(Yong-Wan Kim)
1
(Young-Geun Ha)
1*
Copyright © 2022 The Korean Institute of Metals and Materials
Key words(Korean)
self-assembled multilayer, hybrid gate dielectric, TFTs, ultralow-voltage operation
1. Introduction
Wearable biosensors built from innovative materials have attracted significant attention
in recent years because of their prospective applications, including flexible electronics,
thinfilm transistors (TFTs), or radio-frequency identification (RFID) [1-7]. Among advanced semiconductors, organic and polymer materials have important advantages,
such as low cost and flexibility. To achieve a level of high performance the TFTs
must have adequate source-drain current (ISD) and operate in the ultralow-voltage range (< ± 2 V). Despite a significant number
of improvements, the large operating voltages of organic and polymeric semiconductor-based
TFTs, with intrinsically low semiconductor mobilities, impede their further application
[8]. To achieve TFTs with the optimum low voltage operation, the capacitance per unit
area of gate dielectric (Ci) should be increased, either by enhancing the dielectric constant (k) or by reducing the thickness (d) of the dielectric film. Capacitance is determined
using Eq. 1, where d is the film thickness, k is the dielectric constant of the material, and ε0 is the vacuum permittivity.
A typical approach to increase the capacitance of dielectrics is to utilize high-dielectric-constant
materials, such as zirconia, hafnia, and alumina [9]. However, the high-temperature process (over 400 °C) required to achieve electric
properties suitable for gate dielectrics has been a major challenge in the development
of flexible electronic devices on plastic substrates [10]. Alternatively, by reducing the thickness of the dielectric film, nanoscopic self-assembled
mono- or multi-layer dielectrics can be produced which exhibit enhanced capacitance.
In addition, such dielectrics can be fabricated using solution-phase processing at
low temperatures, thereby reducing fabrication costs [11-12].
This research group previously reported novel self-assembled multi-layer hybrid dielectrics
fabricated by the iterative stacking of self-assembled organic layers between high-k
oxide thin films [13]. With their lower thickness and higher dielectric constant these dielectric films
exhibited dramatically enhanced capacitance. However, a complicated multi-step fabrication
process was required to ensure adequate insulation, as the self-assembled organic
layers have a low film density because of the short length of the hydrocarbons. Therefore,
to achieve excellent insulation with large capacitance while reducing the cost of
multi-step processing, the density of the self-assembled organic layers must be improved.
In this study, we synthesized hydrocarbon-based bifunctional phosphonic acid with
longer chains (C10; ten carbon atoms) than those used in previous studies (C8; eight
carbon atoms). We fabricated organic-inorganic hybrid multi-layers with efficient
and dense self-assembled organic layers between high-k hafnium oxide thin layers to improve the insulating properties of the gate dielectrics.
Consequently, the fabricated hybrid dielectrics exhibited excellent dielectric properties,
high thermal stability, and a smooth surface despite the one-layer deposition of bifunctional
organic molecules in the hybrid layer. Moreover, the surface characteristics of these
hybrid films can be modified by facile solution dipping of the hydrocarbon self-assembled
monolayers (SAMs). Subsequently, the hybrid dielectric films were incorporated with
various types of organic and inorganic semiconductors, to demonstrate the dielectric
in an ultralow voltage operating TFT.
2. Experimental Details
Materials. The precursor solutions for hafnium oxide were prepared using commercially available
hafnium (IV) chloride (Aldrich). n-octadecyl phosphonic acid (ODPA) from Alfa Aesar
was used to prepare the hydrophobic SAMs. Pentacene (TCI) was employed as an organic
semiconductor without additional purification. Indium (III) nitrate hydrate (99.9%,
Aldrich) was used as the precursor to form indium oxide thin films.
Fabrication and characterization of the self-assembled hybrid gate dielectric films. n++-silicon wafers, as the gate electrode and substrate, were treated by ultrasonic cleaning
in EtOH for 2 min and blown with an N2 stream to dry. Then, the substrates were UV-ozone cleaned for 5 min to improve their
wettability. A precursor solution of 0.1 M hafnium (IV) chloride (HfCl4) in ethanol was prepared, and nitric acid (70%, molar ratios of HfCl4 and HNO3 = 1:10) were mixed. The precursor was stirred for hafnium sol hydrolysis at 50 °C
for 4 h. To fabricate the first HfOx base layer, the 0.01 M HfCl4 solution was applied (5000 rpm, 40 s) to a Si substrate, and annealed at 150 °C for
20 min to produce the HfOx base thin film. Afterward, 1,12-dodecanediylbis (phosphonic acid) (DDBPA), a bifunctional
phosphonic acid-based organic molecule, was prepared using a two-step procedure and
was synthesized and characterized by conventional analytical/spectroscopic techniques
(see the Supporting Information for the synthetic and characterization details).
For the DDBPA deposition in the hybrid multilayer, the base HfOx thin-film coated substrate was immersed into 1.0 mM of DDBPA in ethanol for 30 min.
After cleaning in ethanol, the DDBPA-coated substrate was blown with an N2 stream to dry. To complete one layer of the hybrid multilayer (1 L), another hafnium
precursor solution was applied, and the coated substrate was cured at 150 °C for 20
min to produce a HfOx top thin layer. To form two layers of the hybrid multilayer (2 L), the successive
self-assembly of DDBPA and spin-coating of HfOx was repeated. For compatibility with an organic semiconductor, 1 L was finally dipped
in 2.0 mM of n-octadecyl phosphonic acid (ODPA) in ethanol for 1 h. The dipped substrates
were cleaned with copious amounts of ethanol and then blown under an N2 stream. The surface morphologies of the fabricated gate dielectric films were assessed
using atomic force microscopy (AFM, PSIA XE-150). The surface properties of the dielectrics
were analyzed using a commercial static water contact angle (WCA) system (Phoenix-I,
SEO).
Fabrication and characterization of capacitor and transistor devices using the self-assembled
hybrid multilayer gate dielectrics. To assess the electrical characteristics of the gate dielectrics, MIS structures
were constructed using aluminum (Al) dots placed directly onto the self-assembled
hybrid dielectrics using a shadow mask under ultrahigh vacuum (UHV; ~ 10-6 Torr). To characterize the performance of the TFTs containing the self-assembled
hybrid dielectrics, organic TFTs were constructed with a 40 nm pentacene thin film
on the hybrid dielectrics, followed by gold (40 nm) as source/drain electrodes using
a shadow mask under UHV. For the precursor of the amorphous oxide semiconductor, 0.1
M of indium nitrate hydrate solution in deionized water was prepared and was deposited
onto the self-assembled hybrid multilayer dielectrics via a spin-coating method. The
deposited film was then thermally treated at 250 °C for 30 min. To achieve the transistor
structure, source/drain Al electrodes were deposited through a shadow mask under UHV.
The current-voltage (I-V) properties of the TFTs were assessed using an HP4145B semiconductor
parameter analyzer. Capacitance was assessed using an HP 4192A impedance analyzer.
3. Results and Discussion
We characterized the solution-phase processed hybrid dielectric films with bifunctional
self-assembled organic molecules and ultrathin high-k hafnium oxide. To confirm their
surface energy and uniformity, the hybrid dielectric films were analyzed using standard
surface characterization methods. In this way we demonstrated that the hybrid film
formation procedure resulted in thermally stable, surface-energy-tunable, and smooth
films, resulting in excellent dielectric properties including high capacitance and
insulating performance. Finally, the prepared hybrid multilayer gate dielectrics were
integrated with an organic semiconductor (pentacene) and an amorphous oxide semiconductor
(indium oxide) to demonstrate ultralow-voltage TFTs.
3.1 Characteristics of the self-assembled hybrid multilayer dielectrics
In general, hydrocarbon SAMs that include fewer than ten carbons produce disorganized
molecular layers, due to insufficient van der Waals molecular interactions among the
SAMs [14]. To increase the density of the self-assembled organic layers in hybrid films to
improve their dielectric properties, our previous bifunctional phosphonic acid-based
molecules (including eight carbon atoms) [13] were modified with DDBPA with longer hydrocarbon chains (ten carbon atoms), which
generally show ordered and dense molecular assemblies.
To generate the hybrid multilayer dielectric, DDBPA with bifunctional phosphonic acid
was self-assembled between the phosphonate and HfOx layers by coordination of the phosphonate and hafnium oxides. On the first HfOx base layer on the Si substrate, a hybrid bilayer of DDBPA/HfOx was successively stacked to produce hybrid multilayers with different thicknesses
(1 L: DDBPA/ HfOx, and 2 L: DDBPA/ HfOx /DDBPA/ HfOx) (Fig 1).
For organic semiconductor-based TFTs, one layer of the hybrid multilayer (1 L) was
chosen as the gate dielectric. The hydrocarbon-based phosphonic acid (n-octadecyl
phosphonic acid; ODPA) self-assembled owing to the hydrophilicity of the top HfOx layer, due to both reduced surface energy and increased insulating property. The
top surface of the hybrid multilayer was HfOx, which is a hydrophilic surface with high surface energy due to hydroxyl groups (-OH)
on the metal oxide surface. The -OH groups negatively affect the operation of the
TFTs because the hydroxyl functional groups are positive charge traps [15].
To overcome this limitation, hydrocarbon-based SAMs were deposited on the surface
of the dielectrics to effectively remove the hydroxyl groups. Moreover, the low surface
energy characteristic of the hybrid dielectric films improved compatibility between
the dielectric surface and organic semiconductors during deposition. This influences
the arrangement of the organic semiconductor molecules, and thus the performance of
the TFTs [16]. In addition to lowering the surface energy, the additional layer of hydrophobic
SAMs on the dielectrics enhances the insulating properties of dielectric films by
providing an additional leakage barrier, resulting in improved performance of organic
thin-film transistors (OTFT) devices [17].
For these reasons, an ODPA with long hydrocarbon chains, providing the synergistic
benefits of a well-ordered organic semiconductor with insulating properties, was utilized
to improve the operating efficiency of the organic TFTs. After the application of
the ODPA layers on 1 L (1 L/ODPA), the surface property was dramatically changed to
hydrophobic (104 °), compared to the bare oxide surface (Fig 2a). For the solution-processable amorphous oxide semiconductor-based TFT, 2 L was used
as the gate dielectric to maintain the acceptable insulating property of the hybrid
film after thermal annealing during oxide semiconductor film formation. The surface
smoothness, which is an important factor affecting the performance of TFTs, was analyzed
using AFM. Fig 2b shows AFM images of the self-assembled hybrid dielectrics (1 L/ODPA and 2 L), which
are featureless with pinhole-free surfaces (RMS roughness < 0.24 nm), indicating that
the solution-processed hybrid multilayer films had very smooth surfaces.
To evaluate the dielectric performances of the selected hybrid dielectric films (1
L/ODPA for OTFTs and 2 L for AOS-TFTs) in organic and amorphous oxide semiconductor
TFTs, the insulating property and capacitance of the MIS capacitors were then assessed
for each of the hybrid dielectrics (Figs 2c and 2d). Fig 2c shows the leakage current and applied voltage data for the hybrid dielectrics. Compared
with the native oxide layer, which had extremely low dielectric strength, the leakage
currents of the self-assembled dielectric films were dramatically lower in the same
voltage range because of the excellent insulating properties of the hybrid layers.
Furthermore, the leakage current densities of DDBPA-based hybrid multilayer dielectrics
(1 L/ODPA and 2 L) were 10 times lower than those in a previous study using shorter
organic (C8)-based hybrid multilayers at the same operating voltage (2 V), confirming
that denser organic layers were assembled in each bilayer of the hybrid. Consequently,
the longer organic molecules improved the insulating property (C10) thanks to the
leakage barrier of the denser organic films. Note that all of the self-assembled hybrid
gate dielectrics have low leakage currents which are suitable for TFT operations.
The hybrid film (1 L/ODPA) for the OTFTs exhibited a relatively smaller capacitance
(800 nF/cm2) than the hybrid dielectrics (2 L) for AOS-TFTs (815 nF/cm2) (Fig 2d). This is because the organic ODPA has an intrinsically low dielectric property compared
to that of the HfOx inorganic layer.[18] However, the capacitance of these films was large enough because of the nanoscopic
thin layer, resulting in ultralow-voltage TFTs.
The dielectric performance data of the hybrid gate dielectrics are summarized in Table 1. Because the self-assembled hybrid dielectrics with dense organic molecule assemblies
showed excellent properties, including excellent insulating performance, capacitance,
and smooth surfaces, they were employed as gate dielectrics in TFTs with ultralow
operating voltages.
Amorphous oxide semiconductor films require an annealing procedure. To confirm their
formation, the thermal stability of the hybrid gate dielectric films was examined
in the MIS capacitor structure, by measuring the leakage current density as a function
of applied voltage after various thermal treatments (up to 300 °C). Fig 3 plots the J-V, indicating the hybrid films exhibited comparable insulating performance under a
similar voltage range (-2 V to + 2 V) before and after being heat-treated up to 300
°C. These results clearly show that the hybrid films properties have both thermal
and dielectric stability, making them suitable for high-temperature processes such
as inorganic semiconductor integration.
3.2 Characteristics of TFTs fabricated using the self-assembled hybrid multilayer
dielectrics
We next fabricated TFTs with pentacene and indium oxide as representative organic
and amorphous oxide semiconductors to verify the compatibility of our selfassembled
hybrid dielectrics with different semiconductor materials. Table 1 shows the performances of the organic and amorphous oxide TFTs employing the self-assembled
hybrid dielectrics. Based on the measured electrical performances, the OTFTs with
self-assembled hybrid dielectrics (1 L/ODPA) showed excellent performance, including
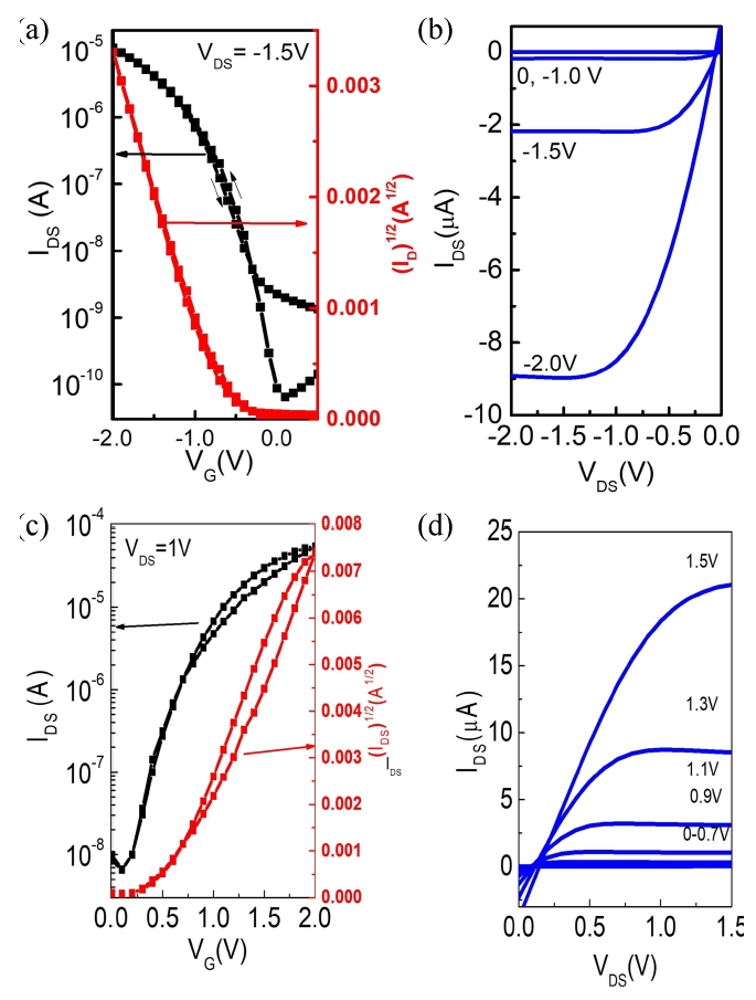
great mobility of 0.88 cm2/V·s and an Ion/Ioff of 105 at ultralow voltage operation with a low Vth of -0.6 V.
For the amorphous oxide semiconductor-based TFTs, the indium oxide TFTs with self-assembled
multilayer dielectrics (2 L) showed the best device performance. They exhibited excellent
I-V characteristics: mobility (μe) of 7.84 cm2/V·s, Ion/Ioff of ~104, and Vth of 0.5 V, better performance than the TFTs with HfOx dielectrics thermally annealed at 400 ºC (mobility of ~1.65 cm2/V·s, Ion/Ioff of ~105, and Vth of 0.3 V).
Fig 4 shows the standard electrical behaviors of the OTFTs operating at ultralow voltages.
These characteristics exhibited trivial hysteresis and were reproducible after 20
repeated operations. The average mobility was determined using the transfer data plot
(Figs 4a and 4c) using the square root of ID vs. VSD [19].
4. Conclusion
We demonstrated a facile solution process to fabricate novel self-assembled hybrid
multilayer dielectrics using phosphonic acid-based molecules and ultrathin hafnium
oxides. The self-assembled hybrid multilayer dielectric films had smooth, pinhole-free
surfaces and exhibited excellent thermal stability, capacitance, and insulating properties.
The surface chemical properties of the dielectric films can be modified using hydrophobic
phosphonic acid. Consequently, tuning the surface properties of the dielectric films
made them compatible with various semiconductors, such as organic and amorphous oxide.
A well-organized thin film was constructed on the hybrid dielectrics, resulting in
excellent TFT performances at ultralow operating voltages.
Acknowledgements
This work was supported by the Kyonggi University Graduate Research Assistantship
2020, and the Basic Science Research Program (2020R1F1A1062765) of the National Research
Foundation of Korea (NRF).
REFERENCES
Klauk H., Chem. Soc. Rev,39, 2643 (2010)

Sirringhaus H., Adv. Mater,26, 1319 (2014)

Zang Y., Zhang F., Huang D., Gao X., Di C., Zhu D., Nat. Commun,6, 6269 (2015)

Yu X., Marks T. J., Facchetti A., Nat. Mater,15, 383 (2016)

Miyamoto A., Lee S., Cooray N. F., Lee S., Mori M., Matsuhisa N., Jin H., Yoda L.,
Yokota T., Itoh A., Sekino M., Kawasaki H., Ebihara T., Amagai M., Someya T., Nat.
Nanotechnol,12, 907 (2017)

Choi W.-S., Korean J. Met. Mater,59, 314 (2021)

Choe S.-H., Jang J.-K., Kim H.-J., Choi J.-W., Heo S.-B., Kim Y.-S., Kong Y.-M., Kim
D., Korean J. Met. Mater,59, 545 (2021)

Ha Y. G., Everaerts K., Hersam M. C., Marks T. J., Acc. Chem. Res,47, 1019 (2014)

Ortiz R. P., Facchetti A., Marks T. J., Chem. Rev,110, 205 (2010)

Robertson J., Reports Prog. Phys,69, 327 (2006)

Ma H., Acton O., Hutchins D. O., Cernetic N., Jen A. K.-Y., Phys. Chem. Chem. Phys,14,
14110 (2012)

Kim M. J., Pak K., Hwang W. S., Im S. G., Cho B. J., ACS Appl. Mater. Interfaces,10,
37326 (2018)

Byun H. R., You E. A., Ha Y. G., ACS Appl. Mater. Interfaces,9, 7347 (2017)

Brzoska J. B., Shahidzadeh N., Rondelez F., Nature,360, 719 (1992)

Yoon M.-H., Kim C., Facchetti A., Marks T. J., J. Am. Chem. Soc,128, 12851 (2006)

Hulea I. N., Fratini S., Xie H., Mulder C. L., Iossad N. N., Rastelli G., Ciuchi S.,
Morpurgo A. F., Nat. Mater,5, 982 (2006)

Klauk H., Zschieschang U., Pflaum J., Halik M., Nature,445, 745 (2007)

Xiao M., Qiu C., Zhang Z., Peng L. M., ACS Appl. Mater. Interfaces,9, 34050 (2017)

Horowitz G., Hajlaoui M. E., Adv. Mater,12, 1046 (2000)

Figures and Table
Fig. 1.
(a) Schematic view of TFT device structure using selfassembled multilayer hybrid dielectrics.
(b) Fabrication procedure of self-assembled hybrid dielectrics (i) applying HfOx first base layer, (ii) formation of self-assembly of DDBPA, (iii) applying HfOx top layer, (iv) self-assembly of ODPA for 1 L/ODPA, and (v) DDBPA and another HfOx layer to complete 2 L.
Fig. 2.
(a) WCAs and (b) AFM images with different self-assembled hybrid multilayer surfaces
(1 L/ODPA and 2 L). (c) Leakage current densities vs. applied voltage and (d) capacitance–frequency
properties of self-assembled multilayer hybrid dielectrics.
Fig. 3.
Leakage current density vs. voltage plots for post-annealing of self-assembled hybrid
gate dielectrics.
Fig. 4.
Device performances of TFTs with self-assembled hybrid dielectrics. (a) Output and
(b) transfer plots of organic TFTs with hybrid multilayer gate dielectrics (1 L/ODPA).
(c) Output and (d) transfer plots of amorphous oxide TFTs with hybrid multilayer gate
dielectrics (2 L). (IDS:drain-source current, VG: gate voltage, VDS: drain-source voltage)
Table 1.
Device properties of hybrid dielectric films and TFTs with hybrid dielectrics.
|
Hybrid Multilayer Gate Dielectrics
|
Dielectric property
|
TFT
|
|
Capacitance (nF/cm2)
|
Leakage current (A/cm2)
|
WCA (°)
|
Semiconductor
|
Mobility (cm2V-1s-1)
|
On/off ratio
|
Vth (V)
|
|
1 L/ODPA
|
800
|
3.16 10-6 |
104
|
pentacene
|
0.88
|
105 |
-0.6
|
|
2 L
|
815
|
1.56 10-6 |
23
|
In2O3 |
7.8
|
104 |
0.5
|