남우현
(Woo Hyun Nam)
1
임영수
(Young Soo Lim)
23*
-
한국세라믹기술원 소재융합고도화본부 전자융합소재센터
(Electronic Convergence Materials Center, Advanced Materials Convergence R&D Division,
Korea Institute of Ceramic Engineering & Technology, Jinju 52851, Republic of Korea)
-
부경대학교 스마트그린기술융합공학과
(Dept. Smart Green Technology Engineering, Pukyong National University, Busan 48513,
Republic of Korea)
-
부경대학교 신소재시스템공학과
(Dept. Materials System Engineering, Pukyong National University, Busan 48513, Republic of Korea)
Copyright © 2022 The Korean Institute of Metals and Materials
Key words
thermoelectric, tetradymite, antisite defect, spark plasma sintering
1. 서 론
Tetradymite(TD) 구조의 칼코겐화물은 우수한 열전성능으로 인하여 그동안 많은 관심을 받아왔다 [1-5]. TD 구조에서는 화합물을 이루는 각 원소의 단원자층이 c-축 방향으로 rhombohedral 구조(R-3m)를 이루면서 적층된다 [6-9]. 가장 단순한 TD 구조인 MV 2ChVI 3 (여기서 MV = Bi, Sb, 그리고 ChVI = S, Se, Te)는 각 단원자층이 5층으로 적층된 구조 (quintuple monoatomic layers, QML)를 이룬다 [6-9]. 이때 QML의 각 단원자층 사이에 존재하는 van der Waals gap으로 인하여 낮은 열전도도를 나타내는데, 특히 Bi2Te3계 화합물은 낮은 bandgap 에너지로 인하여 상온 근처의 온도에서 우수한 열전특성을 나타내는 대표적 열전소재이다 [1,10,11].
한편, TD 구조에서는 매우 다양한 homologous 화합물(MVChVI)의 형태가 존재한다. 예를 들어, PbBi2Te4는 7개의 단원자층 (septuple monoatomic layers, SML)이 하나의 block을 이루면서 3개의 SML block이 rhombohedral
구조로 적층된 결정구조를 가지고 [12], PbBi4Te7은 QML과 SML로 이루어진 block이 교대로 적층된 결정구조를 가진다 [13]. TD 구조 homologous 화합물은 단원자층으로 구성된 block에 조합에 의해 물성이 결정되는 특징을 가진다 [9,14]. 최근 들어서 Lee 등은 QML과 SML이 교대로 적층된 PbBi4Te7에서 전하농도, carrier lifetime, 유효 질량 등 전하 및 열전 수송현상의 주요 인자가 QML로 이루어진 Bi2Te3와 SML로 이루어진 PbBi2Te4의 평균값에 근사하다는 것을 실험과 이론으로 밝힌 바 있으며, 이러한 block간의 조합에 따른 열전특성 제어를 LEGO thermoelectrics로
명명하였다 [9].
우리 연구그룹은 또한 이러한 PbBi2Te4 화합물에서 Pb를 Sn으로 치환하며 열전특성의 변화를 보고한 바 있다 [2]. (Pb1-xSnx)Bi2Te4에서 x = 0.5까지는 n형의 특성을 나타내지만, 그 이상의 Sn 증가는 화합물의 특성을 p형으로 변화시켰다. 이는 Pb의 전기음성도 (2.33) 대비
Sn의 전기음성도 (1.96)가 Bi (2.02) 및 Te (2.1)의 전기음성도와는 큰 차이가 나지 않기 때문에, Sn이 Bi 또는 Te 자리를
치환하여 형성되는 p-형 antisite 결함을 그 원인으로 제시하였다 [2].
본 연구에서는 TD 구조 PbBi2Te4에서 Bi 자리를 Sb로 치환함에 따른 열전 수송특성 변화에 대해 처음으로 보고한다. 용융법으로 Sb의 함량을 변화시켜가면서 합성한 Pb(Bi2-xSbx)Te4 (0≤x≤1) 화합물에서 Sb의 함량변화에 따른 전기전도도, 제벡계수 등의 열전 수송특성과 함께 조성에 따른 화합물의 극성변화 및 bandgap
에너지 (Eg) 변화를 측정하였으며, 이러한 변화의 이유를 제시하였다.
2. 실험 방법
Pb(Bi2-xSbx)Te4 (x = 0, 0.5, 1) 분말은 진공 용융법으로 합성하였으며, Pb (99.995%, Sigma Aldrich), Bi (99.999%, 5N Plus),
Sb (99.999%, 5N Plus), Te (99.999%, 5N Plus)를 원재료로 사용하였다. 화학양론적으로 칭량된 원재료를 실리카 튜브에
장입한 후 진공을 뽑아주면서 밀봉하여 1073 K의 온도에서 5시간 용융하였다. 이후 균일한 상형성을 위하여 850 K의 온도에서 48시간 동안 열처리를
한 이후 수냉으로 급냉을 실시하였다. 이와 같이 열처리된 ingot을 유발로 분쇄하였으며, 분쇄된 분말을 방전 플라즈마 소결 (spark plasma
sintering, SPS)을 이용하여 60 MPa의 압력으로 753 K (100°C/min)의 온도에서 5분간 소결하였다. 합성된 시료의 상 분석은
X선 회절법 (XRD, D/MAX-2500/PC, Rigaku)을 통하여 수행하였으며, Sb 함량변화에 따른 격자상수의 정확한 비교를 위하여 소량의
Si 분말을 시료에 추가하여 분석을 수행하였다. 소결체의 미세구조 분석은 전계방사형 주사전자현미경 (Field-emission scanning electron
microscope, FESEM, JSM-6700F, JEOL) 을 통하여 수행하였다. 전기전도도와 Seebeck 계수는 4단자법 (ZEM-3, Ulvac
Riko)을 통해 측정하였으며, Hall 계수 측정법 (ResiTest 8300, Toyo Corporation)을 통해 고온 전하수송 특성을 분석하였다.
3. 결과 및 고찰
그림 1은 이상과 같이 제작된 Pb(Bi2-xSbx)Te4 분말의 XRD 회절패턴을 보여준다. Sb의 함량에 무관하게 회절패턴이 TD 구조를 가지는 PbBi2Te4 단일상 (JCPDS #38-1232)의 패턴과 잘 일치하는 것으로부터 모든 시료에서 단일상이 잘 형성된 것을 알 수 있다.
또한 Sb의 함량 증가에 따라 회절피크가 전체적으로 고각으로 이동하였다. 이러한 Pb(Bi2-xSbx)Te4 회절 피크의 고각 이동은 기준으로 사용된 Si (111)회절 피크 (*로 나타냄)의 위치와 비교하면 명확하게 관찰된다. 이는 Bi 대비 상대적으로
Sb의 이온반경이 작기 때문이며 따라서 Pb(Bi2-xSbx)Te4 화합물에서 Sb가 균일하게 Bi 자리를 치환하였음을 잘 보여준다 [15].
그림 2는 이상과 같이 합성된 Pb(Bi2-xSbx)Te4 분말을 SPS로 소결한 후 파단면에서 관찰된 주사전자현미경상을 보여낸다. 모든 소결체에서 Sb 함량과 무관하게 무질서한 방향으로 배열된 층상구조의
입계들이 관찰되며, Sb 함량에 따른 미세구조의 유의미한 차이는 관찰되지 않았다. 따라서 열전수송에 영향을 미칠 가능성이 있는 Pb(Bi2-xSbx)Te4 간의 구조적 차이는 관찰되지 않았으며, 본 연구에서 시료 간의 열전수송 특성에 대한 비교는 구조에 따른 이방성 효과를 고려하지 않고 진행할 수 있음을
확인하였다.
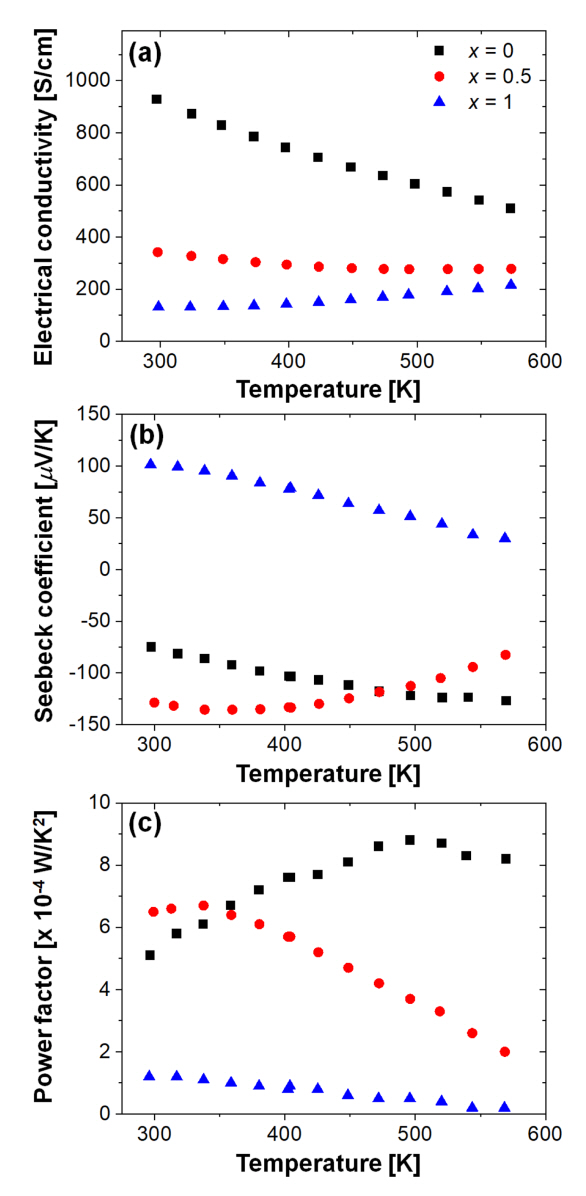
그림 3(a)는 Pb(Bi2-xSbx)Te4 소결체의 온도에 따른 전기전도도(σ)를 보여준다. Sb 치환이 증가함에 따라 전기전도도의 감소가 나타났다. x = 0일 때에는 온도증가에 따라 전기전도도가 지속적으로 감소하는 금속성 전기전도도를 나타내지만, Sb 함량이 증가함에 따라 온도가 증가하면서 전기전도도가
함께 증가하는 반도체 특성이 증가하였다.
그림 3(b)는 소결체의 Seebeck 계수(S)를 온도의 함수로 보여준다. x가 0.5로 증가할 때까지는 음의 값을 가지는 n형 Seebeck 계수가 관찰되었지만, x = 1일 경우에는 양의 값을 가지는 p형 제벡계수가 관찰되었다. Seebeck 계수는 아래의 식(1) 및 (2)와 같은 Pisarenko relation으로 나타낼 수 있다 [16].
여기에서 kB는 Boltzmann 상수, T는 절대온도, q는 전하량, h는 Planck 상수, md*는 상태밀도 유효질량, 그리고 n과 p는 각각 전자와 정공의 농도를 나타낸다.
x = 0인 경우에는 온도증가에 따라 전하농도의 변화가 없이 음의 Seebeck 계수가 선형적으로 증가하는 축퇴반도체의 특성이 나타났으며, 한편 x = 0.5에서는 고온에서 축퇴반도체의 특성이 감소하면서 온도증가에 따라 Seebeck 계수가 감소하는 반도체적 특성이 관찰되었다, 또한 x = 1인 경우에는 양의 Seebeck 계수가 온도증가에 따라 지속적으로 감소하는 전형적인 반도체적 특성이 관찰되었다. 이러한 Seebeck 계수의
온도의존성은 그림 3(a)에서 관찰된 전기전도도의 온도의존성과 잘 일치하였다.
이상과 같은 특성의 조합인 출력인자(power factor, PF = σS2)의 온도의존성을 그림 3(c)에 나타내었다. 상온 영역을 제외하고는 Sb를 치환하지 않은 시료에서 전체적으로 가장 높았으며, x = 1일 때 가장 낮은 출력인자가 관찰되었다. 이로부터 Sb 치환은 PbBi2Te4의 출력인자를 저감시키며, x = 1일 때에는 n형에서 p형으로 극성을 변화시킨다는 것을 알 수 있었다.
Sb 치환에 따른 Pb(Bi2-xSbx)Te4의 열전 수송특성을 보다 더 자세하게 이해하기 위하여 고온 Hall 계수 측정을 수행하였다. 먼저 그림 4(a)에 나타낸 상온에서의 전하농도를 살펴보면 x = 0일 때에는 전자가 다수 전하(majority carrier)였으며 농도는 ~1.6×1020/cm3으로 측정되었다. x = 0.5에서도 전자가 다수 전하였지만 농도는 ~5.5×1019/cm3로 감소하였고, x = 1에서는 정공이 다수전하로 극성의 변화가 관찰되었으며 정공의 농도는 ~3.3×1019/cm3로 측정되었다. 이상과 같이 Sb 함량의 증가에 따라 정공 농도가 선형적으로 증가하는 이유로는 Bi와 Sb간의 전기음성도 차이에 따른 p형 antisite
결함의 형성이 그 원인으로 여겨진다 [17-19]. Sb의 전기음성도는 2.05로 Bi (2.02) 대비 Te의 전기음성도인 2.10에 매우 가깝다. 따라서 Sb가 Te 자리를 차지하여 형성되는
antisite 결함 (SbTe’ + h)이 Sb 함량 증가에 따른 극성변화의 원인으로 여겨진다 [17-19]. 이러한 경향은 Bi2Te3계에 Sb를 치환할 때 관찰되는 일반적인 경향과 매우 잘 일치하며 [3], 그림 3(b)에서 관찰된 Seebeck 계수의 변화와도 잘 일치한다.
그림 4(b)에서는 Pb(Bi2-xSbx)Te4 화합물의 각 온도에서의 전하농도를 1/T의 함수인 Arrhenius plot으로 나타내었다, 이 그림에서 x가 0과 0.5일 때의 전하농도는 전자의 농도를 의미하며, x = 1에서의 전하농도는 정공의 농도를 나타낸다. x = 0인 경우에는 전자의 농도가 온도에 무관하였으며, 실험 온도범위 전 영역에서 ~1.6 x 1020/cm3로 일정하게 유지되었다. 이는 전형적인 축퇴반도체에서 나타나는 전하농도의 온도의존성이며, 따라서 그림 2(a)에서 관찰된 전기전도도의 금속성 온도의존성 및 그림 3(b)에서 관찰된 Seebeck 계수의 온도의존성과 잘 일치함을 알 수 있다.
한편, Sb가 치환됨에 따라 전하농도의 온도의존성은 점점 뚜렷해진다. x = 0.5인 시료에서는 상온 부근의 온도에서는 전하농도가 비교적 일정하지만 고온영역에서는 지수적으로 증가하여 Arrhenius plot에서 선형성이
관찰되었다. 이러한 전하농도의 지수적 증가는 진성 전하농도 (intrinsic carrier concentration)의 증가에 기인하는 것으로,
그래프상의 기울기가 2Eg/kB인 관계로부터 bandgap 에너지가 215 meV임을 계산하였다 [20]. 또한 x = 1인 시료에서의 bandgap 에너지는 660 meV로 측정되었다. 따라서 비록 x = 0인 PbBi2Te4의 bandgap 에너지는 축퇴반도체 특성으로 인하여 측정하지 못하였지만, Sb 증가에 따라 Pb(Bi2-xSbx)Te4 화합물의 bandgap 에너지가 증가함을 관찰하였다.
이는 같은 족 원소인 Bi와 Sb 중에서 Sb의 이온 반경이 작아서 Te와 상대적으로 강한 결합을 하기 때문으로 여겨지며 [15], 이러한 경향은 Bi2Te3와 Sb2Te3의 bandgap 에너지 차이에서도 마찬가지로 관찰되는 칼코게나이드계 반도체에서의 일반적 경향과 잘 일치한다 [14,15,21].
그림 4(c)는 Pb(Bi2-xSbx)Te4 화합물에서 이동도의 온도의 존성을 보여준다. x = 0과 0,5에서는 전자의 이동도이며, x = 1에서는 정공의 이동도를 의미하는데, 전자의 이동도가 정공에 비해 전 온도영역에서 매우 크다는 것을 알 수 있다. 특히 p형인 x = 1인 시료에서는 정공의 이동도가 온도 증가에 따라 급격히 감소하여, 비록 정공의 농도가 지수적으로 증가하여도 그림 3(a)에서 보이듯 전체적인 전기전도도는 n형에 비해 낮은 결과로 나타났다. 결국 이는 x = 1인 시료에서 관찰되는 낮은 출력인자의 근본적 원인이 되며, 따라서 본 연구에서는 x = 1까지만 Sb 함량를 변화시켜 연구하였다. 온도증가에 따른 이동도의 감소는 일반적으로 phonon 산란에 기인하는데, 가장 단순한 TD구조 화합물인
Bi2Te3계에서는 전자와 정공 모두 acoustic phonon 산란에 의해 이동도의 온도의존성은 T-3/2에 비례하여 감소하는 경향을 나타낸다 [3,22]. 그러나 PbBi2Te4에서는 이러한 경향을 따르지 않으며, 결함과 관련된 보다 복잡한 산란기구에 의해 지배된다고 보고되고 있으며 [2,9], 향후 보다 자세한 연구가 필요하다고 여겨진다.
4. 결 론
본 연구에서는 TD 구조 PbBi2Te4에 Bi 자리를 Sb로 치환한 Pb(Bi2-xSbx)Te4 (0≤x≤1) 화합물에서 Sb의 함량변화가 열전 수송특성에 미치는 효과를 제시하였다. 상온에서 ~1.6×1020/cm3 정도의 높은 전자농도를 나타내는 PbBi2Te4 (x = 0)는 온도 증가에 따라 전기전도도가 감소하며 음의 Seebeck 계수가 선형에 가깝게 증가하는 n형 축퇴반도체의 특성을 나타내었다. 그러나,
x = 0.5에서는 전자 농도가 선형적으로 감소(n ~ 5.5×1019/cm3)하면서 n형 반도체 특성을 나타내었고, Sb 함량이 x = 1로 증가하면 다수전하가 정공 (p ~ 3.3×1019/cm3)으로 변화하며 p형 반도체 특성을 나타내는 극성변화가 관찰되었다. 고온 Hall 계수 측정을 통해 반도체 특성을 나타내는 x = 0.5 와 x = 1인 시료의 bandgap은 각각 660 및 215 meV로 측정되었다. 본 연구에서 관찰된 Sb 함량에 따른 극성변화는 Sb의 전기음성도가
Bi보다는 Te의 전기음성도에 가깝기 때문에 형성되는 p형 antisite 결함의 형성에 기인하는 것으로 제시하였다. Sb 함량증가에 따른 전하농도의
감소로 인하여 x = 0.5에서는 상온부근에서의 출력인자의 증진이 가능하였지만, 전체적인 출력인자는 감소하는 특성을 나타내었다, 이러한 연구결과는 antisite
결함 제어를 통한 TD 구조 homologous 화합물의 열전특성 향상 연구에 도움이 될 것으로 기대한다.
Acknowledgements
본 연구는 부경대학교 자율창의연구비(2021년 하반기)의 지원으로 수행되었습니다.
REFERENCES
Goldsmid H. J., Materials,7, 2577 (2014)

Tak J.-Y., Lim Y. S., Kim J. N., Lee C., Shim J. H., Cho H. K., Park C.-H., Seo W.-S.,
J. Alloys Compd,690, 966 (2017)

Lim Y, S., Lee S., Korean J. Met. Mater,55, 651 (2017)

Lim Y. S., Song M., Lee S., Seo W. -S., Korean J. Met. Mater,55, 427 (2017)

Hwang U. G., Lim Y. S., Korean J. Met. Mater,57, 603 (2019)

Zahid F., Lake R., Appl. Phys. Lett,97, 212102 (2010)

Li X., Ren H., Luo Y., Appl. Phys. Lett,98, 083113 (2011)

Lee D. S., Kim T. -H., Park C. -H., Chung C. -Y., Lim Y. S., Seo W. -S., Park H. -H.,
Cryst. Eng. Comm,15, 5532 (2013)

Lee C., Kim J. N., Tak J. -Y., Cho H. K., Shim J. H., Lim Y. S., Whangbo M.-W., AIP
Adv,8, 115213 (2018)

Kim S. I., Lee K. H., Mun H. A., Kim H. S., Hwang S. W., Roh J. W., Yang D. J., Shin
W. H., Li X. S., Lee Y. H., Snyder G. J., Kim S. W., Science,348, 109 (2015)

Poudel B., Hao Q., Ma Y., Lan Y., Minnich A., Yu B., Yan X., Wang D., Muto A., Vashaee
D., Chen X., Liu J., Dresselhaus M. S., Chen G., Ren Z., Science,320, 634 (2008)

Kuznetsov V. L., Kuznetsova L. A., Rowe D. M., J. Phys. Chem. Solids,61, 1269 (2000)

Zhang L., Singh D. J., Phys. Rev. B Condens. Matter Mater. Phys,81, 245119 (2010)

Kretova M. A., Korzhuev M. A., Semiconductors,51, 902 (2017)

Smith M. J., Knight R. J., Spencer C. W., J. Appl. Phys,33, 2186 (1962)

Snyder G. J., Toberer E. S., Nat. Mater,7, 105 (2008)

Miller G. R., Li C. -Y., J. Phys. Chem. Solids,26, 173 (1965)

Horak J., Čermák K., Koudelka L., J. Phys. Chem. Solids,47, 805 (1986)

Hashibon A., Elsasser C., Phys. Rev. B,84, 144117 (2011)

Streetman B. G., Solid State Electronic Devices,76Prentice-Hall (1980)

Sehr R., Testardi L. R., J. Phys. Chem. Solids,23, 1219 (1962)

Jeong M., Tak J. -Y., Lee S., Seo W. -S., Cho H. K., Lim Y. S., J. Alloy. Compd,696,
213 (2017)

Figures
Fig. 1.
XRD patterns of Pb(Bi2-xSbx)Te4 compounds.
Fig. 2.
FESEM micrographs of fractured surfaces of Pb(Bi2-xSbx)Te4 compounds. (a) x = 0, (b) x = 0.5, and (c) x = 1.
Fig. 3.
Temperature-dependent (a) electrical conductivities, (b) Seebeck coefficients and
(c) power factors of Pb(Bi2-xSbx)Te4 compounds.
Fig. 4.
(a) Carrier concentration of the Pb(Bi2-xSbx)Te4 compounds as a function of the Sb content at room temperature. In this figure, q
is the charge of electron and hole, and e is the elementary charge of 1.6×1019 C. (b) Temperature-dependent carrier concentrations represented as a Arrhenius plot
and (c) temperature-dependent mobility of the Pb(Bi2-xSbx)Te4 compounds