김일현
(Il-Hyun Kim)
12
이명호
(Myung-Ho Lee)
1
정양일
(Yang-Il Jung)
1*
김현길
(Hyun-Gil Kim)
1
장재일
(Jae-Il Jang)
2
-
한국원자력연구원 핵연료안전연구부
(Nuclear Fuel Safety Division, Korea Atomic Energy Research Institute, Daejeon 34057,
Republic of Korea)
-
한양대학교 신소재공학부
(Division of Materials Science and Engineering, Hanyang University, Seoul 04765, Republic of Korea)
Copyright © 2021 The Korean Institute of Metals and Materials
Key words
Zr alloy strip, dynamic strain aging, texture, mechanical strength
1. 서 론
지르코늄 합금은 고온·고압에서 내식성이 우수하고 중성자 흡수가 적어 핵연료 피복관, 지지격자 등의 원자력발전소 노심부품으로 주로 사용된다. 이중에서
지지격자는 지르코늄 합금의 압연을 통한 판재 스트립에서 스탬핑 가공으로 제작하며, 지르코늄 소재에서 나타나는 집합조직을 고려하여 내측과 외측의 방향성을
달리하여 지지격자의 골격을 구성한다. 예컨대 압연방향(rolling direction, RD)에 평행한 방향으로는 중성자 조사에 의한 치수변화가 커서,
지지격자의 외측 골격은 압연방향에 수직방향(transverse direction, TD)으로 설계한다. 지르코늄 소재의 가장 대표적인 특징은 가공에
따른 집합조직의 형성이라고 할 수 있으나, 기계적 변형에 의한 동적 변형시효(dynamic strain aging, DSA) 현상이 발견되기도 한다
[1-6]. 일반적인 금속 소재는 온도가 높아짐에 따라 기계적 강도의 감소가 나타난다. 그러나 동적 변형시효는 특정 온도에서 소재 내부의 합금원소 또는 불순물이
물리적 변형을 수반하는 전위의 이동과 상호작용하여, 오히려 기계적 강도의 증가를 유발하는 현상이다. 따라서 동적 변형시효를 관찰하기 위해서는 전위이동
속도가 침입형 원소의 확산속도와 유사한 조건이 얻어져야 한다.
본 실험에서는 Zr-1.5Nb-0.4Sn-0.2Fe-0.1Cr 합금 판재를 사용하여 DSA 거동을 분석하였다. 본 연구진에 의한 이전 연구[6]에서 축방향 인장시험에 의한 튜브형 시험편의 DSA 현상을 관찰하였고, 이를 바탕으로 기본 실험조건을 설정하였다. 본 연구에서는 튜브형 시험편과는
집합조직이 다르게 발달되는 판재형 압연 시험편을 시편방향(RD, TD)에 따른 소재의 집합조직에 기반하여 DSA에 미치는 영향을 분석하였다. 실험에서는
인장시험의 속도를 8.33 × 10-5 s-1 및 1.67 × 10-2 s-1 로 달리하여, 시험온도를 상온에서 600 °C까지 변화시켜가며 동적 변형시효 현상을 관찰하였다. 인장시험 결과를 바탕으로 전단응력, 변형속도 민감도
및 가공경화 지수를 얻는 데에 활용하였다.
2. 실험 방법
본 연구에는 열간 압연 2회, 냉간 압연 5회를 거쳐 냉간 압하율 86% 및 평균 두께 0.47 mm로 제조된 사용된 Zr-1.5Nb-0.4Sn-0.2Fe-0.1Cr
합금 판재를 사용하였다 [7,8]. 합금 판재는 불순물로서 1,540 ppm O와 98 ppm Si, 90 ppm C 및 21 ppm H를 함유하고 있었다. 최종 열처리는 580
°C에서 10분간 수행하여 부분재결정 조직을 형성시켰다. 그림 1에는 최종 시험편의 미세조직을 나타내었다. 전위가 없는 거대 결정립과 가공조직이 혼재된 부분재결정 조직이 형성된 것을 확인할 수 있다.
준비된 압연 판재로부터 표점거리 12.5 mm 인장 시편을 RD 및 TD 방향으로 제작하였다. 인장시험은 ASTM E8 요건에 따라 상온 및 200,
250, 300, 316, 340, 400, 500 및 600 °C에서 8.33× 10-5 및 1.67× 10-2 s-1 변형속도로 수행하였다. 항복강도는 0.2% 오프셋 하중 값으로부터구하였으며, 상부 항복점과 하부 항복점이 나타나는 경우에는 하부 항복점을 항복강도로
정하였다.
RD 및 TD 방향의 인장특성 차이를 비교하고자 정량화된 집합조직 지표인 Kearns 지수[9]를 얻었다. X-선 회절 분석법으로 분석한 판재 시편의 극점도를 그림 2에 나타내었다. 극점도의 회절 강도값을 사용하여 식 (1)에 의해 Kearns 지수를 계산하였다.
여기에서, Iϕ는 기준방향(ν)에 대한 지르코늄 육방격자의 기저면이 이루는 각도(ϕ)에서 기저면의 회절강도를 나타낸다. 각 방향에 따른 Kearns 지수는 fND = 0.73, fTD = 0.20, fRD = 0.07이었다. 지르코늄 육방격자의 기저면은 대부분 압연 수직방향으로 정렬되어 있으며, RD 방향 시편 보다는 TD 방향 시편에서 기저면의 분율이
보다 높은 것을 확인할 수 있다.
3. 실험결과 및 고찰
지르코늄 합금 판재의 압연방향 및 변형속도에 따른 인장시험 결과를 그림 3에 나타내었다. 시편 방향 및 변형속도와 무관하게 시험온도가 증가함에 따라 인장강도가 감소하는 경향이 관찰된다. 인장 연신율은 시험온도가 높아짐에
따라 증가하는 것이 일반적이나, 시험결과 연신율은 200–500 °C 사이에서 오히려 감소하였다. 변형속도에 따라 인장거동을 비교하면, 변형속도가
빠른 경우(1.67 × 10-2 s-1)에 변형속도가 느린 경우(8.33 × 10-5 s-1) 보다 항복강도가 높게 형성되었다. 압연방향에 따라 인장거동을 비교하면, RD 시편은 TD 시편 대비 항복강도는 낮고 인장강도는 높았다. 인장 연신율은
RD 시편이 TD 시편보다 컸다. 압연 방향에 따른 항복강도와 인장강도의 순위 역전현상은 지르코늄 격자의 c/a 축비 및 임계전단응력에 연관되는 현상으로
설명할 수 있다 [10].
인장시험의 온도가 낮은 영역에서는 항복점 현상이 관찰되었으며, TD 시편에서는 항복점 현상이 더욱 두드러졌다. 그림 3(b)에 따르면, TD 시편에서 항복점 현상은 25– 340 °C 온도 범위에서 관찰되었다. 시험온도가 400 °C 이상으로 높아진 경우에는 항복점 현상이
소멸하였다. 이는 온도 증가에 따라 전위의 이동이 용이해지기 때문인 것으로 판단된다. 반면 변형속도가 느린 경우(그림 3(d))에는 항복점 현상이 소멸되는 온도가 250 °C로 낮아졌다. 이는 변형 속도가 전위이동 또는 침입형 원자와 상호작용할 수 있는 유사한 수준으로 낮게
형성되었음을 의미한다 [11].
온도에 따른 인장시험 결과의 상세한 분석을 위하여, 다음과 같은 이론 전단강도 관계식과 비교하였다 [12].
여기에서, τT 는 절대온도(T)에서 항복강도(σY)로부터 얻어진 전단응력이며, α 및 β는 상수이다. 전단응력은 t = σY/s 관계식에서 Talyor 지수 s값을 4로 가정한 이전 연구를 바탕으로 구하였다 [13]. 인장강도에 대해서도 같은 방법으로 계산하여 분석에 활용하였다.
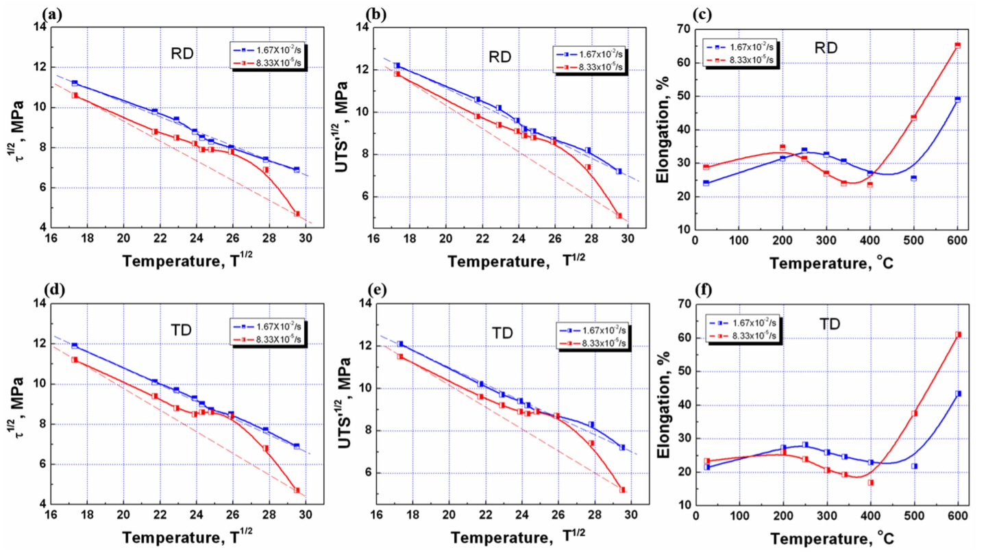
그림 4에는 식 (2)를 바탕으로 한 온도에 따른 전단응력 및 인장강도를 나타내었으며, 온도에 따른 인장 연신율의 변화도 함께 제시하였다. 각 실측값에 비교를 위하여 선형
추세선을 표시하였다. 변형속도가 빠른 경우(그림의 파란색 지표)에는 시편방향에 관계없이 전단응력(
τ
T
)이 온도(
T
)에 직선적으로 비례하는 것을 볼 수 있다. 반면에 변형속도가 느린 경우(그림의 빨간색 지표)에는 선형적인 비례관계에서 크게 벗어나는 것을 확인할
수 있다. 동적 변형시효의 크기는 이론 예측값에서 벗어난 정도를 수치화하여 평가할 수 있다. 특정 온도에서 동적변형시효의 효과(δ)는 다음과 같다.
여기에서, τL는 선형 추세선에서 예측되는 시효강화 효과가 없는 경우의 전단응력이다. 실험결과에 따르면 변형속도가 빠른 경우에는 δ 값이 작고, 변형속도가 느린
경우에는 δ 값이 크다. 동적 변형시효가 가장 크게 나타나는 400 °C에서 RD 시편과 TD 시편의 시효 효과는 각각 21.6과 27.0%이었다.
RD 시편의 경우(그림 4(a)-(b))에는 온도가 증가하여도 강도의 감소가 예측값보다 적게 나타나며, TD 시편의 경우(그림 4(d)-(e)) 오히려 강도가 증가하는 동적 변형시효 현상이 관찰된다. 동적 변형시효는 변형속도가 느린 경우에만 관찰되었고, 시편방향에 따른 비례관계의 차이는
크지 않았다. 이는 동적 변형시효에 미치는 변형속도의 영향이 집합조직에 의한 영향보다 큰 것을 의미한다.
온도에 따른 인장 연신율은 RD 시편과 TD 시편에서 유사하게 관찰되었으나, 절대값은 RD 시편에서 크게 얻어졌다. 또한 변형속도에 따른 연신율 변화거동도
유사하게 나타났으나, 변형속도가 빠른 경우가 느린 경우에 비해 연신율 감소의 시작온도가 약 50 °C 높아지는 것을 확인하였다. 연신율의 감소는 변형시
전위의 집적으로 인한 고착으로 설명되나, 변형속도가 느린 경우에는 전위의 고착이 많지 않으므로 침입형 원자와의 상호작용이 더 커지는 것으로 판단된다.
전위의 생성과 집적은 항복 이후의 가공경화 지수로 평가할 수 있다. 인장 연신율의 거동을 보다 상세히 분석하기 위하여, 식 (4)에 나타낸 Hollomon 관계식에 의한 가공경화 지수(n)를 얻었다.
여기에서, σ는 응력, A는 재료상수 그리고 ε는 연신율이다. 변형속도에 대해서도 같은 관계식이 성립하므로, 이를 통하여 변형속도 민감도(m)를 얻을 수 있다.
그림 5에는 온도에 따른 가공경화 지수(n)와 변형속도 민감도(m)를 나타내었다. 가공경화 지수는 RD 시편과 TD 시편에서 서로 다른 양상을 보였다. RD 시편의 경우 약 200 °C까지 상온 값이 유지되다가
약 500 °C까지 지수가 감소하였고, 이후 600 °C에서 다소 증가하였다. 반면, TD 시편의 경우 온도 증가에 따라 서서히 지수가 감소하다가
500 °C 이상에서는 지수가 증가하였다. 전체적인 가공경화 지수도 RD 시편에서 TD 시편보다 높게 형성되었다. 변형속도 민감도는 시편의 방향에
관계없이 200–400 °C 구간에서 감소하였다.
RD 시편에서 가공경화 지수가 높게 얻어지는 것은 지르코늄의 변형시 육방정계 격자구조에서 프리즘면의 슬립이 주로 발생하므로 프리즈면의 분율이 높은
RD 방향에서 전위 이동이 더 용이하기 때문인 것으로 판단된다 [10]. 온도가 올라감에 따라 가공경화 지수가 감소하는 것은 전위의 상쇄 및 소멸효과에 기인하며, 600 °C 이상에서 다시 지수가 증가하는 것은 β-Zr
석출물의 발생과 밀접한 관련이 있다고 할 수 있다. 합금원소로서 Nb가 첨가되는 지르코늄 합금은 약 600 °C에서 편석(monotectoid) 반응이
나타나며, 온도의 증가에 따라 β-Zr 이차상의 석출이 급격히 증가한다 [14,15]. β-Zr 석출물은 기계적 강도를 높이는 요인으로 작용하므로 가공경화 지수가 증가되는 요인이라고 할 수 있다.
반면 600 °C 미만의 온도영역에서 가공경화 지수의 변화는 용질원자의 효과로 판단할 수 있다. 250 °C 이하에서는 변형속도가 느린 경우에 가공경화
지수가 높고, 이 온도 이상에서는 변형속도가 빠른 경우에 가공경화 지수가 높았다. 산소 원자는 지르코늄 합금의 가공경화(strain hardening)에
미치는 영향이 매우 높은 것으로 알려져 있다 [2,16]. 본 연구에 사용한 합금은 1,540 ppm의 많은 산소를 포함하므로 산소 원자에 의한 영향으로 가공경화 지수의 변동이 나타나는 것으로 설명할
수 있다. 낮은 온도에서는 산소 원자의 확산속도가 느리므로 변형속도가 느린 경우에 전위와의 상호작용이 빈번하고, 높은 온도에서는 산소 원자의 확산
속도가 증가하며 빠르게 이동하는 전위와의 상호작용이 더욱 효과적이게 된다.
동적 변형시효는 특정 온도 영역에서 전단응력이 증가하는 현상을 시사하는 것이다. 전단응력의 증가는 변형속도에 영향을 받으며, 소재의 초기 미세조직에도
영향을 받는다. 일반적으로 전위의 이동과 용질원자와의 상호작용이 주요한 요인으로 알려져 있다. 지르코늄 합금에는 다양한 원소가 첨가되는데, Sn은
고용강화형 원소이며[17], Fe는 450°C 부근에서 가공경화에 기여하는 것으로 보고되어 있다 [18,19]. 그 밖에 Nb 및 Cr 합금원소는 기계적특성의 변화보다는 부식저항성의 향상에 기여한다 [20]. 반면에 합금화 과정에서 포함되는 산소는 전위와 상호작용이 커서 지르코늄의 강도 증가에 큰 영향을 미치는 것으로 알려져 있다 [21]. 이전 연구에 따르면, Kelly 등 [2]은 산소가 포함된 지르코늄에서 셀 구조를 이루는 전위의 형상이 동적 변형시효와 관련됨을 파악하고, 전위 셀에 산소가 침착되는 것을 관찰함으로써 직접적인
연관성을 설명하였다. Derep 등 [3]은 온도 범위에 따라 전위이동에 대한 산소의 영향이 다르게 나타남을 보고하였다. 산소 원자는 전위를 쉽게 고착시키지만, 온도가 올라감에 따라 빠르게
확산하여 전위의 움직임을 방해하지 않는다 [3,20]. 따라서, 본 연구에서 관찰한 동적 변형시효는 첨가된 합금원소의 종류와 함유된 산소농도를 고려할 때, 주로 산소 원자에 의한 것으로 판단할 수
있다.
4. 결 론
본 연구에서는 Zr-1.5Nb-0.4Sn-0.2Fe-0.1Cr 합금 판재를 사용하여 동적 변형시효 거동을 분석하였다. 변형속도가 빠른 경우(1.67
× 10-2 s-1)에는 온도가 증가함에 따라 전단응력은 선형적으로 감소하였으나, 변형속도가 느린 경우(8.33 × 10-5 s-1)에는 선형적인 비례관계에서 벗어나 강도가 증가되는 동적 변형시효 현상이 관찰되었다. 특히, 약 400°C에서 동적 변형시효가 가장 크게 나타났으며,
집합조직에 따라서는 RD 방향보다 TD 방향에서 더욱 두드러졌다. 집합조직은 가공경화 지수에도 크게 영향을 미쳤으며, RD 시편에서 TD 시편보다
가공경화의 효과가 더욱 현저히 발생하였다. 동적 변형시효는 전위의 이동과 침입형 원소인 산소 원자가 상호작용함에 따라 발생하는 것으로 판단되었으며,
전위 이동에 직접적인 영향을 미치는 집합조직에 의해서도 영향을 받는 것으로 평가되었다.
Acknowledgements
이 논문은 2020년도 과학기술정보통신부 및 산업통상자원부의 재원으로 지원을 받아 수행된 연구과제를 통해 얻어졌습니다(한국연구재단 원자력기술개발사업,
No. 2017M2A8A5015058 및 한국에너지기술평가원 에너지기술개발사업, No. 20171510101990).
REFERENCES
Lee D., Metall. Mater. Trans B,1, 1607 (1970)

Kelly P. M., Smith P. D., J. Nucl. Mater,46, 23 (1973)

Derep J. L., Ibrahim S., Rouby R., Fantozzi G., Acta Metall,28, 607 (1980)

Hong S. I., Ryu W. S., Rim C. S., J. Nucl. Mater,120, 1 (1984)

Lee K. W., Kim S. K., Kim K.T., Hong S. I., J. Nucl. Mater,295, 21 (2001)

Lee M. H., Kim J. H., Choi B. K., Jeong Y. H., J. Alloy. Compd,428, 99 (2007)

Lee M. H., Jung Y.-I., Choi B. K., Park S. Y., Kim H. G., Park J. Y., Jeong Y. H.,
J. Kor. Inst. Met. & Mater,47, 474 (2009)

Lee M. H., Jung Y.-I., Choi B. K., Park S. Y., Kim H. G., Park J. Y., Jeong Y. H.,
J. Kor. Inst. Met. & Mater,47, 482 (2009)

Kearns J. J., J. Nucl. Mater,299, 171 (2001)

Jung Y.-I., Lee M.-H., Park J.-Y., Jeong Y.-H., Met. Mater. Int,15, 803 (2009)

Brindley B. J., Barnby J. T., Acta Metall,14, 1765 (1966)

Fleischer R. L., J. Appl. Phys,33, 3504 (1962)

Luton M. J., Jonas J. J., Can. Met. Quart,11, 79 (1972)

Richter H., Wincierz P., Anderko K., Zwicker U., J. less-common Metals,4, 252 (1962)

Lim S. Y., Kim S., Lee G.-G., Korean J. Met. Mater,57, 203 (2019)

Ruano O., Elssner G., J. less common Met,40, 121 (1975)

Luton M. J., Jonas J. J., Can. Met. Q,11, 79 (1972)

Rheem K. S., Park W. K., J. Kor. Nucl. Soc,8, 19 (1976)

Yi J.-K., Park H.-B., Park G.-S., Lee B.-W., J. Nucl. Mater,189, 353 (1992)

Kim H. G., Park S. Y., Lee M. H., Jeong Y. H., Kim S. D., J. Nucl. Mater,373, 429
(2008)

Chang K. I., Hing S. I., J. Nucl. Mater,373, 16 (2008)

Figures
Fig. 1.
Microstructure of the Zr-1.5Nb-0.4Sn-0.2Fe-0.1Cr alloy strip.
Fig. 2.
Pole figures of the strip for texture analysis.
Fig. 3.
Stress-strain curves of the samples deformed at various temperatures under 1.67 ×
10-2, (a) and (b), and 8.33 × 10-5 s-1, (c) and (d), strain rates with respect to RD, (a) and (c), and TD, (b) and (d),
orientation.
Fig. 4.
Temperature dependencies of shear stress, (a) and (d), ultimate tensile stress, (b)
and (e), and elongation, (c) and (f), for the specimens depending upon RD, (a) to
(c), and TD, (d) to (f), orientation.
Fig. 5.
Variations in work hardening exponent, (a), and strain rate sensitivity, (b), with
respect to strain rates and specimen orientations.