허연지
(Youn Ji Heo)
1
이의선
(Eui Seon Lee)
1
최지원
(Ji Won Choi)
1
변종민
(Jongmin Byun)
1
오승탁
(Sung-Tag Oh)
1*
-
서울과학기술대학교 신소재공학과
(Department of Materials Science and Engineering, Seoul National University of Science
and Technology, Seoul 01811, Republic of Korea)
Copyright © 2024 The Korean Institute of Metals and Materials
Key words
W-Ni-Cu heavy alloy, ball milling, hydrogen reduction, sintering, microstructure
1. 서 론
텅스텐(W)은 고융점과 고밀도, 낮은 열팽창계수 및 우수한 고온강도를 나타내어 핵융합 반응로의 divertor 등 다양한 고온 환경용 재료로 적용되고
있다[1,2]. 그러나 W의 높은 융점은 주조 등의 일반적인 금속가공 방법을 이용한 부품 제조를 어렵게 하며, 분말야금 공정을 적용할 경우에도 기공이 없는 고밀도
소결체 제조에 제약이 있어 단조 또는 열간정수압성형 등의 후속 치밀화 공정이 요구된다[3,4]. 또한 W의 낮은 연성, 높은 연성-취성 전이온도와 고온 재결정에 기인한 낮은 가공성은 다양한 부품제조에 한계로 작용하고 있다[5,6]. 따라서 이러한 문제를 해결하기 위해 연성을 가지는 Ni, Fe, Cu 등의 저융점 금속을 첨가한 W 중합금을 제조하여 소결성과 가공성을 향상시키려는
연구가 진행되고 있다.
중합금은 무게비로 80% 이상의 W을 함유하고 있으며 나머지는 바인더인 Ni-Fe 또는 Ni-Cu로 구성되어 있다[7,8]. 이 재료는 강도와 경도가 높은 W 입자와 일부 W이 연성을 가지는 바인더에 용해되어 있는 복합조직으로 구성되어 있기 때문에 기계적 성질과 가공성이
우수하다. 또한 상대적으로 저융점인 바인더가 소결 중에 액상으로 존재하기 때문에 고밀도의 소결체 제조가 가능한 장점이 있다. W-Ni-Fe 중합금은
많은 연구가 진행되어 엔진 회전자용 로터, 방사능 저장용기 및 국방분야의 운동에너지 관통자 등에 사용되고 있으나 W-Ni-Cu 계의 경우는 방사성
물질 운송용기 및 마이크로파 튜브의 방열판 등으로 적용 분야가 한정되어 상대적으로 연구가 부족한 실정이다.
W 중합금은 금속상의 원료분말을 고에너지 볼 밀링하여 혼합분말로 제조하고 액상소결을 거쳐 치밀화하는 공정을 적용하고 있다[9,10]. 그러나 이 공정은 밀링 용기와 볼에 의한 불순물 혼입, 최종 혼합분말에서 조대한 응집체 형성 및 정밀한 소결조직 제어에 어려움이 있어 요구되는
특성을 만족하는 소결체 제조에 한계가 있다. 따라서 균일한 혼합분말 제조를 위해 원료분말로 금속 대신 금속 산화물을 사용하여 볼 밀링한 후 수소환원하는
공정이 제시되었다. 이러한 공정은 취성을 가지는 금속산화물 분말의 특성때문에 짧은 시간의 밀링으로 분말의 미세화와 균일한 혼합이 가능하고, 수소 분위기에서의
후속 환원 열처리를 통해 중합금 조성의 나노크기 복합분말로의 제조가 가능한 장점이 있다[11]. 그러나 정밀한 미세조직 제어를 위해서는 밀링 공정의 최적화와 금속산화물 혼합분말의 수소환원 거동에 대한 정량적인 해석이 요구된다. 또한 복합분말의
특성이 최종 소결체의 미세조직에 미치는 영향을 분석하여 W 중합금 제조를 위한 공정 조건의 최적화가 요구된다.
본 연구에서는 최종 조성이 W-0.8 wt% Ni-0.4 wt% Cu인 미량의 바인더가 첨가된 중합금을 제조하기 위해 원료분말로 금속산화물인 WO3, NiO 및 CuO을 사용하여 볼 밀링과 수소환원한 후 상압소결하는 공정을 적용하였으며, 비교를 위해 금속분말을 원료로 하여 볼 밀링한 혼합 분말을
제조하였다. 볼 밀링시간과 공정제어제 첨가에 따른 산화물 혼합분말의 특성을 분석하고 환원 분말의 미세 조직을 해석하였으며, 열중량분석기를 이용하여
승온속도에 따른 반응온도 변화를 분석하여 산화물 복합분말의 수소환원 거동을 해석하였다. 또한 합성한 복합분말을 성형체로 제조한 후 상압소결하여 분말특성이
최종 소결체의 미세조직에 미치는 영향을 분석하여 W-Ni-Cu 계 중합금 제조를 위한 최적의 공정조건을 제시하고자 하였다.
2. 실험 방법
W-Ni-Cu 중합금 제조를 위한 원료분말로 WO3(99.9%, 0.2 µm, Kojundo Chemical Lab.), NiO(99%, -325 mesh, Sigma-Aldrich) 및 CuO(99.9%,
1 µm, Kojundo Chemical Lab.)를 사용하였다. 산화물 원료분말은 수소환원 후에 최종조성이 W-0.8 wt% Ni-0.4 wt%
Cu가 되도록 칭량한 후, 공정제어제로 1 wt% 스테아르 산을 첨가하여 3차원 믹서기에서 1~12시간 동안 밀링하였다. 볼은 직경 5 mm의 고순도
Y2O3-stabilized ZrO2을 사용하였고 볼과 분말의 장입비는 5:1로 하였다. 비교를 위해 W(99.9%, 1.2 µm, Taegu Tech), Ni(99.8%, -150+200
mesh, Alfa Aesar) 및 Cu(99.9%, -625 mesh, Alfa Aesar) 분말을 동일한 조건에서 볼 밀링하였다.
볼 밀링한 산화물 혼합분말의 환원거동은 열중량분석(thermogravimetric analysis, TGA) 장비를 이용하여 N2-10% H2의 혼합가스를 흘려주며 각각 2, 5, 10, 20 °C/min의 승온속도로 900 °C까지 가열하면서 무게변화를 측정하였다. 수소환원의 활성화에너지는
TGA에서 최대 무게변화 속도를 측정한 후 Kissinger방법을 이용하여 계산하였다[12]. 금속산화물 혼합분말과 환원한 합금분말의 미세조직 특성은 X-선 회절분석기(XRD, Miniflex 300, Rigaku), 주사전자현미경(FE-SEM,
JSM-6700F, JEOL Co.) 및 투과전자현미경(TEM, JEM-2010, JEOL)과 에너지 분산 X-선 분광법(EDS)을 이용하여 분석하였다.
혼합분말의 입자 크기는 레이저 입도 분석기(Ls I3 320, Beckman Counter Co.)를 이용하여 측정하였으며, 수소환원 한 분말의 결합에너지와
원자가 상태(valence state)는 X-선 광전자 분광법(XPS, K-alpha+, Thermo Scientific)으로 분석하였다.
산화물 또는 금속을 원료로 하여 제조한 혼합분말은 800 °C에서 2시간 동안 수소분위기에서 환원처리한 후 300 MPa의 압력으로 양단 압축하여
실린더 형태의 성형체로 제조하였다. 성형체는 5 °C/min의 승온속도로 1100 °C 및 1200 °C까지 가열한 후 30분 동안 수소분위기에서
소결하였다. 소결체의 밀도와 미세조직은 각각 Archimedes 원리와 FE-SEM을 이용하여 분석하였다.
3. 결과 및 고찰
밀링조건이 산화물 혼합분말의 특성에 미치는 영향을 분석하기 위해 밀링시간 및 공정제어제 첨가유무에 따른 응집체의 크기 변화를 측정한 결과를 그림 1에 나타내었다. 밀링시간이 증가함에 따라 응집체의 크기는 감소하나 5시간 밀링 이후로는 약 2.5 μm로 거의 동일한 크기를 나타냄을 알 수 있다.
한편 2시간 밀링까지는 공정제어제인 스테아르 산을 첨가한 경우가 더 작은 응집체 크기를 가지나 그 이후로는 공정제어제의 첨가에 상관없이 유사한 크기를
보여주었다.
볼 밀링한 혼합분말의 미세조직에 미치는 공정제어제의 영향을 분석하기 위해 5시간 밀링한 분말을 SEM으로 관찰하여 그림 2에 나타내었다. 혼합분말은 응집체와 함께 약 100 nm 크기의 미세한 입자들로 이루어져 있으며 공정제어제의 첨가에 따른 분말특성의 변화는 관찰되지
않았다. 따라서 본 연구에서는 최소 응집체 크기를 나타내는 5시간의 밀링과 공정제어제를 첨가하는 조건으로 혼합분말을 제조하였다.
그림 3(a)와 (b)는 볼 밀링한 금속산화물 혼합분말을 800 °C에서 각각 2시간 및 4시간 동안 환원 처리한 후 SEM으로 관찰한 미세조직 사진을 나타낸 것이다.
그림 3(a)와 비교하여 환원 시간이 증가한 그림 3(b)의 혼합분말에서는 입자성장과 함께 입자 간 목(neck) 형성과 성장이 발생하여 상대적으로 조대한 입자크기를 보여준다. 따라서 본 연구에서는 혼합분말의
환원조건을 800 °C에서 2시간으로 선택하였다. 한편, 그림 3(c)에서 명확하게 보여주듯이 금속분말을 원료로 사용하여 밀링한 경우는 산화물 분말을 사용한 경우보다 커다란 입자크기를 나타내어, 혼합분말의 미세화를 위해서는
본 연구에서 사용한 산화물 분말의 밀링과 수소환원 공정이 효과적임을 알 수 있다.
볼 밀링한 금속산화물 혼합분말을 환원한 후 XRD로 분석한 결과를 그림 4에 나타내었다. 환원분말은 W 상과 NiCu 고용상의 피크로만 존재하나 미량의 바인더 첨가에 따른 검출 한계를 고려하여 TEM-EDS 분석을 실시하였다.
그림 5는 분석결과를 나타낸 것으로, W 분말 내에 첨가한 바인더 원소들이 균일하게 분포하고 있으며 화살표로 표시한 일부 영역에서는 Ni과 Cu가 동시에
존재하고 있는 것을 알 수 있다. 따라서 이러한 부분들이 고용상인 것으로 판단되나 정확한 해석을 위해 XPS 분석을 실시하였다.
그림 6은 수소환원한 분말의 W4f, Ni2p 및 Cu2p에 대한 narrow scan 스펙트럼을 나타낸 결과이다. W4f 스펙트럼에서는 주로 금속 결합(W0)에 대한 W4f5/2 및 W4f7/2의 결합에너지 값이 관찰되며, W-O 결합에 해당하는 W6+과 함께 W5+, W4+의 피크도 관찰되는 바 이는 우선적으로 분말 표면의 산화에 의한 것으로 해석된다[13]. Ni2p 및 Cu2p 스펙트럼에서는 금속결합에 대한 에너지 피크와 함께 표면산화에 기인한 Ni2+ 및 Ni3+, Cu2+의 피크가 관찰된다. 추가적으로 Nix 및 Cux의 피크가 존재하는 바, 이러한 피크는 그림 4의 XRD 결과를 고려할 때 일부 Ni과 Cu의 화학적 결합에 의한 고용체 형성에 기인한 것으로 판단한다[14,15].
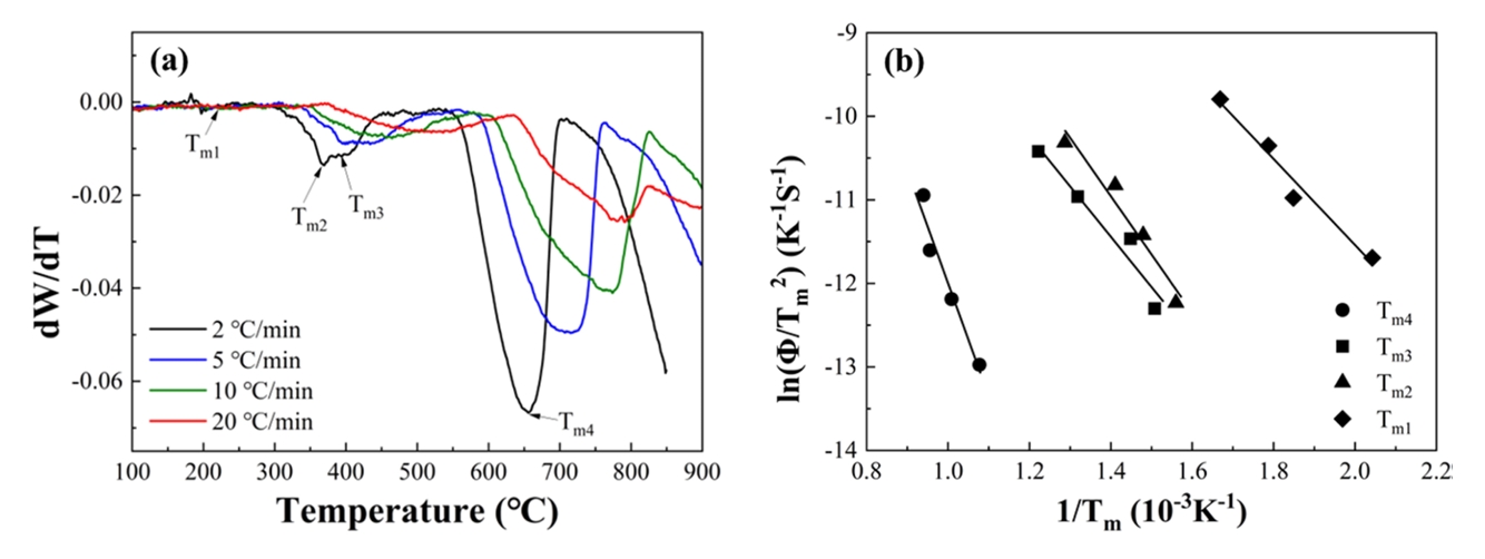
금속산화물 혼합분말의 환원거동을 정량적으로 해석하기 위해 TGA를 이용하여 N2-10% H2의 혼합가스를 흘려주며 승온속도에 따른 무게변화를 측정하였다. 그림 7(a)는 상대 무게를 온도에 대해 1차 미분한 후 승온속도와 온도에 따른 무게변화율(dW/dT)을 나타낸 것으로 각 피크는 상대무게의 변화 속도가 최대가
되는 온도(Tm), 즉 환원반응이 최대로 일어나는 온도이다. 각각의 곡선에는 Tm1~ Tm4 로 표시된 4개의 반응피크가 존재하며 기존 논문에서 보고된 결과를 참고하면[16-18], Tm1은 CuO에서 Cu 상으로 환원, Tm2는 NiO에서 Ni로 환원, Tm3 및 Tm4는 각각 WO3에서 WO2 상 및 WO2에서 W 상으로 환원반응과 관련된다. 한편, 승온속도가 증가함에 따라 반응피크의 위치가 고온부위로 이동함을 알 수 있으며, 이는 산화물 분말의 환원이
열활성화 과정임을 의미한다. 따라서 승온속도에 따른 반응피크의 변화는 직접적으로 산화물의 환원에 대한 활성화 에너지와 관련됨으로 Kissinger
식을 이용하여 그 값을 계산할 수 있다[12].
그림 7(b)는 본 실험에서 적용한 2, 5, 10, 20 °C/min의 승온속도(F) 및 그림 7(a)에서 구한 최대 반응온도(Tm) 값으로 ln(F/Tm)을 계산하여 y축으로 하고 1/Tm을 x축으로 도시한 결과이다. 각 직선의 기울기로부터 Tm1, Tm2, Tm3 및 Tm4에 대한 활성화 에너지(Q)를 계산하면 각각 42.8 kJ/mol, 57.9 kJ/mol, 50.1 kJ/mol 및 112.6 kJ/mol의 값을
얻을 수 있다. 이러한 값은 겉보기 활성화 에너지로 원료분말의 크기 및 조성, 가스분위기의 조성 및 분석장비 등에 의존하기 때문에 기존 활성화 에너지
값과의 직접적인 비교는 어려우나 기존의 연구에서 제시한 활성화 에너지 값의 범위에 포함되는 결과이다[17,19]. 따라서 본 연구에서 얻은 활성화 에너지 값은 혼합분말에서 각 산화물 분말의 환원거동을 해석할 수 있는 중요한 기초자료를 제공한다는 점에서 유익한
결과로 판단한다.
분말특성이 최종 소결체의 미세조직에 미치는 영향을 분석하기 위해 금속 또는 금속산화물 분말을 원료로 사용한 혼합분말을 1100 °C 및 1200 °C에서
30분동안 소결한 후 관찰한 시편의 파단면을 그림 8에 나타내었다. 금속산화물을 원료분말로 사용한 경우에는 그림 8(a) 및 (b)와 같이 치밀화된 미세조직 특성을 보여주며 소결온도가 1200 °C로 증가하면 입자성장과 함께 기공이 감소함을 알 수 있다. 그러나 금속분말을 사용하여
1100 °C에서 소결한 시편에서는 그림 8(c)와 같이 상대적으로 많은 기공과 함께 입자들 간의 결합이 일부만 진행된 미세조직을 나타내었다.
소결체의 상대밀도는 금속산화물을 원료분말로 사용한 경우, 1100 °C 및 1200 °C에서 각각 81.4%와 96.0%를 나타내나 금속분말을 사용한
경우는 67.0%로 원료분말에 따라 커다란 차이를 보여주었다. 이러한 소결거동 변화는 그림 3의 혼합분말 특성을 고려할 때 이러한 미세조직과 상대밀도의 변화는 주로 초기분말의 입도 감소에 따른 소결 구동력의 증가에 기인한 것으로 판단한다[20-22]. 한편 그림 8(a)의 확대사진에서 화살표로 표시한 바와 같이 파단시편의 입계에서는 연속된 입자들이 관찰된다. Ni-Cu 계는 전율고용체를 형성하며 W이 Cu에는 고용되지
않음을 고려할 때 입계에 존재하는 입자들은 고용체를 갖는 바인더 상으로 해석할 수 있다[23]. 따라서 본 연구에서 적용한 금속산화물의 볼 밀링과 수소환원에 의한 혼합분말의 제조는 향상된 소결체 밀도를 가지는 W-Ni-Cu 중합금 제조에
효과적인 공정임을 알 수 있다.
4. 결 론
금속산화물 분말의 볼 밀링과 수소환원을 통해 W-0.8 wt% Ni-0.4 wt% Cu 혼합분말을 제조하여 환원거동을 해석하고 공정조건이 분말특성과
소결성에 미치는 영향을 분석하였다. 5시간동안 밀링한 산화물 혼합분말은 응집체와 함께 약 100 nm 크기의 미세한 입자들로 이루어져 있으며 공정제어제의
첨가에 따른 분말특성의 변화는 관찰되지 않았다. 800 °C에서 2시간 동안 수소환원한 혼합분말의 입자크기는 약 200 nm이며, XRD 및 XPS
분석을 통해 W상과 NiCu 고용상으로 존재함을 확인하였다. 혼합분말의 수소환원 거동은 승온속도에 따른 무게변화를 측정하여 해석하였으며, Kissinger
식으로 계산한 환원 반응의 활성화 에너지는 CuO의 경우 42.8 kJ/mol, NiO는 57.9 kJ/mol 및 WO3는 50.1~112.6 kJ/mol를 나타내었다. 금속산화물 혼합분말을 1100 °C에서 30분동안 치밀화한 소결체는 81.4%의 상대밀도를 보여주었으나,
금속분말을 원료로 사용한 경우는 67%의 낮은 상대밀도와 함께 입자들 간의 결합이 일부만 진행된 불균질한 미세조직을 나타내었다. 이러한 차이는 주로
초기분말의 입도 등 혼합분말의 특성에 기인한 것으로 해석하였다.
Acknowledgements
이 연구는 서울과학기술대학교 교내연구비의 지원으로수행되었습니다.
REFERENCES
Klopp W. D., J. Less-Common Met,42, 261 (1975)

Lassner E., Schubert W. D., Schubert, Tungsten: properties, chemistry, technology
of the elements, alloys, and chemical compounds,Kluwer Academic/Plenum Publishers
(1999)

Fang Z. Z., Wang H., Int. Mater. Rev,53, 326 (2008)

Heo Y. J., Lee E. S., Oh S.-T., Byun J., J. Powder Mater,29, 247 (2022)

Pokluda J., Šandera P., Phys. Status. Solidi. B,167, 543 (1991)

Ren C., Fang Z. Z., Koopman M., Butler B., Paramore J., Middlemas S., Int. J. Refract.
Metals Hard Mater,75, 170 (2018)

Senthilnathan N., Annamalai A. R., Venkatachalam G., Trans. Indian Inst. Met,70, 1161
(2017)

German R. M., Int. J. Refract. Metals Hard Mater,108, 105940 (2022)

Alam M. E., Odette G. R., Nucl. Mater. Energy,36, 101467 (2023)

Ryu H. J., Hong S. H., Baek W.H., Mater. Sci. Eng. A,291, 91 (2000)

Li Z.-B., Zhang H., Zhang G.-H., Chou K.-C., Metall. Mater. Trans. A,53, 1085 (2022)

Kissinger H. E., Anal. Chem,29, 1702 (1957)

Vesel A., Mozetič M., Panjan P., Hauptman N., Klanjsek-Gunde M., Balat-Pichelin M.,
Surf. Coat. Technol,204, 1503 (2010)

Nesbitt H. W., Legrand D., Bancroft M., Phys. Chem. Minerals,27, 357 (2000)

Zhang X., Wang J., Wang J., Wang J., Wang C., Lu C., J. Phys. Chem. Lett,12, 11135
(2021)

Kim D.-G., Min K. H., Chang S.-Y., Oh S.-T., Lee C.-H., Kim Y. D., Mater. Sci. Eng.
A,399, 326 (2005)

Heo Y. J., Lee E. S., Kim J. Y., Oh S.-T., Byun J., Arch. Metal. Mater,69, (2024)

Janković B., Adnađević B., Mentus S., Thermoch. Acta,456, 48 (2007)

Yao F., Wu Q., Lei Y., Guo W., Xu Y., Polym. Degrad. Stab,93, 90 (2008)

Fang Z. Z., Wang H., Int. Mater. Rev,53, 326 (2008)

Zhang H., Liu J.-R., Zhang G.-H., J. Alloy. Compd,928, 167040 (2022)

Lee E. S., Heo Y. J., Kim J. Y., Lee Y.-I., Suk M.-J., Oh S.-T., Korean J. Met. Mater,61,
170 (2023)

Wu Y., German R. M., Marx B., Bollina R., Bell M., Mater. Sci. Eng. A,344, 158 (2003)

Figures
Fig. 1.
The variation of agglomerate size of oxide mixtures versus milling time.
Fig. 2.
SEM image of ball-milled powder mixtures: (a) without and (b) with process control
agents.
Fig. 3.
SEM micrograph of ball-milled W-Ni-Cu powder mixtures, hydrogen reduced at 800 °C
for (a) 2 h, (b) 4 h using WO3-NiO-CuO powders and (c) 2 h using W-Ni-Cu powders as starting materials.
Fig. 4.
XRD patterns for the hydrogen-reduced powder mixture and pure metals.
Fig. 5.
TEM-EDS analysis of hydrogen-reduced WO3-NiO-CuO powder mixture.
Fig. 6.
High-resolution XPS spectra for W, Ni and Cu elements of hydrogen-reduced WO3-NiO-CuO powder mixture.
Fig. 7.
Analysis of the reduction process: (a) differential TGA curves at different heating
rates and (b) Kissinger plots for the reduction of ball-milled WO3-NiO-CuO powders.
Fig. 8.
Fracture surfaces of the W-Ni-Cu specimens; (a) sintered at 1100 °C using oxide mixture
(the inset shows the magnified image and the binder phases indicated by arrows), (b)
sintered at 1200 °C using oxide mixture and (c) sintered at 1100 °C using metal powders
as raw materials.