전용민
(Yong Min Jeon)
1
유시홍
(Si Hong Ryu)
1
김선호
(Seon Ho Kim)
1
이성의
(Seong Eui Lee)
1*
-
한국산업기술대학교 신소재공학과
(Department of Advanced Materials Engineering, Korea Polytechnic University, Gyeonggi-do
15073, Republic of Korea)
Copyright © 2022 The Korean Institute of Metals and Materials
Key words
ceramic heater, Si3N4, protecting layer, electrode, MoO3
1. 서 론
플립칩 본딩과 같은 반도체 제조공정, 증착 장비 등에 사용되는 세라믹 히터는 주로 Al 2 O 3와 AlN 같은 재료가 사용되고 있다. 이러한 재료는
높은 열전도율과 절연특성이 뛰어나 히터 소재로 주로 사용되고 있다. 하지만 공정에서 요구되는 가열 성능이 높아지고 사용되는 온도영역이 증가하며 급격한
온도의 상승 및 하강이 빨라지고 이에 따라 깨짐, 파손과 같은 기계적 파괴와 절연특성의 파괴 같은 재료적인 한계가 나타나고 있다[1-4]. 본 연구에서는 기계적 특성이 뛰어난 기판에 MoO3 파우더를 사용하여 안정성이 높고 가열 성능이 우수한 세라믹 히터 소자에 관해 연구하였다. 본 연구의 히터구조는 기판, 전극, 보호막 순서의 층으로
Si3N4 의 용융온도보다 저온에서 공정을 위해 모든 후막층에 저융점의 글라스 프릿을 사용했고, 히터 소자의 기판으로는 낮은 열팽창계수와 강도가 우수한 질화규소(Si3N4)를 기판으로 사용하였다[5]. 그리고 전극 소재로 높은 전기전도도와 열전도도를 가지고 있고 접합성이 우수한 Ag-Pd와 열팽창계수, 저항의 조절을 위해 MoO3 파우더를 사용하였다. 또한, 보호막층의 소재로 기판과 같은 소재인 질화규소 파우더를 사용했고, 전극과 접합력을 보완하기 위하여 MoO3 를 사용하였다. 보호막층과 전극층에서 소성 시 질화규소와 MoO3 가 소재 간에 결합에 끼치는 영향을 알아보기 위해 질화규소 파우더와 글라스 프릿을 70 : 30의 기준으로 MoO3 파우더를 5 wt%, 10 wt%, 15 wt%, 20 wt%, 25 wt% 의 비율로 첨가 후에 소성을 하여 결정성을 확인하였다. 또한 MoO3 파우더가 10 wt% 첨가된 페이스트의 소성온도를 750 °C, 800 °C, 850 °C, 1000 °C, 1200 °C를 조건변수로 소성온도에
따른 결정변화를 확인하였다. 각 조건별로 소성된 보호막과 전극층을 X-Ray Diffraction(SmartLab Rigaku 9 kW)와 Scanning
Electron Microscope(Nova NanoSEM 450), EDS(energy dispersive X-ray spectroscopy)를
사용하여 분석하였고 분석결과 글라스 프릿(ZnO-PbO-Al2O3-SiO2)과 질화규소 파우더가 공유결합 하여 생성된 석출상인 사이알론(SiAlON)에 의하여 물리적, 화학적으로 접합된 것을 확인하였다. MoO3 와 질화규소의 비율과 소성온도에 따라 결정의 크기가 23.05 nm 에서 51.47 nm로 격자변형률이 8.26×10-3 에서 16.38×10-3 으로 변화하는 것을 확인하였다[6]. 또한 Ag-Pd전극 페이스트에 MoO3 파우더를 첨가하여 저항을 조절하였고 적정 비율 20%로 히터소자를 적층하여 온도편차 평가를 진행하였다.
2. 실험 방법
2.1 보호막층 및 전극 페이스트 제조
본 실험에서 보호막층은 Si3N4 powder, MoO3 powder, glass frit을 페이스트로 제조하여 Screen printing으로 적층하였다. 질화규소 기판에 접합 향상을 위해 질화규소 파우더를
사용하였고 전극과의 접합 향상을 위한 MoO3 파우더 그리고 저온공정에서의 소결을 위한 ZnO-PbO-Al2O3-SiO2 계 글라스 프릿을 사용하였다.
보호막층 페이스트의 배합 조건은 표 1과 같이 질화규소 파우더와 글라스 프릿을 80 : 20을 기준으로 MoO3 파우더를 5 wt%, 10 wt%, 15 wt%, 20 wt%, 25 wt%의 비율로 첨가 하였다.
표 2는 질화규소 파우더와 글라스 프릿을 80 : 20에 MoO3 파우더를 10 wt% 첨가한 페이스트를 750 °C, 800 °C, 850 °C, 1000 °C, 1200 °C의 온도로 소성하여 소결온도에 따른
변화를 확인하였다.
이러한 조건대로 배합비율을 정하고 그림 1과 같은 공정 방법으로 제조하였다. 보호막층은 질화규소 파우더와 MoO3 파우더 그리고 글라스 프릿을 ball-mill로 혼합하고 페이스트의 점도를 맞추기 위하여 ethyl cellulose계 바인더를 40 wt% 혼합한
후에 분산제를 0.1 g 첨가하고 3-roll-mill 을 사용하여 페이스트 혼합을 진행해 균일한 점도의 페이스트를 제조하였다.
표 3은 전극 페이스트의 배합 조건으로 8 : 2비율의 Ag-Pd에 MoO3 파우더를 10 wt%, 20 wt% 30 wt%, 40 wt% 를 첨가하여 800 °C, 10 min 소성 후에 저항을 확인하였다. MoO3 의 비율로 저항을 조절하여 히터의 발열기능을 최적의 조건으로 조절할 수 있었고 보호막층과의 접합력을 향상시킬 수 있다.
2.2 전극 패턴 설계
히터 소자 전극의 패턴은 그림 2와 같은 형태로 전극의 폭과 두께를 변화하여 설계하였다. 표 4는 전극두께와 폭의 설계조건으로 전극 사이의 폭은 200 μm, 300 μm와 400 μm로 정하고 각각의 전극두께는 200 μm, 300 μm,
400 μm, 500 μm로 설계하여 저항을 확인하였고 열의 분포를 확인하였다.
2.3 히터 소자 설계
히터 소자는 그림 3과 같이 기판위에 Ag-Pd-MoO3 전극을 적층 후에 800 °C에서 10 min 소성하였다. 그리고 보호막층을 적층한 후에 850 °C에서 30 min 소성하였다. 그리고 전극층
양극단에 Ag페이스트를 이용하여 contact 전극을 적층하였다. 적층공정은 각 층의 조건에 따른 페이스트를 이용하여 screen printing기법을
사용하였고 소성 과정을 통하여 강한 접합력을 확보하였다. Ag-Pd는 8:2비율의 파우더를 사용하였고 저항이 낮아 쇼트가 생기는 것을 해결하고 열적특성을
향상시키기 위해 MoO3 파우더를 표 3과 같은 조건으로 첨가하여 페이스트를 제작하였다. Ag-Pd에 첨가되는 MoO3 비율이 높아짐에 따라서 저항이 83Ω에서 28kΩ까지 높아지는 것을 확인하였고 히터로 쓰이기 적절한 저항인 20 wt%를 첨가비율로 선정하였다.
3. 결과 및 고찰
3.1 MoO3 비율에 따른 XRD 및 EDS 분석
그림 4는 글라스 프릿과 질화규소 파우더를 8 : 2의 비율로 배합하고 MoO3 파우더를 5 wt%, 10 wt%, 15 wt%, 20 wt%, 25 wt%의 비율로 첨가한 보호층 페이스트를 850 °C 로 소성 후에 후막을
XRD(X-ray diffraction)를 사용하여 분석한 그래프이다. XRD peak를 분석한 결과 MoO3와 질화규소의 peak이 나타났고 MoO3 첨가 비율이 높아짐에 따라서 main peak이 왼쪽으로 이동되고 결정사이즈가 커진 것으로 측정되었다. 결정크기의 변화폭이 2배정도로 크게 나타났고
Williamson-Hall방정식을 통해 결정의 크기가 작아지면 변형률이 반비례로 증가하는 것을 확인할 수 있다.
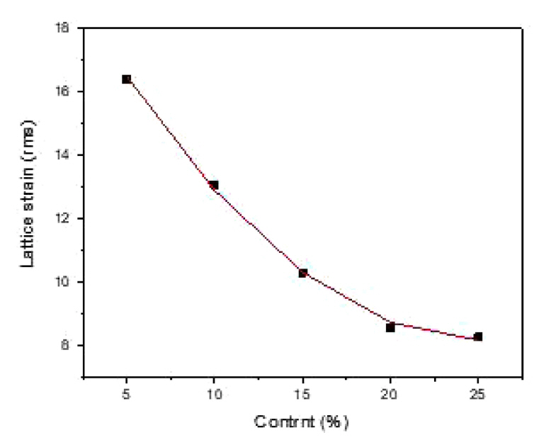
그림 5, 그림 6은 Frit : Si3N4 를 8 : 2기준으로 MoO3 가첨가된 페이스트의 격자변형, 결정크기를 각각 비교한 추세선 그래프로 25 wt%에서 51.47 nm로 가장 큰 결정크기가 나타났고 8.26×10-3 의 작은 격자변형률이 나타났다. 5 wt%의 첨가 비율에서 23.05 nm로 가장 작은 결정크기와 16.38×10-3 의 큰 격자변형률이 나왔다. 이러한 결과로 MoO3 가 첨가될수록 변형률이 감소하여 재료 간에 접합이 안정화되는 것을 알 수 있었다[7-12].
히터소자 적층 간 확산과 각 층의 성분을 확인하기 위해 SEM과 EDS를 통하여 분석을 진행하였다. 그림.7은 SEM측정 사진으로 기판과 전극층 그리고 보호막층으로 나누어 EDS를 분석하였다. 표 4는 각 층의 원소 비율로 (3)에서 기판의 주성분인 Si의 비율이 가장 높고 글라스 프릿으로 인한 석출상인 사이알론으로 Al이 검출되었다. 그리고
Ag와 Mo의 성분은 전극층에서 확산된 것으로 보인다. (2)번의 전극층에선 전극소재인 Ag와 Mo의 비율이 가장 높게 나왔고 (1)번의 보호막층에선
Si가 가장 높게 검출 되었고 높은 비율의 글라스 프릿으로 사이알론이 다른 층에 비해 많이 석출되었다. 또한 Ag가 전극층으로 부터 확산되었다.
3.2 소성온도에 따른 XRD 분석
그림 8은 글라스 프릿과 질화규소 파우더의 비율을 8 : 2로 배합하고 MoO3 파우더를 10 wt%비율로 첨가한 페이스트를 750 °C, 800 °C, 850 °C, 1000 °C, 1200 °C의 온도로 소성한 샘플을 XRD(X-ray
diffraction)를 사용하여 분석한 그래프이다. XRD의 측정 결과 질화규소와 MoO3 의 peak 이 나타났고 온도가 높아질수록 결정의 사이즈가 작아지고 격자의 변형이 커지는 경향성을 보였다.
그림 9, 그림 10은 Frit : Si3N4를 8 : 2기준으로 MoO3 파우더가 10 wt%첨가된 페이스트의 소성온도에 따른 결정 크기와 격자변형의 추세선으로 낮은 온도의 750 °C에서 가장 큰 결정 크기인 52.10
nm가 나타났고 가장 작은 격자변형률인 7.24×10-3 이 측정되었다. 850 °C 이상 에서 경향과는 다른 작은 결정크기와 큰 격자변형이 나타났고 원인으로는 850 °C 이상에서 글라스 프릿의 용융이
일어나 wetting되고 소재들이 재결합 되면서 결정의 크기가 작아지고 응력이 커진 것으로 판단된다.
3.3 온도특성 비교
표 5와 같은 조건으로 설계된 히터 소자의 온도편차를 평가하였고, 온도편차 평가는 히터소자의 목표온도 300 °C에 이르는 시간과 히터 면에서 두 지점의
온도편차를 측정하였다. 온도편차는 히터면의 중심점과 대각선 모서리 점을 측정 하였으며 전극의 폭과 두께가 얇아질수록 낮은 온도편차가 측정되었다. 가장
낮은 온도편차는 전극의 폭과 두께가 (200 μm, 200 μm)으로 가장 얇게 구현된 패턴이었고 1 °C에서 1.5 °C의 온도편차가 측정되었다.
같은 전압에서 300 °C까지의 온도증가 속도 또한 (200 μm, 200 μm)가 5 min정도 빠른 속도를 보였고 300 °C이상의 온도도 올라가는
것을 확인하였다. 전극의 폭과 두께가 넓어질수록 저항이 낮아졌고 (500 μm, 500 μm) 이상에선 쇼트가 나는 현상을 보였다. 히터가 쓰이는
공정에 따라서 인가되는 전압이 다르고 쓰이는 온도가 다르기 때문에 공정 조건에 맞는 전극의 폭과 두께 선정이 중요하다.
4. 결 론
본 연구에서는 질화규소 기판을 기반으로 MoO3 파우더를 첨가한 페이스트를 이용하여 기계적 신뢰성이 높고 히터의 가열기능이 우수한 세라믹 히터 소자를 제작하였다. 그리고 적층된 페이스트소재 간의
결정성변화를 확인하여 최적의 배합조건을 찾고 소재들을 matching하여 문제를 개선하는 연구를 하였다.
히터의 전극부분이 노출, 산화되는 것을 보호하기 위하여 보호막층을 사용하였고 질화규소 파우더, MoO3 파우더, 저융점 글라스 프릿을 사용하여 페이스트를 제조하였다. 기판과 같은 성분의 질화규소 파우더를 사용하였고 전극부분에 들어가는 MoO3 파우더를 혼합하여 기판과 전극층, 보호막층의 접합을 개선하였다. 이렇게 조건별로 만들어진 각층의 페이스트를 스크린 프린팅 기법을 사용해 적층하였고
MoO3 파우더의 첨가함량과 온도에 따른 결정성변화를 확인하였다.
소결온도와 MoO3의 첨가함량에 따른 XRD 데이터를 비교분석하였고 함량이 높아질수록 결정의 크기가 커지고 격자변형률은 작아지는 것을 확인하였다. MoO3 파우더의 첨가함량에 따른 조건의 데이터는 경향성이 첨가 함량이 높아지면 큰 결정과 작은 격자변형으로 일정했다. 하지만 MoO3 첨가 함량이 20wt%이상은 큰 차이가 없고 첨가 함량이 20wt%이상 넘어가면 기판과 접착력이 떨어지기 때문에 20 wt%가 최적의 조건으로 보인다.
소성온도에 따른 조건의 데이터는 850 °C 이상에서 경향과는 다른 큰 격자 변형률과 작은 결정크기가 나타났고 이런 경향의 이유는 입자간의 결합에서
재결정이된 것으로 보인다. 해서 소결 온도는 800 °C에서 850 °C가 최적의 조건으로 판단된다.
전극층의 소재는 저항이 낮고 질화규소 기판과 접합성이 뛰어난 Ag-Pd를 사용하였다. 하지만 넓은 전극패턴에서는 너무 낮은 저항으로 쇼트가 발생하였고
적절한 저항의 조절을 위해 Ag-Pd에 MoO3 파우더를 20 wt%첨가하여 최적의 페이스트 조건을 탐색하였다.
전극층 패턴은 전극 폭과 두께를 변화하여 설계하였고 전극층의 페이스트는 MoO3 파우더의 첨가함량을 이용하여 저항을 조절하였다. 전극 패턴의 온도편차 평가는 동일한 전압에서 300 °C까지 상승되는 시간과 히터기판의 두 점을
측정해 온도의 차이를 확인하였다. 전극폭과 두께가 가장 짧은 (200 μm, 200 μm)에서 가장 빠른 가열과 높은 온도가 올라가는 것을 확인했다.
온도편차 또한 1 °C에서 1.5 °C 로 가장 낮은 온도편차가 측정되었다.
히터소자 각층의 SEM과 EDS 데이터를 분석하여 층마다 분포 되어있는 성분을 확인하였다. 보호막층은 질화규소 파우더의 주성분인 Si가 주로 나왔지만
Ag가 전극층에서 확산되었고 전극층에서 Ag와 Mo가 주로 나왔지만 보호막층에서 Si가 확산되었다. 이러한 소재간의 확산에 의한 결합과 MoO3 에 의한 응력완화로 안정성이 높고 견고한 히터소자를 구현할 수 있다.
Acknowledgements
본 연구는 교육부가 지원하는 한국연구재단(NRF)을 통한 우선순위 연구센터 프로그램의 지원과 산업통상자원부의 차세대지능반도체 기술개발사업 ‘‘Fan-Out
반도체 Packaging을 위한 Plasma처리 장치 개발’’의 지원을 받아 수행된 연구결과다(Grant No. 20011196)(NRF-2017R1A6A1A03015562).
REFERENCES
Kim H. Y., 파워모듈용 세라믹 기판기술 (첨단기술정보 분석),1-6, ReSEAT (2015)

Y. J. Park, J. -U. Go, J. -M. Kim, J. -W. Lee, and H. D. Kim, 파워디바이스용 고열전도율 질화규소 기판
소재, https://scienceon.kisti.re.kr/commons/util/originalView.do?cn=JAKO201209857782969&oCn=JAKO201209857782969&dbt=JAKO&journal=NJOU00291414,
(2012)
H. J. Lee and S. H. Son, 새로운 LTCC 조성물 개발 동향, https://scienceon.kisti.re.kr/commons/util/originalView.do?cn=JAKO201217355623238&oCn=JAKO201217355623238&dbt=JAKO&journal=NJOU00291414&keyword=%EC%83%88%EB%A1%9C%EC%9A%B4%20LTCC%20%EC%A1%B0%EC%84%B1%EB%AC%BC%20%EA%B0%9C%EB%B0%9C%20%EB%8F%99%ED%96%A5,
(2012)
D. W. Ahn and M. H. Park, 반도체용 세라믹 히터의 산업및 기술 동향, https://scienceon.kisti.re.kr/commons/util/originalView.do?cn=JAKO201715565836565&oCn=JAKO201715565836565&dbt=JAKO&journal=NJOU00291414&keyword=%EB%B0%98%EB%8F%84%EC%B2%B4%EC%9A%A9%20%EC%84%B8%EB%9D%BC%EB%AF%B9%20%ED%9E%88%ED%84%B0%EC%9D%98%20%EC%82%B0%EC%97%85%20%EB%B0%8F%20%EA%B8%B0%EC%88%A0%20%EB%8F%99%ED%96%A5,
(2017)
Oh Y. S., J. Korean Ceram. Soc,40, 954 (2003)

Zheng G., Zhao J., Jia C., Tian X., Dong Y., Zhou Y., Int. J. Refract. Met. Hard Mater,35,
55 (2012)

Purushotham E., Krishna N. G., Bull. Mater. Sci,36, 973 (2013)

J. G. Lee, 고분해능 XRD를 이용한 반도체 박막의 구조특성 분석, http://www.riss.kr/search/download/FullTextDownload.do?control_no=6223ad7ae510daff&p_mat_type=be54d9b8bc7cdb09&p_submat_type=f1a8c7a1de0e08b8&fulltext_kind=dbbea9ba84e4b1bc&t_gubun=&convertFlag=&naverYN=&outLink=K&nationalLibraryLocalBibno=&searchGubun=true&colName=bib_t&DDODFlag=&loginFlag=1&url_type=&query=,
(1999)
Gubicza J., Sze´pvo¨lgyi J., Mohai I., Zsoldos L., Unga´r T., Mater. Sci. Eng,280,
263 (2000)

Jeon J. H., Effect of electron irradiation energy on the electrical and optical property
of In₂O₃/Ti films,17-27, University of Ulsan (2016)

Mishra S K, Roy H, Lohar A K, Samanta S K, Tiwari S, Dutta K, IOP Conf. Ser. Mater.
Sci. Eng,75, 012001 (2015)

Cho M., Ryu S., Kim Y., J. Korean Inst. Met & Mater,47, 446 (2009)

Figures and Tables
Fig. 1.
Paste manufacturing processes.
Fig. 3.
Structural design of heater elements.
Fig. 4.
XRD data according to change with variation of MoO3 Addition ratio.
Fig. 5.
The trend line of the lattice strain according to the addition of MoO3.
Fig. 6.
The trend line of the lattice size according to the addition of MoO3.
Fig. 7.
EDS measurement range of heater element.
Fig. 8.
XRD data according to change with variation of sintering temperature.
Fig. 9.
The trend line of lattice strain according to sintering temperature.
Fig. 10.
The trend line of lattice size according to sintering temperature.
Table 1.
Paste condition table according to MoO3 ratio.
|
Glass Frit : Si3N4 |
MoO3wt%
|
|
8 : 2
|
25%
|
|
20%
|
|
15%
|
|
10%
|
|
5%
|
Table 2.
Paste condition table according to firing temperature.
|
Glass Frit : Si3N4 - MoO3 |
Temperature
|
|
8 : 2 - 10wt%
|
750°C
|
|
800°C
|
|
850°C
|
|
1000°C
|
|
1200°C
|
Table 3.
Resistance according to electrode paste conditions.
|
Ag-Pd
|
MoO3 addition(wt%)
|
Resistance
|
|
8 : 2
|
10%
|
83Ω
|
|
8 : 2
|
20%
|
3kΩ
|
|
8 : 2
|
30%
|
15kΩ
|
|
8 : 2
|
40%
|
28kΩ
|
Table 4.
Heater element EDS measurement data.
|
원소
|
보호막층 (1)
|
Ag-Pd 전극 (2)
|
Si3N4 기판 (3)
|
|
Mo
|
6.7 wt%
|
30.58 wt%
|
4.54 wt%
|
|
Si
|
18.32 wt%
|
3.73 wt%
|
21.31 wt%
|
|
Al
|
3.58 wt%
|
0.19 wt%
|
1.02 wt%
|
|
Ag
|
16.39 wt%
|
32.39 wt%
|
17.03 wt%
|
Table 5.
Measurement of temperature deviation according to electrode pattern conditions.
|
Electrode width
|
Electrode thickness
|
Temperature deviation
|
|
300 μm
|
200 μm
|
3°C
|
|
300 μm
|
3°C
|
|
400 μm
|
400 μm
|
3 - 4°C
|
|
500 μm
|
4 - 5°C
|
|
200 μm
|
200 μm
|
1 - 1.5°C
|