(Won-Bum Park)
1†
(Yong-Woo Kim)
2†
(Sun-Joong Kim)
3*
(Youn-Bae Kang)
4*
Copyright © 2023 The Korean Institute of Metals and Materials
Key words(Korean)
Ag-M (M= As, Pb, Sb, and Sn), tramp element, wet chemical analysis, ICP-AES
1. INTRODUCTION
Steel is a high-end strategic material for the future because of its cost-effective
nature. [1-5]. Recent trends in the iron and steel market are requiring that greenhouse gas emissions
be minimized, including CO2 over the whole production process [6-9]. Government-oriented policies to achieve a carbon-neutral state plan are being applied
to all industries, including ironmakers and steelmakers [10-15]. Accordingly, it is urgently necessary to reduce the HMR (Hot Metal Ratio) in basic
oxygen steelmaking, which can be accomplished by increasing the amount of ferrous
scrap [16-18]. In addition, more active use of electric arc furnaces is expected, using ferrous
scrap as the main raw material. As a result, the demand for ferrous scrap is projected
to increase significantly [19-21]. Among the various types of ferrous scraps, obsolete scrap will be the majority
(900 Mt out of 1300 Mt) [16,22]. It is well-known that various tramp elements exist in obsolete scrap. Once these
elements enter molten steel during the steelmaking process, they have a significant
unwanted impact on the steel product [23-27].
Conventionally, these tramp elements in the ferrous scrap are removed by preliminary
treatments, by shredding, and chlorination in the solid state [28-29]. Once these elements dissolve in the liquid steel, and are distributed into fluxes,
they can be evaporated from the liquid steel under different conditions to remove
the tramp elements [23,24,30-38]. From a fundamental point of view, removing these tramp elements requires increasing
their activity coefficient in the liquid steel, which increases the force driving
them out of the steel. Distribution of the tramp elements into lime-based flux has
not been effective because the distribution coefficient is too low, on the order of
10-3 to 10-5 [31,37].
Another feasible method is the evaporation method. The present authors’ research group
has elucidated the evaporation kinetics and mechanism of Sn and Cu from liquid iron
[32-36]. The evaporation of Sn and Cu was found to be largely affected by the C and S contents
in the liquid iron. Also, a kinetic model was developed for the evaporation of As
and Sn in the BOF (Basic Oxygen Furnace) process [38]. It was determined that the evaporation of As was also affected by the C content
in the liquid iron. The key factor in accelerating the evaporation of the tramp elements
from the liquid iron was increasing the activity coefficient (γM(in Fe alloy), (M = As, Pb, Sb, and Sn)) in the liquid iron. Accomplishing this requires an accurate
and reliable model and database of the activity (aM(in Fe alloy)) – composition (XM(in Fe alloy)) relation.
An overview of the present strategy is schematically shown in Fig 1. A multi-component thermodynamic database for steel containing tramp elements has
been developed over the years, to provide an accurate activity coefficient of M, which
can be used as fundamental data for the evaporation kinetic model [39]. However, because there is still a lack of data regarding tramp elements, further
studies are necessary to predict the thermodynamic behavior (activity) of the tramp
elements for future ferrous scrap usage.
One of the ways of measuring the activity of M in a Fe-based alloy is to utilize the
chemical equilibrium between the Fe-M alloy and the Ag-M alloy, based on the immiscibility
of Fe and Ag. This equilibrium yields:
For this calculation, it is prerequisite to have the activity (aM(in Ag alloy)) – composition (XM(in Ag alloy)) relation of the tramp elements in liquid Ag. In addition, an accurate chemical analysis
of M content in both phases (XM(in Ag alloy), XM(in Fe alloy)) is required. With these data, the activity coefficient of M in the Fe alloy can
be obtained [40-43]. Sn is one of the tramp elements, and the present authors also measured the γM(in Fe alloy) utilizing the chemical equilibrium between liquid Fe and liquid Ag [44]. However, a preliminary test gave unreliable chemical analysis results because of
residues remaining from the pre-treatment with dilute nitric acid solution (HNO3: H2O = 1:1), particularly for XSn(in Ag alloy) obtained by wet chemical analysis using
ICPAES (Inductively Coupled Plasma – Atomic Emission Spectrometer).
Generally, the dissolution of pure silver and silver alloy can be accomplished using
a nitric acid solution below 373 K, as in the following reaction [45-47]:
When the silver alloy including Sn is dissolved in the nitric acid solution, Sn can
be precipitated as metastannic acid (H2SnO3) by the following reaction [48,49]:
The metastannic acid in Reaction [5] is a concentrate commonly used to recover Sn in the integral hydrometallurgical
waste processing of printed circuit boards. The formation of Sb residues including
SbO2 occurs after the extraction of Pb and Ag during the integral hydrometallurgical processing
of e-wastes [50]. This indicates that using the general method of wet chemical analysis with a nitric
acid solution to determine the composition of Sn and Sb in Ag alloy is challenging,
due to the formation of residues.
On the other hand, an analysis method to determine the composition of Ag brazing filler
metals was established by the Japanese Standards Association [51]. In this method, Sn dissolved in Ag alloys can be analyzed by dissolving the Ag
alloys with a nitric acid solution, followed by precipitating metastannic acid, titration,
and the gravimetric method. While the wet chemical analysis method is quite common
for element content analysis, details of the procedure are often missing in the open
literature. Furthermore, it is assumed that the residues include a small amount of
Ag, which can result in an unreliable determination of Sn contents after the titration
and the gravimetric method.
To obtain reliable thermodynamic data about the tramp elements in the Fe phase, it
is necessary to accurately analyze the concentrations of the tramp elements in the
Ag phase by completely dissolving the sample, without residues such as H2SnO3 and SbO2. The principle of ICP-AES analysis for measuring the concentration of components
in various types of samples that dissolve in an aqua solution is well-known. However,
details of the pre-treatments used to make the aqua solution have not usually been
disclosed in previous articles. Indeed, many elements in the aqua state have different
precipitation reaction characteristics with the mixed acids during the pre-treatment.
Therefore, the present authors have attempted to provide details of the pre-treatment,
keeping in mind that the tramp elements in the samples (Ag alloys in the present study)
might exhibit precipitation reactions with the typical acids used in the pre-treatment,
such as HNO3.
The present study investigated the wet chemical analysis technique for various M (=
As, Pb, Sb, and Sn) in Ag alloys, with particular emphasis on the choice of solvent
acid and the characteristic wavelength for the AES. In order to confirm the validity
of the results in a more objective manner, the same analysis was also carried out
in two institutes (Pohang University of Science and Chosun University, respectively)
with two different sets of equipment. The best-optimized solution treatment and wavelength
are reported.
2. MATERIALS AND METHODS
2.1. Alloy preparation
Several Ag-M (M = As, Pb, Sb, and Sn) alloys of various compositions were prepared
in an induction melting furnace. Pure Ag (99.99 pct, DSmetal Corp., Incheon, Korea)
was charged in a magnesia crucible (OD 60 mm × ID 50 mm × H 100 mm) and was melted
in the furnace. In order to prevent possible oxidation, Ar(g) was dehydrated by passing
through a CaSO4 column, deoxidized using Mg chips at 500 °C, and was then flowed in the furnace.
After its melting, either a granule or pellet of pure metal M (As, Sn: 99.999 pct,
Pb: 99.996 pct, Sb: 99.99 pct, RND Korea Corp., Gwangmyeong-si, Korea) was added to
the molten Ag to achieve each target composition (see Table 1). A total 150 g of each was melted in the crucible at 1100 °C for each target composition.
The temperature of the melt was checked using a B-type thermocouple which was calibrated
with the standard thermocouple (Model C800-65, Type B, 0.5 mm in diameter, 1500 mm
in length, CHINO Corp., Tokyo, Japan). The melt was held for 30 min for liquid homogenization
and to minimize possible vaporization of the elements. Small portions of the melt
were sampled with quartz tubes 4 × 10-3 m in diameter. The surface of the samples was peeled off by a hand grinder and cut
into small pieces, of about 0.05 – 0.2 g each, for subsequent solution preparation
for the wet chemical analysis.
2.2. Solution preparation for Inductively Coupled Plasma Atomic Emission Spectrometry
(ICP-AES)
The analysis procedure is illustrated in Fig 2. All four kinds of alloys weighed approximately 0.1 g and were placed in a Teflon
jar. For the Ag-As and Ag-Pb, 10 ml of HNO3:H2O (1:1) was added. For the Ag-Sb and Ag-Sn, 1 ml of HF in addition to 10 ml of HNO3:H2O (1:1) was added. Details of the acid selection will be discussed in Section 3.1.
These solutions were heated on a hotplate for 2 hrs at 120 – 150 °C. Subsequently,
each solution was cooled down to room temperature and poured into a 100 ml flask filtered
with filter paper (No. 5C, thickness: 0.22 mm, ADVANTEC Toyo Kaisha, Ltd., Tokyo,
Japan). The solutions were left for an additional 24 hrs to complete the vaporization
of the unreacted HF. When [pct M] was higher than 3 in each alloy, the solution was
diluted by deionized water in order to match the detection limit of the ICP-AES employed
in the present study. Standard solutions (1000 μg/ml, Accustandard, New Haven, CT,
USA) were prepared as usual to cover the target compositions in Table 1, by mixing the same acids to create the same chemical environment for each element,
the deionized water, and adding the major component of the alloys (Ag, 0.1 g/ml of
solutions). These standard solutions were used to construct the calibration curve.
In the present study, two different ICP-AES systems were employed: the Thermo Fisher
Scientific (Thermo Fisher Scientific ICAP 6500, Waltham, MA, USA) installed at Pohang
University of Science and Technology (hereafter referred to as equipment A), and PerkinElmer
(Perkin Elmer Optima 5300 DV, Waltham, MA, USA) installed in Chosun University (hereafter
referred to as equipment B). The settings are summarized in Table 2.
3. RESULTS AND DISSCUSSIONS
3.1. Acid selection
As the first step, selected samples of the Ag-M alloys can be put in typical acids
such as HCl, H2SO4, and HNO3. However, it is known that Ag does not dissolve in HCl, and rarely dissolves in H2SO4 leaving Ag2SO4 as a precipitate. It was reported that the solubility of Ag2SO4 was at least twice lower than that of AgNO3, and the solubility of Ag2SO4 decreased as Ag+ ions increased in solution with NO3- ions [52]. Therefore, HNO3 was the first choice for dissolving medium. In the preliminary test, the Ag-Sb and
Ag-Sn alloys were first dissolved in the HNO3:H2O solutions. However, this resulted in precipitation in the solutions. On the other
hand, the Ag-As and Ag-Pb alloys dissolved in the same solution without precipitating
any residues. Therefore, a mixture of HNO3 and HF was used to dissolve the Ag-Sb and Ag-Sn alloys, as shown in Fig 2, which will be discussed in Section. 3.2.
3.2. Precipitation of Sb and Sn compounds in the solution
Fig 3(a) shows photographs of the Ag-As and Ag-Pb alloys that were dissolved in the HNO3:H2O solution. No visible precipitates were observed. However, the dissolved Ag-Sb and
Ag-Sn alloys in the HNO3:H2O solutions left ivory (Ag-Sb) and white (Ag-Sn) precipitates. It was postulated that
Sb and Sn reacted with the nitric acid and generated the precipitates (Fig 3(b) and 3(c)). When Ag-Sb and Ag-Sn alloy was dissolved in the HNO3:H2O with some amount of HF, no precipitation was observed (Fig 3(d)).
In order to analyze the precipitates, separate trials were carried out by dissolving
a large mass of these alloys in nitric acid. The precipitates were collected with
a 5C filter paper and dried at 100 °C for 1 day. These appeared to be fine powders
(Fig 3(c)). The residues weighed about 1.5 g and were observed using XRD (Bruker, D8-Advance
Davinci, Billerica, MA, USA). As seen in Fig 4, the residues had partial non-crystalline phases with weak peaks. These peaks were
matched to SbO2 (Fig 4(a)) and SnO2, Sn6(O4(OH4)) (Fig 4(b)). Notably, the presence of these precipitates would have caused a noticeable underestimation
of the concentrations of Sn and Sb in the Ag alloys.
The results in Section. 3.2 provide evidence why nitric acid cannot be used to dissolve
Ag-Sb and Ag-Sn alloys, while Ag-As and Ag-Pb alloys were completely dissolved in
the nitric acid without any problem. In order to dissolve the Sb and Sn precipitates
completely, HF was used. Several attempts were made in the present study to optimize
the appropriate proportion of HF in the nitric acid solution. When more than 3 ml
HF was added to 10 ml HNO3 solution in order to dissolve the Ag-M alloys, a noticeable gas evolution was observed.
It probably contained fluorine. The gas evolution continued for 24 hrs at room temperature.
Excess HF added to the HNO3 could remain in the solution, making it unstable, with evaporation. This might produce
uncertainties in the analyzed results. Adding less HF to the 10 ml of HNO3 decreased the fluoric gas evolution time to 7 hrs. However, when using less than
1 ml of HF, precipitation occurred. Considering the amount of Ag-Sb and Ag-Sn alloy
(about 8×10-4 mol for Sb and Sn in 0.1 g) reacting with the HF, 1 ml of HF (about 2.5×10-2 mol for F- in 50 vol% HF 1 ml) is thought to be enough to react with the Sb or Sn
solute in the liquid Ag alloy. Therefore, it was concluded that 1 ml of HF mixed with
10 ml of HNO3:H2O (1:1) to dissolve approximately 0.1 g of Ag-Sb and Ag-Sn alloys was the best option.
3.3. Wavelength selection
The prepared aqueous solutions were nebulized into the ICP-AES plasma cores via a peristaltic pump. When the excited electron returns to its ground level, electromagnetic
radiation is emitted, which is specific to each element. Therefore, the intensity
of the radiation should be measured at the corresponding radiation wavelength. While
several wavelengths represent an element, the optimum wavelength for the intensity
measurement was selected using the following considerations: high intensity and less
interference with other elements, in particular with the solvent metal (Ag in the
present study). The wavelengths finally selected in the present study are listed in
Table 1. Fig 5 shows the present analysis results for the four elements (As, Pb, Sb, and Sn) at
various wavelengths using the two systems (equipment A and equipment B). The contents
analyzed by ICP-AES were compared with the target contents calculated using the initial
mass of Ag and M melted in the induction furnace.
3.3.1. As
Fig 5(a) and 5(b) show the analyzed results for As. Reliable analysis results were obtained within
± 5 pct. uncertainty when [pct As] = 1 and 2 in the Ag-As alloys. The agreement was
irrespective of the choice of wavelength and equipment. When [pct As] = 3, the analyzed
result was somewhat lower than the target composition for both systems. This may be
attributed to the vaporization of As in the process of melting the Ag-As alloy, since
As passes through sublimation at 614 °C [53]. Sensitivity due to the choice of different wavelengths was not significant. After
considering the intensity of the As peak at each analyzed wavelength, 189.042 nm in
equipment A and 188.979 nm in equipment B are recommended to analyze As.
3.3.2. Pb
Fig 5(c) and 5(d) show the analyzed results for Pb. The results analyzed using equipment B with a wavelength
of 217.000 nm showed better agreement with the target contents. Other wavelengths
showed noticeable underestimation from the target contents. Analysis reproducibility
became lower as [pct Pb] increased. Therefore, it is recommended to use 217.000 nm
for the Pb analysis Ag using equipment B. The analyzed results using equipment A were
less dependent on the choice of wavelengths. Nevertheless, from the overall agreement
assessment, 216.999 nm is most recommended for equipment A to analyze the Pb in the
Ag.
3.3.3. Sb
Fig 5(e) and 5(f) show the analyzed results for Sb. Irrespective of the equipment used, the analysis
results agreed with the target contents in general. However, when [pct Sb] was 12.5
a slight deviation was found on both equipment. It is to be noted that the present
solution (1 ml HF mixed with 10 ml HNO3:H2O (1:1)) could be successfully used in the analysis of Sb alloyed in Ag, by dissolving
the SbO2. The best results were obtained as follows: 206.833 nm for equipment A, 217.582 nm
for equipment B for the analysis of Sb in Ag, when [pct Sb] was 7.5 or lower.
3.3.4. Sn
Fig 5(g) and 5(h) show the analyzed results for Sn. A good agreement was obtained with equipment A
when [pct Sn] was 7.5 or lower. In the case of equipment B, the analyzed result was
in good agreement when [pct Sn] was 5.0 or lower. Unlike the other elements, the analyzed
contents of Sn at high [pct Sn] were found to be slightly higher than the target contents.
The reason is not clear at present. It is recommended to use 189.989 in equipment
A and 189.927 in B, respectively, for the best analysis results.
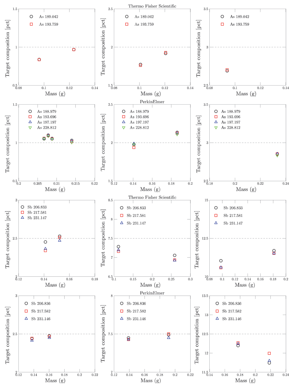
3.4. Sample mass
After analyzing the concentration of Ag-M alloys in this study, it was also confirmed
whether there was a relationship between the mass of the specimen used in the analysis
and the target concentration. Cases for As and Sb are shown representatively in Fig 6. Sample masses were in the range of 0.08 – 0.24 g. When the mass of the specimen
was more than 0.1 g, the analyzed compositions were in good agreement with the target
compositions as shown in Fig 6. When the target [pct Sb] in Ag was 12.5, the averaged values of contents analyzed
by equipment B and equipment A were lower than approximately 0.5 and 1 pct. compared
to the target composition, respectively. The melting point and boiling point of pure
Sb are 631 °C and 1587 °C, respectively [54]. At 1100 °C, the vapor pressure of liquid Sb is approximately 0.05 atm. Furthermore,
by evaporating Sb oxide, the removal ratio of Sb from the Sb-rich anode slime was
reported to be about 90% at 800 °C [55].
Even though the vapor pressure of Sb in the Ag alloy melts was not reported, it can
be assumed that vaporization of Sb occurred during the melting process used to prepare
the high concentration of Sb in the Ag alloy. Therefore, vaporization of Sb caused
the slight decrease in the analyzed compositions of Sb in the Ag alloy, compared to
the target composition. Consequently, the optimized mass for wet chemical analysis
of the Ag alloy sample was more than 0.1 g, and the analyzed concentrations of Sb
and As can be lower than the target composition due to vaporization, despite the best
choice of wavelength. The vaporization of tramp elements can reduce the contents of
tramp elements in ferrous scrap.
4. CONCLUSIONS
In the present study, a series of procedures for the wet chemical analysis of tramp
elements (M = As, Pb, Sb, and Sn) in Ag alloys were investigated. It was found that
the conventional use of HNO3 was fine for As and Pb, but it was problematic for the analysis of Sb and Sn content.
An XRD analysis showed that Sb and Sn formed precipitates (SbO2, SnO2, Sn6(O4(OH)4) in the HNO3 solution, which could result in a lower estimation of their contents. The addition
of HF to HNO3 solved this problem: 1 ml of HF in 10 ml of HNO3:H2O (1:1) was used for dissolving 0.1 g of Ag-M alloys.
Two different ICP-AES systems (equipment A: Thermo Fisher Scientific, equipment B:
PerkinElmer) were employed to confirm the choice of the acid solution. Moreover, several
wavelengths available for each elemental analysis were tested by comparing the target
contents of the synthesized Ag-M alloys and the analyzed contents. It was found that
not all of the wavelengths could be successfully used for accurate analysis. The following
are recommended:
● As: 189.042 nm in equipment A and 188.979 nm in equipment B
● Pb: 216.999 nm in equipment A and 217.000 nm in equipment B
● Sb: 206.833 nm in equipment A and 217.582 nm in equipment B
● Sn: 189.989 nm in equipment A and 189.927 nm in equipment B
It is recommended that a preliminary search be performed for an optimum acid and optimum
wavelength available in a given ICP-AES equipment, and will result in improved analysis
accuracy.
Acknowledgements
This research was financially supported by the National Research Foundation of Korea
(NRF-2021R1F1A1049973).
REFERENCES
An H., Lee J., Park H., Yoo J., Chung S., Park J., Kang N., Korean J. Inst. Met. Mater,59,
21 (2021)

Yoo I., Ko S.-W., Kim J., Hwang B., Korean J. Inst. Met. Mater,60, 102 (2022)

Jo M.-G., Ryu S.-H., Kim K.-I., Kim D.-E., Kim J.-I., Kim K.-T., Kim S.-S., Cho G.-S.,
Korean J. Inst. Met. Mater,60, 251 (2022)

Kim J.-Y., Ko S.-W., Hwang B., Korean J. Inst. Met. Mater,60, 811 (2022)

Kim H.-S., Kim J.-J., Korean J. Inst. Met. Mater,61, 60 (2023)

Gielen D., Saygin D., Taibi E., Birat J. P., J. Ind. Ecol,24, 1113 (2020)

Quader M. A., Ahmed S., Ghazilla R. A. R., Ahmed S., Dahari M., Renew. Sustain. Energy
Rev,50, 594 (2015)

Ramírez-Santos Á. A., Castel C., Favre E., Sep. Purif. Technol,194, 425 (2018)

Chen Q., Gu Y., Tang Z., Wei W., Sun Y., Appl. Energy,220, 192 (2018)

Government of the Republic of Korea, 2050 Carbon Neutral Strategy of the Republic
of Korea: Towards a Sustainable and Green Society, http://unfccc.int/sites/default/files/resource/LTS1_RKorea.pdf,
(2020)
Lee J.-Y., http://www.kiet.re.kr/research/paperView?paper_no=774, 2050 Long-term Low
Carbon Strategy (LEDS) and Steel Industry Challenges, (2022)

Akashi O., Hanaoka T., Matsuoka Y., Kainuma M., Energy,36, 1855 (2011)

The White House, The Long-Term Strategy of the United States: Pathways to Net-Zero
Greenhouse Gas Emissions by 2050, https://unfccc.int/documents/308100, (2021)
Bae J.-H., Kim K.-M., Lee K.-U, Han J.-W., Korean J. Inst. Met. Mater,59, 14 (2021)

Yi S.-H., Lee W.-J, Lee Y.-S., Kim W.-H., Korean J. Inst. Met. Mater,59, 41 (2021)

Holappa L., Metals,10, 1117 (2020)

Oda J., Akimoto K., J. Clean. Prod,345, 3 (2022)

Zhang Q., Li Y., Xu J., Jia G., J. Clean. Prod,172, 709 (2018)

Lee B., Sohn I., JOM,66, 1581 (2014)

Facchini F., Mossa G., Mummolo G., Vitti M., Energies,14, 7395 (2021)

Sahoo M., Sarkar S., Das A. C., Roy G. G., Sen P. K., Steel Res. Int,90, 11 (2019)

Nicholas S., Basirat S., https://ieefa.org/resources/new-old-global-potential-more-scrap-steel-recycling,
New from Old: The Global Potential for More Scrap Steel Recycling, (2021)

Zhang X., Ma G., Liu M., Li Z., Metals,9, 834 (2019)

Sang S.-H., Resour. Recycl,29, 3 (2020)

Nachtrab W. T., Chou Y. T., J. of Mater. Sci,19, 2136 (1984)

Kim S.W., Lee H.-G, Steel Res. Int,80, 121 (2009)

Lan Y., Seetharaman S., Metall. Mater. Trans. B,42, 1031 (2011)

Lee S.-Y., Sohn H.-S., J. of Korean Inst. of Resources Recycling,27, 54 (2018)

Tailoka F., Kumar R. V., Fray D. J., Ironmaking Steelmaking,30, 385 (2003)

Savov L., Tu S., Janke D., ISIJ Int,40, 654 (2000)

Isawa T., Wakasugi T., Noguchi K., Sano N., Steel Res,58, 7, 296 (1987)

Jung S.-H., Kang Y.-B., Seo J.-D., Park J.-K., Choi J., Metall. Mater. Trans. B,46,
250 (2015)

Jung S.-H., Kang Y.-B., Seo J.-D., Park J.-K., Choi J., Metall. Mater. Trans. B,46,
259 (2015)

Jung S.-H., Kang Y.-B., Seo J.-D., Park J.-K., Choi J., Metall. Mater. Trans. B,46,
267 (2015)

Jung S.-H., Kang Y.-B., Metall. Mater. Trans. B,47, 2564 (2016)

Tafwidli F., Choi M.-E., Yi S.-H., Kang Y.-B., Metall. Mater. Trans. B,49, 1089 (2018)

Kim D.-H., Cho Y.-M., Park S.-C., Kim S.-Y., Kang Y.-B., JOM,73, 1080 (2021)

Kim D.-H., Park W.-B., Park S.-C., Kang Y.-B., Materials,15, 4771 (2022)

Shubhank K., Kang Y.-B., Calphad,45, 127 (2014)

Tsukihashi F., Kuroda K., Arakawa S., Sano N., Steel Res,65, 53 (1994)

Bae B.-C., Min D.-J., J. of the Korean Inst. Met. Mater,36, 43 (1998)

Nassaralla C.L., Turkdogan E. T., Metall. Mater. Trans. B,24, 963 (1993)

Wang C., Nagasaka C, T, Hino T, M, Ban-Ya S., ISIJ Int,31, 1336 (1991)

Park W.-B., Bernhard M, Kang Y.-B, (In preparation),
Maritinez L., Segarra M., Fernandez M., Espiell F., Metall. Mater. Trans. B,24, 827
(1993)

K.Sadrnezhaady S., J. Mater. Sci. Technol,22, 696 (2006)

Schosseler J., Trentmann A., Friedrich B., Hahn K., Wotruba H., Metals,9, 187 (2019)

Mecucci A., Scott K., J. Chem. Technol. Biotechnol,77, 449 (2002)

Kamberovic Ž., Ranitovic M., Korac M., Andjic Z., Gajic N., Djokic J., Jevtic S.,
Metals,8, 441 (2018)

Ding Y., Zhang S., Liu B., Li B., J. Cleaner Prod,165, 48 (2017)

Japanese Industrial Standard JIS Z 3901, Method for Chemical Analysis of Silver Brazing
Filler Metals, (1988)
Lietzke M. H., Stoughton R. W., Inorg J., Nucl. Chem,28, 1877 (1966)

Gokcen N. A., Bull. Alloy Phase Diagr,10, 11 (1989)

Barin I., Knacke O., Kubaschewski O., Thermochemical properties of inorganic substances,617-620,
Springer (1977)

Qiu K., Lin D., Yang X., JOM,64, 1321 (2012)

Figures and Tables
Fig. 1.
An overview of the present research strategy including the necessity of developing
a wet chemical analysis technique.
Fig. 2.
Pretreatment of each Ag-M alloy for the wet chemical analysis.
Fig. 3.
Photographs taken after the acid treatment of Ag-M alloys: (a) Ag-As and Ag-Pb alloys
dissolved in 1:1 nitric acid, (b) Ag-Sb and Ag-Sn alloys dissolved in 1:1 nitric acid,
(c) precipitates collected after dissolving Ag-Sb and Ag-Sn alloys, which were dried
for 1 day, and (d) Ag-Sb and Ag-Sn alloys dissolved in 1:1 nitric acid with hydrofluoric
acid.
Fig. 4.
XRD analysis results of the collected precipitates from (a) Ag-Sb alloy and (b) Ag-Sn
alloy.
Fig. 5.
ICP-AES analysis results for (a) and (b) As, (c) and (d) Pb, (e) and (f) Sb, and (g)
and (h) Sn.
Fig. 6.
The effect of mass on the target composition in As and Sb.
Table 1.
Target contents of Ag-M alloys and the wavelength selections for each element in two
equipment.
|
Elements (M)
|
Target content (pct)
|
Thermo Fisher Scientific
|
Perkin Elmer
|
Wavelength (nm)
|
|
As
|
1
|
As 189.042
|
As 188.979
|
|
2
|
As 193.696
|
|
3
|
As 193.759
|
As 197.197
|
|
|
As 228.812
|
|
Pb
|
1
|
Pb 220.383
|
Pb 220.353
|
|
2
|
|
2.5
|
Pb 216.999
|
Pb 217.000
|
|
3
|
Pb 261.418
|
Pb 261.418
|
|
3.6
|
|
Sb
|
2.5
|
Sb 206.833
|
Sb 206.836
|
|
7.5
|
Sb 217.581
|
Sb 217.582
|
|
12.5
|
Sb 231.147
|
Sb 231.146
|
|
Sn
|
2.5
|
Sn 189.989
|
Sn 189.927
|
|
5
|
|
7.5
|
Sn 242.949
|
Sn 235.485
|
|
10
|
Sn 283.998
|
|
12.5
|
Sn 283.999
|
Sn 242.170
|
|
15
|
Table 2.
Analysis settings for each equipment.
|
ICP-AES equipment
|
Perkin Elmer (Optima 5300 DV)
|
Thermo Fisher Scientific (ICAP 6500)
|
|
Sample Flow rate (ml/min)
|
1.5
|
1.0
|
|
Flush Time (sec)
|
10
|
30
|
|
Delay Time (sec)
|
50
|
30
|
|
Source equilibration delay (sec)
|
19
|
-
|
|
Replicates
|
4
|
3
|
|
Auxiliary Flow (L/min)
|
0.2
|
0.5
|
|
Nebulizer Flow (L/min)
|
0.2
|
0.4
|
|
Power (watts)
|
1300
|
1150
|