The Journal of
the Korean Journal of Metals and Materials

The Journal of
the Korean Journal of Metals and Materials

Monthly
  • pISSN : 1738-8228
  • eISSN : 2288-8241

Editorial Office


  1. 서울시립대학교 신소재공학과 (Department of Materials Science and Engineering, University of Seoul, Seoul 02504, Republic of Korea)



perovskite grain, perovskite solar cells, ZrO2 layer, transmittance

1. 서 론

페로브스카이트 태양전지(Perovskite solar cells; PSC)는 2009년에 3.8% 에너지변환효율(energy conversion efficiency; ECE)로 처음 보고되었으며, 지속적인 연구로 2019년에 25.2% ECE가 보고되면서 우수한 대체에너지 수단으로 각광받고 있다 [1]. 이러한 PSC는 기존의 실리콘 태양전지(Si solar cell)보다 우수한 가격경쟁력과 비교적 간단한 공정으로 제작할 수 있으므로 상용화를 위한 연구가 활발하다[2]. 특히, 고효율 태양전지를 제작하기 위한 페로브스카이트 결정립 증가와 전자전달층(electron transport layer; ETL) 연구가 활발하다 [3-7].

이러한 전자전달층 연구는 기존의 TiO2 나노 파티클을 채용한 소자보다 우수한 특성을 나타내는 새로운 전자전달층에 대한 연구가 활발하다.

H. Kim 등[8]은 구형태의 TiO2 대신 길이가 다른 나노로드 형태의 TiO2를 이용하여 59% 증가된 ECE를 확인하였으며, 이는 전자전달층 구조적 변화가 전자이동의 저항으로 작용하는 TiO2 계면의 감소로 션트저항 특성이 향상되어 광전기적 특성에 증가하는 것으로 보고한 바 있다. Liu 등[9]은 SnO2 층을 전자전달층으로 채용하여 16.17% 우수한 광전기적 특성을 확인한 바 있으며, 이는 SnO2가 기존의 TiO2보다 우수한 전자이동도 특성으로 인하여 에너지변환효율이 증가한 것으로 보고된 바 있다.

M. Che 등[10]은 TiO2-ZrO2가 혼합된 전자전달층을 채용하고, 복합공정으로 PSC를 제작하여, TiO2 만 채용한 소자보다 약 15% 증가된 11.41% ECE를 보고한 바 있다. 그러나 이 연구는 TiO2와 ZrO2를 완전 혼합한 전자전달층을 채용하였기에 효율 증가의 원인이 ZrO2 첨가에 의한 효과인지, TiO2 감소에 의한 효과인지 명확하게 확인할 수 없는 문제가 있었다. 또한 D. Bi 등 [11]은 ZrO2 층을 전자전달층으로 채용하여 개방전압이 향상되는 것을 확인하였으며, 이는 ZrO2의 컨덕션 밴드가 TiO2와 페로브스카이트의 컨덕션 밴드보다 에너지 준위가 높기 때문이었다. H. Lee 등 [12]은 TiO2/ZrO2 이중층을 이용하여 PSC 소자의 ECE 증가를 보고한 바 있다. 이처럼 ZrO2를 채용하고자 하는 연구가 보고되고 있지만, ZrO2만을 채용하여 두께에 따른 효율을 확인하는 보고는 아직 미흡한 실정이다.

PSC의 ECE를 증가시키기 위해 페로브스카이트 결정립을 성장시키는 연구가 활발하다. Han 등 [13]은 PbI2 용액에 우레아를 첨가하여 페로브스카이트 결정립을 2.4 μm까지 증가시켰으며, 결정립 size의 증가로 인하여 우레아를 첨가하기 전보다 ECE가 약 41.2% 향상시킨 보고가 있다. 그러나 이 연구의 경우 PC61BM을 전자전달층으로 채용하였기 때문에 세라믹인 ZrO2를 하부층의 두께에 따른 보고가 필요하다.

따라서, PSC 소자에 기존 TiO2 대신 새로운 재료로 ZrO2 층을 채용하고, ZrO2 상부에 형성되는 페로브스카이트에 우레아 효과가 적용되는지 확인하고자 하였으며, 이를 통해 ZrO2와 우레아 페로브스카이트의 광전기적 특성을 통해 채용 가능성을 확인하고자 하였다.

2. 실험 방법

본 연구에서는 오직 ZrO2 층만 이용한 전자전달층을 채용하고, ZrO2 층 두께에 따른 PSC의 광전기적 특성을 확인하고자 하였다. 이에 따라 그림 1(a)에는 glass/FTO/blocking layer(B.L)-TiO2/ZrO2/6 mM urea perovskite/Hole transport layer(HTL)/Au electrode 구조의 소자 모식도를 나타내었으며, 최종 소자의 실제 이미지를 (b)에 나타내었다.

소자의 blocking layer(B.L)는 세척된 FTO 기판 위에 compact TiO2(SC-BT060, Sharechem) 용액을 이용하여 제작하였으며, ZrO2 층은 ZrO2 paste를 에탄올에 혼합한 용액으로 스핀코팅하고, 150 °C-30min. 열처리 후 500 °C-30min. 조건으로 소결하여 제작하였다 [12].

Table 1에는 RPM에 따라 제작된 ZrO2 층 두께를 나타내었다. 스핀코팅 RPM이 증가함에 따라 선형적으로 감소하는 ZrO2 두께를 확인하여 제작하였다.

페로브스카이트 용액은 MAI(CH3NH3I, 99.00%, Dyesol), PbI2(99.99%, Alfa Aesar), DMSO(Dimethyl sulfoxide, sigma aldrich), 6 mM urea(H2NCONH2, 98.00%, DAEJUNG)를 DMF(dimethyl formamide, Alfa Aesar)에 혼합하여 제작하였다 [12,14]. 준비된 용액을 스핀코팅 후 열판으로 70 °C-1min, 100 °C-10min 열처리하여 페로브스카이트 박막을 형성하였다 [12,14].

정공전달층(HTL)은 spiro-MeOTAD, 4-tert-buthyl pyridine, Li-TFSI solution을 클로로벤젠에 혼합한 용액으로 스핀코팅하여 제작하였다 [12,14]. Au 전극은 진공 증 착기로 80 nm-Au를 증착시켜 총 16개 소자를 제작하였고, 제작한 소자의 구조는 glass/FTO/BL-TiO2/Meso-ZrO2/perovskite/HTL/Au electrode 였다 [15].

제작한 PSC의 광전기적 특성을 확인하기 위해 solar simulator와 potentiostat을 이용하여 I-V(current-voltage)를 측정하였다 [12,14]. 이때 광원은 1 sun 조건으로 분석하였다 [12,14]. I-V 분석을 통해 단락전류밀도(short circuit current density; Jsc), 개방전압(open circuit voltage; Voc), 필팩터(fill factor; FF), 에너지변환효율(ECE)의 평균값을 확인하였다 [15].

ZrO2 층 삽입에 따른 PSC의 표면과 단면 미세구조 분석은 FE-SEM(S-4300, Hitachi)을 이용하였다. 미세구조의 이미지 분석은 이미지 분석 프로그램(iSolution DT x64 (IMS digital))을 이용하여 분석하였다.

ZrO2 층의 표면 거칠기를 분석하기 위해 3D profiler (µSurf, nanofocus)를 이용하여 800 µm길이에 대한 평균 거칠기를 측정하였다.

ZrO2 층의 투과도 확인을 위해 Glass/FTO/BL-TiO2/Meso-ZrO2에 대해서 UV-VIS-NIR(UV-3101PC, Shimadzu)를 이용하였으며, 300~800 nm 가시광선 파장대의 범위로 분석하였다 [12].

3. 실험 결과

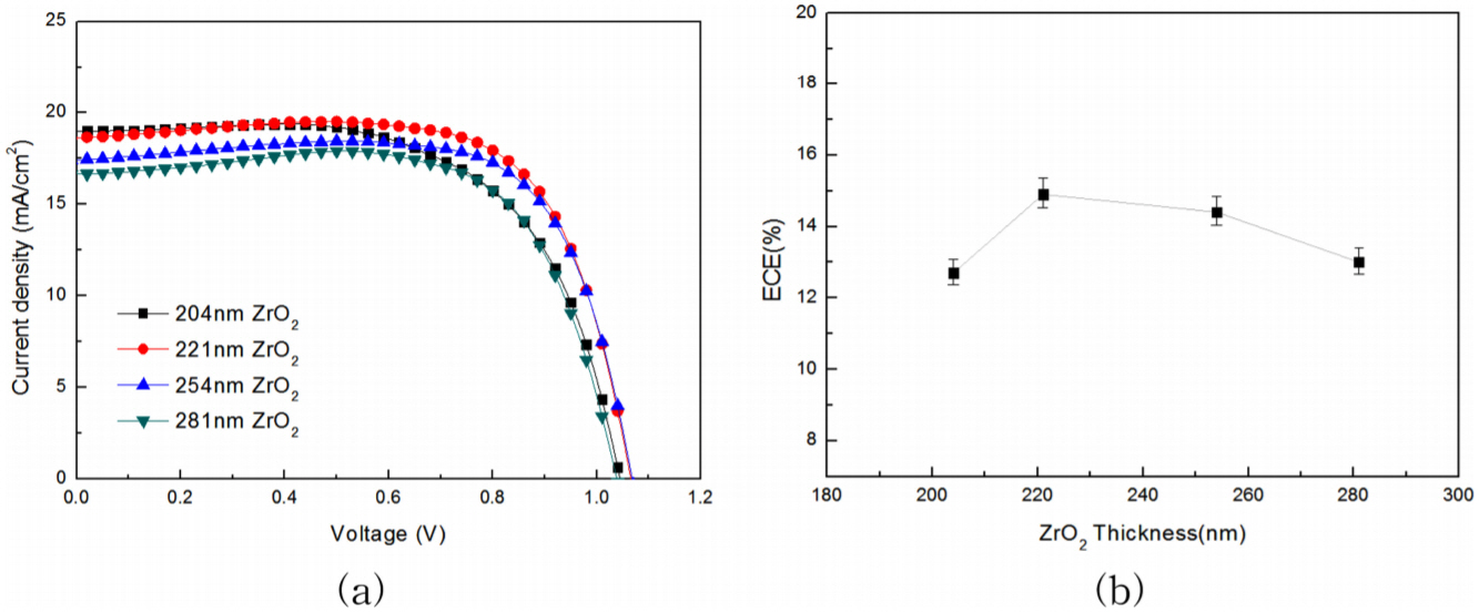
그림 2에는 meso-ZrO2 층 두께에 따른 PSC 소자의 I-V 그래프와 ECE 변화 그래프를 나타내었다.

그림 2(a)에는 각 조건에서 가장 우수한 소자의 I-V 결과를 나타내었다. 각 측정 그래프를 통해 주어진 조건에서의 Jsc, Voc, FF, ECE까지 확인할 수 있었으며, 221 nm ZrO2 층을 채용한 소자의 Jsc와 Voc이 가장 우수함을 확인할 수 있었다. 이는 ZrO2 층의 두께에 따른 표면특성이 변화함에 따라 Jsc가 상승하여 ECE이 향상된 것을 판단하였다.

그림 2(b)에는 평균 ECE 변화를 나타내었다. ECE의 경우, ZrO2 층의 두께가 증가함에 따라 증가하다가 감소하는 것을 확인할 수 있었으며, 221 nm ZrO2 층과 우레아를 채용한 PSC 소자에서 가장 우수한 ECE 값을 확인할 수 있었다.

표 2에는 그림 2(b)에 나타낸 평균 광전기적 특성 결과를 자세히 나타내었다. Jsc의 경우, ZrO2 층 두께가 204, 221, 254, 281 nm로 증가함에 따라 각각 16.63, 17.42, 18.77, 17.20 mA/cm2로 변화하는 것을 확인하였다. Voc의 경우, 각각 1.04, 1.06, 1.06, 1.06 V가 확인되었으며, 이는 기존 TiO2를 채용한 소자의 평균 Voc인 1.00 V 보다 약 4~6% 향상된 결과였다. 이러한 Voc의 증가는 D. Bi 등 [11]이 ZrO2의 컨덕션 밴드가 TiO2와 페로브스카이트의 컨덕션 밴드보다 에너지 준위가 높기 때문에 ZrO2 층으로 전자 이동이 불가능하며, 이때 전자는 페로브스카이트를 통해 이동하게 되므로 Voc이 높아진다고 보고한 바와 일치하는 결과를 확인하였다. FF의 경우, ZrO2 층의 두께에 상관없이 모두 유사한 값을 나타내었으며, ECE의 경우, Jsc의 영향으로 각각 12.76, 14.93, 14.47, 13.08 %의 값이 나타난 것으로 판단하였다.

그림 3에는 ZrO2 층 두께에 따른 PSC 소자의 미세구조를 나타내었다. 좌측에는 페로브스카이트의 결정립 크기를 나타내었으며, 우측에는 제작한 소자의 단면 이미지를 나타내었다.

그림 3(a)는 204 nm ZrO2 위에 형성된 페로브스카이트의 미세구조 분석 이미지이며, 좌측에서 페로브스카이트 결정립 크기가 약 329 nm로 확인되었다. 우측 단면 이미지에서는 FTO/ZrO2/perovskite/HTL/Au 구조를 확인할 수 있었으며, 페로브스카이트가 meso-ZrO2 층에 균일하게 흡착되고 성장하여, 약 470 nm 페로브스카이트 층을 확인할 수 있었다.

그림 3(b)는 221 nm ZrO2 위에 형성된 페로브스카이트의 미세구조 이미지이며, 결정립은 약 384 nm로 확인되어 (a) 보다 약 16% 증가한 것으로 확인하였다. 우측 단면으로 확인한 페로브스카이트 층 두께도 485 nm로 3% 증가된 것을 확인하였으며, 이는 결정립이 증가하여 나타난 현상으로 판단하였다.

그림 3(c)는 254 nm ZrO2 위에 형성된 페로브스카이트 미세구조 이미지이며, 결정립은 약 355 nm로 형성되었으며, 이는 (a)에 비해 약 8% 증가된 결과였다. 우측 단면에서 페로브스카이트 층 두께는 482 nm로 (b)와 유사한 두께를 확인할 수 있었다.

그림 3(d)는 281 nm ZrO2 위에 형성된 페로브스카이트 결정립은 약 332 nm로 형성된 것을 확인하였고 (a)과 유사한 결정립 크기를 확인하였다. 우측의 단면 이미지를 통해 페로브스카이트 층의 두께가 455 nm인 것을 확인하였으며, 이는 (b)에 비해 약 7% 감소한 결과였다.

특히 동일 ZrO2 전자전달층을 채용하고 우레아를 넣지 않은 경우와 비교하여 모두 50% 증가한 결정립 크기를 보였다. 이러한 ZrO2 층 두께에 따라 상부 페로브스카이트의 두께는 상대적으로 일정하지만 결정립 크기의 변화는 앞서 확인한 광전기적 특성의 Jsc의 경향과 동일한 것을 확인할 수 있었다. 특히 ZrO2 두께가 221 nm에서 가장 결정립이 조대한 현상은 페로브스카이트 층의 두께가 일정함을 고려할 때 페로브스카이트 하지층의 표면조도에 따른 영향을 의미한다.

따라서, 221 nm ZrO2 층을 채용한 페로브스카이트 소자가 우수한 페로브스카이트 결정립과 두께 성장을 보였고, 이는 앞서 확인한 광전기적 특성과도 일치하였다.

그림 4에는 ZrO2 층 두께에 따른 표면거칠기(RMS)와 결정립 크기 변화를 같이 나타내었다. 204, 221, 254, 281 nm ZrO2 두께의 표면거칠기는 그래프 좌측에 나타낸 바와 같이 각각 132, 141, 137, 128로 증가하다가 감소하였다. 우측에 나타낸 이때의 평균 결정립 크기는 329, 384, 355, 332 nm로 표면거칠기 변화와 동일한 경향성을 보였다. 이는 앞서보인 광전기적 특성의 변화와도 일치하였다. 이러한 ZrO2 층 두께에 따라 표면거칠기가 변화하는 현상은 스핀코팅 조건에 따라 ZrO2 층의 두께와 상부 표면 거칠기가 정해지기 때문이고, 이는 H. Lee 등 [12]이 TiO2/ZrO2 복합층의 두께변화에 따른 표면조도의 변화 보고와도 일치하였다.

표면거칠기에 따라 페로브스카이트 결정립 크기가 변화하는 이유는 액상의 페로브스카이트가 응고되면서 핵생성과 성장을 거쳐 최종 결정립 크기가 결정되기 때문이다. 표면거칠기가 비교적 큰 경우에는 상대적으로 핵생성 사이트가 저밀도로 형성되어, 이로부터 성장하는 페로브스카이트 결정립은 상대적으로 크게 형성된다. 물론, 본 연구에서는 우레아 첨가로 인한 결정성장 속도 영향도 있지만, 우레아는 모두 동일한 양으로 첨가되었기 때문에 표면거칠기에 의한 핵생성 영향이 더 크다고 판단된다. 결정립이 큰 페로브스카이트는 전자이동의 재결합 사이트인 결정립계가 상대적으로 감소하여 결국 상대적으로 우수한 ECE를 보이게 된다.

따라서, 221 nm ZrO2 두께 조건에서 가장 큰 표면거칠기를 가진 하지층에 의해 큰 페로브스카이트 결정립이 형성되고, 이 조건의 결정립계가 상대적으로 적어 우수한 ECE를 보였다.

그림 5은 ZrO2 층 두께에 따른 300~800 nm 영역에서의 투과도 분석 결과를 나타내었으며, 우 하단에는 400~500 nm 범위의 투과도를 확대하여 나타내었다. 투과도 분석 결과, ZrO2 층 두께가 증가함에 따라 투과도는 점차 감소하였다. 특히 상대적으로 얇은 204 nm, 221 nm ZrO2층은 투과도가 유사한 것을 확인할 수 있었고, 254 nm ZrO2 층부터는 전반적인 투과도 감소를 확인할 수 있었다. 이러한 투과도의 감소는 ZrO2 두께가 증가함에 따라 두꺼워진 ZrO2 층이 빛의 투과를 방해하여 나타난 형상으로 판단하였으며, 이러한 하부층의 투과도 감소에 따른 입사되는 빛의 총량 감소는 H. Lee 등[14]이 보고한 결과와 일치하는 결과였다. 따라서, ZrO2 층의 두께가 증가하면 투과되는 빛의 총량이 감소하고, 이는 결국 페로브스카이트 소자의 광전기적 특성 감소의 원인으로 작용하는 것을 확인하였다.

4. 결 론

PSC 소자에 TiO2 대신 ZrO2 층을 채용하고, ZrO2 층 두께에 따른 RMS와 우레아가 첨가된 페로브스카이트 채용에 따른 광전기적 특성을 확인하였다. 광전기적 특성 결과, 221 nm ZrO2 층이 채용된 소자에 6 mM 우레아 페로브스카이트를 채용한 소자에서 가장 우수한 14.93%의 ECE를 확인할 수 있었다. 이는 미세구조에서 확인한 바와 같이 페로브스카이트의 결정립이 증가되면서, Jsc가 증가하여 나타난 현상이었다. ZrO2 층은 204, 221, 254, 281 nm 로 코팅됨에 따라 각각 132, 141, 137, 128의 RMS 값을 나타내었으며, ZrO2 층이 250 nm 이상 두꺼워질 경우, 투과도가 감소하여 효율이 감소하는 것으로 확인하였다. 따라서, TiO2 대신 ZrO2 층을 채용 가능성을 확인하였고, 이때 PSC 소자의 I-V 그래프, 결정립 크기 및 투과도를 고려한 적절한 두께 채용이 필요하였다.

Acknowledgements

This work was supported by the Basic Study and Interdisciplinary R&D Foundation Fund of the University of Seoul (2019).

REFERENCES

1 
Gai C., Wang J., Wang Y., Li J., Energies,13, 2 (2020)Google Search
2 
Abbas M. S., Hussain S., Zhang J., Wang B., Yang C., Wang Z., Wei Z., Ahmad R., Sustain. Energy Fuels,4, 324 (2020)Google Search
3 
Cai Q., Zhang Y., Liang C., Li P., Gu H., Liu X., Wang J., Shentu Z., Fan J., Shao G., Electrochim. Acta,261, 227 (2018)Google Search
4 
Hsieh C., Liao Y., Lin Y., Chen C., Tsai C., Diaua E., Chuang S., RSC Adv,8, 19610 (2018)Google Search
5 
Yang W., Park B., Jung E., Jeon N., Kim Y., Lee D., Shin S., Seo J., Kim E., Noh J., Seok S., Nano Lett,13, 1764 (2013)Google Search
6 
Bati A., Yu L., Tawfik S., Spencer M., Shaw P., Batmunkh M., Shapter J., iScience,14, 100 (2019)Google Search
7 
Han G., Song Y., Jin Y., Lee J., Park N., Kang B., Lee J., Cho I., Yoon D., Jung H., ACS Appl. Mater. Interfaces,7, 23521 (2015)Google Search
8 
Kim H., Lee J., Yantara N., Boix P., Kulkani S., Mhaisalkar S., Grazel M., Park N., Nano Lett,13, 2412 (2013)Google Search
9 
Liu Q., Qin M., Ke W., Zhen X., Chen Z., Qin P., Xiong L., Lei H., Wan J., Wen J., Yang G., Ma J., Zhang Z., Fang G., Adv. Funct. Mater,26, 6069 (2016)Google Search
10 
Che M., Zhu L., Zhao Y., Yao D., Gu X., Song J., Qiang Y., Mat. Sci. Semicon. Proc,56, 29 (2016)Google Search
11 
Bi D., Moon S., Haggman L., Boschloo G., Yang L., Johansson E., Nazeeeruddin M., Gratzel M., Hagfeldt A., RSC Advances,3, 18762 (2013)Google Search
12 
Lee H., Kim K., Song O., Korean J. Met. Mater,58, 59 (2020)Google Search
13 
Han L., Cong S., Yang H., Lou Y., Wang H., Huang J., Zhu J., Wu Y., Chen Q., Zhang B., Zhang L., Zou G., Inverted Solar Cells,58, 1800054 (2018)Google Search
14 
Lee H., Kim K., Song O., Korean J. Met. Mater,57, 456 (2019)Google Search
15 
Kim K., Park T., Song O., Korean J. Met. Mater,56, 321 (2018)Google Search

Figures and Tables

Fig. 1.

(a) Illustration of the vertical structure of PSC, and (b) an optical-image of PSC.

../../Resources/kim/KJMM.2021.59/kjmm-2021-59-1-67f1.jpg
Fig. 2.

(a) Current density-voltage graph(I-V curve) of the best sample, and (b) ECE change with ZrO2 Layer thickness.

../../Resources/kim/KJMM.2021.59/kjmm-2021-59-1-67f2.jpg
Fig. 3.

FE-SEM images of perovskite solar cells according to ZrO2 layer thickness; (a) 204 nm ZrO2, (b) 221 nm ZrO2, (c) 254 nm ZrO2, (d) 281 nm ZrO2.

../../Resources/kim/KJMM.2021.59/kjmm-2021-59-1-67f3.jpg
Fig. 4.

RMS and grain size data with ZrO2 layer thicknesses.

../../Resources/kim/KJMM.2021.59/kjmm-2021-59-1-67f4.jpg
Fig. 5.

Transmittance data with ZrO2 layer thicknesses. Inset magnified 300-800 nm.

../../Resources/kim/KJMM.2021.59/kjmm-2021-59-1-67f5.jpg
Table 1.

ZrO2 layer thickness change with various RPM.

RPM 3000 4000 5000 6000
Sample
ZrO2 Thickness[nm] 281 254 221 204
Table 2.

Photovoltaic properties of 6mM urea PSCs with ZrO2 layer thickness.

ZrO2 thickness (nm) Jsc (mA/cm2) Voc (V) FF ECE (%)
204 16.63 1.04 0.74 12.76
221 17.42 1.06 0.76 14.93
254 18.77 1.06 0.73 14.47
281 17.20 1.06 0.72 13.08