์ก์์
(Si Jeong Song)
1
Viet Nhan Hoa Nguyen
(Viet Nhan Hoa Nguyen)
1
์ด๋ง์น
(Man Seung Lee)
1*
-
๋ชฉํฌ๋ํ๊ต๊ณต๊ณผ๋ํ์ ์์ฌ๊ณตํ๊ณผ
(Department of Advanced Materials Science & Engineering, Institute of Rare Metal, Mokpo
National University, Chonnam 58554, Republic of Korea)
Copyright ยฉ 2022 The Korean Institute of Metals and Materials
Key words
hydrochloric acid, palladium, zinc, solvent extraction, spent electroplating solution
1. ์ ๋ก
ํ๋ผ๋์ ๋ฐฑ๊ธ, ๋ก๋, ๋ฃจํ
๋, ์ด๋ฆฌ๋, ์ค์ค๋ฎด๊ณผ ํจ๊ป ๋ฐฑ๊ธ์กฑ ์์๋ก ๋ถ๋ฆฌ๋ฉฐ, ๋ฐฑ๊ธ์กฑ ์ค์์ ๋
น๋์ ๊ณผ ๋ฐ๋๊ฐ ๊ฐ์ฅ ๋ฎ๋ค. ๋ฐฑ๊ธ์กฑ์ ์ ์ธ๊ณ ๋งค์ฅ๋์
7๋ง ํค์ ๋ถ๊ณผํ ๊ฒ์ผ๋ก ์๋ ค์ ธ ์์ผ๋ฉฐ, ์ฃผ๋ก ๋จ์๊ณต(89.9%), ๋ฌ์์(5.6%), ์ง๋ฐ๋ธ์จ(1.7%) ๋ฐ ๋ฏธ๊ตญ(1.3%)์ ์ง์ค๋์ด ์๋ค [1]. ํ๋ผ๋์ ์ฐ์ํ ์ด๋งค๋ฅ๋ ฅ์ผ๋ก ์ธํด ์ ์ธ๊ณ ์๋น๋์ ์ ๋ฐ ์ด์์ด ์๋์ฐจ ์ด๋งค๋ณํ๊ธฐ์ ์ฌ์ฉ๋๊ณ ์์ผ๋ฉฐ [2,3], ๊ธฐํ ๋๊ธ, ๋ณด์, ์น๊ณผ์ฌ๋ฃ ๋ฐ ๊ฐ์ข
์ ์์ฅ๋น์ ์ฌ์ฉ๋๋ค [4]. ํ๋ผ๋์ ์์๋ ๊พธ์คํ ์ฆ๊ฐํ๊ณ ์๋ ๋ฐ๋ฉด, ํ๋ผ๋์ ์์ฐ๋์ 2006๋
์ ๊ธฐ์ ์ผ๋ก ์ ์ ๊ฐ์ํ๋ ์ถ์ธ์ด๋ค [5]. ๋ฐ๋ผ์ ์์์ ๋นํด ๋ถ์กฑํ ํ๋ผ๋์ ์ํํ ๊ณต๊ธํ๊ธฐ ์ํด 2์ฐจ์์์์ ํ๋ผ๋์ ํ์ํ๊ธฐ ์ํ ์ฐ๊ตฌ๊ฐ ํ๋ฐํ ์งํ๋๊ณ ์์ผ๋ฉฐ, ํ์๋ ํ๋ผ๋์
ํตํด ์์์ ์ฝ 33% ๊ฐ๋์ ๊ณต๊ธํ๊ณ ์๋ค [5]. ํนํ, ์ฐจ๋์ฉ ์ด๋งค์๋ ํ๊ท 0.1~0.3%์ ๋ฐฑ๊ธ์กฑ ์์๊ฐ ํจ์ ๋์ด ์์ด ์ฐ์ํ ๋์๊ด์ฐ์์์ผ๋ก ๋ถ๋ฆฌ๋ฉฐ, ์ด๋ ์ฒ์ฐ ๊ด์๊ณผ ๋น๊ตํด ์ ๊ฒ๋ ์๋ฐฑ
๋ฐฐ์์ ๋ง๊ฒ๋ ์์ฒ ๋ฐฐ์ ๋ฌํ๋ ์์ด๋ค [1]. ๋ฐ๋ผ์ ์ฐจ๋์ฉ ํ์ด๋งค์ ํจ์ ๋ ํ๋ผ๋์ ํ์ํ๊ธฐ ์ํ ์ฐ๊ตฌ๋ ํ๋ฐํ ์งํ๋๊ณ ์๋ค [6,7]. ๊ทธ๋ฌ๋ ํ๋ผ๋์ด ๋ฏธ๋ ํฌํจ๋ ๋๊ธํ์ก๊ณผ ๊ฐ์ 2์ฐจ ์์์ ๋ํ ์ฐ๊ตฌ๋ ๋ถ์กฑํ ์ค์ ์ด๋ค. ํ๋ผ๋์ ๊ฐ๊ฒฉ์ด ๊ธ๋ณด๋ค ๋น์ธ๊ณ ์ง๊ฐ์ ํฌ์ํ ๋งํผ 2์ฐจ์์์
ํจ์ ๋ ๋ฏธ๋์ ํ๋ผ๋์ ํ์ํ๊ธฐ ์ํ ์ฐ๊ตฌ๋ ๋ฐ๋์ ํ์ํ๋ค.
๋๊ธํ์ก์ ์กด์ฌํ๋ ๋ฏธ๋์ ํ๋ผ๋์ ์ผ๋ฐ์ ์ผ๋ก ์นํ์ ํตํด ๋์ถ์ํค๋ฉฐ, ์์ฐ์ผ๋ก ์นํ์ ๋ด๋ถ์ ์์ฐ๊ธ์์ ํ๋ผ๋์ด ๋๋ฌ์ผ ํํ๋ก ํ์๋๋ค. ์ด๋ก ์ธํด
์นํ๋ฌผ์ ์งํ ์ผ์ฐ ์ฉ์ก์ผ๋ก ์ํ ์ธ์ฒํ ํ์๋ ๋ฏธ๋์ ์์ฐ์ด ํ๋ผ๋ ๊ธ์ ๋ด๋ถ์ ์์กดํ๋ฏ๋ก, ๋ ๊ธ์์ ๋ถ๋ฆฌํด ๊ณ ์๋์ ํ๋ผ๋ ๊ธ์์ ํ์ํ๊ธฐ ์ํด์๋
์นํ๋ฌผ์ ์์ ํ ์นจ์ถ์ํค๋ ๊ณผ์ ์ด ํ์ํ๋ค. ๋ฐ๋ผ์ ์ ํ ์ฐ๊ตฌ์์ ์ผ์ฐ์ฉ์ก์ ์ฐํ์ ๋ก ๊ณผ์ฐํ์์๋ฅผ ์ฒจ๊ฐํด ํ๋ผ๋๊ณผ ์์ฐ๊ธ์ ํผํฉ๋ฌผ์ ์นจ์ถ์กฐ๊ฑด์ ์กฐ์ฌํ๋ค
[8].
๋ณธ ์ฐ๊ตฌ์์๋ ๋๊ธํ์ก์ ํจ์ ๋ ํ๋ผ๋์ ์์ฐ์ผ๋ก ํ์์ํจ ์นํ๋ฌผ์ ์ผ์ฐ ์นจ์ถ์ก์์ ์ฉ๋งค์ถ์ถ๋ก ํ๋ผ๋(II)๊ณผ ์์ฐ(II)์ ๋ถ๋ฆฌํ๊ธฐ ์ํ ์ฐ๊ตฌ๋ฅผ
์ํํ๋ค. ๋จผ์ , ํฉ์ฑ์ฉ์ก์ ์ ์กฐํด ํ๋ผ๋(II)์ ์ถ์ถํ๋ ๊ฒ์ผ๋ก ์๋ ค์ง ์์ฉํ ์ถ์ถ์ (LIX 63, Cyanex 301, DOS, TBP, Alamine
308, Alamine 336, Aliquat 336)๋ก ์ฐ๋๋ ๋ณํ์ ๋ฐ๋ฅธ ํ๋ผ๋(II)๊ณผ ์์ฐ(II)์ ์ถ์ถ๊ฑฐ๋์ ์กฐ์ฌํ๋ค [9-13]. ๊ทธ๋ฐ ๋ค์, ํ๋ผ๋ ์นํ๋ฌผ์ ์ค์ ์นจ์ถ์กฐ๊ฑด์ธ 7 M ์ผ์ฐ์ฉ์ก์์ ํ๋ผ๋(II)์ ๋ํด ์ ํ์ฑ์ด ๋ฐ์ด๋ LIX 63, Cyanex 301, DOS์
๋๋๋ฅผ ๋ณํ์์ผ ํ๋ผ๋(II)๊ณผ ์์ฐ(II)์ ๋ถ๋ฆฌ๋ฅผ ์ํ ์ต์ ์กฐ๊ฑด์ ๊ตฌํ๋ค. ํํธ, ํ๋ผ๋(II)๊ณผ ๋ฏธ๋์ ์์ฐ(II)์ ๋์์ ์ถ์ถํ LIX 63์
๋ํด ๋ค๋จ์ถ์ถ ์คํ์ ์ํํ๋ค. ๋ํ ํ๊ฑฐ์ ๋ก ์ผ์ฐ ๋ฐ ์ฐํ์ ์ ํผํฉ์ฉ์ก๊ณผ ์์๋ฅผ ์ฌ์ฉํด์ Cyanex 301์ ์ถ์ถ๋ ํ๋ผ๋(II)์ ํ๊ฑฐ๊ฑฐ๋์
์กฐ์ฌํ์๋ค. ๋ณธ ์ฐ๊ตฌ์์ ์ป์ ์ถ์ถ๊ณผ ํ๊ฑฐ์ ์ต์ ์กฐ๊ฑด์ ํตํด ํ๋ผ๋ ์นํ๋ฌผ๋ก๋ถํฐ ๊ณ ์๋ ํ๋ผ๋(II)์ฉ์ก์ ํ์ํ ์ ์๋ ์ต์๊ณต์ ์ ์ ์ํ์๋ค.
2. ์คํ์ฌ๋ฃ ๋ฐ ์คํ๋ฐฉ๋ฒ
2.1 ์คํ์ฌ๋ฃ
์ผ์ฐ์ฉ์ก์์ ์ฉ๋งค์ถ์ถ์ ์ํ ํ๋ผ๋(II)๊ณผ ์์ฐ(II)์ ์ถ์ถ๊ฑฐ๋์ ์กฐ์ฌํ๊ธฐ ์ํด ์ผํํ๋ผ๋ (PdCl2, Alfa Aldrich, 99.9%)๊ณผ ์ผํ์์ฐ(ZnCl2, Duksan Co., 99%)์ ์ฆ๋ฅ์์ ์ฉํด์์ผ ๋ ๊ธ์์ด ํผํฉ๋ ์ฉ์ก์ ์ค๋นํ๋ค. ํฉ์ฑ์ฉ์ก์์ ๊ธ์ ๋๋๋ ํ๋ผ๋(II) 0.1 g/L, ์์ฐ(II)
0.5 g/L๋ก ๊ณ ์ ํ๋ค. ๋ํ ์ฉ์ก์ ์ฐ๋๋ ์ผ์ฐ(HCl, Daejung Co., 35%)์ผ๋ก ์กฐ์ ํ๋ค. ์ฐ์ฑ ์ถ์ถ์ ๋ก LIX 63(Daihachi,
70%)๊ณผ Cyanex 301(Cytec Inc., 70%)์ ์ฌ์ฉํ๊ณ , ์ค์ฑ ์ถ์ถ์ ๋ก DOS(Alfa Aesar, 97%)์ TBP(Yakuri
Pure Chemical Co., 98%)๋ฅผ ์ฌ์ฉํ์ผ๋ฉฐ, ์์ด์จ ์ถ์ถ์ ๋ก Alamine 308(BASF Co., 95%), Alamine 336(BASF
Co., 95%) ๋ฐ Aliquat 336(BASF Co., 93%)์ ์ฌ์ฉํ๋ค. ํฌ์์ ๋ก ๋ฑ์ (Daejung Chemicals and metals
Co., 100%)๋ฅผ ์ฌ์ฉํ์ผ๋ฉฐ, Aliquat 336์ ๊ฒฝ์ฐ ์ฉ๋งค์ถ์ถ์ ์ 3์์ ํ์ฑ์ ์ต์ ํ๊ธฐ ์ํด ๊ฐ์ง์ ๋ก 10% decaol (Daejung
Co., >98%)์ ์ฒจ๊ฐํ๋ค. ํ๊ฑฐ์ฉ์ก์ ์ ์กฐํ๊ธฐ ์ํด ์ผ์ฐ ๋ฐ ํฉ์ฐ(Daejung Co., 95%)์ฉ์ก์ ๊ณผ์ฐํ์์(H2O2, Daejung Co., >30%), ์ฐจ์์ผ์์ฐ๋ํธ๋ฅจ(NaClO, Sigma-Aldrich, 10-15%), ์ผ์์ฐ๋ํธ๋ฅจ(NaClO3, Daejung Co., >98%), thiourea((NH2)2CS, Daejung Co., >96%)์ ์ฒจ๊ฐํ๋ค. ๋ณธ ์ฐ๊ตฌ์ ์ฌ์ฉ๋ ๋ชจ๋ ์์ฝ์ ๋ถ์๋ฑ๊ธ์ด๋ฉฐ, ์ถ์ถ์ ์ ๋ฑ์ ๋ ๋ณ๋์ ์ ์ ์์ด ์ฌ์ฉํ๋ค.
๋๊ธํ์ก์์ ์์ฐ์ผ๋ก ์นํ๋ ํ๋ผ๋๊ธ์์ ๊ตญ๋ด์ ํ ์
์ฒด๋ก๋ถํฐ ์ ๊ณต๋ฐ์๋ค. ์นํ๋ ํ๋ผ๋๊ธ์์ ๋ถ์๋ฌผ์ ์ ๊ฑฐํ๊ธฐ ์ํด ์งํ ์ผ์ฐ์ฉ์ก์ผ๋ก ์ํ ์ธ์ฒํ๋ค.
์ธ์ฒ๋ ์นํ๋ฌผ์ XRD(Empyrean, Panalytical, Netherlands)๋ก ๋ถ์ํ ๊ฒฐ๊ณผ๋ฅผ ๊ทธ๋ฆผ 1์ ๋ํ๋์ผ๋ฉฐ, XRD ๋ถ์๊ฒฐ๊ณผ ์นํ๋ฌผ์์ ํ๋ผ๋๋ง ๊ฒ์ถ๋์๋ค. ๊ทธ๋ฌ๋ ํ์ฌ์์ ์ ๊ณต๋ฐ์ ์นํ๋ฌผ์ ์์๋ก ์นจ์ถํด ICP-OES(Arcos, Spectro,
Germany)๋ก ๋ถ์ํ ๊ฒฐ๊ณผ ํ๋ผ๋(II)๊ณผ ํจ๊ป ๋ฏธ๋์ ์์ฐ(II)์ด ๊ฒ์ถ๋๋ค. ๋ฐ๋ผ์ ํ๋ผ๋ ์นํ๋ฌผ์ ์์๋ก ๋ชจ๋ ์ฉํด์ํจ ๋ค์, ์นจ์ถ์ก์์
ํ๋ผ๋(II)๊ณผ ์์ฐ(II)์ ๋๋๋ฅผ ์ธก์ ํ์ฌ ์นํ๋ฌผ์์ ํ๋ผ๋๊ณผ ์์ฐ์ ํจ๋์ ๊ตฌํ๋ค. ๊ด์ก๋ฐ๋ 2 g/L์ ์กฐ๊ฑด์์ ์นํ๋ฌผ์ด ์์์ ๋ชจ๋ ์นจ์ถ๋์์ผ๋ฉฐ,
์นจ์ถ์ก์์ ํ๋ผ๋(II)๊ณผ ์์ฐ(II)์ ๋๋๋ ๊ฐ๊ฐ 1.926 g/L์ 0.074 g/L์๋ค. ์นํ๋ฌผ์ ์กฐ์ฑ์ ์นจ์ถ์ก์ ๋๋๋ก๋ถํฐ ๊ตฌํ ๊ฒฐ๊ณผ ํ๋ผ๋
์นํ๋ฌผ์ 96.3%์ ํ๋ผ๋ ๊ธ์๊ณผ 3.7%์ ์์ฐ๊ธ์์ผ๋ก ๊ตฌ์ฑ๋์ด ์๋ ๊ฒ์ ์ ์ ์์๋ค.
2.2 ์คํ๋ฐฉ๋ฒ
์ฉ๋งค์ถ์ถ์คํ์ ํตํด ํ๋ผ๋(II)๊ณผ ์์ฐ(II)์ ๋ถ๋ฆฌ์ ํจ๊ณผ์ ์ธ ์ถ์ถ์ ๋ฅผ ์ ์ ํ๊ธฐ ์ํด ํฉ์ฑ์ฉ์ก์ ์ ์กฐํด ์คํํ๋ค. ํฉ์ฑ์ฉ์ก์์ ํ๋ผ๋(II)๊ณผ
์์ฐ(II)์ ๋๋๋ ๊ฐ๊ฐ 0.1๊ณผ 0.5 g/L๋ก ๊ณ ์ ํ์ผ๋ฉฐ, ์ผ์ฐ ๋ฐ ์ถ์ถ์ ๋๋๋ฅผ ๋ณํ์์ผ ๊ธ์์ ์ถ์ถ๊ฑฐ๋์ ๋ฏธ์น๋ ์ํฅ์ ์กฐ์ฌํ๋ค. ํํธ,
๋๊ธํ์ก์์ ์์ฐ๋ถ๋ง๋ก ์นํํ ํ๋ผ๋์ ์ค์ ์นจ์ถ์ก์ ์ป๊ธฐ ์ํด ํ๋ผ๋ ์นํ๋ถ๋ง์ 2 g/L์ ๊ด์ก๋๋๋ก 60ยฐC์ 7M ์ผ์ฐ์ฉ์ก์ 0.5% H2O2๋ฅผ ์ฒจ๊ฐํด 2์๊ฐ ๋์ ์นจ์ถํด์ ์์ ํ ์ฉํด์์ผฐ๋ค [8].
์ฉ๋งค์ถ์ถ ์คํ์ Burrell wrist action shaker (model 75, USA)๋ฅผ ์ฌ์ฉํด ์ผ์ ๋ถํผ์ ์์ ๋ฐ ์ ๊ธฐ์์ 50 mL ๊ด๊ตฌ๋ณ์
๋ฃ๊ณ 30๋ถ๊ฐ ๊ต๋ฐํด ์ํํ์ผ๋ฉฐ, ๊ต๋ฐํ ํผํฉ์ฉ์ก์ ๋ถ์ก๊น๋๊ธฐ์์ 30๋ถ๊ฐ ์ ์นํ์ฌ ์์๊ณผ ์ ๊ธฐ์์ผ๋ก ๋ถ๋ฆฌํ๋ค. ์ด๋ ๋ถ๋ฆฌํ ์ ๊ธฐ์์ ํ๊ฑฐ์คํ์ ์ฌ์ฉํ๋ค.
์ถ์ถํ ์์์ ์์กดํ๋ ๊ธ์๋๋๋ ICP-OES๋ก ์ธก์ ํ๊ณ , ์ ๊ธฐ์์ ์ถ์ถ๋ ๊ธ์ ๋๋๋ ๋ฌผ์ง์์ง๋ก ๊ตฌํ๋ค. ๊ธ์์ด์จ์ ์ถ์ถ๋ฅ ๊ณผ ํ๊ฑฐ์จ์ ๊ตฌํ๋ ์์
๋ค์์ ๋ํ๋๋ค.
์ฌ๊ธฐ์ mini๊ณผ me๋ ๊ฐ๊ฐ ์ถ์ถ ์ ํ ์์์์ ๊ธ์์ ์ง๋์ ์๋ฏธํ๊ณ , m*ini๊ณผ m*e๋ ํ๊ฑฐ ์ ํ ์ ๊ธฐ์์์ ๊ธ์์ ์ง๋์ ๋ํ๋ธ๋ค.
3. ๊ฒฐ๊ณผ ๋ฐ ๊ณ ์ฐฐ
3.1. ์ถ์ถ์ ๋ฏธ์น๋ ์ฐ ๋๋์ ์ํฅ
์ผ์ฐ์ฉ์ก์์ ํ๋ผ๋(II)๊ณผ ์์ฐ(II)์ ๋ถ๋ฆฌ์ ํจ๊ณผ๊ฐ ์๋ ์ถ์ถ์ ๋ฅผ ์กฐ์ฌํ๊ธฐ ์ํด ์ฐ์ฑ, ์ค์ฑ ๋ฐ ์์ด์จ ์ถ์ถ์ ๋ฅผ ์ฌ์ฉํด ๋ ๊ธ์์ด์จ์ ์ถ์ถ๊ฑฐ๋์
์กฐ์ฌํ๋ค. ๋จผ์ , ์ฐ ๋๋๊ฐ ์ถ์ถ๋ฅ ์ ๋ฏธ์น๋ ์ํฅ์ ์์๋ณด๊ธฐ ์ํด ์ผ์ฐ๋๋๋ฅผ 0.5์์ 9 M๊น์ง ๋ณํ์์ผฐ๊ณ , ์ด๋ ์ถ์ถ์ ๋๋๋ 0.1 M๋ก ๊ณ ์ ํ๋ค.
์ผ์ฐ๋๋ 0.5์์ 9M์ฌ์ด์ ๋ฒ์์์ ์ฐ์ฑ ์ถ์ถ์ ์ธ LIX 63๊ณผ Cyanex 301์ ์ํ ํ๋ผ๋(II)๊ณผ ์์ฐ(II)์ ์ถ์ถ ๊ฑฐ๋์ ๊ทธ๋ฆผ 2์ ๋ํ๋๋ค. ์ผ์ฐ 5M๊น์ง LIX 63์ ํ๋ผ๋(II)์ด 99.9% ์ด์ ์ถ์ถ๋์ผ๋, ์ผ์ฐ๋๋๊ฐ ์ฆ๊ฐํจ์ ๋ฐ๋ผ ์ถ์ถ๋ฅ ์ด ๊ฐ์ํ์ฌ 9M์์๋ 77.2%
์ถ์ถ๋๋ค. ์ผ์ฐ์ฉ์ก์์ ํ๋ผ๋(II)์ ์ผ์์ด์จ๊ณผ ์ฐฉ๋ฌผ์ ํ์ฑํ๋ฉฐ ์ผ์ฐ๋๋๊ฐ 0.1 M์ด์์ธ ์ฉ์ก์์ ๋๋ถ๋ถ PdCl42-๋ก ์กด์ฌํ๋ค [14]. ํ๋ผ๋ (II)์ LIX 63์ผ๋ก ์ถ์ถ์ ์ผ์ฐ๋๋ 0.1 M ์ดํ์์๋ ์ฃผํํ์ข
์ธ PdCl3-๊ฐ ํฌ๋ ์ดํธ ๋ฐ์๊ธฐ๊ตฌ์ ์ํด ์ถ์ถ๋๋, 1 M ์ด์์ ์ผ์ฐ ์ฉ์ก์์๋ PdCl42-๊ฐ ์ฉ๋งคํ๋ฐ์์ ์ํด ์ถ์ถ๋๋ค๊ณ ์๋ ค์ ธ ์์ผ๋ฉฐ ์ด๋ฅผ ๋ค์ ์์ ๋ํ๋๋ค [15].
์๊ธฐ์์์ HA๋ LIX 63์ ๋ํ๋ธ๋ค.
๋ณธ ๋
ผ๋ฌธ์์ ์ผ์ฐ ๋๋๋ 0.5 M ์ด์์ด๋ฏ๋ก ์ (4)์ ์ํด ํ๋ผ๋(II)์ด ์ถ์ถ๋๋ค. ์ผ์ฐ๋๋๊ฐ ์ฆ๊ฐํจ์ ๋ฐ๋ผ ํ๋ผ๋(II)์ ์ถ์ถ๋ฅ ์ด ๊ฐ์ํ๋
๊ฒ์ ์ฉ์ก๋ด ์ผ์์ด์จ๋๋๊ฐ ์ฆ๊ฐํ๋ฉด ์ (4)์ ์ญ๋ฐ์์ด ์ผ์ด๋๊ธฐ ๋๋ฌธ์ด๋ค [16]. LIX 63์์ ์์ฐ(II)์ ์ถ์ถ๋ฅ ์ 0.5์์ 1M๋ก ์ผ์ฐ๋๋๊ฐ ์ฆ๊ฐํจ์ ๋ฐ๋ผ 14.5์์ 0.1%๋ก ๊ฐ์ํ๋ค. ๋ฐ๋ฉด 1์์ 9M๋ก ์ฐ๋๋๊ฐ
์ฆ๊ฐํ ๋ ์์ฐ(II)์ ์ถ์ถ๋ฅ ์ 0.1์์ 8.3%๋ก ์ฆ๊ฐํ๋ค. 1 M ์ดํ์ ์ผ์ฐ์ฉ์ก์์๋ Zn2+์ ZnCl+ ์ด์จ์ด ์ฃผ๋ก ์กด์ฌํ๋ฉฐ, ์ด๋ค ์์ด์จ์ ์ด์จ๊ตํ์ ์ํด LIX 63์ ์ถ์ถ๋ ์ ์๋ค. ์ผ์ฐ ๋๋๊ฐ 1 M ์ด์์ธ ๊ฒฝ์ฐ, ์์ฐ์ ZnCl2, ZnCl3-, ZnCl42-์ ๊ฐ์ ์ฐฉ๋ฌผ๋ก ์กด์ฌํ๋ฉฐ ์(4)์ ๊ฐ์ ์ฉ๋งคํ๋ฐ์์ ์ํด LIX 63์ ์ถ์ถ๋ ์ ์๋ค.
0.1 M์ Cyanex 301์ ์ผ์ฐ๋๋์ ๊ด๊ณ์์ด ํ๋ผ๋(II)์ ์์ ํ ์ถ์ถํ์ผ๋ฉฐ, ๋ฎ์ ์ฐ๋๋์์๋ ์์ฐ(II)์ ์ถ์ถ๋ฅ ์ด 94.8%๋ก ๋์์ผ๋
์ผ์ฐ๋๋ 3 M ์ด์์์ 5.1% ์ดํ๋ก ๊ธ๊ฒฉํ ๊ฐ์ํ๋ ๊ฒฝํฅ์ ๋ณด์๋ค. Cyanex 301์์ ํ๋ผ๋(II)์ ์ถ์ถ์ HSAB(Hard Soft
Acid Base) ์๋ฆฌ๋ก ์ค๋ช
์ด ๊ฐ๋ฅํ๋ค. Cyanex 301์ S๋ ๋ฌด๋ฅธ ์ผ๊ธฐ์ด๋ฏ๋ก ๋ฌด๋ฅธ ์ฐ์ธ ํ๋ผ๋(II)๊ณผ ๊ฒฐํฉํ๋ ค๋ ๊ฒฝํฅ์ด ๊ฐํ๋ค [17]. ์ด์ ๋ฐํด ์์ฐ(II)์ ๊ฒฝ๊ณ์ฐ์ผ๋ก ํ๋ผ๋(II)์ ๋นํด ๊ฒฐํฉ๋ ฅ์ด ์๋ค [18]. Cyanex 301์ ์ํ ํ๋ผ๋(II)๊ณผ ์์ฐ(II)์ ์ถ์ถ ๋ฐ์์ ์์ง ๋ช
ํํ๊ฒ ๋ฐํ์ง์ง ์์๋ค [19,20].
์ค์ฑ์ถ์ถ์ ์ธ DOS์ TBP์ ์ํ ํ๋ผ๋(II)๊ณผ ์์ฐ(II)์ ์ถ์ถ๊ฑฐ๋์ ๊ทธ๋ฆผ 3์ ๋ํ๋๋ค. ๊ทธ๋ฆผ 3์์ DOS๋ ํ๋ผ๋(II)์ ๋ํด ๋์ ์ ํ์ฑ์ ๋ณด์์ผ๋ฉฐ, ์ผ์ฐ ๋๋๊ฐ 0.5 ์์ 9M๋ก ์ฆ๊ฐํจ์ ๋ฐ๋ผ ํ๋ผ๋(II)์ ์ถ์ถ๋ฅ ์ด 37.2์์ 85.5%๋ก
์ฆ๊ฐํ๋ค. ์ (5)์ DOS(R2S)์ ์ํ ํ๋ผ๋(II)์ ์ถ์ถ๋ฐ์์ ๋ํ๋๋ค.
๊ทธ๋ฆผ 3์์ ์ฐ ๋๋๊ฐ ์ฆ๊ฐํจ์ ๋ฐ๋ผ ํ๋ผ๋์ ์ถ์ถ๋ฅ ์ด ์ฆ๊ฐํ๋ ๊ฒ์ ์ ๋ฐ์์๊ณผ ์ ์ผ์นํ๋ค. ์ผ๋ฐ์ ์ผ๋ก DOS์ ์ํ ํ๋ผ๋(II) ์ถ์ถ๋ฐ์์ ์๋๊ฐ
๋๋ ค ํํ๊น์ง ์์๊ฐ์ด ์์๋๋ค๊ณ ์๋ ค์ ธ ์๋ค [1]. DOS์ ์ํ ํ๋ผ๋(II)์ ์ถ์ถ์๋๋ฅผ ๋์ด๊ธฐ ์ํด 4์ฐจ ์๋ชจ๋์ผ์ ์ด๋งค๋ก ์ฒจ๊ฐํ๋ฉด Pd(II)์ ๋ํ ์ ํ์ฑ์ด ๊ฐ์ํ๋ค๊ณ ๋ณด๊ณ ๋์๋ค [1,21]. ๋ณธ ์ฐ๊ตฌ์์๋ ๋ค๋ฅธ ์ถ์ถ์ ์ ์ถ์ถํน์ฑ์ ๋น๊ตํ๊ธฐ ์ํด ๋ฐ์์๊ฐ์ 30๋ถ์ผ๋ก ๊ณ ์ ํ๋ค. ๋ฐ๋ผ์ DOS๋ก ์ถ์ถ ์ ํ๋ผ๋(II)์ ์ถ์ถ๋ฅ ์ ๋ค์
๋ณํ๊ฐ ์์์ผ๋ฉฐ, ๊ทธ๋ฆผ 3์์ DOS์ ์ํ ํ๋ผ๋(II) ๋ฐ ์์ฐ(II)์ ์ถ์ถ์๋ฃ๋ 3ํ ์คํ์ ํตํด ์ป์ ํ๊ท ๊ฐ์ด๋ค. ํํธ ๊ทธ๋ฆผ 3์์ ์ผ์ฐ๋๋์ ๋ฌด๊ดํ๊ฒ TBP๋ฅผ ์ฌ์ฉ์ ํ๋ผ๋(II)๊ณผ ์์ฐ(II)์ ์ถ์ถ๋ฅ ์ ๋งค์ฐ ๋ฎ์๋ค.
์์ด์จ ์ถ์ถ์ ์ธ Alamine 308, Alamine 336, Aliquat 336์ ์ํ Pd(II) ๋ฐ Zn(II)์ ์ถ์ถ๊ฑฐ๋์ ๊ทธ๋ฆผ 4์ ๋ํ๋๋ค. 3์ฐจ ์๋ฏผ์ ์ผ์ฐ์ ์ํด ์์ํ๋ ๋ค์ ์์ด์จ ์ถ์ถ์ ๋ก ์์ฉํ๋ฉฐ, ์ด๋ฅผ ์ (6)๊ณผ (7)์ ๋ํ๋๋ค [9,22]. ํํธ 4์ฐจ์๋ฏผ์ธ Aliquat336์ ์ํ ํ๋ผ๋(II)์ ์ถ์ถ๋ฐ์์ ์(8)์ ๋ํ๋๋ค [15,23].
์๊ธฐ ์์์ R3N์ 3์ฐจ ์๋ฏผ์, R4NCl์ 4์ฐจ ์๋ฏผ์ ๋ํ๋ธ๋ค.
์ (7)๊ณผ (8)์ ๋ณด๋ฉด 3์ฐจ์ 4์ฐจ ์๋ฏผ์ผ๋ก ํ๋ผ๋(II)์ ์ถ์ถํ๋ฉด ์ผ์์ด์จ์ด ์ด์จ๊ตํ๋๋ ๊ฒ์ ์ ์ ์๋ค. ์ฆ, ์ผ์ฐ ๋๋๊ฐ ์ฆ๊ฐํ๋ฉด ํ๋ผ๋(II)์
์ถ์ถ๋ฅ ์ด ๊ฐ์ํ๋ฉฐ, ์ด๋ ๊ทธ๋ฆผ 4์ ๊ฒฐ๊ณผ์ ์ ์ผ์นํ๋ค. ๋ณธ ์คํ๊ฒฐ๊ณผ 3์ฐจ ์๋ฏผ์ผ๋ก ์ถ์ถ์ 4์ฐจ ์๋ฏผ์ธ Aliquat336๋ณด๋ค ์ผ์ฐ๋๋์ ์ํฅ์ ์ ๊ฒ ๋ฐ๋๋ฐ, ์ด๋ 3์ฐจ ์๋ฏผ์ด ์ผ์ฐ๊ณผ
๊ฒฐํฉํ ๋ค์ ํ๋ผ๋(II)์ ์ถ์ถํ๊ธฐ ๋๋ฌธ์ผ๋ก ํ๋จ๋๋ค. ์ ๋ฐ์ ์ผ๋ก 3์ฐจ ๋๋ 4์ฐจ ์๋ฏผ ์ถ์ถ์ ๋ ๋ฎ์ ์ฐ ๋๋์์๋ ํ๋ผ๋(II)๊ณผ ์์ฐ(II)์
๋ชจ๋ ์ถ์ถํ๋ฉฐ, 7 M ์ด์์ ์งํ ์ผ์ฐ์ฉ์ก์์๋ ์์ฐ(II)์ ์ถ์ถ๋ฅ ์ด ํ๋ผ๋(II)๋ณด๋ค ๋์๋ค. ๊ทธ๋ฌ๋ ๋ณธ ๋
ผ๋ฌธ์์ ์ฌ์ฉํ ์์ด ์จ์ถ์ถ์ ๋ ์ค์ฑ์ถ์ถ์ ์
๋นํด ํ๋ผ๋(II)๊ณผ ์์ฐ(II)์ ๋ถ๋ฆฌ์ฑ์ ๋ํ๋ด๋ ๋ถ๋ฆฌ์ธ์ ์ธก๋ฉด์์ ํจ๊ณผ๊ฐ ์์๋ค.
3.2. ์ถ์ถ์ ๋ฏธ์น๋ ์ถ์ถ์ ๋๋์ ์ํฅ
3.1. ์ ์์ ์งํ ์ผ์ฐ๋๋์์ LIX 63, Cyanex 301, DOS์ ์ํ Pd(II)์ Zn(II)์ ๋ถ๋ฆฌ๊ฐ๋ฅ์ฑ์ ํ์ธํ๋ค. ๋๊ธํ์ก์์
์์ฐ๋ถ๋ง๋ก ์นํ๋ ํ๋ผ๋ ๊ธ์์ ์์ ํ ์นจ์ถํ๊ธฐ ์ํด์๋ 7 M ์ด์์ ์ผ์ฐ์ฉ์ก์ด ํ์ํ๋ค [8]. ๋ฐ๋ผ์ 7 M ์ผ์ฐ์ฉ์ก์์ ๋ถ๋ฆฌ๊ฐ๋ฅ์ฑ์ด ์๋ ์๊ธฐ ์ธ ์ถ์ถ์ ๋๋๋ฅผ 0.001์์ ์ต๋ 0.2 M๊น์ง ๋ณํ์์ผ ํฉ์ฑ์ฉ์ก์ผ๋ก ์ถ๊ฐ์คํ์ ์ํํ
๊ฒฐ๊ณผ๋ฅผ ๊ทธ๋ฆผ 5, 6, 7์ ๋ํ๋๋ค.
LIX 63์์ ์ถ์ถ์ ๋๋๊ฐ 0.01์์ 0.2 M๋ก ์ฆ๊ฐํจ์ ๋ฐ๋ผ ํ๋ผ๋(II)์ ์ถ์ถ๋ฅ ์ 39.2์์ 98.7%๋ก ์ฆ๊ฐํ๊ณ , ์์ฐ(II)์ ์ถ์ถ๋ฅ
์ญ์ 3.0์์ 8.9%๋ก ์ฝ๊ฐ ์ฆ๊ฐํ๋ค. 7 M์ ์ผ์ฐ์ฉ์ก์์ LIX 63์ ํ๋ผ๋(II)์ ๋ํ ์ ํ์ฑ์ด ๋์์ผ๋ ๋ชจ๋ ์กฐ๊ฑด์์ ๋ฏธ๋์ ์์ฐ(II)์
๋์์ ์ถ์ถํ๋ค. ๋ฐ๋ผ์ ํ๋ผ๋(II)์ ์ถ์ถ๋ฅ ์ด ๋์ 0.2 M LIX 63์ ์ต์ ์กฐ๊ฑด์ผ๋ก ์ ํํ์ผ๋ฉฐ, ์ด ๋ ํ๋ผ๋(II)๊ณผ ์์ฐ(II)์ ์ถ์ถ๋ฅ ์
๊ฐ๊ฐ 98.7๊ณผ 8.9%์๋ค. Cyanex 301์ ๊ฒฝ์ฐ ์ถ์ถ์ ๋๋์ ๊ด๊ณ์์ด ํ๋ผ๋(II)๋ง์ ์ ํ์ ์ผ๋ก ์ถ์ถํ์ผ๋ฉฐ, ์ถ์ถ์ ๋๋๊ฐ 0.001์์
0.005 M๋ก ์ฆ๊ฐํจ์ ๋ฐ๋ผ ์ถ์ถ๋ฅ ์ด 22.9์์ 99.9%๋ก ์ฆ๊ฐํ๋ค. ๋ํ 0.005 M ์ด์์์ ํ๋ผ๋(II)์ด ์์ ํ ์ถ์ถ๋๋ฏ๋ก, ์ต์ ์กฐ๊ฑด์
0.005 M Cyanex 301๋ก ๊ฒฐ์ ํ๋ค. DOS๋ Cyanex 301๊ณผ ๋ง์ฐฌ๊ฐ์ง๋ก ์ถ์ถ์ ๋๋์ ๊ด๊ณ์์ด ํ๋ผ๋(II)์ ์ ํ์ ์ผ๋ก ์ถ์ถํ๋๋ฐ,
์ถ์ถ์ ๋๋๊ฐ 0.01์์ 0.2 M๋ก ์ฆ๊ฐํจ์ ๋ฐ๋ผ ํ๋ผ๋(II)์ ์ถ์ถ๋ฅ ์ด 11.1์์ 99.9%๊น์ง ์ฆ๊ฐํ๋ค. 7 M ์ผ์ฐ์ฉ์ก์์ ํ๋ผ๋(II)์
์์ ํ ์ถ์ถํ๊ธฐ ์ํด 0.2 M์ LIX 63๊ณผ DOS, 0.005 M์ Cyanex 301์ด ํ์ํ์ผ๋ฉฐ, LIX 63์ 8.9%์ ์์ฐ(II)์
ํจ๊ป ์ถ์ถํ๋ค.
3.3. LIX 63, Cyanex 301 ๋ฐ DOS์ฉ์ก์ผ๋ก๋ถํฐ ํ๊ฑฐ
LIX 63, Cyanex 301 ๋ฐ DOS์ ์ถ์ถ๋ Pd(II)์ Zn(II)์ ํ๊ฑฐํ๊ธฐ ์ํด ๋ฌด๊ธฐ์ฐ์ ์ฐํ์ ๋๋ thiourea ๋ฑ์ ์ฒจ๊ฐํด
ํ๊ฑฐ์ฉ์ก์ ์ ์กฐํด์ ํ๊ฑฐ์คํํ ๊ฒฐ๊ณผ๋ฅผ ํ 1์ ๋ํ๋๋ค. 7 M ์ผ์ฐ์ฉ์ก์์ 0.2 M์ LIX 63์ 98.7%(98.7 mg/L) ํ๋ผ๋(II)๊ณผ 8.9%(44.5 mg/L) ์์ฐ(II)์
์ถ์ถํ๋ค. 0.005 M Cyanex 301๊ณผ 0.2 M DOS๋ ํ๋ผ๋๋ง(II)์ 99.9% ์ด์ ์ ํ์ ์ผ๋ก ์ถ์ถํด ์ ๊ธฐ์์์ ํ๋ผ๋(II)์ ๋๋๋
99.9 mg/L ์ด์์ด์๋ค. ํ๊ฑฐ์คํ๊ฒฐ๊ณผ ์ผ์ฐ ๋๋ ํฉ์ฐ์ ๋จ์ผ ๋ฌด๊ธฐ์ฐ ์ฉ์ก์ผ๋ก๋ ๋ชจ๋ ์ ๊ธฐ์์์ ํ๋ผ๋(II)์ ํ๊ฑฐ๊ฐ ์ด๋ ค์ ์ผ๋ฉฐ, 0.2 M
LIX 63์์๋ง ์ฝ 17.4%์ ์์ฐ(II)์ ํ๊ฑฐํ ์ ์์๋ค. ์ฐํ์ H2O2, NaClO, NaClO3์ ์ผ์ฐ์ ํฉ์ฑ์ฉ์ก์ LIX 63์์ ์์ฐ(II)์, Cyanex 301์์๋ ํ๋ผ๋(II)์ 90% ์ด์ ํจ๊ณผ์ ์ผ๋ก ํ๊ฑฐํ๋ค. ๊ทธ๋ฌ๋ ํฉ์ฐ๊ณผ ์ฐํ์ ์
ํผํฉ์ฉ์ก์ ๋๋ถ๋ถ์ ์ถ์ถ์ ์์ ํ๋ผ๋(II) ๋ฐ ์์ฐ(II)์ ํ๊ฑฐ์จ์ด 1% ๋ฏธ๋ง์ด์์ผ๋ฉฐ, ์ค์ง 5 M H2SO4๊ณผ NaClO ํผํฉ์ฉ์ก์ผ๋ก Cyanex 301์์ 90.7% ์ด์ ํ๋ผ๋(II)์ ํ๊ฑฐํ ์ ์์๋ค. ์ด์ ๋ฐ๋๋ก thiourea์ ์ผ์ฐ ํผํฉ์ฉ์ก์
Cyanex 301์ ์ ์ธํ ๋๋จธ์ง ์ถ์ถ์ ์ ๋ํด ํจ๊ณผ๊ฐ ์์๋ค. Thiourea๋ ๋ฌด๋ฅธ ์ฑ์ง์ ๊ฐ์ง๊ณ ์์ผ๋ฉฐ, ๋ถ์์ ์๋ S์ N๊ณผ ๊ฐ์ 2๊ฐ์
๊ณต์ฌ ์์๋ก ์ธํด ํ๋ผ๋(II)๊ณผ ๊ฐํ ์ฐฉ๋ฌผ์ ํ์ฑํ ์ ์๋ค [1,24]. ๊ทธ๋ฌ๋ S ์์๋ฅผ ํฌํจํ๊ณ ์๋ Cyanex 301์ ์์ฉ๊ธฐ๋ ๋ฌด๋ฅธ ์ผ๊ธฐ์ด๋ฏ๋ก thiourea ํผํฉ๋ฌผ๋ก๋ ํ๊ฑฐ๊ฐ ์ด๋ ค์ธ ๊ฒ์ผ๋ก ์๊ฐ๋๋ค. 0.5
M์ ์ผ์ฐ๊ณผ 0.5 M thiourea์ ํผํฉ์ฉ์ก์ ์ฌ์ฉํด LIX 63๊ณผ DOS๋ก๋ถํฐ ๊ฐ๊ฐ 94,7%, 99.2%์ ํ๋ผ๋(II)์ ํจ๊ณผ์ ์ผ๋ก ํ๊ฑฐํ๋ค.
๋จ, LIX 63์์๋ ํ๋ผ๋(II)๋ฟ๋ง ์๋๋ผ ์์ฐ(II)๋ ๋ชจ๋ ํ๊ฑฐ๋์๋ค.
์ผ๋ฐ์ ์ผ๋ก Cyanex 301์์ ํ๋ผ๋(II)์ ํ๊ฑฐํ๊ธฐ ์ํด ์์๋ฅผ ์ฌ์ฉํ๋ค [9]. ๊ทธ๋ฌ๋ ์์๋ ํ๊ฒฝ์ ์ธ ๋ฌธ์ ๋ก ์ค์ ์ฐ์
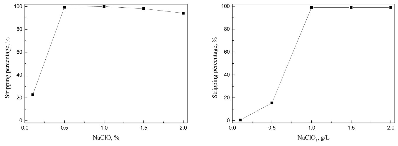
ํ์ฅ์์ ๊ธฐํผํ๋ค. ๋ฐ๋ผ์ ์์์ ๋์ฒด ํ๊ฑฐ์ก์ผ๋ก ์ผ์ฐ๊ณผ NaClO ๋ฐ NaClO3 ํผํฉ์ฉ์ก์ ์ฌ์ฉํด ์ถ๊ฐ์คํ์ ์ํํ๋ค. ์ฌ์ ์คํ์ ํตํด NaClO ๋ฐ NaClO3๋ฅผ ์ฒจ๊ฐํ ์ผ์ฐ ์ฉ์ก์์ ์ผ์ฐ๋๋๋ฅผ 5 M ์ด์์ผ๋ก ์ฆ๊ฐ์ํค๋๋ผ๋ ํ๋ผ๋(II)์ ํ๊ฑฐ์ ๋ฏธ์น๋ ์ํฅ์ด ๋งค์ฐ ์์ ๊ฒ์ ํ์ธํ๋ค. ๋ฐ๋ผ์ ํผํฉ์ฉ์ก์์
์ผ์ฐ๋๋๋ 5M๋ก ๊ณ ์ ์์ผฐ์ผ๋ฉฐ, NaClO์ NaClO3์ ๋๋๋ฅผ 0.1์์ 2(NaClO-%, NaClO3-g/L)๊น์ง ๋ณํ์์ผฐ๋ค. ํ๊ฑฐ์ก์์ ์ฐํ์ ๋๋์ ๋ฐ๋ฅธ 0.005 M Cyanex 301์ ์ถ์ถ๋ ํ๋ผ๋(II)์ ํ๊ฑฐ์จ์ ๊ทธ๋ฆผ 8์ ๋ํ๋๋ค. 5 M ์ผ์ฐ์ฉ์ก์์ NaClO์ ๋๋๊ฐ 0.5%์ธ ๊ฒฝ์ฐ 99% ์ด์ ํ๋ผ๋(II)์ด ํ๊ฑฐ๋์์ผ๋ฉฐ, NaClO3๋ก ํ๋ผ๋(II)์ ์์ ํ ํ๊ฑฐํ๊ธฐ ์ํด์๋ 1 g/L ์ด์์ด ํ์ํ๋ค.
3.4. ์ค์ ์นํ๋ ํ๋ผ๋ ๊ธ์ ์นจ์ถ์ก์ผ๋ก๋ถํฐ ์ฉ๋งค์ถ์ถ์ ์ํ ๋ถ๋ฆฌ
3.4.1. ์ถ์ถ
ํฉ์ฑ์ฉ์ก์์ ์ป์ ์ต์ ์ถ์ถ์กฐ๊ฑด์ ๋ฐํ์ผ๋ก ์ค์ ์นํ๋ ํ๋ผ๋์ ์ผ์ฐ์นจ์ถ์ก์์ ์ฉ๋งค์ถ์ถ ์คํ์ ์ํํ๋ค. ์ค์ ์นจ์ถ์ฉ์ก์ 60ยฐC์ 7 M ์ผ์ฐ์ฉ์ก์
2 g/L์ ๊ด์ก๋ฐ๋ ์กฐ๊ฑด์ผ๋ก ์นํ๋ ํ๋ผ๋ ๋ถ๋ง์ ์ฒจ๊ฐํ ๋ค 0.5% H2O2๋ฅผ ๋ฃ๊ณ 2์๊ฐ ๋์ ๋ฐ์์์ผ ์ป์๋ค [8]. ์ค์ ์นจ์ถ์ฉ์ก์์ ํ๋ผ๋(II)๊ณผ ์์ฐ(II)์ ๋๋๋ ๊ฐ๊ฐ 1.926๊ณผ 0.074 g/L์๋ค. ์นจ์ถ์ก์์ ์์ฐ(II)์ ๋๋๊ฐ ๋ฏธ๋์ธ ๊ฒ์
์์ฐ๋ถ๋ง๋ก ์นํ์ํจ ํ๋ผ๋ ๊ธ์๋ถ๋ง์ ๋ถ์๋ฌผ ์ ๊ฑฐ๋ฅผ ์ํด ์ผ์ฐ์ฉ์ก์ผ๋ก ์ํ ์ธ์ฒํ๋ ๊ณผ์ ์์ ์์ฐ์ด ์ฉํด๋์ด ์ ๊ฑฐ๋๊ธฐ ๋๋ฌธ์ด๋ค. ํฉ์ฑ์ฉ์ก์์ ํ๋ผ๋(II)๊ณผ
์์ฐ(II)์ ํจ๊ณผ์ ์ผ๋ก ๋ถ๋ฆฌํ๋ LIX 63, Cyanex 301, DOS์ ๋ํด ์ถ์ถ์ ๋๋๋ฅผ ๋ณํ์์ผ ์ค์ ์นจ์ถ์ก์์ ์ฉ๋งค์ถ์ถ์คํ์ ์ํํ๊ณ ,
๊ฒฐ๊ณผ๋ฅผ ๊ทธ๋ฆผ 9, 10, 11์ ๋ํ๋๋ค. LIX 63์ ๋๋๊ฐ 1.5 M ์ด์์ธ ์กฐ๊ฑด์์ ํ๋ผ๋(II)์ 99.9% ์ด์ ์ถ์ถ๋์ผ๋ฉฐ, 2.0 M LIX 63์์ ์์ฐ(II)์
์ถ์ถ๋ฅ ์ 67.3%๋ก ๊ธ๊ฒฉํ ์ฆ๊ฐํ๋ค. ๋ฐ๋ผ์ ๋ ๊ธ์์ ๋ถ๋ฆฌํ๊ธฐ ์ํด์๋ LIX 63์ ๋๋๋ฅผ 1.5 M ๋ฏธ๋ง์ผ๋ก ์ ์งํ๋ ๊ฒ์ด ์ ๋ฆฌํ๋ค. Cyanex
301๊ณผ DOS์์๋ ํ๋ผ๋(II)์ด ์ ํ์ ์ผ๋ก ์ถ์ถ๋์๋๋ฐ, ์ค์ ์นจ์ถ์ก์์ ํ๋ผ๋(II)์ ์์ ํ ์ถ์ถํ๊ธฐ ์ํด์๋ ๊ฐ๊ฐ 0.1๊ณผ 0.5 M ๋๋
์ด์์ ์ถ์ถ์ ๊ฐ ํ์ํ๋ค. Cyanex 301๊ณผ DOS ๋ชจ๋ ์ค์ ์นจ์ถ์ก์์ ํ๋ผ๋(II)์ ์์ ํ ์ถ์ถํ์ผ๋ DOS์ ๊ฒฝ์ฐ ๊ธด ์ถ์ถ๋ฐ์์๊ฐ๊ณผ ๊ฐ๊ฒฉ์ด
๋น์ผ ๋จ์ ์ผ๋ก ์ธํด LIX63๊ณผ Cyanex 301์ ์ฌ์ฉํด์ ์ถ๊ฐ์คํ์ ์งํํ๋ค.
3.4.2. ๋ค๋จ์ ์ถ์ถ
Cyanex 301์ ํ๋ผ๋(II)๋ง์ ์ ํ์ ์ผ๋ก ์ถ์ถํ์ผ๋ LIX 63์ ๋นํด ํ๊ฑฐ๊ฐ ์ด๋ ค์ด ๋จ์ ์ด ์๋ค. ๋ฐ๋ผ์ LIX 63์ผ๋ก ๋ฏธ๋์ ์์ฐ(II)์
๋ถ๋ฆฌํ๋ ๊ฒ์ด ๊ฐ๋ฅํ๋ค๋ฉด ์ถ์ถ๊ณผ ํ๊ฑฐ ํน์ฑ์ ๊ณ ๋ ค์ LIX 63์ด ์ค์ ์ฐ์
ํ์ฅ์ ์ ์ฉํ๊ธฐ์ ์ ํฉํ๋ค. ์ค์ ์นจ์ถ์ก์์ LIX63์ผ๋ก ์ฉ๋งค์ถ์ถ์ ํ๋ผ๋(II)๊ณผ
์์ฐ(II)์ ์ถ์ถ๋ฅ ์๋ ํฐ ์ฐจ์ด๊ฐ ์๋ค. ์ด์ ๊ฐ์ด ๋ ๊ธ์๊ฐ ์ถ์ถ๋ฅ ์ ํฐ ์ฐจ์ด๊ฐ ์กด์ฌํ๋ ๊ฒฝ์ฐ ๋ฎ์ ๋๋์ ์ถ์ถ์ ๋ก ๋ค๋จ์ ์ฉ๋งค์ถ์ถ์ ํตํด ๋
๊ธ์์ ๋ถ๋ฆฌํ๋ ๊ฒ์ด ๊ฐ๋ฅํ๋ค. ๋ฐ๋ผ์ ์ค์ ์นจ์ถ์ก์์ ํ๋ผ๋(II)๊ณผ ์์ฐ(II)์ LIX63์ผ๋ก ๋ถ๋ฆฌํ ๋ชฉ์ ์ผ๋ก 0.5 M์ LIX 63์ ์ถ์ถ์ ๋ก
2๋จ์ ๋ค๋จ์์ถ์ถ ์คํํ๊ณ , ๊ฒฐ๊ณผ๋ฅผ ํ 2์ ๋ํ๋๋ค. ์คํ๊ฒฐ๊ณผ ์ต์ข
์ ์ผ๋ก 99% ํ๋ผ๋(II)๊ณผ 28% ์์ฐ(II)์ด ์ถ์ถ๋์ด 2๋จ์ ์ถ์ถ๋ก๋ ๋ ๊ธ์์ ๋ถ๋ฆฌ๊ฐ ์ด๋ ค์ ๋ค. ๋ฐ๋ผ์ 7M์
์ผ์ฐ์ฉ์ก์์ ํ๋ผ๋(II)์ ์ถ์ถ์ ์ ํ์ฑ์ ๋ณด์ธ LIX 63, DOS, Cyanex 301 ์ค Cyanex 301์ ์ ํํด์ ํ๊ฑฐ์คํ์ ์งํํ๋ค.
3.4.3. ํ๊ฑฐ
Cyanex 301์ ํ๋ผ๋(II)๋ง์ ์ ํ์ ์ผ๋ก ์ถ์ถํ๋ฏ๋ก ์ ๊ธฐ์์์ ํ๋ผ๋(II)์ ํ๊ฑฐํ๋ฉด ๊ณ ์๋ ํ๋ผ๋์ฉ์ก์ ์ ์กฐ ํ ์ ์๋ค. ํ 1์ ๋ณด๋ฉด Cyanex 301์ ์ถ์ถ๋ ํ๋ผ๋(II)์ ํ๊ฑฐ์ก์ผ๋ก 5M์ ์ผ์ฐ์ฉ์ก์์ NaClO๋ NaClO3๋ฅผ ์ฒจ๊ฐํ ํผํฉ์ฉ์ก์ด ํจ๊ณผ๊ฐ ์์๋ค. ๊ทธ๋ฌ๋ ์๊ธฐ ์กฐ์ฑ์ ํผํฉ์ฉ์ก์ ์ค์ ์นจ์ถ์ก์์ ํ๋ผ๋(II)์ด ์ถ์ถ๋ Cyanex 301์ ํ๊ฑฐ์ก์ผ๋ก ์ฌ์ฉ์
ํ๋ผ๋(II)์ ํ๊ฑฐ์จ์ 5% ๋ฏธ๋ง์ด์๋ค. ์ด๋ ์ค์ ์นจ์ถ์ฉ์ก์์ ํ๋ผ๋(II)์ ๋๋๊ฐ 1.926 g/L๋ก, ํฉ์ฑ์ฉ์ก๊ณผ ๋น๊ตํด ๋๋๊ฐ 19๋ฐฐ ์ด์
๋๊ธฐ ๋๋ฌธ์ด๋ค. ์ค์ ์นจ์ถ์ก์ ๋์์ผ๋ก Cyanex 301์ ์ถ์ถ๋ ํ๋ผ๋(II)์ ํ๊ฑฐํ๊ธฐ ์ํด ์๊ธฐ ์กฐ์ฑ์ ํ๊ฑฐ์ก์ ์ฌ์ฉ์ ํ๊ฑฐ์ก์์ ํ๋ผ๋(II)์
๋๋๋ 96.3 mg/L(ํ๊ฑฐ์จ์ด 5%)์ด๋ค. ์ฆ, ํ๊ฑฐ์ก์์ ํ๋ผ๋์ ๋๋(II)๋ ํฉ์ฑ์ฉ์ก์ด๋ ์ค์ ์ฉ์ก์์ ์ถ์ถ๋ ๋ ์กฐ๊ฑด์ Cyanex 301์์
๋น์ทํ๋ค. ๊ทธ๋ฌ๋ฏ๋ก ์ค์ ์นจ์ถ์ก์ ์ถ์ถํ Cyanex 301์์ ํ๊ฑฐ์จ์ด 5% ๋ฏธ๋ง์ธ ๊ฒ์ ์ ๊ธฐ์์์ ํ๋ผ๋(II)์ ๋์ ๋๋์ ๊ธฐ์ธํ๋ค. ์ค์
์นจ์ถ์ก์์ ํ๋ผ๋(II)์ ์ถ์ถํ ์ ๊ธฐ์์ ํ๊ฑฐ์จ์ ๋์ด๊ธฐ ์ํด ํ๊ฑฐ์ก์ธ ์์์ ๋ถํผ๋ฅผ ๋ณํ์์ผ ํ๊ฑฐ์คํ์ ์ํํ๊ณ , ๊ทธ ๊ฒฐ๊ณผ๋ฅผ ๊ทธ๋ฆผ 12์ ๋ํ๋๋ค. 5 M HCl๊ณผ 0.5% NaClO์ ํผํฉ์ฉ์ก์ ๊ฒฝ์ฐ ์์๊ณผ ์ ๊ธฐ์์ ๋ถํผ๋น๊ฐ 10์ธ ์กฐ๊ฑด๊ณผ, 5 M HCl๊ณผ 1 g/L NaClO3 ํผํฉ์ฉ์ก์์๋ ์์๊ณผ ์ ๊ธฐ์์ ๋ถํผ๋น๊ฐ 20์ธ ์กฐ๊ฑด์์ ํ๋ผ๋(II)์ ํ๊ฑฐ์จ์ด ๊ฐ๊ฐ 99.9%์ 97.5%์ด์๋ค. ๊ทธ๋ฌ๋ ์ด์ฒ๋ผ ํ๊ฑฐ๋ฅผ ์ํด ์์์
๋ถํผ๋น๋ฅผ ์ฆ๊ฐ์ํค๋ฉด ํ๊ฑฐ์ก์ค ํ๋ผ๋(II)์ ๋๋๋ ํฐ ํญ์ผ๋ก ๊ฐ์ํ๋ค. ํํธ, ๋น๊ต๋ฅผ ์ํด ์์์ ๋๋๋ฅผ ๋ณํ์์ผ 0.1 M Cyanex 301์์
ํ๋ผ๋(II)์ ํ๊ฑฐ์จ์ ์กฐ์ฌํ๊ณ , ์คํ๊ฒฐ๊ณผ๋ฅผ ๊ทธ๋ฆผ 13์ ๋ํ๋๋ค. ์๊ธฐ ์คํ์์ ์์๊ณผ ์ ๊ธฐ์์ ๋ถํผ๋ ๋์ผํ๊ฒ ์ ์งํ๊ณ , ์์๋๋๋ ํฌ์์ ํตํด 25, 50, 75, 100%๋ก ์กฐ์ ํ๋ค. 75% ์์๋ฅผ
ํ๊ฑฐ์ก์ผ๋ก ์ฌ์ฉ์ 0.1 M Cyanex 301์์ 97 %์ ํ๋ผ๋(II)์ด ํ๊ฑฐ๋์๋ค.
๋๊ธํ์ก์์ ์ป์ ์ค์ ํ๋ผ๋ ์นํ๋ฌผ์ ์ผ์ฐ์ผ๋ก ์นจ์ถํ ์ฉ์ก์์ Caynex 301๋ก ์ถ์ถํ๋ฉด ํ๋ผ๋(II)๋ง์ ์ ํ์ ์ผ๋ก ์ถ์ถํ๋ ๊ฒ์ด ๊ฐ๋ฅํ๋ค.
Cyanex 301์ ์ถ์ถ๋ ํ๋ผ๋(II)์ 5 M HCl๊ณผ 0.5% NaClO์ ํผํฉ์ก(A/O=10) ๋ฐ 75%์ ์์๋ก ํ๊ฑฐํ ์ ์์ผ๋ฉฐ, ํ๊ฑฐ์ก์
ํ์์ ๋ฅผ ์ฒจ๊ฐํด ํ๋ผ๋ ๊ธ์์ผ๋ก ํ์ํ ์ ์๋ค. ํ์์ ๋ก๋ ํ๋๋ผ์ง๊ณผ ํฌ๋ฆ์ฐ ๋ฑ์ด ์ฌ์ฉ๋ ์ ์๋๋ฐ, ๊ฐ์ฐ ๋ฐ ์ฐํ์ ๊ฐ ํจ์ ๋ ์ฉ์ก์์ ์๊ธฐ ํ์์ ๋ก
ํ๋ผ๋์ ํ์์ํค๊ธฐ ์ด๋ ค์ฐ๋ฏ๋ก ์ฉ์ก์ pH๋ฅผ 1 ์ด์์ผ๋ก ์กฐ์ ํ๋ ๊ฒ์ด ๋ฐ๋์งํ๋ค. ๋ฐ๋ผ์ ํ๊ฑฐํ ํ๊ฑฐ์ก์ ํจ์ ๋ ํ๋ผ๋(II)์ ํ์์์ผ ๊ธ์์ผ๋ก
ํ์ํ๋ ๊ณต์ ์ ๊ฐ์ํ๋ฉด ์์๋ณด๋ค๋ ์ผ์ฐ๊ณผ NaClO์ ํผํฉ์ฉ์ก์ด Cyanex 301์ ์ถ์ถ๋ ํ๋ผ๋(II)์ ํ๊ฑฐ์ก์ผ๋ก ์ ๋ฆฌํ๋ค.
๋ณธ ์ฐ๊ตฌ๊ฒฐ๊ณผ ํ๋ผ๋ ์นํ๋ฌผ์ ์ผ์ฐ์นจ์ถ์ก์์ ์ถ์ถ์ ์ํ ํ๋ผ๋(II)๊ณผ ์์ฐ(II)์ ๋ถ๋ฆฌ ๋ฐ ์ถ์ถ์ก์์ ํ๋ผ๋(II)์ ํ๊ฑฐ์ ๊ดํ ์ต์ ์กฐ๊ฑด์
๊ตฌํ๋ค. ์ด์ ๊ฐ์ด ๊ตฌํ ์ต์ ์กฐ๊ฑด์์ ํ๋ผ๋ ์นํ๋ฌผ๋ก๋ถํฐ ๊ณ ์๋ ํ๋ผ๋(II)์ฉ์ก์ ํ์ํ๊ธฐ ์ํ ์ต์๊ณต์ ๋๋ฅผ ๊ทธ๋ฆผ 14์ ๋ํ๋๋ค. ๋จผ์ ๋๊ธํ์ก์์ ์ป์ ํ๋ผ๋ ์นํ๋ฌผ์ 2 g/L ๊ด์ก๋๋๋ก ์ฒจ๊ฐํด 7 M ์ผ์ฐ๊ณผ 0.5% H2O2์ฉ์ก์์ 60ยฐC๋ก 2์๊ฐ๋์ ์์ ํ ์นจ์ถํ๋ค. ์ด์ ๊ฐ์ด ์ป์ ์นจ์ถ์ก์ 0.1 M Cyanex 301๋ก ์ถ์ถํ๋ฉด ํ๋ผ๋(II)์ด ์ ํ์ ์ผ๋ก ์ถ์ถ๋๊ณ
์์์๋ ์์ฐ(II)์ด ๋จ๋๋ค. ํ๋ผ๋(II)์ด ์ถ์ถ๋ 0.1 M Cyanex 301์์ 5 M ์ผ์ฐ๊ณผ 0.5% NaClO ํผํฉ์ฉ์ก์ ์ฌ์ฉํด ์์๊ณผ
์ ๊ธฐ์์ ๋ถํผ๋น๊ฐ 10์ธ ์กฐ๊ฑด์์ ํ๊ฑฐํ๋ฉด ํ๋ผ๋(II)์ ๋ชจ๋ ํ๊ฑฐํด ์์ํ ํ๋ผ๋(II) ์ฉ์ก์ ํ์ํ ์ ์๋ค.
4. ๊ฒฐ ๋ก
๋๊ธํ์ก์ ํจ์ ๋ ํ๋ผ๋(II)์ ์์ฐ๋ถ๋ง๋ก ์นํํ ํ๋ผ๋ ์นํ๋ฌผ์์ ๊ณ ์๋ ํ๋ผ๋(II)์ฉ์ก์ ํ์ํ๊ธฐ ์ํด ์นจ์ถ๊ณผ ์ฉ๋งค์ถ์ถ๋ก ๊ตฌ์ฑ๋ ์ต์๊ณต์ ์
๋ํด ์กฐ์ฌํ๋ค. ๋จผ์ ํ๋ผ๋(II)๊ณผ ์์ฐ(II)์ด ํผํฉ๋ ํฉ์ฑ ์ผ์ฐ์ฉ์ก์ ์ ์กฐํ์ฌ ์ผ์ฐ๋๋ ๋ฐ ์ถ์ถ์ ์ ์ข
๋ฅ์ ๋ฐ๋ฅธ ๋ ๊ธ์์ด์จ์ ๋ถ๋ฆฌ๊ฐ๋ฅ์ฑ์ ์กฐ์ฌํ๋ค.
์ผ์ฐ๋๋๋ฅผ 0.5 M์์ 9M๊น์ง ๋ณํ์์ผ ์คํํ ๊ฒฐ๊ณผ ์ฐ์ฑ์ถ์ถ์ ์ธ LIX 63๊ณผ Cyanex 301 ๋ฐ ์ค์ฑ์ถ์ถ์ ์ธ DOS๊ฐ ์ค์ ์นจ์ถ์ก๊ณผ ๊ฐ์
7 M ์ผ์ฐ๋๋์์ ํ๋ผ๋(II)์ ์ ํ์ ์ผ๋ก ์ถ์ถํ๋ ๊ฒ์ด ํ์ธ๋์๋ค. ์ด์ ๋ฐํด ์์ด์จ์ถ์ถ์ ์ธ Alamine 308, Alamine336 ๋ฐ Aliquat
336์ ๋ ๊ธ์์ด์จ์ ๋ถ๋ฆฌ์ ์ ํฉํ์ง ์์๋ค.
์ค์ ํ๋ผ๋ ์นํ๋ฌผ์ 7M์ ์ผ์ฐ์ฉ์ก์ผ๋ก ์นจ์ถํ ์ฉ์ก์์ LIX 63, Cyanex 301 ๋ฐ DOS๋ก ์ถ์ถํ ๊ฒฐ๊ณผ LIX 63์๋ ํ๋ผ๋(II)๊ณผ
ํจ๊ป ๋ฏธ๋์ ์์ฐ(II)์ด ์ถ์ถ๋์์ผ๋, Cyanex 301๊ณผ DOS์๋ ํ๋ผ๋(II)๋ง์ด ์ถ์ถ๋์ด ๋ ๊ธ์ ์ด์จ์ ๋ถ๋ฆฌํ ์ ์์๋ค. ํํธ, LIX
63์ ์ถ์ถ๋ ์์ฐ(II)์ 2๋จ์ ๋ค๋จ์ ์ถ์ถ๋ก๋ ๋ถ๋ฆฌ๊ฐ ์ด๋ ค์ ๋ค. ๋ฐ๋ผ์ ํ๋ผ๋(II)๋ง์ด ์ ํ์ ์ผ๋ก ์ถ์ถ๋ Cyanex 301์์ 75%์ ์์
๋๋ 5 M ์ผ์ฐ๊ณผ 0.5% NaClO ํผํฉ์ฉ์ก์ผ๋ก ์์๊ณผ ์ ๊ธฐ์์ ๋ถํผ๋น๋ฅผ ์กฐ์ ํ์ฌ ํ๋ผ๋(II)์ ํ๊ฑฐํ๊ณ , 97~99% ์ด์ ํ๊ฑฐ์จ์ ์ป์๋ค.
๋ณธ ์คํ๊ฒฐ๊ณผ๋ก๋ถํฐ ์ค์ ๊ณต์ ์์ ๋ฐ์ํ ํ๋ผ๋ ์นํ๋ฌผ๋ก๋ถํฐ ์นจ์ถ๊ณผ ์ฉ๋งค์ถ์ถ๋ก ๊ณ ์๋ ํ๋ผ๋(II)์ฉ์ก์ ํ์ํ ์ ์๋ ์ต์๊ณต์ ์ ๊ฐ๋ฐํ์๋ค.
Acknowledgements
๋ณธ ์ฐ๊ตฌ๋ 2021๋
๋ ์ฐ์
ํต์์์๋ถ ๋ฐ ์ฐ์
๊ธฐ์ ํ๊ฐ๊ด๋ฆฌ์(KEIT)์์ ์ฐ๊ตฌ๋น๋ฅผ ์ง์๋ฐ์ ์ํ๋์์ผ๋ฉฐ, ์ด์ ๊ฐ์ฌ๋๋ฆฝ๋๋ค. (๊ณผ์ ๋ฒํธ 20013071)
REFERENCES
Wang J., Xu W., Liu H., Yu F., Miiner. Eng,163, 106798 (2021)

Paiva A. P., Ortet O., Carvalho G. I., Nogueira C, A., Hydrometallurgy,171, 394 (2017)

Lee J. C., Kurniawan K., Chung K. W., Kim S., Met. Mater. Int,27, 2160 (2021)

Cieszynska A., Wieczorek D., Hydrometallurgy,175, 359 (2018)

Mudd G. M., Jowitt S. M., Werner T. T., Sci. Total Environ,622, 614 (2018)

Zakeri M., Naderi H., Asian J. Chem.,21, 3809 (2009)

Torrejos R. E. C., Nisola G. M., Min S. H., Han J. W., Lee S. P., Chung W. J., J.
Ind. Eng. Chem,89, 428 (2020)

Song S. J., Nguyen V. N. H., Lee M. S., Korean J. Met. Mater,59, 469 (2021)

Truong H. T., Lee M. S., Miner. Eng,115, 13 (2018)

Al-Bazi S. J., Freiser H., Solvent Extr. Ion Exch,5, 265 (1987)

Loreti M. A. P., Reis M. T. A., Ismael M. R. C., Staszak K., Wieszczycka K., Sep.
Purif. Technol,265, 118509 (2021)

Peng C. Y., Tsai T. H., Desalin. Water Treat,52, 1101 (2014)

Tran T. T., Iqbal M., Lee M. S., Korean J. Met. Mater,57, 787 (2019)

Cieszynska A., Wisniewski M., Sep. Purif. Technol,80, 385 (2011)

Foulon C., Pareau D., Durand G., Hydrometallurgy,51, 139 (1999)

Nguyen T. H., Sonu C. H., Lee M. S., Hydrometallurgy,164, 71 (2016)

Sole K. C., Hiskey J. B., Hydrometallurgy,37, 129 (1995)

Guibal E., Vincent T., Sep. Sci. Technol,41, 2533 (2006)

Mansur M. B., Rocha S. D. F., Magalhรฃes F. S., Benedetto J. dos S., J. Hazard. Mater,150,
669 (2008)

Regel-Rosocka M., Bartkowska M., Szymanowski J., Physicochem. Probl. Miner. Process,36,
217 (2002)

Al-Bazi S. J., Freiser H., Solvent Extr. Ion Exch,4, 1121 (1986)

Alguacil F. J., Cobo A., Coedo A. G., Dorado M. T., Sastre A., Hydrometallurgy,44,
203 (1997)

Nguyen T. H., Sonu C. H., Lee M. S., J. Ind. Eng. Chem,32, 238 (2015)

Mohdee V., Parasuk V., Pancharoen U., Arab. J. Chem,14, 103196 (2021)

Figures and Tables
Fig. 1.
XRD pattern of the cemented palladium obtained from spent electroplating solutions.
Fig. 2.
Effect of acid concentration on the extraction percentage of Pd(II) and Zn(II) from
hydrochloric acid by cationic extractants. (Aqueous: [Pd2+] = 0.1 g/L, [Zn2+] = 0.5 g/L, [HCl] = 0.5-9 M; Organic: [Extractant] = 0.1 M, A/O=1, Diluent: kerosene)
Fig. 3.
Effect of acid concentration on the extraction percentage of Pd(II) and Zn(II) from
hydrochloric acid by neutral extractants. (Aqueous: [Pd2+] = 0.1 g/L, [Zn2+] = 0.5 g/L, [HCl] = 0.5-9 M; Organic: [Extractant] = 0.1 M, A/O=1, Diluent: kerosene)
Fig. 4.
Effect of acid concentration on the extraction percentage of Pd(II) and Zn(II) from
hydrochloric acid by amine extractants. (Aqueous: [Pd2+] = 0.1 g/L, [Zn2+] = 0.5 g/L, [HCl] = 0.5-9 M; Organic: [Extractant] = 0.1 M, A/O=1, Diluent: kerosene)
Fig. 5.
Effect of LIX 63 concentration on the extraction percentage of Pd(II) and Zn(II) from
7 M hydrochloric acid solution. (Aqueous: [Pd2+] = 0.1 g/L, [Zn2+] = 0.5 g/L, [HCl] = 7 M; Organic: [LIX 63] = 0.01-0.2 M, A/O=1, Diluent: kerosene)
Fig. 6.
Effect of Cyanex 301concentration on the extraction percentage of Pd(II) and Zn(II)
from 7 M hydrochloric acid solution. (Aqueous: [Pd2+] = 0.1 g/L, [Zn2+] = 0.5 g/L, [HCl] = 7 M; Organic: [Cyanex 301] = 0.001-0.1 M, A/O=1, Diluent: kerosene)
Fig. 7.
Effect of DOS concentration on the extraction percentage of Pd(II) and Zn(II) from
7 M hydrochloric acid solution. (Aqueous: [Pd2+] = 0.1 g/L, [Zn2+] = 0.5 g/L, [HCl] = 7 M; Organic: [DOS] = 0.01-0.2 M, A/O=1, Diluent: kerosene)
Fig. 8.
Effect of the concentration of oxidizing agent on the stripping percentage of Pd(II)
from the loaded 0.005 M Cyanex 301 by mixture of hydrochloric acid and oxidizing agent.
(Loaded Cyanex 301: [Pd2+] = 0.1 g/L; Aqueous: [HCl] = 5 M, [NaClO] = 0.1-2 % and [NaClO3] = 0.1-2 g/L, A/O=1)
Fig. 9.
Effect of LIX 63 concentration on the extraction percentage of Pd(II) and Zn(II) from
7 M hydrochloric acid leaching solution of cemented Pd. (Aqueous: [Pd2+] = 1.926 g/L, [Zn2+] = 0.074 g/L, [HCl] = 7 M; Organic: [LIX 63] = 0.2-2.0 M, A/O=1, Diluent: kerosene)
Fig. 10.
Effect of Cyanex 301concentration on the extraction percentage of Pd(II) and Zn(II)
from 7 M hydrochloric acid leaching solution of cemented Pd. (Aqueous: [Pd2+] = 1.926 g/L, [Zn2+] = 0.074 g/L, [HCl] = 7 M; Organic: [Cyanex 301] = 0.005-0.2 M, A/O=1, Diluent: kerosene)
Fig. 11.
Effect of DOS concentration on the extraction percentage of Pd(II) and Zn(II) from
7 M hydrochloric acid leaching solution of cemented Pd. (Aqueous: [Pd2+] = 1.926 g/L, [Zn2+] = 0.074 g/L, [HCl] = 7 M; Organic: [DOS] = 0.2-2.0 M, A/O=1, Diluent: kerosene)
Fig. 12.
Effect of volume ration of A/O on the stripping percentage of Pd(II) from the loaded
0.1 M Cyanex 301. (Loaded Cyanex 301: [Pd2+] = 1.926 g/L; Aqueous: mixture of 5 M HCl+0.5% NaClO and 5 M HCl+1 g/L NaClO3, A/O=1-20)
Fig. 13.
Effect of aqua regia concentration on the stripping percentage of Pd(II) from the
loaded 0.1 M Cyanex 301. (Loaded Cyanex 301: [Pd2+] = 1.926 g/L, Aqueous: [aqua regia] = 25-100%, A/O=1)
Fig. 14.
A flow sheet for the recovery of pure Pd(II) from the cemented Pd produced by cementation
of spent electroplating solutions with zinc powder.
Table 1.
The stripping percentage of Pd(II) and Zn(II) from the loaded organic phase.
|
Stripping reagent
|
Loaded organic phase
|
|
0.2 M LIX 63
|
0.005 M Cyanex 301
|
0.2 M DOS
|
|
Stripping percentage, %
|
Pd (II)
|
Zn (II)
|
Pd (II)
|
Pd (II)
|
|
5 M HCl
|
0.4
|
17.4
|
0.4
|
0.4
|
|
5 M HCl + 1% H2O2 |
1.2
|
92.8
|
27.9
|
0.5
|
|
5 M HCl + 1% NaClO
|
3.2
|
92.7
|
99.9
|
0.7
|
|
5 M HCl + 1 g/L NaClO3 |
0.5
|
99.9
|
99.9
|
0.4
|
|
0.5 M HCl + 0.5 M Thiourea
|
94.7
|
99.9
|
1
|
99.2
|
|
5 M H2SO4 |
0.3
|
0
|
0.5
|
0.3
|
|
5 M H2SO4 + 1% H2O2 |
0.5
|
0
|
0.4
|
0.3
|
|
5 M H2SO4 + 1% NaClO
|
-
|
-
|
90.7
|
0.4
|
|
5 M H2SO4 + 1 g/L NaClO3 |
0.4
|
0
|
0.6
|
0.3
|
Table 2.
Batch simulation experimental results for two stage counter-current extraction by
0.5 M LIX 63 at 7 M HCl solution. (Aqueous: [Pd2+] = 1.926 g/L, [Zn2+] = 0.074 g/L; [LIX 63]=0.5 M; O/A=1; Diluent: kerosene)
|
Metal ions
|
Pd (II)
|
Zn (II)
|
|
Stock solution, mgยทL-1 |
1926
|
74
|
|
Stage 1, raffinate, mgยทL-1 |
52.2
|
64.2
|
|
Stage 2, raffinate, mgยทL-1 |
0.6
|
46.4
|
|
Overall E%
|
99.9
|
37.3
|