이성은
(Seong Eun Lee)
1
권준형
(Jun-Hyeong Kwon)
23
문경석
(Kyoung-Seok Moon)
14*
-
경상국립대학교 나노·신소재공학부 세라믹공학과
(School of Materials Science and Engineering, Gyeongsang National University, Gyeongnam
52828, Republic of Korea)
-
경상국립대학교 재료공학과 세라믹전공
(Department of the Material Science and Engineering, Ceramic Engineering, Gyeongsang
National University, Gyeongnam 52828, Republic of Korea)
-
한국재료연구원, 세라믹재료연구본부, 기능세라믹 연구실
(Department of Functional Ceramics, Ceramics Materials Division, Korea Institute of
Materials Science (KIMS), Changwon 51508, Republic of Korea)
-
경상국립대학교 나노신소재융합소재공학과
(Department of Materials Engineering and Convergence Technology, Gyeongsang National
University, Gyeongnam 52828, Republic of Korea)
Copyright © 2021 The Korean Institute of Metals and Materials
Key words
sodium potassium niobate, microstructure, solid solution, crystal structure, dielectric property
1. 서 론
자율주행 자동차 및 전기 자동차의 개발과 발전에 의한 전장용 Multi-Layer Ceramic Capacitors (MLCC)의 수요가 증가하고
있다. 전장용 MLCC는 고용량 특성뿐만 아니라 200 °C 이상의 고온, 높은 습도, 외부의 충격 등의 극단적인 환경에서도 작동하기 위한 높은 신뢰성을
필요로 한다 [1,2]. MLCC에 응용되는 강유전체 재료인 BaTiO3 (BT)는 페롭스카이트(Perovskite) 구조로 유전특성이 우수하고 상온에서 tetragonal 구조를 가지며 약 120 °C 정도에서 cubic으로
상 변화가 일어나며 큐리점을 가진다 [3,4]. 하지만 이러한 BT는 고온용 MLCC에 응용하기에 비교적 낮은 큐리점을 가지기 때문에 다양한 첨가제를 이용하여 tetragonality의 변화는
최소화하며 온도안정성은 높이고 유전특성 또한 향상시키기 위한 많은 연구가 보고되고 있다 [5,6].
강유전체는 큐리온도(Curie temperature)에서 상전이가 일어나면서 유전상수가 급격히 변화하므로, 온도에 따른 유전상수의 안정성을 확보하기
위해서는 디바이스 작동 환경의 온도보다 큐리온도가 높거나, 완화형 유전특성 [7,8]을 가져야 한다. (K0.5Na0.5)NbO3 (KNN)은 페로브스카이트 구조의 강유전체 재료로 상온에서 orthorhombic 구조를 가지다 200 °C 부근에서 tetragonal로, 420
°C 부근에서 cubic으로 상이 변환되며 큐리온도를 가져 비교적 넓은 온도 특성을 가진다 [9,10]. KNN의 큐리온도는 400 °C 이상이나, BT 대비 상대적으로 낮은 유전특성을 가지며 출발원료인 Na2CO3와 K2CO3가 낮은 melting point를 가지고 있어 합성 중 휘발이 쉽게 일어나고 조해성이 높아 치밀한 미세 구조를 형성하기 어렵다 [11-13]. 이로 인해 치밀하고 우수한 특성을 가지는 KNN 세라믹스를 제조하기 위해 소결조제를 첨가하거나 원소를 첨가하여 특성을 향상시키기 위한 다양한
연구가 진행되고 있다 [14-17]. KNN에 SrTiO3 (ST)를 첨가하면 상온에서 orthorhombic 구조를 가지는 KNN의 격자 내에 ST가 고용되면서 pseudo-cubic 결정상이 나타나며
확산 상전이가 일어나 완화형 강유전특성을 띄면서 온도 안정성과 유전 특성을 향상시킬 수 있다고 보고 되었다 [18-20].
따라서 본 연구에서는 완화형 강유전체로 응용하기 위해 연구되는 KNN-ST 계에서 고용체(solid solution)와 복합체(composites)를
각각 제조하고 소결 온도를 변화시켜 ST의 고용 거동을 제어하여 이에 따른 미세구조와 결정구조 및 유전특성을 비교 및 분석하였다.
2. 실험 방법
본 연구에서는 K2CO3 (≥99%, Sigma-Aldrich, USA), Na2CO3 (≥99.5%, Sigma-Aldrich, USA), Nb2O5 (≥ 99.9%, Sigma-Aldrich, ITALY), SrCO3 (≥99.99%, Sigma-Aldrich, CHINA), TiO2 (≥99.7%, Sigma-Aldrich, CHINA) 분말을 사용하여 고상합성법으로 80(K0.5Na0.5) NbO3-20SrTiO3 (KNN-ST) (mole fraction)의 고용체와 복합체를 각각 제조하였다. KNN-ST 고용체(KNN-ST 1)를 제조하기 위해 K2CO3 : Na2CO3 : Nb2O5 : SrCO3 : TiO2 = 1 : 1 : 2 : 1 : 1 (몰 비율)으로 칭량한 출발원료 분말을 1차 하소를 통해 합성하였다. KNN-ST 복합체 (KNN-ST 2)를
제조하기 위해 K2CO3 : Na2CO3 : Nb2O5= 0.5 : 0.5 : 1 (몰 비율)와 SrCO3 : TiO2= 1 : 1 (몰 비율)로 KNN과 ST를 각각 하소하고, KNN : ST= 80 : 20 (몰 비율)으로 혼합한 분말을 준비하였다. 모든 과정의
분말 혼합에서는 폴리프로필렌 병에 에탄올 용매와 지르코니아 볼(dia. 5 mm)과 함께 넣고 24 h 동안 ball milling하고 건조한 분말을
80 °C 오븐에서 완전 건조시킨 다음 분쇄하였다. KNN과 ST, KNN-ST 1 분말들을 각각 합성하기 위해 건조된 분말을 알루미나 도가니에 담고
FURNACE (SC-20.UP35A, HAN TECH.)에서 분당 5 °C의 속도로 승온하여 공기중에서 800 °C로 4 h 하소한 후 KNN-ST
1와 KNN, ST 분말들을 각각 수득하였다. 수득한 KNN과 ST 분말을 위와 같은 방법으로 슬러리로 제조한 다음 Ball milling과 건조
과정을 거쳐 800 °C로 4 h 하소한 후 80KNN-20SrTiO3 (KNN-ST 2) 분말로 수득하였다.
KNN-ST 1, KNN-ST 2 분말을 각각 금속 mold를 사용하여 약 10 mm의 디스크 형태로 1차 압축성형 후 CIP (Cold Isostatic
Pressing)공정으로 185 MPa에서 15 분간 정수압을 가하였다. 제조된 디스크들을 분당 5 °C의 속도로 승온하여 1150 °C, 1250
°C, 1300 °C에서 각각 2 h 소결하였다. 소결한 시편을 분쇄한 분말을 X선 회절 분석기(XRD, Cu X-ray Tube, D8 Advance
A25, BRUKER)를 이용하여 step:0.01 °, 2 theta:10-90 °의 조건으로 분석하였고, 소결한 시편의 파단면을 전계방사주사현미경
II (FESEM II, JSM-7610F, JEOL)을 이용하여 관찰하였다. 유전 특성 측정을 위해 디스크에 Silver Paste (SJA-11-472,
HAN TECH.)를 도포하여 180 °C에서 15 min 건조한 다음 FURNACE에서 300 °C까지 2 °C/min, 700 °C까지 5 °C/min로
승온하여 700 °C에서 10 min 열처리한 후 냉각하였다. 유전 특성은 정밀 LCR미터(E4980AL, KEYSIGHT)로 측정하였다.
3. 실험 결과 및 고찰
1150, 1250, 1300 °C에서 소결한 KNN-ST 1 (고용체), KNN-ST 2 (복합체) 시편들의 XRD 결과를 그림 1에 나타내었다. 그림 1(a)은 소결온도에 따른 KNN-ST 1의 결과이고, 그림 1(b)는 소결 온도에 따른 KNN-ST 2의 결과이다. 그림 1(a)의 결과에서 처음부터 출발원료들을 함께 하소한 후 소결한 고용체 KNN-ST의 경우 모든 소결 온도에서 KNN-ST 단일상으로 존재하는 것을 확인하였다.
이는 KNN의 격자 내에 ST가 고용되어 pseudo-cubic 결정상으로 존재하게 되면서 나타난 결과로 판단된다 [18,21]. 그림 1(b)에서 KNN과 ST를 각각 합성 후 혼합하여 소결한 복합체 KNN-ST 2의 경우 모두 orthorhombic 결정상의 KNN과 cubic 결정상의
ST가 각각 존재하는 구조를 보였다. 그 중 20 − 24o와 44 − 47o 사이의 peak에서 1150 °C에서 소결하였을 때 각각 존재하던 KNN과
ST의 peak이 1250 °C와 1300 °C로 소결온도를 증가시켰을 때 KNN의 격자 내에 ST가 일부 고용되면서 KNN-ST pseudo-cubic
결정상으로 변화하는 것을 확인하였다. KNN과 ST를 각각 합성하여 혼합하고 소결하는 경우, 1300 °C까지 소결 온도를 높여도 ST가 KNN에
일부 고용되기는 하나 완전한 고용체로 존재하기 어려운 것으로 나타났다.
그림 2는 소결온도에 따른 KNN-ST 1, KNN-ST 2의 미세구조를 관찰한 것이다. 그림 2의 (a)와 (d), (b)와 (e)를 비교하면 1150 °C와 1250 °C에서 소결하였을 때 KNNST 2가 크고 작은 입자가 뚜렷한 차이를 보이는
bimodal 한 입자크기분포를 보였다. 이는 그림 1(b)의 결과와 함께 보았을 때 KNN-ST 2가 복합체로 존재하면서 KNN과 ST가 하나로 성장하지 않고 각각 존재하여 성장한 것으로 판단된다 [22,23]. 또한 그림 2(c)와 (f)를 비교하면 1300 °C에서 소결한 KNN-ST 1의 경우에는 SEM 상에서는 액상이 관찰되지 않았으나, KNN-ST 2는 KNN 과 ST가 각각
존재하면서 상대적으로 낮은 melting point (1130 °C±10 °C)를 가지는 KNN [17]으로 인해 형성된 KNN matrix에 ST 입자들이 존재하는 것을 확인하였다 (그림 2(f)).
그림 3은 1250 °C에서 소결한 KNN-ST 1, KNN-ST 2의 미세구조를 SEM-EDS mapping 분석으로 관찰한 것이다. KNN-ST의 모든
원소가 고르게 분포하는 KNN-ST 1과 달리 KNN-ST 2에서는 KNN과 ST의 원소들이 비교적 각각 분포하는 것을 보였다. 따라서 mapping
분석에서도 KNN-ST 1은 KNN에 ST가 고용되면서 성장한 고용체 구조로 KNN-ST 2는 KNN과 ST가 각각 존재하나 ST가 일부 고용된 복합체
구조로 존재함을 확인할 수 있었다.
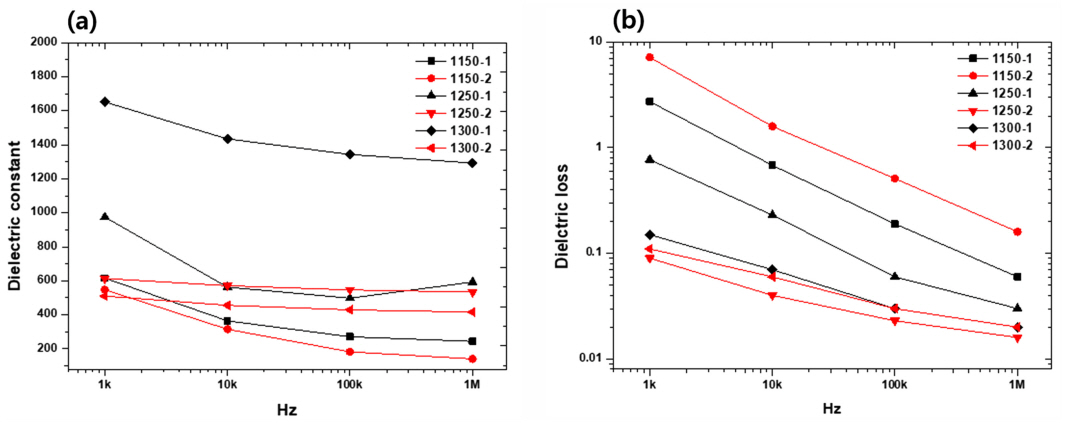
주파수에 따른 유전특성을 그림 4에 나타내었다. 그림 4의 결과를 보면 전반적으로 주파수에 따라 유전상수와 유전 손실이 감소하는 주파수 의존성을 확인하였다. 가장 높은 온도인 1300 °C에서 소결한 KNN-ST
1이 1300 이상의 높은 유전상수를 보였는데 그에 반해 이를 제외한 모든 소결온도에서의 KNN-ST 1,2는 모든 주파수 대역에서 1000 이하
정도의 유전상수를 가졌다. 그 중 1150 °C에서 소결한 KNN-ST 2는 유전상수가 가장 낮았으며 반면 손실은 가장 높은 값을 가졌다. 그림 4의 결과 모든 소결온도에서의 고용체인 KNN-ST 1이 복합체인 KNN-ST 2보다 큰 유전상수를 가졌고 이를 통해 KNN과 ST가 각각 존재하는
복합체의 구조보다 고용체로 형성되어 있을 때 유전상수 증대효과가 있음을 확인하였다. 또한 소결온도에 따른 1 kHz와 1 MHz에서 각각의 유전특성을
그림 5에 나타내었다. 그림 5에서 고용체인 KNN-ST 1의 경우 소결온도가 증가할수록 유전상수가 계속 증가하고 유전손실은 계속 낮아지는 결과를 확인할 수 있었다. 한편, KNN-ST
2의 경우 1150 °C에서 소결하였을 때 보다 1250 °C와 1300 °C에서 소결하였을 때 치밀화에 따른 유전상수 증대효과가 나타나지 않고 오히려
1300 °C에서는 감소하였으며, 유전손실은 감소하였다. 전반적으로 소결온도를 높임으로써 유전손실을 감소시킬 수 있었고, 이것은 그림 2와 함께 보았을 때 치밀해진 미세구조에 의해 나타난 결과로 판단된다. 그러나 KNN-ST 1의 고용체를 소결온도를 증가시켜 치밀한 구조로 형성하였을
때 유전상수의 증가는 확연하였으나, KNN-ST 2 복합체의 경우 그 효과가 발현되지 않았다. 따라서 이러한 결과를 바탕으로 두 상이 혼합되어 유전특성이
향상되는 경우에 [24,25] 복합체보다 고용체로 존재할 때 유전상수가 증가하는 현상이 뚜렷하게 나타났다. 또한 유전상수가 증가할수록 분극이 반전됨에 따라 생성되는 열로 인해
[26] 유전손실이 함께 증가하는 일반적인 경향과 달리 고용체로 합성하고, 소결온도를 높임으로써 유전상수는 증가시키고 낮은 유전손실을 확보할 수 있음을
확인하였다.
4. 결 론
본 연구에서는 합성공정을 달리하여 80(K0.5Na0.5)NbO3-20SrTiO3 (KNN-ST)를 고용체와 복합체로 제조하고 결정구조와 미세구조 및 유전 특성을 비교 분석하였다. 처음부터 출발원료들을 함께 합성하여 하소 및 소결한
KNN-ST 고용체는 모든 소결온도에서 ST가 KNN 격자 내에 고용되면서 pseudo-cubic 결정상을 가짐을 확인하였다. KNN과 ST를 각각
하소 후 합성하여 소결한 KNN-ST 복합체는 1150 °C에서 소결하였을 때 KNN과 ST의 결정상이 각각 존재하였고 소결온도를 1300 °C까지
증가시켰을 때 pseudo-cubic 결정상이 존재함을 확인하였다. 같은 소결온도에서 KNN-ST 고용체와 복합체를 비교하였을 때 KNNST 고용체가
모든 주파수 대역에서 복합체보다 큰 유전 상수 값을 가졌다. 또한 모든 조건에서의 KNN-ST 중에 1300 °C에서 소결한 KNN-ST 고용체가
유전상수가 가장 높았으며 비교적 낮은 유전손실을 나타냈다. 따라서 본 연구로부터 KNN-ST 계를 같은 조성비에서 결정상을 제어하여 고용체로 제조하고
소결온도를 증가시킴으로써 유전 특성을 향상시킬 수 있음을 확인하였다. KNN 계는 큐리온도는 높지만, 유전상수가 BaTiO3 계 대비 상대적으로 매우 낮고, 유전손실이 큰 단점이 있었다. 그러나, 본 연구에서 SrTiO3의 고용 거동을 제어하여 BaTiO3 수준의 높은 유전상수를 갖고 동시에 낮은 유전손실을 갖도록 하여, 고용안정성을 갖는 고유전율의 유전체 적용 가능성을 확인하였다.
Acknowledgements
본 연구는 2019년도 정부(과학기술정보통신부)의 재원으로 산업통상자원부의 소재부품패키지형기술개발사업(20010938)과 2020년도 정부(교육부)의
재원으로 한국연구재단의 기초연구사업의 지원(2019R1I1A3A0106243712)을 받아 수행된 연구 과제로 이에 감사드립니다.
REFERENCES
März M., Schletz A., Eckardt B., Egelkraut S., Rauh H., 2010 6th International Conference
on Integrated Power Electronics Systems, 1-10, IEEE (2010)

Engel G. F., CIPS 2016; 9th International Conference on Integrated Power Electronics
Systems, 1-7, VDE (2016)

Kishi H., Mizuno Y., Chazono H., Jpn. J. Appl. Phys,42, 1 (2003)

Pan M.-J., Randall C. A., IEEE Electr. Insul. Mag,26, 44 (2010)

Tsur Y., Dunbar T. D., Randall C. A., J. Electroceram,7, 25 (2001)

Kishi H., Kohzu N., Sugino J., Ohsato H., Iguchi Y., Okuda T., J. Eur. Ceram. Soc,19,
1043 (1999)

Xu Y., Hou Y., Song B., Cheng H., Zheng M., Zhu M., J. Eur. Ceram. Soc,40, 4487 (2020)

Tavernor A. W., Li H.-P. S., Stevens R., J. Eur. Ceram. Soc,19, 1859 (1999)

Fisher J. G., Rout D., Moon K.-S., Kang S.-J. L., Mater. Chem. Phys,120, 263 (2010)

Guo Y., Kakimoto K.-i., Ohsato H., Appl. Phys. Lett,85, 4121 (2004)

Chen K., Zhang F., Li D., Tang J., Jiao Y., An L., Ceram. Int,42, 2899 (2016)

Bomlai P., Wichianrat P., Muensit S., Milne S. J., J. Am. Ceram. Soc,90, 1650 (2007)

Acker J., Kungl H., Hoffmann M. J., J. Am. Ceram. Soc,93, 1270 (2010)

Chang Y., Yang Z., Chao X., Zhang R., Li X., Mater. Lett,61, 785 (2007)

Peddigari M., Thota S., Pamu D., AIP Advances,4, 087113 (2014)

Sheng Y., Huang Y., Chen C., Zhang M., Deng N., Ma L., J. Mater. Sci.-Mater. El,29,
11306 (2018)

Cho H. J., Kim H.-S., Kim S.-I., Korean J. Met. Mater,57, 673 (2019)

Kosec M., Bobnar V., Hrovat M., Bernard J., Malic B., Holc J., J. Mater. Res,19, 1849
(2004)

Bobnar V., Malič B., Holc J., Kosec M., Beige R. Steinhausen H., J. Appl. Phys,98,
024113 (2005)

Chang R.-C., Chu S.-Y., Wong Y.-P., Lin Y.-F., Hong C.-S., Sensor. Actuat. A-Phys,136,
267 (2007)

Hussain F., Khesro A., Lu Z., Alotaibi N., Mohamad A. A., Wang G., Wang D., Zhou D.,
Front. Mater,7, 00160 (2020)

Yoon B.-K., Lee B.-A., Kang S.-J. L., Acta mater,53, 4677 (2005)

Zheng G., Huang Z., Yu Q., Hu W., Qiu X., Lixia A., Wang Y., Jiao Y., Zhou Y., Zhai
H., Met. Mater. Int,26, 905 (2020)

Vittayakorn N., Rujijanagul G., Tan X., Marquardt M. A., Cann D. P., J. Appl. Phys,96,
5103 (2004)

Cao R., Li G., Zeng J., Zhao S., Zheng L., Yin Q., J. Am. Ceram. Soc,93, 737 (2010)

Oghbaei M., Mirzaee O., J. Alloy. Compd,494, 175 (2010)

Figures
Fig. 1.
X-ray diffraction patterns of the sintered samples: (a) KNN-ST 1, (b) KNN-ST 2.
Fig. 2.
SEM micrographs of KNN-ST 1 sintered at (a) 1150 °C, (b) 1250 °C, (c) 1300 °C and
KNN-ST 2 sintered at (d) 1150 °C, (e) 1250 °C, and (f) 1300 °C.
Fig. 3.
SEM-EDS images of (a) KNN-ST 1 and (b) KNN-ST 2 sintered at 1250 °C for 2 h.
Fig. 4.
Frequency dependence of (a) dielectric constant and (b) dielectric loss.
Fig. 5.
Dielectric properties at (a) 1 kHz and (b) 1 MHz.