The Journal of
the Korean Journal of Metals and Materials

The Journal of
the Korean Journal of Metals and Materials

Monthly
  • pISSN : 1738-8228
  • eISSN : 2288-8241

Editorial Office


  1. 한국재료연구원 (1Korea Institute of Materials Science, Changwon 51508, Republic of Korea)
  2. 부산대학교 재료공학부 (2Department of Material Science and Engineering, Pusan National University, Busan 46241, Republic of Korea)
  3. 동아대학교 신소재공학과 (3Department of Material Science and Engineering, Dong-A University, Busan 49315, Republic of Korea)
  4. 디와이파워주식회사 (4DY POWER 812, Ungnam-ro, Seongsan-gu, Changwon-si, Gyeongsangnam-do, Republic of Korea)
  5. 현대제철㈜ 특수강개발팀 (5Special Steel Development Team, Hyundai Steel Company, 1480 Bukbusaneop-ro, Songak-eup, Dangin-si, Chungnam 31719, Republic of Korea)



Medium carbon steel, Yield Strength, Silicon, Ferrite-pearlite, Non-quenched-and-tempered steel

1. 서 론

전통적인 탄소강에서부터 최신의 초고장력강판(AHSS, advanced high-strength steel)에 이르기까지 철강은 광범위한 유형의 제품군을 형성하고 있으며, 이에 따라 매우 다양한 조성과 미세조직 형태를 가진다. 오늘날 합금 설계와 공정 제어 기술의 진보를 가장 잘 보여주는 일부 AHSS의 경우는 다상(muti-phase) 미세조직에 기인한 복합 강화기구로부터 GPa 수준의 인장강도와 충분한 수준의 상온 성형성을 동시에 구현하기도 한다[1-4]. 그러나 한편으로 다양한 산업 영역에서 전통적인 탄소강의 활용 비율은 여전히 높은 수준으로 유지되고 있다.

중 - 고(medium – high)탄소강들은 사용자가 담금질 및 뜨임(quenching and tempering, QT) 열처리를 통해 용도에 맞게 기계적 특성을 조정한 후 사용하는 경우가 많다. 이러한 후처리 공정에 소요되는 비용과 시간의 절감을 위해 자동차 업계를 중심으로 비조질강(non-quenched-and-tempered steel 혹은 non-heat-treated steel)을 활용하기 시작하였다[5]. 비조질강은 열간압연(가공) 후 공급된 상태 그대로도 기존에 QT 열처리 후 사용하던 강종을 대체할 수 있는 제품(product)을 의미하며, 따라서 특정 조성이나 미세조직 유형으로 구분하는 강종(class)을 의미하지는 않는다[6]. 현재 활용중인 비조질강들은 주로 중탄소강의 QT 열처리 제품을 대체하기 위해 Mn, Si 등의 함량을 조정하고, V 등의 미량 첨가 원소를 활용한 중탄소합금강이 주를 이루고 있다[7]. 후처리 공정의 생략은 제품의 이송 및 공정 과정에서 배출되는 탄소 저감에도 기여하므로, 비조질강의 개발 및 활용은 향후 철강 제품 제조 분야에서의 탄소 배출 저감에 적지 않은 기여를 할 수 있다.

차량 및 다양한 장치의 동적 구조물에 적용되는 부품들은 소성 변형에 의한 치수 변형을 허용하지 않기에 일차적으로 충분한 항복강도의 확보가 요구된다. 승용 차량에서와 같이 비교적 소형의 부품에 비조질강을 적용하는 경우에는 통상적인 열간압연 후의 냉각과정에서 미세조직에 베이나이트 등의 저온 변태상을 형성해 줄 수도 있으므로 항복강도의 확보가 용이하다. 그러나 건설용 특수 차량의 일부 부품과 같이 대형화가 필요한 경우에는 통상의 열간압연 후 공냉으로부터 얻을 수 있는 미세조직은 가장 항복강도가 낮은 페라이트-펄라이트 미세조직에 국한된다[5]. 현재 중탄소강에 기반하는 비조질강들은 이의 보완을 위해 V 등의 첨가를 통해 미세 석출물을 추가해주고 있다[7].

미세 석출물 활용에 더해서 페라이트 결정립이나 펄라이트 층상 간격 미세화, 두 구성상의 고용강화를 통한 페라이트-펄라이트 미세조직 자체의 강화를 비조질강의 항복강도 향상 방안으로 당연히 고려할 수 있다. 특히 후자의 경우 치환형 합금 원소 중 페라이트에 대한 고용강화 효과가 가장 큰 것 중 하나인 Si의 첨가를 생각해 볼 수 있다[8-11]. 높은 고용강화 효과에도 불구하고 Si은 지각 중에 풍부하게 존재하기에[12], 원료 비용 및 수급 안정성 측면에서도 이점을 제공한다. 비록 산화성 게재물의 증가나[13] 표면 스케일에 의한 표면 품질 저하의[14] 위험성이 공존하지만, Si의 항복강도 향상 효과를 활용할 가치는 충분하다고 볼 수 있다. 미세조직 제어의 관점에서 Si은 페라이트 안정화 원소이며 세멘타이트 생성을 억제한다. 특히 후자의 효과는 최근의 Q&P (quenching and partitioning) 공정에 의한 AHSS 개발에 핵심적인 역할을 하고 있으며[15], 이외에도 다양한 강종, 다양한 미세조직 유형에서 Si이 미세조직과 물성에 미치는 영향을 연구해 왔다[16]. 그러나 가장 고전적인 페라이트-펄라이트 미세조직에 대한 사례들은 미세조직과 기계적 물성에 대한 통합적인 고찰을 제공해 주기에는 부족해 보인다. Al-Salman 등은[17] 등온 유지 중 생성되는 펄라이트의 층상간격(interlamellar spacing)에 대한 Si 첨가 영향을 체계적으로 고찰하였으나, 초석 세멘타이트와 펄라이트로 구성되는 과공석강에 대한 논의에 국한하였으며, 기계적 물성에 대한 고찰은 포함하지 않았다. Sibley 등은[18] 체계적인 시험을 통해 충격인성, 항복강도의 결정립 크기 의존성에 미치는 Si 첨가의 영향을 보고하였으나, 펄라이트 분율이 극히 작은 저탄소강의 사례에 국한되었으며 미세조직 변화에 대한 고찰은 부족하였다.

본 연구에서는 건설용 특수 차량의 대형 부품에 적용 가능한 비조질강 개발을 목표로 페라이트-펄라이트 미세조직의 항복강도 향상을 위한 Si 첨가 영향을 체계적으로 고찰해보고자 하였다. 이를 위해 중탄소강 중 Si 첨가량 증가에 따른 구성상 분율 변화, 페라이트 결정립 크기와 펄라이트 층상 간격 변화 등을 정량적으로 분석하였다. 그리고 이러한 미세조직 특징들과 항복강도의 측정값을 전통적인 형태의 항복강도 예측 모델에[19,20] 대입하고, 구속최적화(constrained optimization)를 활용함으로써 Si에 의한 강화 기구들의 효과를 정량적으로 추정해 보았다.

2. 실험 방법

C 및 Mn을 각 0.3 및 1.5 wt. % 함유하는 중탄소강을 기반으로 Si 함량을 제어한 5 개의 합금을 진공용해하였다. 1 kg의 압탕부(riser)를 제거한 0.6 kg의 주괴를 1250 °C, Ar 분위기에서 1 시간 동안 유지한 후 1100 °C까지 공냉하였고, 두께 3 mm까지 열간압연하여 수냉하였다. ICP분광분석(inductively coupled plasma spectroscopy)에 의한 해당 시험편 A-E의 조성을 표 1에 기입하였다. 그리고 최대 두께 100 mm에 이르는 후판 혹은 환봉의 열간압연 후 공냉 과정에서 측정된 표면 온도 변화를 참고하여, 상기 시험편들에 대한 400 °C까지의 저속 공냉모사열처리를 그림 1의 모식도를 따라서 행하였다. 해당 열처리는 페라이트-펄라이트 미세조직 형성을 위해 880 °C에서 오스테나이트화(austenitization) 후 3 개의 온도 구간별로 다른 속도로 냉각하는 불림(normalizing) 열처리에 해당한다. 시험편의 일부는 구(prior) 오스테나이트 분석을 위해 880 °C에서 유지 후 -20 °C/s의 냉각속도로 급냉하여 마르텐사이트 미세조직을 형성해 주었다.

저속 냉각에 의해 형성된 페라이트-펄라이트 미세조직의 항복강도는 상온 인장시험을 통해 측정하였다. 이를 위해 ASTM E8 규격에 따라 압연 방향으로 표점거리 25 mm의 판상 시험편을 제작하였고, 크로스헤드(crosshead) 속도 1.5 mm/min으로 시험을 진행하였다.

Leica의 DM2700M 광학현미경과 JEOL의 JSM-7001F 전계방사형 주사전자현미경(scanning electron microscope, SEM)을 활용하여 시험편의 압연 면 및 방향에 대한 측면(longitudinal section)에서 미세조직 분석을 진행하였다. 이를 위해 절단한 시험편들을 전도성수지에 마운팅(mounting)하였고, 노출된 관찰면을 사포(emery paper)와 다이아몬드 서스펜션(suspension)을 활용해 미세 연마하고, 3% 나이탈(nital) 용액으로 에칭(etching)하였다. QuPath 소프트웨어[21]에 내장된 신경망(neural network) 기반 분류기(classifier)를 활용해 광학현미경 미세조직 영상에서 페라이트와 펄라이트의 분율을 측정하였다. 페라이트 결정립의 직경은 200배율의 광학현미경 사진에 촬영된 미세조직 중 페라이트 결정립에 대한 등가원직경(equivalent circle diameter, ECD)을 Image pro 소프트웨어를[22] 활용하여 측정한 값에 해당한다. SEM을 활용한 관찰에서 전자빔의 가속전압은 10 kV, 탐침전류는 0.5 nA였으며, 해당 조건에서 SEM에 장착된 Oxford instruments의 X-Max 80 에너지분산분광(energy dispersive spectroscopy, EDS) 장치를 활용해 각 시험편 내의 구성상 별로 15회의 국부적인 조성 분석도 추가하였다. 해당 분석은 그림 2에 예시한 바와 같이 개별 페라이트 결정립 및 펄라이트 노듈(nodule)의 중심부에서 수행함으로써, 인접한 영역과의 정보 중복을 최소화하였다. 펄라이트 조직의 층상간격은 30000배율의 주사전자현미경 사진에 촬영된 펄라이트 영역에 대해 Image pro를 활용하여 측정하였다.

한편 구오스테나이트 분석을 위한 마르텐사이트 미세조직 시험편들은 에칭 대신 콜로이드실리카(colloidal silica)를 활용한 기계화학적 연마로 준비를 마무리하였고, 이후 상기 SEM에 장착된 Oxford instruments의 NordlysNano EBSD (electron backscatter diffraction) 검출기를 활용해서 256 × 256 μm2의 면적에 0.5 μm의 간격으로 표면 미세조직 상의 결정방위 분포를 측정하였다. 이때 가속전압은 15 kV, 탐침전류는 7.5 nA였으며, 168 × 128 화소(pixel)로 기록한 EBSD 패턴을 활용하였다.

개별 구성상의 기계적 특성을 Future tech의 FM-700A 미소압입시험기(micro indenter)를 활용한 비커스(Vickers) 경도 측정으로부터 1차적으로 비교해 보았다. 하중 0.1 kg, 유지시간 10초의 조건에서 그림 3에 예시한 바와 같이 압흔이 각 구성상 내부에서만 형성되는 것을 확인하였으며, 각 시편에서 구성상별 30회의 경도 측정을 수행하였다.

3. 결과 및 고찰

표 1의 조성 분석 결과로부터 A-E의 시험편들이 대체로 Si 외 합금 원소의 함량은 일정한 것으로 간주할 수 있었다. 따라서 이후 시험 결과를 제시함에 있어 각 시험편은 A-E의 분류 기호 보다는 Si 함량으로 구분한다. 그리고 편의상 미세조직 영상은 A, C, E 시험편 (Si 함량 0.22, 1.08, 2.21 wt. %)에 대해서만 제시한다.

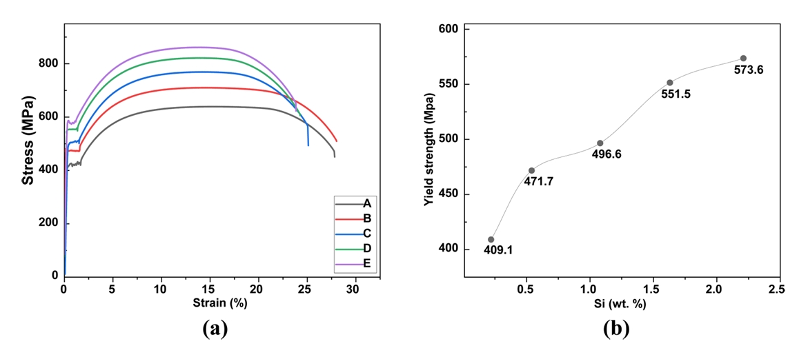
Si 함량에 따른 공칭 응력-변형률 곡선을 그림 4(a)에, 이에서 측정한 항복강도를 (b)에 나타내었다. 불연속 항복 거동으로부터 항복강도는 항복점강하(yield drop)에 의한 하한값(lower yield strength)으로 평가하였다. Si함량의 증가에 따라서 항복강도는 단조적으로 증가하였으며, 약 2 wt. %의 Si을 추가 첨가함으로써 약 160 MPa의 항복강도를 추가 확보할 수 있었다. 그림 5은 Si 함량에 따른 구성상별 평균 경도의 변화를 보여준다. 두 구성상 모두 Si 첨가량에 비례하여 단조적인 경도 증가를 보여주며, 따라서 항복강도 증가에 함께 기여함을 알 수 있었다. Si 첨가량에 따른 대표적인 광학현미경 및 SEM 미세조직 영상을 각각 그림 6(a-c)(d-e)에 나타내었다. Si 함량 증가에 따른 가장 두드러진 변화는 페라이트 결정립이 미세화하고, 그 공간상 분포가 보다 균질해지는 점이다. Si 함량이 낮은 경우 페라이트의 분포는 펄라이트와 함께 압연 방향에 평행한 띠(band)의 형태를 이루어 뚜렷한 형상 이방성(morphological anisotropy)을 보인다. 한편 Si 함량이 증가하면서 펄라이트 노듈의 형상이 점점 부정형(non-polygonal)하게 변해가는 경향도 관찰할 수 있다.

Si 첨가에 따른 구성상 분율 및 페라이트 결정립 크기의 변화를 그림 7 (a)(b)에서 정량적으로 비교할 수 있다. Si의 첨가로 페라이트의 분율이 작은 폭으로 감소하는 한편, 결정립 직경은 뚜렷이 감소하는 것을 확인할 수 있다. 한편으로 그림 8은 880 °C에서 급냉한 마르텐사이트 미세조직에 대해 EBSD 데이터를 활용한 오스테나이트 복원을[23] 시도한 결과이며, 그림 9은 시험편 별로 측정된 오스테나이트 결정립의 평균 직경을 나타낸다. 페라이트의 경우와는 달리 Si 첨가가 변태 전의 오스테나이트 결정립 크기에는 별다른 영향을 미치지 않는 것으로 볼 수 있다. 한편으로 그림 10은 펄라이트에 대한 고배율에서의 대표 관찰 결과로서, Si 함량 증가로 펄라이트 층상간격이 감소하는 것을 알 수 있으며, 그림 11는 이를 정량적으로 확인해주고 있다.

표 2그림 2와 같이 EDS를 통해 각 시험편에서 구성상별 Si과 Mn의 함량을 측정한 결과이며, 이로부터 페라이트와 펄라이트 간 치환형 원소 함량의 차이는 무시할 수 있는 수준으로 판단할 수 있다. 그림 2의 방식으로 측정한 펄라이트 내부의 평균적인 조성은 펄라이트가 유래한 오스테나이트의 조성으로 간주할 수 있다. 따라서 매우 느린 냉각 속도에도 불구하고 오스테나이트가 페라이트로 변태할 때 치환형 원소의 장범위 분배는 거의 이루어지지 않았음을 알 수 있다.

4. 결 론

4.1. Si 첨가에 의한 미세조직 변화

시험 대상 합금들은 아공정(hypoeutectic) 조성 영역에 있으며, 따라서 이상에서 살펴본 페라이트-펄라이트 미세조직은 냉각 중 오스테나이트로부터 초석(proeutectoid) 페라이트가 생성된 후 잔여 오스테나이트 영역이 펄라이트로 변태함으로써 형성된 것이다. 이때 오스테나이트 결정립계는 페라이트 핵생성 위치로 활용되므로, 전자의 결정립 미세화는 입계 면적 증가로 인해 대체로 후자에도 동일한 결과를 야기한다[24]. 그림 8-9은 Si의 첨가가 변태전의 오스테나이트 결정립 성장에 미치는 영향이 제한적임을 보여주고 있다. 따라서 그림 67(b)에서 확인되는 초석 페라이트 결정립의 미세화는 온전히 페라이트로의 변태 거동에 미치는 Si의 영향에 기인한 것으로 판단할 수 있다.

Si은 초석 페라이트의 핵생성을 촉진함으로써 해당 결정립을 미세화시키는 것으로 보고되어 왔다[25,26]. Si은 열역학적으로 페라이트를 안정화 시키는 원소이며, 따라서 핵생성률의 증가 원인을 1차적으로는 화학적 구동력 증가에서 찾을 수 있다[25]. 그림 12는 본 연구에서의 기본 조성인 0.32C-1.5Mn에서 Si 함량이 변화할 때 온도별 페라이트 변태에 대한 구동력을 MatCalc 소프트웨어 6.03과[27] 그에 내장된 mc_steel 2.06 데이터베이스를[28] 활용해 계산한 결과이며, 오스테나이트가 안정하여 구동력이 음의 값을 가지는 영역은 빈 공간으로 두었다. 이 중 그림 12 (a)는 합금계를 구성하는 모든 원소의 장범위 확산에 의한 완전 분배(partitioning)를 가정한 완전평형(orthoequilibrium, OE) 조건에서의 결과이며, (b)는 빠른 확산 속도를 가지는 침입형 원소 C의 분배만을 고려한 준평형(para-equilibrium, PE) 조건에서의 결과이다. 전자의 경우 Si의 첨가는 뚜렷한 구동력 증가 효과를 보인다. 후자의 경우에서는 전반적인 구동력 수준이 감소하며, Si이 여전히 구동력을 증가시키나 그 효과는 현저하게 감소하는 것을 볼 수 있다.

표 2의 페라이트 및 펄라이트 영역에 대한 치환형 원소 함량 분석 결과는 변태 중의 초석 페라이트와 오스테나이트가 전반적으로는 PE에 보다 가까운 상황에 있음을 암시한다. 그러나 새로운 상의 성장에 대한 전통적인 확산변태(diffusion-controlled transformation) 모델은 장범위에서는 PE로 간주할 수 있는 표 2의 상황을 NPLE (negligible partitioning local equilibrium)로 지칭하며, 계면 주변의 단범위 영역에서는 PE와는 다른 용질 원자의 분배 상태가 유지될 수 있음을 입증해 왔다[29-31]. 따라서 극히 국부적인 반응인 핵생성 단계에서도 최종적으로 관찰되는 용질 원자의 분배를 강제할 필요는 없으며, 단기적으로는 단범위 확산에 의해 OE의 보다 큰 구동력을 추종하는 국부 평형(local equilibrium)의 성립도 가능하다. 이와 관련해, Enomoto 등의[32] 논의로부터는 PE 조건 하의 핵생성이 구동력 계산에 있어 일종의 하한치(lower bound)를 제공하는 것으로 이해할 수도 있다. 결국 Si 증가가 페라이트 생성에 대한 화학적 구동력을 충분한 수준으로 증가시킬 수 있으며, 핵생성률 증가에 기여함으로써 최종적으로 페라이트 미세립화에 이르는 것으로 판단할 수 있었다. 그림 6에서 Si이 증가함에 따라서 페라이트의 생성 위치가 다변화하여 층상 형태의 분포를 보이던 페라이트가 공간 상에 보다 고르게 분포하는 현상은 이를 잘 뒷받침하고 있다. 한편으로 Si 함량의 증가는 계면의 이동에 대한 용질끌림(solute drag) 현상을 가중하며[33], 생성된 초기 페라이트의 성장을 지연시키는 효과를 가진다. 또한 초기에 빠른 페라이트의 생성은 잔여 오스테나이트 내 C 농축을 의미하므로 이후의 변태 구동력을 약화시킨다. 결과적으로 보다 많은 수의 페라이트가 초기 오스테나이트 입계에 생성되나, 그 제한된 성장으로 인해 그림 7(a)에서 확인할 수 있는 바와 같이 최종 페라이트의 분율은 유사하거나 다소 감소한 것으로 볼 수 있다. 또한 다수의 페라이트에 의한 오스테나이트 영역의 다발적 침식은 이후 펄라이트 노듈 형상의 부정형성 증가로 이어질 수 있다. 그림 13에는 이상의 논의들을 반영한 미세조직 형성 거동을 모식적으로 표현하였다.

Si 첨가가 그림 10-11의 펄라이트 층상간격 감소에 미치는 영향을 고찰하기 위하여 역시 펄라이트 변태에 대한 구동력을 1차적으로 고려하였다. 펄라이트 변태에서 구동력의 일부는 페라이트와 세멘타이트 층간 계면의 생성에 활용되며, 전체 구동력이 오직 계면의 생성에만 활용되는 경우 다음의 수식이 성립한다[34].

(1)
G m = 2 σ V m S c

상기 수식에서 ΔGm은 몰(mole)당 구동력, σ는 페라이트-세멘타이트 계면 에너지, Vm은 오스테나이트 1 몰의 부피, 그리고 Sc는 이 경우 가능한 층상간격에 해당한다. Sc는 주어진 구동력에서 가능한 최소의 층상간격을 의미하며, 실제 관찰되는 층상간격 S는 다음 수식과 같이 Sc에 대체로 비례하는 것으로 보고되어 왔다[34, 35].

(2)
S = k S c

상기의 비례 계수 k는 펄라이트 변태를 용질 원자의 체적확산(volume diffusion) [36,37] 혹은 계면확산(interface diffusion)이[38-40] 주도하는지, 계면의 이동 속도가 최대가 되는 상황인지[36], 혹은 반응에 따른 엔트로피(entropy) 생성이 최대가 되는지에[41] 따라서 이론적으로 1.5-3.0 사이의 값으로 유도된다[34,35]. 위 두 식을 단순히 결합하면 결과적으로 다음과 같이 층상간격과 구동력에 대한 관계를 유도할 수 있다.

(3)
S = 2 k σ V m G m

그림 14(a-b) 은 0.52C-1.5Mn 조성에서 온도와 Si 함량에 따른 펄라이트 변태의 구동력을 역시 OE 및 PE의 가정하에 각각 계산한 결과이다. 이때 상기 오스테나이트 조성은 앞서 일어난 초석 페라이트 변태에서 치환형 원소의 장범위 분배가 사실상 없었던 점, 그리고 페라이트 내 고용되는 C 함량이 펄라이트 내 함량에 비해서는 매우 낮은 점을 고려한 결과이다. 따라서 잔여 오스테나이트 내 탄소 함량 Cγ = 0.52 는 다음의 수식에서 추정하였다.

(4)
C γ = C ¯ 1 - f α

위에서 시험편 조성을 의미하는 C ¯ 에는 0.32, 페라이트 분율에 해당하는 fα에는 Si 함량에 따른 차이가 크지 않음(0.60 - 0.63)을 반영하여 전체 시험편에 대한 평균 값 0.62를 대입함으로써 펄라이트 변태 직전의 평균적인 오스테나이트 조성을 가정하였다.

그림 14(a)에 나타낸 OE의 상황은 식 (3)에 따라 Si 첨가에 의한 층상간격의 감소를 설명해준다. 반면 (b)의 PE 상황은 이에 반하고 있으며, Si 함량의 증가가 세멘타이트 자유에너지(free energy)를 급격히 증가시킴으로써 Si에 의한 페라이트 안정화에도 불구하고 구동력을 급격히 감소시키고, 전반적으로 펄라이트가 불안정한 영역을 증가시킨다. 앞서 초석 페라이트 변태에서 고려한 바와 같이 확산 변태는 상계면의 극히 미세한 영역에서 이루어지는 평형에 의하며, 따라서 매우 좁은 간격을 가지는 펄라이트 내의 페라이트와 세멘타이트 간에는 치환형 원소의 분배가 이루어질 것임을 예상할 수 있다. Al-Salman 등은[17] 2 wt. % 수준의 Si을 함유한 공석강에서 600 °C 부근의 저온에 이르기까지 세멘타이트와 페라이트 간 Si의 분배가 일어나며, 동일한 등온 유지 온도에서 Si의 첨가가 층상간격을 감소시킴을 보고하였다. 이는 통상적인 펄라이트 변태에 있어 PE를 가정한 페라이트-세멘타이트 평형을 고려하는 것이 적절하지 않음을 의미한다. 따라서 본 연구에서 관찰된 Si 첨가에 따른 층상간격의 감소는 일정 부분 Si 증가에 의한 펄라이트 변태 구동력의 증가에 기인하는 것으로 판단할 수 있었다. 한편으로 냉각 중의 제한된 시간 동안 페라이트와 세멘타이트 간 Si의 분배와 함께 잔여 오스테나이트가 모두 펄라이트로 변태하기 위해서는 작은 층상간격이 유리할 것이다.

본 연구에서와 같은 느린 속도의 연속 냉각 중 변태에서는 구동력의 증가가 변태 온도의 상승을 야기할 수 있기에 이상에서 언급한 효과들이 감소할 수 있다. Si 첨가에 의한 페라이트 핵생성률 증가와 미세립화[25,26], 그리고 펄라이트 층상 간격 감소에[17] 대한 기존 보고들은 연속 냉각이 아닌 특정 온도에서의 등온 유지 후 얻은 결과이기에 본 논문의 결과와 완전하게 부합한다고 볼 수는 없다. 결국 기존에 잘 정립된 열역학 데이터베이스로부터 예측되는 화학적 구동력 외에도 Si 첨가에 의한 계면 에너지와 용질 원소의 확산 속도 변화에 대한 근원적인 논의도 필요할 것이다. 전통적으로 상변태 분야의 연구에 큰 어려움을 야기해온[25,35] 해당 주제들은 본 논문의 핵심 주제에서는 벗어난 측면이 있으므로 향후의 보다 면밀한 연구를 기약해본다.

4.2. Si 첨가에 의한 항복강도 증가

다음에는 이상에서 논의한 Si 첨가에 의한 페라이트-펄라이트 미세조직 특징 변화의 정량적 측정 결과들을 활용하여 그림4(b)에서 확인한 항복강도 변화를 정량적으로 분석하였다. 이는 기존에 정립된 다양한 경험식의 활용과 그 최적화에 의한다.

Gladman 등[19]은 (0.4-0.8)C–(0.3-0.9)Si–(0.85-1.4)Mn 조성의 강을 이용하여 페라이트-펄라이트 미세조직의 항복 강도가 다음과 같이 각 구성상의 항복강도와 그 부피분율의 세제곱근에 비례함을 보여주었다.

(5)
σ = V f 1 / 3 σ f + 1 - V f 1 / 3 σ p

위 식에서 σ, σf, σp, Vf는 각각 시험편, 페라이트 및 펄라이트의 항복강도와 페라이트의 부피분율에 해당한다. 본 연구의 상황에 국한하여 페라이트의 항복강도 증가가 Si에 의한 고용강화, 그리고 4.1에서 살펴본 결정립 미세화에 기인한다면 다음의 관계식을 위 (5)에 대입할 수 있다.

(6)
σ f = σ f o + σ f , s s + σ f , g b = σ f o + k f , s s C f , S i + k f , g b D f

위에서 σfo는 Si을 포함하지 않으며 결정립의 크기가 무한히 큰 페라이트 단상 미세조직의 항복강도로 간주할 수 있다. 그리고 Δσf,ss는 Si에 의한 고용강화량, Δσf,gb는 결정립계에 의한 강화량이다. 이때 전자는 비례계수 kf,ss 와 Si 함량 Cf,Si로, 후자는 Hall-Petch 관계에[42] 따라서 비례계수 kf,gb 와 페라이트의 평균 결정립 직경 Df의 제곱근으로 구성된다. 본질적으로 페라이트와 세멘타이트의 복합조직이지만, 편의상 펄라이트는 해당하는 항복강도를 가지며 페라이트처럼 내부가 균질한 가상의 상(homogeneous equivalent phase, HEP)으로 간주하였다. 따라서 역시 Si에 의한 고용강화, 그리고 페라이트-세멘타이트 층간계면에 의한 강화효과를 고려하여 다음의 수식을 위 (5)에 대입할 수 있다.

(7)
σ p = σ p o + σ p , s s + σ p , l = σ p o + k p , s s C p , S i + k p , l d

σpo는 Si을 포함하지 않으며, 층상간격이 무한한 HEP의 항복강도이며, Δσp,ss와 Δσp,l은 각각 Si의 고용 및 층간 계면에 의한 강화량이다. 그리고 kp,ssCp,Si 는 각각 펄라이트의 Si에 대한 고용강화 계수와 Si 함량, kp,ld는 층간계면에 의한 강화 계수 및 평균 층상간격에 해당한다. 기존에 보고된 결과들로부터[43] 촘촘하게 배열된 층간계면에 비해 매우 작은 면적을 가지는 콜로니(colony) 및 노듈(nodule) 경계면의 영향은 무시하였고, Hall-Petch 관계에 따르는 강화 효과를 상정하였다. 따라서 상기 수식은 층간계면을 HEP 내에서 부피는 없지만 Hall-Petch 형태의 강화 효과를 주는 가상의 석출물로써 간주하고 있다.

이상의 수식은 각 구성상의 조성에서 오직 Si 만이 시편에 따라서 변하는 것으로 가정한 것이다. 표 2에서 확인한 바와 같이 페라이트와 펄라이트 간 치환형 원소의 분배가 거의 일어나지 않기에 모든 시험편 내 구성상의 Mn 함량은 대체로 일정하게(~1.5 wt. %) 유지되는 것으로 볼 수 있다. 또한 같은 이유로 두 구성상의 Si 함량은 표 1의 시편 평균 조성 C ¯ S i 와 동일한 것으로 간주할 수 있다.

(8)
C f , S i = C p , S i = C ¯ S i

한편으로 시편에 따른 페라이트 내 C 함량의 차이도 낮은 고용 한계와 충분히 느린 냉각 속도로부터 항복강도에 큰 영향을 주지 않는 수준으로 가정하였다.

표 1으로부터 C ¯ S i , 그림 7로부터 VfDf, 그리고 그림 11로부터 d의 측정값들을 얻을 수 있고, 위 식 (5)-(8)에 대입하여 항복강도를 추정할 수 있으며, 이를 그림 4(b)의 측정값들과 비교할 수 있을 것이다. 이 경우 6개의 상수 및 계수 σfo, σpo, kf,ss, kp,ss, kf,gb, kp,l 을 확정할 필요가 있다. 미지수에 비해 부족한 시험편 개수의 문제를 최대한 완화하기 위해 다음과 같이 중간 매개 데이터로서 Fig 5의 미소 경도 측정치를 활용하고, 다양한 물리적 구속(physical constraint) 조건을 적용한 최적화(optimization)를 시도하였다.

일정한 형태의 미세조직에서 경도와 항복강도 사이에는 선형적 비례 관계를 가지는 것으로 보고되고 있다[44]. 이에 따라 다음의 두 관계식을 얻을 수 있다.

(9)
σ f = a f H f + b f
(10)
σ p = a p H p + b p

여기서 af, ap, bf, bp 는 페라이트와 펄라이트의 경도-항복강도 관계를 규정하는 비례계수 및 절편값이며, HfHpFig 5에서 얻은 각 구성상의 평균 경도이다. 식 (9)(10)을 (5)에 대입하여 다음 식들로 정리할 수 있다.

(11)
σ = A 1 a f + A 2 b f + A 3 a p + A 4 b p
(12)
A 1 = H f V f 1 / 3
(13)
A 2 = V f 1 / 3
(14)
A 3 = H P 1 - V f 1 / 3
(15)
A 4 = 1 - V f 1 / 3

실험 결과로부터 Aj (j = 1 ~ 4) 는 시험편 A-E에 대해 개별적으로 구할 수 있으며, 따라서 위의 수식을 아래와 같이 보다 축약된 형태로 표현할 수 있다.

(16)
σ i = Σ j A i j x j   i = A - E ,   j = 1 - 4

여기서 x1-x4 는 미지수인 af, bf, ap, bp 에 각각 해당한다. 상기 수식에 대한 해(solution) xj 는 다음의 목적 함수에 대한 최소화로부터 근사(approximation)하였다.

(17)
f = Σ i σ i - e i 2   ( i = A - E )

위에서 ei그림 4(b)의 항복강도 실측치들이다. 물리학적 혹은 현상학적 관점을 반영한 구속조건(constraint)의 추가는 해에 대한 탐색 공간(solution space)을 합리적으로 제한하므로[45], 특히 데이터 수량이 제한되며 미세조직 특징의 추출과 같이 데이터 측정에 오차가 발생할 수 있는 경우에 보다 효과적으로 해에 신뢰성을 부여할 수 있다[46]. 따라서 상기 식 (16)-(17)를 통한 최적화에 다음의 구속조건(constraint)들을 추가하였다.

(18)
σ p > σ f > 0
(19)
σ f > 0
(20)
a p > 0

(18)-(20)의 조건들은 그림 5에서 추정되는 경도와 항복강도의 양적(positive) 비례 관계를 반영하고 있다.

MATLAB에 내장된 선형 구속최적화(linear constrained optimization) 알고리즘을[47] 활용해 xj를 얻고, 이때 계산된 σj와 측정값인 ej를 비교한 그림 15에서 최적화를 통해 얻은 항복강도 예측 모델이 주어진 데이터에 매우 잘 부합하는 것으로 판단되었다.

이상에서 얻은 시험편의 항복강도 예측치, 그리고 그로부터 식 (5)를 통해 얻을 수 있는 각 구성상별 항복강도 예측치를 신뢰함으로써 항복강도를 결정하는 추가적인 인자들에 접근할 수 있다. 의 추정치와 식(6), (8)을 이용한 최적화로부터 σfo, kf,ss, kf,gb을 얻을 수 있으며, 이 경우에도 다음의 구속조건을 적용하였다.

(21)
σ f o > 0
(22)
k f , s s > 0
(23)
k f , g b > 0

식 (22)-(23)은 전통적으로 입증되어 온 Si의 고용강화 및 결정립계에 의한 강화 효과를 반영한 것이다.

역시 σp의 추정치와 식 (7)-(8)을 이용한 최적화로부터 σpo, kp,ss, kp,l 을 얻을 수 있으며, 이 경우에는 다음의 구속조건을 적용하였다.

(24)
σ p o > 0
(25)
k p , s s > 0
(26)
k p , l > 0

이상의 과정을 통해 얻은 항복강도를 결정하는 상수 및 계수의 값을 표 3에 정리하였다. 해당 수치들을 수식 (5)-(7)에 적용하여 얻은 항복강도의 최종 추정치를 실제 측정치와 비교한 결과는 그림 16에 나타내었다.

표 3의 수치들 중 각 강화기구의 효과를 나타내는 비례계수 kf,ss, kf,gb, kp,l 은 기존 문헌에서[9,11,18,19] 알려진 수치들과 다소의 차이는 있으나 비교 가능한 범위에 있다. 대표적으로 Gladman등이[19] 제안한 페라이트-펄라이트 강에 대한 항복강도 예측 모델에서는 kf,ss에 해당하는 계수의 값으로서 63.14 MPa/wt. % 을, kf,gbkp,l에 대해서는 각각 17.4 및 3.85 MPa·mm1/2의 값을 얻었다. 표 3의 수치들이 기존의 수치들과 보이는 다소의 차이는 합금 조성의 상이함과 그에 의한 미세조직 구성의 세부적인 차이에 기인한 것으로 받아들일 수 있다. 한편으로 표 3에서는 사실상 0에 해당함으로써 펄라이트의 항복강도가 오직 층상간격의 영향을 받는 것으로 나타나며, 이는 기존에[9,19,48] 보고된 바와 잘 부합하는 결과이다. 펄라이트 중의 공석(eutectoid)페라이트에 국한해서는 Si에 의한 고용강화 효과를 기대할 수 있을 것이나 세멘타이트와 이루는 복합체로서는 층간계면에 의한 강화 효과에 가려지는 것으로 판단되었다.

이상의 시험 결과와 표 3, 식 (5)-(7)을 활용해 추정된 시험편의 항복강도에 대한 각 구성상의 기여치를 분리해서 그림 17에 나타내었다. Si의 첨가가 두 구성상을 동시에 강화하는 것을 확인할 수 있다. 그림 18(a)에는 시편 A의 항복 강도를 기준으로 Si 첨가량에 따른 항복강도 증가분을 각 강화 기구의 기여치로 분리해서 나타내었고, (b)는 동일한 결과를 백분율(%)로써 표현한 것이다. Si에 의한 항복강도 증가분의 75% 이상을 차지하는 주 요인은 펄라이트 층상간격 감소와 페라이트의 고용강화임을 알 수 있었다. 그리고 각 구성상의 강화 효과를 배제한 순수한 상분율의 변화, 즉 펄라이트 분율 증가에 의한 강화 효과 및 페라이트 결정립 미세화의 효과는 상대적으로 제한적임을 알 수 있었다.

5. CONCLUSIONS

본 논문에서는 0.3C-1.5Mn 중탄소강 중의 페라이트-펄라이트 미세조직 특징과 항복강도에 미치는 Si 첨가의 영향을 고찰하였으며 다음의 결론을 도출할 수 있었다.

(1) Si 첨가는 페라이트 결정립 크기와 펄라이트 층상간격의 확연한 감소를 야기하였고, 여기에는 각 구성상에 대한 열역학적 구동력 증가가 기여한 것으로 판단되었다.

(2) 각 구성상의 고용강화 및 계면에 의한 강화 효과를 포함하는 항복강도 예측 모델을 측정된 페라이트 분율과 결정립 직경, 펄라이트 층상간격 및 미소 경도 등을 활용한 최적화 기법으로부터 구성하였고, 이로부터 다양한 강화 기구의 효과를 정량적으로 비교할 수 있었다. Si 첨가에 의한 항복강도의 증가는 주로 펄라이트 층상간격의 감소와 페라이트의 고용강화에 기인하는 것으로 추정할 수 있었다.

(3) 페라이트-펄라이트 미세조직은 비조질강 뿐만 아니라 다양한 구조용강의 열간압연 후 미세조직을 구성한다. 따라서 해당 미세조직의 특징과 물성에 미치는 Si 첨가 영향에 대한 본 논문의 결과는 다양한 강종의 개발에 있어 기초적인 자료로서 활용할 수 있을 것이다.

Acknowledgements

이 연구는 2024년도 산업통상자원부 및 한국산업기술평가관리원(KEIT)의 연구비 지원(과제번호 20022417)에 의한연구임을 밝힙니다. 본 논문의 저자들은 시험 설계 과정에있어 현대제철㈜의 도움에 깊은 감사의 뜻을 표합니다.

REFERENCES

1 
Badkoobeh F., Mostaan H., Rafiei M., Bakhsheshi-Rad H. R., Berto F., Metals,12, 101 (2022)Google Search
2 
Lee E. J., Yu C. J., Lee H. B., Kim J. H., Suh D. W., Korean J. Met. Mater,59, 602 (2021)Google Search
3 
Bae H. J., Ko K. K., Park H. S., Jeong J. S., Kim J. G., Sung H., Seol J. B., Korean J. Met. Mater,59, 683 (2021)Google Search
4 
Saeidi N., Jafari M., Kim J. G., Ashrafizadeh F., Kim H. S., Met. Mater. Int,26, 168 (2020)Google Search
5 
LU J., Wang Y., Wang Q., Cheng H., Cheng G., ISIJ Int,59, 524 (2019)Google Search
6 
Lijuan S., Jun T., Shaoyan H., Ming L., Xianglong L., Tianpeng Q., Deyong W., Tianyin Z., Metals,13, 23 (2023)Google Search
7 
Lee D. L., Trans. Mater. Process,11, (2002)Google Search
8 
Gladman T., Shipway M. D., Ellis D. E. W., Mater. Sci. Technol, (1986)Google Search
9 
William C. L., the physical metallugy of steels,164Mc Graw Hill (1982)Google Search
10 
Lee E. H., Yu C. J., Lee H. B., Kim J. H., Suh D. W., Korean J. Met. Mater,59, 602 (2021)Google Search
11 
Gladman T., The Physical Metallurgy of Microalloyed Steels,34Maney (1997)Google Search
12 
Rosann K., https://sciencing.com/eight-abundant-elements-earths-crust-8120554, "The Eight Most Abundant Elements in the Earth's Crustsciencing, (2022)Google Search
13 
Gaye H., shaping and treating of steel, “Chapter 3, Inclusion formation in steels” in The making, shaping and treating of steel, casting volume,AISE (2003)Google Search
14 
David J. Y., “Chapter 6 Oxidation of Alloys Ⅱ: internal Oxidation” in High Temperature Oxidation and Corrosion of Metals,Elsevier (2008)Google Search
15 
Speer J. G., Assunção F. C. R., Matlock D. K., Edmonds D. V., J. Mater. Res,8, 417 (2005)Google Search
16 
Drumond J., Girina O., da Silva Filho J., Fonstein N., Silva de Oliveira C., Metall. Microstruct. Anal,1, 217 (2012)Google Search
17 
Al salman S., Lorimer G., Ridley N., Acta Metall,27, 1391 (1979)Google Search
18 
Sibley K., Breyer N., Metall. Mater. Trans. A, (1976)Google Search
19 
Gladman T., Mclvor I. D., Pickering F., J. Iron Steel. Inst,210, 916 (1972)Google Search
20 
Reiko M., Hiroshi M., Yoshimasa F., Yasushi T., Tetsuto-Hagané,96, 414 (2010)Google Search
21 
QuPath, https://qupath.readthedocs.io/en/stable/, Welcome to QuPath!, (2019)Google Search
22 
Media Cybernetics, https://mediacy.com/image-pro/, Image-Pro, (2024)Google Search
23 
Gomes E., Kestens L. A. I., IOP Conf. Ser.: Mater. Sci. Eng,82, 12 (2015)Google Search
24 
Aranda M. M., Kim B.-N., Rementeria R., Carlos C., Garcia C., Andres D., Metall. Mater. Trans. A,45A, 1778 (2013)Google Search
25 
Lee S. H., Lee K. J., Adv. Mater. Re,26-28, 1307 (2007)Google Search
26 
CAI M.-h., DING H., LEE Y.-k., TANG Z.-y., ZHANG J.-s., ISIJ Int,51, 476 (2011)Google Search
27 
MatCalc, https://www.matcalc.at/index.php/about/features, MatCalc features, (2024)Google Search
28 
MatCalc, https://www.matcalc.at/index.php/databases/open-databases, Open databases, (2024)Google Search
29 
Coates D., Metall. Trans. A,3A, 1203 (1972)Google Search
30 
Coates D., Metall. Trans. A,4A, 1077 (1973)Google Search
31 
Bhadeshia H. K. D. H., Prog. Mater Sci,29, 321 (1985)Google Search
32 
Enomoto M., Aaronson H. I., Metall. Mater. Trans. A,17A, 1381 (1986)Google Search
33 
Bhadeshia H. K. D. H., J. Mater. Sci,18, 1473 (1983)Google Search
34 
Pandit A. S., Ph. D. Theory of the Pearlite Transformation in Steels,University of Cambridge (2011)Google Search
35 
Ridley N., Metall. Mater. Trans. A,15A, 1019 (1984)Google Search
36 
Zener C., Trans. Am. Inst. Min. Metall. Pet,167, 550 (1946)Google Search
37 
Hillert M., Jernkontorets Annaler,141, 757 (1957)Google Search
38 
Shapiro J. M., Kirkaldy J. S., Acta Metall,16, 579 (1968)Google Search
39 
Hillert M., “The role of interfaces in phase transformations” in The mechanism of phase transformations in crystalline solids,231-247, Institute of Metals (1969)Google Search
40 
Sundquist B. E., Acta Metall,16, 1413 (1968)Google Search
41 
Puls M. P., Kirkaldy J. S., Metall. Mater. Trans. B,3, 2777 (1972)Google Search
42 
Hansen N., Scr. Mater,51, 801 (2004)Google Search
43 
Bhadeshia H. K. D. H., Honeycombe R. W. K., Steels: Microstructure and Properties,Butterworth-Heinemann (2011)Google Search
44 
Pavlina E., Van Tyne C., J. Mater. Eng. Perform,17, 888 (2008)Google Search
45 
Srinivas J., “Review of some constrained optimization schemes” in Optimization for Engineering Problems,ISTE Ltd and John Wiley & Sons (2019)Google Search
46 
Karniadakis G. E., Kevrekidis I. G., Lu L., Perdikaris P., Yang S. Wang L., Nat. Rev. Phys,3, 422 (2021)Google Search
47 
Philip E. G., Walter M., Michael A. S., Margaret H. W., Math. Program,45, 437 (1989)Google Search
48 
Heller W., Rail Steels: Developments Processing and Use,162American society for testing and materials (1978)Google Search

Figures and Tables

Fig. 1.

Schematic illustration of normalization to simulate a slow air cooling (WQ: water quenching)

../../Resources/kim/KJMM.2024.62/kjmm-2024-62-11-897f1.jpg
Fig. 2.

A representative example of EDS analyses on the individual phases (α: ferrite, p: pearlite)

../../Resources/kim/KJMM.2024.62/kjmm-2024-62-11-897f2.jpg
Fig. 3.

Representative examples of micro-hardness tests on the individual phases: (a) ferrite and (b) pearlite

../../Resources/kim/KJMM.2024.62/kjmm-2024-62-11-897f3.jpg
Fig. 4.

Results of the tensile tests on the specimens: (a) flow curves and (b) yield strengths according to Si contents.

../../Resources/kim/KJMM.2024.62/kjmm-2024-62-11-897f4.jpg
Fig. 5.

Mean hardness values of the individual phases according to Si contents (Error bars indicate the standard deviations.)

../../Resources/kim/KJMM.2024.62/kjmm-2024-62-11-897f5.jpg
Fig. 6.

Micrographs by (a-c) optical microscope and (d-f) SEM according to Si contents of the specimens: (a, d) 0.22, (b, e) 1.08 and (c, f) 2.21 wt. %

../../Resources/kim/KJMM.2024.62/kjmm-2024-62-11-897f6.jpg
Fig. 7.

Features for the ferrite-pearlite microstructures according to Si contents: (a) phase volume fractions and (b) mean diameters of ferritic grains (error bars indicate the standard deviations.)

../../Resources/kim/KJMM.2024.62/kjmm-2024-62-11-897f7.jpg
Fig. 8.

Inverse pole figure maps (pixel colors) of the martensitic microstructures with the reconstructed prior austenitic grain boundaries (thick black lines) according to Si contents: (a) 0.22, (b) 1.08 and (c) 2.21 wt. %

../../Resources/kim/KJMM.2024.62/kjmm-2024-62-11-897f8.jpg
Fig. 9.

Mean diameters of prior austenitic grains according to Si contents (the error bars indicate the standard deviations.)

../../Resources/kim/KJMM.2024.62/kjmm-2024-62-11-897f9.jpg
Fig. 10.

Representative secondary electron images of pearlites according to Si contents: (a) 0.22, (b) 1.08 and (c) 2.21 wt. %

../../Resources/kim/KJMM.2024.62/kjmm-2024-62-11-897f10.jpg
Fig. 11.

Mean interlamellar spacings of pearlites with respect to Si contents (error bars represent standard deviations.)

../../Resources/kim/KJMM.2024.62/kjmm-2024-62-11-897f11.jpg
Fig. 12.

Chemical driving forces for the transformation from austenite to ferrite in 0.32C-1.5Mn steel with varying Si content and temperature: (a) under ortho-equilibrium and (b) para-equilibrium condition (blank area indicates negative driving force, i.e. austenite stability)

../../Resources/kim/KJMM.2024.62/kjmm-2024-62-11-897f12.jpg
Fig. 13.

Schematic illustration of microstructure formation according to Si contents: (a) low and (b) high Si (γ: prior austenite, αp: proeutectoid ferrite, p: pearlite)

../../Resources/kim/KJMM.2024.62/kjmm-2024-62-11-897f13.jpg
Fig. 14.

Chemical driving forces for the transformation from austenite to pearlite in 0.52C-1.5Mn steel with varying Si content and temperature: (a) under ortho-equilibrium and (b) para-equilibrium condition (blank area indicates negative driving force, i.e. austenite stability)

../../Resources/kim/KJMM.2024.62/kjmm-2024-62-11-897f14.jpg
Fig. 15.

Comparison of the measured value of yield strengths with those predicted according to equations (12)-(17) (the dotted line represents the equality condition)

../../Resources/kim/KJMM.2024.62/kjmm-2024-62-11-897f15.jpg
Fig. 16.

Comparison of the measured value of yield strengths with those predicted according to equations (5)-(7) (the dotted line represents the equality condition)

../../Resources/kim/KJMM.2024.62/kjmm-2024-62-11-897f16.jpg
Fig. 17.

Contributions of the individual phases to yield strengths of the specimens (../../Resources/kim/KJMM.2024.62/kjmm-2024-62-11-897i1.jpg - ferrite, ../../Resources/kim/KJMM.2024.62/kjmm-2024-62-11-897i2.jpg - pearlite)

../../Resources/kim/KJMM.2024.62/kjmm-2024-62-11-897f17.jpg
Fig. 18.

Contributions of the strengthening mechanisms to the increments in yield strengths (../../Resources/kim/KJMM.2024.62/kjmm-2024-62-11-897i3.jpg refinement of pearlitic interlamellar spacing, ../../Resources/kim/KJMM.2024.62/kjmm-2024-62-11-897i4.jpg - grain refinement of ferrite and ../../Resources/kim/KJMM.2024.62/kjmm-2024-62-11-897i5.jpg - increased pearlite fraction, ../../Resources/kim/KJMM.2024.62/kjmm-2024-62-11-897i6.jpg - solid solution of ferrite by Si) represented in (a) strength (MPa) and (b) fraction (%)

../../Resources/kim/KJMM.2024.62/kjmm-2024-62-11-897f18.jpg
Table 1.

Chemical composition of the specimens (wt. %, Fe: balance)

Alloy C Mn Si
A 0.32 1.42 0.22
B 0.32 1.56 0.54
C 0.31 1.60 1.08
D 0.32 1.64 1.63
E 0.32 1.64 2.21
Table 2.

Mean concentrations of Si and Mn in the ferrites and the pearlites respectively measured by the EDS

Alloy Si [wt. %]
Mn [wt. %]
Ferrite Pearlite Ferrite Pearlite
A 0.20 0.21 1.47 1.49
B 0.57 0.59 1.61 1.63
C 1.12 1.07 1.64 1.67
D 1.63 1.64 1.61 1.61
E 2.23 2.23 1.69 1.74
Table 3.

Optimized parameters for the prediction of yield strength

kf,gb σfo kf,ss σpo kp,ss kp,l
12.89 108.86 44.25 381.21 6.47×10-10 7.11
(MPa·mm1/2) (MPa) (MPa/wt.%) (MPa) (MPa/wt.%) (MPa·mm1/2)