์กฐ๋๋ฏผ
(Dong Min Cho)
1
๋ฐ์ง์ฑ
(Jin-seong Park)
1
์ด์ง์ฐ
(Jin Woo Lee)
2
๊น์ฑ์ง
(Sung Jin Kim)
1*
-
์์ฒ๋ํ๊ต ์ ์์ฌ๊ณตํ๊ณผ
(Department of Advanced Materials Engineering, Sunchon National University, Suncheon
57922, Republic of Korea)
-
ํฌ์ค์ฝ ๊ธฐ์ ์ฐ๊ตฌ์
(POSCO Technical Research Laboratories, Gwangyang 57807, Republic of Korea)
Copyright ยฉ 2020 The Korean Institute of Metals and Materials
Key words
A516 steel, heat affected zone, hydrogen embrittlement, hydrogen permeation, corrosion, sulfide stress cracking
1. ์ ๋ก
์ต๊ทผ ์๋์ฐจ, ํด์ํ๋ํธ ๋ฐ ์๋์ง ์ฐ์
์์ญ์์๋ ์ฐ์
์ด ๊ณ ๋ํ๋จ์ ๋ฐ๋ผ ์ฃผ ์๋์ง์์ธ ํ์์ฐ๋ฃ์ ์์๊ฐ ์ฆ๊ฐํ๊ณ ์์ง๋ง, ์๊ตฌ๋๋ ์์๋ ๋๋น ํ์์ฐ๋ฃ์
๊ณต๊ธ๋์ ์ธ๊ณ์ ์ธ ์์ ๊ณ ๊ฐ์ ๋ฐ๋ผ ๊ฐ์ํ๊ณ ์๋ ์ถ์ธ์ด๋ค. ์ด์ ๋ฐ๋ผ, ์์ ํํ ๋ฐ ํ๋ํธ ๋ฑ์ ๊ฐ ์ฐ์
๊ตฐ์์๋ ์ถ๊ฐ์ ์ธ ์์ ๊ณต๊ธ์ ์ํด ์๋์
ํ์ง์ด ๋ฎ์ ์ ๊ธ ์์ ๋ฅผ ์๋์ ๊ณ ๊ธ ์์ ๋ก ์ ์ ํ๋ ค๋ ๋
ธ๋ ฅ์ ๊ธฐ์ธ์ด๊ณ ์๋ค [1-4]. ์ ๊ธ ์์ ์ ์ ์ ํ๊ฒฝ์ ๊ณ ๊ธ ์์ ์ ์ ํ๊ฒฝ ๋๋น H2S์ ๊ฐ์ ๋ถ์๋ฌผ์ด ๋ค๋ ํฌํจ๋๋ ๋ฑ ๊ฐํนํ ์กฐ๊ฑด์ผ๋ก ์์ ์ ์ ๋ฅผ ์ํ ๊ธ์์ฉ๊ธฐ์ ์์์ด ํฌ๊ฒ ์ฐ๋ ค๋๊ณ ์๋ค. ํนํ ๊ธ์์ฉ๊ธฐ์ ์์ฌ๋ก ํญ๋์ ์ ์ฉ์ด
์ด๋ฃจ์ด์ง๊ณ ์๋ ์๋ ฅ์ฉ๊ธฐ์ฉ ๊ฐ์ฌ์ ๊ฒฝ์ฐ, ๊ณ ๋ด์ ํน์ฑ ๋ฐ ์ฐ์ํ ์์์ทจํ์ ํญ์ฑ์ด ์๊ตฌ๋๊ณ ์๋ค. ์ผ๋ฐ์ ์ผ๋ก ์ ๊ธ ์์ ๋ด ํจ์ ๋์ด ์๋ H2S์ ๊ฒฝ์ฐ, ๊ฐ์ฌ์ ๋ถ์์๋๋ฅผ ๋์ด๊ณ ๋ถ์๋ฐ์์ ๊ธฐ์ธํ์ฌ ํ์ฑ๋ ์์์์๊ฐ ๊ฐ ํ๋ฉด์ ํก์ฐฉ ๋ฐ ๋ด๋ถ๋ก ์นจํฌ๋ ์ ์๋๋ก ์ ๋ํ์ฌ ๊ฒฐ๊ตญ ๊ฐ์ฌ์ ์ทจ์ฑํ๊ดด
ํ์์ ์ผ๊ธฐํ๋ ๋ฐ์ ์ง์ ์ ์ธ ์ญํ ์ ํ๋ ๊ฒ์ผ๋ก ์๋ ค์ ธ ์๋ค. ๋ค์์ ์ฒ ๊ฐ์ฌ๋ฃ์ ์๊ทน์ฉํด ๋ฐ์๊ณผ H2S๊ฐ ํฌํจ๋ ์ฐ์ฑ์ ์์ฉ์ก ๋ถ์๊ธฐ ๋ด์ ๋
ธ์ถ๋ ๊ฐ์ฌ ํ๋ฉด์์ ๋ฐ์ํ๋ ๋ํ์ ์๊ทนํ์๋ฐ์์ ๋ํ๋ธ๋ค [5-9].
์ผ๋ฐ์ ์ผ๋ก, H2S์ ์ํ poisoning ํจ๊ณผ [10]์ ์ํด ๊ฐ์ฌ ๋ด๋ถ๋ก ์ฝ๊ฒ ์ ์
๋ ์์์์๋ ๊ฒฉ์ํ์ฐ ๋ฐ ๊ฒฐํจ ์ง์ญ์์์ ํธ๋ฉ ํ์์ ๊ฑฐ์น๋ฉฐ ํ์ฐํ๊ณ ์ดํ, ํธ๋ฉ๋ ์์์์๋ ์ง์์ ์ธ ์์ ์ง์ ๊ณผ
๋ถ์ํ์ฑ์ ๋ฐ๋ฅธ ๋ถํผํฝ์ฐฝ์ ์ํด ์์์ ๊ธฐ๊ท ์ด์ ์ผ๊ธฐํ๋ค๊ณ ์๋ ค์ ธ ์๋ค [5, 7-9]. ๋ํ, H2S ํ๊ฒฝ ๋ด ๋
ธ์ถ๋ ๊ฐ์ฌ์ ๋ค์ํ ํํ์ ์ธ๋ถ์๋ ฅ์ด ์ถ๊ฐ์ ์ผ๋ก ์ธ๊ฐ๋๋ ์กฐ๊ฑด์์๋ ํฉํ๋ฌผ์๋ ฅ๊ท ์ด(sulfide stress cracking, SSC)์ด
์ฃผ๋ ์ทจ์ฑํ๊ดด ๋ฉ์ปค๋์ฆ์ผ๋ก ๊ฑฐ๋ก ๋๊ณ ์๋ค [11,12].
ํํธ, ๊ธ์ํ์ ๊ด์ ์์, ๊ฐ์ด ๋ฐ ๊ธ๋์ ์ด์ด๋ ฅ์ ๊ฑฐ์น๋ฉด์ ์์ดํ ๋ฏธ์ธ์กฐ์ง์ ํ์ฑํ๊ฒ ๋๋ ์ฉ์ ๊ณต์ ์ ๋ชจ์ฌ์๋ ๊ธฐ๊ณ์ ๋ฐ ์ ๊ธฐํํ์ ํน์ฑ์ด ์์ดํ๊ฒ
๋ํ๋๋ค. ํนํ, ์ฉ์ ๋ถ ์ธ๊ทผ์์ ์ฉ์ ์ ์ธ๊ฐ๋๋ ์
์ด์ ์ํด CGHAZ (coarse-grain HAZ), FGHAZ (fine-grain HAZ),
ICHAZ (intercritical HAZ), SCHAZ (subcritical HAZ) ๋ฑ๊ณผ ๊ฐ์ ๋ค์ํ ๋ฏธ์ธ์กฐ์ง์ ๋ณํ๋ฅผ ์๋ฐํ๋ ์ฉ์ ์ด์ํฅ๋ถ๋
์ถ๊ฐ์ ์ธ ํฉ๊ธ์ค๊ณ๋ฅผ ํตํด ํน์ฑ์ ํฅ์์ํฌ ์ ์๋ ์ฉ์ ๊ธ์๋ถ์ ๋ฌ๋ฆฌ ๋ชจ์ฌ์ ์ฑ๋ถ์ ํ ๋๋ก ๋ฏธ์ธ์กฐ์ง์ ๋ณํ๋ง์ด ๋ฐ์๋์ด, ๊ธฐ๊ณ์ ๋ฌผ์ฑ๋ฟ ์๋๋ผ ์์์ทจํํน์ฑ์ด
์ด์ํ ์ง์ญ์ผ๋ก ํ๊ฐ๋๊ณ ์๋ค. ์ด์ํฅ๋ถ ๋ด์ ์์์ทจํ ์ธก๋ฉด์์, ์ฉ์ ์ ๊ฐ์ฌ์ ์ทจํํ์์ ์ผ๊ธฐํ๋ ๋ฐ์ ์ง์ ์ ์ธ ์ํฅ์ ๋ฏธ์น๋ ์์ธ์ผ๋ก, ์ธ๊ฐ๋
์ด์ด๋ ฅ์ ๋ฐ๋ผ ํ์ฑ๋๋ ์ ์จ๋ณํ์กฐ์ง์ด ์กด์ฌํ๋ค. ๋ค์์ ์ ํ ์ฐ๊ตฌ์์๋ ์์์ทจํ๋ฏผ๊ฐ๋ ์ฆ๊ฐ์ ์ง๋ฐฐ์ ์ธ ์ํฅ์ ๋ฏธ์น๋ ์์ธ์ผ๋ก ์ ์จ๋ณํ์กฐ์ง์ ๋ถ์จ์
์ฃผ๋ก ์ธ๊ธํ๊ณ ์๋ค. ํ์ง๋ง ๋์ ๋ถ์จ์ ์ ์จ๋ณํ์กฐ์ง์ ํ์ฑํ๋ค ํ ์ง๋ผ๋ ์ ์จ๋ณํ์กฐ์ง์ ํธ์ค๋ ๋ฐ ๋ถํฌ๋๊ฐ ์ค์ ์ฉ์ ๋ ๊ฐ์ฌ์ ๋ถ์๋ฐ์์ ๊ธฐ์ธํ ์์์ทจํ
ํ์์ ๋ฏธ์น๋ ์ํฅ์ ์์ดํ ๊ฒ์ผ๋ก ์์๋๋ฉฐ, ์ต๊ทผ์๋ API X65๊ธ ๊ฐ์ฌ๋ฅผ ๋์์ผ๋ก ์์ดํ ์ฉ์ ๊ณต์ ์ ์ฉ ํ ๊ฐ ์ฉ์ ๋ถ ๋ด ์กด์ฌํ๋ ์ ์จ๋ณํ์กฐ์ง์
๊ฒฝ๋ ๋ฐ coincidence site lattice (CSL) ์
๊ณ ๋ถ์จ ๋ฑ์ ํ ๋๋ก ์์์ ๊ธฐ๊ท ์ด (hydrogen induced cracking,
HIC) ๊ฑฐ๋์ ๋ถ์ํ ์ฐ๊ตฌ [13]๊ฐ ๋ณด๊ณ ๋๊ธฐ๋ ํ์๋ค. ํ์ง๋ง ์ ์จ๋ณํ์์ ํธ์ค๋ ๋ฐ ๋ถํฌ๋์ ๋ํ ์ฐ๊ตฌ๋ ์ฌ์ ํ ๋ถ์กฑํ ์ค์ ์ด๋ฉฐ, ๋๋ค์์ ์ฐ๊ตฌ๊ฐ ์์์ทจํํ์ ๊ท๋ช
๋ฐฉ๋ฒ์ ์์ด,
์ ํต์ ์ธ ์ผ๊ธํ์ ์ ๊ทผ๋ฒ์ ๊ธฐ๋ฐ์ ๋๊ณ , ์ธ์์ ์ธ ์์์ฃผ์
์ ํตํ ๊ธฐ๊ณ์ ๋ฌผ์ฑ ์ด์์ ๋ ํ๊ฐ์ ์ด์ ์ ๋๊ณ ์๋ค. ์ฃผ๋ก ์ ๊ธฐํํ์ ์๊ทน์ฐจ์ง๋ฒ์ ํตํด
ํ๋ฉด ๋ถ์๋ฐ์์ ์ ์ ์ผ๋ก ๋ฐฐ์ ์ํค๋ฉฐ ๋ค๋์ ์์๋ฅผ ์ฃผ์
ํ์ฌ ๊ฐ ๋ด๋ถ์์์ ํ์ฐ๊ฑฐ๋์ ํ๊ฐํ๋ฉฐ ์ผ๋ จ์ ํ์ฐ๋ณ์ ๊ฐ๋ค์ ๋์ถํ๋ ๊ฒ์ด๋ค. ์์์์์ ํ์ฐ๊ณ์
๋ฐ ํฌ๊ณผ๋ ๋ฑ์ ํ์ฐ๋ณ์ ๊ฐ๋ค์ ํ ๋๋ก ์ทจ์ฑํ๊ดด ์ ํญ์ฑ์ ์งํ๋ก ๊ฐ์ฃผํ๋ ๊ฒ์ด ์ผ๋ฐ์ ์ด๋ค. ํ์ง๋ง ์ธ์์ ์กฐ๊ฑด ํ์ ๋์ถ๋ ํ์ฐ๋ณ์ ๊ฐ๋ค์ ์๋ฏธ์
ํน์ ๊ฐ์ฌ๊ฐ ์ ์ฉ๋๋ ์ค์ ํ๊ฒฝ ๋ด์์ ๋ฐ์ํ๋ ์ทจ์ฑํ๊ดด๊ฑฐ๋๊ณผ ๋ถ์ผ์นํ๋ ํ์๋ค์ด ๋ํ๋๊ณ ์์ผ๋ฉฐ [14], ๋ณธ ์ฐ๊ตฌ๋ ๊ทธ ๋ถ์ผ์น ํ์์ ์๋ฅผ ๋จ์ ์ผ๋ก ๋ณด์ฌ์ฃผ๋ฉฐ ๊ทธ ๋ฉ์ปค๋์ฆ์ ๋ถ์๊ณผ ๋
ผ์๋ฅผ ์ฃผ ๋ชฉ์ ์ผ๋ก ํ๋ค.
์ฐ์ , ์๋ ฅ์ฉ๊ธฐ์ฉ A516-65 ๊ฐ์ฌ๋ฅผ ๋์์ผ๋ก ์์ดํ ์ฉ์ ์
์ด๋์ผ๋ก ๋ชจ์ฌ๋ ์ฉ์ ์ด์ํฅ๋ถ (CGHAZ์ ICHAZ)์ ๋ฏธ์ธ์กฐ์ง์ ๊ฑฐ๋๊ณผ ์์ํ์ฐ๊ฑฐ๋์
๊ด๊ณ๋ฅผ ์ ์ํ ํ, ์ค์ sour ํ๊ฒฝ ๋ด ๋ฐ์ํ๋ SSC ํ์์ ์ํฅ์ ๋ฏธ์น๋ ์ฃผ๋ ๊ธ์ํ์ ์ธ์๋ค์ ๋ํด ๋
ผ์ํ๊ณ ์ ํ๋ค.
2. ์คํ๋ฐฉ๋ฒ
2.1 ์ํธ ์ค๋น ๋ฐ ๋ฏธ์ธ์กฐ์ง ๋ถ์
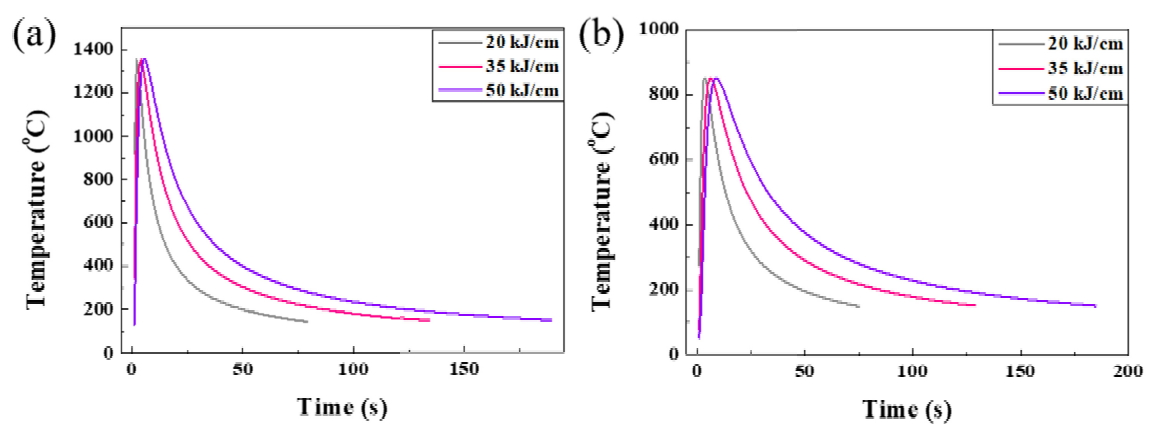
๋ณธ ์ฐ๊ตฌ์ ์ฌ์ฉ๋ ์ํธ์ ์๋ ฅ์ฉ๊ธฐ์ฉ ASTM 516-65 ๊ฐ์ฌ๋ก, ๊ทธ ํํ์ ์กฐ์ฑ์ ํ 1์ ๋ํ๋ด์๋ค. ์ฉ์ ์ด์ํฅ๋ถ (CGHAZ ๋ฐ ICHAZ) ๋ชจ์ฌ๋ฅผ ์ํด MTCS (metal thermal cycle simulator)๋ฅผ ํ์ฉํ์๋ค.
๊ทธ๋ฆผ 1์ ๊ฐ๊ฐ์ ์ฉ์ ์ด์ํฅ๋ถ์ ์ด์ด๋ ฅ์ ๋ชจ์ฌํ๊ธฐ ์ํด, Rosenthal์ ์ด์ ๋๋ฐฉ์ ์ (thermal field equation) [15]์ ์ด์ฉํ์ฌ ๋์ถํ ์ฉ์ ์ฉ์ต์ ์ผ๋ก๋ถํฐ ๋ชจ์ฌ๊น์ง์ ๊ฑฐ๋ฆฌ ๋ณ๋ก ์๊ฐ์ ๋ฐ๋ฅธ ์จ๋ ๊ตฌ๋ฐฐ๋ฅผ ๋ํ๋ธ ๊ฒ์ด๋ค. MTCS๋ฅผ ํตํด ์ด์ํฅ๋ถ๋ฅผ ์ฌํํ ์ํธ์ ์ ์ฉ๋
์
์ด๋์ 20, 35, 50 kJ/cm์ 3๊ฐ์ง๋ก ์ฑํํ์์ผ๋ฉฐ ๊ฐ๊ฐ์ ์จ๋๊ตฌ๋ฐฐ๋ ์ (4) [15]๋ฅผ ํตํด ๋์ถ๋์๋ค.
์ด๋ T์ t๋ ์ด ์ฌ์ดํด์ ์จ๋ ๋ฐ ์๊ฐ์ด๋ฉฐ, T0๋ ์ฉ์ ์ ์์ด์จ๋, q/v๋ ์
์ด๋, ฮป๋ ์ฌ๋ฃ์ ์ด์ ๋๋(thermal conductivity), a๋ ์ฌ๋ฃ์ ์ด ํ์ฐ๋ (thermal diffusivity), r์ ์ฉ์ ์ด์์ผ๋ก๋ถํฐ์ ๊ฑฐ๋ฆฌ๋ฅผ ๋ํ๋ธ๋ค.
์ดํ, ๋ฏธ์ธ์กฐ์ง ๊ด์ฐฐ์ ์ํด, ๊ฐ๊ฐ์ ์ํธ์ SiC paper๋ฅผ ํตํด #4000๊น์ง ๋จ๊ณ์ ์ผ๋ก grinding ํ 1 ยตm๊น์ง micro-polishingํ์๋ค.
์ฐ๋ง๋ ์ํธ์ 3% nital์ ํตํด etching ํ, ์ด์ํ ์ธ์ฒ์ ์ค์ํ์๋ค. ์ถ๊ฐ์ ์ผ๋ก, M-A (martensite-austenite)๋ง์
๋จ๋
์ ์ผ๋ก ๊ด์ฐฐํ๊ธฐ ์ํด LePera ์ฉ์ก์ผ๋ก M-A๋ฅผ ์ ํ์ ์ผ๋ก etching ํ์๋ค. ์ ์ฉ๋ etching๋ฒ [16]์, ์ฐ์ ์ ์ผ๋ก ํ๋ผ์ดํธ๋ฅผ etchingํ ํ ๋๋ฒ์งธ ๋จ๊ณ์์ ๋จ์ ํํ๋ฌผ (carbide)๋ฅผ etchingํ์ฌ M-A๋ง ๋จ๋ ๋ฐฉ์์ผ๋ก ์งํ๋์๋ค.
์ดํ, ๊ดํ ํ๋ฏธ๊ฒฝ (optical microscopy, OM) ๋ฐ ์ ๊ณ๋ฐฉ์ฌํ ์ฃผ์ฌ์ ์ํ๋ฏธ๊ฒฝ (field emission-scanning electron
microscopy, FE-SEM)์ ํตํด ๋ฏธ์ธ์กฐ์ง ๋ฐ M-A๋ฅผ ๊ด์ฐฐํ์๊ณ OM์ image analyzer๋ฅผ ํ์ฉํ์ฌ ์ํธ ๋ณ M-A๋ถ์จ์ ์ ๋์ ์ผ๋ก
๋์ถํ์๋ค. ์ถ๊ฐ์ ์ผ๋ก, ์
์ด๋์ ๋ฐ๋ฅธ ๋ฏธ์ธ์กฐ์ง ๋ณ ๊ฒฝ๋ ์ธก์ ์ ์ํด 0.5 kgf์ ํ์ค์ผ๋ก ๋น์ปค์ค ๊ฒฝ๋๋ฅผ ์ธก์ ํ์๋ค.
2.2 ํ์ฐ์ฑ ์์๋ ์ธก์
๊ฐ์ฌ ๋ด๋ถ์ ํ์ฐ์ฑ ์์๋์ ์ธก์ ํ๊ธฐ ์ํด JIS Z3113 [17]์ ์
๊ฐํ์ฌ ๊ธ๋ฆฌ์ธ๋ฆฐ ์ํ๋ฒ์ ํ์ฉํ์๋ค. ๊ฐ์ฌ ๋ด๋ถ์ ์ ๊ธฐํํ์ ์ผ๋ก ์์๋ฅผ ์ฃผ์
ํ๊ธฐ ์ํด potentiostat์ฅ๋น (gamry reference
600)๋ฅผ ์ฌ์ฉํ์๋ค. 20 ร 30 ร 2 mm3 ํฌ๊ธฐ์ ์ํธ์ SiC #2000๊น์ง polishing ํ ์ธ์์ ์ธ ์์ charging์ ์ํด NACE ๊ท๊ฒฉ์ฉ์ก (5% NaCl + 0.5% CH3COOH)์ 0.05 M Na2S๊ฐ ์ฒจ๊ฐ๋ ์ฉ์ก์์ 5 mA์ ์๊ทน์ ๋ฅ๋ฅผ 20 h ๋์ ์ธ๊ฐํ์๋ค. Charging ํ ๊ธ๋ฆฌ์ธ๋ฆฐ ์ฉ์ก์ ์นจ์งํ์ฌ 48 h ๋์ ๋ฐฉ์ถ๋๋ ํ์ฐ์ฑ ์์๋์
์ธก์ ํ์๋ค. ์ธก์ ๋ ํ์ฐ์ฑ ์์๋์ ์ (5)์ ์ํด ์ ๋์ ์ผ๋ก ๋์ถ๋์์ผ๋ฉฐ wt%๋ก ํ์ฐํ์ฌ ๋น๊ต ๋ฐ ํ๊ฐํ์๋ค.
์ฌ๊ธฐ์ V1์ ์ก์์ผ๋ก ํ์ธ๋ ์์์ ์, hG1์ 1๊ธฐ์ 0ยฐC์์ ์ธก์ ๋ ๊ธ๋ฆฌ์ธ๋ฆฐ์ ๋์ด, hG๋ 1๊ธฐ์ T1์์ ์ธก์ ๋ ๊ธ๋ฆฌ์ธ๋ฆฐ์ ๋์ด, T1์ ์ธก์ ๋ ์จ๋๋ฅผ ์๋ฏธํ๋ค.
2.3 ์ ๊ธฐํํ์ ์์ํฌ๊ณผ์คํ
์ํธ ๋ณ ๋ด๋ถ ์์ํ์ฐ๊ฑฐ๋์ ๋ถ์ํ๊ธฐ ์ํด, ISO 17081 ํ์ค ์ํ๋ฒ [18]์ ์
๊ฐํ ์ ๊ธฐํํ์ ์์ํฌ๊ณผ์คํ (electrochemical hydrogen permeation test)์ ์ํํ์๋ค. ๊ทธ๋ฆผ 2๋ ์ ๊ธฐํํ์ ์์ํฌ๊ณผ์คํ์ ํ์ฉ๋ cell์ ๊ฐ๋ตํ ๋ชจ์๋๋ฅผ ๋ํ๋ธ ๊ฒ์ผ๋ก, ์ค์๋ถ์ ์ํธ์ ๊ธฐ์ค์ผ๋ก ์ฐ์ธก์ ์์์ฃผ์
๋ถ (charging side)์
์ข์ธก์ ์์๊ฒ์ถ๋ถ (detection side)๋ก ๊ตฌ๋ถ๋ ํํ๋ฅผ ๋ํ๋ธ๋ค. ์์ํฌ๊ณผ์คํ์ ์ ๊ธฐํํ์ ์์ ์ฃผ์
์ ํตํด ์ํธ์ ํฌ๊ณผํ๋ ์์์์๋ฅผ ์ข์ธก์
๊ฒ์ถ๋ถ์์ ์ฐํ์์ผ ๊ฒ์ถํ๋ ์๋ฆฌ๋ฅผ ๊ฐ์ง๋ค. ๋ณธ ์คํ์ ์ ์ฉ๋ ์ํธ์ ๋๊ป๋ 1 mm ์ด์์ผ๋ก, ๋์ผ ASTM A516 ๊ฐ์ฌ๋ฅผ ๋์์ผ๋ก ์ํํ ์ ํ์ฐ๊ตฌ
[19] ๊ฒฐ๊ณผ๋ฅผ ํ ๋๋ก, ์์์์์ volume diffusion ์กฐ๊ฑด์ ๋ง์กฑํ๋ ๊ฒ์ผ๋ก ๊ฐ์ฃผํ์๋ค. ์คํ ์ detection side์ ์ํธ ํ๋ฉด์
์์ ์์์ ์ฐํ ํจ์จ์ ๋์ด๊ณ ํฌ๊ณผ์ ๋ฅ์ ์ ๋ขฐ์ฑ ํ๋ณด๋ฅผ ์ํด, SiC paper๋ก #2000๊น์ง ์ฐ๋งํ๊ณ HCl ์ฉ์ก ๋ด ์ฐ์ธ ํ, Pd ๋๊ธ ์ฉ์ก
(PdCl2 2.54 g + 500 ml NH3) ๋ด์์ -2.8 mA/cm2์ ์ ๋ฅ๋ฐ๋๋ฅผ 180 s ๋์ ์ธ๊ฐํ์ฌ 100~150 nm ๋๊ป์ Pd ๋๊ธ์ธต์ ํ์ฑ์์ผฐ๋ค. ์ดํ, ์ข์ธก์ ์์ ๊ฒ์ถ๋ถ์ Ar์ ์ด์ฉํ์ฌ ํ๊ธฐ๋ 0.1
M NaOH ์ฉ์ก์ ์ฃผ์
ํ๊ณ 270 mVSCE์ ์๊ทน ์ ์๋ฅผ ์ ์ ์ ๋ถ๊ทน (potentiostatic polarization) ๋ฐฉ์์ผ๋ก ์ธ๊ฐํ์ฌ 0.1
ยตA/cm2 ์ดํ์ ๋ฐฐ๊ฒฝ ์ ๋ฅ๋ฅผ ํ๋ํ์๋ค. ์์ charging์ ์ํด ์์ ์ฃผ์
๋ถ์๋ 0.5% NaCl + 0.5% CH3COOH + 0.05 M Na2S + 0.3% NH4SCN ์ฉ์ก์ ์ฃผ์
ํ๊ณ 1 mA/cm2์ ์๊ทน์ ๋ฅ๋ฅผ ์ ์ ๋ฅ ๋ฐฉ์์ผ๋ก ์ธ๊ฐํ์๋ค. ์ดํ, ์ธก์ ๋๋ ์์์์์ ์ฐํ์ ๋ฅ ๊ฐ์ด ์ ์์ํ (steady-state condition)์ ๋๋ฌํ
ํ desorption์ ์ํํ์๋ค. ์ ๊ธฐํํ์ ์์ํฌ๊ณผ์คํ ํ ํ๋ํ ์คํ๊ฒฐ๊ณผ๋ฅผ ๋ฐํ์ผ๋ก ์์ํ์ฐ ๋ณ์๋ฅผ ๋์ถํ๊ธฐ ์ํด, decay ๊ทธ๋ํ๋ฅผ ๋์์ผ๋ก
์ ์์ํ ์ ๋ฅ๋ฐ๋๋ฅผ normalizingํ๊ณ ์ (6) [20]๋ฅผ ํตํ curve-fitting์ ์ํํ์๋ค.
์ฌ๊ธฐ์, D๋ ์์ํ์ฐ๊ณ์, n์ ์ ํํ curve fitting์ ์ํ 0, 1, 2, 3, 4์ ์์, L์ ์ํธ ๋๊ป, t๋ ์๊ฐ (s)๋ฅผ ์๋ฏธํ๋ค.
์ํธ ๋ณ ๋ด๋ถ ๋จ์๋ถํผ๋น ํธ๋ฉ ๋ฐ๋๋ ์๋ ์ (7) [21]๋ฅผ ํตํด ๋์ถ๋์๋ค.
์ฌ๊ธฐ์ DL์ ์์ํ lattice ํ์ฐ๊ณ์, Dฯ์ ํธ๋ฉ์ด ๊ณ ๋ ค๋ ํ์ฐ๊ณ์, NT๋ ๋จ์๋ถํผ๋น ํธ๋ฉ ๋ฐ๋, <C>๋ ๊ฐ์ฌ ๋ด๋ถ ํ๊ท ์์๋๋ (ํธ๋ฉ์ด ๊ณ ๋ ค๋ ๋ด๋ถ ์์์ฉํด๋, Capp)๋ฅผ ์๋ฏธํ๋ค. ์ด๋, DL์ ๊ฒฝ์ฐ, ์ ํ์ฐ๊ตฌ๊ฒฐ๊ณผ์ ๋ฐ๋ฅด๋ฉด pure iron์ ๋์์ผ๋ก ์ธก์ ํ DL ๊ฐ์ 7.5 ร 10-9m2/s [21]๋ก ์ธก์ ๋๋, ๋ฌธํ๋ค๋ง๋ค ์์ดํ ๊ฒฐ๊ณผ์น๊ฐ ๋ณด๊ณ ๋๊ณ ์๋ค. ์์ ํํ์ฐ์
์ฉ API (american petroleum institute) ๊ฐ๊ด์ฉ X52
์์ฌ์์๋ DL ๊ฐ์ด 3.25 ร 10-9m2/s [22]๋ก ๋ค์ ๋ฎ๊ฒ ๋ณด๊ณ ๋ ๊ฒ์ ํ ๋๋ก, pure iron๊ณผ ๋น๊ตํ์ฌ ์นจ์
ํ C ์์ ๋ฐ ์นํํ ํฉ๊ธ์ฑ๋ถ ์ฒจ๊ฐ๋ ๊ฒฉ์๋ด๋ถ์ strain field๋ฅผ ํ์ฑํ๊ณ
์์์์์ ํ์ฐ์๋๋ฅผ ๋ค์ ๋ฆ์ถ๋ ํจ๊ณผ๊ฐ ์๋ ๊ฒ์ผ๋ก ํ๋จ๋์๋ค. ์ด์ ๋ณธ ์ฐ๊ตฌ์์ ์ฌ์ฉ๋ ์์ฌ๊ฐ pure iron์ด ์๋, C, Mn, Cu, Ni
๋ฑ์ ํฉ๊ธ์ฑ๋ถ์ด ๋ฏธ๋ ํฌํจ๋ ์์ ํํ์ฐ์
์ฉ ์ ํ์ ๊ธฐ๋ฐ ๊ฐ์ฌ์์ ๊ณ ๋ คํ์ฌ, DL๊ฐ์ 3.25 ร 10-9m2/s๋ก ๊ฐ์ฃผํ์ฌ ์ ์ฉํ์๋ค. ๋ํ <C>๋ ์์ํฌ๊ณผ ์์น๊ณก์ ์ ํตํด ํ๋ํ ๊ทธ๋ํ๋ฅผ ๋ฐํ์ผ๋ก ํ๋ํ ์์์์์ ํฌ๊ณผ์ ๋ (permeability, JssL)์ ํ์ฐ๊ณ์ (diffusivity, Dapp)๋ก ๋๋์ด ๋์ถ๋์๋ค [18].
2.4 ๋ฌด๊ฒ๊ฐ๋ ์ธก์ ๋ฐ SSRT ์คํ
์
์ด๋์ ๋ฐ๋ฅธ ์ฉ์ ์ด์ํฅ๋ถ (CGHAZ, ICHAZ) ๋ณ ๋ถ์ํ๊ฒฝ ๋ด ๋ฌด๊ฒ๊ฐ๋ ํน์ฑ์ ๋น๊ตํ๊ธฐ ์ํด ๊ฐ ์ํธ์ ์ด๊ธฐ ๋ฌด๊ฒ ์ธก์ ํ, ํต๊ธฐ๋ 5%
NaCl + 0.5% CH3COOH + 0.05 M Na2S ์ฉ์ก์ 10์ผ๊ฐ ์นจ์ง๋ฅผ ์งํํ์๋ค. ์นจ์ง ํ ์ํธ์ ์ด์ํ ์ธ์ฒํ์ฌ ๋ถ์์์ฑ๋ฌผ์ ์ ๊ฑฐํ ๋ค ๋ฌด๊ฒ๋ฅผ ์ธก์ ํ์ฌ ์ (8)์ ์ด์ฉํ์ฌ ๋ฌด๊ฒ๊ฐ๋์ ๊ณ์ฐํ์๋ค.
์ฌ๊ธฐ์, W(b)๋ ์นจ์ง ์ ๋ฌด๊ฒ, W(a)๋ ์นจ์ง ํ ๋ฌด๊ฒ์ด๋ฉฐ, A๋ ๋จ๋ฉด์ ์ ์๋ฏธํ๋ค.
์ค์ flux-cored arc welding (FCAW)์ ์ค์ํ ์ธ์ฅ์ํํธ์ ๋์์ผ๋ก ๊ฐ์ฌ์ ์์์ทจํ๋ฏผ๊ฐ๋ ํ๊ฐ๋ฅผ ์ํด ASTM G129 [23]์ ๋ช
์๋์ด ์๋ SSRT (slow strain rate tensile) ์คํ์ ์ํํ์๋ค. ์ฐ์ FCAW๋ Xํ ๊ทธ๋ฃจ๋ธ๋ก ์ ์๋ 15 t ๋๊ป์
ํ์ฌ๋ฅผ ๋์์ผ๋ก ํ๊ท 20 kJ/cm์ ์
์ด๋์ผ๋ก 4 pass ์ฉ์ ์ ์งํํ์๊ณ 0.08 wt% C, 1.1 wt% Mn, 0.6 wt% Si์ ์ฃผ์ฑ๋ถ์ผ๋ก
ํ๋ ์ฉ์ ์ฌ๋ฃ๊ฐ ์ ์ฉ๋์๋ค. ๊ทธ๋ฆผ 3์ FCAW ํ ์ฉ์ ์ํธ ์ฑ์ทจ์์น, ํ์ ๋ฐ ์ ์ฐจ์ ๋ํ ๊ฐ๋ตํ ๋ชจ์๋์ SSRT ํ๊ฐ๋ฅผ ์ํด ์ธ์ฅ์ํธ์ผ๋ก ์ ์๋ ์ํธ์ ํ์์ ๋ํ๋ด์๋ค.
SSRT ์คํ์ ์ํธ์ ๋งค์ฐ ๋๋ฆฐ ์๋๋ฅผ ์ธ๊ฐํ์ฌ ์ํธ์ ์์ ์ทจํ ๋ฏผ๊ฐ๋๋ฅผ ํ๊ฐํ๋ ๋ฐฉ๋ฒ์ผ๋ก ๋ณธ ์คํ์์๋ 5% NaCl + 0.5% CH3COOH + 0.05 M Na2S + 0.5% NH4SCN ์ฉ์ก ์นจ์ง ์ํ์์ 2 ร 10-6/s์ ์ผ์ ์๋๋ก ์ธ์ฅ์คํ์ ์งํํจ์ผ๋ก์จ SSC ๊ฑฐ๋ ๋ฐ ์ ํญ์ฑ์ ํ๊ฐํด๋ณด๊ณ ์ ํ์๋ค. ๋ณธ ์คํ์ฉ์ก ๋ด ์ฒจ๊ฐ๋ Na2S๋ CH3COOH์ ๋ฐ์ํ์ฌ ๋ค์๊ณผ ๊ฐ์ด H2S๋ฅผ ํ์ฑ์ํด์ผ๋ก์จ [24] sour ํ๊ฒฝ์กฐ๊ฑด์ ์ ๊ณตํ๋ค.
๋น๊ต์ฌ๋ก ๊ณต๊ธฐ ์ค์์ SSRT ์คํ์ ์ํํ์ฌ ํ๋จํ์์ ๊ด์ฐฐํ์๊ณ , ์ถ๊ฐ์ ์ผ๋ก, ์ธ์ฅ์ํ๊ณผ ๋์งํธ ์ด๋ฏธ์ง์๊ด๋ฒ (digital image correlation,
DIC)์ ํ์ฉํ์ฌ ๋์ ์๋ ฅ ํ์์ ๋ณํ๋ฅ ์ ๋ถํฌ ๋ณํ๋ฅผ ํ ๋๋ก ์๋ ฅ์ง์ค๋ถ๋ฅผ ๊ด์ฐฐํ์๋ค. DIC๋ mercury RT๋ฅผ ํ์ฉํ์ฌ 10-3/s์ ์ธ์ฅ์๋ ํ์์ ์ํธ์ ๋ณํ๋ฅ ์ ์ ์์ญ์ ๊ฑธ์ณ ๊ด์ฐฐํ๊ณ ๊ตญ๋ถ์์ญ์์ ์ง์ค๋๋ ๋ณํ๋ฅ ์ ๋๋ฅผ ์์์ฐจ๋ก ๊ตฌ๋ถํ์ฌ ๋ํ๋ด์๋ค.
3. ๊ฒฐ๊ณผ๋ฐ๊ณ ์ฐฐ
3.1 ์
์ด๋ ๋ณ ๋ฏธ์ธ์กฐ์ง ๊ด์ฐฐ ๋ฐ M-A ๋ถ์จ์ธก์
๊ทธ๋ฆผ 4๋ 20, 35, 50 kJ/cm์ ์
์ด๋์ผ๋ก ์ด๋ชจ์ฌ๋ CGHAZ ๋ฐ ICHAZ ์ํธ์ ๋ฏธ์ธ์กฐ์ง ๊ด์ฐฐ ๊ฒฐ๊ณผ๋ฅผ ๋ํ๋ธ๋ค. ์ ์ฒด์ ์ผ๋ก ๋ฒ ์ด๋์ดํธ ์กฐ์ง์ด
ํ์ฑ๋ CGHAZ์ ๊ฒฝ์ฐ ์
์ด๋์ด ์ฆ๊ฐํจ์ ๋ฐ๋ผ ๋ฒ ์ด๋์ดํธ ์กฐ์ง ๋ด lath ๋๊ป๊ฐ ์ฆ๊ฐํ์์ผ๋ฉฐ ๋น์ปค์ค ๊ฒฝ๋๋ ๊ฐ์ํ์๋ค. ์ด๋, ์
์ด๋ ์ฆ๊ฐ์ ๋ฐ๋ฅธ
๋๊ฐ์๋ ๊ฐ์์ ๊ธฐ์ธํ ๊ฒฐ๊ณผ๋ก ์
์ด๋์ด ๋์์ ์๋์ ์ผ๋ก ๊ณ ์จ ๋
ธ์ถ ์๊ฐ์ด ๊ธธ์ด ์ค์คํ
๋์ดํธ ๊ฒฐ์ ๋ฆฝ ์ฑ์ฅ์ ์ํ ์ ์จ์์ ๋ณํ๋๋ ๋ฒ ์ด๋์ดํธ lath
๋๊ป ์ฆ๊ฐ์ ๊ธฐ์ฌํ ๊ฒ์ผ๋ก ํ๋จ๋๋ค. ํํธ, ICHAZ์์๋ 20 kJ์ ์
์ด์กฐ๊ฑด์์ ํ๋ผ์ดํธ/ํ๋ผ์ดํธ ๋ฐ ๋ฒ ์ด๋์ดํธ๊ฐ ๋ณตํฉ์ ์ผ๋ก ์กด์ฌํ๋ ๋ฒ ์ด๋์ดํธ
์กด์ฌ์์ญ์ ๊ตญ๋ถ์ ํธ์ค๋๊ฐ ๋์ ๊ฒ์ผ๋ก ๋ํ๋ฌ๋ค. ๋ฐ๋ฉด 35 kJ ์ด์์ ์
์ด์กฐ๊ฑด์์๋ ๋๋ถ๋ถ ๋ฏธ์ธํ ํฌ๊ธฐ์ ํ๋ผ์ดํธ/ํ๋ผ์ดํธ ์กฐ์ง์ด ํ์ฑ๋์๋ค.
Intercritical ์์ญ์์์ ์๋ณํ๊ฑฐ๋์ ๊ณ ๋ คํด๋ณด๋ฉด, ๋ชจ์ฌ๋ฅผ ๊ตฌ์ฑํ๊ณ ์๋ ํ๋ผ์ดํธ/๋ฐด๋ ํ๋ผ์ดํธ ์กฐ์ง ์ค ๋ฐด๋ ํ๋ผ์ดํธ์ ์ธ์ ํ ํ๋ผ์ดํธ
๊ฒฐ์ ๋ฆฝ์์ ์ค์คํ
๋์ดํธ๋ก์ ์ฐ์ ๋ณํ๊ฐ ๊ตญ๋ถ์ ์ผ๋ก ์ผ์ด๋๊ธฐ ์์ํ๋ฉฐ, 20 kJ์ ์
์ด์กฐ๊ฑด์์์ ๋น ๋ฅธ ๋๊ฐ์๋๋ก ์ธํด ์ค์คํ
๋์ดํธ๋ ๋ฒ ์ด๋์ดํธ๋ก ์ฌ๋ณํํ๋
๊ฒ์ผ๋ก ์ดํด๋ ์ ์๋ค. ์ฆ, ๋ฎ์ ์
์ด์กฐ๊ฑด์์์ ๋น ๋ฅธ ๋๊ฐ์๋์์๋ ์กฐ์ง ๋ด ๋ณํ์ ๋ฒ์๊ฐ ๊ตญ๋ถ์ ์ฐ์ ๋ณํ ์์ญ์ผ๋ก ํ์ ๋์ด ๊ฒฐ๊ณผ์ ์ผ๋ก ๋ฒ ์ด๋์ดํธ๊ฐ
์กด์ฌํ๋, ์กด์ฌ์์ญ์ ๊ตญ๋ถ์ ํธ์ค๋๊ฐ ๋์ ๊ฒ์ผ๋ก ์ฌ๋ฃ๋๋ค. ๋ฐ๋ฉด, ์๋์ ์ผ๋ก ๋์ ์
์ด์กฐ๊ฑด์์๋ ์ค์คํ
๋์ดํธ ๋ณํ๊ฐ ๋ค์์ ํ๋ผ์ดํธ ๊ฒฐ์ ๋ฆฝ ์ ๋ฐ์ผ๋ก
๋ณด๋ค ํ์ฅ๋์ด ๊ฒฐ๊ตญ ๋ฏธ์ธํ ํฌ๊ธฐ์ ํ๋ผ์ดํธ/๋ถ์ฐ๋ ํ๋ผ์ดํธ ํํ์ ์กฐ์ง์ด ํ์ฑ๋๋ ๊ฒ์ผ๋ก ํ์
๋๋ค.
๊ทธ๋ฆผ 5๋ M-A์ ์ ํ์ etching ํ OM์ ํตํด ๊ด์ฐฐํ ๋ฏธ์ธ์กฐ์ง ํ์์ ๋ํ๋ด๋ฉฐ ๊ทธ๋ฆผ 6์ image analyzer๋ฅผ ํ์ฉํ์ฌ ์ ๋์ ์ผ๋ก ๋์ถํ M-A๋ถ์จ์ ๋ํ๋ธ๋ค. ์ธก์ ๊ฒฐ๊ณผ, ์ ์ฒด์ ์ธ M-A๋ CGHAZ ๋๋น ICHAZ์์ ๊ทธ
๋ถ์จ์ด ์๋์ ์ผ๋ก ๋์ ๊ฒ์ผ๋ก ๋ํ๋ฌ๋๋ฐ, ๋๋ถ๋ถ 20 kJ์ ์
์ด์กฐ๊ฑด์ด M-Aํ์ฑ ๋ฐ ๋ถ์จ์ฐจ์ด๋ฅผ ์ง๋ฐฐํ๋ ์กฐ๊ฑด์์ ์ ์ ์๋ค. ์ด๋ ์์ ์ธ๊ธํ
intercritical ์์ญ ๋ด ์๋ณํ์ ๋ฎ์ ์
์ด์กฐ๊ฑด์์์ ๋น ๋ฅธ ๋๊ฐ์๋์ ๊ธฐ์ธํ ๊ตญ๋ถ์ ์ฐ์ ๋ณํ ์์ญ์ผ๋ก์ ํ์ ํธ์ค ํ์๊ณผ ๋ฐ์ ํ ๊ด๋ จ์ด ์๋ค.
๊ฒฐ๊ตญ, ๋ฒ ์ด๋์ดํธ ์กฐ์ง์ lath ๊ณ๋ฉด์ ๊ฑธ์ณ ๊ณ ๋ฅด๊ฒ ๋ถ์ฐ๋ ํํ๋ฅผ ๋ณด์ด๋ CGHAZ ๋ด M-A์ ๋ฌ๋ฆฌ ICHAZ์์๋ ์ฃผ๋ก ๋ฒ ์ด๋์ดํธ๊ฐ ๊ตญ๋ถ์ ์ผ๋ก
๋ฐ์ง๋์ด ์กด์ฌํ๋ ์์ญ์ ํธ์ค๋ ํํ๋ก ์กด์ฌํ๋ ๊ฒฐ๊ณผ๋ฅผ ๊ฐ์ ธ์จ ๊ฒ์ด๋ค. ๋ฌผ๋ก 35 kJ ์ด์์ ์
์ด์กฐ๊ฑด์์๋ ํ ์ ํ์ฐ๊ตฌ [25]์์ ์ ์ํ M-A ๋ถ์จ (๋๋ต 2% ๋ด์ธ)๊ณผ ์ ์ฌํ๊ฒ ๋ฎ์ ์์ค์ M-A ๋ถ์จ์ด ๋์ถ๋ ๊ฒ์ ํ ๋๋ก, ๋ณธ ๊ฐ์ฌ์ ๊ฒฝ์ฐ 20 kJ์ ์ ์
์ด ์กฐ๊ฑด์
๊ตญํํ์ฌ ์๋นํ ๋์ ์์ค์ M-A ๋ถ์จ์ด ํนํ ICHAZ ๋ด์ ๋์ถ๋๋๋ฐ, ๋ฐ๋ผ์ ํน์ ๊ฐ ์ดํ์ ์
์ด์์ค์์๋ ์
์ด๋ ์กฐ๊ฑด์ ๋ฐ๋ฅธ M-A ๋ถ์จ
๋ณํ๊ฐํด ๊ฒ์ผ๋ก ์์ํด ๋ณผ ์ ์๋ค.
3.2 ํ์ฐ์ฑ ์์๋ ์ธก์
๊ทธ๋ฆผ 7์ ์ธ์์ ์ธ ์์ charging์ ํตํด, ๊ฐ์ฌ ํ๋ฉด์ ๋ถ์๋ฐ์์ ๋ฐฐ์ ํ ์ํ์์ ๊ฐ ๋ด๋ถ๋ก ์ ์
๋ ํ์ฐ์ฑ ์์๋์ ์ธก์ ํ ๊ฒฐ๊ณผ๋ฅผ ๋ํ๋ธ๋ค. ์ธ๊ฐ๋
์
์ด๋์ด ๋ฎ์์๋ก ์ ์ฒด์ ์ธ ํ์ฐ์ฑ ์์๋์ ๋๊ฒ ์ธก์ ๋์๊ณ , ํนํ 35 ๋ฐ 50 kJ์ ์
์ด๋๋น, 20 kJ์ ์
์ด์กฐ๊ฑด์์์ ์์๋์ด ํ์ ํ ๋์
์์ค์ผ๋ก ๋ํ๋ฌ๋ค. ์ด๋, ๋๊ฐ์๋๊ฐ ๋น ๋ฅธ ์กฐ๊ฑด์ผ์๋ก ์ ์จ๋ณํ์กฐ์ง (๋ฒ ์ด๋์ดํธ)์ ๋ถ์จ์ด ๋๊ฒ ํ์ฑ๋์ด ๋ด๋ถ ํ์ฐ์ฑ ์์์ ํธ๋ฉ์ฌ์ดํธ๊ฐ ์ฆ๊ฐํ ๋ฐ์
๋ฐ๋ฅธ ๊ฒ์ผ๋ก ์ผ๋ฐ์ ์ธ ์ ํ์ฐ๊ตฌ ๊ฒฐ๊ณผ [26] ๋ค๊ณผ ์ผ์นํ๋ค. ํํธ, ์ด์ํฅ๋ถ ๋ณ ์กฐ๊ฑด์ ๊ฒฝ์ฐ, CGHAZ๊ฐ ICHAZ ๋๋น ํ์ฐ์ฑ ์์๋์ด ๋๊ฒ ์ธก์ ๋์๋ค. ์ ํ๋ฌธํ์ ๋ฐ๋ฅด๋ฉด, ์ฉ์ ํ ๋๊ฐ
์ ์์ฑ๋ ์ ์จ์กฐ์ง์ธ ๋ฒ ์ด๋์ดํธ ๋ด ํ๋ผ์ดํธ/์๋ฉํ์ดํธ ๊ณ๋ฉด๊ณผ M-A์ ๊ณ๋ฉด์ ์์์์์ ๊ฐ์ญํธ๋ฉ์ผ๋ก ์์ฉํ์ฌ ๋ด๋ถ ํ์ฐ์ฑ ์์๋ฅผ ์ฆ๊ฐ์ํค๋ ๊ฒ์ผ๋ก
์๋ ค์ ธ ์๋ค [27,28]. ๋ณธ ๊ฒฐ๊ณผ๋ฅผ ๋ฐํ์ผ๋ก, ๋ณธ ์ํธ ๋ด์์ ๋์ ์์ค์ M-A๋ถ์จ ๋๋น ๋์ ์์ค์ ๋ฒ ์ด๋์ดํธ ์กฐ์ง ๋ถ์จ์ด ํ์ฐ์ฑ ์์๋ ์ฆ๊ฐ์ ๋ณด๋ค ํจ๊ณผ์ ์์ ์ง์ํ
์ ์๋ค. ์์ ์ธ๊ธํ ๋ฐ์ ๊ฐ์ด, ๋ณธ ์คํ๊ฒฐ๊ณผ๋ ํ๋ฉด ๋ถ์๋ฐ์์ด ๋ฐฐ์ ๋ ์กฐ๊ฑด์์ ๋ค๋์ ์์๋ฅผ ์ธ์์ ์ผ๋ก ์ผ์ ์๊ฐ ์ธ๊ฐ์ํค๋ฉฐ ์ ์ฒด ํ์ฐ์ฑ ์์๋์
๋์ถํ ๋ฟ, ๊ฐ ๋ด๋ถ ์์์์์ ํ์ฐ ๋ฐ ํธ๋ฉ ๊ฑฐ๋์ ๋ํ ์ธ๋ถ ์ ๋ณด๋ฅผ ์ ๊ณตํ๊ธฐ ํ๋ค๋ค. ์ด์ ๋ํ ์ถ๊ฐ์ ์ธ ๋ถ์์ ๋ค์ 3.3์ ์์ ์์ธํ ๋
ผ์๋
๊ฒ์ด๋ค.
3.3 ์ ๊ธฐํํ์ ์์ํฌ๊ณผ ๊ฑฐ๋ ๋ถ์
๊ทธ๋ฆผ 8์ ์ฉ์ ์กฐ๊ฑด ๋ณ ์ํธ์ ์์ํ์ฐ๊ฑฐ๋์ ํ๊ฐํ๊ธฐ ์ํด ์ํ๋ ์ ๊ธฐํํ์ ํฌ๊ณผ์คํ์์์ decay ๊ทธ๋ํ๋ฅผ ๋ํ๋ธ๋ค. ๋ํ, ๊ทธ๋ฆผ 9๋ ์คํ์ ์ผ๋ก ์ป์ด์ง decay ๊ทธ๋ํ๋ฅผ curve fitting ํ ํ ๋์ถํ ์์ํ์ฐ๊ณ์ (Dapp_decay(fitting))๋ฅผ ๋ํ๋ธ๋ค. ์ค์ ๋ก, ์์ํฌ๊ณผ ์์น๊ณก์ ์ ์ฐ์ ํ๋ณดํ์์ผ๋ ๊ทธ ๊ฒฝ์ฐ ํฌ๊ณผ์ ๋ ๊ฐ์ ์ฌํ์ฑ์ด ์ถฉ๋ถํ ํ๋ณด๋์ง ์์๋ค. ๋ณธ ์ํํธ์ ASTM A516
์์ฉ๊ฐ์ฌ๋ก, ๊ฐ์ฌ๋ฌผ ์์ค์ ์ด๊ฐ ๋์ง ์์ ๋ด๋ถ ๊ฐ์ฌ๋ฌผ์ ํฌ๊ธฐ ๋ฐ ๋ถ์จ์ด ๋์ ์ผ๋ฐ์ฌ์ ํด๋น๋๋ฉฐ, ์ด ๊ฒฝ์ฐ ์์ํฌ๊ณผ ์ด๊ธฐ data์ ์ฌํ/์ ๋ขฐ์ฑ์ด ๋ฎ์
์์ํ์ฐ๊ฑฐ๋ ํด์์ ์์ด ์ค๋ฅ์ ๊ฐ๋ฅ์ฑ์ด ๋์ ๊ฒ์ผ๋ก ํ๋จํ์๋ค. ๋ฐ๋ผ์, ์์ํฌ๊ณผ ์ด๊ธฐ์ ์ํธ ํ๋ฉด ๋ฐ ๋ด๋ถ์ ์กด์ฌํ๋ ๊ฐ์ฌ๋ฌผ์ ์ํ ์์ํ์ฐ์
์ํฅ์ ๋ฐฐ์ ํ๊ณ , ๊ฒฉ์ ๋ฐ ๊ฐ์ญํธ๋ฉ๋ง์ด ๊ฐ์
๋์ด ํ์ฐ๊ฑฐ๋์ ๋ถ์ํ๋ desorption ํ decay ๊ณก์ ๋ถ์์ ํตํ ํ์ฐ๋ณ์ ๊ฐ ๋์ถ์ด ๋ณด๋ค ์ ๋ขฐ๋๊ฐ
๋์ ๊ฒ์ผ๋ก ํ์ธ๋์ด ๋ถ์์ ์ํํ์๋ค.
๊ทธ๋ฆผ 8์์ ๋ณด์ด๋ ๋ฐ์ ๊ฐ์ด, ์์์์์ ํ์ฐ ์๋๋ ์
์ด๋์ด ๋ฎ์ 20 kJ ์ํธ์์ ๊ฐ์ฅ ๋๋ฆฌ๊ฒ ์ธก์ ๋์์ผ๋ฉฐ ์
์ด๋์ด ์ฆ๊ฐํ ์๋ก ์์์์์ ํ์ฐ์๋๋
์ฆ๊ฐํ๋ ๊ฒฝํฅ์ ๋ํ๋ด์๋ค. ์ฐธ๊ณ ๋ก ํ 2์ decay ๊ณก์ ์์ ๋์ถ๋ ํ์ฐ๊ณ์ (Dapp_decay(fitting))์ ์์ํฌ๊ณผ์ด๊ธฐ ์ ๋ฅ ๊ฐ์ด ์ ํ์ ์ผ๋ก ์์นํ๊ธฐ ์์ํ๋ ๊ตฌ๊ฐ์ ์ธ์ฝํ์์ ๋์ ์๊ฐ (tbt)์ ํตํด ๋์ถ๋ ํ์ฐ๊ณ์ (Dapp_rising(tbt))๊ฐ๊ฐ์ ๋น๊ตํ์ฌ ๋ํ๋ด์๋๋ฐ, ์ ๋ฐ์ ์ผ๋ก (Dapp_decay(fitting)) ๋๋น (Dapp_rising(tbt))๊ฐ์ด ๋๊ฒ ๋์ถ๋์๊ณ , ํนํ ์กฐ์ง ๋ด ์ ์จ๋ณํ์์ ๋ถ๊ท ์ผํ ํธ์ค๋๊ฐ ๋๊ฒ ๋ํ๋ 20 kJ์ ์
์ด์กฐ๊ฑด์์ ๊ทธ ์ฐจ์ด๊ฐ ์๋์ ์ผ๋ก ํฌ๊ฒ ๋ํ๋ฌ์ผ๋,
์ํธ ๋ณ ์ฉ์ ์
์ด ์กฐ๊ฑด์ ๋ฐ๋ฅธ ๊ฒฝํฅ์ฑ์ ๋์ผํ๊ฒ ๋ํ๋ฌ๋ค. ๋ํ, ์ ์ฌ๊ฐ์ข
์ ๋์์ผ๋ก ์ํํ ์ ํ์ฐ๊ตฌ [29]์์ ์ ์๋ ํ์ฐ๊ณ์ ๊ฐ๋ค (๋ชจ์ฌ๊ธฐ์ค 1โ2 ร 10-9m2/s) ๊ณผ์ ๋น๊ต ์ธก๋ฉด์์๋ ์ ์ ๋ฒ์ ๋ด์ ์๋ ๊ฒ์ผ๋ก ํ๋จ๋๋ค.
์ ํ๋ฌธํ์ ๋ฐ๋ฅด๋ฉด M-A์ ๋ด ๋ง๋ฅดํ
์ฌ์ดํธ/์ค์คํ
๋์ดํธ ๊ณ๋ฉด์ binding ์๋์ง๋ ๋๋ต 52 kJ/mol [30] ์ ๋์ด๋ฉฐ ๋ฒ ์ด๋์ดํธ ์กฐ์ง ๋ด ํ๋ผ์ดํธ/์๋ฉํ์ดํธ ๊ณ๋ฉด์ binding ์๋์ง (11-18 kJ/mol) [5,31] ๋๋น ๋์ ์์ค์ผ๋ก ์์์์ ํ์ฐ์๋๋ฅผ ๊ฐ์์ํค๋๋ฐ ํฌ๊ฒ ๊ธฐ์ฌํ ๊ฒ์ด๋ผ๊ณ ํ๋จ๋์์ผ๋ ์ค์ ์คํ์ ์ผ๋ก ํ๋ํ ์์์์์ ํ์ฐ์๋๋ CGHAZ๊ฐ
๋ฎ๊ฒ ์ธก์ ๋์๋ค. ์ด๋, ๋์ ๋ถ์จ์ ๋ฒ ์ด๋์ดํธ๊ฐ ์๋์ ์ผ๋ก ํธ์ค๋์ด ์๋ M-A ๋๋น ์์์์์ ํจ๊ณผ์ ์ธ ํธ๋ฉ์ฌ์ดํธ๋ก ์์ฉํ์ฌ ์์์์์ ํ์ฐ์๋๋ฅผ
ํฌ๊ฒ ๊ฐ์์ํจ ๊ฒ์ผ๋ก ํ๋จ๋์๋ค. ํนํ, ICHAZ์ ๊ฒฝ์ฐ ๋ฏธ์ธ์กฐ์ง ๊ด์ฐฐ ๊ฒฐ๊ณผ์์ ์ธ๊ธํ ๋ฐ์ ๊ฐ์ด, ๊ตญ๋ถ์ ์ผ๋ก ํธ์ค๋ M-A์ ํ๋ผ์ดํธ์ ๋ฏธ์ธ์กฐ์ง์
M-A์ ์ ํ์ ์ผ๋ก ์์์์๊ฐ ์ผ๋ถ ํธ๋ฉ ๋๋ค ํ ์ง๋ผ๋ ์์์์์ ํ์ฐ์๋๊ฐ ๋น ๋ฅธ ํ๋ผ์ดํธ ๊ธฐ์ง๋ฅผ ํตํด ์์์์๋ ์ฉ์ดํ๊ฒ ํ์ฐํ์ฌ ์์์์์ ํ์ฐ์๋๊ฐ
์๋์ ์ผ๋ก ๋์ ๊ฒ์ผ๋ก ์ถ์ธก๋์๋ค. ์ถ๊ฐ์ ์ผ๋ก, ๊ฐ์ฌ ๋ด ์์์์์ ํธ๋ฉ๋ฐ๋๋ฅผ ์ธก์ ๋ฐ ๋น๊ตํ๊ธฐ ์ํด, ์ (7)๋ฅผ ํตํด ํธ๋ฉ๋ฐ๋๋ฅผ ๋์ถํ์์ผ๋ฉฐ, ๊ทธ ๊ฒฐ๊ณผ๋ฅผ ๊ทธ๋ฆผ 10์ ๋ํ๋ด์๋ค. ๊ฐ์ฌ ๋ด๋ถ ์์์์์ ํธ๋ฉ๋ฐ๋๋ ํ์ฐ์ฑ ์์๋์ด ๋๊ณ ๋ฐ ์์ํ์ฐ๊ณ์๊ฐ ๋ฎ์ ๊ฒฝํฅ๊ณผ ์ ์์ํ์์ผ๋ฉฐ ์
์ด๋์ด ๋ฎ์์๋ก, ๋ฒ ์ด๋์ดํธ
๋ถ์จ์ด ๋์์๋ก ๋ด๋ถ ํธ๋ฉ๋ฐ๋๋ ๋๊ฒ ์ธก์ ๋์๋ค. ์์ ์ผ๋ จ์ ๊ฒฐ๊ณผ๋ฅผ ๋ฐํ์ผ๋ก, ์์์์์ ๋ฎ์ ํ์ฐ๊ณ์์ ๋์ ํ์ฐ์ฑ ์์๋์ ๋ฐํ์ผ๋ก ํ๋จํ๊ฑด๋ฐ,
์์์ทจํํน์ฑ์ด ๊ฐ์ฅ ์ด์ํ ์ง์ญ์ CGHAZ์ผ ๊ฒ์ผ๋ก ์ฝ๊ฒ ์์ํ ์ ์๋ค. ํ์ง๋ง, ์ค์ ์ฉ์ ์ํธ์ ๋์์ผ๋ก, H2S๊ฐ ํฌํจ๋ ๋ถ์ ํ๊ฒฝ ๋ด์์ ์ธ์ฅ์คํ์ ์ํํ ๊ฒฐ๊ณผ, ์์ ์์๊ณผ ๋ค๋ฅธ ๊ฒฐ๊ณผ๊ฐ ๋์ถ๋์๊ณ ์์ธํ ๊ฒฐ๊ณผ๋ ๋ค์ 3.4์ ์์ ์์ธํ ๋
ผ์๋ ๊ฒ์ด๋ค.
3.4 SSRT ์คํ ๋ฐ ๋ฌด๊ฒ๊ฐ๋ ์ธก์
๊ทธ๋ฆผ 11์ CGHAZ ๋ฐ ICHAZ ์ํธ์ 10์ผ๊ฐ ๋ถ์ํ๊ฒฝ ๋ด ์นจ์ง ํ ๋ฌด๊ฒ๊ฐ๋ ๋ฐ ๋จ๋ฉด ํ์์ ๋ํ๋ธ๋ค. ๊ทธ๋ฆผ 11 (a)์์ ๋ณด์ด๋ ๋ฐ์ ๊ฐ์ด, CGHAZ์ ๋ฌด๊ฒ๊ฐ๋์ ICHAZ ๋๋น ๋๊ฒ ์ธก์ ๋์๋๋ฐ ์ด๋ CGHAZ์ ๋์ ๋ฒ ์ด๋์ดํธ ๋ถ์จ์ ๊ธฐ์ธํ์ฌ ์ ์ฒด์ ์ธ ๋ถ์์ ํญ์ฑ์ด
๋ค์ ๋ฎ์ ๊ฒ์ผ๋ก ํ๋จํ ์ ์๋ค. ํ์ง๋ง ๊ฐ ์ํธ์ ๋จ๋ฉด๋ถ ๊ด์ฐฐ ๊ฒฐ๊ณผ, ICHAZ ํ๋ฉด์์๋ pitting๊ณผ ์ ์ฌํ ํํ์ ๊ตญ๋ถ์ ๋ถ์ํ์ ์ด ๊ด์ฐฐ๋์๋ค
(๊ทธ๋ฆผ 11(b)). ์ํธ ์ ์์ญ์ ๊ฑธ์ณ ๋ฒ ์ด๋์ดํธ ์กฐ์ง์ด ํ์ฑ๋์ด ์๋ CGHAZ ๋๋น, ICHAZ์ ๊ฒฝ์ฐ M-A์ ๊ตญ๋ถํธ์ค๋๊ฐ ๋์ ๊ฒ๊ณผ ๋ฐ์ ํ ๊ด๋ จ์ด ์๋
๊ฒ์ผ๋ก ์ง์ํ ์ ์๋ค.
๊ทธ๋ฆผ 12๋ ์ค์ ์ฉ์ (FCAW: 20 kJ์ ์
์ด์กฐ๊ฑด) ์ํธ์ ๋์์ผ๋ก ์ฉ์ ํ ๊ณต๊ธฐ ์ค์์ SSRT ์คํ ํ ๊ด์ฐฐํ ์ํธ์ ํ๋จํ์ (12 (a)) ๋ฐ
DIC๋ฅผ ํตํด ํ์ธํ ๋์ ํ์ค ํ์์์ ์๋ ฅ์ง์ค๋ถ (12 (b)), ๊ทธ๋ฆฌ๊ณ H2S๊ฐ ํฌํจ๋ ๋ถ์ํ๊ฒฝ ๋ด์์ SSRT ์คํ ํ ๊ด์ฐฐํ ์ํธ์ ํ๋จํ์ (12 (c))์ ๋ํ๋ธ๋ค. DIC ๊ฒฐ๊ณผ๋ฅผ ํ ๋๋ก, ์ธ์ฅ์๋ ฅ์ด ์ง์ค๋๋ ์์ญ์
๊ฐ์ฅ ์ฐํ์กฐ์ง์ ํ์ฑํ๊ณ ์๋ ๋ชจ์ฌ๋ถ์์ ํ๋จํ ์ ์๊ณ ์ต์ข
ํ๋จ์์ญ ๋ํ ์์ ๋ชจ์ฌ๋ถ๋ก ๊ตญํ๋๋ฉฐ ๋คํน ํ์์ ์๋ฐํ์์์ ์ ์ ์๋ค. ํ์ง๋ง
H2S๊ฐ ํฌํจ๋ ๋ถ์ํ๊ฒฝ ๋ด์ ๋
ธ์ถ๋ ๊ฒฝ์ฐ, ๊ท ์ด๊ฐ์ ๋ฐ ์ ํ์์ญ ๊ด์ฐฐ์ ํตํ ํ๋จ์์์ ๊ณ ๋ คํด๋ณผ ๋, ๋ชจ์ฌ๋ถ๊ฐ ์๋ ICHAZ์์ ๊ท ์ด๊ฐ์๊ฐ ์ด๋ฃจ์ด์ง๊ณ ,
SCHAZ ๋ฐ ๋ชจ์ฌ๋ถ ์ชฝ์ผ๋ก ๊ท ์ด์ ํ๊ฐ ์ผ์ด๋๋ฉฐ ๋คํน์ด ๊ฑฐ์ ๊ด์ฐฐ๋์ง ์์์ ์ ์ ์๋ค. ์ฆ, ์ธ์ฅ์๋ ฅ์ด ๊ฐ์ฅ ์ง์ค๋๋ ๋ชจ์ฌ๋ถ๊ฐ ์๋ ICHAZ๋ก
๊ท ์ด๊ฐ์์์ญ์ด ์ฎ๊ฒจ๊ฐ๋ฉฐ ์ทจํํ์์ด ๊ฐ์
๋ ๊ฒ์ผ๋ก ํ์
๋๋ค. ๊ทธ๋ฆผ 12 (c)์ SSRT ํ ๊ด์ฐฐ๋ ํ๋จ์ํธ ํ๋จ๋ถ์์ ์ฌ๊ฐํ ๋ฐ์ค๋ก ํ์๋ ํ์ดํ ์์ญ์ ํฌํจํ ํ๋จ๋ฉด์ ๊ด์ฐฐํ์ฌ ๊ทธ๋ฆผ 12 (d)์ ๋ํ๋ด์๋ค. ์ฃผ๋ก ์ฐ์ฑ ํ๋ฉด์ธ micro dimple (M.D) ํํ์ด๋ ์ผ๋ถ ์์ญ์ ์ค๋ฒฝ๊ฐ ํ๋ฉด์ธ quasi cleavage (Q.C)๊ฐ ๊ด์ฐฐ๋์๊ณ ,
๊ทธ Q.C ํจํด์ ํ๋ฉด์์ ์์๋์ด ์ค์ฌ๋ถ์ ์ด๋ฅด๋ ์์ญ์ ๊ฑธ์ณ ์ฐ๊ฒฐ๋ ํํ๋ก ๋ํ๋ฌ๋ค. ์ด๋ก ์ ์ผ๋ก, H2S๊ฐ ํฌํจ๋ ๋ถ์ ํ๊ฒฝ์ ๊ฐ์ฌ๊ฐ ๋
ธ์ถ๋ ๊ฒฝ์ฐ ๊ฐ์ฌ์ ์๊ทน์ฉํด ๋ฐ ์๊ทนํ์ ๋ฐ์์ ๊ธฐ์ธํ ์์์ ์
๋ฐ ์ทจํํ์์ด ๋ฐ์ํ๊ณ , ํ๋ฉด์ ์ ์ฐจ ํฉํ๋ฌผ/์ฐํ๋ฌผ
๊ธฐ๋ฐ์ ๋ถ์์์ฑ๋ฌผ๋ก ๋ฎ์ฌ๊ฐ๋ ํ์์ด ๊ฐ์
๋๋ค. ์ ์ ์ ๋ถ์๊ฒฐ๊ณผ๋ฅผ ํ ๋๋ก ์์์ ์
์ ๋ฐ๋ฅธ ์ทจํ๋ ์ธก๋ฉด์์๋ CGHAZ์์ ์ทจ์ฑ๊ท ์ด์ ๊ฐ์์ ์ ํ๊ฐ
๋ฐ์ํ ๊ฒ์ผ๋ก ์์ํ ์ ์์ผ๋, ์ค์ ํ๋จ๊ฒฐ๊ณผ๋ ์์๊ณผ ๋ค๋ฅด๊ฒ ๋ํ๋ฌ๋ค.
๊ทธ๋ฆผ 13 (a)์์ ๋ณด์ด๋ ๋ฐ์ ๊ฐ์ด ํ๋จ๋ฉด ์ธ๊ทผ ๋ฏธ์ธ์กฐ์ง์ ํ๋ผ์ดํธ ๋ฐ ์ ์จ๋ณํ์กฐ์ง์ด ๊ณต์กดํ์ฌ ์กด์ฌํ๋ ํ์์ด ๋ํ๋๋ฉฐ ๊ท ์ด๋ถ ์ธ๊ทผ์์ญ์ ๋น์ปค์ค ๊ฒฝ๋ ๊ฐ์ด 180
HV ์ด์์ผ๋ก ๋๊ฒ ์ธก์ ๋๊ธฐ๋ ํ์๋ค. ๋ํ, ๊ทธ ํ๋จ๋ถ ICHAZ ์ธ๊ทผ์์ญ ํ๋ฉด์๋ pitting๊ณผ ์ ์ฌํ ๊ตญ๋ถ๋ถ์ ํํ์ ์์์ด ๋น๋ฒํ ๊ด์ฐฐ๋์๋ค
(๊ทธ๋ฆผ 13 (b)). ์ ํ์ฐ๊ตฌ์ ๋ฐ๋ฅด๋ฉด ๋ด๋ถ ์๋ฅ์๋ ฅ์ด ๋์ ์ ์จ๋ณํ์กฐ์ง์ ๊ฒฝ์ฐ, ์ฒ ์์์ ์๊ทน์ฉํด๋ฐ์์ ๋ํ ํ์ฑํ์๋์ง ์ฅ๋ฒฝ์ด ๋ฎ์ ์๊ทน ์ฉํด๋ฐ์์ด ์ด์ง๋๋ค๊ณ
์๋ ค์ ธ ์๋ค [32]. ๋ณธ ์ฐ๊ตฌ์์์ ๊ฐ์ด H2S๋ฅผ ํฌํจํ ์ฐ์ฑ๋ถ์๊ธฐ ๋ด์์, ๋ฒ ์ด๋์ดํธ ๋ฐ M-A ๋ฑ์ ์ ์จ๋ณํ์์ด ๊ตญ๋ถ์ ์ผ๋ก ํธ์ค๋์ด ์๋ ICHAZ๋ ๊ตญ๋ถ์ ์ฉํด๋ฐ์์ด ์ด์ง๋์ด pitting
ํํ์ ๋ถ์์์์ด ๋ฐ์๋๋ฉฐ ์ธ๋ถ์์ ์ธ๊ฐ๋ ์ธ์ฅ์๋ ฅ์ด ๋ณด๋ค ์ง์ค๋ ์ ์๋ ์กฐ๊ฑด์ ์ ๊ณตํ๋ ๊ฒ์ผ๋ก ํ๋จ๋๋ค. ๋ํ ๊ทธ๋ฆผ 13 (b)์์ ํ๋ฉด๋ถ ๋ถ์ ์ด์ธ์ ํ๋จ๋ถ ์กฐ๋ ๊ท ์ด์ ํ์ธํ ์ ์๋ค. ๊ฐ ๋ด๋ถ์์๋ ์ฃผ๋ก ๋น๊ธ์ ๊ฐ์ฌ๋ฌผ/์์ถ๋ฌผ ๋ฑ์์ ์ทจํ๊ท ์ด์ด ๊ฐ์๋์ด SSC ํ๋จ์ ์ผ์ผํจ๋ค๋
์ ํ์ฐ๊ตฌ [33] ๊ฒฐ๊ณผ๋ฅผ ๊ณ ๋ คํ ๋, ICHAZ์์ ๊ฐ์๋์ด ๋ฐ์๋ ํ๋จ์ ํ๋ฉด์์ ํ์ฑ๋ pitting ํํ์ ๊ตญ๋ถ์ ์์์ด ๋ด๋ถ blister ๊ท ์ด (hydrogen
induced blister cracks, HIBC) [33]๊ณผ ์ฐ๊ฒฐ๋๋ฉฐ ์๋ ฅ์ง์ค์ ๊ฐ์ํ์ํจ๋ฐ์ ๋ฐ๋ฅธ ๊ฒ์ผ๋ก ์ถ์ธก๋๋ค. ๋ฐ๋ฉด, 35 kJ์ ๋์ ์
์ด์กฐ๊ฑด ํ์์ ์ํธ์ ํ๋ํ ํ ๋ถ์ํ๊ฒฝ ๋ด ๋์ผ ์คํ ์ํ
์์๋, ๊ฐ์ฅ ์ฐํ ์กฐ์ง์ ํ์ฑํ๊ณ ์๋ ๋ชจ์ฌ๋ถ์์ ํ๋จ์ด ๋ฐ์ํ ์ถ๊ฐ์คํ๊ฒฐ๊ณผ๋ฅผ ๊ณ ๋ คํ ๋, ๋ณธ ๊ฐ์ฌ์ ์ทจ์ฑํ๊ดด๊ฑฐ๋ ๋ฐ ํ๋จ์์น๋ ์
์ด๋์ ํฌ๊ฒ ์์กดํ๋ฉฐ,
20 kJ์ ์ ์
์ด ์กฐ๊ฑด์ ๊ตญํํ์ฌ ICHAZ ์กฐ์ง ๋ด ์ ์จ๋ณํ์์ ๋์ ๊ตญ๋ถ์ ํธ์ค๋์ ๊ธฐ์ธํ์ฌ ์ทจ์ฑํ๊ดด ์ ํญ์ฑ์ด ๊ฐ์ฅ ์ด์ํ๊ฒ ๋ํ๋ ๊ฒ์ผ๋ก ์ฌ๋ฃ๋๋ค.
์์ปจ๋, ๊ฐ์ฌ ๋ด๋ถ ์์ํ์ฐ๊ณ์๊ฐ ๋ฎ๊ณ , ํ์ฐ์ฑ์์๋์ด ๋์ CGHAZ์ ๊ฒฝ์ฐ ์์์ทจํ๋๊ฐ ๊ฐ์ฅ ๋๊ฒ ํ๊ฐ๋ ์ ์์ผ๋, H2S๋ฅผ ํฌํจํ ์ฐ์ฑํ๊ฒฝ์ ๋
ธ์ถํ์ฌ ์๋ ฅ์ธ๊ฐ ์, ํ๋จ์ ํญ์ฑ์ด ๊ฐ์ฅ ๋ฎ์ ์์ญ์ ์ ์จ๋ณํ์์ ๋ถ์จ์ ์๋์ ์ผ๋ก ๋ฎ์ผ๋ ๊ตญ๋ถํธ์ค๋๊ฐ ๊ฐ์ฅ ๋์ ICHAZ์์
ํ์ธํ์๋ค. ์ด์ ๊ฐ์ด 20 kJ์ ์ ์
์ด ์กฐ๊ฑด ํ์์ ICHAZ ์กฐ์ง ๋ด ํ์ฑ๋ ์ ์จ๋ณํ์์ ๋์ ๊ตญ๋ถํธ์ค๋๋ ๋ถ์๊ณผ ์๋ ฅ์ ๋ณตํฉ์กฐ๊ฑด ํ์์ ๊ตญ๋ถ์
๋ถ์์์์ ์ ๋ฐํ๋ฉฐ ์๋ ฅ ์ง์ค์ ๋ฐ๋ฅธ ํ๋จ์ ํญ์ฑ์ ๊ฐ์์ํค๋ ๊ฒ์ผ๋ก ์ฌ๋ฃ๋๋ค. ๋ค๋ง ๋ณธ ์ฐ๊ตฌ๋ ์ ๊ธฐํํ์ ์์์ธ๊ฐ์กฐ๊ฑด๊ณผ H2S๋ฅผ ํฌํจํ ์ฐ์ฑํ๊ฒฝ์ ๋
ธ์ถํ์ฌ ์๋ ฅ์ธ๊ฐ ์กฐ๊ฑด์์์ ๊ฐ์ฌ ๋ด๋ถ ์์๋ ๋ฑ์ ์ฐจ์ด ์ ๋ฌด์ ๋ํ ์ถ๊ฐ์ฐ๊ตฌ๊ฐ ํ์ํ๋ค๋ ํ๊ณ๋ฅผ ๋ด์ ํ๊ณ ์์ผ๋ฉฐ, ๋ค์ธต์ฉ์ ๊ณต์
ํ์์ ์ค๋ณต ์ด์ด๋ ฅ ์กฐ๊ฑด์ผ๋ก ๋ฏธ์ธ์กฐ์ง์ด ํ์ฑ๋๋ ์์ญ (e.g. ICCGHAZ, CGICHAZ, ICICHAZ ๋ฑ)์ ๋์์ผ๋ก ๋ณด๋ค ์ธ๋ถํํ์ฌ ํฅํ
์ถ๊ฐ ์ฐ๊ตฌ๋ฅผ ์งํํด ๋ณผ ํ์๊ฐ ์๋ค.
4. ๊ฒฐ ๋ก
๋ณธ ์ฐ๊ตฌ์์๋ ์๋ ฅ์ฉ๊ธฐ์ฉ A516-65 ๊ฐ์ฌ๋ฅผ ๋์์ผ๋ก ์์ดํ ์ฉ์ ์
์ด๋ (20, 35, 50 kJ/cm)์ผ๋ก ์ด ๋ชจ์ฌ๋ ์ด์ํฅ๋ถ์ ์์ํ์ฐ๊ฑฐ๋
๋ฐ ์ทจ์ฑํ๊ดด ํน์ฑ์ ๋ํ ๋ถ์์ ์ํํ์๋ค. ์ฃผ์ ์คํ๊ฒฐ๊ณผ๋ ์๋์ ๊ฐ์ด ๊ฐ๋ตํ ์์ฝ๋๋ค.
1) ์ธ ์
์ด์กฐ๊ฑด ๋ชจ๋์์ CGHAZ ๋ด ๋ฒ ์ด๋์ดํธ๊ฐ ๊ด์ฐฐ๋์๊ณ ICHAZ์์๋ 20 kJ์ ์
์ด์กฐ๊ฑด์์ ํ๋ผ์ดํธ์ ๋ฒ ์ด๋์ดํธ๊ฐ ๋ณตํฉ์ ์ผ๋ก ์กด์ฌํ๋
๋ฒ ์ด๋์ดํธ ์กด์ฌ์์ญ์ ๋ถ๊ท ์ผํ ํธ์ค๋๊ฐ ๋์ ๊ฒ์ผ๋ก ๋ํ๋ฌ๋ค. ๋ฐ๋ฉด 35 kJ ์ด์์ ์
์ด์กฐ๊ฑด์์๋ ๋๋ถ๋ถ ๋ฏธ์ธํ ํฌ๊ธฐ์ ํ๋ผ์ดํธ/ํ๋ผ์ดํธ ์กฐ์ง์ด
ํ์ฑ๋์๋ค. M-A ๋ถ์จ ์ธก์ ๊ฒฐ๊ณผ 20 kJ์ ์
์ด์กฐ๊ฑด์์ CGHAZ์ ICHAZ ๋ชจ๋์์ ๋์ M-A ๋ถ์จ์ด ์ธก์ ๋์๋๋ฐ, CGHAZ ๋๋น ICHAZ์์
M-A ๋ถ์จ๊ณผ ํจ๊ป ์กด์ฌ์์ญ์ ๊ตญ๋ถ์ ํธ์ค๋ ๋ํ ๋์ ๊ฒ์ผ๋ก ๋ํ๋ฌ๋ค.
2) ์ธ์์ ์์ charging ๋ฐ ํฌ๊ณผ์คํ๊ฒฐ๊ณผ, ๋ฒ ์ด๋์ดํธ์ M-A ๋ชจ๋ ์์์์์ ๊ฐ์ญํธ๋ฉ์ผ๋ก ์์ฉํ์ฌ, ํ์ฐ์ฑ ์์๋ ์ฆ๊ฐ์ ๊ธฐ์ฌํ ์ ์์ผ๋ฉฐ,
๋ฒ ์ด๋์ดํธ ๋ถ์จ์ด ๋ณด๋ค ๋์ CGHAZ์ ํ์ฐ์ฑ ์์๋์ด ๋ณด๋ค ๋๊ฒ ์ธก์ ๋จ์ ํ ๋๋ก, ๋ณธ HAZ ๋ชจ์ฌ ์ํธ์์ M-A ๋๋น ๋ฒ ์ด๋์ดํธ์ ์์ํธ๋ฉ ํจ์จ์ด
๋ณด๋ค ๋์ ๊ฒ์ผ๋ก ํ๋จ๋์๋ค.
3) FCAW (20 kJ/cm์ ์
์ด์กฐ๊ฑด) ์ํํธ์์, ๊ณต๊ธฐ ์ค์์ ์ํ๋ SSRT ์คํ๊ฒฐ๊ณผ์ ๋ฌ๋ฆฌ sour ํ๊ฒฝ ๋ด์์๋ ICHAZ์์ ํ๋จ์ด
๋ฐ์ํ์๋ค. CGHAZ์ ๊ฒฝ์ฐ ์์ํธ๋ฉ ๋ฐ๋ ๋ฐ ํ์ฐ์ฑ์์๋์ด ๊ฐ์ฅ ๋๊ฒ ์ธก์ ๋์ด ์ทจ์ฑํ๋จ์ ๊ฐ์ ๋ฐ ์ ํ์์ญ์ด ๋ ๊ฒ์ผ๋ก ์์ํ ์ ์์ผ๋ ์ค์
SSC ํ๋จ์ ํญ์ฑ์ด ๊ฐ์ฅ ๋ฎ์ ์์ญ์ ICHAZ๋ก ๋ค๋ฅด๊ฒ ๋ํ๋ฌ๋ค. ICHAZ์ ๊ฒฝ์ฐ, ์ ์จ๋ณํ์์ ๋ถ์จ์ ์๋์ ์ผ๋ก ๋ฎ์ผ๋ ๊ตญ๋ถํธ์ค๋๊ฐ ๋์ ๋ถ์๊ณผ
์๋ ฅ์ ๋ณตํฉ์กฐ๊ฑด ํ์์ ๊ตญ๋ถ์ ๋ถ์์์์ ์ ๋ฐํ๋ฉฐ, ๊ทธ๋ก์ธํ ์๋ ฅ์ง์ค์ด ํ๋จ์ ํญ์ฑ์ ๊ฐ์์ํค๋ ์ฃผ ์์ธ์ผ๋ก ์ฌ๋ฃ๋๋ค.
Acknowledgements
This research was partly funded and conducted under the Competency Development Program
for Industry Specialists of the Korean Ministry of Trade, Industry and Energy (MOTIE),
operated by the Korea Institute for Advancement of Technology (KIAT) (No. P0002019,
HRD Program for High Value-Added Metallic Materials Expert). In addition, this work
was supported in part by the National Research Foundation of Korea (NRF) grant funded
by the Korea government (MSIT) (No. 2019R1C1C1005007).
REFERENCES
Shin T. W., Jang B. S., Koh J. H., J. Weld. Join,34, 61 (2016)

Groysman A., Koroze a ochrana materialu,61, 100 (2017)

Han I. W., Hong S. T., J. Weld. Join,28, 125 (2010)

Zhu S. D., Fu A. Q., Miao J., Yin Z. F., Zhou G. S., Wei J. F., Corros. Sci,53, 3156
(2011)

Hong G. W., Lee J. Y., J. Mater. Sci,18, 271 (1983)

Wang S., Liu D., Du N., Zhao Q., Xiao J., Int. J. Electrochem. Sci,11, 8797 (2016)

Wang G., Yan Y., Li J., Huang J., Su Y., Qiao L., Corros. Sci,77, 273 (2013)

Santos L. P. M., Beres M., Bastos I. N., Tavares S. S. M., Abreu H. F. G., Gomes M.
J., Corros. Sci,101, 12 (2015)

Venezuela J., Liu Q., Zhang M., Zhou Q., Atrens A., Corros. Sci,99, 98 (2015)

Kawashima A., Hashimoto K., Shimodaira S., Corrosion,32, 321 (1976)

Liao C. M., Lee J. L., Corrosion,50, 695 (1994)

Kimura M., Miyata Y., Yamane Y., Toyooka T., Nakano Y., Murase F., Corrosion,55, 756
(1999)

Lee J. H., Kim M. H., Park Y. D., Park C. H., Kim C. H., Kang N. H., Korean J. Met.
Mater,57, 491 (2019)

Park J. S., Seong H. G., Kim S. J., Corros. Sci. Tech,18, 267 (2019)

Rosenthal D., Weld. J,20, 220 (1941)

Ikawa H., Oshige H., Tanoue T., J. Japan. Weld,49, 467 (1980)

JIS Z3113, Method for measurement of hydrogen evolved from deposited metal, (1975)
ISO 17081, Method of measurement of hydrogen permeation and determination of hydrogen
uptake and transport in metals by an electrochemical technique, (2004)
Kim S. J., Seo H. S., Kim K. Y., Met. Mater. Int,21, 666 (2015)

Gan L., Huang F., Zhao X., Liu J., Cheng Y. F., Int. J. Hydrogen Energ,43, 2293 (2018)

Zakroczymski T., Eletrochim. Acta,51, 2261 (2006)

Bolzon G., Boukharouba T., Gabetta G., Elboujdaini M., Mellas M., Integrity of pipelines
transporting hydrocarbons,68Springer Netherlands (2011)

ASTM G129, Standard practice for slow strain rate to evaluate the susceptibility of
metallic materials to environmentally assisted cracking, (2013)
Ian Sutton, Plant Design and Operations,465Gulf Professional (2017)

Kim I., Nam H. B., Lee M. J., Nam D. G., Park Y. D., Kang N. H., Metals,8, 638 (2018)

Park G. T., Koh S. U., Jung H. G., Kim K. Y., Corros. Sci,50, 1865 (2008)

Devillers L., Kaplan D., Testard P., Weld. world,31, 8 (1993)

Honeycombe R., Bhadeshia H. K. D. H., Steels-Microstructure and Properties,265Butterworth-Heinemann
(1995)

Kim S. J., Yun D. W., Jung H. G., Kim K. Y., J. Electrochem. Soc,161, 173 (2014)

Turnbull A., Hutchings R. B., Mat. Sci. Eng. A-Struct,177, 161 (1994)

Choo W. Y., Lee J. Y., Metall. Mater. Trans,13A, 135 (1982)

Ma H. C., Liu Z. Y., Du C. W., Wang H. R., Li X. G., Zhang D. W., Cui Z. Y., Corros.
Sci,100, 627 (2015)

Kim W. K., Jung H. G., Park G. T., Koh S. U., Kim K. Y., Scripta Mater,62, 195 (2010)

Figures and Tables
Fig. 1.
Thermal cycles used in the HAZ simulation: (a) CGHAZ and (b) ICHAZ.
Fig. 2.
Schematic diagram of an electrochemical hydrogen permeation apparatus.
Fig. 3.
Schematic diagram of (a) welded joint and welding sequence, and (b) SSRT tested specimen.
Fig. 4.
Microstructures of specimens obtained by thermal cycles simulation with the heat input
of 20, 35, and 50 kJ/cm: CGHAZ (a, c, e) and ICHAZ (b, d, f).
Fig. 5.
Microstructures showing M-A constituents (white phase), revealed by LePera etchant:
CGHAZ (a, c, e) and ICHAZ (b, d, f).
Fig. 6.
Fractions of MA constituents in CGHAZ and ICHAZ obtained by thermal cycles simulation
with a heat input of 20, 35, and 50 kJ/cm, which were determined using an image analyzer.
Fig. 7.
Diffusible hydrogen contents in CGHAZ and ICHAZ obtained by thermal cycles simulation
with heat input of 20, 35, and 50 kJ/cm, which were measured using the glycerin volumetric
method.
Fig. 8.
Normalized hydrogen permeation decay curves of base metal and HAZ: (a) CGHAZ and (b)
ICHAZ obtained by thermal cycles simulation with a heat input of 20, 35, and 50 kJ/cm.
Fig. 9.
Hydrogen diffusivities (Dapp_decay (fitting)) of CGHAZ and ICHAZ obtained by a thermal cycling simulation with a heat input of
20, 35, and 50 kJ/cm.
Fig. 10.
Hydrogen trap density of CGHAZ and ICHAZ obtained by thermal cycles simulation with
a heat input of 20, 35, and 50 kJ/cm.
Fig. 11.
(a) Weight loss per unit area of simulated CGHAZ and ICHAZ, measured after an immersion
test in a 5% NaCl + 0.5% CH3COOH + 0.05M Na2S solution, (b) cross-sectional observation of ICHAZ obtained by a thermal cycling
simulation after an immersion test.
Fig. 12.
(a) Specimens fractured by SSRT evaluated in air, (b) DIC image obtained under applied
tensile loading in air, (c) specimen fracture by SSRT in a 5% NaCl + 0.5% CH3COOH + 0.05M Na2S solution, and (d) fracture surface of tested specimen after SSRT evaluated in a
5% NaCl + 0.5% CH3COOH + 0.05M Na2S solution.
Fig. 13.
Cross-sectional views of flux-cored arc welded specimen with heat input of 20 kJ/cm
after SSRT evaluated in a 5% NaCl + 0.5% CH3COOH + 0.05M Na2S solution.
Table 1.
Chemical compositions (wt%) of tested specimen.
|
|
C
|
Si
|
Mn
|
P
|
S
|
Cr
|
Ni
|
Cu
|
|
A516
|
0.15~0.17
|
0.37
|
1.13
|
0.005
|
<0.003
|
<0.02
|
<0.12
|
<0.15
|
Table 2.
Comparison of apparent H-diffusivity values obtained by break through time (tbt) and curve-fitting to H-decay phase equation.
|
Specimen
|
Thickness (mm)
|
Heat input (kJ/cm)
|
Dapp_decay(fitting) (m2/s)
|
Dapp_rising(tbt) (m2/s)
|
|
BM
|
1.62
|
-
|
1.31 ร 10-9 |
1.38 ร 10-9 |
|
CGHAZ
|
1.57
|
20
|
3.32 ร 10-10 |
5.06 ร 10-10 |
|
1.59
|
35
|
6.64 ร 10-10 |
7.06 ร 10-10 |
|
1.57
|
50
|
6.99 ร 10-10 |
8.85 ร 10-10 |
|
ICHAZ
|
1.58
|
20
|
4.06 ร 10-10 |
7.53 ร 10-10 |
|
1.57
|
35
|
8.49 ร 10-10 |
8.71 ร 10-10 |
|
1.58
|
50
|
9.58 ร 10-10 |
1.08 ร 10-9 |