ํ์ฌํฌ
(Jae Hee Heo)
1
๊ฐ์๋ฏผ
(Young-Min Kang)
**
-
ํ๊ตญ๊ตํต๋ํ๊ต ์์ฉํํ์๋์ง๊ณตํ๋ถ ์๋์ง์์ฌ๊ณตํ์ ๊ณต
(Department of Materials Science and Engineering, Korea National University of Transportation,
Chungju 27469, Republic of Korea)
Copyright ยฉ 2023 The Korean Institute of Metals and Materials
Key words
LSMO, sol-gel method, permittivity, permeability, reflection loss, EM absorption
1. INTRODUCTION
La0.7Sr0.3MnO3 (LSMO)๋ perovskite ๊ตฌ์กฐ๋ฅผ ๊ฐ๋ ๋ง๊ฐ๊ณ ์ฐํ๋ฌผ ์ค ๊ฐ์ฅ ๋์ ํ๋ฆฌ ์จ๋(TC)๋ฅผ ๊ฐ๊ณ , ์ ๊ธฐ์ ๋์ฑ, ์คํ ๋ถ๊ทน ๋ฐ ๊ฒฐ์ ์
๊ณ์์ ์คํ ์์กด ์ฐ๋์ ์ํ ์ ์์ฅ ์๊ธฐ์ ํญ ํน์ฑ (low-field magnetoresistance,
LFMR)๊ณผ ๊ฐ์ ํฅ๋ฏธ๋ก์ด ํน์ฑ์ ๋ณด์ฌ ์๊ธฐ ์ผ์, ์ฐ๋ฃ์ ์ง์ฉ ์ด๋งค ๋ฑ์ผ๋ก ์ฐ๊ตฌ๋๊ณ ์๋ค[1-5]. LSMO๊ฐ ์ฐํ๋ฌผ์์๋ ์ ๊ธฐ์ ๋ ํน์ฑ์ ๊ฐ๋ ๊ฒ์ Mn3+ ์ Mn4+ ๊ฐ์ electron hoping์ ์ํ ๊ฒ์ผ๋ก, ์ฐ์์ด์จ์ ๋งค๊ฐ๋ก Mn ์ด์จ๋ค ๊ฐ์ ์ ์๋ฅผ ๊ตํํ๋ ์ด์ค๊ตํ๊ธฐ๊ตฌ (double exchange
mechanism)๋ ํ๋ฆฌ์์ฑ(Ferri-magnetism) ํน์ฑ์ ๋ฐํํ๋ ๊ทผ์์ด๊ธฐ๋ ํ๋ค[1,2]. LSMO๋ ์ฐ์์ฑ ํน์ฑ๊ณผ ์ ๊ธฐ์ ๋์ฑ์ ๋์์ ๊ฐ๊ธฐ ๋๋ฌธ์ ์ ์๊ธฐํ์ ์ฐจํ ๋ฐ ํก์ ํน์ฑ๋ ๊ตฌํ ๊ฐ๋ฅํ๋ฉฐ, ์ต๊ทผ ์ด์ ๋ํ ๋ช๋ช ์ฐ๊ตฌ ๊ฒฐ๊ณผ๋ค์ด
๋ณด๊ณ ๋๊ณ ์๋ค[6-8].
์ ๋์ฑ์ด ๋์ ์
์๋ฅผ ๊ณ ๋ถ์ ๊ธฐ์ฌ ๋ด์ ๋ถ์ฐ์ํจ ํํ์ ์ ์๊ธฐํ ํก์์ฒด์ ๊ฒฝ์ฐ ์ผ๋ฐ์ ์ผ๋ก ๊ณ ์ฃผํ์์๋ ์ ์ ์จ์ด ๋๊ธฐ ๋๋ฌธ์ ์ํผ๋์ค ์ ํฉ์ ์ด๋ฃจ๋
ํน์ ๋๊ป์ ์ฃผํ์ ๋์ญ ์ธ์์๋ ์ ์๊ธฐํ๋ฅผ ๋ฐ์ฌ์ํค๋ ๊ฒฝํฅ์ด ๊ฐํ๋ค. ๋ฐ์ฌ๋์ง ์๊ณ ํก์์ฒด ๋ด๋ก ์
์ฌํ ์ ์๊ธฐํ๋ฅผ ํก์ํ๊ธฐ ์ํด์๋ ํก์์ฒด ๋ด๋ถ์
์ ์๊ธฐํ๋ฅผ ํก์ํ ์ ์๋ ํก์ ๊ธฐ๊ตฌ (mechanism)๊ฐ ์กด์ฌํด์ผ ํ๋๋ฐ ์ ๋์ฑ ์
์ ๋ด์์ ์ ํ์ ์ง๋์ ์ํ ์ ์ ์ ์ธ ์์ค ๊ธฐ๊ตฌ๊ฐ ์ ์๊ธฐํ๋ฅผ
ํก์ํ ์ ์๊ฒ ๋๋ค[9]. ํก์์ฒด ๋ด์ ์์ฑ์ ๋๋ ์
์๊ฐ ์๋ ๊ฒฝ์ฐ๋ ๊ณ ์ฃผํ์์ ์๋ฒฝ (magnetic domain wall)์ ์ด๋์ด๋ ์ ์ ์คํ์ ์ด๋์ ์ํ ์๊ธฐ์
์์ค์ด ์ ์๊ธฐํ๋ฅผ ํก์ํ ์ ์๋ ์ฃผ์ํ ๊ธฐ๊ตฌ๊ฐ ๋ ์ ์๋ค. ์ด๋ฌํ ์ ์ ์ , ์๊ธฐ์ ์์ค ๊ธฐ๊ตฌ๋ ๋ณต์ ์ ์ ์จ ๋ฐ ๋ณต์ ํฌ์์จ์ ํ์๋ถ ๊ฐ๊ณผ ๊ด๋ จ๋์ด
์๋ค[1,4-5]. ์ ๋์ฑ๊ณผ ์์ฑ์ ๋ชจ๋ ๊ฐ๋ LSMO ์
์๋ฅผ ์ ์ฐ์ฒด ๊ณ ๋ถ์ ๊ธฐ์ฌ ์์ ๋ฃ์ ๋ณตํฉ์์ฌ๋ ์ ์ ๋ฐ ์์ฑ ํน์ฑ์ ์ํ ์ ์๊ธฐํ ํก์๊ฐ ๋ชจ๋ ๊ฐ๋ฅํ ๊ฒ์ผ๋ก
๊ธฐ๋ํ ์ ์๋ค.
La-Sr manganite (LSMO)๋ ๊ณ ์๋ฒ (solid-state reaction), ์กธ๊ฒ๋ฒ (sol-gel method) ๋ฑ ๋ค์ํ ํฉ์ฑ
๋ฐฉ๋ฒ์ด ์๋๋ฐ, ์ด ์ค ์กธ๊ฒ๋ฒ์ ๋ฐฐ์ํํฉ๋ฌผ์ด ์์ ๊ฐ์ ๊ฒฐํฉ์ ๋์ด ๋ค์์ ํํฉ๋ฌผ์ ํฉ์ฑํ๋๋ฐ ์ฉ์ดํ๊ณ , ๊ณ ์๋ฒ๊ณผ ๋น๊ตํ์ ๋ ์ด์ฒ๋ฆฌ ์จ๋๊ฐ ์๋์ ์ผ๋ก
๋ฎ๊ณ ๋น๊ต์ ๋จ์ํ ๊ณต์ ์ผ๋ก ๋๋
ธ ์ฌ์ด์ฆ์ ๊ฒฐ์ ๋ถ๋ง์ ์ป์ ์ ์๋ ์ฅ์ ์ด ์๋ค[10-12]. ์ต๊ทผ ์ฐ๊ตฌ๋ค์ ๋ณด๋ฉด sol-gel ๋ฒ์ผ๋ก ์ ์กฐํ LSMO ๋๋
ธ์
์๋ ๋ฐ๋ง์ ๋ค์ํ ์ ์๊ธฐ์ ๋ฌผ์ฑ์ ํ๊ฐํ๊ณ ์์ผ๋ ์ ์๊ธฐํ ํก์ ํน์ฑ์ ์ฐ๊ตฌํ
๋ณด๊ณ ๋ ๋งค์ฐ ๋๋ฌผ๋ค. ๋ค๋ง ์ต๊ทผ์ ๋ณด๊ณ ๋ ๋ช๋ช ์ฐ๊ตฌ๊ฐ LSMO ๋จ์ผ ์์ฌ๋ณด๋ค๋ CNT, reduced graphene oxide (RGO), Carbonyl
iron (CI) ๋ฑ๊ณผ ํจ๊ป ๋ณตํฉํํ์ฌ ์ฒจ๊ฐ๋ฌผ ํจ๋ ์กฐ์ ์ ์ํ ์ํผ๋์ค ์ ํฉ ์กฐ๊ฑด์์ ์ ์๊ธฐํ ํก์ ํน์ฑ์ ๋ณด๊ณ ํ๊ณ ์์ด LSMO์ ์ํ ํก์ ํน์ฑ๊ณผ
๊ตฌ๋ณํ๊ธฐ ์ด๋ ค์ด ์ ์ด ์๋ค[13-17]. ๋ณธ ์ฐ๊ตฌ์์๋ ์กธ๊ฒ๋ฒ์ ํตํด ์ป์ด์ง LSMO์ ๋ถ๋ง์ ๋๊ธฐ ๋ถ์๊ธฐ ์ค, 600โ1200oC์ ๋์ ์ด์ฒ๋ฆฌ ์จ๋ ์์ญ์์ ๊ฐ๊ฐ ํ์ (calcination)๋ฅผ ์งํํ์์ ๋ ํ๊ท ์
๋๊ฐ ์ญ ์ nm ~ ๋ง์ดํฌ๋ก ์์ญ์ ๋ค์ํ ํฌ๊ธฐ๋ก ๋จ์ผ
์ ๊ฒฐ์ ๋ฆฝ์ผ๋ก ์ป์ด์ง๋ ๊ฒ์ ํ์ธํ์๋ค. ์ด์ ํ์ ์จ๋ (Tcal)์จ๋์ ๋ฐ๋ฅธ LSMO ๋ถ๋ง ์๋ฃ์ ์๊ธฐ์ ํน์ฑ, ๊ณ ์ฃผํ ์ ์ ์จ ๋ฐ ํฌ์์จ ํน์ฑ,
์ ์๊ธฐํ์ ์ฐจํ ๋ฐ ํก์ ํน์ฑ, ๊ทธ๋ฆฌ๊ณ ์ด๋ค ํน์ฑ ๊ฐ์ ์๊ด ๊ด๊ณ์ ๋ํด ์ฐ๊ตฌํ์๋ค.
2. EXPERIMENTAL
La0.7Sr0.3MnO3๋ฅผ ์กฐ์ฑ์์ผ๋ก ํ๊ณ Perovskite๋ฅผ ๊ฒฐ์ ๊ตฌ์กฐ๋ฅผ ๊ฐ๋ LSMO ๋ถ๋ง์ ์กธ๊ฒ๋ฒ์ ์ด์ฉํด ํฉ์ฑํ์๋ค. ์ถ๋ฐ ์๋ฃ๋ก La(NO3)3ยท6H2O (99.995%, Acros Organics), Sr(NO3)3 (99+%, Acros Oganics), Mn(NO3)2ยท4H2O (98%, Alfa Aesar) ๋ถ๋ง์ ์ฌ์ฉํ์ฌ ์์ด์จ ์กฐ์ฑ ๋น์จ์ ๋ฐ๋ผ ์นญ๋ํ ํ, ๋ถ๋ง๊ณผ citric acid (C6H8O7, Acros Oganics)๋ฅผ 1 ๋ 1์ ๋ฌด๊ฒ๋น๋ก ํผํฉํ์๋ค. ํผํฉ๋ ๋ถ๋ง์ ์ต์ํ์ ์ฆ๋ฅ์๋ฅผ ๋ฃ์ด ๊ณ ์ ๋ถ๋ง์ด ๋ชจ๋ ์ฉํด๋๋๋ก ํ์๊ณ , ์๋ชจ๋์์
(NH4OH, Alfa Aesar)๋ฅผ ์ฉ์ก์ ์ฒจ๊ฐํ์ฌ pH = 7์ด ๋๋๋ก ๋ง์ถ์๋ค. 100 oC์์ ํผํฉ ์ฉ์ก์ ๋ง๊ทธ๋คํฑ ๋ฐ๋ฅผ ํ์ ์์ผ ๊ต๋ฐ ์ํค๋ฉด์ ์ฉ์ก์ ๋ชจ๋ ์ฆ๋ฐ์ํค๊ณ ์ฐ์๊ฐ ๋ ๋๊น์ง ์ ์งํ์๋ค. ์ฐ์๋ ๋ถ๋ง์ ๊ฑด์กฐ๋ก์ ๋ฃ๊ณ 180
oC, 20 ์๊ฐ ๊ฑด์กฐ์์ผฐ๋ค. ๊ฑด์กฐ๊ฐ ์๋ฃ๋ ๋ถ๋ง์ ์๋ฃจ๋ฏธ๋ ๋๊ฐ๋์ ๋ด์ 500~ 1200 oC ์จ๋ ๊ตฌ๊ฐ์์ 100 oC ๋จ์๋ก ๊ณต๊ธฐ ์ค 4 ์๊ฐ์ฉ ๊ฐ๊ฐ ํ์ํ์๋ค. ์ด์ฒ๋ฆฌ๊ฐ ๋๋ LSMO ๋ถ๋ง๊ณผ ๊ณ ํ epoxy (YD-014, ๊ตญ๋ํํ)๋ฅผ 9 : 1 ๋ฌด๊ฒ๋น๋ก ํผํฉ
๋ฐ ๋ถ์ํ์ฌ ํ ๋ก์ด๋ (toroid) ํํ์ ๋ชฐ๋ (์ธ๊ฒฝ 7.00 mm, ๋ด๊ฒฝ 3.03 mm)์ 0.2 g์ ์นญ๋ํ์ฌ ๋ฃ๊ณ 0.2 ton์ ์๋ ฅ์
๊ฐํด ์ฑํํ ํ 180 oC์์ 20๋ถ ๋์ ๊ฒฝํ์์ผฐ๋ค. ๊ฒฝํ ํ LSMO-epoxy ๋ณตํฉ์ฒด๋ฅผ ์ธ๊ฒฝ 7.00 mm, ์ธ๊ฒฝ 3.03 mm๊ฐ ๋๋๋ก ํ๊ฐ๊ณตํ์๋ค.
LSMO ๋ถ๋ง์ ๊ฒฐ์ ๊ตฌ์กฐ๋ Cu Kฮฑ radiation (ฮป = 0.154056 nm)์ ์ฌ์ฉํ๋ X-์ ํ์ ๋ถ์๊ธฐ (XRD, D2 Phaser,
Bruker)๋ฅผ ์ฌ์ฉํ์ฌ ๋ถ์ํ์๊ณ , ํ์ ํ ๋ถ๋ง์ ๋ฏธ์ธ ๊ตฌ์กฐ์ ์
์ ํฌ๊ธฐ๋ฅผ ๊ด์ฐฐํ๊ธฐ ์ํด ์ ๊ณ๋ฐฉ์ฌํ ์ฃผ์ฌ ์ ์ ํ๋ฏธ๊ฒฝ(FE-SEM, JSM-7610F,
JEOL)์ ์ด์ฉํ์๋ค. ํ๊ท ๊ฒฐ์ ๋ฆฝ์ ํฌ๊ธฐ๋ line intercept ๋ฒ์ SEM image ์์ ์ ์ฉํ์ฌ ๋์ถํ์๋ค. ์์จ์์ ์ํ์ง๋ ์๋ ฅ๊ณ
(VSM, LakeShore 7410)๋ฅผ ์ฌ์ฉํด ์๊ธฐ์ฅ -10kOe โค H โค 10kOe ๊ตฌ๊ฐ์์ ํ์๋ LSMO ๋ถ๋ง์ M-H curves๋ฅผ ์ธก์ ํ์๋ค. LSMO ๋ถ๋ง-epoxy ๋ณตํฉ์ฒด์ ๋ณต์ ์ ์ ์จ์ ์ค์๋ถ (ฮต') ๋ฐ ํ์๋ถ (ฮต'')์ ๋ณต์ ํฌ์์จ์ ์ค์๋ถ (ฮผ')
๋ฐ ํ์๋ถ (ฮผ'')๋ ์ต์ข
๊ฐ๊ณต๋ ํ ๋ก์ด๋ํ ์ํ์ ๋ํด์ ๋ฒกํฐ ๋คํธ์ํฌ ๋ถ์๊ธฐ (Vector Network Analyzer, E50356A, Keysight)๋ฅผ
์์ด ๋ผ์ธ(air-line) ํคํธ (85052BR03)๊ณผ ํจ๊ป ์ฌ์ฉํด 100 MHz~ 18 GHz ์ฃผํ์ ๊ตฌ๊ฐ์์ ์ธก์ ํ์๋ค.
3. RESULTS AND DISCUSSION
Fig 1์ LSMO๋ฅผ ์กธ๊ฒ๋ฒ์ผ๋ก ํฉ์ฑ ํ ๊ณต๊ธฐ ์ค์์ 500 oC๋ถํฐ 1200oC๊น์ง 100oC ๊ฐ๊ฒฉ์ผ๋ก 4์๊ฐ ํ์ํ ์ํ์ X-์ ํ์ ํจํด์ ๋ณด์ฌ์ค๋ค. Perovskite ๊ตฌ์กฐ๋ฅผ ๊ฐ๋ ๋จ์์ LSMO ํ์ ํจํด์ด 600 oC ์ด์์์ ํ์ธ๋๋ค. ๊ทธ๋ฆผ์ inset ๋ถ๋ถ์ 2ฮธ = 47o ๋ถ๊ทผ์ (024) ๋ฉด ํ์ peaks๋ฅผ ๋ณด์ฌ์ค๋ค. ํ์ ์จ๋๊ฐ ์ฌ๋ผ ๊ฐ์๋ก ํ์ peak์ด
sharpํ๊ฒ ๋ณํ๋ ๊ฒ์ ์ ์ ์๋๋ฐ ์ด๋ ๊ฒฐ์ ์ ํฌ๊ธฐ๊ฐ ์ปค์ง๊ธฐ ๋๋ฌธ์ด๋ค. ์๋ ์ (1)์ Scherrer equation [18]์ ํตํด 600oC, 800 oC, 1000 oC ๋ฐ 1100 oC์์ ํ์๋ LSMO ์๋ฃ์ ๋ํด ๊ฒฐ์ ๋ฆฝ์ ํฌ๊ธฐ๋ฅผ ๊ณ์ฐํ์ฌ Table 1์ ๋ํ๋๋ค.
์ฌ๊ธฐ์ ฮป๋ X-์ ์ ํ์ฅ ๊ธธ์ด (โซ), B๋ ๋ฐ์นํญ (FWHM), ฮธ๋ (024) ๋ฉด์ ํ์ ๊ฐ๋๋ฅผ ๋ํ๋ธ๋ค. ์ ์์ ๊ฒฐ์ ์ ํฌ๊ธฐ๊ฐ ์ ์ญ nm
์ดํ์ผ ๋๋ง ์ ํจํ ์์ผ๋ก ๊ฒฐ์ ์ด ๋ง์ดํฌ๋ก scale์ ๊ฐ๊น์ธ์๋ก ๊ฒฐ๊ณผ๊ฐ์ด ๋ถ์ ํํด์ง์ ๊ณ ๋ คํด์ผ ํ๋ค.
Fig 2(a)โ2(f)๋ LSMO๋ฅผ 600, 800, 1000, 1100, ๊ทธ๋ฆฌ๊ณ 1200 oC ๊ณต๊ธฐ ์ค์์ ๊ฐ๊ฐ 4์๊ฐ ๋์ ํ์ํ ๋ถ๋ง๋ค์ ์ดฌ์ํ SEM ์ฌ์ง๋ค์ด๋ค. ํ์ ์จ๋๊ฐ ์ฆ๊ฐํ ์๋ก ๊ฒฐ์ ๋ฆฝ์ ํฌ๊ธฐ๋ ์ปค์ง๋ฉฐ 1100 oC ์ด์์ ์จ๋์์๋ ๋์ ๋๊ฒ ๊ฒฐ์ ๋ฆฝ์ด ์ฑ์ฅํ๋ ๊ฒ์ ์ ์ ์๋ค. ๊ฒฐ์ ๋ฆฝ์ด ๋งค์ฐ ํฌ๊ฒ ์ฑ์ฅํ 1200 oC ์๋ฃ์ ๊ฒฝ์ฐ Fig 2(e)์์ ์๋ฃ์ ์ ๋ฐ์ ์ธ ๋ฏธ์ธ๊ตฌ์กฐ๋ฅผ ์กฐ๋งํ ์ ์์ผ๋ฏ๋ก Fig 2(f) ์์ ๋์ผ ์๋ฃ์ ์ ๋ฐฐ์จ ์ฌ์ง์ ๋ณ๋๋ก ์ ์ํ์๋ค. SEM ์์์ ์ธก์ ํ ํ๊ท ๊ฒฐ์ ๋ฆฝ์ ํฌ๊ธฐ (dSEM)๋ Table 1์ ์ ์ํ์๋ค. Fig 2(a)์ 600 oC ํ์ ์๋ฃ์ ๊ฒฝ์ฐ SEM ์์์ ๊ฒฐ์ ๋ฆฝ์ ํฌ๊ธฐ๋ฅผ ํ์ธํ ์ ์์ ๋งํผ ๋ฏธ์ธํ ๊ฒฐ์ ๋ฆฝ์ ๊ฐ์ง๊ณ ์๋ค. 800 oC ํ์ ์๋ฃ์ ๊ฒฝ์ฐ SEM ์์์ ์ธก์ ํ ํ๊ท ๊ฒฐ์ ๋ฆฝ์ 28 nm๋ก Scherrer equation์ผ๋ก ๊ณ์ฐํ ๊ฐ (27 nm)์ ๊ฑฐ์ ์ผ์นํ๋ค.
์์ Scherrer equation์ผ๋ก ๊ณ์ฐํ ๊ฐ (dsch)๋ค๊ณผ ๋น๊ตํ๋ฉด 1000 oC ์ดํ ์จ๋์์ ํ์ํ ์๋ฃ์ ๊ฒฝ์ฐ๋ ์ ์ฌํ ๊ฐ์ ๋ณด์ด๋ 1100 oC ์ด์ ํ์ํ ์๋ฃ์ ๊ฒฝ์ฐ dSEM ๊ฐ์ด dsch ๋ณด๋ค ์๋ฑํ ํฐ ๊ฐ์ ๋ณด์ด๋๋ฐ ์ด๋ ๊ฒฐ์ ๋ฆฝ์ ํฌ๊ธฐ๊ฐ 100 nm ์ด์์ด ๋๋ฉด ๋ ์ด์ Scherrer equation์ด ์ ํจํ์ง ์๊ธฐ ๋๋ฌธ์ด๋ค.
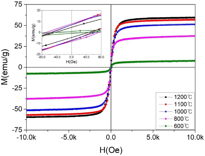
Fig 3(a)โ3(b)์ 600, 800, 1000, 1100 ๋ฐ 1200oC์์ ํ์ํ ์๋ฃ์ ๋ํ ์๊ธฐ์ด๋ ฅ๊ณก์ (M-H curve)์ ๋ณด์ฌ์ค๋ค. ๋ณด์๋ ฅ์ ํฌ๊ธฐ๋ฅผ ๋น๊ตํ ์ ์๋๋ก ์ ์์ฅ ์์ญ์ ๊ทธ๋ฆผ์ inset์ผ๋ก ์ ์ํ์๋ค. Fig 1์ XRD ํจํด์์ ํ์ธ๋ ๋ฐ perovskite ๊ฒฐ์ ์์ด ํฉ์ฑ์ด ๋๊ธด ํ์ผ๋ ์ญ ์ nm์ ๋์ ๋งค์ฐ ๋ฏธ์ธํ ๊ฒฐ์ ๋ฆฝ์ ํฌ๊ธฐ๋ฅผ ๋ณด์ด๋ 600 oC ํ์ ์๋ฃ์ ๊ฒฝ์ฐ M-H curve์์ ๋งค์ฐ ๋ฎ์ MS๊ฐ์ ๋ณด์ด๋ ๊ฒ์ ์ ์ ์๋ค. MS ๊ฐ์ ํ์ ์จ๋์ ๋ฐ๋ผ ์ฆ๊ฐํ๋ฉฐ 1000 oC ์ด์์์ ํ์ํ ์๋ฃ์ ๊ฒฝ์ฐ ์ผ๋ฐ์ ์ธ bulk LSMO์ ํฌํ์ํ ๊ฐ (54.5 emu/g)์ ๋๋ฌํจ์ ์ ์ ์๋ค[19]. HC ๊ฐ์ ํ์ ์จ๋์ ๋ฐ๋ผ ์๋ฏธ ์๋ ์ฐจ์ด๋ฅผ ๋ณด์ด์ง ์์ผ๋ ๊ฒฐ์ ํ๋๊ฐ ๋ฎ๋ค๊ณ ํ๋จ๋๋ 600oC ์๋ฃ์ ๊ฒฝ์ฐ๋ฅผ ์ ์ธํ๋ฉด, ํ์ ์จ๋ ์ฆ๊ฐ์ ๋ฐ๋ฅธ ๊ฒฐ์ ๋ฆฝ์ ํฌ๊ธฐ๊ฐ ์ฆ๊ฐํ ์๋ก ๊ฐ์ํ๋ ๊ฒฝํฅ์ ๋ณด์ธ๋ค. MS ๋ฐ HC ๊ฐ์ Table 1์ ์ ์ํ์๋ค.
Fig 4(a)โ4(d)๋ LSMOโepoxy (10 wt%) ๋ณตํฉ์ฒด ์ํ์ ์ฃผํ์ (100 MHz โค f โค 18 GHz)์ ๋ฐ๋ฅธ ๋ณต์ ์ ์ ์จ (ฮต', ฮต") ๋ฐ ๋ณต์ ํฌ์์จ (ฮผ', ฮผ") spectra๋ฅผ ๋ณด์ฌ์ค๋ค. ํ์ ์จ๋๊ฐ 600 oC์ธ ๊ฒฝ์ฐ ์ฃผํ์์ ๋ฐ๋ผ ํฐ ๋ณํ ์์ด ๋ค๋ฅธ ์๋ฃ๋ค ๋ณด๋ค ์๋์ ์ผ๋ก ๋ฎ์ ์ ์ (ฮต' = ~13, ฮต" = ~2) ๋ฐ ์์ฑ (ฮผ' = ~1, ฮผ"
= ~0) ํน์ฑ์ ๋ณด์ธ๋ค. Perovskite ๊ฒฐ์ ์์ ํ์ฑ๋์์ผ๋ ๊ณ ์ฃผํ ํฌ์์จ ๊ฐ์ ์ฌ์ค์ ๋น์์ฑ ์์ฌ์ ํน์ฑ์ด๋ผ๊ณ ํ ์ ์๋ค. ํ์ ์จ๋๊ฐ
800 oC ์ด์์์ ฮต', ฮต"๋ ๋ชจ๋ 600 oC ํ์ ์๋ฃ ๋ณด๋ค ํฌ๊ฒ ์ฆ๊ฐํ๋ฉฐ ์ฃผํ์์ ์ฆ๊ฐ์ ๋ฐ๋ผ ์ ์ฐจ์ ์ผ๋ก ๊ฐ์ํ๋ spectra๋ฅผ ๋ณด์ธ๋ค. ฮผ', ฮผ" spectra๋ ํ์ ์จ๋๊ฐ ์ฆ๊ฐํจ์
๋ฐ๋ผ ๊ทธ ๋์ด๊ฐ ์์ฐจ์ ์ผ๋ก ์ฆ๊ฐํ๋ฉฐ, ฮผ"๋ 1 GHz ๋ถ๊ทผ์์ peak์ ๋ณด์ธ๋ค. ์ด๋ ํ์ ์จ๋๊ฐ ์ฆ๊ฐํ ๋ ๊ฒฐ์ ๋ฆฝ์ด ์ฑ์ฅํ๊ณ ๊ฒฐ์ ์ฑ์ด ๋์์ง๋ฉด์
LSMO bulk์ ํน์ฑ์ ๊ฐ๊น์์ง๊ธฐ ๋๋ฌธ์ด๋ค. 800 oC ํ์ ์๋ฃ์์ ฮต', ฮต" ๊ฐ์ ๊ธ๊ฒฉํ ์์น์ ์์ธ์ LSMO์ ์ ๊ธฐ์ ๋ ํน์ฑ์ด ๊ธ๊ฒฉํ ํฅ์๋์๊ธฐ ๋๋ฌธ์ด๋ค. LSMO์ ์ ๊ธฐ์ ๋๋ Mn3+/Mn4+ ์ด์ค๊ตํ ์์ฉ์ ์ํ ์๋ฐ์ ์ํ, ๊ณง ํ๋ฆฌ์์ฑ๊ณผ ์ฐ๊ด๋ ๊ฒ์ผ๋ก Fig 3์์ MS ๊ฐ์ด ๊ธ๊ฒฉํ ์ฆ๊ฐํ ๊ฒ๊ณผ๋ ๊ด๋ จ์ด ๊น๋ค.
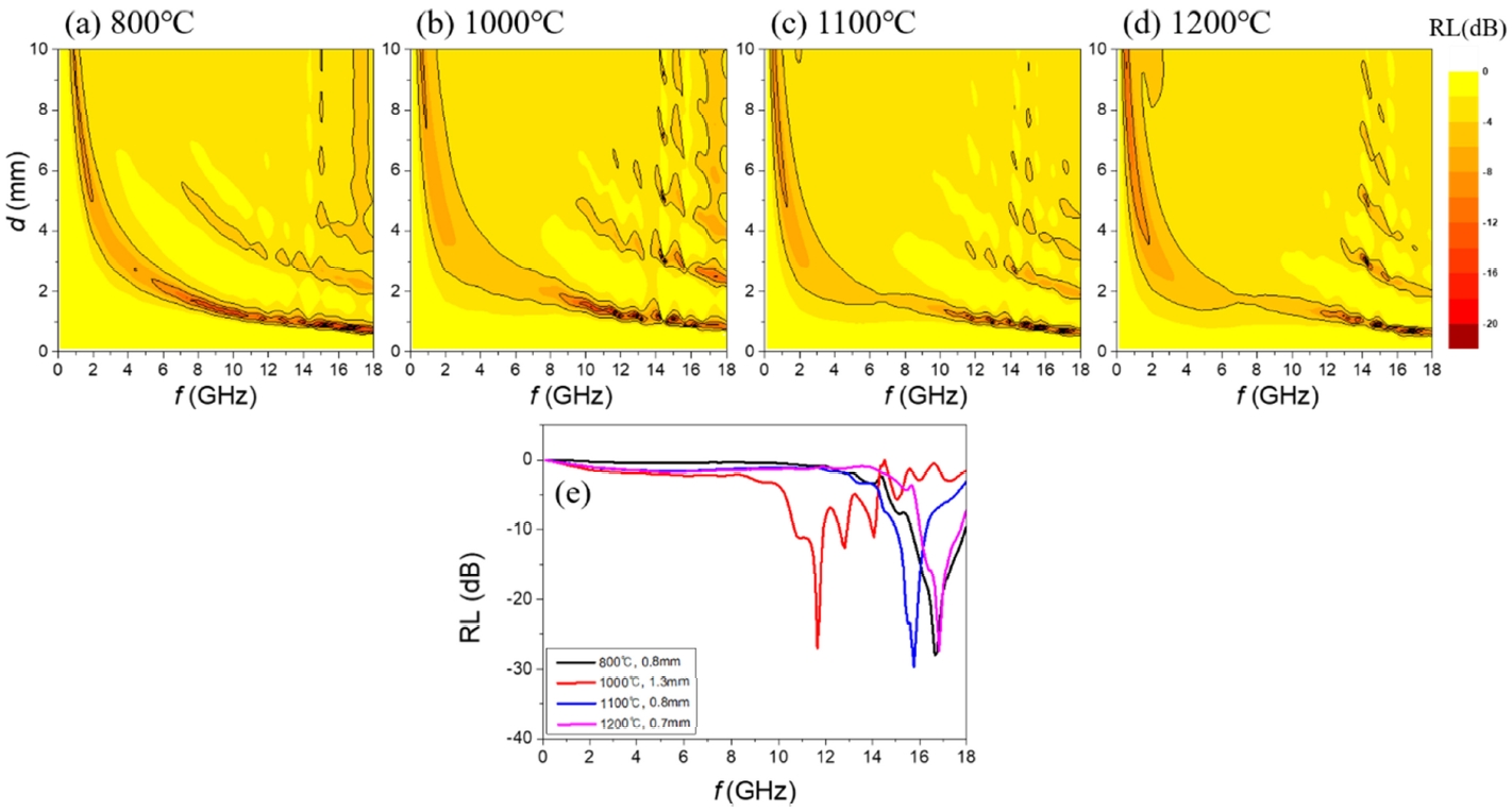
Fig 4์์ ์ฃผํ์์ ๋ฐ๋ผ ์ธก์ ๋ ฮต', ฮต", ฮผ', ฮผ" spectra ๊ฐ์ ์ด์ฉํ์ฌ ์ ์๊ธฐํ ํก์ ํน์ฑ์ ๋ํ๋ด๋ ๋ฐ์ฌ์์ค(RL, Reflection
loss)์ ์ฃผํ์ (f)์ 10 mm ์ดํ ๋ฒ์์ ๋๊ป (d)์ ํจ์๋ก ๋์ํํ์ฌ Fig 5(a)โ5(d)์ ๋ํ๋ด์๋ค. RL๋ ์ ์ก์ ์ด๋ก ์ ๋ฐํ์ผ๋ก ํ ๋ค์ ๋ ์์ ์ด์ฉํด ๊ณ์ฐํ์๋ค[20].
์ฌ๊ธฐ์ Zin์ ์ฌ๋ฃ์ ์
์ฌ ์ํผ๋์ค, Z0๋ ์์ ๊ณต๊ฐ์ ์ํผ๋์ค, ฮตr = ฮต' โ jฮต"์ ๋ณต์ ์ ์ ์จ, ฮผr = ฮผ' โ jฮผ"์ ๋ณต์ ํฌ์์จ, f๋ ์
์ฌ ์ ์ํ์ ์ฃผํ์, c๋ ๋น์ ์๋, d๋ ํก์์ฒด์ ๋๊ป์ด๋ค. ์ด๋, ์ ์ ์จ๊ณผ ํฌ์์จ์ ๋๊ป์ ๋ฌด๊ดํ
ํจ์์ด๊ณ , ์ฃผํ์์ ๋ฐ๋ผ ํ๋ณดํ ์ ์ ์จ๊ณผ ํฌ์์จ์ ์ค์๋ถ์ ํ์๋ถ ๊ฐ (ฮต', ฮต", ฮผ', ฮผ") ๋ค๊ณผ 0๋ถํฐ 10 mm๊น์ง ๋ฒ์์ d ๊ฐ์ ์ฐ์์ ์ผ๋ก
์ง์ ํ์ฌ RL spectra๋ฅผ ์ป๊ฒ ๋๋ค[21-24]. ์ ์๊ธฐํ์ ํก์๊ฐ ์ด๋ฃจ์ด์ง๊ธฐ ์ํด์๋ ์ ์ ์ ๋๋ ์๊ธฐ์ ํก์ ๋ฉ์ปค๋์ฆ์ด ์ฌ๋ฃ ๋ด์ ์กด์ฌํด์ผ ํ๊ณ ํก์์ฒด ํ๋ฉด์์ ๋ฐ์ฌ๊ฐ ์ต์๊ฐ ๋์ด์ผ ํ๋ค.
๊ณง ์๋์ง ์์ค๊ณผ ๊ด๋ จ๋ ฮต", ฮผ" ๊ฐ๊ณผ ํจ๊ป ์ํผ๋์ค ์ ํฉ ์กฐ๊ฑด์ด ์ด๋ฃจ์ด์ ธ์ผ ํ๋ค. ์ํผ๋์ค ์ ํฉ์ด ์ด๋ฃจ์ด์ง ๊ธฐ์ํด์๋ ์ (1)์ Zin/Z0์ ๊ฐ์ด 1์ ๊ฐ๊น์์ผ ํ๋ฉฐ ์ด๋ RL์ ํฐ ์์ ๊ฐ์ ๊ฐ์ง๊ณ ๋์ ์ ์๊ธฐํ ํก์๋ฅ์ ๊ฐ์ง ์ ์๋ค. ์ด๋ ฮต', ฮต", ฮผ', ฮผ"์ ์๋์ ์ธ ํฌ๊ธฐ์
์ฃผํ์ (f) ๋ฐ ๋๊ป (d)์ ํจ์๋ก ์ป์ด์ง๋ค.
Fig 5(a-b) ์์ ๋ณด๋ ๋ฐ์ ๊ฐ์ด ์ ๋ฐ์ ์ผ๋ก ์ต๋ ํก์๊ฐ ์ผ์ด๋๋ ์์ญ์ f > 8 GHz ์ด๋ฉด์ ๋๊ป(d)๊ฐ 0.5~ 2 mm ์ ๋ ์ผ ๋์ด๋ค. ํ์ ์จ๋๊ฐ ์ฆ๊ฐํจ์ ๋ฐ๋ผ GHz ๋์ญ์์ ฮต" spectra์ ๋์ด๊ฐ ์ปค์ง๋ฉฐ 1 GHz ๋ถ๊ทผ์์ ์๊ธฐ์
์์ค ๊ธฐ๊ตฌ์ ์ํด ์ฐ์ํ ํก์์ฑ๋ฅ์ด ๊ธฐ๋๋๋ ์ค์ RL map ์์์ ์ด๋ฌํ ๊ฒฝํฅ์ฑ์ ์ ๋ํ๋์ง ์๋๋ค. ์ด๋ ฮผ', ฮผ" ๊ฐ์ ๋นํด ์๋์ ์ผ๋ก
๋งค์ฐ ํฐ ฮต', ฮต" ๊ฐ์ ์ํด ์๊ธฐ์ ์์ค ๊ธฐ๊ตฌ๊ฐ ๋์ํ๋ ์ฃผํ์ ๋์ญ์์ ์ํผ๋์ค ์ ํฉ์ด ์ ๋๋ก ์ด๋ฃจ์ด์ง์ง ์๊ธฐ ๋๋ฌธ์ด๋ค. Fig 5(e)๋ ๊ฐ ํ์ ์จ๋๋ณ ์๋ฃ์ ์ต๋ ํก์๊ฐ ์ผ์ด๋๋ ๋๊ป์์ RL spectra๋ฅผ ๋ณด์ฌ์ค๋ค. RL์ ์์ ์ต์๊ฐ (RLmin)๊ณผ ๊ทธ ์ง์ ์์์ ์ฃผํ์ (fRLmin)๋ฐ ๋๊ป (dRLmin) ๊ฐ์ Table 2์ ์ ์ํ์๋ค.
๋ค์์ผ๋ก ๊ฐ ํ์ ์จ๋๋ณ ์๋ฃ๋ฅผ d = 1.5~ 1.7 mm ์ ๋์ ์ ์ฌํ ๋๊ป๋ก ์ ์ํ์ฌ VNA์ 2-port set-up์์ S-parameters๋ฅผ
์ธก์ ํ ๊ฒฐ๊ณผ๋ฅผ Fig 6(a-d) ์ ๊ฐ๊ฐ ์ ์ํ์๋ค. ์ํ๊ณผ ์ธก์ ์ ๋์นญ์ฑ์ ์ํด S11๊ณผ S22๋ ์ผ์นํด์ผํ๊ณ , S21๋ S12์ spectra์ ์ผ์นํด์ผ ํ๋๋ฐ, ๋ณธ ์ธก์ ์์๋
๊ฑฐ์ ์ผ์นํ๋ spectra๋ฅผ ๋ณด์ฌ ์ค๋ค. ์ ์ฃผํ ์์ญ์์ S11, S22๊ฐ ํฐ ์์ ๊ฐ์ ๊ฐ๊ณ S12, S21 ๊ฐ์ด 0์ ๊ฐ๊น์ด ๊ฐ์ ๊ฐ๋ ๊ฒ์
์ ์๊ธฐํ์ ๋ฎ์ ๋ฐ์ฌ๋์ ๋์ ํฌ๊ณผ๋๋ฅผ ์๋ฏธํ๋ค. ์ฌ๊ธฐ์ S12 ๋๋ S21 ๊ฐ์ด ์๋ฃ์ ์ ์๊ธฐํ ์ฐจํ๋ฅ (Shielding Effectiveness,
SE)์ด ๋๋ค. ์ค๊ฐ ์์ญ์ ์ฃผํ์์์ S11, S22๊ฐ์ด 0์ ๊ฐ๊น๊ณ S12, S21์ด ํฐ ์์ ๊ฐ์ ๊ฐ๋ ๊ฒ์ ๋์ ๋ฐ์ฌ๋์ ๋ฎ์ ํฌ๊ณผ๋๋ฅผ ์๋ฏธํ๋ค.
์ด ์์ญ์์๋ ๋ฐ์ฌ์ ์ํ ์ฐจํ๊ฐ ์ ์ด๋ฃจ์ด์ง๋ ๊ฒ์ ์ ์ ์๋ค. ์ด๋ LSMO์ ์ ๊ธฐ์ ๋์ฑ์ ์ํ ๋์ ์ ์ ์จ (ฮต', ฮต") ๊ฐ์ ๊ธฐ์ธํ๋ ๊ฒ์ด๋ค.
์ ๊ธฐ์ ๋๋๊ฐ ํฅ์๋จ์ ๋ฐ๋ผ ์ฐจํ๋ฅ์ด ์ฆ๊ฐํ๋ ๊ฒ์ ๊ธ์๊ณ ์์ฑ ๋ฐ๋ง์์๋ ๋ณด๊ณ ๋ ๋ฐ๊ฐ ์๋ค[25]. ์ด๋ฌํ ์ฐจํ ํน์ฑ์ 1100 ๋ฐ 1200 oC ํ์ํ ์๋ฃ๊ฐ 800, 1000 oC ํ์ํ ์๋ฃ๋ณด๋ค ์ฐ์ํ ํธ์ด๋ฉฐ ์ฐจํ๋ฅ (SE) โค -10 dB์ ๋ง์กฑํ๋ ์ฃผํ์ ์์ญ์ Fig 6 (c)์ 1100 oC ํ์ํ ์๋ฃ๊ฐ 3.9~ 12.7 GHz, 1200 oC ํ์ํ ์๋ฃ๊ฐ 4.7~ 13.5 GHz ์์ญ์ผ๋ก ํ์ธ๋๋ค. ์ด ์๋ฃ๋ค์ ์ ์๊ธฐํ ํก์๋ฅ์ ์ค ์ธก์ ํ๊ธฐ ์ํด ์์ ๋ฐ์ฌ๋ฅผ ๊ฐ์ ํ ์ ์๋ Cu ๋ฐ์ฌํ์
์๋ฃ ํ์ชฝ ๋ฉด์ ๋ถ์ฐฉํ์ฌ one port set-up์ผ๋ก S11๋ฅผ ์ธก์ ํ์๋ค. ์ด ๊ฒฝ์ฐ S11์ด ๊ณง RL์ด ๋๋ค. ํ์ ์จ๋๋ณ ์๋ฃ์ ๋ํ์ฌ ๊ณ์ฐ์
์ํ RL๊ณผ S11 ์ธก์ ์ ํตํ RL์ ๊ฐ๊ฐ plotํ์ฌ Fig 7(a-d) ์ ๋น๊ตํ์๋ค. ์ฌ๊ธฐ์ ๊ณ์ฐ์ ์ํ spectra๋ Fig 5(a-b) RL map์์ ํด๋น ๋๊ป์ profile์ ์ทจํ ๊ฒ์ด๋ฉฐ S11์ Fig 7(d) inset๊ณผ ๊ฐ์ VNA set-up์ผ๋ก S11์ ์ธก์ ํ ๊ฒ์ด๋ค. ์ ์ ์จ ๋ฐ ํฌ์์จ ๊ฐ์ผ๋ก๋ถํฐ ๊ณ์ฐํ spectra์ S11 ์ธก์ ์ด ์๋นํ ์ ์ฌํ
๊ฒ์ ์ ์ ์๊ณ , ์ด๋ ๋ณธ ์ฐ๊ตฌ์ ๊ณ ์ฃผํ ์ ์ ์จ ๋ฐ ํฌ์์จ ์ธก์ ๊ณผ RL ๊ณ์ฐ์ ์ ๋ขฐ๋๊ฐ ๋์์ ์๋ฏธํ๋ค.
4. CONCLUSIONS
๋ณธ ์ฐ๊ตฌ์์๋ perovskite ๊ตฌ์กฐ์ La0.7Sr0.3MnO3์ ์กธ๊ฒ๋ฒ์ผ๋ก ํฉ์ฑํ ํ ๋ค์ํ ์จ๋์์ ๊ฒฐ์ ํ ํ์๋ค. 600 oC ์ด์์ ์จ๋๋ก ํ์ํ ์๋ฃ๋ ๋ชจ๋ perovskite ์์ด ์ป์ด์ก์ผ๋ฉฐ ์จ๋๊ฐ ์์นํ๋ฉด์ ๊ฒฐ์ ๋ฆฝ์ด ํฌ๊ฒ ์ฑ์ฅํ๋ ๊ฒ์ ํ์ธํ ์ ์์๋ค. MS ๊ฐ์ 600 oC ํ์ ์ 9 emu/g์ผ๋ก ๋งค์ฐ ๋ฎ์์ผ๋ ํ์ ์จ๋๋ฅผ 1200 oC๊น์ง ๋์์ ๋ 60 emu/g๊น์ง ์ฆ๊ฐํ์๋ค. LSMOโepoxy (10 wt%) ๋ณตํฉ์ฒด์ ๋ํด ์ฃผํ์ ๋ฒ์ 100 MHz โค f โค 18 GHz์์
๋ณต์ ์ ์ ์จ ๋ฐ ํฌ์์จ์ ์ธก์ ํ๊ณ , ์ด ๊ฐ์ ํตํด RL์ ๊ณ์ฐํ์๋ค. ํ์ ์จ๋๊ฐ 600 oC ์ผ ๋ ๊ณ ์ฃผํ ํฌ์์จ (ฮผ', ฮผ") ๊ฐ์ ๋น์์ฑ ํน์ฑ (ฮผ' 1, ฮผ" 0)์ ๋ณด์์ผ๋ ํ์ ์จ๋๊ฐ ์ฆ๊ฐํจ์ ๋ฐ๋ผ ์ธก์ ์ฃผํ์ ๋์ญ์์ ฮผ',
ฮผ" spectra์ ๋์ด๋ ์ปค์ง๋ฉฐ ์๊ธฐ์ ์์ค ๊ธฐ๊ตฌ์ ๊ด๋ จ๋ ฮผ"์ peak ์ญ์ GHz ๋์ญ์์ ๋์์ก๋ค. ๊ณ ์ฃผํ ์ ์ ์จ (ฮต', ฮต") ๋ํ
800 oC ์ด์ ํ์ ์๋ฃ์์ ํฌ๊ฒ ์ฆ๊ฐํ์๋๋ฐ ์ด๋ LSMO์ ๊ฒฐ์ ์ฑ์ด ํฌ๊ฒ ์ฆ๊ฐํ๊ณ M S ๊ฐ์ด ์ฆ๊ฐํจ์ ๋ฐ๋ผ LSMO ํน์ ์ ์๊ธฐ์ ๋ (magnetotransport)
ํจ๊ณผ์ ์ํด ์์ ์ ์์ ๋๋๊ฐ ์ฆ๊ฐํ๊ธฐ ๋๋ฌธ์ผ๋ก ํด์๋๋ค. LSMO๋ ๋์ ๊ณ ์ฃผํ ์ ์ ํน์ฑ์ ๋ฐ๋ผ ์ ์ ์ ์ธ ์์ค๊ธฐ๊ตฌ๊ฐ ์ ์๊ธฐํ ํก์์ ๋งค์ฐ ์ค์ํ๊ฒ
์์ฉํ๋ฉฐ LSMO-epoxy ๋ณตํฉ์ฒด๋ 12 GHz ๋ถ๊ทผ๊ณผ ๊ทธ ์ด์์ ์ฃผํ์์์ 1.5 mm ์ดํ์ ๋๊ป๋ฅผ ๊ฐ์ง ๋ ์ข์ ํก์ ํน์ฑ์ ๋ณด์๋ค. ๋ํ
์ GHz ๋์ญ์์ ๋ฐ์ฌ์ ์ํ ์ ์๊ธฐํ ์ฐจํํจ๊ณผ๋ ๋์์ ๋ณด์์ ์ ์ ์์๋ค. LSMO๋ ํ๋ฆฌ์์ฑ๊ณผ ์ ๊ธฐ์ ๋์ฑ์ ๋์์ ๋ณด์ ํ ์์ฑ์ธ๋ผ๋ฏน์ค๋ก ์ ์๊ธฐํ
ํก์ ์์ฌ๋ก ๋ณด๋ค ํจ๊ณผ์ ์ผ๋ก ์ ์ฉํ๊ธฐ ์ํด์๋ Mn3+/Mn4+์ ์ํด ๋ฐ์ํ๋ ์์ ์ ์์ ๋๋ ์กฐ์ ๋ฐ ๊ณ ์ฃผํ ์ ์ ์จ์ ์ ์ด๋ฅผ ํตํด ์ํผ๋์ค ์ ํฉ ์กฐ๊ฑด์ ๋ฅ๋์ ์ผ๋ก ์ ์ดํ๊ณ ์๊ธฐ์ , ์ ์ ์ ์์ค ๊ธฐ๊ตฌ๋ฅผ ์ ์๊ธฐํ
ํก์์ ํจ๊ณผ์ ์ผ๋ก ํ์ฉํ๋ ๋ฐฉํฅ์ผ๋ก ์ถ๊ฐ์ ์ธ ์ฐ๊ตฌ๊ฐ ์๊ตฌ๋๋ค.
Acknowledgements
๋ณธ ์ฐ๊ตฌ๋ 2022๋
๋ ์ ๋ถ (๊ณผํ๊ธฐ์ ์ ๋ณดํต์ ๋ถ)์ ์ฌ์์ผ๋ก ํ๊ตญ์ฐ๊ตฌ์ฌ๋จ์ ์ง์์ ๋ฐ์์ํ๋ ์ฐ๊ตฌ์ (NRF2022R1F1A1062933)
REFERENCES
Urushibara A., Moritomo Y., Arima T., Asamitsu A., Kido G., Tokura Y., Phys. Rev.
B,51, 14103 (1995)

Martin M. C., Shirane G., Endoh Y., Hirota K., Moritomo Y., Tokura Y., Phys. Rev.
B,53, 14285 (1996)

Kang Y.-M., Kim H.-J., Yoo S.-I., Appl. Phys. Lett,95, 052510 (2009)

Jalili H., Han J. W., Kuru Y., Cai Z., Yildiz B., J. Phys. Chem. Lett,2, 801 (2011)

Risch M., Catalysts,7, 154 (2017)

Reshi H. A., Singh A. P., Yadav S. P. S., Dhawah S. K., Shelke V., J. Mater. Chem.
C,3, 820 (2015)

Yang R. B., Tsay C. Y., Liang W. F., Lin C. K., J. Appl. Phys,107, 09A523 (2010)

Cheng Y. L., Dai J. M., Zhu X. B., Wu D. J., Yang Z. R., Sun Y. P., Nanoscale Res.
Lett,4, 1153 (2009)

Qin F., Brosseau C., Appl. Phys. Rev,111, 061301 (2012)

Kim J.-K., Kang Y.-M., J. Kor. Magn. Soc,31, 180 (2021)

Yoo J.-E., Kang Y.-M., Kor. J. Met. Mater,58, 887 (2020)

Yoo J.-E., Kang Y.-M., J. Magn. Magn. Mater,513, 167075 (2020)

Tsay C. Y., Yang R. B., Hung D. S., Hung Y. H., Yao Y. D., Lin C. K., J. Appl. Phys,107,
09A502 (2010)

Cheng Y. L., Dai J. M., Wu D. J., Sun Y. P., J. Magn. Magn. Mater,332, 97 (2010)

Yan K., Yin F., Zuo X., Zhang Q., Shen L., Fan R., Bao N., RSC Adv,9, 41817 (2019)

Li L., Dang X., Boudaghi R., Akhtar M. N., Ceram. Int,47, 17736 (2021)

Ding Y., Xu R., Wen G., Tian Y., Zhu Z., Zhou M., Chen X., Nie N., Hao W., Zhang C.,
J. Mater. Sci.: Mater. Electron,31, 16661 (2020)

Patterson A. L., Phys. Rev,56, 978 (1939)

Kim D. H., Kang Y.-M., Ur S.-C., You J.-H., Yoo S.-I, J. Magn. Magn. Mater,449, 567
(2018)

Naito Y., Suetake K., IEEE Trans. Microw. Theory Tech,19, 65 (1971)

Park M.-H., Kang Y. M., J. Magn. Magn. Mater,491, 165628 (2019)

Lim E.-S., Hong T. W., Kang Y.-M., J. Kor. Magn. Soc,30, 31 (2020)

Lim E.-S., Kang Y.-M., Mater. Today Comm,25, 101411 (2020)

Cho H.-S., Kim S.-S., Korean J. Met. Mater,57, 741 (2019)

Lim J., Kim Y., Kim Y., Song P., Kwon A., Korean J. Met. Mater,60, 62 (2022)

Figures and Tables
Fig. 1.
X-ray diffraction patterns of La0.7Sr0.3MnO3 powder samples calcined at 500, 600, 700, 800, 900, 1000, 1100, and 1200 oC.
Fig. 2.
SEM micrographs of La0.7Sr0.3MnO3 powder samples calcined at (a) 600 oC, (b) 800 oC, (c) 1000 oC, (d) 1100 oC, (e)1200 oC, and (f) 1200 oC with low magnification, respectively.
Fig. 3.
Magnetization curves (MโH) of La0.7Sr0.3MnO3 powders calcined at 600, 800, 1000, 1100, and 1200 oC.
Fig. 4.
(aโd) Real and imaginary parts of the complex permittivity (ฮต' and ฮต") and permeability
(ฮผ' and ฮผ") spectra (100 MHz โค f โค 18 GHz) of La0.7Sr0.3MnO3 powderโepoxy(10wt%) composites, when the LSMO powders were calcined at 600, 800,
1000, 1100 oC, and 1200 oC, respectively.
Fig. 5.
(aโd) RL maps as functions of sample thickness (d) and frequency (f) for La0.7Sr0.3MnO3 (calcined at 800, 1000, 1100, and 1200) powderโepoxy (10wt%) composites and (e) RL
vs. f plots of for La0.7Sr0.3MnO3 (calcined at 800, 1000, 1100, and 1200 oC) powderโepoxy (10wt%) composites.
Fig. 6.
(aโd) S-parameter (S11, S12, S21, S22) spectra of La0.7Sr0.3MnO3โepoxy (10wt%) composites, when the LSMO powders were calcined at 800, 1000, 1100,
and 1200 oC
Fig. 7.
(a-d) RL spectra of La0.7Sr0.3MnO3 (calcined at 800, 1000, 1100, and 1200 oC) powder โ epoxy (10wt%) composites, respectively, obtained via calculations based
on transmission line theory and the S11 measurement.
Table 1.
Average grain size calculated from the Scherrer equation (dsch) and measured from SEM micrographs (dSEM), Magnetization at H = 10 kOe (MS), and coercivities (HC) of La0.7Sr0.3MnO3 powder samples calcined at 600, 800, 1000, 1100, and 1200ยฐC.
|
Tcal (ยฐC)
|
dsch (nm)
|
dSEM (nm)
|
MS (emu/g)
|
HC (Oe)
|
|
600
|
14.8
|
-
|
9.2
|
41
|
|
800
|
27.2
|
28
|
40.3
|
72
|
|
1000
|
49
|
58
|
53.7
|
59
|
|
1100
|
55.1
|
103
|
58.8
|
54
|
|
1200
|
-
|
417
|
60.7
|
45
|
Table 2.
Real (ฮต') and imaginary (ฮต") parts of the permittivities, real part of the permeability
at 1 GHz (ฮผ'), maximum imaginary permeability
value (ฮผ"max), frequencies of the maximum ฮผ" values (fฮผ"max), minimum RLs (RLmin), and frequencies (fRLmin) and thicknesses (dRLmin) of RLmin of La0.7Sr0.3MnO3 powderโepoxy (10 wt%) composites, when the LSMO powders
were calcined at 600, 800, 1000, 1100 ยฐC, and 1200ยฐC, respectively.
|
Tcal (ยฐC)
|
ฮต' (1 GHz)
|
ฮต" (1 GHz)
|
ฮผ' (1 GHz)
|
ฮผ"max |
fฮผ"max (GHz)
|
RLmin. (dB)
|
fRLmin (GHz)
|
dRLmin (mm)
|
|
600
|
9.35
|
1.10
|
0.96
|
-
|
-
|
-
|
-
|
-
|
|
800
|
45.8
|
15.3
|
1.42
|
0.38
|
2.10
|
-28.3
|
16.6
|
0.8
|
|
1000
|
37.5
|
14.9
|
2.41
|
1.40
|
1.12
|
-27.2
|
11.6
|
1.3
|
|
1100
|
47.5
|
13.1
|
2.74
|
1.61
|
1.13
|
-29.9
|
15.8
|
0.8
|
|
1200
|
42.2
|
8.7
|
2.92
|
2.06
|
0.494
|
-27.6
|
16.8
|
0.7
|