The Journal of
the Korean Journal of Metals and Materials

The Journal of
the Korean Journal of Metals and Materials

Monthly
  • pISSN : 1738-8228
  • eISSN : 2288-8241

Editorial Office


  1. 한국수력원자력㈜ 중앙연구원 (Central Research Institute, Korea Hydro&Nuclear Power, Daejeon 34101, Republic of Korea)
  2. 충남대학교 신소재공학과 (Department of Materials Science and Engineering, Chungnam National University, Daejeon 34134, Republic of Korea)



dynamic strain aging, 1.25Cr−0.5Mo steel, 2.25Cr−1Mo steel, interaction solid solution hardening, heat treatment, carbides

1. 서 론

1.25Cr−0.5Mo과 2.25Cr−1Mo 강은 Mo (0.5~1.0%)와 Cr (1.0~2.25%)를 함유하여 고온 강도 및 부식 저항성이 우수한 재료로써, 화력 및 원자력 발전소의 압력용기, 고온 튜브, 증기배관 등 발전소의 고온 재료로 널리 사용되고 있다. 1.25Cr−0.5Mo 강은 웨스팅하우스가 개발한 AP1000 원전의 주증기배관 재료로 설계에 반영 [1]되어 있고 두 재료 모두 국내외 원전의 주증기배관과 주급수배관으로 사용되고 있으며 수출형원전의 주증기배관 후보 재료로 검토되고 있다.

원전의 고에너지 배관인 주증기배관에 파단전누설 (Leak before break) 개념을 적용하면 배관의 양단파단 (Double ended guillotine break) 가정을 설계에서 배제할 수 있다. 이로 인해 양단파단으로 인한 동적 영향의 확산을 방지하기 위하여 설치하는 배관 구속 장치와 분출 방지벽을 제거하고, 동적 하중을 설계에서 배제하여 설계 하중을 줄일 수 있는 이점이 있다. 이러한 파단전누설 개념의 적용을 위해서는 파단전누설 설계여유도의 주요 변수인 동적 변형 시효 (Dynamic strain aging)의 영향 평가가 필수적이다. Cr−Mo 강의 동적 변형시효 거동 [2-10]에 대해 많은 연구가 수행되어 동적 변형시효가 특정 온도 구간에서 소성 변형 동안 이동 전위와 확산 원자의 상호작용에 의해 발생하는 것으로 파악되었으나, 합금원소 및 미세조직의 영향에 대한 연구보고는 미흡한 실정이다.

본 연구에서는 주증기배관 후보 재료 1.25Cr−0.5Mo과 2.25Cr−1Mo 강에 대해 냉각속도를 다르게 열처리를 수행한 시편으로 다양한 온도 및 변형률 속도 구간에서 인장특성 평가 및 미세조직 분석을 수행하여 합금원소 및 미세조직 차이가 동적 변형시효 특성에 미치는 영향을 평가하였다.

2. 실험방법

2.1 재료 및 열처리 조건

본 실험에서는 1.25Cr−0.5Mo강 (P11, ASME SA335 Gr.P11)과 2.25Cr−1Mo강 (P22, ASME SA335 Gr.P22)을 사용하였고 두 재료의 화학 조성을 표 1에 나타내었다. 재료의 열처리 조건으로 920 °C에서 5분 노말라이징(normalizing) 후 공냉 (AC, air cooling)을 하고 720 °C에서 30분 템퍼링 (tempering) 후 공냉을 하였다. 또한 미세조직의 영향을 분석하기 위한 다른 열처리 조건으로 두 재료 모두 930 °C에서 노말라이징 후 오일냉각 (OQ, oil quenching)을 하고 720 °C에서 1시간 템퍼링 후 공냉을 하였다. 두재료의 공냉 시편을 P11AC, P22AC, 오일냉각 시편을 P11OQ, P22OQ로 명명하였다.

4종 소재를 각각 마운팅 후 연마한 시편을 2% 나이탈 용액으로 에칭을 하고 광학현미경 (OM, optical microscope)으로 거시적 미세조직을 분석 하였고 광학현미경의 이미지 분석기(TOMORO analySIS TS)를 통해 peralite/ferrite 상분율을 분석하였다. 이후 주사전자현미경 (SEM, scanning electron microscope)과 투과전자현미경 (TEM, transmission electron microscope)을 이용하여 상세 미세조직과 석출물 분포와 종류를 분석하였다. 투과전자현미경 분석용 시편은 집속이온빔 (FIB, focused ion beam)를 이용하여 5 × 6 µm (가로 × 세로) 및 100 nm (두께) 이하의 샘플을 만들었으며 EDS (energy dispersive spectroscope) 원소 mapping을 통해 석출물의 화학 조성을 파악하고 HRTEM (high resolution TEM) 모드에서 FFT (fast fourier transform)를 통해 석출물의 종류를 분석하였다.

2.2 인장시험

인장 시편은 4종 소재 블록의 내호에서 길이 방향으로 채취하였고 ASTM E8 방법에 따라 평형부의 직경과 길이가 각각 5 mm 와 32 mm인 봉상으로 가공하였다. 인장시험은 유압식 만능재료시험기 (Instron 8801)를 사용하여 변형률 속도 6 × 10-3~6 × 10-5 s-1으로 20~450 °C의 온도범위에서 수행하였다. 응력-변형률 곡선으로부터 0.2% off-set 유동응력을 항복강도 (YS, yield strength)로 정하고, 최대 인장강도 (UTS, ultimate tensile strength), 파단 연신율(TE, total elongation)을 측정하였다.

3. 결과 및 고찰

3.1 열처리에 따른 미세조직

4종 소재의 미세조직을 광학현미경으로 관찰하여 그림 1에 나타내었다. 그림 1(a), (b)의 공냉을 수행한 P11AC와 P22AC에서는 모두 ferrite−pearlite 조직이 관찰되었다. Peralite/ferrite 상분율 분석결과, P22AC의 pearlite 함량이 14.7%로 8.2%인 P11AC 보다 많아 Cr과 Mo 함량이 많은 P22AC에서 P11AC보다 상대적으로 더 많은 pearlite 조직이 관찰되었음을 알 수 있다. 반면 그림 1(c), (d)의 오일 냉각을 수행한 P11OQ와 P22OQ에서는 모두 bainite 조직이 관찰되었다.

주사전자현미경으로 석출물 크기 및 분포를 관찰하여 그림 2에 나타내었다. 그림 2(a)의 P11AC에서는 석출물이 ferrite 결정 (grain) 내부의 일부를 제외하고는 대부분 결정입계 (grain boundary)에 분포되어 있지만 Cr, Mo 함량이 많은 그림 2(b)의 P22AC에서는 석출물이 결정입계와 결정 내부에도 미세하게 전반적으로 형성되어 있다. 그림 2(c), (d)의 P11OQ와 P22OQ에서는 bainite 조직이 관찰되었다.

투과전자현미경으로 석출상을 상세하게 관찰한 결과를 그림 3에 나타내었다. ferrite 내부 및 결정립계에 관찰되는 석출물은 그림 3(a), (b)의 P11AC와 P22AC와 같이 M2C, M3C로 분석되었고 주사전자현미경 관찰에서와 같이 Cr, Mo 함량이 많은 P22AC의 석출상이 P11AC 보다 크고 많이 분포되어 있는 것을 알 수 있다. 반면 bainite 조직의 그림 3(c), (d)의 P11OQ에서는 Cr이 주성분인 M3C가 관찰되었고 P22OQ에서는 Mo가 주성분인 M2C가 형성되어 있는 것으로 분석되었다.

3.2 인장 시험 및 동적 변형시효 거동

동적 변형시효 현상은 용질 원자의 확산을 지배하는 온도와 전위의 이동을 결정하는 변형률 속도가 밀접한 관계를 가진다. Rodriguez 등 [11,12]에 의하면 동적변형시효 거동은 다음과 같은 특성을 보인다. 첫째는 응력-변형률 곡선에서 관찰되는 serration 현상이고, 둘째는 온도에 따른 기계적 특성 변화로 특정 온도 구간에서 최대인장강도의 최고점 (peak) 현상, 항복 강도의 평탄화 (plateau), 온도에 따른 연신율의 최저 온도 구간 발생이다. 셋째는 변형률 속도 민감도 (strain rate sensitivity)가 음이 되는 온도 구간이 발생하는 것이다. 또한, 활성화에너지 계산을 통해 동적변형시효 발생 거동의 특성을 파악할 수 있다.

Serration 발생 특성을 확인하기 위해 변형률 구간을 2.5%씩 이동하여 변형률 속도 6 × 10-4 s-1에서 인장시험을 수행한 응력−변형률 곡선을 그림 4에 나타내었다. 각 재료의 serration 발생 현황을 정리한 표 2에서 ferrite−pearlite 조직의 serration 발생 차이를 확인한 결과, P11AC에서는 150~286 °C, P22AC에서는 286~316 °C에서 serration이 관찰되어 P11AC의 serration 발생 온도 범위가 P22AC 보다 넓었으며 저온에서 발생하였다. Bainite 조직의 P11OQ에서는 150~250 °C, P22OQ에서는 250~316 °C에서 serration이 관찰되어 bainite 조직에서도 P11OQ의 serration 온도 범위가 P22OQ 보다 넓었으며 상대적으로 저온에서 발생하였다.

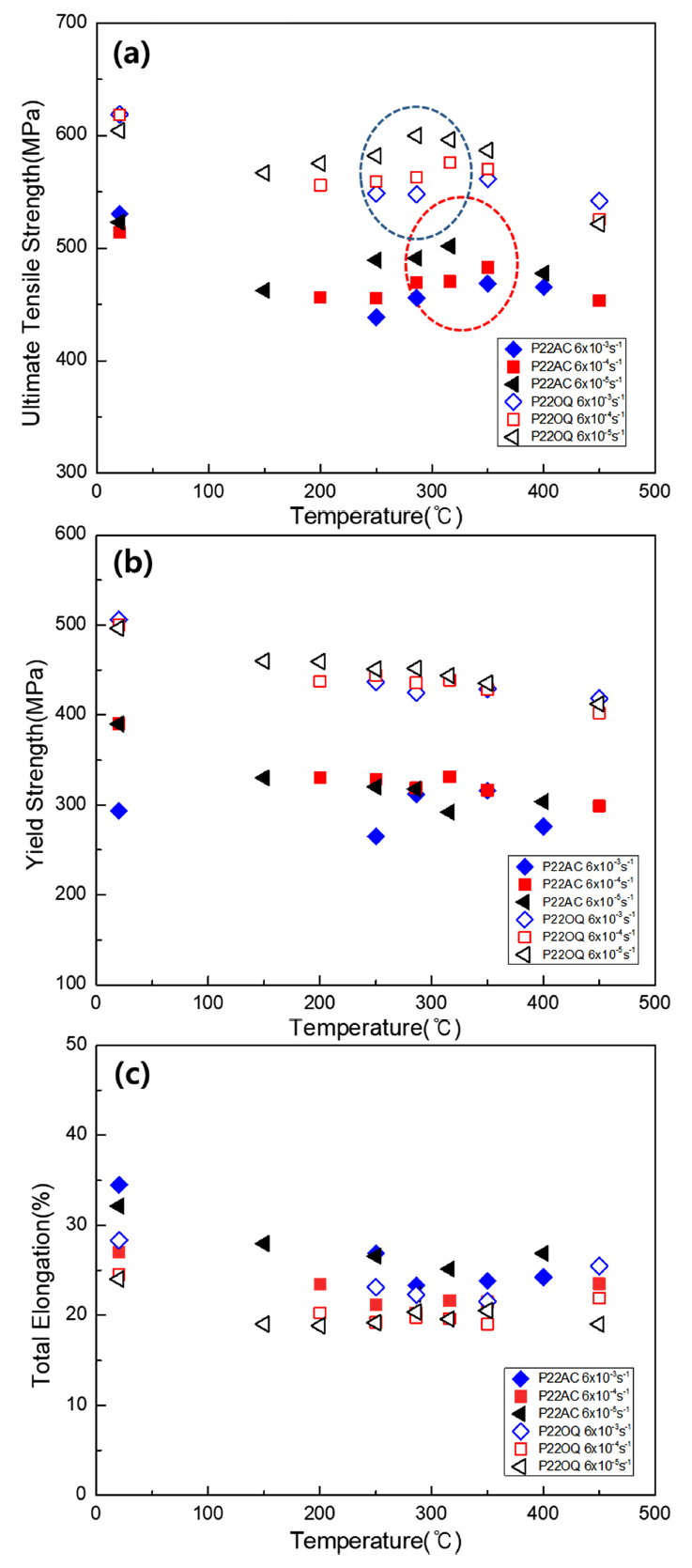
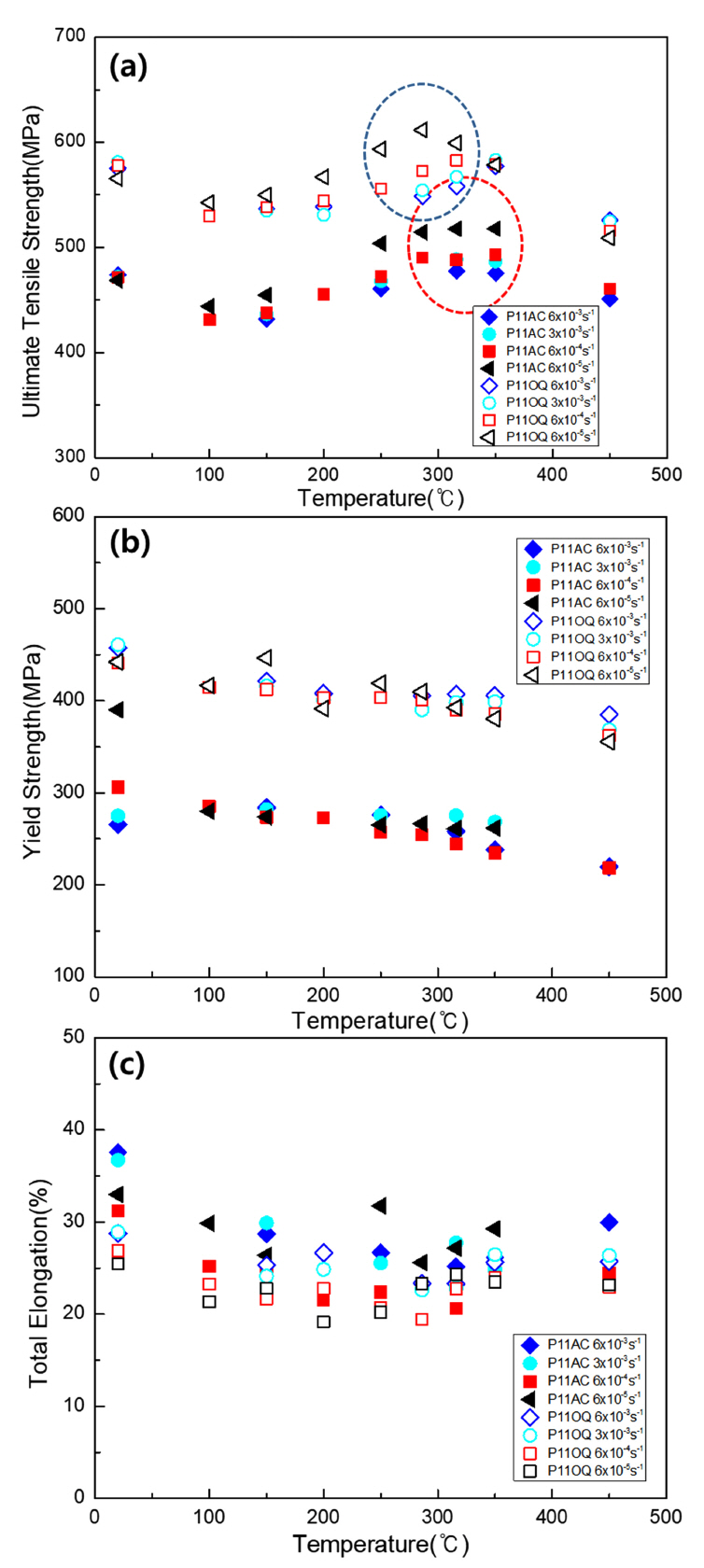
변형률 속도 6 × 10-3~6 × 10-5 s-1으로 20~450 °C의 범위에서 인장시험을 수행하여 최대인장강도, 항복강도 및 파단연신율의 변화를 그림 5, 6에 나타내었다. 그림 5(a), 6(a)에서 시험온도 증가에 따라 감소하던 최대인장강도가 300 °C 근처에서 증가하다가 다시 감소하는 경향을 보였다. 동적 변형시효의 일반적인 특징과 같이 변형률 속도가 느릴수록 최대인장강도의 최고점이 컸으며 변형률 속도가 빠를수록 최고점이 고온에서 관찰되었다. 그림 5(b), 6(b)에서 항복강도는 평탄화 구간을 형성한 후 감소하는 것으로 나타났으며, 두 조직 모두 P22에서 평탄화 구간이 좀 더 뚜렷하게 나타났다. 그림 5(c), 6(c)에서 파단연신율이 동적 변형시효 온도 구간에서 감소하였다가 이후 증가하는 경향을 보였는데 두 조직 모두 P22에서 연신율의값이 작게 나타났다. 최대인장강도, 항복강도 및 파단연신율의 변화를 통해 4종 시편에서 동적 변형시효 현상이 발생하는 것을 확인할 수 있었다.

변형률 속도 6 × 10-4 s-1로 20~450 °C의 범위에서 인장시험을 수행하여 최대인장강도, 항복 강도 및 파단연신율의 측정 결과를 그림 7표 3에 나타내었다.

그림 7의 최대인장강도는 공냉으로부터 얻어진 ferrite-pearlite 조직과 오일냉각에서얻어진 bainite 조직 모두 상온에서 온도가 증가할수록 감소하다가 일정온도 범위에서 증가하였다. ferrite−pearlite 조직의 경우 150 °C부터 증가하다가 200~450 °C의 범위에서 P11AC의 최대인장강도가 P22AC보다 크게 나타났다. Bainite 조직에서도 286~350 °C에서 P11OQ의 최대인장강도가 P22OQ 보다 크게 나타났다.

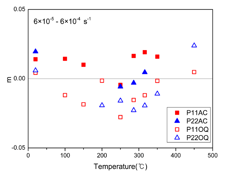
주증기배관 온도(286 °C)에서 변형률 속도 별 최대인장강도를 그림 8에 나타내었다. 변형률 속도의 증가에 따라 최대인장강도가 감소하는 경향을 보여 286 °C에서 동적 변형시효가 발생함을 알 수 있다. 또한, 다음의 관계식 [13,14] 으로 진변형률 0.05에서의 응력으로 변형률 속도 민감도(m)를 계산하고 그림 9에 나타내었다.

../../Resources/kim/KJMM.2021.59/kjmm-2021-59-11-769i1.jpg

여기서, ε 1 ˙ : 6 × 10 - 4 s - 1 ,   ε 2 ˙ : 6 × 10 - 5 s - 1 ,   σ 1 : ε 1 ˙   stress ,   σ 2 : ε 2 ˙   stress

그림 9에서 변형률 속도 민감도(m)가 동적 변형시효 발생 온도구간에서 음의 값이 나타나므로 모든 시편에서 동적 변형시효 현상을 확인할 수 있었으나 합금조성과 미세조직에 따른 차이는 발견되지 않았다.

동적 변형시효 현상은 확산하는 용질 원자와 이동 전위의 상호작용에 의해 발생하는 열적 활성화 과정이므로, 활성화에너지 계산을 통해 동적 변형시효 발생 거동의 차이를 분석하였다. 시험 온도와 변형률 속도에서 serration 발생 여부를 그림 10에 나타내었고 serration이 발생하는 열적 활성화 에너지(Q)를 다음의 Arrhenius 식으로 계산하였다 [15].

dε/dt = Aexp(-Q/RT)

여기서, R: 기체상수 (8.314 J/mol/K), T: 온도(K), Q: 활성화에너지 (kJ/mol)

P11AC의 활성화에너지 값은 94 kJ/mol 이고 P22AC는 233 kJ/mol, P11OQ는 103 kJ/mol, P22OQ는 233 kJ/mol로 계산되었다. P11의 활성화에너지 값은 Choudhary [7]의 연구결과인 9Cr-1Mo ferritic 강의 활성화에너지 값 (83 kJ/mol)과 유사하였으나 P22의 활성화에너지 값은 크게 계산되었다.

3.3 합금조성 및 미세조직의 영향

P11AC와 P22AC의 ferrite−pearlite 조직에서 합금조성 차이에 따른 serration 의 거동에 차이를 보였다. Cr과 Mo와 같은 치환형 원소가 용질 끌림 효과(Solute drag effect)에 의해 austenite와 ferrite 계면에 편석되고 C의 확산을 방해하여 ferrite의 생성 및 성장을 억제 시켜 Cr, Mo 함량이 많은 P22AC에서 ferrite가 적었다. 반면 Si는 Ollilainen 등 [16]의 연구결과와 같이 C 원자의 확산을 활성화시켜 ferrite의 생성 및 성장을 촉진하게 하여 P11AC에 더 많은 ferrite 형성에 영향을 끼쳤을 것으로 보인다. Cr, Mo 함량이 많은 P22AC는 그림 2(b)에서 볼 수 있듯이 ferrite내에 미세한 석출물 (M2C)이 P11AC 보다 더 많이 관찰되어 P22AC의 ferrite내 용존 C의 함량이 적을 것으로 생각된다. 따라서 ferrite와 용존 C가 더 많은 P11AC에서 저온부터 전위와 상호 작용을 시작하여 넓은 온도 범위에서 serration 현상이 나타난 것으로 생각된다. 위의 ferrite가 많은 P11AC에서 serration이 활발하게 발생하는 현상은 선행 연구 결과들과 일치한다 [17-19]. 반면에 P22AC에서는 serration이 고온에서 관찰되었다. 2.25Cr-1Mo의 동적 변형시효 거동이 100~300 °C에서는 침입형원소(C, N)와 전위의 상호작용에 의해 발생하고 고온에서는 고용된 침입형원소와 치환형원소(Cr, Mo)에 의해 발생한다는 연구결과 [4,20]와 같이 용존 C가 적은 P22AC는 저온에서 serration이 발생하지 않고 치환형원소에 의해 고온에서 발생한 것으로 판단된다.

P11AC와 P11OQ의 미세조직별 serration 거동을 확인하기 위해 변형률 속도와 온도 별 serration type을 그림 11에 나타내었다. Rodriguez [11]는 응력-변형률 곡선의 형상으로 serration type을 정의하였으며, 선행 연구들에서 A, B, C type을 주로 분석에 활용하였다 [26-30]. Type A serration은 저온에서 침입형원소에 의한 전위의 고착 및 풀림으로 진폭이 부드럽게 나타나고 type B serration은 전위의 고착과 풀림이 빠르게 발생하여 진폭이 빠르게 나타나며, type C serration은 전위가 풀릴 때 발생하여 큰 진폭을 보이며 고온에서 발생한다고 알려져 있다. 본 논문에서는 응력-변형률 곡선의 형상으로 변형률 속도 6 × 10-4 s-1에서 재료들의 serration 형상을 분석하여 그림 12에 나타내었다.

Type A, B serration은 침입형원소에 의해 저온에서 발생하고 type C serration은 치환형원소에 의해 고온에서 발생하는 것으로 알려져 있다 [21]. P11AC도 느린 변형률 속도의 저온에서는 type A serration이 관찰되었고 고온에서는 type C serration이 관찰되어 느린 변형률 속도에서는 선행 연구결과와 잘 일치하였다. 변형률 속도가 빨라지면서 고온에서도 type A 또는 B serration이 관찰되어 빠른 변형률 속도에서는 온도와 관계없이 serration이 발생하는 것으로 보인다. P11OQ는 느린 변형률 속도의 고온에서 type C serration이 일부 관찰되고 빠른 변형률 속도에서는 type A serration이 관찰되어 미세조직별로 serration type의 차이가 나타났으나 차이의 원인을 알 수는 없었다.

합금조성 및 미세조직별로 최대인장강도의 차이가 동적 변형시효 발생 온도 구간에서 관찰되었다. 합금조성별로 보면 그림 7(a)에서와 같이 상온에서는 Cr, Mo 함량이 많은 P22 강이 모든 미세조직에서 최대인장강도가 높았으나 동적 변형시효 온도구간에서는 ferrite−pearlite 조직의 P11AC에서 최대인장강도가 더 커지는 현상이 관찰되었다. 이는 앞서 설명한 바와 같이 그림 1(a), (b)의 Cr, Mo 함량 차이에 의해 P11에 더 많은 용존 C와 ferrite가 온도 증가에 따라 전위와 상호작용을 많이 하여 최대인장강도를 증가시킨 것으로 판단된다.

미세조직별로는 그림 5(a) P11에서 bainite 조직의 최대 peak가 ferrite−pearlite 조직보다 높은 값을 가지나 상대적으로 저온에서 발생하였고 P22에서의 온도 별 최대인장강도 변화를 나타낸 그림 6(a)에서도 bainite 조직의 최대 peak가 저온에서 발생한 것이 관찰되었다. 이는 Baird [22,23] 등이 제시한 bainite에서 전위와 Cr−C에 의한 ISSH (Interaction Solid Solution Hardening) 효과와 ferrite에서 전위와 Mo−C에 의한 ISSH 효과에 의한 현상과 일치하여 ISSH 효과와 관련 있는 것으로 생각된다.

그림 11에서의 serration 발생 온도와 그림 6(a)의 최대인장강도의 최고 값 온도를 비교하였을 때 일부 변형률 속도에서 최대인장강도값이 높게 나타나는 온도에서 serration이 발생하지 않았다. 이는 HAYES [2]의 고온에서 탄화물에 의한 침입형원소가 고갈되어 serration이 관찰되지 않는다는 이론과 Mulford [24,25] 등의 고온에서 주변 전위에 의한 전위의 고착 등에 의해 serration이 관찰되지 않는 설명으로 생각해 볼 수 있다.

P11AC의 활성화에너지값은 ferrite 강의 값들과 유사하였다. P22AC의 값이 크게 측정된 것은 Cr, Mo에 의한 적은 용존 C로 고온에서 치환형원소에 의한 ISSH 효과로 동적 변형시효가 발생하였기 때문으로 생각된다. 2.25Cr-1Mo 강의 모재, 용접부, 열영향부에 대해 활성화에너지를 계산한 Laha [3]의 연구결과에서도 bainite 조직 모재의 활성화에너값은 96 kJ/mol이고 용접부는 180 kJ/mol, 열영향부는 208 kJ/mol로 계산되어 열영향부에서 활성화에너지 값이 큰 이유를 치환형원소에 의한 ISSH 효과로 설명하고 있다.

주증기배관 온도 286 °C에서 파단전누설 개념을 적용하기 위한 우수한 재료는 최대인장강도 값이 크고 파단연신율도 상대적으로 좋은 bainite 조직의 1.25Cr−0.5Mo 강으로 판단된다.

4. 결 론

본 연구에서는 주증기배관 후보 재료 1.25Cr−0.5Mo (ASME SA335 Gr.P11)와 2.25Cr−1Mo (ASME SA335 Gr.P22) 강에 대해 공냉과 오일냉각 열처리를 수행한 4종의 시편으로 다양한 온도 및 변형률 속도 구간에서 인장 특성 및 미세조직 분석을 수행하여 합금원소 및 미세조직 차이가 동적 변형시효 특성에 미치는 영향을 평가하였다.

• Ferrite−pearlite 조직에서 Cr, Mo, Si 합금원소의 영향에 의해 열처리 후 용존 C와 ferrite 조직이 많은 1.25Cr−0.5Mo (P11AC)강이 2.25Cr−1Mo (P22AC)강 보다 저온부터 넓은 온도범위에서 serration이 발생하였고 동적 변형시효가 발생하는 온도에서 더 큰 최대인장강도가 나타났다.

• 미세조직의 차이로 인해 1.25Cr−0.5Mo (P11)강의 ferrite−pearlite 조직과 bainite 조직의 serration의 시작온도, 온도 범위, type에서 차이를 보였으며, ISSH 효과에 의해 두 강 모두 bainite 조직 보다 ferrite-pearlite 조직의 최대 인장강도 최고점이 고온에서 나타났다.

• 1.25Cr−0.5Mo (P11)강의 활성화에너지 값은 94~103 kJ/mol으로 침입형원소에 의한 전위이동 억제로 동적 변형시효가 발생하는 ferrite 강들의 값과 유사하였고, Cr, Mo 함량이 많은 2.25Cr−1Mo강의 활성화에너지값은 치환형원소에 의한 ISSH 효과로 233 kJ/mol로 계산되었다.

REFERENCES

1 
Westinghouse AP1000 Design Control Document Rev. 19, Appendix 3B, Leak-Before-Break Evaluation of the AP1000 Piping, 43 (2011),
2 
HAYES R. W., HAYES W. C., Acta Metall,32, 259 (1984)Google Search
3 
LAHA K., CHANDRAVATI K. S., BHANU SANKARA RAO K., MANNAN S. L., Z. Metallkd,12, 839 (1994)Google Search
4 
KLUEH R. L., J. Nucl. Mater,68, 294 (1977)Google Search
5 
KLUEH R. L., VITEK J. M., J. Nucl. Mater,126, 9 (1984)Google Search
6 
KLUEH R. L., SWINDEMAN R. W., Metall. Trans. A,17A, 1027 (1986)Google Search
7 
Choudhary B. K., Bhanu Sankara Rao K., Mannan S. L., Kashyap B. P., Mater. Sci. Technol,15, 791 (1999)Google Search
8 
GUPTA C., CHAKRAVARTTY J.K., BANERJEE S., Metall. Trans. A,41A, 3326 (2010)Google Search
9 
Verma Preeti, SudhakarRao G., Chellapandi P., Mahobia G.S., Chattopadhyay Kausik, Shanthi Srinivas N.C., Singh Vakil, Mater. Sci. Eng. A,621, 39 (2015)Google Search
10 
Juliermes CP, Vitor LS, Ayrton SB, Luis PMS, Renata B, Jose FRS, Int J Metall Met Phys,4, 40 (2019)Google Search
11 
Rodriguez P., Bull. Mater. Sci,6, 653 (1984)Google Search
12 
Robinson J. M., Shaw M. P., Int. Mater. Reviews,39, 3, 113 (1994)Google Search
13 
McCORMICK P. G., Acta Metall,12, 197 (1978)Google Search
14 
Van den Beukel A, Acta Metall,28, 965 (1980)Google Search
15 
Cottrell A. H., Dislocations and plastic flow in crystals,Oxford University press (1953)Google Search
16 
Ollilainen V., Kasprzak W., Holappa L., J. Mat. Pro. Tech,134, 405 (2003)Google Search
17 
Queiroz R.R.U., Cunha F.G.G., Gonzalez B.M., Mater. Sci. Eng. A,543, 84 (2012)Google Search
18 
BUONO V.T.L., ANDRADE M.S., GONZALEZ B.M., Metall. Trans. A,29A, 1415 (1998)Google Search
19 
GONZALEZ Berenice Mendonca, MARCHI Leandro Aparecido, FONSECA Evilmar Jose da, MODENESI Paulo Jose, BUONO Vicente Tadeu Lopes, ISIJ. Inter,43, 428 (2003)Google Search
20 
KLUEH R. L., Mater. Sci. Eng.,35, 239 (1978)Google Search
21 
Nalawade S.A., Sundararaman M., Kishore R., Shah J.G., Scr. Mater,59, 991 (2008)Google Search
22 
Baird J.D., Jamieson A., J. Iron Steel Inst. London,21, 841 (1972)Google Search
23 
Jones Wendell B., Van den avyle J. A., Metal. Trans. A,11A, 1275 (1980)Google Search
24 
Mulford R. A., Kochs U. F., Acta Metall,27, 1125 (1979)Google Search
25 
Samuel K. G., Mannan S. L., Rodriguez P., Acta. Metall. Mater,40, 569 (1992)Google Search
26 
Brindley B. J., Worthington P. J., Acta Metall,17, 1357 (1969)Google Search
27 
Pink E., Acta Metall,37, 1773 (1989)Google Search
28 
Fang X. Y., Yi D. Q., Nie J. F., Metall. Mater. Trans,A40, 2761 (2009)Google Search
29 
Wang W. H., Wu D., Shah S. S. A., Chen R. S., Lou C. S., Mater. Sci. Eng. A,649, 214 (2016)Google Search
30 
Marsh C., Kaoumi D., Mater. Sci. Eng. A,707, 136 (2017)Google Search

Figures and Tables

Fig. 1.

OM images of (a) P11AC (ferrite-pearlite), (b) P22AC (ferrite-pearlite), (c) P11OQ (bainite), and (d) P22OQ (bainite) specimens.

../../Resources/kim/KJMM.2021.59/kjmm-2021-59-11-769f1.jpg
Fig. 2.

SEM images of (a) P11AC, (b) P22AC, (c) P11OQ, and (d) P22OQ specimens.

../../Resources/kim/KJMM.2021.59/kjmm-2021-59-11-769f2.jpg
Fig. 3.

TEM images of the (a) P11AC, (b) P22AC, (c) P11OQ, and (d) P22OQ specimens.

../../Resources/kim/KJMM.2021.59/kjmm-2021-59-11-769f3.jpg
Fig. 4.

Stress-strain curves of (a) P11AC, (b) P22AC, (c) P11OQ, and (d) P22OQ at test temperatures and strain rate of 6 × 10-4 s-1.

../../Resources/kim/KJMM.2021.59/kjmm-2021-59-11-769f4.jpg
Fig. 5.

Variation of (a) UTS, (b) YS, and (c) TE of P11 at test temperatures and strain rates.

../../Resources/kim/KJMM.2021.59/kjmm-2021-59-11-769f5.jpg
Fig. 6.

Variation of (a) UTS, (b) YS, and (c) TE of P22 at test temperatures and strain rates.

../../Resources/kim/KJMM.2021.59/kjmm-2021-59-11-769f6.jpg
Fig. 7.

Variation of (a) UTS, (b) YS, and (c) TE of P11AC vs P22AC and P11OQ vs P22OQ at test temperatures and strain rate of 6 × 10-4 s-1.

../../Resources/kim/KJMM.2021.59/kjmm-2021-59-11-769f7.jpg
Fig. 8.

Strain rate dependence of the ultimate tensile strength for all alloys tested at 286 °C.

../../Resources/kim/KJMM.2021.59/kjmm-2021-59-11-769f8.jpg
Fig. 9.

Effect of test temperatures on strain rates sensitivity (SRS) for all alloys between strain rate of 6 × 10-5 s-1 and 6 × 10-4 s-1.

../../Resources/kim/KJMM.2021.59/kjmm-2021-59-11-769f9.jpg
Fig. 10.

Serrated flow occurrence map obtained during tensile test with test temperatures and strain rates in the (a) P11AC, (b) P22AC, (c) P11OQ, and (d) P22OQ specimens.

../../Resources/kim/KJMM.2021.59/kjmm-2021-59-11-769f10.jpg
Fig. 11.

Serrated flow type map obtained during tensile test with test temperatures and strain rates in the (a) P11AC, (b) P11OQ, (c) P22AC, and (d) P22OQ specimens.

../../Resources/kim/KJMM.2021.59/kjmm-2021-59-11-769f11.jpg
Fig. 12.

Stress-strain curves of (a) P11AC, (b) P22AC, (c) P11OQ, and (d) P22OQ at DSA temperatures and strain rate of 6 × 10-4S-1

../../Resources/kim/KJMM.2021.59/kjmm-2021-59-11-769f12.jpg
Table 1.

Chemical composition of SA355 Gr. P11 (P11) and SA355 Gr. P22 (P22) used in this study in wt. %.

Material Fe C Cr Mo Si Mn P S
P11 ASME spec. Bal. <0.15 1.0−1.5 0.44−0.65 0.5~1.0 0.3−0.6 <0.025 <0.025
CMTR Bal. 0.14 1.1 0.47 0.57 0.45 0.006 0.004
P22 ASME spec. Bal. <0.15 1.9−2.6 0.87−1.13 <0.5 0.3~0.6 <0.025 <0.025
CMTR Bal. 0.14 2.1 0.93 0.25 0.43 0.010 0.003
Table 2.

Serration status of (a) P11AC, (b) P22AC, (c) P11OQ, and (d) P22OQ at test temperatures and strain rate of 6 × 10-4. ○: Serration, ×: No serration, -: No test

Specimen 20 °C 100 °C 150 °C 200 °C 250 °C 286 °C 316 °C 350 °C 450 °C
P11AC × × × × ×
P22AC × - - × × × ×
P11OQ × × × × × ×
P22OQ × - - × × ×
Table 3.

Tensile properties of (a) P11AC, (b) P22AC, (c) P11OQ, and (d) P22OQ at test temperatures and strain rate of 6 × 10-4.

Specimen Temp. (°C) Strength (MPa)
Total Elongation (%)
Yield Tensile
P11AC 20 306.04 471.41 31.22
100 285.22 431.05 25.17
150 273.38 437.49 24.75
200 272.74 455.64 21.55
250 257.22 472.16 22.40
286 254.48 490.07 22.79
316 244.19 487.91 20.63
350 234.68 492.71 25.81
450 218.35 460.53 24.46
P22AC 20 390.07 513.81 27.01
200 330.60 456.19 23.47
250 328.48 455.54 21.15
286 319.04 469.29 20.24
316 331.21 470.28 21.61
350 316.36 482.72 21.47
450 298.79 453.20 23.51
P11OQ 20 440.89 577.96 26.88
100 414.63 529.82 23.28
150 412.02 538.05 21.62
200 403.22 544.10 22.79
250 403.68 555.65 20.71
286 401.19 572.69 19.42
316 390.38 582.47 22.77
350 385.55 579.10 24.01
450 362.48 515.97 22.95
P22OQ 20 500.00 618.22 24.51
200 437.20 555.71 20.26
250 443.67 559.22 19.22
286 435.89 562.61 19.77
316 438.80 575.83 19.62
350 428.32 570.08 19.03
450 401.96 525.58 21.91