์ด์ง์
(Jin-Woong Lee)
1
๋ฐ์ด๋ฐฐ
(Woon Bae Park)
2*
-
์ธ์ข
๋ํ๊ต๋๋
ธ์ ์์ฌ๊ณตํ๊ณผ
(Faculty of Nanotechnology and Advanced Materials Engineering, Sejong University, Seoul
05006, Republic of Korea)
-
์์ฒ๋ํ๊ต์ธ์์ ์๊ณตํ๊ณผ
(Department of Printed Electronics Engineering, Sunchon National University, Chonnam
57922, Republic of Korea)
Copyright ยฉ 2021 The Korean Institute of Metals and Materials
Key words
hybrid organic-inorganic perovskite, density functional theory, band gap, effective mass, formation energy
1. ์ ๋ก
ํ์ด๋ธ๋ฆฌ๋ ์ ๋ฌด๊ธฐ ํ ๋ผ์ด๋ ํ๋ก๋ธ์ค์นด์ดํธ ๊ตฌ์กฐ(hybrid organic/inorganic perovskite: HOIP)๋ ๋์ ๊ด ํก์ ๊ณ์,
์ฐ์ํ ์บ๋ฆฌ์ด ์ด๋๋ ๋ฐ ์ ์จ, ์ ๊ฐ ๊ณต์ ์ด ๊ฐ๋ฅํ๋ค๋ ์ฅ์ ์ผ๋ก ์ง๋ 10๋
๋์ ํ์์ ์ง์ ๊ด ํก์์ฒด๋ก ์ฌ์ฉ๋๋ฉด์ ์ต๊ทผ ๋ช ๋
๋ง์ 25.5% [1-4]์ ์ด๋ฅด๋ ๋งค์ฐ ํฅ์๋ ์ ๋ ฅ๋ณํ ํจ์จ์ ๋ณด์ฌ์ฃผ๊ณ ์๋ค. ๋ํ, ์ฐ์ํ ๋ฐ๊ด ํจ์จ๋ก ๋ฐ๊ด ๋ค์ด์ค๋, ๋ ์ด์ , ๊ด ๊ฒ์ถ๊ธฐ ๋ฑ์ ๋ค์๋ถ์ผ๋ก๋ ์์ฉ์ด ๋๊ณ
์๋ค. ์ด๋ฌํ HOIP ๊ตฌ์กฐ๋ AxByXz ํํ์์ผ๋ก ๋์ด ์์ผ๋ฉฐ, ํฉ์ฑ ์กฐ๊ฑด ๋ฐ A ์๋ฆฌ์ ์ ๊ธฐ๋ฌผ ์ข
๋ฅ, B ์์ด์จ, X ์์ด์จ ์๋ฆฌ์ ์์ ์ข
๋ฅ
๋ฐ ๊ตฌ์กฐ๋ฅผ ์ด๋ฃจ๋ ์กฐ์ฑ์ ๋ฐ๋ผ structure type์ด ๋ฌ๋ผ์ง๋ค. ์ด๋ฌํ ์กฐ์ฑ ๋ฐ ๊ตฌ์กฐ ๋ณํ์ ์ฉ์ด์ฑ์ผ๋ก ํน์ฑ์ด ๋ณํํ์ฌ ๋ง์ ์ฐ๊ตฌ์๋ค์ ์ฃผ๋ชฉ์
๋ฐ๊ณ ์์ผ๋ฉฐ, ์๋ก์ด ์กฐ์ฑ์ ์ฐ๊ตฌ๊ฐ ํ๋ฐํ ์งํ๋๊ณ ์๋ค [5-21].
๋ง์ HOIP ๊ตฌ์กฐ ์ค์ 3์ฐจ์ ๊ตฌ์กฐ๋ฅผ ๊ฐ์ง๋ ABX3 type ํ๋ก๋ธ์ค์นด์ดํธ ๊ตฌ์กฐ๊ฐ ๊ฐ์ฅ ๋ง์ด ์ฐ๊ตฌ๋์์ผ๋ฉฐ, ABX3 ํํ์์์ A ์์ด์จ ์๋ฆฌ์ ๋ํ์ ์ผ๋ก ๋ง์ด ์ฌ์ฉํ๋ ์ ๊ธฐ๋ฌผ๋ก๋ ๋ฉํธ์๋ชจ๋(MA: Methylammonium, CH3NH3+)์ด๋ ํฌ๋ฆ์๋ฏธ๋๋(FA: Formamidinium, CH(NH2)2+), ์ํธ์๋ชจ๋(EA: ethylammonium, CH3CH2NH3+), ๊ณผ๋๋๋(GA: guanidinium, [C(NH2)3]+) ๋ฑ์ด ์์ผ๋ฉฐ, B ์์ด์จ ์๋ฆฌ์๋ ๋ฉ, ์ฃผ์, ์ ๋ง๋, X ์์ด์จ ์๋ฆฌ์ ์์ค๋, ๋ธ๋กฌ ๋ฐ ์ผ์์ ๊ฐ์ ํ ๋ก๊ฒ ์์๊ฐ ์๋ฆฌ๋ฅผ ์ฐจ์งํ๊ฑฐ๋ ๊ณต์ ํ๋ค.
A ์๋ฆฌ ์ ๊ธฐ๋ฌผ์ ๊ฒฝ์ฐ ์์ ์ธ๊ธํ ์ ๊ธฐ๋ฌผ์ ์ ์ธํ๊ณ ๋ ์๋ง์ ์ ๊ธฐ๋ฌผ์ ๋ํ ์ฐ๊ตฌ๊ฐ ํ๋ฐํ ์งํ๋๊ณ ์์ผ๋ฉฐ, B ์์ด์จ ๋ฐ X ์์ด์จ ๋ํ ์ฐ๊ตฌ๋๊ณ
์๋ค. ํ์ง๋ง, ์ง์๊ณผ ๊ฒฝํ์ ๊ธฐ๋ฐ์ผ๋ก ํ๋ ์คํ์ ์ ๊ทผ๋ฒ์๋ ๋ง์ ๊ฒฝ์ฐ์ ์๋ฅผ ๊ฐ์ง๋ HOIP ์คํ์ ํ๊ณ๊ฐ ์๋ค. ์ด๋ฌํ ์คํ์ ํ๊ณ๋ก ๋น์ฉ ๋ฐ
์๊ฐ์ ์ ๊ฐ ํ ์ ์๋ DFT ๊ณ์ฐ ๋ฐฉ๋ฒ๋ก ์ด ๋๋๋๊ณ ์์ผ๋ฉฐ [22-33], ๋ง์ ์์ DFT ๊ณ์ฐ ๊ฒฐ๊ณผ๋ฅผ ๊ฐ์ง๊ณ ์๋ก์ด ํ๋ก๋ธ์ค์นด์ดํธ ๋ฐ๊ฒฌ์ ์ฉ์ดํ๊ฒ ํ๋ ์์ฌ ๋จธ์ ๋ฌ๋ ์ ๋ต [34-37]์ด ์ฃผ๋ชฉ์ ๋ฐ๊ณ ์๋ค [38-40]. ํ์ง๋ง, HOIP์ DFT ๊ณ์ฐ์ ๋ช ๊ฐ์ง์ ์ค์ํ ๋ฌธ์ ์ ์ ๊ฐ์ง๊ณ ์์ผ๋ฉฐ, ๊ฐ์ฅ ํฐ ๋ฌธ์ ์ ์ ๊ฒฐ์ ๊ตฌ์กฐ์์ ์ ๊ธฐ๋ฌผ ๋ถ์์ ์์น๋ฅผ ํน์ ํ ์
์๋ค๋ ๋ฐ์ ์๋ค. ์ด๋ฌํ ์ ๊ธฐ๋ฌผ ๋ถ์์ ๊ฒฝ์ฐ ์ผ๋ถ ๊ตฌ์กฐ๊ฐ ํด์๋์ด ์์ง๋ง, ๋ ๋ถ๋ถ์ ๋ฌด์์๋ก ๊ณ์ฐ ๋ชจ๋ธ์ ๋ง๋ค์ด DFT ๊ณ์ฐ์ ์ํํ๋ค. ์ด๋ฌํ
๋ฌด์์ ๊ณ์ฐ ๋ชจ๋ธ์ DFT ๊ณ์ฐ์ ์์ดํ ๊ฒฐ๊ณผ๋ก ๋์ค์ง๋ง, ๋๋ถ๋ถ์ ์ฐ๊ตฌ์๋ค์ ์ด๋ฌํ ๋ฌธ์ ์ ๋ํด ๊น๊ฒ ์ทจ๊ธํ์ง ์๊ณ ์๋ค. ๋ ๋ค๋ฅธ ๋ฌธ์ ์ ์ DFT
๊ณ์ฐ์ ๊ตํ ์๊ด ํจ์์ด๋ค. DFT ๊ณ์ฐ์ ๊ตํ ์๊ด ํจ์์ ๋ฐ๋ผ ์์ดํ ๊ฒฐ๊ณผ๊ฐ ๋์จ๋ค. ์ด ๋ฌธ์ ์ ์ ์ ์๋ ค์ง ์ฌ์ค์ด๋ฉฐ, ์ฌ๋ฌ ๊ตฌ์กฐ๋ฅผ ๋์์ผ๋ก ํ
๋ง์ ์ฐ๊ตฌ์์ ๋ณด๊ณ ๋์๋ค [41-43]. ์ด๋ฌํ ๋งฅ๋ฝ์์ ์ฌ๋ฃ ํน์ฑ(์ ์ ๋ฐ ์ด์ญํ)์ ํฉ๋ฆฌ์ ์ผ๋ก ๊ณ์ฐํ ์ ์๋ ๊ณ์ฐ ์ ๊ทผ๋ฒ์ด ํ์์ ์ด๋ค. ๋ณธ ์ฐ๊ตฌ์์ ์ฐ๋ฆฌ๋ ๋น๊ต์ ๊ฐ๋จํ MAPbI3 HOIP ๊ตฌ์กฐ๋ฅผ ๋์์ผ๋ก DFT ๊ณ์ฐ์ ์ํํ์ฌ, ๋ค๋ฅธ ์ข
๋ฅ์ HOIP ๊ตฌ์กฐ์๋ ์ ์ฉํ ์ ์๋ ํฉ๋ฆฌ์ ์ธ DFT ๊ณ์ฐ ์ ๊ทผ๋ฒ์ ์ฐพ๊ณ ์ ์ฐ๊ตฌ๋ฅผ ์ํํ์๋ค.
2. ๊ณ์ฐ ๋ฐฉ๋ฒ
DFT ๊ณ์ฐ์ Vienna ab initio simulation package (VASP5.4)[44-48] ํ๋ก๊ทธ๋จ์ ์ฌ์ฉํ์ฌ ์ํ๋์์ผ๋ฉฐ, ๊ณตํต์ ์ผ๋ก ๊ตํ ์๊ด ์๋์ง๋ GGA-PBE(generalized gradient approximation parameterized
by Perdew, Burke, and Ernzerhof) [44], pseudopotential๋ก PAW (projector-augmented-wave) potential [49,50], k-mesh ์ํ๋ง์๋ Monkhorst-Pack ๊ธฐ๋ฒ์ ์ฑํํ์์ผ๋ฉฐ, K-mesh๋ 2 X 2 X 2 ์ด๋ค. ๋ํ, ๋ชจ๋ ๊ณ์ฐ์์ cut-off
energy๋ 400eV, Total energy convergence๋ 10-4 eV๋ก ์ํ๋์์ผ๋ฉฐ, ๊ฐ๋ณ ์์์ ๊ฐํด์ง๋ ํ์ 0.05 eV/ร
์ดํ๋ก ์ต์ํํ์๋ค.
3. ๊ฒฐ๊ณผ ๋ฐ ๊ณ ์ฐฐ
3.1 ๊ณ์ฐ ๋ชจ๋ธ
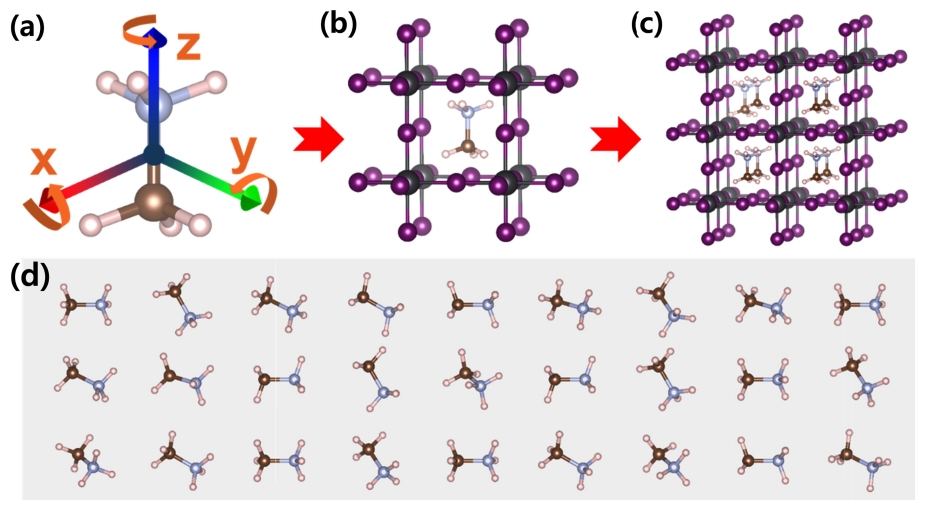
ํฉ๋ฆฌ์ ์ธ DFT ๊ณ์ฐ ์ ๊ทผ๋ฒ์ ์ฐพ๊ณ ์ ์ ํํ MAPbI3 HOIP ๊ตฌ์กฐ๋ ์ง๊ธ๊น์ง ํฉ์ฑ ์กฐ๊ฑด๊ณผ ํ๊ฒฝ์ ๋ฐ๋ผ Cubic(Pm-3m), Tetragonal(I4/mcm), Orthorhombic(Pnma) ๊ตฌ์กฐ๋ก ์๋ ค์ ธ ์๋ค [51]. ๋ณธ ์ฐ๊ตฌ์์ DFT ๊ณ์ฐ์ ์ฌ์ฉ๋ ์ด๊ธฐ ๊ตฌ์กฐ๋ Pm-3m ๊ณต๊ฐ ๊ทธ๋ฃน ๊ฐ๋ CsPbI 3 (ICSD_161481) Cubic ๊ตฌ์กฐ๋ก ์ ํํ์๋ค. ์ด๋ฌํ CsPbI3 Cubic ๊ตฌ์กฐ๋ฅผ ์ ํํ ์ด์ ๋ ์นํ๋๋ ์ ๊ธฐ๋ฌผ ๋ถ์์ธ MA(CH3NH3+) ๋ถ์ ๋๋ฌธ์ด๋ค. MA(CH3NH3+) ๋ถ์๋ ์ผ๋ฐ์ ์ธ ์์๋ณด๋ค ํฌ๊ธฐ ๋๋ฌธ์ ์นํ๋๋ site์ ์ถฉ๋ถํ ๊ณต๊ฐ์ด ์์ด์ผ ์ ๋ฆฌํ๊ธฐ ๋๋ฌธ์ด๋ค. ๋ํ, CsPbI3 Cubic ๊ตฌ์กฐ์ MA(CH3NH3+) ๋ถ์๋ฅผ ์นํํ๋ฉด ๊ฒฐ์ ํ์ ์ผ๋ก symmetry๊ฐ ๊นจ์ง๊ณ , ๊ตฌ์กฐ๋ triclinic(P1)์ด ๋๋ค. ์ด๋ฌํ ์ํฉ์์ DFT ๊ณ์ฐ์ ์ํํ๋ฉด, ๊ตฌ์กฐ ์ด์ ๊ณผ์ ์ ํตํด ์์ ํ symmetry๋ triclinic(P1)์ด ๋๋ค. ๋ฐ๋ผ์ ์ด๊ธฐ ๊ตฌ์กฐ๋ DFT ๊ณ์ฐ ์ํ์ ์ฉ์ด ํ๋ฉด์ ๊ฐ์ฅ ๊ฐ๋จํ ๊ตฌ์กฐ์ธ Cubic ๊ตฌ์กฐ๋ก ์ ํํ์๋ค. ์ ํ๋ CsPbI3(ICSD_161481) Cubic ๊ตฌ์กฐ์ Cs ์์ ์๋ฆฌ์ ์๋ก ๋ค๋ฅธ ๊ธฐํํ์ ๋ชจ์์ ๊ฐ๋ 27๊ฐ์ MA(CH3NH3+) ๋ถ์๋ฅผ ์นํํ์ฌ 27๊ฐ์ ๊ณ์ฐ ๋ชจ๋ธ์ ๋ง๋ค์๋ค. ๋ํ, ๋จ์ ์
์ํ๋ณด๋ค DFT ๊ณ์ฐ์ ์ ํ์ฑ์ ๋์ด๊ธฐ ์ํด ๋ชจ๋ ๋ชจ๋ธ์ 2 X 2 X 2 Super
cell ์ํ์์ ๊ณ์ฐ๋์๋ค. ์ ์ฒด์ ์ธ ๊ณ์ฐ ๋ชจ๋ธ์ ๋ง๋๋ ๊ณผ์ ์ ๊ทธ๋ฆผ 1์ ๋ํ๋ด์๋ค.
๊ทธ๋ฆผ 1(a)๋ฅผ ๋ณด๋ฉด ์ ์ ์๋ฏ์ด MA(CH3NH3+) ๋ถ์์ ์๋ก ๋ค๋ฅธ ๊ธฐํํ์ ๋ชจ์์ MA ๋ถ์์ ๋ฌด๊ฒ ์ค์ฌ์ ๊ธฐ์ค์ผ๋ก C-N ๋ณธ๋๊ฐ z ์ถ ์์ ์์ ๋๋ฅผ ๊ธฐ์ค์ผ๋ก x์ถ, y์ถ, z์ถ์ ๊ฐ ์ถ
๋ง๋ค 0~60๋ ์ฌ์ด์์ ๋ฌด์์๋ก ์ค์ ํ์๋ค. ๋ฌด์์๋ก ์ค์ ํ MA(CH3NH3+) ๋ถ์๋ ๊ทธ๋ฆผ 1(d)์ ๋ํ๋ด์์ผ๋ฉฐ, ์ด๋ ๊ฒ ์์ฑ๋ MA(CH3NH3+) ๋ถ์๋ฅผ ๊ทธ๋ฆผ 1(b)์ ๊ฐ์ด Cs ์์ ์๋ฆฌ์ ์นํํ์์ผ๋ฉฐ, ๋ง์ง๋ง์ผ๋ก 2 X 2 X 2 Super cell์ ์์ฑํ์๋ค. ์ต์ข
์ ์ผ๋ก 27๊ฐ์ ๊ณ์ฐ ๋ชจ๋ธ ๊ตฌ์กฐ๋ฅผ ์์ฑํ์์ผ๋ฉฐ,
4๊ฐ์ง(GGA, GGA+SOC, GGA+D3, GGA+D3+SOC) ๋ค๋ฅธ ์ํ์ DFT ๊ณ์ฐ์ ์ํํ์ฌ ํ์ฑ ์๋์ง, ๋ฐด๋ ๊ฐญ, ์ ํจ ์ง๋์ ์กฐ์ฌํ์๋ค.
3.2 ํ์ฑ ์๋์ง ๊ณ์ฐ
๋ชจ๋ ์์ฌ์ ๋ถ์์ ์ฑ์ ์จ๋, ์ต๋, ์ด, ๋น, ์ฐ์ ๋ฑ์ ์กฐ๊ฑด์์ ์ผ๊ธฐ๋๋ฉฐ, ์ด๋ฌํ ์ด์ ๋ก HOIP ์์ฌ ๋ํ ์ฅ๊ธฐ์ ์์ ์ฑ์ ๊ดํ ๋ง์ ์ฐ๊ตฌ๊ฐ
์งํ๋์๋ค [52-59]. HOIP ์์ฌ๋ ์ตํ ํ๊ฒฝ์ ๋
ธ์ถ๋๋ฉด ๊ธ๊ฒฉํ ๋ถํด๋๋ค. HOIP ๊ตฌ์กฐ์ ์ด ์์ ์ฑ์ ๊ทธ ํ์ฑ ์๋์ง๋ฅผ ํตํด ๊ฒฐ์ ๋๋ค. MAPbI3๋ ์ด ์ ์ผ๋ก ๋ถ์์ ํ๋ฉฐ, 333 K ์ด์์์ MAI + PbI2 ํํฉ๋ฌผ๋ก ๋ถํด๋๋ค [60]. ๋ง์ฐฌ๊ฐ์ง๋ก, ๋ณธ ์ฐ๊ตฌ๋ MAPbI3โ MAI + PbI2 ํ์์ ๋ถํด๋ฅผ ๊ณ ๋ คํ์ฌ ํ์ฑ ์๋์ง๋ฅผ ๊ณ์ฐํ์๋ค. ํ์ฑ ์๋์ง๋ ์ (1)๊ณผ ๊ฐ์ด ๊ณ์ฐํ ์ ์๋ค.
์ฐ๋ฆฌ๋ ์ (1)์ ํตํด ๊ธฐํํ์ ์ผ๋ก ์๋ก ๋ค๋ฅธ 27๊ฐ์ MAPbI3 HOIP๊ตฌ์กฐ์ 4๊ฐ์ง(GGA, GGA+SOC, GGA +D3, GGA+D3+SOC) ๋ค๋ฅธ ์ํ์ DFT ๊ณ์ฐ์ ์ํํ์ฌ ํ์ฑ ์๋์ง๋ฅผ ๊ณ์ฐ ํ๋ค.
์ผ๋ฐ์ ์ธ DFT ๊ณ์ฐ์์ ํ์ฑ ์๋์ง ๊ณ์ฐ์ ์์์ ๊ฐ์ด ๋์ค์ง๋ง HOIP ๊ตฌ์กฐ ๊ฐ์ด ํน์ ๋ถ์๊ฐ ๊ตฌ์กฐ์ ์์ ๋์ ์นํ๋ ํน์ํ ์ํฉ์์ ํ์ฑ ์๋์ง
๊ณ์ฐ์ ์ข
์ข
์์ ๊ฐ์ ๊ฐ์ง๋ค. ์ด๋ฌํ ๊ณ์ฐ์์ ์ค์ํ ์ ์ ๋น๋ก ์์๋ก ๋์ฌ์ง๋ผ๋ ๋์ผํ ์กฐ๊ฑด์์ ๋์จ ๊ฒฝํฅ์ฑ ์๋ ๊ฒฐ๊ณผ๋ ์ถฉ๋ถํ ์๋ฏธ๊ฐ ์๋ค.
๊ทธ๋ฆผ 2์ GGA, GGA+SOC, GGA+D3, GGA+D3+SOC ๊ณ์ฐ ์กฐ๊ฑด์์ ๊ฐ๊ฐ์ ํ์ฑ ์๋์ง ๋ถํฌ๋ฅผ ๋ณด๋ฉด ๊ณ์ฐ ๋ชจ๋ธ์ ๋ฐ๋ผ GGA๋ 0.341~0.449
eV/f.u., GGA+SOC๋ 0.247~0.354 eV/f.u., GGA+D3๋ 0.417~0.507 eV/f.u., GGA+D3+SOC๋ 0.331~0.425
eV/f.u. ๋ถํฌ๋ฅผ ๋ณด์ธ๋ค. ๊ฐ๊ฐ์ ๋ถํฌ ์ฐจ์ด๋ 0.108, 0.107, 0.09, 0.094๋ก ๋์๋ค. ์ด๋ฌํ ํ์ฑ ์๋์ง ๊ณ์ฐ ๊ฒฐ๊ณผ๋ฅผ ๋ณด๋ฉด ์
์ ์๋ฏ์ด ๊ณ์ฐ ๋ชจ๋ธ์ด ํ์ฑ ์๋์ง์ ๋ง์ ์ํฅ์ ๋ฏธ์น๋ ๊ฒ์ ์ ์ ์๋ค. ์ด๋ฌํ ์ด์ ๋ Cs ์์ ์๋ฆฌ์ MA(CH3NH3+) ๋ถ์๊ฐ ์นํ๋์ด ๊ตฌ์กฐ ์ด์ ๊ณผ์ ์์ ๊ตฌ์กฐ๋ฅผ ์ฌ๊ฐํ๊ฒ ์๊ณก์ํค๊ธฐ ๋๋ฌธ์ด๋ค. ํ์ง๋ง, ๊ณ์ฐ ์กฐ๊ฑด์ ๋ฐ๋ผ์๋ ๊ฒฝํฅ์ฑ์ด ์ผ์นํจ์ ์ ์ ์๋ค.
3.3 Band structure and Effective mass
MA(CH3NH3+) ๋ถ์๊ฐ CsPbI3(ABX3) Cubic ๊ตฌ์กฐ์์ Cs ์์๊ฐ ์์นํ A site์ ์นํ๋๋ฉด, ์๊ฒฉํ ๊ฒฐ์ ํ์ ๊ด์ ์์ ๊ธฐ์กด์ Cubic ๋์นญ์ ์์ด๋ฒ๋ฆฌ๊ฒ ๋๋ค. ๋ฐ๋ผ์ ๋ชจ๋
๋ถ์ ์นํ ๊ตฌ์กฐ๋ P1 ๋์นญ์ ๊ฐ๋ ๊ฒ์ผ๋ก ๊ฐ์ฃผํ๋ ๊ฒ์ด ํฉ๋ฆฌ์ ์ด๋ค. DFT ๊ณ์ฐ ์ํ์์ ๊ตฌ์กฐ์ ์ด์์ด ์ ์ฝ์์ด ์๋ฃ๋์์ ๋, ์ด์์ ์ํ ์๊ณก์ผ๋ก ์ธํด ๊ธฐ์กด์ ๋์นญ์
๋์ฑ ํํธ๋ฌ์ง๋ค. ์ด๋ฌํ ์ํฉ์์ ๋ฐด๋ ๊ตฌ์กฐ๋ฅผ ๊ตฌ์ฑํ๋ ๋ฐฉ๋ฒ์๋ ๋ ๊ฐ์ง๊ฐ ์๋ค. ์ฒซ ๋ฒ์งธ๋ P1 ๋์นญ์ ๋ธ๋ฆด๋ฃจ์ ์์ญ์ผ๋ก ๋ฐด๋ ๊ตฌ์กฐ๋ฅผ ๊ตฌ์ฑํ๋ ๊ฒ์ด๊ณ , ๋ ๋ฒ์งธ๋ ์๋ ๊ตฌ์กฐ ๋์นญ์ ๋ธ๋ฆด๋ฃจ์ ์์ญ์ผ๋ก ๋ฐด๋ ๊ตฌ์กฐ๋ฅผ ๊ตฌ์ฑํ๋ ๋ฐฉ๋ฒ์ด๋ค. ์๊ฒฉํ ๊ฒฐ์ ํ์
๊ด์ ์์๋ ๋น๋ก P1 ๋์นญ์ด์ง๋ง, ๊ธฐ์กด์ ๋ชจ๋ ๋ณด๊ณ ์์ ๋ฐด๋ ๊ตฌ์กฐ ๊ตฌ์ฑ์ ์๋์ ๋์นญ์ฑ์ ์ฌ์ฉํ์๊ธฐ ๋๋ฌธ์ ๋ณธ ์ฐ๊ตฌ์์๋ ์๋์ ๋์นญ์ฑ์ ์ฌ์ฉํ์๋ค. ๋ํ, P1 ๊ตฌ์ฑ๊ณผ ์๋์ ๋์นญ์ ๋ฐ๋ฅธ ๋ฐด๋ ๊ตฌ์กฐ ๊ตฌ์ฑ์ ๋ง์ ๋ฐด๋ ๊ฐญ ์ฐจ์ด๋ก ์ด์ด์ง์ง ์์ง๋ง, ์๋ก ๋ค๋ฅธ ์ ํจ ์ง๋ ๊ฐ์ ๋ฐ์์ํจ๋ค. ๋ฐด๋ ๊ฐญ ์ฐจ์ด๋ณด๋ค ์ ํจ
์ง๋์ ์ฐจ์ด๊ฐ ํฌ๊ฒ ๋๋ ์ด์ ๋ ํน์ k ์ง์ ์์ ์ธก์ ํ ์ ํจ ์ง๋์ด ๋์นญ ์ค์ ์ ์ํฅ์ ๋ ๋ง์ด ๋ฐ๊ธฐ ๋๋ฌธ์ด๋ค.
๊ทธ๋ฆผ 3์ ๊ธฐํํ์ ์ผ๋ก ์๋ก ๋ค๋ฅธ 27๊ฐ์ MAPbI3 HOIP๊ตฌ์กฐ์ 4๊ฐ์ง(GGA, GGA+SOC, GGA+D3, GGA+D3+SOC) ๋ค๋ฅธ ์กฐ๊ฑด์ DFT ๊ณ์ฐ์ ์ํํ์ฌ ๊ณ์ฐ๋ Band Gap ๊ฐ์
๋ณด์ฌ์ค๋ค. ๊ณ์ฐ ๋ ๊ฒฐ๊ณผ๋ฅผ ๋ณด๋ฉด ํฌ๊ฒ SOC(Spin Obrit Coupling) ์ํธ์์ฉ์ ํฌํจํ ๊ณ์ฐ๊ณผ ํฌํจํ์ง ์๋ ๊ฒฝ์ฐ๋ก ๋๋์ด์ง๋ฉฐ, ์ ๊ธฐ๋ฌผ์ธ
MA(CH3NH3+) ๋ถ์์ ์ํด ์ด์๋ ๊ตฌ์กฐ์ ๋ฐ๋ผ ์์ดํ ๊ฒฐ๊ณผ๋ฅผ ๋ํ๋ด์๋ค. ์ผ๋ฐ์ ์ธ DFT ๊ณ์ฐ์์ Band gap์ ๋๋ถ๋ถ ๊ณผ์ํ๊ฐ๋์ด ์ข๋ ์ ํํ ๊ณ์ฐ์ ์ํด
HSE06 ๊ณ์ฐ์ ํตํด ๋ณด์ ํ๋ค [61-67]. ํ์ง๋ง MAPbI3 HOIP ๊ตฌ์กฐ์์๋ ์คํ ๊ดํ ๋ฐด๋ ๊ฐญ์ธ 1.55 eV ๋ณด๋ค ๋์ ๊ณผ๋ํ๊ฐ์ ๊ฒฐ๊ณผ๊ฐ ๋์์ผ๋ฉฐ, SOC(Spin Obrit Coupling) ์ํธ์์ฉ์
ํฌํจํ ๊ณ์ฐ์ ๊ฒฝ์ฐ์๋ ๊ณผ์ํ๊ฐ ๊ฒฐ๊ณผ๊ฐ ๋์๋ค.
์๊ณ ๊ท ํ ์กํ ์ ํจ ์ง๋์ ํ์์ ์ง์์ ์ ํ ๋ถ๋ฆฌ, ๋ฐ๊ด์ฒด์์ ์ ํ ์ฌ์กฐํฉ์ ์ ๋ฆฌํ๊ธฐ ๋๋ฌธ์ ์๊ณ ๊ท ํ ์กํ ์ ์(me*) ๋ฐ ํ(mh*)๋ฅผ ํ์๋ก ํ๋ค. ์ฌ๊ธฐ์ me*๋ CBM(conduction band minimum) ๊ณก๋ฅ ์์ ๋์ถํ ์ ํจ ์ง๋์ด๋ฉฐ, mh*๋ VBM(valence band maximum) ๊ณก๋ฅ ์์ ๋์ถํ ์ ํจ ์ง๋์ด๋ค. ๊ทธ๋ฆผ 4๋ ๊ธฐํํ์ ์ผ๋ก ์๋ก ๋ค๋ฅธ 27๊ฐ์ MAPbI3 HOIP ๊ตฌ์กฐ์ 4๊ฐ์ง(GGA, GGA+SOC, GGA+D3, GGA+D3+SOC) ๋ค๋ฅธ ์ํ์ DFT ๊ณ์ฐ์์ ๋์ถํ ์ ํจ ์ง๋์ ๋ํ๋ธ๋ค. ๊ทธ๋ฆผ 4์ (a) me*์ (b) mh*๋ฅผ ๋ณด๋ฉด ์์ ์ธ๊ธํ ํ์ฑ์๋์ง๋ Band gap ๋ณด๋ค ๋งค์ฐ ๋ง์ ์ฐจ์ด๋ฅผ ๋ํ๋ด๋ ๊ฒ์ ์ ์ ์๋ค. me* ๊ฒฝ์ฐ ํนํ GGA+SOC ๊ณ์ฐ์์ ๋งค์ฐ ํฐ ๊ฐ์ ์ ํจ ์ง๋์ด ๋์์ผ๋ฉฐ, ๊ทธ ์ฐจ์ด๋ ๋งค์ฐ ์ฌ๊ฐํ๊ฒ ๋์๋ค. mh* ๊ฒฝ์ฐ์์๋ GGA+D3+SOC ๊ณ์ฐ์์ 27๊ฐ์ ๊ณ์ฐ ๋ชจ๋ธ ์ค์ 12๊ฐ์ ๊ณ์ฐ ๋ชจ๋ธ์์ ๋งค์ฐ ์์ ๊ฐ์ ์ ํจ ์ง๋ ๊ฐ์ ๋ณด์๋ค. ์ ํจ ์ง๋ ๊ณ์ฐ์
์ ์ฒด์ ์ผ๋ก ๋ณด๋ฉด DFT ๊ณ์ฐ ๋ฐฉ๋ฒ์์๋ ์ฐจ์ด๊ฐ ์ผ์ด๋์ง๋ง, ๊ทธ ๋ณด๋ค ๊ณ์ฐ ๋ชจ๋ธ์ ๋ฐ๋ฅธ ์ฐจ์ด๊ฐ ๋งค์ฐ ํฐ ๊ฒ์ ์ ์ ์๋ค. ์ด๋ฌํ ์ด์ ๋ ๊ตฌ์กฐ ์ด์
๊ณผ์ ์์ ์ ๊ธฐ๋ฌผ์ธ MA(CH3NH3+) ๋ถ์๊ฐ ๊ตฌ์กฐ๋ฅผ ์ฌ๊ฐํ๊ฒ ์๊ณก์์ผ CBM/VBM์ ๊ณก๋ฅ ์ ๋ณํ ์ํค๊ธฐ ๋๋ฌธ์ด๋ค. HOIP ๊ตฌ์กฐ์ ์ ํจ ์ง๋์ ๊ณ์ฐํ ๋
ผ๋ฌธ๋ค์ ๋ณด๋ฉด ๋๋ถ๋ถ SOC
๊ธฐ๋ฅ์ ํฌํจํ์ฌ ๊ณ์ฐํ์๋ค. ๋ณธ ์ฐ๊ตฌ ๊ฒฐ๊ณผ์์ ๋ณด๋ฏ์ด ์ผ๋ถ์์ ๋งค์ฐ ์์ ๊ฐ์ผ๋ก ๋์ค์ง๋ง ๊ณ์ฐ ๋ชจ๋ธ์ ๋ฐ๋ผ ๊ทธ ์ฐจ์ด๊ฐ ์ฌ๊ฐํ๊ฒ ์ผ์ด๋๋ ๊ฒ์ ๋ณด์์
๋ ๊ฐ์ฅ ์ค์ํ ๊ฒ์ ๊ณ์ฐ ๋ชจ๋ธ์์ ํ์ธํ์๋ค.
4. ๊ฒฐ ๋ก
๋ณธ ์ฐ๊ตฌ๋ HOIP ๊ตฌ์กฐ์ ํฉ๋ฆฌ์ ์ธ DFT ๊ณ์ฐ ๋ฐฉ๋ฒ์ ์ฐพ๊ณ ์ ์ํ๋์์ผ๋ฉฐ, HOIP ๊ตฌ์กฐ์ ๊ฐ์ฅ ํฐ ๋ฌธ์ ์ ์ธ ์ ๊ธฐ๋ฌผ ๋ถ์์ ์์น๋ฅผ ํน์ ํ ์ ์๋ค๋
๋ฐ์์ ์์ํ์๋ค. ์ฐ๋ฆฌ๋ HOIP 3์ฐจ์ ๊ตฌ์กฐ ์ค ๊ฐ์ฅ ๊ฐ๋จํ MAPbI3 HOIP ๊ตฌ์กฐ๋ฅผ ๋์์ผ๋ก ๊ธฐํํ์ ์ผ๋ก ์๋ก ๋ค๋ฅธ 27๊ฐ์ ๊ณ์ฐ ๋ชจ๋ธ์ GGA, GGA+SOC, GGA+D3, GGA+D3+SOC 4๊ฐ์ง ์กฐ๊ฑด์ผ๋ก
DFT ๊ณ์ฐ์ ์ํํ์ฌ ํ์ฑ ์๋์ง, Band gap, ์ ํจ ์ง๋(me*, mh*)์ ๊ณ์ฐํ์ฌ ๋น๊ตํ์๋ค. ๊ทธ ๊ฒฐ๊ณผ ๋ชจ๋ ๊ฒฐ๊ณผ์์ ๊ณ์ฐ ๋ชจ๋ธ์ ๋ฐ๋ฅธ ์ฐจ์ด์ ์ ๋ณด์์ผ๋ฉฐ, ๊ณ์ฐ ์กฐ๊ฑด์ ๋ฐ๋ผ์๋ ๋น์ทํ ๊ฒฝํฅ์ด ๋ณด์์ ํ์ธํ์๋ค. ํ์ง๋ง,
์ ํจ ์ง๋์ ๊ฒฝ์ฐ์๋ ์ฐจ์ด๊ฐ ์ฌ๊ฐํ๊ฒ ๋ํ๋ฌ๋ค. ์ด๋ฌํ ๋ชจ๋ ๊ฒฐ๊ณผ๋ ์๋ก ๋ค๋ฅธ 27๊ฐ ๊ณ์ฐ ๋ชจ๋ธ์ ๊ตฌ์กฐ ์ด์ ๊ณผ์ ์์ ์ผ์ด๋ฌ์ผ๋ฉฐ, ๊ทธ ์ด์ ๋ ์ ๊ธฐ๋ฌผ์ธ
MA (CH3NH3+) ๋ถ์๊ฐ ๊ตฌ์กฐ๋ฅผ ์ฌ๊ฐํ๊ฒ ์๊ณก ์์ผฐ๊ธฐ ๋๋ฌธ์ด๋ค. ๋ฐ๋ผ์ HOIP ๊ตฌ์กฐ์ DFT ๊ณ์ฐ์์ ํฉ๋ฆฌ์ ์ธ ํ์ฑ ์๋์ง, Band gap, ์ ํจ ์ง๋์ ๊ณ์ฐ์
์ํด์๋ ๋์ผํ ๊ณ์ฐ ์กฐ๊ฑด์ผ๋ก ์ํ๋์ด์ผ ํ๋ฉฐ, ์๋ก ๋ค๋ฅธ ์ฌ๋ฌ ๊ฐ์ ๋ชจ๋ธ์ ๋ํด DFT ๊ณ์ฐ์ ํ ํ์์ฑ์ด ์๋ค.
Acknowledgements
์ด ์ฑ๊ณผ๋ ์ ๋ถ(๊ณผํ๊ธฐ์ ์ ๋ณดํต์ ๋ถ)์ ์ฌ์์ผ๋ก ํ๊ตญ์ฐ๊ตฌ์ฌ๋จ(NRF-2014R1A6A1030419, 2018R1C1B6006943)๊ณผ 2020๋
์์ฒ๋ํ๊ต
ํ์ ์ฐ๊ตฌ๋น(2020-0198) ๊ณต๋ชจ๊ณผ์ ๋ก ์ฐ๊ตฌ๋์์.
REFERENCES
Basera P., Kumar M., Saini S., Bhattacharya S., Phys. Rev. B,101, 054108 (2020)

Park N. G., Grรคtzel M., Miyasaka T., Zhu K., Emery K., Nat. Energy,1, 16152 (2016)

Yang W. S., Park B., Jung E. H., Jeon N. J., Science,356, 1376 (2017)

National Renewable Energy Laboratory, https://www.nrel.gov/pv/cell-efficiency.html,
Best Research-Cell Efficiencies, (2021)

Kojima A., Teshima K., Shirai Y., Miyasaka T., J. Am. Chem. Soc,17, 6050 (2009)

Lee M. M., Teuscher J., Miyasaka T., Murakami T. N., Snaith H. J., Science,338, 643
(2012)

Stranks S. D., Eperon G. E., Grancini G., Menelaou C., Alcocer M. J. P., Leijtens
T., Herz L. M., Petrozza A., Snaith H. J., Science,342, 341 (2013)

Liu M., Johnston M. B., Snaith H. J., Nature,501, 395 (2013)

Akkerman Q. A., Rainรฒ G., Kovalenko M. V., Manna L., Nat. Mater,17, 394 (2018)

Son D.-Y., Kim S.-G., Seo J.-Y., Lee S.-H., Shin H., Lee D., Park N.-G., J. Am. Chem.
Soc,140, 1358 (2018)

Jena A. K., Kulkarni A., Miyasaka T., Chem. Rev,119, 3036 (2019)

Mao L., Stoumpos C. C., Kanatzidis M. G., J. Am. Chem. Soc,141, 1171 (2019)

Shi C., Ye L., Gong Z.-X., Ma J.-J., Wang Q.-W., Jiang J.-Y., Hua M.-M., Wang C. F.,
Yu H., Zhang Y., Ye H.-Y., J. Am. Chem. Soc,142, 545 (2020)

Xu J., Li X., Xiong J., Yuan C., Semin S., Rasing T., Bu X.-H., Adv. Mater,32, 1806736
(2019)

Nakajima T., Sawada K., J. Phys. Chem. Lett,8, 4826 (2017)

Li Y., Yang K., Energy Environ. Sci,12, 2233 (2019)

Lu S., Zhou Q., Ouyang Y., Guo Y., Li Q., Wang J., Nat. Commun,9, 3405 (2018)

Li Z., Xu Q., Sun Q., Hou Z., Yin W.-J., Adv. Funct. Mater,29, 1807280 (2019)

Schmidt J., Shi J., Borlido P., Chen L., Botti S., Marques M. A. L., Chem. Mater,29,
5090 (2017)

Jeong J., Song D., Choe J., Chung C.-H., Hong K.-H., Korean J. Met. Mater,57, 535
(2019)

Tan B. T., Zhang J., Sopiha K. V., Wu P., Met. Mater. Int,25, 869 (2019)

Kim M., Singh S. P., Shim S., Park W. B., Sohn K.-S., Chem. Mater,32, 6697 (2020)

Park W. B., Nathan M. G. T., Han S. C., Lee J.-W., Sohn K.-S., Pyo M., RSC Adv,10,
43273 (2020)

Han S. C., Park W. B., Sohn K.-S., Pyo M., Inorg. Chem. Front,7, 2023 (2020)

Hong J., Lee J., Lee Y.-W., Park W. B., Ahn D., Park J. B., Pak S., Baik J., Morris
S. M., Cha S., Sohn K.-S., Sohn J. I., J. Power Sources,444, 227301 (2019)

Richard Prabakar S. J., Ikhe A. B., Park W. B., Chung K.-C., Park H., Kim K.-J., Ahn
D., Kwak J. S., Sohn K.-S., Pyo M., Adv. Sci,6, 1902129 (2019)

Han S. C., Park W. B., Sohn K.-S., Pyo M., J. Solid State Electr,23, 3135 (2019)

Naveen N., Park W. B., Singh S. P., Han S. C., Ahn D., Sohn K.-S., Pyo M., Small,14,
1803495 (2018)

Park W. B., Han S. C., Park C., Hong S. U., Han U., Singh S. P., Jung Y. H., Ahn D.,
Sohn K.-S., Pyo M., Adv. Energy Mater,8, 1703099 (2018)

Naveen N., Park W. B., Han S. C., Singh S. P., Jung Y. H., Ahn D., Sohn K.-S., Pyo
M., Chem. Mater,30, 2049 (2018)

Lee J.-W., Singh S. P., Kim M., Hong S. U., Park W. B., Sohn K.-S., Inorg. Chem,56,
9814 (2017)

Jung Y. H., Park W. B., Pyo M., Sohn K.-S., Ahn D., J. Mater. Chem. A,5, 8939 (2017)

Lee B. D., Park W. B., Lee J.-W., Kim M., Pyo M., Sohn K.-S., Chem. Mater,33, 782
(2021)

Lee J.-W., Park W. B., Lee J. H., Singh S. P., Sohn K.-S., Nat. Commun,11, 1 (2020)

Lee J.-W., Park W. B., Lee B. D., Kim S., Goo N. H., Sohn K.-S., Sci. Rep,10, 1 (2020)

Sohn K.-S., Chung J., Cho M.-Y., Timilsina S., Park W. B., Pyo M., Shin N., Sohn K.,
Kim J. S., Sci. Rep,7, 1 (2017)

Park W. B., Chung J., Jung J., Sohn K., Singh S. P., Pyo M., Shin N., Sohn K.-S.,
IUCrJ,4, 486 (2017)

Agiorgousis M. L., Sun Y.-Y., Choe D.-H., West D., Zhang S., Adv. Theory Simul,2,
1800173 (2019)

Balachandran P. V., Emery A. A., Gubernatis J. E., Lookman T., Wolverton C., Zunger
A., Phys. Rev. Mater,2, 043802 (2018)

Bartel C. J., Sutton C., Goldsmith B. R., Ouyang R., Musgrave C. B., Ghiringhelli
L. M., Scheffler M., Sci. Adv,5, eaav0693 (2019)

Han W. G., Park W. B., Singh S. P., Pyo M., Sohn K.-S., Phys. Chem. Chem. Phys,20,
26405 (2018)

Hong S. U., Singh S. P., Pyo M., Park W. B., Sohn K.-S., Phys. Chem. Chem. Phys,19,
16702 (2017)

Park W. B., Hong S. U., Singh S. P., Pyo M., Sohn K.-S., ACS omega,1, 483 (2016)

Perdew J. P., Burke K., Ernzerhof M., Phys. Rev. Lett,77, 3865 (1996)

Kresse G., Hafner J., Phys. Rev. B,47, 558 (1993)

Kresse G., Hafner J., Phys. Rev. B,49, 14251 (1994)

Kresse G., Furthmรผller J., Comput. Mater. Sci,6, 15 (1996)

Kresse G., Furthmรผller J., Phys. Rev. B,54, 11169 (1996)

Blรถchl P. E., Phys. Rev. B,50, 17953 (1994)

Kresse G., Joubert D., Phys. Rev. B,59, 1758 (1999)

Whitfield P. S., Herron N., Guise W. E., Page K., Cheng Y. Q., Milas I., Crawford
M. K., Sci. Rep,6, 35685 (2016)

Docampo P., Bein T., Acc. Chem. Res,49, 339 (2016)

Rong Y., Liu L., Mei A., Li X., Han H., Adv. Energy Mater,5, 1501066 (2015)

Leijtens T., Eperon G. E., Noel N. K., Habisreutinger S. N., Petrozza A., Snaith H.
J., Adv. Energy Mater,5, 1500963 (2015)

Berhe T. A., Su W.-N., Chen C.-H., Pan C.-J., Cheng J.-H., Chen H.-M., Tsai M.-C.,
Chen L.-Y., Dubale A. A., Hwang B.-J., Energy Environ. Sci,9, 323 (2016)

Ye M., Hong X., Zhang F., Liu X., J. Mater. Chem. A,4, 6755 (2016)

Tiep N. H., Ku Z., Fan H. J., Adv. Energy Mater,6, 1501420 (2016)

Brivio F., Frost J. M., Skelton J. M., Jackson A. J., Weber O. J., Weller M. T., Goรฑi
A. R., Leguy A. M. A., Barnes P. R. F., Walsh A., Phys. Rev. B,92, 144308 (2015)

Li B., Li Y., Zheng C., Gao D., Huang W., RSC Adv,6, 38079 (2016)

Wang Q., Dong Q., Li T., Gruverman A., Huang J., Adv. Mater,28, 6734 (2016)

Lee J. H., Singh S. P., Kim M., Pyo M., Park W. B., Sohn K.-S., Inorg. Chem. Front,6,
3493 (2019)

Kim M., Park W. B., Lee J.-W., Lee J., Kim C. H., Singh S. P., Sohn K.-S., Chem. Mater,30,
6936 (2018)

Singh S. P., Kim M., Park W. B., Lee J.-W., Sohn K.-S., Inorg. Chem,55, 10310 (2016)

Park W. B., Kim H., Park H., Yoon C., Sohn K.-S, Inorg. Chem,55, 2534 (2016)

Kim M., Park W. B., Bang B., Kim C. H., Sohn K.-S., J. Mater. Chem. C,4, 1914 (2016)

Kim M., Park W. B., Bang B., Kim C. H., Sohn K.-S., J. Mater. Chem. C,3, 5484 (2015)

Park W. B., Singh S. P., Kim M., Sohn K.-S., Inorg. Chem,54, 1829 (2015)

Figures
Fig. 1.
Schematic represent atom for the rotation of MA(CH3NH3+) molecule. 3 orange arrows represent the rotation of molecule around each x, y, z
axis. (b) The representation of substituted CsPbI3 cubic structure with MA. (c) The calculated 2 X 2 X 2 supercell structure of (b).
(d) The 27 MAs made from the method represented in (a) with randomly selected degrees.
Fig. 2.
Results of formation energy calculation using different molecular configurations with
four different types of DFT calculations (GGA, GGA+SOC, GGA+D3, GGA+D3+SOC).
Fig. 3.
The band gap of each configurations following four different types of DFT calculations
(GGA, GGA+SOC, GGA+D3, GGA+D3+SOC).
Fig. 4.
The effective mass calculation resulted from 4 different DFT calculations (GGA, GGA+SOC,
GGA+D3, GGA+D3+SOC). (a) The plot of effective mass of electron calculated from CBM
(conduction band minimum) curvature. (b) The plot of effective mass of hole calculated
from VBM (valence band minimum) curvature.