The Journal of
the Korean Journal of Metals and Materials

The Journal of
the Korean Journal of Metals and Materials

Monthly
  • pISSN : 1738-8228
  • eISSN : 2288-8241

Editorial Office





thermoelectric, bytizite, mechanical alloying, hot pressing

1. INTRODUCTION

With the increasing demand for sustainable energy and the rapid increase in the use of mobile devices, energy harvesting, which is the process of capturing/storing ambient energy (heat, light, vibration, etc.) and converting it into electrical energy, has received growing attention [14]. Thermoelectric conversion is a promising energy-harvesting technology because it can directly convert waste heat from vehicles, electronic devices, and human bodies into electrical energy. The energy conversion efficiency of a thermoelectric module is described by the figure of merit of the material, Z = α2σκ1, where α, σ, and κ are the Seebeck coefficient, electrical conductivity, and thermal conductivity, respectively. The dimensionless figure of merit (ZT) multiplied by the figure of merit and absolute temperature (T) is used to compare thermoelectric materials that exhibit maximum performance at different operating temperatures. To achieve high efficiency, thermoelectric materials must have a high power factor (α2σ) and low thermal conductivity.

Ternary Cu-Sb-Se compounds containing earth-abundant and nontoxic elements are attracting attention as p-type semiconductors. Among them, Cu3SbSe3 (bytizite) is known to have anomalously low thermal conductivity because the electrostatic repulsion between the Sb 5s lone-pair electrons and neighboring chalcogen ions creates lattice anharmonicity [5]. In addition, using density functional theory (DFT), a predicted ZT ≈ 0.7 at 600 K was reported, which indicates the potential of Cu3SbSe3 as a thermoelectric material [6]. However, there are limited experimental reports on its thermoelectric performance.

Several methods of synthesizing Cu3SbSe3 have been reported, such as bulk melting [79], nanocrystals prepared by the hot-injection method [10], and thin films by spray pyrolysis [11]. However, these methods are difficult to apply in devices because of their long processes or limited large-scale production. In this study, mechanical alloying, which is suitable for large-scale production and a cost-effective method, was employed. In our previous study [1214], ternary Cu-based chalcogenides were successfully synthesized via mechanical alloying (MA) and hot pressing (HP). Cu3SbSe3 bulks were prepared by the MA-HP process, and their phase synthesis (transformation) and thermoelectric properties were examined under MA-HP conditions.

2. EXPERIMENTAL

Raw elemental powders of Cu (<45 μm, purity 99.9%, Kojundo Chemical Lab., Japan), Sb (<150 μm, purity 99.999%, Kojundo Chemical Lab., Japan), and Se (<10 μm, purity 99.99%, Kojundo Chemical Lab., Japan) were weighed at stoichiometric ratios. MA was used to synthesize Cu3SbSe3 using a planetary ball mill (Pulverisette5, Fritsch, Germany), processed at 350 rpm for 6–24 h in a hardened steel jar with steel balls of 5 mm diameter at a ball-to-powder weight ratio of 20. The MA powders were loaded into a graphite mold (internal diameter of 10 mm) and consolidated by HP at 523–623 K for 2 h under a pressure of 70 MPa in a vacuum.

The phases of the MA powders and HP specimens were analyzed using X-ray diffraction (XRD; D2-Phaser, Bruker, Germany) with Cu Kα radiation (λ = 0.15405 nm), and the quantitative phase fractions and lattice constants were obtained using Rietveld refinement (TOPAS, Bruker, Germany). To identify the mass variation and phase transition, thermogravimetry and differential scanning calorimetry (TG-DSC; TG/DSC1, Mettler Toledo, USA) were carried out in the temperature range of 300–973 K at a heating rate of 5 Kmin-1 in an Ar atmosphere. The microstructures of the polished and fractured surfaces of the HP specimens were observed using field-emission scanning electron microscopy (FESEM; JSM-7610F, Jeol, Japan), and their elemental compositions were analyzed using energy-dispersive spectroscopy (EDS; X-Max50, Oxford Instruments, UK).

The hot-pressed compacts were cut into rectangular shapes (3 mm × 3 mm × 9 mm) for Seebeck coefficient and electrical conductivity measurements, and into disc shapes (10 mm in diameter and 1 mm in thickness) for thermal diffusivity measurements. The Seebeck coefficient and electrical conductivity were simultaneously measured using a ZEM-3 (Advance Riko, Japan) system in He atmosphere. The thermal conductivity was estimated from the specific heat, density, and thermal diffusivity, measured using laser flash TC-9000H (Advance Riko, Japan) equipment in a vacuum. The thermoelectric power factor and figure of merit were evaluated at temperatures ranging from 323 to 623 K.

3. RESULTS AND DISCUSSION

Figure 1(a) presents the XRD patterns of the synthesized Cu3SbSe3 powders. The orthorhombic bytizite (Cu3SbSe3; space group Pnma) phase (PDF# 01-086-1751) was identified after MA for 6 h (MA350R6H). The secondary phase of tetragonal permingeatite (Cu3SbSe4; space group I 4 ¯ 2 m) (PDF #01-085-0003) was observed, but the intensity of the diffraction peaks for Cu3SbSe4 did not decrease significantly, even with longer MA times. A quantitative analysis of the synthesized powders was conducted from the XRD peaks, using Rietveld refinement, and the results are presented in Table 1. The MA time was adjusted from 6–24 h, and the Cu3SbSe4 phase was found to be 11.7–18.4%. In this study, further increasing the MA time did not change the phase composition, and a single Cu3SbSe3 phase could not be obtained by MA. Wei et al. [9] prepared Cu3SbSe3 using MA (450 rpm, 15 h)-HP (673 K, 1 h)-annealing (623 K, 5 d), but a secondary phase of Cu3SbSe4 was formed.

TG-DSC analyses of the MA powders were performed to confirm the phase transformation, and the results are shown in Figure 2. All of the MA powders showed a large endothermic peak at 727 K, which corresponds to the melting temperature of Cu3SbSe3. Wei et al. [9] determined the melting point of Cu3SbSe3 to be 730 K using DSC measurements. The melting point of Cu3SbSe4 is known to be approximately 733 K [15], similar to that of Cu3SbSe3; thus, the melting reaction peaks are not clear in Figure 2. The small exothermic and endothermic peaks of the MA350R6H specimen are possibly related to phase transitions resulting from mass loss, as shown in the TG curve (Figure 2a). Wei et al. [16] suggested that the exothermic peaks of Cu3-xSbSe4 synthesized by MA were associated with possible chemical reactions during the powder densification process. From the XRD and TG-DSC results, the optimal MA condition was determined to be 350 rpm for 18 h, and the effects of the HP conditions on the phase transformation and thermoelectric properties were examined.

Figure 1(b) shows the XRD patterns of the sintered specimens of Cu3SbSe3. The Cu3SbSe3 and Cu3SbSe4 phases in the MA powder remained even after HP, but a cubic berzelianite (Cu1.78Se; space group Fm 3 ¯ m) phase (PDF# 01-072-7490) also formed. Kirkham et al. [17] reported that approximately 10% of the secondary phases (CuSbSe2 and Cu2Se) were identified in the Cu3SbSe3 powder prepared by direct fusion annealing.

Liu et al. [18] prepared Cu3SbSe3 using self-propagating high-temperature synthesis (SHS) and spark plasma sintering (SPS) and detected the secondary phases of Cu2-xSe and CuSbSe2. As shown in Table 1, the amount of Cu3SbSe3 phase increased slightly as the HP temperature increased from 523 to 573 K, but the Cu3SbSe4 and Cu1.78Se secondary phases increased significantly after HP at 623 K. The lattice constants of the specimens in Table 2 were a = 0.7985–0.8024 nm, b = 1.0655–1.0720 nm, and c = 0.6828–0.6873 nm, similar to those of Cu3SbSe3: ICDD standard diffraction data (PDF# 01-086-1751) with a = 0.7987 nm, b = 1.0614 nm, and c = 0.6837 nm.

Figure 3 shows the TG-DSC analyses of the hot-pressed Cu3SbSe3 specimens. The large endothermic peaks at 725–727 K were considered to be the melting points of Cu3SbSe3, as shown in Figure 2, and the small endothermic peaks at 760–785 K were interpreted to be the result of the phase change (decomposition) due to volatilization of the constituent elements. Because the melting point of Cu2-xSe detected in the XRD results was 1380 K [19], its reaction peaks did not appear in the measured temperature range.

Figure 4 shows the FESEM images of the polished and fractured surfaces of Cu3SbSe3. The HP523K2H specimen had a microstructure with many pores, which is consistent with the low sintered density shown in Table 2. The relative densities of the HP573K2H and HP623K2H specimens were higher than 99% of the theoretical density of Cu3SbSe3 (6.19 gcm-3) [20]. The theoretical densities of the secondary phases Cu3SbSe4 and Cu1.78Se (or Cu2-xSe) are known to be 5.86 gcm-3 [21] and 6.8 gcm-3 [22], respectively, but were excluded from the calculation of the relative density. The surface images in the backscattered electron mode exhibit differences in contrast, and the elemental analysis data of Cu3SbSe3 hot-pressed at 573 K for 2 h are displayed in Figure 5. The dark areas (A, B) and bright areas (C, D) were considered to be Cu3SbSe4 and Cu3SbSe3, respectively, which is in good agreement with the XRD results, while the Cu1.78Se phase detected in the XRD results was not found in the surface image.

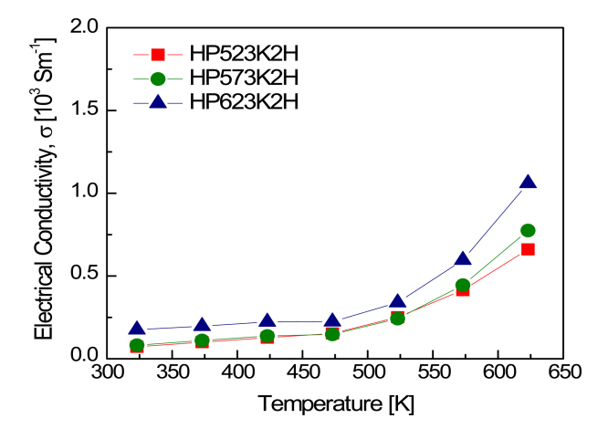
Figure 6 shows the electrical conductivity of Cu3SbSe3 prepared using the MA-HP process. The electrical conductivity increased with increasing temperature, exhibiting nondegenerate semiconductor behavior, and increased with increasing HP temperature, resulting in an electrical conductivity of 1.06 × 103 Sm-1 at 623 K for HP623K2H. An increase in the sintering temperature can lead to increased carrier mobility, due to the reduction in interface density caused by grain growth and densification, which in turn increases the electrical conductivity [23, 24]. In addition, the presence of Cu3SbSe4 and Cu1.78Se phases, which have higher electrical conductivities than Cu3SbSe3, also possibly enhances the electrical conductivity [14, 25]. Liu et al. [18] reported that Cu3SbSe3 prepared by SHS-SPS exhibited an electrical conductivity of 1.6 × 103 Sm-1 at 653 K, which was higher than the value in their previous study, and the presence of Cu2-xSe possibly enhanced the electrical properties.

Therefore, the higher electrical conductivity of HP623K2H might be attributed to an increase in the fraction of secondary phases. Tyagi et al. [26] obtained an electrical conductivity of 1.4 × 103 Sm-1 at 550 K for Cu3SbSe3 prepared by melting-SPS, and this low value was attributed to the low carrier concentration. Wei et al. [9] prepared Cu3SbSe3 using melting-annealing-HP and MA-HP-annealing, obtaining a carrier concentration of 1016–1017 cm3 and a carrier mobility of 10–20 cm2V-1s-1 at room temperature.

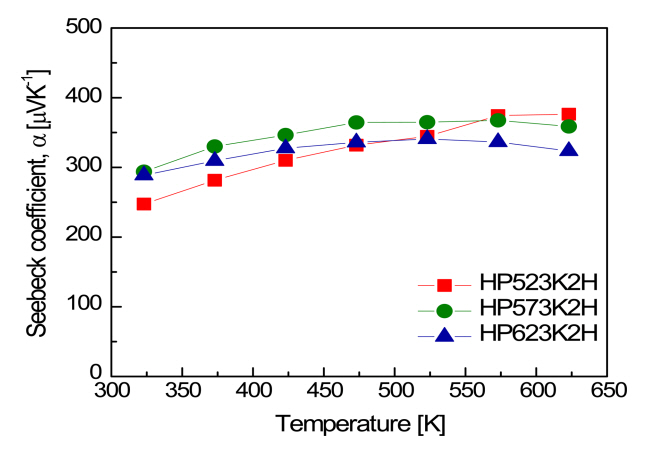
Figure 7 shows the Seebeck coefficient of Cu3SbSe3 prepared with the MA-HP process. The Seebeck coefficient values were positive, indicating that p-type characteristics and holes were the major charge carriers. The Seebeck coefficient decreases with increasing temperature after exhibiting a maximum value, because of the intrinsic conduction by thermal excitation. As the HP temperature increased, the onset temperature of the intrinsic conduction shifted to a lower temperature. The Seebeck coefficient is inversely correlated with electrical conductivity; thus, the Seebeck coefficient decreases with increasing HP temperature. In this study, the Seebeck coefficient values for Cu3SbSe3 were 247–294 μVK-1 at 323 K and 324–359 μVK-1 at 623 K.

The power factor of Cu3SbSe3 prepared using the MA-HP process is shown in Figure 8. The power factor increased with temperature and HP temperature, and the maximum power factor was 0.09–0.11 mWm-1K-2 at 623 K. These values were similar to the 0.1 mWm-1K-2 of Cu3SbSe3 prepared by melting SPS [9]. The low power factor was mainly attributed to the low electrical conductivity caused by the low carrier concentration. Therefore, the electrical conductivity and power factor should be increased via doping.

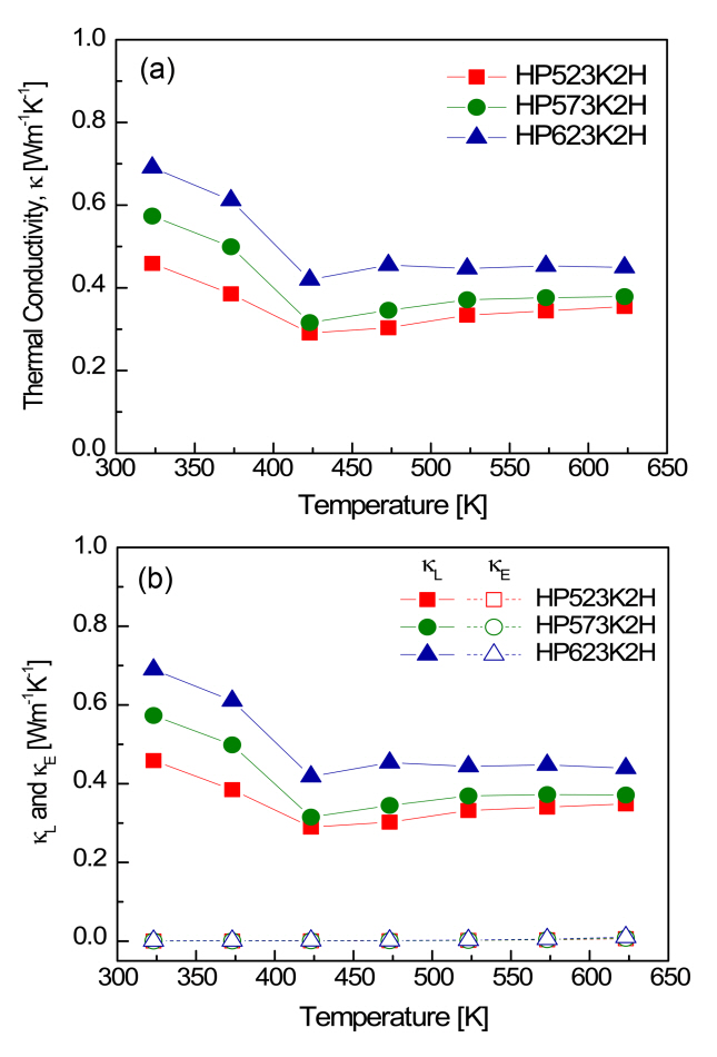
Figure 9 presents the thermal conductivity of Cu3SbSe3 prepared with the MA-HP process. Thermal conductivity (κ) is attributed to lattice vibrations (κL: lattice thermal conductivity) and charge carrier transport (κE: electronic thermal conductivity), which can be separated using the Wiedemann-Franz law (κE = LσT, L: temperature-dependent Lorenz number). The Lorenz number was calculated using the following equation: L = 1.5 + exp[−|α|/116] [27], and the ranges of L were (1.58–1.62) × 10-8 V2K-2 at 323 K and (1.54–1.56) × 10-8 V2K-2 at 623 K, indicating that Cu3SbSe3 is a nondegenerate semiconductor, as demonstrated by the temperature dependence of electrical conductivity. Theoretically, the Lorenz number is in the range of (1.45–2.44) × 10-8V2K-2 [28], and smaller values indicate nondegenerate semiconductor behavior. The thermal conductivity decreases rapidly at 423 K and then increases slightly. Kirkham et al. [17] found an order-disorder transition in Cu3SbSe3 at 373–448 K because of the mobile Cu atoms, and a change in the slope from negative to positive at the transition temperature was confirmed by thermal conductivity measurements. Similarly, significant changes in the thermal conductivity and specific heat of Cu3SbSe3 at 373–450 K have been reported [9, 18, 26, 29]. The thermal conductivity values of all specimens were less than 0.7 Wm-1K-1 in the temperature range of 323–623 K, and the minimum thermal conductivity was 0.29–0.42 Wm-1K-1 at 423 K. The thermal conductivity was almost temperature-independent after the order-disorder transition. According to the report by Skoug et al. [5], in the group AV-chalcogenide compounds, the electrostatic repulsion between the Sb 5s lone-pair electrons and neighboring chalcogen ions causes lattice anharmonicity, and their strength is determined by the morphology of the lone-pair orbital and the coordination number of the group AV atom. Thus, Cu3SbSe3 with the largest Se-Sb-Se bond angle (99.42°) exhibits temperature-independent behavior and the lowest lattice thermal conductivity (0.49 Wm-1K-1 at 300 K).

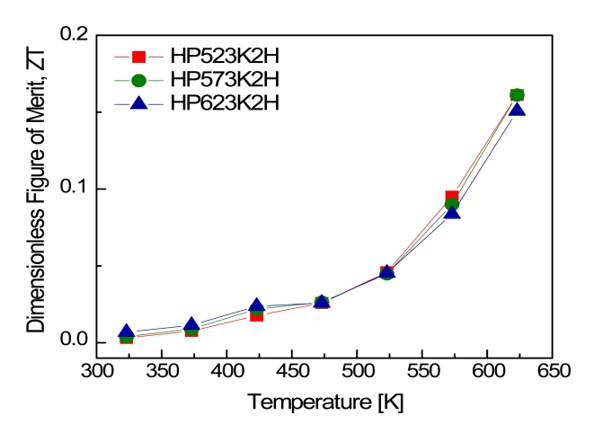
Figure 10 shows the dimensionless figure of merit (ZT) of Cu3SbSe3 prepared via the MA-HP process. The ZT values increased with increasing temperature, and the maximum ZT value was 0.16 at 623 K. Tyagi et al. [26] obtained ZT < 0.1 in the temperature range of 300–600 K for Cu3SbSe3 prepared by melting-SPS, and Wei et al. [9] achieved ZT = 0.25 at 650 K for Cu3SbSe3 prepared by both melting-annealing- HP and MA-HP-annealing. Liu et al. [18] reported ZT = 0.42 at 653 K for Cu3SbSe3 prepared by SHS-SPS. Although intrinsic Cu3SbSe3 exhibited a low ZT value, Cu3SbSe3 could be a potential thermoelectric material because of its large Seebeck coefficient and low thermal conductivity, and its thermoelectric performance is expected to be enhanced by stabilizing the bytizite phase and increasing the power factor through doping.

Figure 10 shows the dimensionless figure of merit (ZT) of Cu3SbSe3 prepared via the MA-HP process. The ZT values increased with increasing temperature, and the maximum ZT value was 0.16 at 623 K. Tyagi et al. [26] obtained ZT < 0.1 in the temperature range of 300–600 K for Cu3SbSe3 prepared by melting-SPS, and Wei et al. [9] achieved ZT = 0.25 at 650 K for Cu3SbSe3 prepared by both melting-annealing- HP and MA-HP-annealing. Liu et al. [18] reported ZT = 0.42 at 653 K for Cu3SbSe3 prepared by SHS-SPS. Although intrinsic Cu3SbSe3 exhibited a low ZT value, Cu3SbSe3 could be a potential thermoelectric material because of its large Seebeck coefficient and low thermal conductivity, and its thermoelectric performance is expected to be enhanced by stabilizing the bytizite phase and increasing the power factor through doping.

4. CONCLUSIONS

Orthorhombic bytizite Cu3SbSe3 was synthesized using MA-HP without post-annealing, but secondary phases of tetragonal permingeatite Cu3SbSe4 and cubic berzelianite Cu1.78Se were formed. From the XRD and TG-DSC results, the optimal MA condition was determined to be 350 rpm for 18 h. Dense specimens close to the theoretical density were obtained at HP temperatures above 573 K. All specimens showed p-type conduction and nondegenerate behavior. With increasing HP temperature, the electrical conductivity increased, while the Seebeck coefficient decreased. All specimens exhibited low thermal conductivity values of <0.7 Wm-1K-1, and the minimum values were 0.29–0.42 Wm-1K-1 at 423 K. The largest power factor of 0.11 mWm-1K-2 and the maximum ZT of 0.16 were achieved at 623 K. The ZT value of Cu3SbSe3 was lower than that of other promising Cu-chalcogenides; nevertheless, it is expected that the thermoelectric performance can be improved by increasing the power factor via doping, because it has a moderate Seebeck coefficient and ultralow thermal conductivity.

Acknowledgements

This study was supported by the Basic Science Research Capacity Enhancement Project (National Research Facilities and Equipment Center) through the Korea Basic Science Institute funded by the Ministry of Education (Grant No. 2019R1A6C1010047).

REFERENCES

1 
Lee I. J., Park S. B., Ur S. C., Jang K. W., Kim I. H., Korean J. Met. Mater,57, 264 (2019)Google Search
2 
Choe S. H., Kim Y. S., Choi J. Y., Park Y. J., Cha B. C., Kong Y. M., Kim D., Korean J. Met. Mater,57, 506 (2019)Google Search
3 
Jang Y. J., Shin H. J., Wi S. J., Kim H. N., Lee G. S., Ahn J., Korean J. Met. Mater,57, 124 (2019)Google Search
4 
Lee C., Bang K., Hong D., Lee H. M., Korean J. Met. Mater,57, 1 (2019)Google Search
5 
Skoug E. J., Morelli D. T., Phys. Rev. Lett,107, 235901 (2011)Google Search
6 
Sevik C., Čaǧin T., J. Appl. Phys,109, 1 (2011)Google Search
7 
Majsztrik P. W., Kirkham M., Garcia-Negron V., Lara-Curzio E., Skoug E. J., Morelli D. T., J. Mater. Sci,48, 2188 (2013)Google Search
8 
Tyagi K., Gahtori B., Bathula S., Toutam V., Sharma S., Singh N. K., Dhar A., Appl. Phys. Lett,105, 261902 (2014)Google Search
9 
Wei T. R., Wu C. F., Sun W., Pan Y., Li J. F., RSC Adv,5, 42848 (2015)Google Search
10 
Liu Y., Yang J., Gu E., Cao T., Su Z., Jiang L., Yan C., Hao X., Liu F., Liu Y., J. Mater. Chem. A,2, 6363 (2014)Google Search
11 
Akl A. A., El Radaf I. M., Hassanien A. S., Optik,227, 165837 (2021)Google Search
12 
Kim S. Y., Kwak S. G., Pi J. H., Lee G. E., Kim I. H., J. Electron. Mater,48, 1857 (2019)Google Search
13 
Lee G. E., Pi J. H., Kim I. H., J. Electron. Mater,49, 2781 (2020)Google Search
14 
Lee G. E., Kim I. H., Materials,14, 1116 (2021)Google Search
15 
Skoug E. J., Cain J. D., Majsztrik P., Kirkham M., Lara-Curzio E., Morelli D. T., Sci. Adv. Mater,3, 602 (2011)Google Search
16 
Wei T. R., Li F., Li J. F., J. Electron. Mater,43, 2229 (2014)Google Search
17 
Kirkham M., Majsztrik P., Skoug E., Morelli D., Wang H., Porter W. D., Payzant E. A., Lara-Curzio E., J. Mater. Res,26, 2001 (2011)Google Search
18 
Liu R., Ren G., Tan X., Lin Y., Nan C., Energies,9, 816 (2016)Google Search
19 
Glazov V. M., Pashinkin A. S., Fedorov V. A., Inorg. Mater,36, 641 (2000)Google Search
20 
Jain A., Ong S. P., Hautier G., Chen W., Richards W. D., Dacek S., Cholia S., Gunter D., Skinner D., Ceder G., Persson K. A., APL Mater,1, 011002 (2013)Google Search
21 
Li Y., Qin X., Yang X., Liu Y., Zhang J., Dou Y., Song C., Xin H., J. Mater. Chem. C,3, 7045 (2015)Google Search
22 
Shi D., Geng Z., Lam K. H., Energies,12, 401 (2019)Google Search
23 
Seo J., Park K., Lee D., Lee C., Mater. Sci. Eng. B,49, 247 (1997)Google Search
24 
Son J. S., Choi M. K., Han M. K., Park K., Kim J. Y., Lim S. J., Oh M., Kuk Y., Park C., Kim S. J., Hyeon T., Nano Lett,12, 640 (2012)Google Search
25 
Yang L., Chen Z. G., Han G., Hong M., Zou J., Acta Mater,113, 140 (2016)Google Search
26 
Tyagi K., Gahtori B., Bathula S., Srivastava A. K., Shukla A. K., Auluck S., Dhar A., J. Mater. Chem. A,2, 15829 (2014)Google Search
27 
Kim H. S., Gibbs Z. M., Tang Y., Wang H., Snyder G. J., APL Mater,3, 041506 (2015)Google Search
28 
Flage-Larsen E., Prytz Ø., Appl. Phys. Lett,99, 202108 (2011)Google Search
29 
Samanta K., Gupta N., Kaur H., Sharma L., Pandey S. Dogra, Singh J., Senguttuvan T. D., Sharma N. Dilawar, Bandyopadhyay A. K., Mater. Chem. Phys,151, 99 (2015)Google Search

Figures and Tables

Fig. 1.

XRD patterns of (a) synthesized powders and (b) sintered specimens of Cu3SbSe3.

../../Resources/kim/KJMM.2023.61/kjmm-2023-61-5-363f1.jpg
Fig. 2.

Analyses of (a) TG and (b) DSC of the mechanically alloyed Cu3SbSe3.

../../Resources/kim/KJMM.2023.61/kjmm-2023-61-5-363f2.jpg
Fig. 3.

Analyses of (a) TG and (b) DSC of the hot-pressed Cu3SbSe3.

../../Resources/kim/KJMM.2023.61/kjmm-2023-61-5-363f3.jpg
Fig. 4.

FESEM images of the polished and fractured surfaces of Cu3SbSe3.

../../Resources/kim/KJMM.2023.61/kjmm-2023-61-5-363f4.jpg
Fig. 5.

Elemental analysis data of Cu3SbSe3 hot-pressed at 573 K for 2 h.

../../Resources/kim/KJMM.2023.61/kjmm-2023-61-5-363f5.jpg
Fig. 6.

Electrical conductivity of Cu3SbSe3 prepared by the MA-HP process.

../../Resources/kim/KJMM.2023.61/kjmm-2023-61-5-363f6.jpg
Fig. 7.

Seebeck coefficient of Cu3SbSe3 obtained through the MAHP process.

../../Resources/kim/KJMM.2023.61/kjmm-2023-61-5-363f7.jpg
Fig. 8.

Power factor of Cu3SbSe3 obtained through the MA-HP process.

../../Resources/kim/KJMM.2023.61/kjmm-2023-61-5-363f8.jpg
Fig. 9.

Thermal conductivity of Cu3SbSe3 obtained through the MA-HP process; (a) total thermal conductivity and (b) lattice and electronic thermal conductivities.

../../Resources/kim/KJMM.2023.61/kjmm-2023-61-5-363f9.jpg
Fig. 10.

Dimensionless figure of merit of Cu3SbSe3 obtained with the MA-HP process.

../../Resources/kim/KJMM.2023.61/kjmm-2023-61-5-363f10.jpg
Table 1.

Quantitative analysis of synthesized powders and sintered specimens.

Specimen Phase content (%)
Bytizite Cu3SbSe3 Permingeatite Cu3SbSe4 Berzelianite Cu1.78Se
MA350R6H 88.3 11.7 -
MA350R12H 81.6 18.4 -
MA350R18H 85.1 14.9 -
MA350R24H 83.4 16.6 -
HP523K2H 78.5 16.0 5.5
HP573K2H 79.5 15.5 5.0
HP623K2H 65.1 26.8 8.1
Table 2.

Relative densities, lattice constants, and Lorenz numbers of Cu3SbSe3.

Specimen Relative density [%] Lattice constant [nm]
Lorenz number at 323 K [10-8 V2K-2]
a b c
MA350R18H - 0.7993 1.0682 0.6835 -
HP523K2H 97.1 0.7985 1.0656 0.6833 1.618
HP573K2H 99.3 0.7986 1.0655 0.6828 1.579
HP623K2H 99.2 0.8024 1.0720 0.6873 1.583