธ๋ฆผ 7 (a)๋Š” ์™„์ „ํžˆ ๊ทœ์น™ํ™”๊ฐ€ ์ผ์–ด๋‚œ ์žฅ ๋ฒ”์œ„ ๊ทœ์น™(long range order, LRO) ์ƒํƒœ, (b)๋Š” ์ค‘๊ฐ„ ์ •๋„์˜ ๊ทœ์น™ํ™”๊ฐ€ ์ผ์–ด๋‚œ ๋‹จ ๋ฒ”์œ„ ๊ทœ์น™ (SRO) ์ƒํƒœ, (c)๋Š” ๋†’์€ ๋ถˆ๊ทœ์น™(disorder) ์ƒํƒœ๋ฅผ ๋‚˜ํƒ€๋‚ธ ๊ฒƒ์ด๋‹ค. ๋„ํ‘œ ํ•˜๋‹จ์— ํ‘œ์‹œ๋˜์–ด ์žˆ์ง€๋งŒ ์›์ž์˜ ๋ฐฐ์—ด ์ƒํƒœ๊ฐ€ ์˜ค๋ฅธ์ชฝ์œผ๋กœ ์ด๋™ํ•˜๋ฉด ์—”ํŠธ๋กœํ”ผ๊ฐ€ ์ฆ๊ฐ€ํ•˜๊ณ , ๋ฐ˜๋Œ€๋กœ ์™ผ์ชฝ์œผ๋กœ ์ด๋™ํ•˜๋ฉด ์—”ํŠธ๋กœํ”ผ๊ฐ€ ๊ฐ์†Œํ•œ๋‹ค.

๊ทธ๋ฆผ 7์—๋Š” ๋ถ‰์€ ํŒŒ์„ ์˜ ๋™์ผํ•œ ํฌ๊ธฐ์˜ ์ƒ์ž๊ฐ€ ํ‘œ์‹œ๋˜์–ด ์žˆ๋‹ค. ์ง๊ด€์ ์œผ๋กœ ์•Œ ์ˆ˜ ์žˆ๋“ฏ์ด (a) ์ƒํƒœ์—์„œ (b) ์ƒํƒœ๋กœ ๊ฐ€๊ฑฐ๋‚˜, (b) ์ƒํƒœ์—์„œ (c) ์ƒํƒœ๋กœ ๊ฐ€๋ฉด ๋ถ‰์€ ์ƒ์ž ๋ฐ–์œผ๋กœ ๋‚˜๊ฐ€๋Š” ๋ฉด์ ์ด ์ฆ๊ฐ€ํ•˜๋Š” ๊ฒƒ์„ ์•Œ ์ˆ˜ ์žˆ๋‹ค. ์ฆ‰, ์˜ค๋ฅธ์ชฝ ๋ฐฉํ–ฅ์œผ๋กœ ๊ฐ€๋ฉด ๋ถˆ๊ทœ์น™ํ™” ๋˜๋ฉด์„œ ๋ถ€ํ”ผ๊ฐ€ ๋Š˜์–ด๋‚˜๋Š” ๋ฐ˜๋ฉด, ์™ผ์ชฝ์œผ๋กœ ๊ฐ€๋ฉด ๊ทœ์น™ํ™”๊ฐ€ ์ผ์–ด๋‚˜๊ฒŒ ๋˜๋ฉฐ ๋ถ€ํ”ผ๊ฐ€ ์ค„์–ด๋“ ๋‹ค.

์—”ํŠธ๋กœํ”ผ๋Š” ๋ฌด์งˆ์„œํ•˜๋ฉด ์ฆ๊ฐ€ํ•˜๋Š” ๊ฒƒ์ด๋‹ค. ๊ทธ๋ฆผ 7 (a)๋Š” A์™€ B ์›์ž๊ฐ€ 1:1๋กœ LRO๋ฅผ ์ด๋ฃจ๊ณ  ์žˆ์–ด ๊ฐ€์žฅ ๊ทœ์น™ํ™” ๋˜์–ด ์žˆ์–ด A์™€ B ์›์ž์˜ ํ˜ผํ•ฉ ์—”ํŠธ๋กœํ”ผ๋Š” ๋†’์ง€๋งŒ ์›์ž ๋ฐฉํ–ฅ์— ์˜ํ•œ ์ „์ฒด์ ์ธ ์—”ํŠธ๋กœํ”ผ๋Š” ๋‚ฎ๋‹ค. (b)๋Š” (a) ์ƒํƒœ๊ฐ€ ํํŠธ๋Ÿฌ์ ธ์„œ ๋ฐฐ์—ด ์—”ํŠธ๋กœํ”ผ๋Š” ์ฆ๊ฐ€ํ•œ ์ƒํƒœ์ด๋‹ค. (b)์—๋Š” A๋ผ๊ณ  ํ‘œ์‹œ๋œ ์ดˆ๋ก์ƒ‰์˜ ํŒŒ์„ ์ด ๊ทธ๋ ค์ ธ ์žˆ๋‹ค. ์ด ๋ถ€๋ถ„์˜ ์›์ž ํ˜ผํ•ฉ ์ƒํƒœ๋Š” (a)์˜ ๊ฐ™์€ ์œ„์น˜์™€ ๊ฑฐ์˜ ๊ฐ™๋‹ค. ๊ทธ๋Ÿฌ๋‚˜ ์›์ž์˜ ์žฅ์ถ• ๋ฐฉํ–ฅ ๋ฐฐ์—ด์ด ๋‹ฌ๋ผ์ ธ ์žˆ์–ด์„œ ์—”ํŠธ๋กœํ”ผ๊ฐ€ ๋” ๋†’๋‹ค. ๊ทธ๋ฆผ 7 (b)๋Š” ํƒ€์›์˜ ์žฅ์ถ•์ด ์ˆ˜ํ‰์ด๋‚˜ ์ˆ˜์ง์œผ๋กœ๋งŒ ๋†“์—ฌ ์žˆ๋Š” ๋ฐ˜๋ฉด, (c)๋Š” ์›์ž A์™€ B๊ฐ€ 45ยฐ ํšŒ์ „๋˜์–ด ์žˆ๋‹ค๋Š” ๊ฒƒ์— ์œ ์˜ํ•ด์•ผ ํ•œ๋‹ค. A์™€ B ์›์ž์˜ ๋ฐฐ์—ด์ด ๊ฐ™์•„๋„ ํƒ€์›์˜ ์žฅ์ถ•์˜ ๋ฐฉํ–ฅ์ด ๋‹ค๋ฅด๋ฉด ๋” ๋ฌด์งˆ์„œํ•˜๊ณ  ์—”ํŠธ๋กœํ”ผ๊ฐ€ ์ฆ๊ฐ€ํ•œ๋‹ค. ์ฆ‰ (a) โ†’ (b) โ†’ (c)๋Š” ๋ฐฉํ–ฅ์œผ๋กœ ๊ฐ€๋ฉด ๋ถˆ๊ทœ์น™ํ™” ๋˜๊ณ  ์—”ํŠธ๋กœํ”ผ๊ฐ€ ์ฆ๊ฐ€ํ•œ๋‹ค. ์—”ํŠธ๋กœํ”ผ๋Š” A์™€ B ์›์ž์˜ ํ˜ผํ•ฉ ์ƒํƒœ์— ๋”ฐ๋ผ์„œ ๋งŒ ๊ฒฐ์ •๋˜๋Š” ๊ฒƒ์ด ์•„๋‹ˆ๋ผ๋Š” ์ ์„ ์œ ์˜ํ•  ํ•„์š”๊ฐ€ ์žˆ๋‹ค.

๊ทธ๋ฆผ 7์—์„œ ์„ค๋ช…ํ•˜๋ ค๊ณ  ํ•˜๋Š” ๊ฒƒ์€ ๊ทœ์น™ํ™”๋ผ๋Š” ๊ฐœ๋…์— ๋Œ€ํ•œ ๊ฒƒ์ด๋‹ค. ์ด ๋„ํ‘œ์—์„œ ์˜ค๋ฅธ ์ชฝ์œผ๋กœ ์ด๋™ํ•˜๋Š” ๊ฒƒ์€ ๋ถˆ๊ทœ์น™ํ™”(disordering), ์™ผ์ชฝ์œผ๋กœ ์ด๋™ํ•˜๋Š” ๊ฒƒ์€ ๊ทœ์น™ํ™”(ordering)์ด๋‹ค. ๋‹ค๋ฅด๊ฒŒ ํ‘œํ˜„ํ•˜๋ฉด ๊ทœ์น™ํ™”๋Š” ์ƒ๋Œ€์ ์ธ ๊ฐœ๋…์ด๋ผ๊ณ  ํ•  ์ˆ˜ ์žˆ์œผ๋ฉฐ, ๋ณ€ํ™”๋˜๊ธฐ ์ด์ „๋ณด๋‹ค ์—”ํŠธ๋กœํ”ผ๊ฐ€ ๋†’์€ ์ƒํƒœ๋กœ ๊ฐ€๋Š” ๊ฒƒ์„ ๋ถˆ๊ทœ์น™ํ™”๋ผ๊ณ  ํ•˜๊ณ  ๋ฐ˜๋Œ€๋กœ ์—”ํŠธ๋กœํ”ผ๊ฐ€ ๋‚ฎ์€ ์ƒํƒœ๋กœ ๊ฐ€๋Š” ๊ฒƒ์€ ๊ทœ์น™ํ™”๋ผ๊ณ  ํ•œ๋‹ค.

์—ด์—ญํ•™์—์„œ ์—”ํƒˆํ”ผ ์ฐจ์ด๋Š” โˆ†G = โˆ†E + Pโˆ†V โˆ’ Tโˆ†S๋กœ ํ‘œ์‹œ๋˜์ง€๋งŒ, ๊ณ ์ฒด์—์„œ Pฮ”V๋Š” ๋ฌด์‹œํ•  ๋งŒํผ ์ž‘์œผ๋ฏ€๋กœ ๋ฌด์‹œํ•˜๊ณ  ฮ”H = ฮ”E ๋ผ๊ณ  ๋ฐฐ์› ๋‹ค. ๋ณธ ์—ฐ๊ตฌ์—์„œ WQ ์‹œํŽธ์ด๋‚˜ CR ์‹œํŽธ์—์„œ ๋‚˜ํƒ€๋‚˜๋Š” ๋ฐœ์—ด(Q)์€ ์—”ํŠธ๋กœํ”ผ ๊ฐ์†Œ์— ์˜ํ•œ ๊ฒƒ์ด๋‹ค. ๋”ฐ๋ผ์„œ ์—”ํƒˆํ”ผ(H)๋‚˜ ๋‚ด๋ถ€ ์—๋„ˆ์ง€(E)์˜ ๋ณ€ํ™”๊ฐ€ ์—†๋‹ค๋ฉด Q = Tฮ”S = Pฮ”V๊ฐ€ ๋œ๋‹ค. ๋”ฐ๋ผ์„œ WQ ์ฒ˜๋ฆฌ๋‚˜ ๋ƒ‰๊ฐ„ ๊ฐ€๊ณต์—์„œ ์—”ํŠธ๋กœํ”ผ๊ฐ€ ์œ ์ž…๋˜๋ฉด ๊ฒฉ์ž๋Š” ํŒฝ์ฐฝํ•˜๊ณ , ์—”ํŠธ๋กœํ”ผ๊ฐ€ ๊ฐ์†Œํ•˜๋ฉด ๊ฒฉ์ž๊ฐ€ ์ˆ˜์ถ•ํ•œ๋‹ค. ์ง€๊ธˆ๊นŒ์ง€ ๊ต๊ณผ์„œ๋Š” ์—”ํŠธ๋กœํ”ผ ๊ฐ์†Œ๊ฐ€ ๊ฒฉ์ž ์ˆ˜์ถ•์„ ์œ ๋ฐœํ•˜๋Š” ํšจ๊ณผ๋ฅผ ์•„์˜ˆ ๋‹ค๋ฃจ์ง€ ์•Š์•˜์—ˆ๊ธฐ ๋•Œ๋ฌธ์— ์ด๊ฒƒ์„ ์ดํ•ดํ•˜์ง€ ๋ชป ํ•˜์˜€๋‹ค.

๋ณธ ๋…ผ๋ฌธ์˜ ์ฒซ ๋‹จ๊ณ„๋Š” X-750 ์žฌ๋ฃŒ์—์„œ SRO ํ˜„์ƒ์ด ์กด์žฌํ•˜๋Š” ์ง€์— ๋Œ€ํ•ด ํ™•์ธํ•˜๋Š” ๊ฒƒ์ด๋‹ค. ์œ„์—์„œ ํ™•์ธํ•œ ๋ฐ”์™€ ๊ฐ™์ด DSC ๋ถ„์„์„ ํ†ตํ•ด์„œ X-750์€ SRO ๋ฐ˜์‘์„ ์ผ์–ด๋‚˜๋Š” ๊ฒƒ์„ ํ™•์ธํ•˜์˜€๋‹ค. SRO ๋ฐ˜์‘์ด ๊ฒฉ์ž ์ˆ˜์ถ•์„ ์œ ๋ฐœํ•˜๋Š” ๊ฒƒ์€ ๋งŽ์ด ๋ณด๊ณ ๋˜์–ด ์žˆ๋‹ค [5,9-17]. ๋‹ค์–‘ํ•œ Ni-base ํ•ฉ๊ธˆ์˜ ๋‹จ๋ฒ”์œ„ ๊ทœ์น™ํ™” ๋ฐ˜์‘์˜ ํšจ๊ณผ๋ฅผ ์—ฐ๊ตฌํ•œ Marucco ๋“ฑ์— ๋”ฐ๋ฅด๋ฉด SRO ๋ฐ˜์‘์€ ๊ฒฉ์ž ๋ณ€ํ™”์— ๋”ฐ๋ฅธ ๊ธธ์ด ๋ณ€ํ™”, ์ „๊ธฐ์  ๋ฐ ์—ด์  ์„ฑ์งˆ ๋ณ€ํ™”, planar ์ „์œ„์˜ ํ˜•์„ฑ์— ์˜ํ•œ ๊ธฐ๊ณ„์  ์„ฑ์งˆ์˜ ๋ณ€ํ™”, ๊ฒฉ์ž ์ˆ˜์ถ• ๋ฐ ์Œ์˜ ํฌ๋ฆฌํ”„ ๋“ฑ์„ ์ผ์œผํ‚จ๋‹ค๊ณ  ๋ณด๊ณ ๋˜์–ด ์žˆ๋‹ค. ๊ทธ๋Ÿฌ๋‚˜ ์ค‘์š”ํ•œ ๊ฒƒ์€ SRO ๋ฐ˜์‘์€ X-750 ์žฌ๋ฃŒ์— ๊ตญํ•œ๋˜์ง€ ์•Š๊ณ  ์—”ํŠธ๋กœํ”ผ๊ฐ€ ๋‚จ์•„ ์žˆ๋Š” ๋ชจ๋“  ์žฌ๋ฃŒ์—์„œ๋Š” ์ผ์–ด๋‚˜๋Š” ํ˜„์ƒ์ด๋ผ๋Š” ๊ฒƒ์ด๋‹ค.

๋ณธ ๋…ผ๋ฌธ์˜ ๋ชฉํ‘œ๋Š” X-750 ํ•ฉ๊ธˆ์—์„œ ๊ทœ์น™ ๋ฐ˜์‘์˜ ์กด์žฌ์™€ ๊ทธ์— ๋”ฐ๋ฅธ ๊ฒฉ์ž ์ˆ˜์ถ•์„ ํ™•์ธํ•˜๋Š” ๊ฒƒ์ด๋‹ค. ๊ทธ๋ฆผ 8์€ CuKa X-ray๋ฅผ ์ด์šฉํ•˜์—ฌ WQ, FC, CR ์ฒ˜๋ฆฌ ํ›„ 475 ยฐC ๊ทœ์น™ํ™” ์‹œ๊ฐ„์— ๋”ฐ๋ฅธ (200) ๋ฉด๊ฐ„ ๊ฑฐ๋ฆฌ์˜ ๋ณ€ํ™”๋ฅผ ํ•จ๊ป˜ ๋น„๊ตํ•˜์—ฌ ๋‚˜ํƒ€๋‚ธ ๊ฒƒ์ด๋‹ค. ๊ทœ์น™ํ™” ์ฒ˜๋ฆฌ ์ดˆ๊ธฐ์—๋Š” ๊ฒฉ์ž์˜ ํฌ๊ธฐ๊ฐ€ ์ฆ๊ฐ€ํ•˜๋Š” ๊ฒฝ์šฐ๋„ ์žˆ์œผ๋‚˜ ๊ทœ์น™ํ™” ์‹œ๊ฐ„์˜ ์ฆ๊ฐ€์— ๋”ฐ๋ผ ์ ์ง„์ ์œผ๋กœ(200) ๋ฉด์˜ ๊ฑฐ๋ฆฌ๊ฐ€ ์ค„์–ด๋“ ๋‹ค. FC, WQ, CR ์‹œํŽธ์€ 475 ยฐC์—์„œ 2,160์‹œ๊ฐ„ ๋™์•ˆ ๊ทœ์น™ํ™” ์ฒ˜๋ฆฌํ•˜๋ฉด ๊ฐ๊ฐ 0.03, 0.08, 0.09% ์ •๋„ ์ˆ˜์ถ•ํ•œ๋‹ค. ๊ณ ์˜จ์—์„œ WQ ์ฒ˜๋ฆฌํ•˜๊ฑฐ๋‚˜ ๋ƒ‰๊ฐ„ ๊ฐ€๊ณตํ•˜๋ฉด ์—”ํŠธ๋กœํ”ผ๊ฐ€ ์ฆ๊ฐ€ํ•˜๊ณ  ๊ฒฉ์ž๋Š” ํŒฝ์ฐฝํ•œ๋‹ค. ์ด ์žฌ๋ฃŒ๋ฅผ ๊ทœ์น™ํ™” ์ฒ˜๋ฆฌํ•˜๋ฉด ์—”ํŠธ๋กœํ”ผ๊ฐ€ ๊ฐ์†Œํ•˜๋ฉด์„œ ๊ฒฉ์ž ์ˆ˜์ถ•์ด ์ผ์–ด๋‚œ๋‹ค. FC, WQ, CR ์‹œํŽธ์—์„œ ๊ฒฉ์ž ์ˆ˜์ถ•์ด ์ ์ฐจ ์ปค์ง€๋Š” ๊ฒƒ์€ ๊ทœ์น™ํ™” ์ฒ˜๋ฆฌ ๊ณผ์ •์—์„œ ๋ฐฉ์ถœ๋˜๋Š” ์—”ํŠธ๋กœํ”ผ์˜ ์–‘์ด ์ปค์ง€๊ธฐ ๋•Œ๋ฌธ์ด๋‹ค.

DSC ๋ถ„์„์„ ํ†ตํ•ด์„œ X-750์€ SRO ๋ฐ˜์‘์„ ์ผ์–ด๋‚˜๋Š” ๊ฒƒ์„ ํ™•์ธํ•˜์˜€์œผ๋ฉฐ, XRD ๋ถ„์„์œผ๋กœ ๊ฒฉ์ž ์ˆ˜์ถ•์„ ์ผ์–ด๋‚˜๋Š” ๊ฒƒ์„ ํ™•์ธํ•˜์˜€๋‹ค. ๊ทธ๋Ÿฌ๋ฉด SRO ๋ฐ˜์‘์— ์˜ํ•œ ๊ฒฉ์ž ์ˆ˜์ถ•์€ ์ž…๋‚ด๋‚˜ ์ž…๊ณ„์— ๊ณต๋™(void)์„ ํ˜•์„ฑํ•  ์ˆ˜ ์žˆ๋Š”์ง€ ์ƒ๊ฐํ•ด ๋ณด์ž. ๊ทœ์น™ํ™” ๋˜๋ฉด์„œ 0.1% ์ •๋„์˜ ์ˆ˜์ถ•์€ 1,000๊ฐœ์˜ ์›์ž ๊ฑฐ๋ฆฌ์—์„œ 1๊ฐœ์˜ ์›์ž๋งŒํผ ์ค„์–ด๋“œ๋Š” ์–‘์ด๋‹ค. ์•ฝ 10 ฮผm์˜ ๊ธธ์ด๋Š” ์•ฝ 30,000๊ฐœ ์ •๋„์˜ ์›์ž๊ฐ€ ๋†“์ธ ๊ฑฐ๋ฆฌ์ด๊ณ  ์—ฌ๊ธฐ์„œ 0.1%๋ผ๋ฉด ์•ฝ 30๊ฐœ์˜ ์›์ž ์ž๋ฆฌ๊ฐ€ ๋น„๊ฒŒ ๋œ๋‹ค. ์ด ์ •๋„์˜ ์ˆ˜์ถ•์€ ์•ฝ 100A ์ •๋„์˜ void๋ฅผ ํ˜•์„ฑํ•œ๋‹ค. ์ด๋ ‡๊ฒŒ SRO ๋ฐ˜์‘์— ์˜ํ•œ ์ˆ˜์ถ•์€ ์ž…๋‚ด๋‚˜ ์ž…๊ณ„์—์„œ ์ƒ๊ธฐ๋Š” void์˜ ์ƒ์„ฑ๋˜๋Š” ์ง์ ‘์ ์ธ ์›์ธ์ด ๋  ์ˆ˜ ์žˆ๋‹ค.

X-750 garter spring์€ ์••๋ ฅ๊ด€์„ ๋‘˜๋Ÿฌ์‹ธ๊ณ  ์žˆ์œผ๋ฏ€๋กœ ํ•ต๋ถ„์—ด์— ๋”ฐ๋ฅธ ๊ณ ์† ์ค‘์„ฑ์ž ์กฐ์‚ฌ ํ™˜๊ฒฝ์— ๋…ธ์ถœ๋œ๋‹ค. Garter spring์ด ๋…ธ์ถœ๋˜๋Š” ์˜จ๋„๋Š” ๋Œ€๋žต 280-300 ยฐC ์ •๋„์ผ ๊ฒƒ์œผ๋กœ ๋ณด์ด๋ฉฐ, ๊ณ ์† ์ค‘์„ฑ์ž ์กฐ์‚ฌ ๊ณผ์ •์€ ํ˜•์ƒ์˜ ๋ณ€ํ™”๋Š” ์—†์ง€๋งŒ ์žฌ๋ฃŒ ๋‚ด๋ถ€์˜ ์›์ž ๋ฐฐ์—ด์„ ํฉํŠธ๋ฆฌ๊ธฐ ๋•Œ๋ฌธ์— ๋ถˆ๊ทœ์น™ํ™”๋ฅผ ์ผ์œผํ‚จ๋‹ค. ๊ทธ๋Ÿฌ๋‚˜ ๊ทธ๋ฆผ 4์— CR X-750์€ 130 ยฐC ์ด์ƒ์—์„œ๋Š” ๋ฐœ์—ด ๋ฐ˜์‘์„ ์ผ์œผํ‚ค๋ฉฐ ๊ทœ์น™ํ™”๋œ๋‹ค๋Š” ๊ฒƒ์„ ํ™•์ธํ•  ์ˆ˜ ์žˆ๋‹ค. 300 ยฐC ๋‚ด์™ธ์—์„œ ์‚ฌ์šฉ๋˜๋Š” X-750์—์„œ ๊ณ ์† ์ค‘์„ฑ์ž ์กฐ์‚ฌ๋Š” ๋ถˆ๊ทœ์น™ํ™”๋ฅผ ์ผ์œผํ‚ค๊ณ , ๋™์‹œ์— ์ด ์˜จ๋„์—์„œ X-750์€ ์—”ํŠธ๋กœํ”ผ ๊ฐ์†Œ๋ฅผ ์ผ์œผํ‚ค๋ฉฐ ๊ทœ์น™ํ™”๋œ๋‹ค. ์›์ž๋กœ๊ฐ€ ๊ฐ€๋™ํ•˜๋ฉด ๊ณ ์† ์ค‘์„ฑ์ž ์กฐ์‚ฌ๋Š” ์ง€์†๋˜๋ฏ€๋กœ X-750 ์žฌ๋ฃŒ์˜ ๊ทœ์น™ํ™”๋Š” ์ค‘์„ฑ์ž ์กฐ์‚ฌ๊ฐ€ ์—†๋Š” ํ™˜๊ฒฝ์—์„œ๋ณด๋‹ค ํ›จ์”ฌ ๋น ๋ฅด๊ณ  ์ค‘์„ฑ์ž ์กฐ์‚ฌ๊ฐ€ ์—”ํŠธ๋กœํ”ผ๋ฅผ ์ฆ๊ฐ€์‹œํ‚ค๋ฏ€๋กœ ์ง€์†์ ์œผ๋กœ ์ผ์–ด๋‚  ๊ฒƒ์ด๋‹ค. ์ฆ‰, ๋น„์กฐ์‚ฌ ์žฌ๋ฃŒ๋Š” ๊ทœ์น™ํ™” ํšจ๊ณผ๊ฐ€ ์–ธ์  ๊ฐ€ ํฌํ™”๋˜์ง€๋งŒ, ์ค‘์„ฑ์ž ์กฐ์‚ฌ ํ™˜๊ฒฝ์— ๋…ธ์ถœ๋œ ์žฌ๋ฃŒ๋Š” ์กฐ์‚ฌ์— ๋”ฐ๋ผ ๊ทœ์น™ํ™”๊ฐ€ ํฌํ™”๋˜์ง€ ์•Š๊ณ  ์ง€์†๋œ๋‹ค.

X-750์—์„œ ์ค‘์„ฑ์ž ์กฐ์‚ฌ์— ์˜ํ•˜์—ฌ ์ฆ๊ฐ€ํ•˜๋Š” ์—”ํŠธ๋กœํ”ผ๋Š” ๊ณ ์—”ํŠธ๋กœํ”ผ ํ•ฉ๊ธˆ(high-entropy alloy, HEA)์—์„œ ๊ณ ๋ คํ•˜๋Š” ์—”ํŠธ๋กœํ”ผ์™€๋Š” ์„ฑ๊ฒฉ์ด ๋‹ค๋ฅด๋‹ค [26]. ์ตœ๊ทผ ์—ฐ๊ตฌ๋˜๊ณ  ์žˆ๋Š” HEA ์ค‘ ํ•˜๋‚˜์ธ CoCrFeMnNi ํ•ฉ๊ธˆ์—์„œ ๊ณ ๋ คํ•˜๋Š” ์—”ํŠธ๋กœํ”ผ๋Š” ํ•ฉ๊ธˆ ์›์†Œ๊ฐ€ ์–ผ๋งˆ๋‚˜ ๊ณจ๊ณ ๋ฃจ ์„ž์ผ ์ˆ˜ ์žˆ๋Š”์ง€๋ฅผ ๋‚˜ํƒ€๋‚ด๋Š” ์„ฑ๋ถ„์ด๋‹ค. ๋ฐ˜๋ฉด, ๋ณธ ์—ฐ๊ตฌ์—์„œ ๋‹ค๋ฃจ๋Š” ์—”ํŠธ๋กœํ”ผ๋Š” ์›์ž๊ฐ€ ๊ตฌ๊ฐ€ ์•„๋‹ˆ๋ฏ€๋กœ ์›์ž์˜ ํŠน์ • ์ถ•์ด ์ด์›ƒ ์›์ž์™€ ์–ด๋–ป๊ฒŒ ๋งŒ๋‚˜๋Š”๊ฐ€์— ๋”ฐ๋ผ ํ˜•์„ฑ๋˜๋Š” ์—”ํŠธ๋กœํ”ผ์ด๋‹ค.

๋”ฐ๋ผ์„œ X-750 ํ•ฉ๊ธˆ์˜ garter spring ์žฌ๋ฃŒ๋Š” ์›์ž๋กœ ๊ฐ€๋™ ํ™˜๊ฒฝ์—์„œ ๋น ๋ฅด๊ณ  ์ง€์†์ ์œผ๋กœ ๊ทœ์น™ํ™”๋ฅผ ์ผ์œผํ‚ค๊ณ , ๊ทœ์น™ํ™”์— ๋”ฐ๋ฅธ ๊ฒฉ์ž ์ˆ˜์ถ•์€ ์ž…๊ณ„ ๋ฐ ์ž…๋‚ด์— void๋ฅผ ํ˜•์„ฑ์‹œ์ผœ ์ž…๊ณ„ ํŒŒ๊ดด๋ฅผ ์ผ์œผํ‚ค๋Š” ์ง์ ‘์ ์ธ ์›์ธ์„ ์ œ๊ณตํ•œ๋‹ค๊ณ  ํŒ๋‹จํ•  ์ˆ˜ ์žˆ๋‹ค. ์ด void๋Š” ํ•ต๋ฐ˜์‘์— ์˜ํ•ด ํ˜•์„ฑ๋˜๋Š” He ๊ธฐ์ฒด๊ฐ€ ์ƒ๋Œ€์ ์œผ๋กœ ์••๋ ฅ์„ ์ ๊ฒŒ ๋ฐ›๋Š” ๊ณต๊ฐ„์„ ์ œ๊ณตํ•จ์œผ๋กœ์จ He bubble ํ˜•์„ฑ ์œ„์น˜๋ฅผ ์ œ๊ณตํ•  ๊ฒƒ์œผ๋กœ ๋ณด์ธ๋‹ค.

5. ๊ฒฐ ๋ก 

์—ฌ๋Ÿฌ ์กฐ๊ฑด์œผ๋กœ ์ฒ˜๋ฆฌ๋œ X-750 Ni-base ํ•ฉ๊ธˆ์— ๋Œ€ํ•œ DSC ๋ฐ XRD ๋ถ„์„ ๊ฒฐ๊ณผ ๋‹ค์Œ๊ณผ ๊ฐ™์€ ๊ฒฐ๋ก ์„ ์–ป์—ˆ๋‹ค.

1. WQ ์‹œํŽธ์€ 500-700 ยฐC์—์„œ ๋ฐœ์—ด์„ ์ˆ˜๋ฐ˜ํ•œ SRO ๋ฐ˜์‘์„ ์ผ์œผํ‚ค๊ณ , Tc๊ฐ€ ๊ฐ๊ฐ 578 ยฐC ๋ฐ 671 ยฐC์ธ SRO ๋ฐ˜์‘์˜ ๋ณธ์งˆ์€ ๊ฐ๊ฐ Ni2Cr ๋ฐ CrFe SRO ๋ฐ˜์‘์œผ๋กœ ๋ณด์ธ๋‹ค.

2. WQ ์‹œํŽธ์—์„œ Ni2Cr ๋ฐ CrFe SRO ๋ฐ˜์‘์— ๋Œ€ํ•œ Q๋Š” ๊ฐ๊ฐ 217 ๋ฐ 303 kJ/mol๋กœ, ๋ฐœ์—ด ์–‘์€ 13 J/g๋กœ ๋‚˜ํƒ€๋‚ฌ๋‹ค.

3. 20% CR ์‹œํŽธ์€ 130-520 ยฐC์—์„œ ๋ฐœ์—ด์„ ์ˆ˜๋ฐ˜ํ•œ SRO ๋ฐ˜์‘์„ ์ผ์œผํ‚ค๋Š”๋ฐ, ์ด๊ฒƒ์€ ๋ƒ‰๊ฐ„ ๊ฐ€๊ณต์ด Ni2Cr ๋ฐ Ni-Fe SRO ๋ฐ˜์‘์ด ์—”ํŠธ๋กœํ”ผ๋ฅผ ๋ฐฉ์ถœํ•˜์—ฌ ๋‚ฎ์€ ์˜จ๋„์—์„œ ์ผ์–ด๋‚˜๋„๋ก ํ•˜๋Š” ๊ตฌ๋™๋ ฅ์„ ์ œ๊ณตํ•˜๊ธฐ ๋•Œ๋ฌธ์ด๋‹ค.

4. 475 ยฐC์—์„œ 2,160์‹œ๊ฐ„ ๊ทœ์น™ํ™” ์ฒ˜๋ฆฌํ•œ WQ+O ๋ฐ CR+O ์‹œํŽธ์€ 490-670 ยฐC์—์„œ ํก์—ด ๋ฐ˜์‘์„ ์ผ์œผํ‚ค๋ฉฐ, ์ด๊ฒƒ์€ ๊ทœ์น™ํ™” ์ฒ˜๋ฆฌ ๊ณผ์ •์—์„œ ํ˜•์„ฑ๋œ SRO๊ฐ€ ๋ถˆ๊ทœ์น™ํ™” ๋˜๋ฉด์„œ ํก์—ดํ•˜๊ธฐ ๋•Œ๋ฌธ์ด๋‹ค

5. FC, WQ, CR ์‹œํŽธ์„ 475 ยฐC์—์„œ ๊ทœ์น™ํ™” ์ฒ˜๋ฆฌํ•˜๋ฉด(200) ๋ฉด๊ฐ„ ๊ฑฐ๋ฆฌ๋Š” ์‹œ๊ฐ„์— ๋”ฐ๋ผ ๊ฐ์†Œํ•˜๋ฉฐ 2,160์‹œ๊ฐ„ ์ฒ˜๋ฆฌํ•˜๋ฉด ๊ฐ๊ฐ 0.03, 0.08, 0.09% ์ •๋„ ์ˆ˜์ถ•ํ•œ๋‹ค.

Acknowledgements

์ด ์—ฐ๊ตฌ๋Š” ๋ฏธ๋ž˜์ฐฝ์กฐ๊ณผํ•™๋ถ€์˜ ์žฌ์›์œผ๋กœ ํ•œ๊ตญ์—ฐ๊ตฌ์žฌ๋‹จ์˜ ์ง€์›์„ ๋ฐ›์•„ ์ˆ˜ํ–‰๋˜์—ˆ์Šต๋‹ˆ๋‹ค(์„ธ๋ถ€๊ณผ์ œ๋ฒˆํ˜ธ: 2017M2A8A4107282).

REFERENCES

1 
Kim S., Kim Y., Jeong J., Korean J. Met. Mater,56, 479 (2018)Google Search
2 
Kim S., Kim Y., Jeong J., Trans. of Kor. Nucl. Soc. Fall Meeting, (2019)Google Search
3 
Kim S., Park D., Trans. of Kor. Nucl. Soc. Spring Meeting,, (2015)Google Search
4 
Porter D. A., Eastering K. E., Phase transformation in Metals and Alloys,13-14, Van Nostrand Reinhold Company (1981)Google Search
5 
Kim S., Kim D., Kim Y., Met. Mater. Int,19, 969 (2013)Google Search
6 
Kim S., Kuk I., Kim J., Mater. Sci. and Eng. A,279, 142 (2000)Google Search
7 
Kim Y., Maeng W., Kim S., Acta Mater,83, 507 (2015)Google Search
8 
Park S., kim S., Lee D., RSC Advances,7, 27280 (2017)Google Search
9 
Kim Y., Kim S., Choi B., Metals,9, 406 (2019)Google Search
10 
Marucco A., Nath B., J. Mater. Sci,23, 2107 (1988)Google Search
11 
Lang E., Lupinc V., Marucco A., Mat. Sci. Eng. A,114, 147 (1989)Google Search
12 
Marucco A., Key Eng. Mat,48, 77 (1990)Google Search
13 
Marucco A., Mat. Sci. Eng. A,189, 267 (1994)Google Search
14 
Marucco A., Mat. Sci. Eng. A,194, 225 (1995)Google Search
15 
Kim S., Kim J., Korean J. Met. Mater,44, 473 (2006)Google Search
16 
Kim S., Kim D., Kim Y., Met. Mater. Int,19, 969 (2013)Google Search
17 
Kim S., Kang S., Kim Y., Korean J. Met. Mater,54, 154 (2016)Google Search
18 
Ibrahim E. F., Cheadle B. A., Can. Metal. Quart,24, 273 (1985)Google Search
19 
Field G. J., J. Nucl. Mater,159, 3 (1988)Google Search
20 
Zhang H., Yao Z., Morin G., Griffiths M., J. Nucl. Mater,451, 165 (2014)Google Search
21 
Judge C., Gauqurlin N., Walters L., Cole J., Madden J., Bottom G., Griffiths M., J. Nucl. Mater,457, 165 (2015)Google Search
22 
Kissinger R. E., Anal. Chem,29, 1702 (1957)Google Search
23 
Porter D. A., Eastering K. E., Phase transformation in Metals and Alloys,80-85, Van Nostrand Reinhold Company (1981)Google Search
24 
Massalski T. B., Murray J. L., Bennett L. H., Baker H., Binary alloy phase diagram,821-1769, American Society for Metals (1986)Google Search
25 
Nash P., Phase diagrams of binary nickel alloys,90ASM international (1991)Google Search
26 
Kim J. H., Na Y. S., Met. Mater. Int,25, 304 (2019)Google Search

Figures and Tables

Fig. 1.

Specific heat (Cp) variation with temperature in WQ and FC X-750.

../../Resources/kim/KJMM.2020.58/kjmm-2020-58-9-590f1.jpg
Fig. 2.

Determination of critical temperature (Tc) for peak 1 at 578 ยฐC and peak 2 at 671 ยฐC in WQ X-750.

../../Resources/kim/KJMM.2020.58/kjmm-2020-58-9-590f2.jpg
Fig. 3.

Calculation of activation energy for peak 1 at 578 ยฐC and peak 2 at 671 ยฐC in WQ X-750.

../../Resources/kim/KJMM.2020.58/kjmm-2020-58-9-590f3.jpg
Fig. 4.

Specific heat (Cp) variation with temperature in cold rolled (CR) X-750.

../../Resources/kim/KJMM.2020.58/kjmm-2020-58-9-590f4.jpg
Fig. 5.

Specific heat (Cp) variation with temperature in WQ+O X-750 (WQ+ aged at 475 ยฐC for 2,160 hour).

../../Resources/kim/KJMM.2020.58/kjmm-2020-58-9-590f5.jpg
Fig. 6.

Specific heat (Cp) variation with temperature in CR+O X-750 (CR+ aged at 475 ยฐC for 2,160 hour).

../../Resources/kim/KJMM.2020.58/kjmm-2020-58-9-590f6.jpg
Fig. 7.

Concept of short range ordering and reduction of entropy in material.

../../Resources/kim/KJMM.2020.58/kjmm-2020-58-9-590f7.jpg
Fig. 8.

D200 spacing variation with treatment condition and ordering treatment at 475 ยฐC up to 2,160 hour.

../../Resources/kim/KJMM.2020.58/kjmm-2020-58-9-590f8.jpg
Table 1.

Chemical composition of X-750 material (wt%).

elements Ni Cr Fe Ti Al Nb Ta P C S
wt% 73.1 15.3 8.0 2.5 0.64 0.73 <0.02 <0.02 0.066 <0.001
Table 2.

Parameters of determination of activation energy for peak 1 (Tc = 578 ยฐC) in WQ X-750.

scan rate [K/min] peak [ยฐC] absolute [K] 1/T (K-1) ln(alpha/T2) alpha/T2
5 581 854.15 0.001171 -11.890776 6.85333E-06
10 588.6 861.75 0.00116 -11.215345 1.3466E-05
20 604.1 877.25 0.00114 -10.557852 2.59886E-05
40 621 894.15 0.001118 -9.9028676 5.0031E-05
Q= -303 kJ/mol
Table 3.

Parameters of determination of activation energy for peak 2 (Tc = 671 ยฐC) in WQ X-750.

scan rate [K/min] peak [ยฐC] absolute [K] 1/T (K-1) ln(alpha/T2) alpha/T2
5 673.9 947.05 0.001056 -12.097266 5.57473E-06
10 694.1 967.25 0.001034 -11.446329 1.06886E-05
20 717.7 990.85 0.001009 -10.801394 2.03711E-05
40 745.3 1018.45 0.000982 -10.163195 3.85639E-05
Q= -217 kJ/mol
Table 4.

Summary of activation energy and critical temperature in water quenched and ordered X-750.

conditions Peak 1 (lower T)
Peak 2 (higher T)
Tc (ยฐC) Q (kJ/mole) Tc (ยฐC) Q (kJ/mole)
WQ (1,100 ยฐC for 1H) 578 217 671 303
WQ+O (ordering at 475 ยฐC for 2,160H) 553 202 595 247
20% CR+O (ordering 475 ยฐC for 2,160H) 554 239 621 245