The Journal of
the Korean Journal of Metals and Materials

The Journal of
the Korean Journal of Metals and Materials

Monthly
  • pISSN : 1738-8228
  • eISSN : 2288-8241

Editorial Office


  1. 한국전기연구원전기변환소재연구센터 (Korea Electrotechnology Research Institute, Energy Conversion Research Center, Changwon 51543, Republic of Korea)



thermoelectric, half-Heusler, Zr0.6-xTi0.4TaxNiSn, Ta doping, zT

1. 서 론

열전발전기술 (thermoelectric generation)은 대기 중으로 방출되는 산업폐열, 차량폐열, 선박폐열 등을 회수하여 재활용할 수 있는 유용한 에너지 하베스팅 기술로서 기대를 모으고 있다. 300~500 K의 저온 대역에서는 Bi2Te3 계열의 열전소재가 상용화되어 사용되며, 600~1000 K의 중온 및 고온 대역에서는 tetrahedrite [1,2], skutterudite [3,4], 실리사이드 (silicide) [5,6] 등과 함께 하프-호이슬러(half-Heusler, HH) [7-14] 계열의 소재가 많이 연구되고 있다. 하프-호이슬러 열전소재는 열적안정성과 기계적강도가 우수하고 소재의 독성이 적다는 장점이 있어 잠재적으로 유망한 소재이다 [7-14]. 하프-호이슬러계 소재 중에서 n형 소재로는 MNiSn(M=Ti, Zr, 또는 Hf)가 가장 많이 연구되고 있고, p형 소재로는 RFeSb (R=V, Nb, 또는 Ta) 계열이 최근 많은 관심을 받고 있는데, 두 소재 모두 지속적인 연구개발의 결과로 최근 무차원 성능지수 최대값 (zTmax)이 1.5 수준까지 도달할 정도로 열전성능이 향상되었다 [15,16].

n형 HH소재인 MNiSn의 경우, 일반적으로 M 자리에 Ti, Zr, Hf가 모두 첨가되어 혼합되었을 때 가장 우수한 열전 성능을 얻을 수 있으며, 전하농도의 조절은 Sn 자리에 Sb를 도핑원소로 첨가하는 방법을 주로 사용한다. 주기율표에서 같은 족에 속하는 Ti, Zr, Hf를 적정 비율로 혼합하여 첨가함으로써 원자량과 원자반경 차이에 의해 발생하는 포논산란 증가효과를 극대화하여 열전도도를 낮출 수 있다[17]. 그런데 여기서 문제는 대부분의 연구결과에서 M 자리에 Hf이 포함된 경우에서 높은 열전성능을 얻었다는 사실이다 [8,15,18,19]. 널리 알려진 바와 같이 Hf가 희귀·고가원소이므로 소재단가 하락과 양산적합성 확보를 위하여 열전성능이 다소 낮아지더라도 Hf를 사용하지 않거나 가급적 사용량을 줄이는 것이 필요하다. 또한 MNiSn 소재를 Sb로 도핑할 경우, 녹는점이 낮고 휘발성이 높은 Sb가 소재합성 과정에서 쉽게 휘발되어 소실되는 현상이 문제점으로 파악되었다 [20-22]. 이 문제점은 3개의 부격자(sublattice)를 각각 독립적으로 최적화할 수 있는 HH소재의 특징을 활용하여, 녹는점이 높고 휘발성이 낮은 도핑원소를 Sn 자리가 아닌 M 자리에 치환하는 방법을 사용함으로써 해결할 수 있다. 실제로 M 자리에 V, Nb, Ta, Ce, La 등을 도핑한 선도적인 연구사례가 보고된 바 있다[15,23-27].

본 연구에서는 이와 같은 문제점들에 착안하여 Hf과 Sb를 포함하지 않는 n형 HH 소재인 Zr0.6-xTi0.4TaxNiSn (0 ≤ x ≤ 0.04)를 합성하였으며, Ta을 도핑원소로 사용하여 Ta 첨가에 의한 열전성능의 변화를 관찰하였다. Ta은 Ti와 Zr에 비해 원자가 전자는 1개 더 많으면서 원자반경이 더 크고 원자량은 Ti의 3.78배, Zr의 1.98배만큼 더 크기 때문에, 도핑효과와 함께 포논산란효과를 극대화하는 일석이조의 효과를 얻을 수 있을 것으로 예상하였다. 또한 본 연구에서는 모합금의 Zr:Ti 몰비를 약 6:4의 비율로 고정함으로써 Ta 도핑만으로는 부족할 수 있는 열전도도 감소효과를 합금산란효과(alloy scattering effect)를 이용하여 최대한 극대화하고자 시도하였다.

2. 실험방법

Zr0.6-xTi0.4TaxNiSn (0 ≤ x ≤ 0.04)를 합성하기 위해 Zr (순도 99.8%, 3–6 mm lump, Alfa Aesar), Ti (순도 99.99%, 2–10 mm grains, Kojundo), Ni (순도 99.995%, 3.175 mm × 3.175 mm, Alfa Aesar), Sn (순도 99.999%, 2–3 mm grains, Kojundo), Ta (순도 99.9%, 1-mm-diameter × 2 mm, Alfa Aesar) 등의 원료물질을 사용하였다. 상기 원료물질을 정량비대로 칭량하여 Ar 분위기에서 석영관에 봉입한 후 유도가열(induction melting) 방법을 사용하여 완전히 용해하였다. 뒤이어 용해된 모합금을 수 작업으로 분쇄한 후 다시 석영관에 봉입하여 1173 K에서 7일간 상안정화를 위한 열처리를 시행하였다. 이후 볼밀링을 통해 모합금을 분말화하였고 (Pulverisette 5, Fritsch), 흑연몰드(직경 12.7 mm)에 장입하여 1373 K에서 65 MPa의 압력을 가하면서 spark plasma sintering 장비를 사용하여 소결하였다 (Dr. Sinter, Fuji Electronic Industrial).

소결이 완료된 잉곳은 다양한 크기로 절단하여 전기전도도 (σ), 제벡계수 (S), 열확산도 (a), 비열 (Cp) 등을 측정하였으며, 각각의 측정을 위해 ZEM-3 (Ulvac), LFA457(Netzsch), DSC404 (Netzsch) 등의 상용장비를 사용하였다. 합성된 시편의 밀도 (d)는 아르키메데스법을 이용하여 측정하였고, 소재의 열전도도(κ)는 κ = adCp의 관계식으로 부터 계산하였다. 그리고 소재의 상분석을 위해 X선 분석을 실시하였다 (X-Ray Diffraction, XRD, CuKα, X’Pert PRO MPD, Panalytical). 또한 물리적 특성 측정장치(physical property measurement system, PPMS, Quantum Design)를 사용하여 300 K에서 4단자 측정법(4-point probe measurement)으로 HH 소결체의 전하농도를구하였다.

3. 결과 및 고찰

그림 1은 합성된 Zr0.6-xTi0.4TaxNiSn 소결체의 XRD 패턴을 나타낸다. Zr0.6-xTi0.4TaxNiSn은 ZrNiSn과 TiNiSn의 두 HH 화합물이 혼합된 pseudobinary system으로 해석할 수 있는데, 실제로 그림 1(a) 하단에 표시된 ZrNiSn과 TiNiSn의 표준회절패턴의 중간 정도에 peak들이 위치함을 볼 수 있다. 전체적으로 단일상의 HH 패턴을 보이고 있으나, 30-40° 위치에 검출되는 미약한 peak 들은 Sn, Ti, Zr 등의 반응하지 않은 미량의 원소들로부터 기인한 것으로 해석된다. 실제로 주사전자현미경(scanning electron microscope) 및 EDS (energy dispersive X-ray spectroscopy) 분석을 이용하여 HH의 grain boundary를 중심으로 상기 원소들을 검출한 바 있다 [20]. 한편, main peak인 (220) peak을 확대해보면 2개의 peak이 합쳐져 있는 것을 볼 수 있으며 (그림 1(b)), Ti을 함유하는 MNiSn 합금소재에서 빈번하게 관찰되는 상분리로 인한 현상이다[19,20]. 또한 Ta 함량이 증가함에 따라 (220) peak이 전체적으로 약간 저각도 쪽으로 이동하는 것을 관찰할 수 있다. 이것은 Ti과 Zr보다 원자반경이 큰 Ta 원자가 치환됨에 따라 (Ti: 147 pm, Zr: 160 pm, Ta: 220 pm) 격자상수가 증가하였기 때문으로 설명된다.

그림 2는 Zr0.6-xTi0.4TaxNiSn 소결체의 전기전도도이며, Ta 첨가량이 증가함에 따라 전기전도도가 전체적으로 증가하면서 x = 0.02를 경계로 하여 온도의존성이 반도체 거동에서 금속성 거동으로 점차적으로 전이하는 과정을 보여준다. 즉, x < 0.02에서는 온도가 상승함에 따라 밴드갭을 넘어 여기(excitation)되는 전하의 농도가 증가하므로 이에 따라 전기전도도가 증가하는 nondegenerate semiconductor의 전형적인 거동을 보여준다. 반면, x > 0.02에서는 전하농도가 기본적으로 도핑농도에 의해 일정하게 정해지고, 그 대신 온도가 증가하면서 포논과 전자의 산란(scattering)이 증가하여 이에 의해 전기전도도가 감소하는 금속성 거동을 보여주고 있다. 이와 같이 x = 0.02를 경계로 전기전도도의 온도의존성이 역전되는 현상은 ZrNiSn에 Ta을 도핑한 Yang 등의 최근 연구결과와 매우 유사하였다 [28]. 323 K를 기준으로 했을 때 Zr0.56Ti0.4Ta0.04NiSn의 전기전도도는 Zr0.6Ti0.4NiSn 대비 약 5.47배 증가하였으며, 최고온도인 973 K에서는 그 격차가 약 1.43배로 축소되었다.

그림 3(a)는 PPMS 분석을 통해 얻은 300 K에서의 전자농도를 나타낸 그래프이다. Ta이 도핑되지 않은 Zr0.6Ti0.4NiSn에서는 전자농도가 약 8.3 × 1019 cm-3였으며, Ta 함량이 증가함에 따라 전자농도는 거의 직선적으로 증가하여 Zr0.56Ti0.4Ta0.04NiSn 샘플에서는 약 5.6 × 1020 cm-3 에 도달하였다. 한편, 그림 3(b)는 전기전도도와 전자농도로부터 계산하여 얻은 전하이동도이며, 20 ~ 25 cm2 V-1s-1 범위로 상대적으로 거의 일정한 값을 보였다.

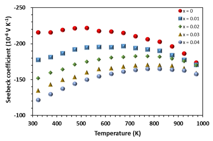
그림 4는 제벡계수의 온도의존성을 보여준다. Ta 도핑량이 증가할수록 제벡계수의 절대값이 감소하는데, 이것은 식(1)과 같이 기본적으로 제벡계수(S)와 전하농도(n)는 반비례 관계이기 때문이다:

(1)
S = 8 π 2 k B 2 3 e h 2 m * T ( π 3 n ) 2 / 3 .

식 (1)에서 kB는 Boltzmann 상수, h는 Planck 상수, m*는 전하의 유효질량 (effective mass), T는 절대온도이고 밴드구조가 single parabolic band임을 가정하였다. 그림 4에서 제벡계수의 최대값(Smax)은 Ta 도핑되지 않은 샘플에서 약 -2.22 × 10-4 V/K 였으며, x = 0.04일 때 약 -1.65 × 10-4 V/K 로 감소하였다. 한편, Ta 함량이 증가함에 따라 제벡계수가 최대값에 도달하는 온도가 점차로 증가하는 현상을 관찰할 수 있다. 이것은 근본적으로 본 연구에서 합성한 Zr0.6-xTi0.4TaxNiSn 소재가 반도체이므로 소재 내부에 다수 캐리어(majority carrier)인 전자와 소수 캐리어(minority carrier)인 정공(hole)이 동시에 존재하기 때문이다. 엄밀하게 표현하면, 제벡계수는 전자와 정공의 기여분을 구분하여 식 (2)와 같이 표기할 수 있다[29]:

(2)
S = σ e S e + σ h S h σ e + σ h .

식 (2)에서 첨자 e, h는 각각 전자, 정공을 의미한다. 온도가 증가하면 밴드갭을 넘어 여기되는 정공의 농도가 점점 증가하면서 어느 온도 이상에서는 더 이상 무시할 수 없는 농도에 도달하게 되며, 이 때 Se와 Sh의 부호가 서로 반대이므로 제벡계수 S는 최대값에 도달한 후 하락하게 된다. 만약 외부에서 인위적으로 도핑을 하여 전자의 농도를 높였다면, 정공의 농도가 무시할 수 없는 농도에 도달하는 온도는 그만큼 더 상승하게 된다. 따라서 본 연구에서는 그림 4와 같이 Ta도핑농도가 증가함에 따라 제벡계수의 최대값이 더 높은 온도로 이동하는 현상을 관찰할 수 있다.

그림 5는 전기전도도와 제벡계수로부터 계산된 파워팩터(PF)를 나타내며, PF = σS2의 관계식으로부터 도출되었다. 파워팩터는 Ta함량이 증가함에 따라 측정온도 범위 전반에 걸쳐 큰 폭으로 증가하여 x = 0.02와 x = 0.03에서 정점에 도달한 후 x = 0.04에서는 다시 감소하였다. 파워팩터 최대값(PFmax)은 723 K에서 약 3.94 mW m-1K-2 에 달하였고, Ta 도핑을 하지 않았을 때의 최대값인 3.36 mW m-1K-2에 비해 약 17% 증가하였다. Ta이 도핑된 경우 해당 샘플의 파워팩터는 도핑되지 않은 Zr0.6Ti0.4NiSn에 비해 모두 높았으며, Ta 첨가량의 차이에 따른 파워팩터의 차이는 상대적으로 크지 않았다.

그림 6 (a)는 Ta 첨가량에 대한 열전도도(κ)의 변화를 종합적으로 표시하고 있다. 예상과는 달리 열전도도는 Ta이 도핑되지 않은 Zr0.6Ti0.4NiSn에서 측정온도 대역 대부분에 걸쳐 가장 낮으며, Ta의 도핑량이 증가함에 따라 증가하는 현상을 보인다. 참고로 Zr0.6Ti0.4NiSn의 열전도도는 673 K에서 2.97 W m-1K-1의 최소값을 나타냈다.

이와 같은 열전도도 거동의 원인을 살펴보기 위하여 그림 6 (a)의 열전도도를 격자열전도도(κlat)와 전자열전도도(κel) 성분으로 분해하기 위한 간단한 계산을 수행하였다. 소재의 열전도도 κ는 κlat, κel, 그리고 bipolar conduction에 의한 성분인 κbi로 구성되는데, 그림 3(a)와 같이 majority carrier인 전자의 농도가 매우 높기 때문에 계산의 편이성을 위하여 κbi는 무시할 수 있다고 가정하였다:

(3)
κ = κ l a t + κ e l .

Wiedemann-Franz 법칙에 따르면, 전자열전도도 κel은 다음과 같이 표현된다:

(4)
κ e l = L σ T .

식 (4)와 같이 전자열전도도는 전기전도도와 절대온도, 그리고 Lorenz number L로부터 구할 수 있으며, Zr0.6-xTi0.4TaxNiSn의 밴드구조가 single parabolic band라고 가정할 경우, Lorenz number와 제벡계수는 Fermi-Dirac integral Fn(ξ)를 사용하여 아래와 같이 전개된다 [30]:

(5)
S = ± k B e { ( r + 5 2 ) F r + 3 2 ( ξ ) ( r + 3 2 ) F r + 1 2 ( ξ ) - ξ }
(6)
L = ( k B e ) 2 { ( r + 7 2 ) F r + 5 2 ( ξ ) ( r + 3 2 ) F r + 1 2 ( ξ ) - [ ( r + 5 2 ) F r + 3 2 ( ξ ) ( r + 3 2 ) F r + 1 2 ( ξ ) ] } ,
(7)
F n ( ξ ) = 0 x n 1 + e x - ξ d x .

식 (5)-(7)에서, r은 scattering parameter, ξ는 reduced Fermi energy (=EF/kT)이다. 포논산란의 주된 기전이 acoustic phonon scattering이라고 가정하면 r = -1/2이 되며, 이에 따라 ξ는 제벡계수 S로부터 어렵지 않게 도출할 수 있다. 따라서 Lorenz number L을 계산할 수 있게 되는데, 그림 6(b)와 같다. Zr0.6-xTi0.4TaxNiSn의 L값은(1.59 − 1.84) × 10-8 WΩK-2 범위로 계산되었으며, Ta 도핑량이 높을수록 증가하였다.

계산된 L값으로부터 전자열전도도와 격자열전도도를 도출하였으며, 그림 6(c)(d)에 표시하였다. 그림 6(c)에서 보듯이 Ta 도핑량이 증가함에 따라 전자농도 증가에 의해 전자열전도도가 증가하는 반면, 그림 6(d)의 격자열전도도는 대체로 Ta 도핑량에 대한 의존성이 크지 않은 것을 볼 수 있다. 다만 x = 0.02에서는 도핑되지 않은 샘플에 비해 전 온도영역에서 격자열전도도가 감소하였고, 그 격차가 고온으로 갈수록 확대되는 경향을 보였다. 특히 x = 0.02 일 때 673 K 이상의 온도에서는 2Wm-1K-1 이하의 낮은 격자열전도도 (최소값 1.9 W m-1K-1, 873 K)를 얻었다.

그림 6의 결과를 종합하면, Ta 도핑에 의해 오히려 열전도도가 증가하는 현상은 전자농도가 증가하면서 전자열전도도 성분이 크게 증가하였기 때문으로 판명되었다. 또한 그림 6(d)에서 보듯이 격자열전도도가 Ta 도핑에 의해 극적으로 감소하지 않는 것은 Zr과 Ti의 혼합에 의한 합금산란효과(alloy scattering effect)가 이미 존재하므로, Ta이 소량 첨가됨으로써 격자열전도도가 추가적으로 감소할 여지가 크게 줄어들었기 때문으로 사료된다.

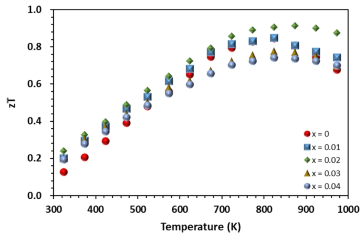
그림 7은 본 연구에서 합성한 Zr0.6-xTi0.4TaxNiSn의 무차원 성능지수 (zT)를 비교하여 정리한 그래프이다. 도핑하지 않은 Zr0.6Ti0.4NiSn의 경우 zTmax = 0.85(823 K)이고, Ta이 도핑된 Zr0.58Ti0.4Ta0.02NiSn에서 가장 높은 수치인 zTmax = 0.91(873 K)로 약 7% 향상된 결과를 얻은 반면, x 0.03에서는 오히려 도핑되지 않은 Zr0.6Ti0.4NiSn보다 낮은 zTmax를 얻었다. HH 소재의 실제 사용온도범위로 예상되는 673-923 K 범위의 온도구간에 대한 평균 zT (zTavg)를 기준으로 할 경우, Zr0.6Ti0.4NiSn의 zTavg = 0.80에 비해 Zr0.58Ti0.4Ta0.02NiSn의 zTavg은 약 10% 향상된 0.88의 값을 보였다.

4. 결 론

본 연구에서는 Ta을 도핑원소로 하여 Hf와 Sb가 첨가되지 않은 n형 하프-호이슬러 소재인 Zr0.6-xTi0.4TaxNiSn을 합성하고 열전성능을 분석하였다. Ta 첨가량 x ≤ 0.04 범위에서 Ta을 첨가함에 따라 최대 5.6 × 1020 cm-3까지 전자농도를 증가시킬 수 있었고, 이에 따라 전기전도도와 파워팩터가 증가하여 x = 0.02에서 PFmax= 3.94 mW m-1K-2 를 얻었다. 격자열전도도는 x = 0.02에서 Zr, Ti, Ta의 혼합에 의한 포논산란효과에 의해 최소값 1.9 W m-1K-1까지 낮출 수 있었고, 파워팩터 상승과 격자열전도도 저하의 복합적인 영향으로 zTmax= 0.91(873 K)에 도달함을 확인하였다. 종합적으로, Ta 도핑을 채택하여 원료휘발의 우려 없이 준수한 열전성능을 갖는 Hf 무첨가 HH소재를 합성할 수 있었으나, 1020 cm-3 범위로 전하농도 조절범위가 다소 제약되는 단점이 있었다. 따라서 만약 1021 cm-3 범위의 전하농도가 필요할 경우에는 Ta와 Sb 도핑을 병행하는 등 보완책이 필요할 것으로 판단된다.

Acknowledgements

이 연구는 2021년도 정부(과학기술정보통신부)의 재원으로 국가과학기술연구회의 지원을 받아 수행된 한국전기연구원 기본사업임 (No. 21A01011)

REFERENCES

1 
Kwak S.-G., Pi J.-H., Lee G.-E., Kim I.-H., Korean J. Met. Mater,58, 272 (2020)Google Search
2 
Chetty R., Bali A., Mallik R.C., J. Mater. Chem. C,3, 12364 (2015)Google Search
3 
Cha Y.-E., Kim I.-H., Korean J. Met. Mater,57, 366 (2019)Google Search
4 
Rull-Bravo M., Moure A., Fernández J.F., Martin-González M., RSC Adv,5, 41653 (2015)Google Search
5 
Lee I.-J., Park S.-B., Ur S.-C., Jang K.-W., Kim I.-H., Korean J. Met. Mater,57, 264 (2019)Google Search
6 
Kim G., Shin H., Lee J., Lee W., Met. Mater. Int,27, 2205 (2021)Google Search
7 
Xia K., Hu C., Fu C., Zhao X., Zhu T., Appl. Phys. Lett,118, 140503 (2021)Google Search
8 
Poon S.J., J. Phys. D: Appl. Phys,52, 493001 (2019)Google Search
9 
Xing Y., Liu R., Liao J., Zhang Q., Xia X., Wang C., Huang H., Chu J., Gu M., Zhu T., Zhu C., Xu F., Yao D., Zeng Y., Bai S., Uher C., Chen L., Energy Environ. Sci,12, 3390 (2019)Google Search
10 
Rogl G., Grytsiv A., Gürth M., Tavassoli A., Ebner C., Wünschek A., Puchegger S., Soprunyuk V., Schranz W., Bauer E., Müller H., Zehetbauer M., Rogl P., Acta Mater,107, 178 (2016)Google Search
11 
Silpawilawan W., Kurosaki K., Ohishi Y., Muta H., Yamanaka S., J. Mater. Chem. C,5, 6677 (2017)Google Search
12 
Tavassoli A., Failamani F., Grytsiv A., Rogl G., Heinrich P., Müller H., Bauer E., Zehetbauer M., Rogl P., Acta Mater,135, 263 (2017)Google Search
13 
Yu J., Xing Y., Hu C., Huang Z., Qiu Q., Wang C., Xia K., Wang Z., Bai S., Zhao X., Chen L., Zhu T., Adv. Energy Mater,10, 2000888 (2020)Google Search
14 
Nozariasbmarz A., Saparamadu U., Liu W., Kang H.B., Dettor C., Zhu H., Poudel B., Priya S., J. Power Sources,493, 229695 (2021)Google Search
15 
Rogl G., Sauerschnig P., Rykavets Z., Romaka V.V., Heinrich P., Hinterleitner B., Grytsiv A., Bauer E., Rogl P., Acta Mater,131, 336 (2017)Google Search
16 
Fu C., Bai S., Liu Y., Tang Y., Chen L., Zhao X., Zhu T., Nat. Commun,6, 8144 (2015)Google Search
17 
Yang J., Meisner G.P., Chen L., Appl. Phys. Lett,85, 1140 (2004)Google Search
18 
Chen L., Zeng X., Tritt T.M., J. Electron. Mater,45, 5554 (2016)Google Search
19 
Schwall M., Balke B., Phys. Chem. Chem. Phys,15, 1868 (2013)Google Search
20 
Joo S.-J., Son J.-H., Lee H.S., Jang J., Kim B.-S., Min B.-K., J. Electron. Mater,50, 4178 (2021)Google Search
21 
Chen S., Ren Z., Mater. Today,16, 387 (2013)Google Search
22 
Rausch E., Balke B., Stahlhofen J.M., Ouardi S., Burkhardt U., Felser C., J. Mater. Chem. C,3, 10409 (2015)Google Search
23 
Zhang H., Wang Y.M., Dahal K., Mao J., Huang L.H., Zhang Q.Y., Ren Z., Acta Mater,113, 41 (2016)Google Search
24 
Hohl H., Ramirez A.P., Goldmann C., Ernst G., Wölfing B., Bucher E., J. Phys: Condens. Matter,11, 1697 (1999)Google Search
25 
Li X.-G., Huo D.-X., He C.-J., Zhao S.-C., Lu Y.-F., J. Inorg. Mater,25, 573 (2010)Google Search
26 
Zhao D., Zuo M., Wang Z., Teng X., Geng H., Funct. Mater. Lett,7, 1450032 (2014)Google Search
27 
Kumar N., Saini H.S., Singh M., Kashyap M.K., Mater. Today: Proc,26, 3478 (2020)Google Search
28 
Yang X., Jiang Z., Kang H., Chen Z., Guo E., Liu D., Yang F., Li R., Jiang X., Wang T., ACS Appl. Mater. Interfaces,12, 3773 (2020)Google Search
29 
Bahk J.H., Shakouri A., Phys. Rev. B,93, 1 (2016)Google Search
30 
Goldsmid H.J., Introduction to thermoelectricity,23-41, SpringerVerlag (2010)Google Search

Figures

Fig. 1.

(a) XRD patterns from the as-sintered Zr0.6-xTi0.4TaxNiSn samples, (b) magnified views of (220) peaks, which are deconvoluted to two peaks originating from two phases of different Zr/Ti molar ratios

../../Resources/kim/KJMM.2022.60/kjmm-2022-60-3-213f1.jpg
Fig. 2.

Electrical conductivity of Zr0.6-xTi0.4TaxNiSn samples

../../Resources/kim/KJMM.2022.60/kjmm-2022-60-3-213f2.jpg
Fig. 3.

(a) Carrier concentration vs. Ta content, and (b) carrier mobility vs. Ta content in Zr0.6-xTi0.4TaxNiSn alloys

../../Resources/kim/KJMM.2022.60/kjmm-2022-60-3-213f3.jpg
Fig. 4.

Seebeck coefficient of Zr0.6-xTi0.4TaxNiSn vs. temperature

../../Resources/kim/KJMM.2022.60/kjmm-2022-60-3-213f4.jpg
Fig. 5.

Power factor of Zr0.6-xTi0.4TaxNiSn vs. temperature

../../Resources/kim/KJMM.2022.60/kjmm-2022-60-3-213f5.jpg
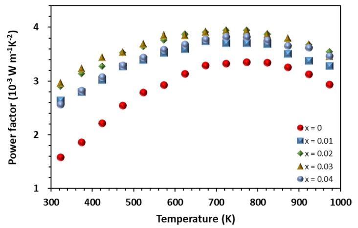
Fig. 6.

(a) Thermal conductivity, (b) Lorenz number, (c) electron thermal conductivity, and (d) lattice thermal conductivity of Zr0.6-xTi0.4TaxNiSn vs. temperature

../../Resources/kim/KJMM.2022.60/kjmm-2022-60-3-213f6.jpg
Fig. 7.

Figures of merit of Zr0.6-xTi0.4TaxNiSn vs. temperature

../../Resources/kim/KJMM.2022.60/kjmm-2022-60-3-213f7.jpg