๋ฐ์งํ
(Jinhwa Park)
1
์ ์์
(Youngung Jeong)
2*
-
์ฐฝ์๋ํ๊ต ์์ฌ์ตํฉ์์คํ
๊ณตํ๊ณผ
(Department of Materials Convergence and System Engineering, Changwon National University,
Changwon 51139, Republic of Korea)
-
์ฐฝ์๋ํ๊ต ์ ์์ฌ๊ณตํ๋ถ
(Department of Metallurgy and Materials Science and Engineering, Changwon National
University, Changwon 51139, Republic of Korea)
Copyright ยฉ 2022 The Korean Institute of Metals and Materials
Key words
elasto-visco-plasticity, crystal plasticity, triaxiality, finite element simulation, texture
1. ์ ๋ก
์ต๊ทผ ์ ๊ฐ์ ๊ธ์์น์ผ๋ก ์ธํด ๊ณ ์ฐ๋น ์ฐจ๋์ ๋ํ ์ ํธ๋๊ฐ ๋์์ง๊ณ ์๋ค. ๊ณ ์ฐ๋น ์ฐจ๋์ ์ฌ์ฉ๋๋ ๊ฒฝ๋ํ ๊ธ์ ์ค ์๋ฃจ๋ฏธ๋์ ์ฐ์ํ ๊ฐ๊ณต์ฑ๊ณผ ๋ด์์ฑ์
๊ฐ์ง๊ณ ์์ด ์ฌ๋ฌ ๋ถ์ผ์ ํ์ฉ๋๊ณ ์๋ ์ฌ๋ฃ์ด๋ค. ํนํ ์๋ฃจ๋ฏธ๋์ ์์ฒ ์ด 7.89 g/cm3์ ๋ฐ๋๋ฅผ ๊ฐ์ง๊ณ ์๋ ๊ฒ์ ๋ฐํด ์ฝ 2.7 g/cm3์ ๋ฎ์ ๋ฐ๋๋ฅผ ๊ฐ์ง๊ณ ์์ด[1] ์ฒ ๊ฐ์ฌ๋ฅผ ๋์ ํด ๋ค์ํ ์ฐจ๋ ๋ถํ ์ ์์ ์ฌ์ฉ๋๊ณ ์๋ค. ์๋์ฐจ์ฉ ๊ธ์ ํ์ฌ๋ ์์ฐ ๊ณต์ ๊ณผ์ ์์ ์ด์ฒ๋ฆฌ ๋ฐ ๋ณํ์ ์ํด ํน์ ๊ฒฐ์ ๋ฐฉ์ ๋ถํฌ๊ฐ
๋ฐ๋ฌํ๋ฉฐ, ์ด์ ๋ฐ๋ผ ์ด๋ฐฉ์ฑ์ด ๋ฐํ๋๊ณ ์ ํ์ ์ฑ๋ฅ์ ์ ์ง ์์ ์ํฅ์ ์ค ์ ์๋ค [2]. ๋๋ฌธ์ ์ ์ ํ ๊ฐ๊ณต ๊ณต์ ์ ๊ฐ๋ฐํ๊ธฐ ์ํ ๋์ ์์ธก ์ ํ๋๋ฅผ ๊ฐ์ง ์ ํ์์ ํด์ ์๋ฎฌ๋ ์ด์
์ด ์๊ตฌ๋๋ฉฐ, ๋ฐ๋ผ์ ๊ตฌ์ฑ ๋ชจ๋ธ์ ๊ธ์ ํ์ฌ์ ์ด๊ธฐ
๋จ๊ณ์์ ๋ฐํํ๋ ์ด๋ฐฉ์ฑ ๋ฟ๋ง ์๋๋ผ ๊ทธ ๋ณํ๋ฅผ ์ผ์ผํค๋ ์ธ์๋ฅผ ๋ชจ์ฌํ ์ ์์ด์ผ ํ๋ค. ํนํ ํ์ฌ ๊ธ์์ ์ฑํ์ฑ์ ์ ๋์ ์ผ๋ก ์์ธกํ ์ ์์ด์ผ ํ๋ฉฐ[3], ์ด์ ํ๊ดด ๊ธฐ์ค์ ๋ผ์น๋ ๊ตฌ์ฑ ๋ชจ๋ธ์ ์ํฅ์ด ์ต๊ทผ ๋ง์ ์ฐ๊ตฌ๋ฅผ ํตํด ๋ถ์๋์ด ์๋ค [4-6].
์ฌ๋ฃ์ ํ๊ดด ๊ธฐ์ค ๋ชจ๋ธ์์๋ ์ฌ๋ฃ๊ฐ ๊ฒช๋ ๋ณํ๋ฅ ๋ฟ๋ง์๋๋ผ, ์๋ ฅ ์ํ ๋ํ ์ค์ํ ์งํ๋ก ๋๋ฆฌ ์ฌ์ฉ๋๋ค. ์ ์์(hydrostatic pressure)
๋ฐ ๊ทธ์ ๊ธฐ์ธํ ์ผ์ถ์ฑ(triaxiality)๊ณผ ๋ก๋๊ฐ(lode angle)์ผ๋ก ๋ํ๋๋ ์๋ ฅ ์ํ๋ ๋ณด์ด๋(void), ํฌ๋(crack) ๋ฑ๊ณผ ๊ฐ์
์ฌ๋ฃ ๋ดยท์ธ๋ถ์ ์กด์ฌํ๋ ๊ฒฐํจ์ ๋ฐ๋ฌ๊ณผ ๊ทธ๋ก ์ธํ ์ฌ๋ฃ ํ๊ดด ํ์์ ์ค์ํ ์ํฅ์ ๋ผ์น๋ ๊ฒ์ผ๋ก ์๋ ค์ ธ ์๋ค [7]. ์๋ ฅ ์ํ๊ฐ ๊ฐ์ง๋ ์ค์์ฑ์ ์ฑํ ํ๊ณ ๊ณก์ (Forming Limit Curve, ์ดํ FLC)์ ์๋ ฅ ๊ฒฝ๋ก ๋ฌด๊ด์ฑ์์๋ ์ ๋๋ฌ๋๋ค [8]. ์ต๊ทผ ๋์งํธ ์ด๋ฏธ์ง ์๊ด๋ฒ(digital image correlation, ์ดํ DIC)์ ํ์ฉํ ๋ณํ๋ฅ ์ธก์ ๊ธฐ๋ฒ์ด ๋๋ฆฌ ๋ณด๊ธ๋์์ผ๋, ์๋ ฅ
์ธก์ ์ ๊ฒฝ์ฐ ์ ์ฌํ ํํ์ ๋ถ๊ท ์ผํ ๋ถํฌ๋ฅผ ์คํ์ ์ผ๋ก ์ธก์ ํ๊ธฐ ๊ฒ์ด ์ฝ์ง ์๋ค [9]. ๋ฐ๋ผ์, ์คํ์ ์ผ๋ก ์ธก์ ๋ ๋ณํ๋ฅ ์ ๊ตฌ์ฑ ๋ชจ๋ธ๊ณผ ์ฐ๊ณํ์ฌ ์ผ์ถ์ฑ ๋ฐ ๋ก๋๊ฐ์ ๋ณ์๋ก ์ฌ์ฉํ ์์ธก ๋ชจ๋ธ์ ์ฑ๊ณต์ ์ฌ๋ก๊ฐ ๋ค์ ๋ณด๊ณ ๋์ด ์๋ค [10].
Hill48 ๋ชจ๋ธ[11], Yld-2000-2d ๋ชจ๋ธ[12] ๋ฑ์ผ๋ก ๋ํ๋๋ ํญ๋ณต ํจ์์ ๊ฐ๋จํ ๊ฒฝํ๊ฑฐ๋ ๋ชจ๋ธ์ ์ด์ฉํ ํ์ํ์ ๊ตฌ์ฑ ๋ชจ๋ธ๋ค์ ๊ธ์ ์ฌ๋ฃ์ ์ด๋ฐฉ์ ๊ฑฐ๋ ์์ธก์ ๋น๊ต์ ๋ฐ์ด๋ ์ ํ๋์ ํจ์จ์ฑ์ผ๋ก
๋ง๋ฏธ์์ ์ฐ์
๊ณ์ ๋๋ฆฌ ์ ์ฉ๋๊ณ ์์ผ๋, ์ฌ์ฉ๋๋ ์ฌ๋ฃ ๋ฌผ์ฑ์ด ๋ฏธ์ธ๊ตฌ์กฐ์ ์ง์ ์ ์ผ๋ก ๊ด๋ จ๋์ด ์์ง ์๊ณ , ๋๋ณํ์ ์ํด ๋ฐ์ํ๋ ์ด๋ฐฉ์ฑ์ ๋ณํ๋ฅผ ๋ชจ์ฌํ๊ธฐ
์ด๋ ค์ด ๋จ์ ์ด ์๋ค. ์ด๋ฅผ ๋ณด์ํ๊ณ ์ ๊ฒฐ์ ์์ฑ ๋ชจ๋ธ๋ก ์์ธก๋ ์ด๋ฐฉ์ฑ ๋ณํ๋ฅผ ํ์ํ์ ๋ชจ๋ธ์ ํ๋ผ๋ฏธํฐ๋ก ๋ํ๋ธ ๋ฐฉ๋ฒ๋ค์ด ์ ์๋๊ธฐ๋ ํ๋ค. ๋ํ์ ์ผ๋ก
Yoon๊ณผ ๊ทธ ๋๋ฃ๋ค[13]์ ์ ์์ฑ(visco-plastic) ๋๋ฑ์ฒด(homogeneous effective medium, ์ดํ HEM) ๊ธฐ๋ฐ์ ๋ค๊ฒฐ์ ๋ชจ๋ธ(viscoplastic
self-consistent model, ์ดํ VPSC ๋ชจ๋ธ)[14,15]์ ์ฌ์ฉํ์ฌ ์๋ฃจ๋ฏธ๋์ ์ด๋ฐฉ์ฑ ๋ณํ ๊ฒฝํ ๊ฑฐ๋์ ์ฑ๊ณต์ ์ผ๋ก ๋ชจ์ฌํ ๊ฒฐ๊ณผ๋ฅผ ๋ณด๊ณ ํ์์ผ๋ฉฐ, Kabirian๊ณผ ๊ทธ์ ๋๋ฃ๋ค[16]์ VPSC ๋ชจ๋ธ์ ์ฌ์ฉํด AZ31 ๋ง๊ทธ๋ค์ ํฉ๊ธ์ ๊ธฐ๊ณ์ ๊ฑฐ๋ ๋ฐ ์งํฉ์กฐ์ง์ ๋ณํ๋ฅผ ๋ชจ์ฌํ ๊ฒฐ๊ณผ๋ฅผ ๋ณด๊ณ ํ์๋ค. ๊ทธ๋ฌ๋ ์ด๋ค์ด ์ฌ์ฉํ VPSC ๋ชจ๋ธ์
ํ์ฑ ๊ฑฐ๋์ ์ค๋ช
ํ ์ ์๋ค๋ ํ๊ณ์ ์ ๊ฐ์ง๊ณ ์๊ณ , 5์ฐจ์ ํธ์ฐจ ์๋ ฅ ๊ณต๊ฐ์์ ์ ๊ฑฐ๋๋ง์ ๊ณ ๋ คํ์ฌ ์๋ ฅ ์ผ์ถ์ฑ์ด๋ ํ์ฑ ํฝ์ฐฝ์ ์ค๋ช
ํ ์ ์๋ค.
๋ค์ํ ์ฌ๋ฃ์ ์ญํ์ ๊ฑฐ๋์ ์ค๋ช
ํ๊ธฐ ์ํด์๋ ์ ์์ฑ ๋ฟ๋ง ์๋๋ผ, ํ์ฑ ๊ฑฐ๋์ ์ค๋ช
ํ ์ ์๋ ๊ตฌ์ฑ ๋ฐฉ์ ์์ด ํ์ํ๋ฉฐ[17], ์ด์ ๋ฐ๋ผ ํ์ ์์ฑ(elastovisco- plasticity) ๊ฑฐ๋์ ๋ชจ๋ ๋ชจ์ฌํ ์ ์๋ EVPSC ๋ชจ๋ธ[18-22]์ด ๊ฐ๋ฐ๋์์ผ๋, ์๋ก ๋ค๋ฅธ ํ์ฑ HEM๊ณผ ์ ์์ฑ HEM ๊ณ์ฐ ๊ฒฐ๊ณผ๋ฅผ ์ฌ์ฉํ์ฌ, ์ด์ ๋๋ฐ๋๋ ์ํธ ๋นํธํ์ฑ์ ๊ธฐ์ธํ ์์น๋ถ์์ ์ฑ๊ณผ ๋๋ ์ฐ์ฐ ์๋๊ฐ
๋จ์ ์ผ๋ก ๊ผฝํ๋ค [23]. ์ด๋ฅผ ๊ทน๋ณตํ๊ณ ์ ๊ฐ๋ฐ๋ ๋จ์ผํ ํ์ ์์ฑ HEM์ ์ฌ์ฉํ๋ ฮEVPSC(elasto-visco-plastic sef-consistent) ๋ชจ๋ธ์
์์ ์ธ๊ธ๋ ์ ์ฌํ HEM ๊ธฐ๋ฐ ๋ชจ๋ธ๋ค๊ณผ ๋น๊ตํ์ฌ ๋ณด๋ค ๋์ ์์น ์์ ์ฑ๊ณผ ๊ณ์ฐ ํจ์จ์ฑ์ด ๊ฒ์ฆ๋ ๋ฐ ์๋ค [24,25].
๋ณธ ์ฐ๊ตฌ์์๋ AA6061-T6 ํ์ฌ๋ฅผ ๋์์ผ๋ก ๋ณํ๋ฅ ์ด ๊ฐํด์ง์ ๋ฐ๋ผ ๋ฐ๋ฌํ๋ ์์ฑ ์ด๋ฐฉ์ฑ์ ๋ณํ๋ฅผ ์์ฑ ๋ณํ๋ฅ ๋น R๊ฐ(R-value)์ ๊ดํด
์ดํด๋ณด๊ณ , ์ผ์ถ ์ธ์ฅ์คํ์ผ๋ก ๊ต์ ๋ ๋ค๊ฒฐ์ ฮEVPSC ๋ชจ๋ธ์ ํ์ฉํด ์ผ์ถ์ฑ์ ๊ณ์ฐํ ๊ฒฐ๊ณผ๋ฅผ ์๊ฐํ๋ค. ์ข
์ ์ VPSC ๋ชจ๋ธ์ ํ์ฉํ์ฌ ์ผ์ถ์ฑ์ ๊ณ์ฐํ
์ ์์์ผ๋[26], ํธ์ฐจ ์๋ ฅ ๊ณต๊ฐ๋ด์ ๋ฐ์์ ํ๋ฉด ์๋ ฅ ์ํ๋ฅผ ๊ฐ์ ํ์ฌ ์ ์์์ ๊ฐ์ ํด์ผ ํ์๋ค. ๋ณธ ๋
ผ๋ฌธ์์ ์ฌ์ฉํ ฮEVPSC๋ชจ๋ธ์ 6์ฐจ์ ์๋ ฅ ๋ฐ์์ ๊ณ ๋ คํ์ฌ
๊ทธ๋ฌํ ์ ์ฝ์ด ์๋ค. ๋ณธ ์ฐ๊ตฌ์์๋ ์ถ๊ฐ๋ก ฮEVPSC ๋ชจ๋ธ์ ์์ฑ ์ด๋ฐฉ์ฑ์ ๋ํ ์์ธก ์ ํ๋์ ๊ทธ ํต๊ณ์ ๋ํ์ฑ์ ๋ถ์ํ๊ณ ์ ๋๊ป ๋ฐฉํฅ์ ๋ฐ๋ผ ๋ฌ๋ผ์ง๋
๋ฐฉ์ ๋ถํฌ๋ฅผ ๊ตฌ์ญ๋ณ๋ก ๋๋์ด ๋ถ์ํ์๊ณ , R๊ฐ ์์ธก์น๋ฅผ ์ดํผ๊ณ , ํต๊ณ์ ๋ํ์ฑ์ ๋ํด์๋ ๋
ผ์ํ๋ค. ๋์๊ฐ ์๋ก ๋ค๋ฅธ ํํ์ ์ธ์ธ์ฅ ์ํธ์ ์ฌ์ฉํ์ฌ,
์ผ์ถ์ธ์ฅ, ๋
ธ์น์ธ์ฅ, ํ๋ฉด ๋ณํ์ ๊ธฐ์ธํ๋ ๋ค์ถ์ฑ์ ๊ณ์ฐํ์๊ณ , ๋ฌธํ์ ๋ณด๊ณ ๋ ์ ์ฌํ ์ฌ๋ก์ ๋น๊ตํ์ฌ ๊ทธ ํ๋น์ฑ์ ๋์ถํ๊ณ ์ ํ์๋ค. ์ ํ์์ ํด์์
์ฌ์ฉํ๋ฉด ๋ค์ํ ํ์ค ํ๊ฒฝ์์์ ์ฌ๋ฃ ๊ฑฐ๋์ ํด์ํ ์ ์์ผ๋ฏ๋ก[27], DIC ๋ฐ์ดํฐ๋ฅผ ์ง์ ๊ฒฝ๊ณ ์กฐ๊ฑด์ผ๋ก ์ฌ์ฉํ์ฌ ๊ณ์ฐ๋ ๋ค์ถ์ฑ์ [26,28]๋ค๊ฒฐ์ ์ ํ์์ ํด์ ๊ฒฐ๊ณผ์ ๋น๊ตํ์๋ค.
2. ์คํ์ ๋ฐฉ๋ฒ
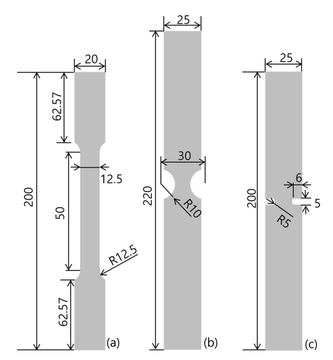
2.1 ์ธ์ฅ ์คํ
๋ณธ ์ฐ๊ตฌ์์๋ ๋๊ป 2 mm์ AA6061-T6 ํ์ฌ๋ฅผ ์ฌ์ฉํ์๋ค. ์์ฐ ๋ฐฉํฅ์ ๋ํด ๊ฐ๊ฐ 0๋, 45๋ ๋ฐ 90๋ ๋จ์ด์ง ๋ฐฉํฅ์ ์ธ์ฅ์ถ๊ณผ ๋๋ํ
๋๊ณ ์ ์๋ ASTM E8 ๊ท๊ฒฉ(๊ทธ๋ฆผ 1(a))์ ์ผ์ถ ์ธ์ฅ ์ํธ์ ๋น๋กฏํ์ฌ ๋
ธ์น ์ธ์ฅ(๊ทธ๋ฆผ 1(b)) ๋ฐ ํ๋ฉด ๋ณํ ์ธ์ฅ(๊ทธ๋ฆผ 1(c)) ์ํธ์ ์ฌ์ฉํ์ฌ ์ธ์ฅ ์คํ์ ์ํํ์๋ค. ์ด๋ ์๋ก ๋ค๋ฅธ ์ธ ์ธ์ฅ ์ํธ์ ๊ฒ์ด์ง ๊ธธ์ด๋ฅผ ๊ณ ๋ คํ์ฌ ๋ณํ ์๋๊ฐ 10-3/s์์ ํฌ๊ฒ ๋ฒ์ด๋์ง ์๋๋ก ํฌ๋ก์คํค๋(crosshead)์ ๋ณ์ ์๋๋ฅผ ์ ์ ํ ๊ฐ์ผ๋ก ๋ถ๊ณผํ ํ์๊ฐ ์๋ค. ์ด๋ฅผ ์ํด ์ผ์ถ, ๋
ธ์น, ํ๋ฉด ๋ณํ
์ธ์ฅ ์ํ์ ๊ฐ๊ฐ 3 mm/min, 0.6 mm/min, 0.3 mm/min์ ์ผ์ ํ ๋ณ์ ์๋๋ก ์ ์ดํ์์ผ๋ฉฐ, ์ํธ์ด ํ๊ดด๋ ๋๊น์ง ๋ณํ์ ๊ฐํ์๋ค.
์ธ๊ธ๋ ๋ชจ๋ ์ธ์ฅ ์คํ์ ๊ฐ ์ธ ๋ฐฉํฅ ์ํธ์ ๋ํด ๊ฐ๊ธฐ ์ธ ๋ฒ ๋ฐ๋ณตํ์๋ค. ์ํธ์ ๋ณํ์ ์ธก์ ํ๊ธฐ ์ํด DIC ๊ธฐ๋ฒ์ ํ์ฉํ์๊ณ , GOM ์ฌ์ ์๋ผ๋ฏธ์ค(ARAMIS)
2D ๋ชจ๋
ธ(mono) ์นด๋ฉ๋ผ ์์คํ
์ ์ฌ์ฉํ์๋ค.
2.2 ์ ์ํ๋ฐฉ์ฐ๋ํ์ (EBSD) ๋ถ์
AA6061-T6 ์ํธ์ TD๋ฉด(transverse direction)์ ๋์์ผ๋ก ์ ์ํ๋ฐฉ์ฐ๋ํ์ (electron back-scattered diffraction,
์ดํ EBSD) ๋ถ์์ ์งํํ๋ค(๊ทธ๋ฆผ 2์ ์ขํ์ถ ์ฐธ๊ณ ) 10 mmร10 mmร2 mm ํฌ๊ธฐ์ AA6061-T6 ์ํธ์ ํ1์ ๋ฐ๋ผ ์ค๋นํ์๋ค. EBSD ์ธก์ ์คํ
์ฌ์ด์ฆ๋ฅผ 1.2 ฮผm๋ก ์ค์ ํ์ฌ ๋ถ์์ 3.8 ์๊ฐ์ด ์์๋์์ผ๋ฉฐ, EBSD ์คํ ๊ฒฐ๊ณผ๋ฅผ ๋งคํ๋ฉ(Matlab)
ํด๋ฐ์ค์ธ MTEX[29] ํจํค์ง๋ฅผ ํ์ฉํ์ฌ ๋ถ์ํ์ฌ ๋ฐฉ์ ๋ถํฌ๋ฅผ ์ถ์ถํ์๋ค.
๋๊ป ๋ฐฉํฅ์ผ๋ก ์กด์ฌ ๊ฐ๋ฅํ ์งํฉ์กฐ์ง์ ๋ถ๊ท ์ผ์ฑ์ ํ๋จํ๊ธฐ์ํด ๊ทธ๋ฆผ 2์ ๊ฐ์ด EBSD ๋ฐ์ดํฐ ์ถ์ถ ์์ญ์ ์ธ ๊ตฌ๊ฐ์ผ๋ก ๋๋์ด (a)์๋ถ, (b)์ค๋ถ, (c)ํ๋ถ๋ก ์ง์นญํ๊ฒ ๋ค. ๊ฐ ์ธ ์์ญ์์ ๋ถ์ํ ๋ฐฉ์ ๋ถํฌ๋ฅผ ํ ๋๋ก
6000๊ฐ์ ๋ฐฐํฅ์ ๊ฐ์ง ์ด์ฐ ๋ฐฉ์(discrete orientation)๋ก ์ด๋ฃจ์ด์ง ํต๊ณ์ ์์๋ธ์ ์ถ์ถํ์๊ณ , ์ด๋ฅผ ๊ทธ๋ฆผ 3์ (111), (200), (220) ๊ทน์ ๋๋ก ๋ํ๋๋ค. ์ถ๊ฐ๋ก ์ ์ฒด ์์ญ์์ ๊ณ ๋ฅด๊ฒ ์ป์ ๋ฐฉ์ ๋ถํฌ์ ํด๋นํ๋ ๊ทน์ ๋๋ฅผ ๊ทธ๋ฆผ 3(d)์ด์ ๋ณด์๋ค. ๋ณธ ๋
ผ๋ฌธ์๋ ์ค์ง ์์์ผ๋, ND๋ฉด ํ๋ฉด์ X-ray ํ์ ์คํ์ ํตํด ์ป์ ๊ทน์ ๋์ ๊ทธ๋ฆผ 3 ๊ฒฐ๊ณผ๋ฅผ ์ ์ฑ์ ์ผ๋ก ๋น๊ตํ์์ ๋ ๋๋ ทํ ์ฐจ์ด๊ฐ ๋ณด์ด์ง ์์์ผ๋ฉฐ, ๋ ์คํ์์ ์ป์ ๋ฐฉ์ ๋ถํฌ ๋ชจ๋ ๊ทธ๋ฆผ 4์ ๋ํ๋ ๊ฐํ ํ๋ธ(cube) ์งํฉ์กฐ์ง์ด ๊ณตํต์ ์ผ๋ก ๊ด์ฐฐ๋๋ ๊ฒ์ ํ์ธํ์๋ค [30].
3. ๊ฒฐ์ ์์ฑ ๋ชจ๋ธ
3.1 ฮEVPSC ๋ชจ๋ธ
๋ณธ ์ฐ๊ตฌ์์๋ ฮEVPSC ๋ชจ๋ธ์ ์ฌ์ฉํ์ฌ ์ธ์ฅ ์คํ์์ ์ป์ DIC ๋ณํ๋ฅ ์ฅ ๊ณ์ฐ์ ํด๋นํ๋ ์๋ ฅ ์ฅ ๋ณํ๋ฅผ ๊ณ์ฐํ์๋ค. ฮEVPSC ๋ชจ๋ธ์ ๋ํ
์์ธํ ์ค๋ช
์ ์ฐธ๊ณ ๋ฌธํ์ผ๋ก ๋์ ํ๊ณ [24,25], ๋ณธ๋ฌธ์๋ ๋ณธ ๋
ผ๋ฌธ์ ๊ฒฐ๊ณผ์ ๋ฐ์ ํ ๊ด๊ณ๋ฅผ ๊ฐ์ง ๋ด์ฉ์ ๊ฐ๋ตํ ์๊ฐํ๋ค.
๋จ๊ฒฐ์ ๋ด์ ๋ณํ๋ฅ ์๋๋ ๋ค์๊ณผ ๊ฐ์ด ํ์ฑ(
ฮต
ห
e
l
)๊ณผ ์ ์ ์ฑ ๋ณํ๋ฅ (
ฮต
ห
v
p
)์ ํฉ์ผ๋ก ํํ๋๋ค.
์ ์์ฑ ๋ณํ๋ฅ ์ ์๋์ ๋น์ ํ ์ ์์ฑ ๊ตฌ์ฑ ๋ฐฉ์ ์์ผ๋ก ํํ๋๋ค.
ฯ, ms, ฯs ๊ทธ๋ฆฌ๊ณ
ฮณ
ห
0
์ ์๋ ฅํ
์, ์๋ฏธ๋ ํ
์, ์๊ณ๋ถํด์ ๋จ์๋ ฅ(CRSS) ๊ทธ๋ฆฌ๊ณ ์ ๋จ ์๋ ์ ๊ทํ ๊ณ์์ด๋ค. 12๊ฐ์ {111}โฉ
1
ยฏ
10โช ์ ์ฌ๋ฆฝ๊ณ์ ๋ณํ๋ฅ ๊ฒฝํ๋ ์๋์ ๋ณด์ธ (Voce) ๋ชจ๋ธ์ ์ฌ์ฉํ์ฌ ๋ชจ์ฌํ์๋ค.
์ ์์์ ฯ0, ฯ1, ฮธ0 ๊ทธ๋ฆฌ๊ณ ฮธ1์ ๋ณด์ธ ๊ฒฝํ ๋ชจ๋ธ ๊ฒฝํ ๋งค๊ฐ๋ณ์๋ก์จ ์ ๋ ์๋ ฅ ์ ๋์ ๋น๊ตํ์ฌ ๊ต์ ํ์์ผ๋ฉฐ, ฮ์ ๊ฐ ๊ฒฐ์ ๋ฆฝ์ ์ถ์ ๋ ์ ๋จ ๋ณํ๋ฅ ์ด๋ค. ๋ค๊ฒฐ์ ๊ตฌ์ฑ ๋ฐฉ์ ์์ ๋ค์๊ณผ
๊ฐ์ด ํํ๋๋ฉฐ
ฮต
ห
ยฏ
,
M
ยฏ
,
โณ
ฯ
ยฏ
,
ฮต
ห
ยฏ
0
๋ ๊ฐ๊ฐ ๋ค๊ฒฐ์ ์ ๋ณํ๋ฅ ์๋ ํ
์, ์ปดํ๋ผ์ด์ค ํ
์, ์๋ ฅ ์ฆ๋ถ ํ
์, ๊ทธ๋ฆฌ๊ณ ์ญ๊ณ์ฐ๋ ๋ณํ๋ฅ ์๋ ํ
์๋ฅผ ์๋ฏธํ๋ค.
M
ยฏ
์
ฮต
ห
ยฏ
0
๋ ์งํฉ์กฐ์ง๊ณผ ํ์ฑ๊ณ์ ๋ฐ ์ฌ๋ฆฝ๊ณ์ ๊ฒฝํ ๋งค๊ฐ๋ณ์์ ๋ํ ๋ด์ฌ์ ํจ์๋ก ํํ๋๋ฉฐ, ๊ทธ ์์น์ ๊ณ์ฐ ๋ฐฉ๋ฒ์ ์ฐธ๊ณ ๋ฌธํ[24]์ผ๋ก ๋์ ํ๋ค.
ฮEVPSC ๋ชจ๋ธ์ ์ ํ์์ ์ฉ ์ฌ์ฉ์์ฌ๋ฃ ์๋ธ๋ฃจํด(UMAT) ๊ฐ๋ฐ ๊ณผ์ ์ ์ฐธ๊ณ ๋ฌธํ[25]์ ์์ธํ ์ค๋ช
๋์ด ์์ผ๋ฉฐ, ๋ณธ ์ฐ๊ตฌ์์๋ ์ด๋ฅผ ํ์ฉํด 3.4์ฅ์์ ๋ค๋ฃจ๋ ์ ํ์์ ์๋ฎฌ๋ ์ด์
์ ์ํํ์๋ค.
3.2 ๋ณํ๋ฅ ์ฅ๊ณผ ๋ชจ๋ธ ๊ฒฝ๊ณ์กฐ๊ฑด
์์ 2.1์ฅ์ ์ธ๊ธํ์๋ฏ ์ธ์ฅ ์คํ์ DIC ๊ธฐ๋ฒ์ ํ์ฉํ์ฌ ์ํธ ํ๋ฉด์ ๋ณ์์ฅ ๋ณํ๋ฅผ ์ธก์ ํ์๋ค. ๋ชจ๋๋ด ์นด๋ฉ๋ผ ์์คํ
์ ์ฌ์ฉํ์ฌ ์ฌ๋ฃ ํ๋ฉด์
๋ณํ๋ฅผ ์ธก์ ํ์๊ธฐ ๋๋ฌธ์ ์ธก์ ๋ ๋ฐ์ดํฐ๋ ํ๋ฉด ๋ณ์์ฅ์ผ๋ก ์ ํ๋๋ค. ์ด์ ๋ฐ๋ผ ํด์ ๊ฐ๋ฅํ ๋ณํ ๊ตฌ๋ฐฐ ํ
์(deformation gradient tensor)
F ๋ํ F11, F12, F21, F22์ฑ๋ถ ๊ฐ์ผ๋ก ์ ํ๋๋ค. ์ด๋ ์ฒด์ ๋ณํ์ F์ ์ฌ์ด๋ ๋ค์๊ณผ ๊ฐ์ด ํํ๋๋ค.
์์์ dV์ dv๋ ๊ฐ๊ฐ ์ฆ๋ถ ๋ณํ ์ ํ์ ์ฒด์ ์์์ด๋ฉฐ, ๋น์์ถ์ฑ(incompressibility) ๊ฐ์ ์ ๋ฐ๋ผ ์ํธ์ det(F)=1๋ก ํํ๋ ์ ์๋ค. ๋๊ป ๋ฐฉํฅ ์ ๋จ ์ฑ๋ถ F13, F23, F31, F32์ ๋ฌด์ํ๋ค๋ฉด ๋ค์์ ๊ด๊ณ๋ก ์ ๊ฐ๋๋ฉฐ,
๋ฐ๋ผ์ F33=1/(F11F22-F12F22)๋ฅผ ํ์ฉํด F33 ์ฑ๋ถ์ ํ๋ฉด ๋ณํ์ฅ(F11F12, F21F22)์ผ๋ก๋ถํฐ ๋์ถํ ์ ์๋ค. ์ด๋ DIC ๊ธฐ๋ฒ์ผ๋ก ์ธก์ ๋ ๊ตฌ๋ฐฐ ํ
์๋ ๋
ธ์ด์ฆ๋ฅผ ํฌํจํด ์ด๋ฅผ ๊ฐ์ํด์ผ ํ ํ์๊ฐ ์์ด, SciPy ํจํค์ง[31]์ ํฌํจ๋ ์ฌ๋น์ธ ํค-๊ณจ๋ ์ด(Savitzky-Golay filter)[32] ๋ฐฉ๋ฒ์ ์ฌ์ฉํ์๋ค. ์ธก์ ๋
ธ์ด์ฆ๊ฐ ์ํฅ์ ๋ณธ ์ฐ๊ตฌ์ ์ฃผ ๊ฒฐ๊ณผ์ธ ์๋ ฅ ์ฑ๋ถ์ด ์ํฅ์ ์ค ์ ์์ผ๋, ๊ทธ ์ ๋๊ฐ ๋ฌด์ํ ์ ๋๋ก ๋ฎ๋ค [28]. ์ดํ ๋ฐ๋ก ์ธ๊ธํ์ง ์๋ ํ, ๋ณธ ์ฐ๊ตฌ์์๋ ํํํ(smoothing)๋ ๊ตฌ๋ฐฐ ํ
์์ ๋ฐ๋ฅธ๋ค ์์ ์์ ๋ ๊ณผ์ ์ ํตํด ์ป์ ๋ณํ ๊ตฌ๋ฐฐ ํ
์๋
๊ทน๋ถํด (polar decomposition)๋ฅผ ํตํด ๋ค์๊ณผ ๊ฐ์ด ํ์ (R) ๋ฐ ์ค ํธ๋ ์น(U) ํ
์๋ก ๋๋ ์ ์๋ค.
์์ ์์ ๋ ๊ณผ์ ์ ํตํด ์ป์ ๋ณํ ๊ตฌ๋ฐฐ ํ
์๋ ๊ทน๋ถํด(polar decomposition)๋ฅผ ํตํด ๋ค์๊ณผ ๊ฐ์ด ํ์ (R) ๋ฐ ์คํธ๋ ์น(U) ํ
์๋ก
๋๋ ์ ์๋ค.
๊ทน๋ถํด๋ ์์นํด์์ ์ผ๋ก ๊ฒฐ์ ๋์๊ณ , ๊ทธ ๊ณผ์ ์ ์ฐธ๊ณ ๋ฌธํ[28]์ ๊ธฐ์ ๋ ๋ฐฉ๋ฒ์ ๋ฐ๋๋ค. ๊ทธ ๊ฒฐ๊ณผ ๋ณํ๋ฅ ์๋ ํ
์๋ฅผ ๊ตฌํ ์ ์์ผ๋ฉฐ, ์ด๋ฅผ ์ 4์ ๋์
ํ๊ณ ํ๋ฉด ์๋ ฅ ์กฐ๊ฑด(plane stress condition)์
์ฌ์ฉํ์ฌ ์๋ ฅ ํ
์ ์ฑ๋ถ ฯ11, ฯ12, ฯ22์ ์ป์ ์ ์๋ค. ์ป์ด์ง ์๋ ฅ ์ํ๋ฅผ ๋ฐํ์ผ๋ก ์ผ์ถ์ฑ์ ๊ตฌํ ์ ์์ผ๋ฉฐ, ์ด๋ฅผ ์ํด von Mises ์ ํจ ์๋ ฅ์ ์ฌ์ฉํ์๋ค.
3.3 ์ฌ๋ฃ ๋ฌผ์ฑ์น ๊ต์
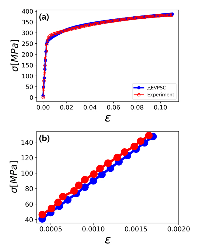
๊ทธ๋ฆผ 5์ ๋ณด์ ๋ ๊ฒฝํ ๋งค๊ฐ ๋ณ์์ ๋จ๊ฒฐ์ ํ์ฑ ๊ณ์๊ฐ์ ์ฌ์ฉํ ๋ชจ๋ธ ๊ฒฐ๊ณผ๋ฅผ ์คํ์น์ ๋น๊ตํ์ฌ ๋ํ๋๋ค. ์์ ๊ทธ๋ฆผ 1(a)์ ๋ณด์ธ ์ผ์ถ ์ธ์ฅ ์ํํธ์ผ๋ก๋ถํฐ ์ป์ ์๋ ฅ-๋ณํ๋ฅ ์ ๋๋ฅผ ๋ฐํ์ผ๋ก AA6061-T6์ ๋จ๊ฒฐ์ ํ์ฑ ๊ณ์ ๋ฐ ๋ณด์ธ ๊ฒฝํ ๋งค๊ฐ ๋ณ์(ฯ0, ฯ1, ฮธ0, ฮธ1)๋ฅผ ๊ต์ ํ์๋ค(ํ 2). ์ฐธ๊ณ ๋ฌธํ[33]์ ๋ณด๊ณ ๋ ๋จ๊ฒฐ์ ํ์ฑ๊ณ์๊ฐ ๋น๊ต์ ๋ฎ์ ์๋ฅ ๊ฐ์ผ๋ก ์ด์ด์ ธ ๋ณธ ์ฐ๊ตฌ์์๋ 1.15 ๋ฐฐ ๊ณฑํ ๋ณด์ ๊ฐ์ ์ฌ์ฉํ์๋ค(ํ3). ๊ณ์ฐ๋ ๊ฒฐ๊ณผ๋ ์คํ ๊ฒฐ๊ณผ์ ๋์ผํ 81.6 GPa์ ์๋ฅ ๋ก ๋ํ๋ฌ๋ค(๊ทธ๋ฆผ 5(b)).
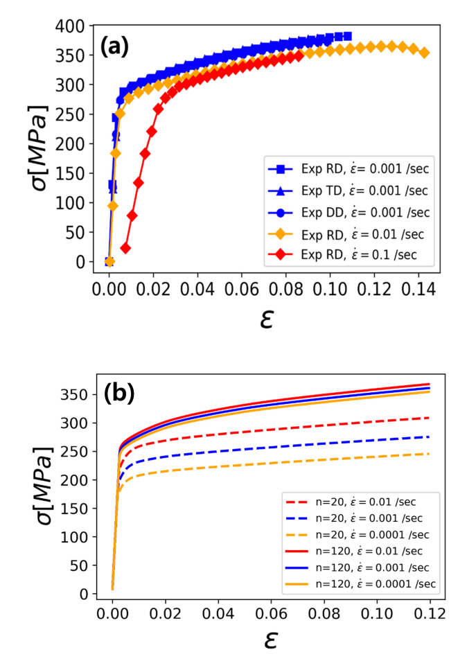
๊ทธ๋ฆผ 6(a)์์ ์ผ์ถ ์ธ์ฅ ์ ๋ ์๋ ฅ ๋ฐ์์ด ์ธ์ฅ ๋ฐฉํฅ(RD, TD, DD)์ ๋ฌด๊ดํ๊ฒ ์ผ์ ํ๊ฒ ๋ํ๋๋ ๊ฒ์ ๋ณด์๋ค. ๋ค๋ง ๋ณํ๋ฅ ์๋์ ๋ฐ๋ผ ์ ๋ ์๋ ฅ ๋ฐ์์
์ฐจ์ด๊ฐ ๋ณด์์ผ๋ฉฐ, ๋ณํ๋ฅ ์๋๊ฐ ์ฆ๊ฐํจ์ ๋ฐ๋ผ ์๋ ฅ ๋ฐ์์ด ๋ฏธ๋ฏธํ์ง๋ง ๋ฎ์์ง๋ ๊ฒฝํฅ์ ๋ณด์ธ๋ค. ์ด์ ๊ฐ์ ์์ ๋ณํ๋ฅ ์๋ ๋ฏผ๊ฐ๋(negative
rate-sensitivity)๋ ์ 2๋ก ํํ๋ ๋จ๊ฒฐ์ ๊ตฌ์ฑ ๋ชจ๋ธ์ ์ํ์ฌ ์ ํํ ๋ชจ์ฌ๋ ์ ์๋ค. ๊ทธ๋ฌ๋ ๊ทธ๋ฆผ 6(b)์ ๋ณด์๋ฏ, n๊ฐ(20 ํน์ 120)์ ๋ฐ๋ผ ๋ช
ํํ ๋ฌ๋ผ์ง๋ ์๋ ๋ฏผ๊ฐ๋์ ์ํฅ์ ์ดํด๋ณผ ์ ์์ผ๋ฉฐ, 120์ ์ด๋ฅด๋ n๊ฐ์ผ๋ก ์ธํด ๋ํ๋๋ ๊ณ์ฐ๋ ์๋ ๋ฏผ๊ฐ๋๋ ๋งค์ฐ ๋ฎ๋ค. ๊ตฌ์ฒด์ ์ผ๋ก ๋ณํ๋ฅ ์๋ 0.01/s๊ณผ 0.0001/s ์ฌ์ด์์์ ์ ๋ ์๋ ฅ ์ฐจ์ด๋ ๋ณํ๋ฅ 5%๊ฐ
๋ฐ์ํ์ ๋๋ฅผ ๊ธฐ์ค์ผ๋ก 12.0 MPa์ ํด๋นํ๋ฉฐ, ์ด๋ ์ฝ 0.036%์ ์ฐจ์ด์ด๋ค. ์ด๋ก ์ ์ผ๋ก 120๋ณด๋ค ํฐ n๊ฐ์ ๋ถ๊ณผํ ์ ์์ผ๋, ๋จ๊ฒฐ์ ๊ตฌ์ฑ ๋ชจ๋ธ์์์ ๋น์ ํ์ฑ์ด ๋ฉ๋ฌ์ ๋์์ง๋ฉฐ, ๋ฐ๋ผ์ ์์น ํด์์์์ ์์ ์ฑ์ด ๋ฎ์์ง๊ณ ๋ฐ์ฐํ๋ ํ์์ด ๋ณด์ธ๋ค [34]. ๋ณธ ์ฐ๊ตฌ์์๋ ์๋ ๋ฏผ๊ฐ๋์ ์ฐจ์ด๋ฅผ ์ต๋ํ ๋ฎ์ถ๋ฉด์๋ ์์น์์ ์ฑ์ด ์ ์ง๋๋๋ก n๊ฐ์ 120์ผ๋ก ํ์ ํ์ฌ ์ดํด๋ณด์์ผ๋ฉฐ, ๊ตฌ์ฒด์ ์ธ n๊ฐ์ ์ํฅ์ ํ์
ํ๊ธฐ ์ํ ํ์ ์ฐ๊ตฌ์์๋ ๊ทธ๋ฆผ 6(a)์ ๋ณด์ธ ๊ฒ๊ณผ ๊ฐ์ ์์ ์๋ ๋ฏผ๊ฐ๋๋ฅผ ๊ณ ๋ คํด์ผ ํ๊ฒ ๋ค.
3.4 ์ ํ์์ ์ธํฐํ์ด์ค
์์ ๊ทธ๋ฆผ 1์ ๋ณด์ธ ์ธ์ฅ ์ํ ์กฐ๊ฑด์ ์ ํ์์๋ฒ์ผ๋ก ํด์ํ์๋ค. ์ ํ์์ ํด์์ ์ฌ์ฉ๋๋ ๋ฌผ๋ฆฌ๋์๋ ๋ด์ฌ์ ๋จ์๊ฐ ์์ผ๋, mm-SI ๋จ์๊ณ๋ฅผ ์ผ๊ด์ ์ผ๋ก ๋ถ์ฌํ์ฌ
ํด์ํ์๋ค. ์ด์ ๋ฐ๋ผ ๋ณธ๋ฌธ์ ๊ฒฐ๊ณผ๋ ์๊ฐ๊ณผ ๊ธธ์ด๋ ๊ฐ๊ฐ mm์ ์ด(second) ๋จ์๋ก ํด์๋์ด์ผ ํ๋ฉฐ, ์๋ ฅ์ MPa, ๊ทธ๋ฆฌ๊ณ ํ์ ๋ดํผ(Newton)
๋จ์๋ก ํํ๋๋ค. ๋ชจ๋ ์ํํธ์ ๋์นญ์ฑ์ ๋ถ๊ณผํ์ง ์์ ํํ๋ฅผ ๊ณ ๋ คํ์๊ณ (๊ทธ๋ฆผ 7), ์์์ S4R ํ์
์ ์ฌ์ฉํ์๋ค. ๊ฒฝ๊ณ ์กฐ๊ฑด์ ์ค์ ์คํ๊ณผ ์ ์ฌํ ํํ๋ก ๋ชจ์ฌํ๊ธฐ ์ํด ์ํธ์ ํ์ชฝ ๋ณ์ ๋ณ์๋ฅผ ๊ตฌ์ํ์๊ณ , 2.1์ฅ์ ์ธ๊ธ๋
ํฌ๋ก์คํค๋์ ๋ณ์ ์๋(์ผ์ถ, ๋
ธ์น, ํ๋ฉด ๋ณํ ์ธ์ฅ ์์ผ๋ก ๊ฐ๊ฐ 3 mm/min, 0.6 mm/min, 0.3 mm/min)๋ฅผ ๋์ผํ๊ฒ ๋ถ๊ณผํ์๋ค.
์ ํ์์ ํด์ ์์์ ๋์ผํ ์ต์ข
๋ณ์๋ฅผ ๋ถ๊ณผํ๊ธฐ ์ํด ์๋ฎฌ๋ ์ด์
์์ ํด์ ์๊ฐ(step time)์ ์ค์ ์คํ๊ณผ ๊ฐ์ด ์ง์ ํ์๋ค. ์คํ ํ์ค์น์์
๋น๊ต๋ฅผ ์ํด ์์์ ํ ๊ธฐ์ค์ (reference point) ์ ์ง์ ํ์ฌ ๊ทธ๋ฆฝ๋ถ์ ๋
ธ๋์ ๋ณ์๋ฅผ ์ฐ๋ํ์๋ค. ์์ ์์ ๊ฒฝ์ฐ ์ผ์ถ ์ธ์ฅ์ 144๊ฐ,
๋
ธ์น ์ธ์ฅ์ 544๊ฐ, ๊ทธ๋ฆฌ๊ณ ํ๋ฉด ๋ณํ ์ธ์ฅ์ 605๊ฐ๋ฅผ ์ฌ์ฉํ์์ผ๋ฉฐ, ์ ํ์์์ ๊ฐ ์ ๋ถ์ ์ ๊ฑฐ๋์ 3.1์ฅ์ ฮEVPSC๋ชจ๋ธ๋ก ์ค๋ช
ํ์๋ค. ์ด๋
๊ฐ ์ ๋ถ์ ์ ์๋ก ๋
๋ฆฝ์ ์ธ ๋ค๊ฒฐ์ ์ ๋ํํ๋ฉฐ, 500๊ฐ์ ๊ฒฐ์ ์ด์ฐ ๋ฐฉ์(discrete orientation) ์์๋ธ์ ์ฌ์ฉํ์๋ค. ๊ทธ๋ฆผ 7์์ ํ์ธํ ์ ์๋ฏ, ์์ ์ธ๊ธํ ๋ฐ์ ๊ฐ์ด ์ฌ์ฉ๋ ์ ํ์์์ ๊ฐ์์ ์ฐจ์ด๋ก ์ธํด ์ผ์ถ, ๋
ธ์น ๋ฐ ํ๋ฉด ๋ณํ ์ธ์ฅ์์ ์ฐ์ธ ์ด ์ด์ฐ ๋ฐฉ์๋ 72,000๊ฐ,
272,200๊ฐ, ๊ทธ๋ฆฌ๊ณ 302,500๊ฐ๋ก ๊ตฌ๋ถ๋๋ค. ์๋ ฅ ์ผ์ถ์ฑ์ ์ฌ์ฉ์์ฌ๋ฃ ์๋ธ๋ฃจํด ๋ด์์ ๊ณ์ฐ๋๋ฉฐ, ์ฌ์ฉ์ ๋ณ์์ฅ ์๋ธ๋ฃจํด(UVARM)์ ํ์ฉํ์ฌ
์ถ์ถํ์๋ค. ๋ค๊ฒฐ์ ๋ชจ๋ธ์ ๋ง์ ์ํ ๋ณ์๋ฅผ ํจ์จ์ ์ผ๋ก ์
๋ ฅํ๊ธฐ ์ํด, ๊ทธ ์ด๊ธฐ๊ฐ์ ์ฌ์ฉ์ ์ด๊ธฐ ์ํ ๋ณ์ ์๋ธ๋ฃจํด(SDVINI)์ ์ฌ์ฉํด ์ ์ํ์๋ค.
4. ๊ฒฐ๊ณผ ๋ฐ ๊ณ ์ฐฐ
4.1 ์งํฉ์กฐ์ง๊ณผ R๊ฐ์์์ ์ด๋ฐฉ์ฑ
๊ทธ๋ฆผ 3์ ๋ณด์ด๋ฏ, ๋๊ป ์์น์ ์๊ด์์ด ํ๋ธ ์งํฉ์กฐ์ง์ด ๋ํ๋๋ ๊ฒ์ ์ ์ ์๋ค. ๊ทธ๋ฌ๋ ์ ๋์ ๊ด์ ์์ ๋ณด์์ ๋ ํ๋ธ ์งํฉ์กฐ์ง์ ์ธ๊ธฐ๊ฐ ์ค์ฌ๋ถ์์๋
๋ฎ๊ณ ํ๋ฉด ๊ทผ๋ฐฉ์์๋(๊ทธ๋ฆผ 2์ ์๋ถ ๋ฐ ํ๋ถ) ๊ฐํ ๊ฒ์ ์ ์ ์๋ค [30]. ๋ค๋ง, (200) ๊ทน์ ๋์ ์ธ๊ธฐ(multitude of randomness)์ ์ต๋์น๊ฐ 2๋ฅผ ๋์ง ์๊ณ , ๊ทธ๋ฆผ 4์ ํ์ธํ ์ ์๋ฏ ฯ2=45ยฐ ๋จ๋ฉด์์์ ๋ฐฉ์ ๋ถํฌ ํ๋ฅ ์ ์ธ๊ธฐ ๋ํ 3์ ๋๋ก์จ ๋น๊ต์ ๋์ ํธ์ ์๋๋ค. ๋ฐ๋ผ์, ์ผ์ถ ์ธ์ฅ ์๋ ฅ ๋ฐ์์์ ๋๋ฌ๋๋ ์ด๋ฐฉ์ฑ์ ๋์ง ์๋ค๊ณ
ํ๋จํ์๋ค [30].
์งํฉ์กฐ์ง๊ณผ R๊ฐ์ ๊ด๊ณ๋ฅผ ๋ณด๋ค ๋ช
ํํ ๊ท๋ช
ํ๊ณ ์, ์๋ฎฌ๋ ์ด์
๊ฒฐ๊ณผ๋ก๋ถํฐ ์ป์ R๊ฐ๊ณผ ์คํ๊ฐ์ ๋น๊ตํ์ฌ ๊ทธ๋ฆผ 8์ ๋ํ๋๋ค. R๊ฐ์ ์๋ ์ 8๊ณผ ๊ฐ์ด ํญ ๋ฐฉํฅ ๋ฐ ๋๊ป ๋ฐฉํฅ ๋ณํ๋ฅ ์๋(๊ฐ๊ฐ
ฮต
ห
ยฏ
width
๋ฐ
ฮต
ห
ยฏ
t
๋ก ํ๊ธฐ)๋ฅผ ์ฌ์ฉํ์ฌ ์ ์ํ์๋ค.
๊ทธ๋ฆผ 3์ (a), (b), (c) ๋ฐ (d)๋ก ๊ตฌ๋ถ๋ ๋ฐฉ์ ๋ถํฌ์ ํด๋นํ๋ ๋ชจ๋ธ์ ์์ธก๊ฐ๋ค์ด ๊ฐ๊ฐ ๊ทธ๋ฆผ 8์ (a), (b), (c) ๋ฐ (d)์ ๋์ผํ ์คํ ๊ฐ๊ณผ ๋น๊ต๋์ด ๋ํ๋ ์๋ค. ๊ทธ๋ฆผ 8์ ๋ํ๋ ๊ฒฐ๊ณผ์ ๋ฐ๋ฅด๋ฉด, ๋ชจ๋ ์งํฉ์กฐ์ง ์กฐ๊ฑด์์ 1์ ๊ทผ์ ํ R๊ฐ์ด ๋ชจ๋ธ์์ ์์ธก๋์์ผ๋ฉฐ, ์ดํ ์ธ์ฅ ๋ณํ๋ฅ ์ด 0.02 ์ด์์ผ๋ก ์ฆ๊ฐํจ์ ๋ฐ๋ผ ํฌ๊ฒ
๊ฐ์ํ๋ ๊ฒฝํฅ์ ๋ณด์ธ๋ค. ์ด๊ธฐ 1์ ๊ทผ์ ํ R๊ฐ์ ํ์ฑ ์์ญ์์์ ๋ฐ์์ผ๋ก ์๋ฃจ๋ฏธ๋ ํฉ๊ธ์ ๋ฎ์ ํ์ฑ ์ด๋ฐฉ์ฑ์ผ๋ก ๊ธฐ์ธํ ๊ฒ์ผ๋ก ํ๋จ๋๋ค. ์คํ๊ฒฐ๊ณผ์์๋
๊ณ์ฐ๊ฒฐ๊ณผ์ ๊ฐ์ ์์ค์ ๋๋ ทํ R๊ฐ์ ๋ณํ ๊ฒฝํฅ์ฑ์ ์ฐพ๊ธฐ ์ด๋ ค์ฐ๋ฉฐ, ๋ถํ๋ ๋ํ ๋ค์ ๋๋ค. ๋ฐ๋ผ์ ์์ฑ ๋ณํ ๊ฑฐ๋์ด ์ง๋ฐฐํ๋ 0.02 ๋ณํ๋ฅ ์ด์์์
๋ํ๋๋ R๊ฐ ๊ฒฝํฅ์ ๋ํด ์ดํ ๋
ผ์๋ฅผ ์ง์คํ๊ฒ ๋ค.
๊ทธ๋ฆผ 8(a)์ (c)์ ๋ฐ๋ฅด๋ฉด, ํ๋ฉด ๊ฐ๊น์ด์ ์งํฉ์กฐ์ง์ ์ฌ์ฉํ ๋ชจ๋ธ์ 5% ์ด์์ ๋ณํ๋ฅ ์์ ์ฝ 0.5~0.7 ์ฌ์ด์ R๊ฐ์ ์์ธกํ์ผ๋ฉฐ, ์ด๋ ์ผ์ถ ์ธ์ฅ ์คํ์ผ๋ก๋ถํฐ
์ทจ๋ํ 0.5~0.6 ์ฌ์ด์ ๊ฐ๊ณผ ๋น์ทํ๋ค. ์ด์ ๋นํด, ์ค์ฌ๋ถ์ ์งํฉ ์กฐ์ง์ ์ฌ์ฉํ ๊ฒฐ๊ณผ๋ ๋์ ๋๊ฒ ๋์ R๊ฐ ์์ธก์น (0.6~0.9)๋ฅผ ๋ณด์ด๋ฉฐ
์คํ์น์ ํฌ๊ฒ ๋ฒ์ด๋๋ ๊ฒ์ ์ ์ ์๋ค. ๊ฐ ๋ฐฉ์์ ๋ฐ๋ผ ๋ค๋ฅธ ์คํ R๊ฐ์ ๋ถ์ํ๋ฉด TD์ DD ๊ฒฐ๊ณผ๊ฐ ์ ์ฌํ ๋ฐ๋ฉด, RD์ R๊ฐ์ด ๋์ ๋๊ฒ ๋ฎ์
์ด๋ฐฉ์ ๊ฑฐ๋์ ๋ณด์์ ์ ์ ์๋ค. ์ด๋ฌํ ์ด๋ฐฉ์ ๊ฑฐ๋ (RRD < RDD โ RTD)์ ์ค์ฌ๋ถ ์งํฉ์กฐ์ง์์ ๋์ผํ๊ฒ ์ ์ฑ์ ๊ฑฐ๋์ผ๋ก ๋ํ๋์ง๋ง, ํ๋ฉด ์งํฉ ๊ฒฐ๊ณผ์์๋ ๋ช
ํํ์ง ์๋ค. ํ์ฌ์ TD๋ฉด์ ๋ชจ๋ ํฌํจํ EBSD ๋ฐ์ดํฐ์์
๊ณ ๋ฅด๊ฒ ์ทจ๋ํ ๋ฐฉ์ ๋ถํฌ๋ฅผ ์ฌ์ฉํ์ฌ(๊ทธ๋ฆผ 3(d)) R๊ฐ์ ์คํ๊ฒฐ๊ณผ์ ๋น๊ตํ์ฌ ๊ทธ๋ฆผ 8(d)์ ๋ํ๋๋ค. ๋ณํ๋ฅ 10%๊ฐ ๋ฐ์ํ ์ง์ ์ ๊ธฐ์ค์ผ๋ก RD๋ ์ฝ 5.32%, DD๋ ์ฝ 13.71%, ๊ทธ๋ฆฌ๊ณ TD์ ๊ฒฝ์ฐ ์ฝ 10.58%์ ์ค์ฐจ๊ฐ์
๊ฐ์ง๋ค. ๋ฐ๋ผ์ ํ๊ท ์ฝ 9.87%์ ์ค์ฐจ๊ฐ์ ๊ฐ์ ธ ์ค์ํ ์์ธก ๋ฅ๋ ฅ์ ๋ณด์ธ๋ค๊ณ ํ๋จํ์๋ค. ํนํ ๊ทธ๋ฆผ 8(d)์ ๊ฒฐ๊ณผ์์ ์ด๋ฐฉ์ ๊ฑฐ๋ (RRD < RDD โ RTD) ๋ฟ๋ง ์๋๋ผ, ์ ๋์ ์ผ์น๋ ๋ํ ์คํ์น์ ๋งค์ฐ ์ ์ฌํ๊ฒ ๋ํ๋ ์๋ ์ ์ ์ฃผ๋ชฉํด์ผ ํ๋ค. ๋ฐ๋ผ์ ๋ณธ ์ฐ๊ตฌ์์๋ ํ์ฌ์ TD๋ฉด์ ๋ชจ๋ ํฌํจํ ์ ์ฒด
์์ญ์์์ ์งํฉ์กฐ์ง์ ์ฌ์ฉํ๋ ๊ฒ์ด ์ ์ ํ๋ค๊ณ ํ๋จํ์๋ค. ๋ฐ๋ผ์ ์ดํ์ ๊ฒฐ๊ณผ๋ ๊ทธ๋ฆผ 2์ ์ ์ง์ญ์์ ๊ณ ๋ฅด๊ฒ ์ถ์ถํ ๋ฐฉ์ ๋ถํฌ๋ฅผ ๋ฐํ์ผ๋ก ๋์ถ๋์์์ ๋ฐํ๋ค.
๊ทธ๋ฆผ 9๋ ๊ฐ ์ธ์ฅ ์๋ฎฌ๋ ์ด์
์ ๊ฒฐ๊ณผ๋ก ์ป์ด์ง ๊ทน์ ๋๋ฅผ ๋ณด์ธ๋ค. ๊ฐ๊ธฐ ๋ค๋ฅธ ์ธ์ฅ ์คํ์ ๋ฐ๋ผ ๊ตฌ๋ถ๋๋ ์งํฉ ์กฐ์ง์ ๋ฐ๋ฌ์ด ๋ณด์ด๋ฉฐ, ์ด๋ ์ด๊ธฐ ์งํฉ์กฐ์ง (๊ทธ๋ฆผ 1)๊ณผ ๋๋ ทํ๊ฒ ๊ตฌ๋ถ๋๋ค. ๋ค๋ง, ๋ณธ ์ฐ๊ตฌ์์ ์ํ๋ ์ธ์ฅ ์คํ ์ฌ์ด์์๋ ๋น๊ต์ ๋น์ทํ ์งํฉ์กฐ์ง์ ๋ฐ๋ฌ์ด ๋ณด์ธ๋ค.
4.2 ์๋ ฅ ์ผ์ถ์ฑ
3.1์ฅ์ ์๊ฐ๋ ฮEVPSC ๋ชจ๋ธ์ ๋
๋ฆฝํ(stand-alone) ์ฝ๋๋ฅผ ํ์ฉํ์ฌ 3.2์ฅ์ ์ค๋ช
๋ ๋ฐฉ๋ฒ์ผ๋ก ์ป์ด์ง ๊ฒฝ๊ณ์กฐ๊ฑด์ ๋ถ๊ณผํ ์ ์๊ณ ,
์ด๋ฅผ ํ์ฉํ๋ฉด DIC ๋ฐ์ดํฐ๊ฐ ์ถ์ถ๋ ๊ฐ ๋ฌผ์ง์ ์์์ ์๋ ฅ ๋ณํ๋ฅผ ๊ณ์ฐํ ์ ์๋ค. ๊ฐ ๋ฌผ์ง์ ์ ๋ค๊ฒฐ์ ๋ฐฉ์ ๋ถํฌ๋ฅผ 500๊ฐ์ ์ด์ฐ ๋ฐฉ์๋ก ๋ํํ์๊ณ ,
ํ2์ 3์ ๋ฌผ์ฑ์น๋ฅผ ์ฌ์ฉํ์๋ค. ์ฌ๋ฌ ๋ฌผ์ง์ ์์ ๊ณ์ฐํ ์๋ ฅ ์ผ์ถ์ฑ์ ๋ชจ์ ํ๊ดด ๋ฐ์ ์ง์ ์ ์ทจ๋ํ ๋์งํธ ์ด๋ฏธ์ง์์ ์ป์ ๊ฒฐ๊ณผ๋ฅผ ๊ทธ๋ฆผ 10์ ๋ํ๋๋ค. ๊ทธ๋ฆผ 10(a), (b), (c)์ ๋ณด์ธ ๊ฒฐ๊ณผ๋ ๊ฐ๊ฐ ๊ทธ๋ฆผ 1์ ๋ณด์ธ ์คํ์ ํด๋นํ๋ฉฐ, ์ธ์ฅ๋ฐฉํฅ์ด TD์ ์ผ์นํ ๊ฒฐ๊ณผ๋ง ๋ํ๋๋ค. ์ด๋ ์๋ ฅ ์ผ์ถ์ฑ ๊ณ์ฐ์ ํ์ํ ์๋ ฅ์ฅ ๋ฐ ๋ณํ๋ฅ ์ ์ํธ์ ํ๋จ ์์ญ์ ์ค์ฌ๋ถ์์
์ป์ ๋ฐ์ดํฐ๋ค์ ํ๊ท ๊ฐ์ ์ฌ์ฉํ์์ผ๋ฉฐ, ์ด๋ ๊ทธ๋ฆผ 10์์ ๊ฒ์ ์ฌ๊ฐํ์ผ๋ก ๋ํ๋ธ ์์ญ ๋ด๋ถ์ ํด๋นํ๋ค. ๋ฌผ์ง์ ์ ์์น๋ฅผ ๋ํ๋ด๋ x ๋ฐ y ์ขํ๊ฐ์ ์ด๋ฏธ์ง์ ํฝ์
์ฌ์ด์ ์๋์ ๊ธธ์ด๋ฅผ ๋ํ๋ธ๋ค. 2.1์ฅ์
๊ธฐ์ ๋ ๋ชจ๋
ธ ์นด๋ฉ๋ผ ์์คํ
์ฌ์ฉ์ ๊ธฐ์ธํ์ฌ ๋ฌผ๋ฆฌ์ ๋จ์(์ mm)๋ก ๊ต์ ํ ์ ์๋ ํ๊ณ๊ฐ ์์ง๋ง, ์ถํ ํ์์ฐ๊ตฌ์์ ์คํ
๋ ์ค(stereo) ์นด๋ฉ๋ผ
์์คํ
์ด ์ฌ์ฉ๋๋ฉด ์ฝ๊ฒ ๋ณด์๋ ์ ์๋ค. ๊ทธ๋ฆผ 10์ ๋ณด์ธ ์๋ ฅ ๋ถํฌ ๊ฒฐ๊ณผ์ ์์น๋ ๊ทธ๋ฆผ 11์ ๋ณด์ธ ์ ํ์์ ํด์ ๊ฒฐ๊ณผ์์ ๋ถ์ ์ฌ๊ฐํ ์์ญ ๋ด๋ถ์ ํด๋นํ๋ค. ๊ทธ๋ฆผ 10์ ์ํ๋ฉด ฮEVPSC ๋
๋ฆฝํ ์ฝ๋๊ฐ (a) ์ผ์ถ ์ธ์ฅ, (b)๋
ธ์น ์ธ์ฅ ๋ฐ (c)ํ๋ฉด ์ธ์ฅ ์คํ์์ ์๋ ฅ ์ผ์ถ์ฑ ํ๊ท ๊ฐ์ ๊ฐ๊ฐ 0.339, 0.40,
๊ทธ๋ฆฌ๊ณ 0.51์ผ๋ก ๊ตฌ๋ถํ์ฌ ์์ธกํ๋ ๊ฒ์ ์ ์ ์๋ค.
์ ๋
๋ฆฝํ ์ฝ๋๋ฅผ ํ์ฉํ ๊ฒฐ๊ณผ์ ๋น๊ตํ๊ธฐ ์ํด, ฮEVPSC-FE ์ฝ๋๋ฅผ ํ์ฉํ์ฌ ์ ํ์์ ํด์์ ์งํํ๋ค(๊ทธ๋ฆผ 11). ์ํผ ์ปดํจํ
์ผํฐ์ ๋๋ฆฌ์จ(Nurion)์ ํ์ฉํ์ฌ CPU core 40๊ฐ๋ฅผ ์ฌ์ฉํ์๊ณ , ์ ํ์์ ํด์ ์ ์ผ์ถ ์ธ์ฅ์ ์ฝ 2์๊ฐ, ๋
ธ์น ์ธ์ฅ์
์ฝ 10์๊ฐ, ๊ทธ๋ฆฌ๊ณ ํ๋ฉด ๋ณํ ์ธ์ฅ์ ์ฝ 11์๊ฐ์ด ์์๋์๋ค. ์๋ ฅ ์ผ์ถ์ฑ ๊ณ์ฐ์ ํ์ํ ๋ฐ์ดํฐ๋ ๊ทธ๋ฆผ 11์ ํ์๋ ๊ฒ์์ ์์ญ ๋ด๋ถ์์ ์ทจ๋ํ ๊ฐ๋ค์ ํ๊ท ๊ฐ์ ์ฌ์ฉํ์์ผ๋ฉฐ, ๊ทธ ๊ฒฐ๊ณผ๋ฅผ ์๋์ ์์ธํ ๊ธฐ์ ํ๋ฉด ๋ค์๊ณผ ๊ฐ๋ค.
์ผ์ถ ์ธ์ฅ์ ๊ฒฝ์ฐ ์๋ ฅ ์ผ์ถ์ฑ์ 0.33์ผ๋ก์จ ๊ฒ์ด์ง ๋ด์ ๊ฑฐ์ ๊ท ์ผํ ๋ฐ์์ ๋ณด์์ผ๋ฉฐ, ํ๊ท ๋ณํ๋ฅ ์ ์ธ์ฅ์ด ๋๋๋ ์ง์ ์์ 0.175๋ก ๊ณ์ฐ๋์๋ค.
๋
ธ์น ์ธ์ฅ์ ๊ฒฝ์ฐ ์๋ ฅ ์ผ์ถ์ฑ์ด 0.47~0.48, ํ๊ท ๋ณํ๋ฅ ์ 0.420์๋ค. ๋ง์ง๋ง์ผ๋ก ํ๋ฉด ๋ณํ ์ธ์ฅ์ ์๋ ฅ ์ผ์ถ์ฑ์ 0.512~0.545
์ฌ์ด๊ฐ์ ๊ฐ์ง๊ณ ๊ฐ์ํ๋ ๊ฒฝํฅ์ฑ์ ๋ณด์์ผ๋ฉฐ, ํ๊ท ๋ณํ๋ฅ ์ 0.612๋ก ๊ณ์ฐ๋์๋ค. ์์ ์ค๋ช
ํ ๋
๋ฆฝํ ์ฝ๋ ๊ฒฐ๊ณผ์ ๋ง์ฐฌ๊ฐ์ง๋ก, ๊ทธ๋ฆผ 11์์ (a)์ผ์ถ ์ธ์ฅ, (b)๋
ธ์น ์ธ์ฅ, ๊ทธ๋ฆฌ๊ณ (c)ํ๋ฉด ๋ณํ ์ธ์ฅ ์์ผ๋ก ๋์ ์๋ ฅ ์ผ์ถ์ฑ ๊ฒฐ๊ณผ๊ฐ ๋ํ๋๋ ๊ฒ์ ํ์ธํ์๋ค.
์ด๋ ฮEVPSC-FE ๊ฒฐ๊ณผ์์ ๋ค์๊ณผ ๊ฐ์ ๋ ๊ฐ์ง ๋ฌธ์ ์ ์ ์ฐพ์ ์ ์์๋ค.
i) ์ผ์ถ์ธ์ฅ์ ํ๊ท ๋ณํ๋ฅ ์ด ๋ฎ๊ฒ ์์ธก๋์๋ค.
ii) ํ๊ท ๋ณํ ์ธ์ฅ์ ์๋ ฅ ์ผ์ถ์ฑ์ด ๊ฐ์ํ๋ ๊ฒฝํฅ์ฑ์ ๋ณด์๋ค.
์ผ์ถ์ธ์ฅ์ ์๋ ฅ ์ผ์ถ์ฑ์ 0.33์ผ๋ก ฮEVPSC ๋
๋ฆฝํ ๊ฒฐ๊ณผ์ ์ ์ฌํ ๊ฐ์ ๊ฐ์ก์ผ๋, ํ๊ท ๋ณํ๋ฅ ์ ๊ทธ๋ณด๋ค ์ ๋ฐ ๋ฎ์ 0.175๋ก ๊ณ์ฐ๋์๋ค. ๊ทธ๋ฆผ 12์์ ๋ณด์ด๋ฏ, ๋
๋ฆฝํ ์ฝ๋๋ฅผ ์ฌ์ฉํ ์คํ ๊ฒฐ๊ณผ์์๋ ๊ฒ์ด์ง ์ค์ฌ์ X ํํ์ ๋ณํ ๊ตญ์งํ(localization)๊ฐ ๋ํ๋๋ ๊ฒ์ ํ์ธํ ์ ์๋ค.
๊ทธ๋ฌ๋ ์ ํ์์ ์๋ฎฌ๋ ์ด์
์ ๊ฐ์ ํ ์ค์ ์ (quasi-static) ํด์์ ์ด๋ฌํ ๋ณํ ๊ตญ์งํ๋ฅผ ๋ฐ์ํ ํด์ ๊ฒฐ๊ณผ๋ก ์ด์ด์ง์ง ์์, ๋
๋ฆฝํ ๊ฒฐ๊ณผ์
๋น๊ตํ์์ ๋ ๋งค์ฐ ๋ฎ์ ํ๊ท ๋ณํ๋ฅ ๋ก ์ด์ด์ก๋ค. ์ฐจํ ์ฐ๊ตฌ์์ Explicit/solver๋ฅผ ์ฌ์ฉํ๊ฑฐ๋ dynamic implicit ํด์์ ์ฌ์ฉํ๋ค๋ฉด
์คํ๊ณผ ๋์ฑ ์ ์ฌํ ๊ฒฐ๊ณผ๋ฅผ ๋ณด์ผ ๊ฒ์ผ๋ก ์์ํ๋ค. ๋ํ ํ๋ฉด ๋ณํ ์ธ์ฅ์ ์๋ ฅ ์ผ์ถ์ฑ์ด ์ ์ฌํ ๊ฒฐ๊ณผ๋ฅผ ๊ฐ์ง๋ ๋ฌธํ[35]๊ณผ ๋น๊ตํ์์ ๋ ์ฆ๊ฐํ๋ ๊ฒฝํฅ์ฑ์ ๋ณด์ด๋ ๋ฌธํ๊ณผ ๋ฌ๋ฆฌ, ๋ชจ๋ธ ํด์ ๊ฒฐ๊ณผ๋ ๋ฐ๋๋ก ๊ฐ์ํ๋ ๊ฒฝํฅ์ฑ์ ๋ณด์ธ๋ค. ์ด๋ ์ ํ ์์ ๋ชจ๋ธ๋ง ์์ ๊ทธ๋ฌผ๋ง์
์ํ๊ฐ ์ฌ๋ฃ์ ๊ฑฐ๋์ ๋ชจ์ฌํ ์ ์์ ์ ๋๋ก ์ถฉ๋ถํ ๋ฏธ์ธํ์ง ์์๊ธฐ ๋๋ฌธ์ธ ๊ฒ์ผ๋ก ์ถ์ธก๋๋ค. ํด๋น ๊ฒฐ์ ์์ฑ ๋ชจ๋ธ์ ๊ฒฝ์ฐ์๋ ์ฌ๋ฃ์ ์ด๋ฐฉ์ฑ์ ๋ฐ๋ผ
๊ทธ๋ฌผ๋ง ์์กด์ฑ์ด ๋ฌ๋ผ์ง ์ ์์ผ๋ฏ๋ก[36], ํ์ ์ฐ๊ตฌ์์๋ ์์ ์๋ฅผ ๋๋ฆฌ๊ณ , ์๋ฆฌ๋ (solid) ์์ ํ์
์ ๊ณ ๋ คํ ํ์๊ฐ ์๋ค.
5. ๊ฒฐ ๋ก
๋ณธ ์ฐ๊ตฌ์์๋ ๊ธ์ ํ์ฌ์ ํ๊ดด ๊ฑฐ๋์ ์ดํด๋ณด๊ธฐ ์ํด ํ์ํ ์ฌ๋ฌ ์๋ ฅ ์ํ ๋ฌผ๋ฆฌ๋ ์ค์์ ์ผ์ถ์ฑ์ ๋ณํ์ ์ํ ๋ฐ๋ฌ์ ์๋ฃจ๋ฏธ๋ ํฉ๊ธ AA6061-T6์
๋ํด ๊ด์ธกํ์๊ณ , ๋จ์ผํ ํ์ ์์ฑ HEM์ ์ฌ์ฉํ ๋ค๊ฒฐ์ ๋ชจ๋ธ ฮEVPSC๋ฅผ ํ์ฉํ์ฌ ํด์ํ ์ ์๋ ๋ฐฉ๋ฒ์ ์๊ฐํ์๋ค. ์ฐ๊ตฌ์ ๊ฒฐ๊ณผ๋ ๋ค์๊ณผ ๊ฐ์ด
์์ฝํ ์ ์๋ค:
1. ฮEVPSC ๋ชจ๋ธ์ ์๋ฃจ๋ฏธ๋ ํฉ๊ธ AA6061-T6์ ์ ์ฉํ์์ผ๋ฉฐ, ํ์ฌ ์ํธ์ ๋๊ป ์ ์์ญ์ ํฌํจํ์ฌ ๊ฒฐ์ ๋ฐฉ์ ๋ถํฌ๋ฅผ ์ถ์ถํ์ฌ์ผ R๊ฐ์ ์คํ์
๊ฒฝํฅ์ฑ์ ๋ชจ๋ธ๋ก ์์ธกํ ์ ์์๋ค. ์ด๋ ๋ณธ ์๋ฃจ๋ฏธ๋ ํฉ๊ธ ์ํธ๊ณผ ๊ฐ์ด ๋๊ป ๋ฐฉํฅ์ผ๋ก์ ์งํฉ์กฐ์ง ๊ตฌ๋ฐฐ๊ฐ ๊ทน์ ๋ ์์์ ๋น๊ต์ ๋๋ ทํ์ง ์๋๋ผ๋, ๊ฒฐ์
์์ฑ ๋ชจ๋ธ์ ์์ธก ์ ํ๋๋ฅผ ํฅ์์ํค๊ธฐ ์ํด์๋ ๋๊ป ๋ฐฉํฅ ๋จ๋ฉด์ ํฌํจํ ๋ฐฉ์ ๋ถํฌ๋ฅผ ์ฌ์ฉํ์ฌ ๊ทธ ํต๊ณ์ ๋ํ์ฑ์ ๋์ฌ์ผ ํจ์ ์์ฌํ๋ค.
2. AA6061-T6 ํ์ฌ๋ก ์ผ์ถ ์ธ์ฅ, ๋
ธ์น ์ธ์ฅ ๋ฐ ํ๋ฉด ๋ณํ ์คํ์ ์งํํ์๋ค. ๋์์ DIC ๊ธฐ๋ฒ์ผ๋ก ์ฌ๋ฃ ํ๋ฉด์ ๋ณํ๋ฅ ์ฅ ๋ณํ๋ฅผ ์ธก์ ํ๊ณ ,
ฮEVPSC ๋
๋ฆฝํ ์ฝ๋๋ฅผ ํ์ฉํ์ฌ ์๋ ฅ ์ฅ ๋ณํ๋ฅผ ์์ธกํ์๋ค. ์ด๋ฅผ ๊ธฐ๋ฐ์ผ๋ก ์๋ ฅ ์ผ์ถ์ฑ์ ๊ณ์ฐํ์ฌ ๋ฌธํ[35]๊ณผ ๋น๊ตํด ๋ณด์์ ๋ ์ ์ฌํ ๊ฒฝํฅ์ฑ์ ๊ฐ์ง๋ ๊ฒ์ ํ์ธํ ์ ์์๋ค.
3. ์ฌ์ฉ์์ฌ๋ฃ ์๋ธ๋ฃจํด์ ํ์ฉํ์ฌ ๋์ผํ ๋ชจ๋ธ์ ์ ํ ์์ ์๋ฎฌ๋ ์ด์
์ ํ์ฉํ ํด์ ๊ฒฐ๊ณผ๋ฅผ ๋
๋ฆฝํ ์ฝ๋๋ก ๊ณ์ฐ๋ ์๋ ฅ ์ผ์ถ์ฑ ๊ฒฐ๊ณผ ๋ฐ ๋ฌธํ์ ์ ๊ณ ๋
๊ฒฐ๊ณผ[35]์ ๋น๊ตํ์๋ค. ๋ ๊ฒฐ๊ณผ์ ์ ์ฌํ๊ฒ ์ผ์ถ, ๋
ธ์น ๊ทธ๋ฆฌ๊ณ ํ๋ฉด ๋ณํ ์์ผ๋ก ๋์ ์๋ ฅ ์ผ์ถ์ฑ์ด ๊ณ์ฐ๋์์ผ๋, ์ ํ์์ ์๋ฎฌ๋ ์ด์
์์ ๊ฐ์ ํ ์ค์ ์
ํด์์ ๋ณํ ๊ตญ์งํ๋ฅผ ๋ฐ์ํ์ง ์์ ์ผ์ถ ์ธ์ฅ์ ํ๊ท ๋ณํ๋ฅ ์ด ๋งค์ฐ ๋ฎ๊ฒ ์์ธก๋์๋ค. ์ด๋ Explicit/solver ์ฌ์ฉ ๋ฐ dynamic implicit
ํด์ ์ฌ์ฉ ๋ฑ์ผ๋ก ๊ฐ์ ๊ฐ๋ฅํ ๊ฒ์ผ๋ก ์์ํ๋ค. ๋ํ ํ์ ์ฐ๊ตฌ์์ ์ ํ์์ ๋ชจ๋ธ์ ์์ ์๋ฅผ ๋๋ฆฌ๊ณ ์๋ฆฌ๋ ์์ ํ์
์ ๊ณ ๋ คํ๋ค๋ฉด ๋์ฑ ์์ธก ์ ํ๋๋ฅผ
๋์ผ ์ ์์ ๊ฒ์ผ๋ก ์์๋๋ค.
Acknowledgements
์ด ๋
ผ๋ฌธ์ 2021~2022๋
๋ ์ฐฝ์๋ํ๊ต ์์จ์ฐ๊ตฌ๊ณผ์ ์ฐ๊ตฌ๋น ์ง์์ผ๋ก ์ํ๋ ์ฐ๊ตฌ๊ฒฐ๊ณผ์.
REFERENCES
Tokunaga. T., Horita K. Kaneko. Z., Mater. Sci. Eng. A,490, 300 (2008)

Yoon J. W., Barlat F., Dick R. E., Karabin M. E., Int. J. Plast,22, (1), 174 (2006)

Jeong Y., Manninen T., Met. Mater. Int.,25, (6), 1548 (2019)

Barlat F., Lian K., Int. J. Plast.,5, (1), 51 (1989)

Bai Y., Wierzbicki T., Int. J. Fract.,161, (1), 1 (2010)

Gurson A. L., J. Eng. Mater. Technol.,99, (1), 2 (1977)

Tvergaard V., Needleman A., Acta metallurgica,32, (1), 157 (1984)

Stoughton T. B., Int. J. Mech. Sci.,42, (1), 1 (2000)

Jeong Y., Iadicola M. A., Gnรคupel-Herold T., Creuziger A., Acta. mater,112, 84 (2016)

Mohr M. DunD., J. Mech. Phys. Solids.,59, (7), 1374 (2011)

Hill R., Proc. Math. Phys. Eng. Sci.,193, (1033), 281 (1948)

Barlat F., Brem J. C., Yoon J. W., Chung K., Dick R. E., Lege D. J., Chu E., Int.
J. Plast,19, (9), 1297 (2003)

Yoon J. W., Barlat F., Gracio J. J., Rauch E., Int. J. Plast,21, (12), 2426 (2005)

Lebensohn R. A., Tomรฉ C. N., Acta metallurgica et materialia,41, (9), 2611 (1993)

Molinari A., Canova G.R., Ahzi S., Acta Metallurgica,35, (12), 2983 (1987)

Kabirian F., Khan A. S., Gnรคupel-Herlod T., Int. J. Plast,68, 1 (2015)

Kim T.-R., Lee C.-S., Korean J. Met. Mater,58, 357 (2020)

Wang H., Wu P. D., Tomรฉ C. N., Huang Y., J. Mech. Phys. Solids,58, (4), 594 (2010)

Molinari A., Canova G. R., Ahzi S., Acta Metallurgica,35, (12), 2983 (1987)

Kouddane R., Molinari A., Canova G. R., Large Plastic Deformations,129-141, Routledge
(1993)

Molinari A., J. Eng. Mater. Technol.,124, (1), 62 (2002)

Mercier S., Molinari A., Berbenni S., Berveiller M., Model. Simul. Mat. Sci. Eng.,20,
(2), 024004 (2012)

Jeong Y., Tomรฉ C. N., Model. Simul. Mat. Sci. Eng.,27, (8), 085013 (2019)

Jeong Y., Tomรฉ C. N., Int. J. Plast,135, 102812 (2020)

Jeong Y., Jeon B., Tomรฉ C. N., Int. J. Plast,147, 103110 (2021)

Lee J., Park H., Joo M., Jeong Y., IOP Conference Series: Materials Science and Engineering,967,
(1), 012047 (2020)

Kim M.-S., Kim J. G., Yoo T. H., Jo Y. Y., Lee S., Jeong H.-T., Choi S.-H., Korean
J. Met. Mater,59, 624 (2021)

Jeong Y., Steglich D., Int. J. Mech. Sci,181, 105680 (2020)

Schaeben R. Hielscher H., J. Appl. Crystallogr.,41, (6), 1024 (2008)

Park J. H., M. S. Thesis, Changwon National University,Changwon (2021)

Virtanen P., Gommers R., Oliphant T. E., Haberland M., Reddy T., Cournapeau D., Van
Mulbregt P., Nat. Methods,17, (3), 261 (2020)

Savitzky A., Golay M. J., Anal. Chem.,36, (8), 1627 (1964)

Patil S. D., Narasimhan R., Biswas P., Mishra R. K., J. Eng. Mater. Technol,130, (2),
021013 (2008)

Knezevic M., Zecevic M., Beyerlein I. J., Lebensohn R. A., Comput. Methods. Appl.
Mech. Eng,308, 468 (2016)

Granum H., Morin D., Bรธrvik T., Hopperstad O. S., Int. J. Mech. Sci,192, 106122 (2020)

M. Joo, M.-S. Wi, S.-Y. Yoon, S.-Y. Lee, F. Barlat, C. N. Tomรฉ, B. Jeon, and Y. Jeong,
(submitted),
Figures and Table
Fig. 1.
Specimen dimensions of (a) uniaxial tension, (b) notch tension, and (c) plane-strain
loadings, respectively. The unit of mm was used.
Fig. 2.
The inverse pole figure mapping of the EBSD data obtained from the analysis using
MTEX. The crystallographic orientation distributions from (a) top, (b) middle, and
(c) bottom regions were separately obtained.
Fig. 3.
(111), (200), and (220) pole figures obtained from the EBSD scan shown in Figure 2. From the top row, (a-c) pole figures are corresponding to the regions with the same
label in Figure 2. The pole figures in the bottom row (d) were obtained by combining all (a-c) regions.
Each pole figure was obtained from a set of 6000 discrete orientations.
Fig. 4.
The section of crystallographic orientation distribution at ฯ2=45ยฐ, which corresponds to the pole figures in Figure 3(d).
Fig. 5.
(a) The experimental and the model-predicted stress-strain curves. (b) An enlarged
view of stress-strain curves to compare the elastic moduli.
Fig. 6.
(a) The uniaxial flow stress-strain curves of the AA6061-T6 sample under various strain
rates in RD, TD and DD, respectively. (b) The ฮEVPSC model-calculated flow-stress
strain curves under various strain rates with two separate n values of 20 and 120.
Fig. 7.
The finite element models applied to simulate (a) the uniaxial tension, (b) the notch
tension, and (c) plane-strain tension, respectively
Fig. 8.
The model-predicted R-values based on the four different CODs in Figure 2. The same
label was used to denote such that (a), (b), and (c) results correspond to the top,
the middle and the bottom regions. The results in (d) is based on the combined CODs
spanning the entire TD cross section.
Fig. 9.
The model predicted pole figures at the onset of fracture. Each row of (a-c) corresponds
to the uniaxial tension, the notch tension, and the plane-strain tension.
Fig. 10.
The stress distributions calculated by the EVPSC-SA code for (a) uniaxial tension,
(b) notch tension, and (c) plane-strain tension, respectively
Fig. 11.
The triaxiality distributions obtained from the analysis using the ฮEVPSC-FE code
for (a) uniaxial tension, (b) notch tension, and (c) plane-strain tension. The region
inside the red square corresponds to the regions in Figure 10. The stresses obtained
with the black squares were used to obtain the triaxiality shown in Figure 13.
Fig. 12.
The distribution component obtained from the ฮEVPSC-SA code using the DIC data of
the uniaxial tension experiment.
Fig. 13.
(a) The equivalent strain vs. triaxiality curves calculated by the ฮEVPSC-SA code
are compared with the similar results reported in [35]. (b) The results based on the
ฮEVPSC-FE simulation.
Table 1.
EBSD specimen preparation procedure
|
|
Surface
|
Abrasive
|
Plate Speed (rpm)
|
Specimen Speed (rpm)
|
Load (kgf)
|
Time (min)
|
|
1
|
#400/800/1200
|
SiC paper (waterproof)
|
300
|
200
|
0.6
|
5
|
|
2
|
#2000
|
SiC paper (waterproof)
|
300
|
200
|
0.6
|
10~15
|
|
3
|
3 ยตm
|
3 ยตm diamond suspension
|
250
|
150
|
0.6
|
15
|
|
4
|
1 ยตm
|
1 ยตm diamond suspension
|
250
|
150
|
0.6
|
20
|
|
5
|
Silica rubber plate
|
Colloidal silica
|
200
|
100
|
0.6
|
24
|
Table 2.
The Voce hardening parameters of AA6061-T6 sample calibrated by fitting with the uniaxial
stress-strain curve. The unit of MPa was used.
|
ฯ0 |
ฯ1 |
ฮธ0 |
ฮธ1 |
|
122
|
64
|
67
|
0
|
Table 3.
The single crystal elastic constants following the Voigt notation. The unit of GPa
was used.
|
|
Cel11 |
Cel12 |
Cel44 |
|
Reference[32]
|
108
|
61
|
28
|
|
This study
|
125
|
70
|
32
|