손인진
(In-Jin Shon)
1*
-
전북대학교 신소재공학부 수소연료전지 연구센터
(Division of Advanced Materials Engineering, Research Center of Hydrogen Fuel Cell,
Jeonbuk National University, Jeonju 54896, Republic of Korea)
Copyright © 2021 The Korean Institute of Metals and Materials
Key words
composite, synthesis, nanomaterials, mechanical properties, ZrB2-SiC
1. 서 론
ZrB2는 높은 열전도도, 매우 높은 용융 온도, 화학적 안정성과 우수한 내 충격성을 갖고 있기 때문에 초고온 내열 재료로 사용될 수 있다 [1]. 하지만 ZrB2는 파괴 인성이 낮으므로 공업적으로 널리 사용되기 위해서는 파괴 인성을 높여야 하는 문제점을 갖고 있다. 파괴 인성을 향상시키는 방법은 제 이상 물질을
첨가해서 나노구조 복합재료를 제조하는 것이다. 복합재료에서 제 이상 물질은 균열 전파시 균열 가교와 균열 굴절로 균열 진행을 억제시키기 때문에 인성이
향상된다 [2,3]. 첨가할 제이상으로는 SiC가 적합하다고 판단된다. SiC는 용융온도가 높고, 대기중에서 가열시 표면에 치밀한 SiO2 형성으로 내 산화성이 우수하다[4,5]. 나노구조 재료는 경도와 더불어 파괴인성을 향상시키기 때문에 여러 연구자들이 연구를 하고 있다 [6]. 나노분말은 공침법, 고 에너지 볼 밀링, 전기 폭발 법, 연소합성으로 제조되고 있다 [7-9]. 이 중에서 볼밀링은 분말이 나노화되고, 밀링에 의해 분말에 격자변형과 많은 결함에 발생되어 분말이 활성화되므로 소결이 낮은 온도에서도 이루어진다
[10]. 원료분말이 나노크기로 매우 작더라도 기존의 소결방법으로는 고온에서 장시간 가열해야하기 때문에 소결도중에 입자성장이 일어나므로 나노구조의 벌크재료를
얻기가 어렵다 [11]. 나노구조 벌크재료를 제조하기 위해서는 낮은 온도에서 빠른 시간 내에 소결해야 한다. 이러한 점에서 고주파유도 가열 소결 방법이 개발되었다[12]. 고주파유도 가열 소결 방법은 유도전류 가열에 의해 분말들과 분말들사이에 프라즈마 발생되므로 원자들의 확산은 표면정화가 일어나서 쉽고, 원자들의
이동은 전기장 하에서는 빠르고, 분말들과 분말들의 접촉점에서는 발생된 주울 열로 온도가 높아져서 원자들의 이동이 쉽기 때문에 빠른 시간 내에 낮은
온도에서도 치밀화가 이루어지는 장점이 있다 [13-16].
본 연구에서는 ZrC, B와 Si분말을 볼 밀링하여 나노분말을 제조하였다. 나노분말을 고주파 유도 가열하여 짧은 시간 (4분) 내에 합성과 동시에
소결하였다. 소결한 시편의 결정상과 미세조직은 각각 X-선 회절장치와 EDS부착된 주사전자현미경으로 조사 분석하였다. 또한 경도와 파괴인성은 비커스
경도계로 측정하였다.
2. 실험 방법
본 연구에 사용한 초기분말 ZrC, B 와 Si은 Alfa 회사에서 구입하였으며, 입자의 크기는 모두 -325 메시이었고, 순도는 각각 99.6%,
99.2%, 99.5%이었다. 최종적으로 ZrB2-SiC 조성에 맞도록 초기 분말로 사용한 ZrC, B와 Si분말을 원자비로 1 대 2대 1로 측량하였다. 측량된 분말은 아르곤 가스 분위기에서 용기에
넣고 직경이 14 mm인 WC-7Co 볼을 사용하여 10시간 동안 200 rpm 속도로 볼 밀링을 하였다. 이때, 분말과 초경볼의 무게 비는 1:25로
하였다.
고주파유도가열 소결 장치의 그림은 참고문헌 [17]에 나타내었다. 소결 과정은 4단계 과정으로 이루어졌다. 첫 번째는 볼 밀링된 분말을 흑연 다이에 충진한 후 소결 및 합성 장치 내부에 장착하고
40 mTorr의 진공분위기로 만든다. 두 번째는 낮은 온도에서 기공이 거의 없는 소결체를 얻기 위해서 70 MPa의 일축압력을 가한다. 세 번째는
흑연 다이와 시편에 유도전류를 공급한다. 시편 수축길이는 LVDT로 기록하고 수축길이의 변화가 거의 없을 때 소결이 완료된 것으로 생각하였고, 이때까지
유도전류를 공급하였다. 그리고 흑연 다이 온도는 광 온도계로 측정하여 기록하였다. 마지막 단계로 유도전류를 차단하고, 시편을 상온까지 냉각시킨다.
고주파 유도가열 합성 및 소결방법으로 제조된 ZrB2-SiC 복합재료의 상대밀도는 아르키메데스법으로 시편 부피를 측량한 후 시편의 밀도를 계산하여 측정하였다. 결정상은 CuKα 타겟을 이용하여 주사속도
4 °/min 로 20~80 °의 범위로 X-선 회절 시험하여 분석하였다. 이 때 공급된 전압과 전류는 각각 45 kV와 35 mA 이었다. 시편
미세조직은 시편을 다이아몬드 액과 알루미나로 연마한 후 EDS가 장착된 주사전자현미경으로 관찰 분석하였다.
밀링한 분말과 합성 및 소결한 재료에서 결정자의 크기는 X-선 회절시험 반가폭 크기를 계산하여 Suryanarayana식을 이용하여 계산하였다 [18]. 소결 및 합성한 시편 경도는 비커스 경도측정기를 사용하여 압흔 면적을 측정하여 계산하였다. 파괴인성은 압흔 대각선에서 발생한 균열의 길이를 계산하여
Niihara 식 [19]을 이용하여 측정하였다.
3. 결과 및 고찰
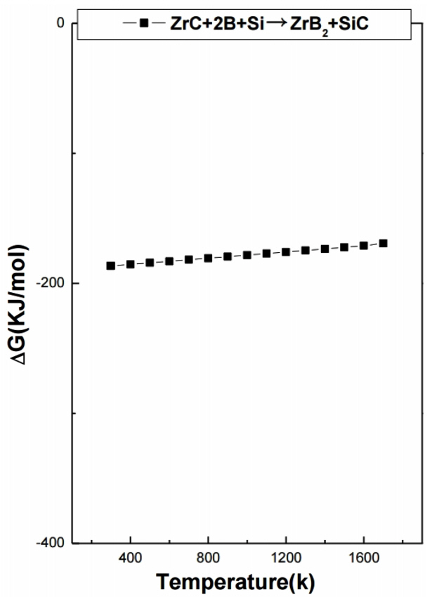
ZrC, B와 Si로부터 ZrB2와 SiC 생성 시 온도에 따른 생성 깁스 자유에너지는 그림 1에 나타내었다. 그림 1에서 관찰할 수 있듯이 생성 자유에너지는 음의 값을 갖고 있으므로 이 반응은 열역학적으로 안정하다는 것을 생각할 수 있다. 12시간 밀링한 분말 X-선
회절 시험한 도형은 그림 2에 나타냈다. 밀링한 분말의 X-선 회절결과에서 생성물인 ZrB2와 SiC 피크는 관찰되지 않고, 반응물인 ZrC, B와 Si 피크만 관찰되었다. 따라서 고 에너지볼 밀링 도중 합성이 일어나지 않았음을 판단할 수
있다. 밀링한 분말 피크의 반가폭은 컸다. 이와 같은 이유는 밀링하는 괴정에서 분말이 미세화 되고, 분말에 많은 결함과 스트레인이 도입되었기 때문으로
생각된다. 밀링한 분말의 ZrC, B와 Si의 결정립 크기를 Suryanarayana식 [18]을 계산한 결과 각각 21 nm, 24 nm와 14 nm이었다. 밀링한 분말 주사전자현미경 EDS분석과 미세조직은 그림 3에 나타내었다. 분말들은 매우 미세하게 되었고, 응집되어 있다. EDS분석에서 볼 밀링 과정 초경볼이나 스테인레스 용기로부터 오염될 수 있는 Fe,
Co와 W피크는 관찰되지 않고 Zr, C,Si와 B 피크만 관찰되었다.
그림 4는 70 MPa의 기계적 압력을 가한 상태에서 유도전류를을 공급하여 밀링한 분말과 흑연다이를 가열했을 때 온도와 재료의 수축 길이를 나타낸 것이다.
가열온도는 유도전류가 공급되면서 거의 일정하게 증가하였다. 수축길이는 약 600 °C에서 급격히 증가한후, 그 이상의 온도에서는 완만하게 증가하였다.
1400 °C 이상의 온도에서 수축길이 변화 거의 없었다. 이것으로부터 소결은 1400 °C에서 완료되었음을 알 수 있다. 약 600 °C에서 수축길이
가 급격히 증가한 이유를 관찰하기 위해서 700 °C로 가열한 재료를 X-선 회절 시험을 하였다. X-선 회절 시험 결과 그림 5에서 관찰할 수 있듯이 반응물인 ZrC, B와 Si은 관찰되지 않고, 생성물인 ZrB2와 SiC가 관찰되었다. 이것으로부터 수축길이가 급격히 증가한 것은 이론 밀도가 낮은 반응물(ZrC, B, Si)에서 이론 밀도가 높은 생성물(ZrB2, SiC)이 형성되었기 때문으로 판단된다. 그림 6은 1430 °C에서 소결한 복합재료에서ZrB2와 SiC의 결정자 크기를 측정하기 위해 X-선 회절 자료로부터 Br·cosθ에대한 sinθ를 나타낸 것이다. 계산한 ZrB2와 SiC의 평균 결정립 크기는 각각 약 53 nm와 62 nm이다. 소결한 ZrB2-SiC복합재료 주사전자현미경의 X-선 맵핑과 미세조직은 그림 7에 나타냈다. 미세조직에서 밝은 회색과 어두운 상 들로 존재하고 있음을 관찰할 수 있다. 질량 효과와 X-선 맵핑 분석으로부터 밝은 회색과 어두운
상은 각각 ZrB2와 SiC 이었다. 이 복합재료의 상대밀도는 98.4%이었다. 4분 이내의 짧은 시간에 나노구조인 ZrB2-SiC 복합재료를 치밀화 시킬 수 있는 것은 다음과 같이 생각할 수 있다. 유도전류 가열에 의해 분말들과 분말들사이에 프라즈마 발생되므로 원자들의
확산은 표면정화가 일어나서 쉽고, 원자들의 이동은 전기장 하에서는 빠르고, 분말들과 분말들의 접촉점에서는 발생된 주울 열로 온도가 높아져서 원자들의
이동이 쉽기 때문에 빠른 시간 내에 낮은 온도에서도 치밀화가 이루어지기 때문으로 생각된다 [13-16].
ZrB2-SiC 복합재료의 경도는 하중 20 Kgf 의 비커스 경도계로 측정하였으며, 경도는 1930 kg/mm2 이었다. 파괴인성은 압흔 자국 모서리에서 발생된 균열 길이를 계산하여 Niihara 식 [19]으로 평가하였다.
그림 8은 소결한 ZrB2-SiC 복합재료의 압흔 자국과 압흔 모서리에서 발생되어 전파된 균열을 나타낸 것이다. 균열은 압흔 자국 모서리에서 발생되어 전파되고 있음을 관찰할
수 있으며, 균열은 굴곡 (↑)을 지면서 진행되고 있음을 알 수 있다. ZrB2-SiC 복합재료의 파괴인성은 7.4 MPa.m1/2 이었다. 복합재료의 파괴인성은 단상 ZrB2의 파괴인성 3.9 MPa.m1/2 [20]보다 2배 정도 향상되었다. 이것은 복합재료에서 균열 전파 시 ZrB2와 SiC 각각 균열 전파를 막아주고, 나노구조의 복합재료를 형성하고 있기 때문으로 판단된다.
4. 결 론
ZrC, B와 Si 분말을 고 에너지 볼 밀링하여 미세한 나노크기 분말로 제조하였다. 제조된 분말을 4분 이내의 짧은 시간과 1430 °C의 온도에서
고주파 유도가열로 합성과 동시에 치밀한 나노구조의 ZrB2-SiC 복합재료를 소결하였다. 제조된 복합재료의 상대밀도 98.4%이었고, 복합재료내의 ZrB2와 SiC의 평균 결정립 크기는 각각 약 53 nm와 62 nm 이었다. ZrB2-SiC 복합재료의 경도와 파괴인성은 1930 kg/mm2와 7.4 MPa.m1/2 이었다. ZrB2-SiC 파괴 인성은 단상 ZrB2보다 2배 정도 향상되었다.
Acknowledgements
이 논문은 2021년도 전북대학교 연구기반 조성비에 의하여 연구되었음.
REFERENCES
Fahrenholtz W. G., Hilmas G. E., Talmy I. G., Zaykoski J. A., J. Am. Ceram. Soc,90,
1347 (2007)

Kwon S. M., Lee S. J., Shon I. J., Ceram. Int,41, 835 (2015)

Kim S. E., Shon I. J., Korean J. Met. Mater,56, 854 (2018)

opila E., levine S., lorincz J., J. Mater. Sci,39, 5969 (2004)

gasch M., ellerby D., irby E., beckman S., gusman M., johnson S., J. Mater. Sci,39,
5925 (2004)

Kim S. E., Hong S. H., Shon I. J., Korean J. Met. Mater,58, 453 (2020)

Xia C., Zha S., Yang W., Peng R., Peng D., Meng G., Solid State Ionics,133, 287 (2000)

Keshimiri M., Kesler O., Acta Mater,54, 4149 (2006)

Suciu C., Hoffmann A. C., Kosinski P., J. Mater. Process. Tech,202, 316 (2008)

Cho W. J., Shon I. J., Korean J. Met. Mater,56, 658 (2018)

Jung J., Kang S., Scripta Mater,56, 561 (2007)

Cho W. J., Oh S. H., Shon I. J., Korean J. Met. Mater,57, 310 (2019)

Shen Z., Johnsson M., Zhao Z., Nygren M., J. Am. Ceram. Soc,85, 1921 (2002)

Garay J. E., Anselmi-Tamburini U., Munir Z. A., Glade S. C., Kumar P. Asoka-, Appl.
Phys. Lett,85, 573 (2004)

Friedman J. R., Garay J. E., Anselmi-Tamburini U., Munir Z. A., Intermetallics,12,
589 (2004)

Garay J. E., Anselmi-Tamburini U., Munir Z. A., Acta Mater,51, 4487 (2003)

Kim S. E., Shon I. J., Korean J. Met. Mater,58, 776 (2020)

Suryanarayana C., Norton M. G., X-ray Diffraction A Practical Approach,207Plenum Press
(1998)

Niihara K., Morena R., Hasselman D. P. H., J. Mater. Sci. Let,1, 13 (1982)

Park N.-R., Cho W.-J., Kim S.-E., Shon I.-J., J. Nanosci. Nanotechnol,19, 2295 (2019)

Figures
Fig. 1.
The Gibbs free energy variation with temperature by interaction of ZrC, 2B and Si.
Fig. 2.
X-ray diffraction patterns of ZrC + 2B + Si powders milled by high energy ball milling
for 10 hours.
Fig. 3.
FE-SEM image and EDS of ZrC + 2B + Si powder milled for 10h.
Fig. 4.
Variations of temperature and shrinkage displacement with heating time during the
sintering of ZrC +2B + Si powders milled for 10h.
Fig. 5.
X-ray diffraction patterns of ZrB2-SiC composite sintered using HFIHS.
Fig. 6.
Plot of Br cosθ versus sinθ for ZrB2(a) and SiC(b) in the composite sintered at 1430 °C.
Fig. 7.
FE-SEM image and X-ray mapping of the sintered ZrB2-SiC compostie: (a) FE-SEM image, (b) B mapping, (c) C mapping, (d) Si mapping, (e)
Zr mapping.
Fig. 8.
(a) Vickers hardness indentation and (b) median crack propagating in ZrB2-SiC composite.