The Journal of
the Korean Journal of Metals and Materials

The Journal of
the Korean Journal of Metals and Materials

Monthly
  • pISSN : 1738-8228
  • eISSN : 2288-8241

Editorial Office


  1. 서울시립대학교 신소재공학과 (1Department of Material Science and Engineering, University of Seoul, Seoul 02504, Republic of Korea)
  2. 연세대학교 신소재공학과 (2Department of Material Science and Engineering, Yonsei University, Seoul 03722, Republic of Korea)



Bi2Te3, Single Parabolic Band model, density-of-states effective mass, non-degenerate mobility, weighted mobility, Electric current pulse treatment

1. 서 론

지속 가능한 에너지 하베스팅 기술에 대한 다양한 연구는 가속화되는 기후 위기를 막기 위한 노력의 일환으로 계속되고 있다. 이 노력은 기후 위기의 주요 원인인 온실 가스 배출을 줄이는데 상당한 기여를 했다[1,2]. 친환경 에너지 하베스팅 기술 중 하나인 열전 기술은 화석 연료의 연소 없이 폐열로부터 직접 전기를 생산할 수 있어 많은 관심을 받고 있다[3-5]. 열전 장치의 효율은 장치에 사용된 재료의 열전 성능지수(zT)와 밀접하게 연결되어 있다. 열전 발전 장치의 효율은 아직 기존의 화력 발전소와 경쟁할 만큼 충분히 높지 않다. 따라서 열전재료의 zT를 증가시키는 것은 중요하다. zT (=S2σT/κ)는 제벡계수(S), 전기전도도(σ), 온도(T) 및 열전도도(κ)에 의존한다. κ는 전하에 의한 열전도도(κe)와 격자 열전도도(κl)에 합으로 나타낼 수 있다[6,7]. zT에서 S2σ를 역률(PF)이라고 하며 이는 재료의 전자 수송 특성을 결정하는 주요 지표이며, PF가 높고 κ가 낮을수록 zT는 높아진다.

지금까지 p-type 비스무트 텔루라이드(Bi2Te3)는 상온에 가까운 온도에서 높은 열전 성능을 보여 열전 연구에서 가장 많이 사용되는 물질이다[8,9]. Bi2Te3 매트릭스에 결함을 도입하는 것은 열전 성능을 향상시키는 효과적인 방법이다. 고유한 결정 결함(Bi’ Te, Sb’ Te) 및 음이온 빈자리(V’’ Te)는 특수한 적층 및 원자 배열구조에서 쉽게 형성된다[10-13]. 도펀트의 성분을 조정하는 것은 Bi2Te3 매트릭스의 결함을 제어하는 중요한 방법이다. 최근에는 결함을 발생시킬 뿐만 아니라 텍스처[14,15], 나노 스케일 왜곡 등과 같은 다양한 미세 구조를 유도할 수 있는 고온 변형[16,17], 액상 소결[18,19], HPT(High Pressure Torsion) [20] 등과 같은 여러 처리 기술이 구현되었다. 그 결과, 캐리어 농도가 최적화되었고, 이는 PF 증가에 기여했다. 또한, 결함 및 미세 구조는 격자 열전도도 (κl)를 감소시킬 수 있는 추가적인 포논 산란 센터로 작용할 수 있다. 전기 및 열 수송 특성에 대한 영향을 고려할 때, 이러한 결함을 도입하는 것은 zT를 증가시킬 수 있는 효과적인 방법이다.

도핑은 외인성 결함을 유도하는 데 사용될 수 있는 일반적인 방법이며, 페르미 준위를 조절하여 캐리어 농도를 조절할 수 있다. 도펀트 원소 중에서 Cu는 여러 종류의 열전 재료에서 널리 연구되어 왔다. 1950년대 이후로, Cu 도핑은 비스무트 텔루라이드의 열전 성능을 향상시키는 데 효과적인 것으로 밝혀졌으며[21-25], 많은 관련 연구가 보고되었다[26-29]. 그러나 많은 증거가 Cu 기반 재료에서 상당한 Cu 이온 이동을 검증하며, 이는 열전 특성에 부정적인 영향을 미칠 수 있다[30,31]. Cu 이온은 매우 쉽게 이동하므로, Cu가 도핑된 비스무트 텔루라이드의 안정성은 탐구할 가치가 있는 문제이다[32].

Zhuang et al.은 기계적 합금과 스파크 플라즈마 소결법(MA-SPS)을 결합한 방법으로 제조된 p-type Bi2Te3의 최적 조성인 Bi0.3Sb1.7Te3에 적합한 Cu 도핑 농도를 찾았다[32]. 또한 그들은 Cu 도핑 후 안정성을 조사하기 위해 폴리이미드로 감긴 벌크 샘플에 직류 펄스를 사용하는 SPS 방법으로 전류를 인가하여 전류가 샘플을 직접 통과하도록 했다. 이 기술을 전류 펄스(ECP) 처리라고 한다. 이전 연구에서는 반복 측정을 통해 비스무트 텔루라이드 합금에서 Cu 이온의 이동을 검증하려고 시도했지만, 이 방법은 측정된 각 샘플에 대해 별도로 Cu 이온 이동의 효과를 고려할 뿐이다. Cu 도핑 농도가 낮은 샘플의 경우, 여러 측정에서 발견된 서로 다른 결과가 작으며 Cu 이온은 두 측정 사이에 샘플의 원래 영역으로 다시 이동할 수 있다. ECP 처리 결과 Cu 이온이 실제로 이동하지만 벌크 샘플 양 끝의 전기적 특성은 거의 동일하다는 것을 보여주었다. 또한 ECP 처리는 입자의 비정상적인 미세 조정을 초래하고 다양한 결함을 발생시킬 수 있으며, 이는 캐리어 농도를 조정하고 열 전도도를 크게 감소시켰음을 확인했다. ECP 처리는 열전 소재의 열전도도 감소를 위한 향후 연구에 새로운 방법을 제안하였다. 하지만 Cu 도핑과 ECP 처리로 인한 Bi0.3Sb1.7Te3의 전기적 밴드 인자 변화에 대한 연구는 현재까지 보고된 바가 없다.

따라서 본 연구에서는 Cu 도핑과 ECP 처리가 Bi0.3Sb1.7Te3의 밴드 인자에 미치는 영향을 고찰하였다. S, σ, κe, PFzT와 같이 소재의 전하농도에 따라 변하는 인자와는 달리, 밴드 인자는 소재 고유의 특성을 직접적으로 반영하기 때문에 Cu 도핑 효과를 더욱 명확하기 판단할 수 있다. Zhuang et al.의 기존 연구 결과를 기반으로 Single Parabolic Band(SPB) 모델을 통해 CuxBi0.3Sb1.7-xTe3 (x = 0, 0.0008, 0.001, 0.0025, 0.005, 0.0075)의 밴드 인자인 상태밀도 유효질량(md*), 비축퇴 이동도(μ0), 가중 이동도(μW) 및 B-factor를 계산했다[33]. 이를 통해 찾은 최적의 Cu 도핑 샘플에 ECP 처리에 따른 각 밴드 인자(md*, μ0) 및 격자 열전도도(κl)의 변화 양상을 적용하여 Bi0.3Sb1.7Te3 재료에서 얻을 수 있는 이론 최대 zT 및 이를 구현할 수 있는 최적의 이론 전하농도를 제시하였다.

2. 실험 방법

SPB 모델에서 제벡계수(S)는 아래의 식 (1)로 표현된다. 여기서 kB, e, η는 각각 볼츠만 상수, 전하량, 페르미 준위이며 차수 j에 대한 페르미 적분(Fj(η))은 식 (2)로 표현된다[34].

(1)
S = k B e η - 2 F 1 η F 0 η
(2)
F j η = 0 ε j 1 + e x p ε - η d ε

캐리어 농도(nH)는 η와 상태밀도 유효질량(md*)을 이용해 식 (3)과 같이 표현된다[34]. 여기서 T는 절대온도, h는 플랑크 상수이다.

(3)
n H = 16 π 3 2 m d * k B T h 2 3 / 2 F 0 η 2 F - 1 / 2 η

식 (1)식 (2)에 따르면 Sη에만 의존하므로, Zhuang et al.이 측정한 S를 이용하면 Cu의 조성(x)에 따른 각각의 η를 추정할 수 있다. 추정된 η와 Zhuang et al.이 측정한 nH를 이용하면 식 (3)을 통해 x에 따른 각각의 md*를 계산할 수 있다.

전기전도도(σ)는 아래의 식 (4)로 표현되며, 캐리어 이동도(μH)는 nHη를 이용해 아래의 식 (5)로 표현된다.

(4)
σ = μ H n H e
(5)
μ H = μ 0 F - 1 / 2 η 2 F 0 η

Zhuang et al.이 측정한 nHσ을 이용해 μH의 실험값을 계산하였으며, μH와 앞서 추정된 η를 이용하면 식 (5)를 통해 x에 따른 각각의 μ0를 계산할 수 있다.

가중 이동도(μW)는 열전재료의 전기적 특성을 대변하는 밴드 인자로 μ0md*의 가중치를 준 형태인 아래 식으로 표현된다[34].

μ W = μ 0 m d * m 0 3 2

B-factor는 아래 식 (7)과 같이 표현된다.

(7)
B = k B e 2 8 π e 2 m 0 k B 3 / 2 3 h 3 μ W T 5 / 2 κ l

격자 열전도도(κl)는 Zhuang et al.이 측정한 값을 사용하였으며, 전하에 의한 열전도도(κe)는 아래 식 (8)을 이용해 계산하였다[35,36].

(8)
κ e = 8 π μ 0 k B 2 T 3 e 2 m d * k B T h 2 3 / 2 3 F 0 F 2 - 4 F 1 2 F 0

3. 결과 및 고찰

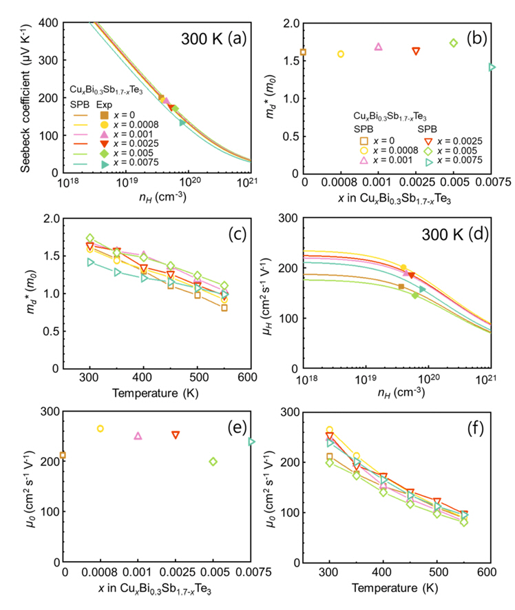
그림 1은 SPB 모델을 통해 계산한 CuxBi0.3Sb1.7-xTe3(x = 0, 0.0008, 0.001, 0.0025, 0.005, 0.0075)의 밴드 인자 md*, μ0와 실험값 S, μH를 나타낸 것이다. 본 논문의 그림에서는 SPB 모델을 통해 계산한 값은 빈 도형으로, Zhuang et al.의 실험 값은 채워진 도형으로 표현하였다. 그림 1(a)는 300 K에서 Zhuang et al.의 실험값과 함께 SPB 모델을 이용해 계산한 nH에 따른 S를 Cu 도핑량(x)에 대해 각각의 실선으로 나타내었다. Zhuang et al.의 실험값을 통해 Cu 도핑량이 늘어날수록 nH가 증가하는 것을 알 수 있는데, 이는 Cu가 Bi 혹은 Sb 자리에 삽입되었음을 의미한다. SPB 모델을 이용해 나타낸 nH-S 곡선과 Zhuang et al.의 실험값이 잘 매칭 되고 있음을 확인할 수 있다. 그림 1(b)는 SPB 모델을 이용해 계산한 300 K에서의 md*x에 대해 나타낸 것으로 x = 0.0008-0.005에서는 모상(1.62 m0)과 비슷하거나 약간 높은 값(1.59, 1.68, 1.64, 1.74 m0)을 나타내던 md*x = 0.0075에서 크게 감소한 것을 확인할 수 있다(1.42 m0). 그림 1(c)는 SPB 모델로 계산한 온도에 따른 md*의 변화를 각각의 x에 대해 나타낸 것이다. 모든 조성에서 온도가 증가할수록 md*가 감소하는 경향을 확인할 수 있다. 300 K와는 다르게 450 K 이상의 온도에서 모든 x에 대해 모상보다 높은 md*가 나타났다. 그림 1(d)는 300 K에서 Zhuang et al.의 실험값과 함께 SPB 모델을 이용해 계산한 nH에 따른 μH 를 Cu 도핑량(x)에 대해 각각의 실선으로 나타내었다. SPB 모델에서 μ0는 결함이나 불순물로 인한 산란이 없을 때 전하의 이동성을 표현하며, 이는 재료의 기본적인 전하 이동 특성을 이해하는 데 중요한 밴드 인자이다. 따라서 μ0는 재료의 고유한 이동도이며 이를 통해 재료의 전하 이동 특성을 파악할 수 있다. 그림 1(e)는 SPB 모델로 계산한 300 K에서의 μ0를 x에 대해 나타낸 것이며, 그림 1(f)는 SPB 모델로 계산한 온도에 따른 μ0의 변화를 각각의 x에 대해 나타낸 것이다. 모상 Bi0.3Sb1.7Te3μ0는 212.2 cm2s-1V-1이며, 최대 μH를 나타냈던 x = 0.008 조성의 μ0는 265.1 cm2s-1V-1로 약 25% 증가한 값이다. x = 0.005의 μ0는 199.4 cm2s-1V-1로 모상에 비해 약 6% 감소하여 가장 낮았다. μ0는 T-3/2에 비례하기 때문에 온도 증가에 따라 감소하는 경향을 보인다. 300 K에서 550 K로 온도가 증가함에 따라 모상의 μ0는 212.2 cm2s-1V-1에서 103.3 cm2s-1V-1으로 약 51% 감소한 반면, 300 K에서 최대값을 가졌던 x = 0.005 조성의 경우 265.1 cm2s-1V-1에서 81.1 cm2s-1V-1로 약 69% 감소하며 가장 큰 감소폭을 보였다. μ0의 감소는 전자-포논 상호작용이 강해졌다는 것을 의미한다.

그림 2는 SPB 모델을 통해 계산한 CuxBi0.3Sb1.7-xTe3 (x = 0, 0.0008, 0.001, 0.0025, 0.005, 0.0075)의 밴드 인자 μW, B-factor와 열전 성능 값 PF, κl, zT를 나타낸 것이다. 그림 2(a)는 Cu 도핑량(x)에 따른 μW를 보여준다. 300K에서 μW가 가장 높은 조성은 x = 0.001(539.3 cm2s-1V-1), 가장 낮은 조성은 x = 0.0075(402.9 cm2s-1V-1)로 계산되었다. μW는 이론적인 최대 PF와 관련이 있기 때문에 x = 0.001 조성에서 최대 이론 최대 PF가, x = 0.0075 조성에서 최소 이론 최대 PF가 나타날 것을 예상할 수 있는데, 이는 그림 2(b)에서 확인할 수 있다. 그림 2(b)nH에 따른 PF를 각각의 조성에 대해 나타낸 것으로 μW가 가장 높았던 x = 0.001에서 491.6 μWcm-1K-2로 가장 높은 이론 최대 PF가 나타났으며 μW가 가장 낮았던 x = 0.0075에서 367.2 μWcm-1K-2로 이론 최대 PF가 가장 낮았다. 그림 2(c)는 300 K에서의 B-factor를 Cu 도핑량(x)에 따라 각각 나타낸 것이다. 식 (7)에서 나타나듯이 B-factor는 같은 온도에서 μW에 비례하고 κl에 반비례하는 특징이 있다. 따라서 B-factor는 전기적 특성의 비중이 크게 나타나는 μW, PF와 달리 열적 특성도 함께 고려되는 밴드 인자이다. B-factor는 Cu 도핑량이 증가하는 동안 함께 증가하다가 x = 0.0025에서 모상 Bi0.3Sb1.7Te3B-factor(0.43)보다 약 47% 증가된 최대값(0.63)이 나타나고 이후 도핑량이 증가하면 감소하는 경향이 나타났다. 그림 2(d)B-factor 계산에 사용한 300 K에서의 κl를 나타낸 것이다. 이때 κl은 전체 열전도도에서 식(8)로 계산한 κe를 빼서 구하였다. Cu 도핑량이 증가함에 따라 Kl+bp가 감소하는 경향이 나타나는데 이는 도핑에 의해 도입된 Cu” Sb 결함이 격자 진동의 주기성을 교란시키기 때문이다[32]. 모상 Bi0.3Sb1.7Te3κl는 0.69 Wm-1K-1이며, x에 증가에 따라 κl 는 점차 감소하여 x = 0.0075 조성의 Kl+bp는 0.56 Wm-1K-1 까지 약 19% 감소한다. μWPF와 관련 있는 것처럼 B-factor는 zT와 관련이 있다. 그림 2(e)는 300 K에서 Zhuang et al.의 zT 실험값을 Cu 도핑량에 따라 나타낸 것이며, 그림 2(f)는 SPB 모델을 통해 계산한 300 K에서 nH에 따른 zT를 Cu 도핑량에 따라 나타낸 것이다. SPB 모델을 통해 계산한 결과 Zhuang et al.의 실험으로 측정된 zTnH 최적화(1.5×1019cm-3 - 2.5×1019cm-3)를 통해 더 높은 값을 얻을 수 있음을 확인했다. Zhuang et al.의 실험으로 측정된 zT의 경우 300 K에서 x = 0.001의 조성에서 ~1.11의 최대값이 나타났지만 SPB 모델을 통해 계산 한 결과 최대 B-factor가 나타났던 x = 0.0025의 조성에서 이론적인 최대 zT가 ~1.41로 x = 0.001 조성의 이론적인 최대 zT인 ~1.32보다 높게 나타났다.

그림 3은 SPB 모델을 통해 계산한 CuxBi0.3Sb1.7-xTe3 (x = 0, 0.0008, 0.001, 0.0025, 0.005, 0.0075)의 온도에 따른 B-factor, κl + κbp 그리고 zT의 변화를 나타낸 것이다. 앞서 B-factor가 zT와 관련 있음을 언급했듯이, 그림 3(a)에서 B-factor가 최대로 나타난 온도가 350 K에서 400 K 사이임을 볼 때, zT 역시 해당 온도 구간에서 가장 높을 것으로 예상할 수 있다. 그림 3(b)는 온도에 따른 κl + κbp를 나타내었는데 모든 온도에서 Cu 도핑량이 증가함에 따라 κl + κbp가 감소하는 것을 확인할 수 있다. Cu 도핑량에 따른 κl + κbp의 감소폭은 고온으로 갈수록 더 커지며 500 K에서 x가 0에서 0.0075로 증가할 때 κl + κbp는 약 42% 감소하여, 500 K에서 x = 0.0075 조성의 κl + κbp는 0.63 Wm-1K-1으로 가장 낮은 값으로 계산되었다. 또한 400 K부터 온도가 올라갈수록 κl + κbp가 증가하는 것으로 보아 온도가 400 K 이상으로 높아지면 bipolar에 의한 열전도도 기여분이 증가하는 것을 알 수 있다.

그림 3(c-h)는 온도와 nH에 따른 zT를 3D 그래프로 나타낸 것이다. SPB 모델을 이용해 각각의 조성에 대한 300-550 K에서 zT를 계산한 결과 모든 Cu 조성의 최대 zT가 350-400 K 온도 사이에서 나타났다. 모든 조성이 모든 온도 구간에서 nH가 감소하는 방향으로 최적화되었을 때 각 조성, 온도에서의 최대 zT를 얻을 수 있다. 특히 x = 0.0025 조성의 최대 zT가 가장 높게 나타났으며, 350 K에서 nH를 약 1.7 × 1019 cm-3로 조절하면 최대 zT ~1.48이 나타날 것으로 추정할 수 있다. 이는 동일 온도, 동일 조성의 실험값인 ~1.05보다 약 41% 증가한 값이다.

Zhuang et al.은 실험 결과 zT가 가장 높은 x = 0.001 조성의 벌크 샘플에 ECP 처리를 하여 벌크 양 끝단(ECP upper, ECP lower)의 열전성능을 분석했다[32]. 본 연구에서는 그 결과를 SPB 모델을 이용해 분석하고 밴드 인자를 계산했다. 그림 4는 SPB 모델을 통해 계산한 CuxBi0.3Sb1.7-xTe3x = 0.001 샘플과 그 샘플을 ECP 처리한 벌크 양 끝단의 μWκl + κbp, B-factor, zT를 나타낸 것이다. 그림 4(a)는 온도에 따른 μW를 보여준다. μW식 (6)을 이용하여 계산했다. μW는 온도 증가에 따라 감소하는 경향을 보이며, 모든 온도 구간에서 ECP를 하지 않은 x = 0.001 샘플의 μW가 가장 높은 값으로 계산되었다. 이는 전체 온도 구간에서 ECP upper 샘플은 md*가 낮고, ECP lower 샘플은 μ0가 낮기 때문이다. μW의 경향에서 예상할 수 있듯이 PF 역시 x = 0.001의 샘플이 ECP 처리를 한 두 샘플에 비해서 높게 나타날 것이다.

그림 4(b,c)에는 각 샘플의 온도에 따른 κl + κbpB-factor를 나타내었다. B-factor의 경우 300-350 K에서 ECP 처리한 샘플이 x = 0.001 조성의 샘플보다 더 높은 값이 나타났으며, 400 K 이상의 온도에서 ECP lower 샘플과 x = 0.001 조성의 샘플의 차이는 온도가 올라갈수록 줄어들었으며 ECP upper 샘플과 x = 0.001 조성의 샘플은 거의 차이가 없었다. 이러한 요인은 B-factor에 영향을 주는 μWκl + κbp의 온도에 따른 수치 변화 때문이다. 그림 4(b)를 보면 ECP 처리 결과 전체 온도 영역에서 양쪽 말단(upper, lower)의 κl + κbp가 감소했으며, 그 감소의 폭은 양쪽 말단 모두 300-350 K에서 크게 나타났으며 400 K 이후부터 감소 폭이 줄어드는 것을 확인할 수 있다. 따라서 300-350 K의 온도에서 ECP 처리는 μW의 감소보다 κl + κbp의 감소가 B-factor에 더 큰 영향을 미쳐 최종적으로 B-factor가 증가하는 결과가 나타났다. 400 K 이후의 온도에서는 두 인자의 감소가 B-factor에 영향을 주지 못할 정도로 차이가 나지 않았다. 결론적으로 300-350 K 온도에서의 ECP 처리는 κl + κbp를 감소시켜 B-factor의 증가에 의미 있는 영향을 주었다. Zhuang et al.은 이 이유를 결정립의 크기가 미세 해졌으며 기공, 나노 침전물, 및 전위가 많이 생성되어 포논의 산란을 강화시켰기 때문이라고 설명했다[32].

그림 4(d)는 SPB 모델을 통해 계산한 300 K에서 nH에 따른 zT를 각 샘플에 대해 나타낸 것이다. zT의 실험값은 x = 0.001, ECP upper이 거의 유사하게 나타나며, ECP lower에서 소폭 증가한 것을 볼 수 있다. 그림 4(d)에서 확인할 수 있듯이 SPB 모델로 계산한 최대 zTx = 0.001 조성에 비해 ECP 처리 후 더 높게 나타났다. 실험 조건보다 nH를 더 낮게 조절하면 최대 zT를 달성할 수 있으며, 300 K에서 최대 zT는 ECP upper에서 ~1.38, ECP lower에서 ~1.48로 x = 0.001 조성 샘플의 최대 zT인 ~1.32보다 각각 약 5%, 12% 증가한 수치이다.

그림 5는 SPB 모델을 통해 계산한 CuxBi0.3Sb1.7-xTe3x = 0.001 샘플을 ECP 처리한 벌크 양 끝단의 온도와 nH에 따른 zT를 3D 그래프로 나타낸 것이다. SPB 모델로 계산한 결과 두 샘플 모두 350 K에서 이론적인 최대 zT를 가지는 것으로 나타났다. 350 K에서 ECP upper 샘플의 경우 nH 1.5 × 1019 cm-3에서 최대 zT ~1.50, ECP lower 샘플의 경우 nH 1.8 × 1019 cm-3에서 최대 zT ~1.58가 나타났다. 이는 350 K에서 x = 0.001 샘플의 실험 zT(~1.21)보다 각각 24%, 31% 증가한 값이다. 또한 이 수치들은 300 K에서의 ECP upper, ECP lower 샘플의 최대 zT보다 높은 값이며, 그림 4(c)에 나타난 온도에 따른 B-factor의 경향과 같은 경향으로 350 K에서 최대 zT를 나타낸 후 온도가 높아질수록 최대 zT는 점차 감소한다.

그림 6x = 0.0025에서 ECP 처리에 따른 μw, κl, B-factor와 nH에 따른 zT를 나타낸다. 그림 3을 보면, SPB 모델로 분석한 결과 x = 0.001일 때 보다 x = 0.0025일 때 더 높은 zT가 예상된다. 따라서 x = 0.001이 아닌 x = 0.0025일 때 ECP 처리를 한다면 더 높은 zT를 얻을 수 있을 것이다. 하지만 x = 0.0025에서는 ECP 처리에 따른 변화가 보고된 적 없기에, x = 0.001에서와 같은 비율로 변화될 것이라고 가정하였다. 따라서 x = 0.0025에 대한 결과를 x = 0.001과 같은 비율로 변화시켜서 밴드 인자를 추정하였다. 그림 6(a-c)는 각각 x = 0.0025일 때 ECP 처리에 따른 예상되는 μw, κl, B-factor를 나타낸다. 3가지 값 모두 x = 0.001의 비율을 이용하여 계산했기 때문에 x = 0.001 샘플과 같은 경향성을 가진다. 그림 6(a)을 보면, ECP 처리는 μw를 감소시키기에 전기적 특성이 악화될 것이다. 하지만 그림 6(b)를 보면, κl 가 크게 감소하여 결론적으로 그림 6(c)처럼 B-factor가 크게 증가하였다. ECP Avg.를 기준으로 할 경우, μw는 약 10% 감소할 때, κl은 더 급격하게 21% 감소하며 B-factor는 13% 증가하였다.

그림 6(d)는 300 K에서 nH에 따른 zT를 나타내었다. 300 K에서 ECP upper 샘플의 nH가 1.4 × 1019cm-3로 최적화되면 최대 zT ~1.54를 얻을 수 있다. 이는 ECP 처리하기 전 x = 0.0025 샘플의 실험 zT (~1.05)보다 46% 증가한 값이며, 모상 Bi0.3Sb1.7Te3의 실험 zT (~1.00)보다 각각 54% 높은 값이다. Zhuang et al.의 실험에서는 x = 0.001 샘플의 실험 zT가 가장 높게 측정되어 해당 샘플에 ECP 처리하여 그 효과를 확인했지만, 본 연구에서는 SPB 모델을 통해 계산한 결과 x = 0.0025 샘플의 이론적인 최대 zT가 더 높으며, 따라서 x = 0.0025 샘플에 ECP 처리하고 nH 최적화 후 그 효과를 확인한다면 더 높은 zT를 가질 수 있음을 확인했다.

4. 결 론

본 연구에서는 Single Parabolic Band (SPB) 모델을 통해 Cu 도핑과 electric current pulse (ECP) 처리가 Bi0.3Sb1.7Te3의 상태밀도 유효질량(md*), 비축퇴 이동도(μ0), 가중 이동도(μw), B-factor와 같은 밴드 인자에 미치는 영향과 그 결과에 따른 최대 zT의 변화를 고찰하였다. Bi0.3Sb1.7Te3에 Cu를 도핑함으로써 발생한 결함으로 인해 격자 열전도도(κl)가 낮아져 300 K에서 CuxBi0.3Sb1.7-xTe3 (x = 0.0025) 조성의 B-factor가 가장 높게 (0.63) 계산되었고, 따라서 이 샘플의 최대 zT가 가장 높은 값으로(~1.40) 계산되었다. 기존 x = 0.001 샘플에 ECP 처리를 통해 md*, μ0, κl가 변화된 비율을 x = 0.0025 샘플에 동일하게 적용하여, Cu 도핑과 ECP 처리를 통한 최대 zT를 예측하였다. 그 결과, x = 0.0025, 300 K에서 ECP 처리를 통한 최대 zT가 ~1.54로 계산되었으며, 이는 300 K에서 CuxBi0.3Sb1.7-xTe3 (x = 0.0025) 샘플의 실험 zT(~1.05)보다 약 46% 증가한 값이다.

Acknowledgements

This research was supported by Basic Science Research Program through the National Research Foundation of Korea (NRF) funded by the Ministry of Education (NRF-2019R1A6A1A11055660).

REFERENCES

1 
Sootsman J. R., Chung D. Y., Kanatzidis M. G., Angewandte Chemie,48, 8616 (2009)Google Search
2 
Park H., Kim S. I., Lee K., Seo W. S., Kim H. S., ChemNanoMat,8, (2022)Google Search
3 
Park H., Kim S. I., Kim J., Hwang S., Kim H.-S., Ceramics,6, 504 (2023)Google Search
4 
Yang J., Meisner G., Chen L., Applied physics letters,85, 1140 (2004)Google Search
5 
Kim H. S., Kim S. I., Lee K. H., Kim S. W., Snyder G. J., Phys. Status Solidi B,254, 1600103 (2016)Google Search
6 
Tritt T. M., Thermal conductivity: theory, properties, and applications; Physics of Solids and Liquids,105-121, Springer (2006)Google Search
7 
Tan G., Shi F., Hao S., Chi H., Zhao L.-D., Uher C., Wolverton C., Dravid V. P., Kanatzidis M. G., J. Am. Chem. Soc,137, 5100 (2015)Google Search
8 
Goldsmid H. J., Materials,7, 2577 (2014)Google Search
9 
Zhu T., Liu Y., Fu C., Heremans J. P., Snyder J.G., Zhao X., Adv. Mater,29, 1605884 (2017)Google Search
10 
Horák J., Čermák K., Koudelka L., J. Phys. Chem. Solids,47, 805 (1986)Google Search
11 
Horák J., Starý Z., Lošťák P., Pancíř J., J. Phys. Chem. Solids,49, 191 (1988)Google Search
12 
Miller G. R., Li C. Y., J. Phys. Chem. Solids,26, 173 (1965)Google Search
13 
Hu L., Zhu T., Liu X., Zhao X., Adv. Funct. Mater,24, 5211 (2015)Google Search
14 
Pan Y., Li J. F., NPG Asia Mater,8, (2016)Google Search
15 
Zhao L., Zhang B. P., Li J. F., Zhang H., Liu W., Solid State Sci,10, 651 (2008)Google Search
16 
Hu L., Liu X., Xie H., Shen J., Zhu T., Zhao X., Acta Mater,60, 4431 (2012)Google Search
17 
Hu L., Zhang Y., Wu H., Liu Y., Li J., He J., Ao W., Liu F., Pennycook S.J., Zeng X., Adv. Funct. Mater,28, 1803617 (2018)Google Search
18 
Zhang C., de la Mata M., Li Z., Belarre F.J., Arbiol J., Khor K.A., Poletti D., Zhu B., Yan Q., Xiong Q., Nano Energy,30, 630 (2016)Google Search
19 
Kim S. I., Lee K. H., Mun H. A., Kim H. S., Hwang S. W., Roh J. W., Yang D. J., Shin W. H., Li X. S., Lee Y. H., Science,348, 109 (2015)Google Search
20 
Rogl G., Setman D., Schafler E., Horky J., Kerber M., Zehetbauer M., Falmbigl M., Rogl P., Royanian E., Bauer E., Acta Mater,60, 2146 (2012)Google Search
21 
Cui J. L., J. Alloy. Comp,415, 216 (2006)Google Search
22 
Gordyakova G. N., Kokosh G. V., Sinani S. S., Zh. Tekh. Fiz,28, 3 (1958)Google Search
23 
Svechnikova T. E., Konstantinov P. P., Alekseeva G. T., Inorg. Mater,36, 556 (2000)Google Search
24 
Svechnikova T. E., Maksimova N. M., Polikarpova N. V., Konstantinov P. P., Inorg. Mater,34, 210 (1998)Google Search
25 
Yamashita O., Odahara H., J. Mater. Sci,41, 2795 (2006)Google Search
26 
Chen C., Zhang B., Liu D., Ge Z., Intermetallics,25, 131 (2012)Google Search
27 
Huang Z. Y., Zhang H., Yang L., Zhu B., Zheng K., Hong M., Yu Y., Zu F. Q., Zou J., Chen Z. G., Mater. today energy,9, 383 (2018)Google Search
28 
Jung W. J., Kim I. H., Met. Mater. Int,24, 415 (2018)Google Search
29 
Wei Z., Wang C., You L., Zhao S., Yang K., Chen H., Luo J., Chen X., RSC Adv,7, 41111 (2017)Google Search
30 
Qiu P., Shi X., Chen L., Energy Storage Mater,3, 85 (2016)Google Search
31 
Zhao L., Wang X., Fei F. Y., Wang J., Cheng Z., Dou S., Wang J., Snyder G. J., J. Mater. Chem,3, 9432 (2015)Google Search
32 
Zhuang H. L., Pan Y., Sun F. H., Dong J., Pei J., Cai B., Li J. F., Nano Energy,60, 857 (2019)Google Search
33 
Zhou Z., Yang J., Jiang Q., Luo Y., Zhang D., Ren Y., He X., Xin J., J. Mater. Chem. A,4, 13171 (2016)Google Search
34 
Heo M., Kwon S. H., Kim S. I., Park H., Lee K. H., Kim H. S., J. Alloys Compd,954, 170144 (2023)Google Search
35 
Lee Y.-J., Kim S.-I., Hwang S.-M., Kim J.-Y., Seo W.-S., Kim H.-S., Korean J. Met. Mater,61, 38 (2023)Google Search
36 
Kwon S.-H., Kim S.-I., Heo M., Seo W.-S., Roh J. W., Yang H., Kim H.-S., Korean J. Met. Mater,61, 198 (2023)Google Search

Figures

Fig. 1.

nH-dependent (a) S and (d) μH. x-dependent (b) md* and (e) μ0. Temperature-dependent (c) md* and (f) μ0 of CuxBi0.3Sb1.7-xTe3.

../../Resources/kim/KJMM.2024.62/kjmm-2024-62-7-550f1.jpg
Fig. 2.

x-dependent (a) μW, (c) B-factor, (d) κl, and (d) zT. nH-dependent (b) PF and (f) zT of CuxBi0.3Sb1.7-xTe3.

../../Resources/kim/KJMM.2024.62/kjmm-2024-62-7-550f2.jpg
Fig. 3.

Temperature-dependent (a) B-factor and (b) κl + κbp. (c-h) nH-dependent zT at different temperatures in CuxBi0.3Sb1.7-xTe3.

../../Resources/kim/KJMM.2024.62/kjmm-2024-62-7-550f3.jpg
Fig. 4.

Temperature-dependent (a) μW, (b) κl + κbp, (c) B-factor and (d) nH-dependent zT.

../../Resources/kim/KJMM.2024.62/kjmm-2024-62-7-550f4.jpg
Fig. 5.

Calculated zT as a function of nH and temperature for x = 0.001 at (a) ECP upper and (b) ECP lower.

../../Resources/kim/KJMM.2024.62/kjmm-2024-62-7-550f5.jpg
Fig. 6.

Estimated (a) μW, (b) κl, and (c) B-factor for x = 0.0025 with ECP process. (d) nH-dependent zT of x = 0.0025 with the ECP process.

../../Resources/kim/KJMM.2024.62/kjmm-2024-62-7-550f6.jpg