The Journal of
the Korean Journal of Metals and Materials

The Journal of
the Korean Journal of Metals and Materials

Monthly
  • pISSN : 1738-8228
  • eISSN : 2288-8241

Editorial Office





Lithium Iron Phosphate, Bulk, Surface-limited, Li-ion Battery, Cathode

1. INTRODUCTION

In the contemporary landscape of energy storage solutions, lithium iron phosphate (LFP) lithium-ion batteries (LIBs) stand out for their compelling attributes, including inherent safety, longevity, cost-effectiveness, and environmental friendliness [1-4]. These features have positioned LFP batteries as a favored choice in diverse sectors, ranging from portable electronics to electric vehicles (EVs) and large-scale energy storage systems [5]. As the demand for more sustainable and efficient energy solutions escalates globally, the optimization of LFP battery technology has become increasingly crucial.

LFP batteries represent a pivotal area of research within the field of advanced energy storage systems [6]. Their unique chemical composition offers a combination of safety, longevity, and environmental sustainability that stands out among other lithium-ion technologies. This makes LFP batteries particularly valuable for addressing the critical demands of modern energy storage applications. One of the foremost attributes of LFP batteries is their exceptional safety profile. Compared to other LIB chemistries, LFP batteries exhibit superior thermal and chemical stability, significantly mitigating the risks associated with thermal runaway [7,8]. This safety feature is particularly crucial for applications where battery failure poses a severe risk, such as in electric vehicles and residential energy storage systems.

Additionally, LFP batteries are renowned for their extended life cycle, capable of enduring thousands of charge-discharge cycles with minimal degradation [9]. This longevity not only enhances their economic viability but also aligns with the sustainability goals of reducing frequent battery replacements. Moreover, the raw materials required for LFP batteries—iron and phosphate—are abundantly available and cost-effective, which further contributes to their economic benefits and widespread adoption potential [10,11]. Environmentally, LFP batteries offer substantial advantages. They are free from cobalt, a material often linked to ethical and ecological concerns in mining practices. The utilization of more abundantly available and less environmentally damaging materials like iron and phosphate reduces the ecological footprint of battery production and supports global environmental sustainability initiatives.

The ongoing development in the field of LFP technology has been marked by rapid innovation aimed at enhancing energy density, reducing charging times, and increasing overall cell efficiency. These improvements are crucial to expanding the range of applications—from portable electronics to large-scale industrial energy systems—and for integrating renewable energy sources more effectively into the grid.

One of the fundamental aspects crucial to enhancing LFP battery performance is better understanding of the electrochemical reaction dynamics within the cell, specifically, distinguishing between surface-limited and bulk-limited reactions. Surface-limited reactions, often associated with pseudocapacitive processes, occur at or near the surface of the electrode and are characterized by their rapid kinetics, which are essential for applications that require high power outputs, such as rapid charging for EVs or emergency power supplies. These reactions are typically more favorable for scenarios where quick energy delivery and retrieval are paramount, and offer significant advantages in terms of rate capability and thermal stability.

Conversely, bulk-limited reactions involve the slower diffusion of ions deep into the electrode material. While these reactions are critical for high energy storage, they are typically the bottleneck for rapid charging and discharging capabilities. The rate at which ions can diffuse through the electrode material fundamentally limits the speed of these reactions, thus influencing the energy density, efficiency, and cycle durability of the battery. Understanding the balance and interplay between these two reaction types is essential for developing LFP batteries that not only meet but exceed modern performance standards across various applications.

This study aims to deepen understanding about how surface and bulk reactions in LFP batteries dictate their overall performance characteristics. By identifying and optimizing the dominant reaction mechanisms, we can tailor the electrode design to enhance specific properties such as energy density, power output, safety, and longevity. Our research focuses on analyzing the kinetics of these reactions under different operational conditions and exploring new material designs and electrode structures that can promote favorable electrochemical properties. Electrophoretic deposition (EPD) was used to fabricate two sets of LFP batteries with differing electrode thicknesses, enabling a comparative analysis of their electrochemical properties. This included an examination of charge storage mechanisms, high-rate capabilities, and lithium diffusion constants, to better understand the effects of electrochemical reaction dynamics, and specifically surface-limited versus bulk-limited reactions.

Through this research, we aim to deepen the theoretical understanding of LFP batteries while also applying these insights to practical developments. By carefully optimizing the balance between the surface and bulk properties of the electrode materials, we aim to develop more durable and adaptable LFP batteries. These enhancements will help fulfill the increasing requirements for energy storage systems.

2. MATERIALS AND METHODS

LFP powder underwent six hours of ball milling before being combined with carbon black and PVDF at a ratio of 9:0.5:0.5 by weight. In our EPD configuration, two stainless steel (SS) plates, set 2 mm apart, were submerged in an acetone solution. This EPD suspension was created by dissolving the LFP mixture in acetone to achieve a 3 mg/mL concentration, notably without the addition of any dispersing agents. We created two sets of LFP batteries with different electrode thicknesses. The deposition onto the SS foils was carried out by applying an AC voltage of 50 V at a frequency of 4 Hz. By adjusting the deposition time, we deposited 2 mg and 0.7 mg of the mixture, resulting in thick (~3 μm) and thin (~1 μm) LFP electrodes, respectively. After deposition, the coated foils were roll-pressed five times at room temperature and subsequently annealed at 400°C in an argon-filled muffle furnace for one hour.

Li-metal LFP batteries were configured into coin cells using a Li-ion electrolyte composed of 1 M lithium hexafluorophosphate in an equimolar mixture of ethylene carbonate, dimethyl carbonate, and ethyl methyl carbonate. Electrochemical testing was performed using a three-electrode setup on a PAR EG&G 273 potentiostat, where the working electrode was the EPD-coated LFP on SS foil. Lithium metal served as both the reference and counter electrodes, with all potential measurements referenced to Li/Li+. These experiments were conducted within an argon-filled glovebox to ensure a controlled environment.

Galvanostatic Charge-Discharge (GCD) tests were carried out using the Neware CT4000 system. Additionally, cyclic voltammetry (CV) testing was conducted to further evaluate the electrochemical properties of the cells. The CV tests, performed within a voltage range of 2.8 to 4.2 V versus Li/Li+, were aimed at differentiating faradaic from non-faradaic reactions during the battery’s charging and discharging processes. The scan rates were adjusted to provide a comprehensive understanding of the battery's electrochemical responses under various conditions. The surface morphology of the EPD-applied LFP electrodes was analyzed using Scanning Electron Microscopy (SEM).

3. RESULTS AND DISCUSSION

Figure 1 illustrates the EPD setup designed for creating battery electrodes that are optimized for enhanced electrochemical performance during charging and discharging cycles.

By employing an AC voltage tuned to a frequency of 4 Hz, this system ensures the uniform deposition of the LFP composite onto a SS foil, which is essential for optimal battery functionality. The EPD process utilizes an alternating electric field to distribute particles evenly across the substrate, effectively minimizing particle clustering and achieving a consistent coating thickness, as depicted in the SEM image shown in Figure 1. The alternating electric field minimizes the tendency of particles to agglomerate, resulting in a more homogeneous and finely dispersed deposit. This is crucial to maintaining the electrochemical properties of the electrode.

The back-and-forth motion of particles in an alternating electric field can lead to better adhesion of the particles to the substrate. This is because particles have more opportunities to settle into optimal positions, improving the overall structural integrity of the deposit. The SEM image shows a granular texture with various particle sizes distributed across the surface. The landscape of the film appears relatively homogenous, with no large areas of agglomeration, indicating a fairly even distribution of particles, achieved with the EPD process. As depicted in Figure 1, the EPD suspension is composed of an acetone solution containing LFP, carbon black, and PVDF at a weight ratio of 9:0.5:0.5.

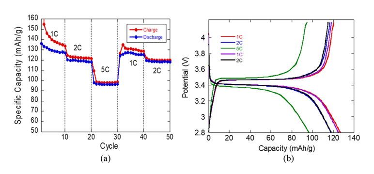
The LFP electrode, featuring a thin LFP EPD film with a 0.7 mg mass loaded on a SS foil, exhibited excellent rate capability across a range of scan rates from 1C to 5C.

Figure 2(a) displays the rate performance, showing a reduction in the discharge capacity from ~130 mAh/g at 1C to ~95 mAh/g at 5C as the C-rate increases. This pattern is complemented by the stable voltage plateaus observed in Figure 2(b), which are consistent across different rates, suggesting effective charge transfer within the LFP electrode.

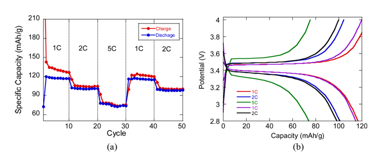
Conversely, the thicker EPD-LFP electrode with a 2 mg mass loaded on SS foil exhibited a diminished specific capacity relative to its thinner counterpart, as depicted in Figure 3(a). This reduction in capacity is illustrated by the abbreviated voltage plateau observed in the electrode with greater thickness, as shown in Figure 3(b).

When assessing high-rate performance between two samples, the thinner LFP electrode demonstrated superior cycle stability and excellent rate capability. Specifically, the thinner EPD-LFP electrode consistently delivered a specific capacity in the range of 86 to 92 mAh/g when subjected to a 5C discharge rate over an extensive period of 300 cycles. This performance is shown in Figure 4, which graphically demonstrates the electrode's resilience and its ability to sustain high levels of capacity despite the stress of rapid charge and discharge cycles.

In stark contrast, the thicker LFP electrode manifested a more pronounced degradation in performance under similar testing conditions. Starting with an initial specific capacity of 92 mAh/g, it exhibited a gradual decline to 77 mAh/g throughout the 300-cycle test period. Notably, this attenuation in capacity occurred at a substantially lower 2C rate, suggesting that the thicker electrode was less adept at handling even moderate rates compared to the thinner counterpart.

The exceptional rate capability and cycling performance of the two samples were analyzed by differentiating between diffusion-controlled mechanisms and surface capacitive components in the determined capacity. Studies have shown that batteries operate using two main energy storage mechanisms: diffusion-controlled processes and surface capacitive behaviors. These mechanisms, traditionally associated with standard conversion reactions, play a crucial role in achieving reversible capacities that exceed theoretical expectations in metal oxide electrodes.

Analyzing CV sweep rate dependence can effectively distinguish between capacitive and diffusion-controlled contributions to the electrochemical current [12,13]. The relationship, i(V)=k1ν+k2ν1/2, allows for the decomposition of the current at any given potential into contributions from surface capacitive effects, and diffusion-controlled lithium insertion. For analytical convenience, this equation is transformed into i(V)⁄ν1⁄2 =k1ν1⁄2+k2, where k1ν signifies the current derived from surface capacitive effects, and k2ν1/2 represents diffusion-controlled processes. By plotting i(V) ⁄ν1⁄2 against ν1⁄2, values of k1 and k2 are extracted from the slope and the y-intercept, respectively, of the linear relationship at specified potentials. This method enables the quantification of each mechanism's role in the overall electrochemical behavior.

Figure 5 offers an insightful juxtaposition of the contributions from surface capacitive effects versus diffusion-controlled processes to the total charge, at varying scan rates, for LFP electrodes of different thicknesses.

Across both samples, the data indicate a pronounced rise in the charge attributed to surface capacitive effects as scan rates increase, signifying the dominant influence of capacitive reactions under higher-rate conditions. Notably, for the thin LFP electrode in Figure 5(a) and 5(b), the capacitive contribution to charge storage markedly exceeded that of the diffusive processes in Figure 5(c) and 5(d). Then, to evaluate the Li-ion diffusion coefficient within the electrodes of the two samples, the Randles-Sevcik equation was applied using data from the CV experiments conducted at multiple scan rates[14]:

(1)
I p = 0.4463 n F A C L i n F ν D L i R T 1 2

where Ip is the peak current (A), F is the Faraday constant, CLi is the initial concentration of lithium ions (mol·m-3), ν represents the scan rate (V·s-1), A denotes the electrode surface area (cm2), and DLi is the Li-ion diffusion coefficient (cm2·s-1). The diffusion coefficient in the thin LFP electrode, calculated to be 9.6×10-9 cm2·V-1·s-1, was significantly higher compared to that in the thick LFP electrode, which was found to be 2.0×10-9 cm2·V-1·s-1.

In our evaluation, we classified surface capacitive effects into pseudocapacitive and true capacitive types, the latter being associated with the formation of the electrochemical double layer (EDL). Adopting a methodology from prior research [15], we differentiated these charge storage behaviors. At a scan rate of 0.5 mV/s, the investigation found that the true capacitive portion, attributed to the EDL, made up 15-20% of the total surface capacitive effects, a ratio that was consistent across LFP electrodes of varying thicknesses. Importantly, the pseudocapacitive mechanisms were responsible for the predominant share of capacitive charge storage. In other words, the dominance of pseudocapacitive charge storage in the thin LFP electrode plays a pivotal role in the battery's high-rate capabilities, providing rapid charge storage that extends beyond the capabilities of diffusion-controlled processes.

The thickness of the LFP electrode can significantly influence its pseudocapacitive behavior and overall pseudocapacity. Pseudocapacitance is primarily associated with reactions occurring at or near the electrode's surface rather than through the bulk diffusion of ions into the electrode material. Thinner LFP electrodes, having relatively larger surface area-to-volume ratios, allow more of the electrode material to participate in surface-driven pseudocapacitive reactions. This increased surface accessibility can enhance the pseudocapacitive contribution to the total capacitance of the battery.

In thicker electrodes, the ion transport distance increases, which can lead to a dominance of diffusion-controlled processes over surface-based pseudocapacitive processes. This can result in a reduced overall pseudocapacitive effect because the ions might not reach the inner regions of the electrode efficiently, especially during rapid charge and discharge cycles. Conversely, thinner electrodes facilitate quicker ion transport to the electrode surface, as demonstrated by the comparison of the Li diffusion constant, which supports enhanced pseudocapacitive behavior.

Thinner electrodes can handle higher charge and discharge rates more effectively due to their enhanced pseudocapacitive behavior, as pseudocapacitance typically contributes to faster charging and discharging than bulk diffusion mechanisms. This is particularly important in applications requiring rapid energy delivery and storage, such as in power tools or hybrid vehicles. With thicker electrodes, the inner parts of the electrode may not be fully utilized, especially under fast charging conditions, because the surface reactions predominate and the ion diffusion into the deeper layers is not quick enough to match the charge/discharge rate. This underutilization can diminish the effective pseudocapacity of the electrode.

While thinner electrodes may provide higher power density due to improved pseudocapacitive effects, they might offer lower energy density as they contain less active material per unit volume. The choice between thinner and thicker electrodes may depend on whether the application prioritizes power density (favoring thinner electrodes) or energy density (possibly favoring slightly thicker electrodes but not so thick as to impede ion transport).

4. SUMMARY AND CONCLUSION

In essence, the study has established that the thickness of LFP electrodes significantly determines their pseudocapacitive characteristics, which in turn affects the energy storage capacity, charging/discharging rates, and overall performance of the battery. Thicker LFP electrodes tend to be limited by bulk electrochemical reactions, resulting in a greater reliance on diffusion-controlled charge storage. Conversely, thinner LFP electrodes benefit from surface-limited electrochemical reactions, enhancing surface capacitive (pseudocapacitive) charge storage. This research aims to thoroughly examine the influence of surface and bulk responses on LFP battery efficacy and to identify methods to fine-tune these interactions to elevate battery performance. The ideal electrode architecture is thus crafted by modifying thickness to optimize pseudocapacitive advantages, while catering to the demands of specific applications. By customizing the thickness of electrodes, we are able to fully exploit surface-limited reactions, advancing the limits of power density, charge rate, and longevity in LFP-based energy storage systems. These improvements are in step with the escalating demand for robust, efficient energy storage options in a world rapidly transitioning towards greater electrification and heightened energy awareness.

Acknowledgements

This research was supported by the Basic Science Research Program through the National Research Foundation of Korea (NRF) funded by the Ministry of Education (NRF-2015R1A6A1A03031833, and NRF-2020R1A2C1007258). This work was also supported by the 2024 Hongik Faculty Research Support Fund.

REFERENCES

1 
Suttison S., Pengpat K., Intatha U., Fan J., Zhang W., Eitssayeam S., Preparation of LFP-based cathode materials for lithium-ion battery applications,Materials Today: Proceedings,65, 2347 (2022)Google Search
2 
El Moutchou S., Aziam H., Mansori M., Saadoune I., Thermal stability of Lithium-ion batteries: Case study of NMC811 and LFP cathode materials,Materials Today: Proceedings,51, A1 (2022)Google Search
3 
Park B.-N., Effect of Co 3 O 4/Additive Interface and Crystallite Size on Co 3 O 4 Li-ion Battery Capacity and Cycle Stability,Korean Journal of Metals and Materials,60, 448 (2022)Google Search
4 
Kang I.-S., Park B.-N., Lithiation/De-lithiation through Conversion and Alloying Reactions in MAPbBr 3 Single Crystal Flake Li-ion Battery Anodes,Korean Journal of Metals and Materials,60, 845 (2022)Google Search
5 
Tran M.-K., DaCosta A., Mevawalla A., Panchal S., Fowler M., Comparative study of equivalent circuit models performance in four common lithium-ion batteries: LFP, NMC, LMO, NCA,Batteries,7, 51 (2021)Google Search
6 
Gorospe A. E., Kang D., Lee D., Electrochemical Characteristics of Elastic, Non-Polar Polyurethane-Based Polymer Gel Electrolyte for Separator-Less Lithium-Ion Batteries,Korean Journal of Metals and Materials,61, 616 (2023)Google Search
7 
Zhang Y., Cheng S., Mei W., Jiang L., Jia Z., Cheng Z., Sun J., Wang Q., Understanding of thermal runaway mechanism of LiFePO4 battery in-depth by three-level analysis,Applied Energy,336, 120695 (2023)Google Search
8 
Huang Z., Li X., Wang Q., Duan Q., Li Y., Li L., Wang Q., Experimental investigation on thermal runaway propagation of large format lithium ion battery modules with two cathodes,International Journal of Heat and Mass Transfer,172, 121077 (2021)Google Search
9 
Zhong K., Cui Y., Xia X.-D., Xue J.-J., Liu P., Tong Y.-X., Study on the stability of the LiFePO4 Li-ion battery via an electrochemical method,Journal of Power Sources,250, 296 (2014)Google Search
10 
Ramasubramanian B., Sundarrajan S., Chellappan V., Reddy M., Ramakrishna S., Zaghib K., Recent development in carbon-LiFePO4 cathodes for lithium-ion batteries: a mini review,Batteries,8, 133 (2022)Google Search
11 
Ahsan Z., Ding B., Cai Z., Wen C., Yang W., Ma Y., Zhang S., Song G., Javed M. S., Recent progress in capacity enhancement of LiFePO4 cathode for Li-ion batteries,Journal of Electrochemical Energy Conversion and Storage,18, 010801 (2021)Google Search
12 
Yu F., Huang T., Zhang P., Tao Y., Cui F.-Z., Xie Q., Yao S., Wang F., Design and synthesis of electrode materials with both battery-type and capacitive charge storage,Energy Storage Materials,22, 235 (2019)Google Search
13 
Pervez S., Iqbal M. Z., Capacitive and Diffusive Contributions in Supercapacitors and Batteries: A Critique of b-Value and the ν–ν1/2 Model,Small,19, 2305059 (2023)Google Search
14 
Mundinamani S., Rabinal M., Cyclic voltammetric studies on the role of electrode, electrode surface modification and electrolyte solution of an electrochemical cell,J. Appl. Chem,7, 45 (2014)Google Search
15 
Schoetz T., Gordon L., Ivanov S., Bund A., Mandler D., Messinger R., Disentangling faradaic, pseudocapacitive, and capacitive charge storage: A tutorial for the characterization of batteries, supercapacitors, and hybrid systems,Electrochimica Acta,412, 140072 (2022)Google Search

Figures

Fig. 1.

Schematic of the AC-EPD setup with an SEM image of the electrophoretically deposited LFP electrode.

../../Resources/kim/KJMM.2024.62/kjmm-2024-62-8-624f1.jpg
Fig. 2.

(a) Rate capability of the electrophoretically deposited LFP electrode with a 0.7 mg load (b) Potential profiles at different C-rates.

../../Resources/kim/KJMM.2024.62/kjmm-2024-62-8-624f2.jpg
Fig. 3.

(a) Rate capability of the electrophoretically deposited LFP electrode with a 2.0 mg load (b) Potential profiles at different C-rates.

../../Resources/kim/KJMM.2024.62/kjmm-2024-62-8-624f3.jpg
Fig. 4.

Cycle stability comparison between thin LFP electrodes at a 5C-rate and thick LFP electrodes at a 2C-rate.

../../Resources/kim/KJMM.2024.62/kjmm-2024-62-8-624f4.jpg
Fig. 5.

Comparison of diffusive and capacitive charge storage contributions in thin and thick LFP electrodes. (a) CV curves dependent on scan rate for thin electrodes. (b) Proportion of diffusive and capacitive charge storage in thin electrodes. (c) CV curves dependent on scan rate for thick electrodes (d) Proportion of diffusive and capacitive charge storage in thick electrodes.

../../Resources/kim/KJMM.2024.62/kjmm-2024-62-8-624f5.jpg