The Journal of
the Korean Journal of Metals and Materials

The Journal of
the Korean Journal of Metals and Materials

Monthly
  • pISSN : 1738-8228
  • eISSN : 2288-8241

Editorial Office


  1. ํ•œ๊ตญ์ƒ์‚ฐ๊ธฐ์ˆ ์—ฐ๊ตฌ์› ๋™๋‚จ๊ธฐ์ˆ ์‹ค์šฉํ™”๋ณธ๋ถ€ (1Dongnam Technology Application Division, Korea Institute of Industrial Technology, 50623 Yangsan, Republic of Korea)
  2. ๋ถ€์‚ฐ๋Œ€ํ•™๊ต ์žฌ๋ฃŒ๊ณตํ•™๋ถ€ (2School of Material Science and Engineering, Pusan National University, 46241, Busan, Republic of Korea)
  3. ์˜๋‚จ๋Œ€ํ•™๊ต ์‹ ์†Œ์žฌ๊ณตํ•™๋ถ€ (3School of Material Science and Engineering, Yeungnam University, 38541, Gyeongsan-si, Republic of Korea)



Direct energy deposition, Shape memory alloy, High manganese steel, Welding

1. ์„œ ๋ก 

ํ˜•์ƒ๊ธฐ์–ตํ•ฉ๊ธˆ์€ ๋ณ€ํ˜• ํ›„ ์‘๋ ฅ์„ ์ œ๊ฑฐํ•  ๋•Œ ๊ณง๋ฐ”๋กœ ์›๋ž˜์˜ ํ˜•ํƒœ๋กœ ๋Œ์•„์˜ค๋Š” ์ดˆํƒ„์„ฑ ๊ฑฐ๋™ (superelasticity) ๋ฐ ๋ณ€ํ˜• ํ›„ ๊ฐ€์—ด์— ์˜ํ•ด ์›๋ž˜์˜ ํ˜•ํƒœ๋กœ ๋ณต์›๋˜๋Š” ํ˜•์ƒ๋ณต์›ํšจ๊ณผ (shape recovery effect) ๋ฅผ ๋ณด์ด๋Š” ๊ธฐ๋Šฅ์„ฑ์žฌ๋ฃŒ๋กœ์„œ ์ง€๋‚œ ์ˆ˜์‹ญ๋…„๊ฐ„ ๋‹ค์–‘ํ•œ ๊ณณ์— ์ ์šฉ๋˜์–ด ์™”๋‹ค[1,2]. ํ˜•์ƒ๊ธฐ์–ตํ•ฉ๊ธˆ์œผ๋กœ ์‚ฌ์šฉ๋  ์ˆ˜ ์žˆ๋Š” ๋Œ€ํ‘œ์ ์ธ ํ•ฉ๊ธˆ ์กฐ์„ฑ์œผ๋กœ๋Š”, ๊ตฌ๋ฆฌ๋ฅผ ๊ธฐ๋ฐ˜์œผ๋กœ ํ•˜๋Š” Cu-Zn, Cu-Al, ์ฒ ์„ ๊ธฐ๋ฐ˜์œผ๋กœ ํ•œ Fe-Mn-Si ๋ฐ Ni-Ti ํ•ฉ๊ธˆ ๋“ฑ์ด ์žˆ๋‹ค. ์ด์ค‘ Ni-Ti๋Š” ๋งค์šฐ ๋†’์€ ํ˜•์ƒ๋ณต์›๋ ฅ, ์ƒ์ฒด์  ํ•ฉ์„ฑ, ์ง„๋™ ๊ฐ์‡ ๋Šฅ ๋ฐ ๋†’์€ ๋‚ด์‚ฐํ™”์„ฑ ๋“ฑ์˜ ์šฐ์ˆ˜ํ•œ ์„ฑ๋Šฅ์œผ๋กœ ๊ฐ€์žฅ ๋งŽ์ด ์‚ฌ์šฉ๋˜๊ณ  ์žˆ๋‹ค[3โ€“5]. ๋ฐ˜๋ฉด์— Ni-Ti๋Š” ์•ž์„  ์žฅ์ ๋“ค์— ๋Œ€๋น„ํ•ด ๋‚ฎ์€ ๊ฐ€๊ณต์„ฑ์— ๋”ฐ๋ฅธ ๋†’์€ ์ƒ์‚ฐ๋น„์šฉ ๋ฐ ์›์ž์žฌ ๋น„์šฉ ๋“ฑ์˜ ๋‹จ์ ์œผ๋กœ ๊ธฐ๊ณ„๋ถ€ํ’ˆ์ด๋‚˜ ํ† ๋ชฉ๊ตฌ์กฐ๋ฌผ ๋“ฑ์—๋Š” ํ™œ์šฉํ•˜๊ธฐ ์–ด๋ ค์šด๋ฐ[6,7], ๋Œ€ํ˜•์˜ ๊ตฌ์กฐ๋ฌผ์ด๋‚˜ ๋‹ค๋Ÿ‰์˜ ์†Œ์žฌ๊ฐ€ ํ•„์š”ํ•œ ์ ์šฉ์ฒ˜์—๋Š” ์ค€์ˆ˜ํ•œ ํ˜•์ƒ๊ธฐ์–ตํŠน์„ฑ์„ ๋‚˜ํƒ€๋‚ด๋ฉด์„œ๋„, ์ƒ๋Œ€์ ์œผ๋กœ ์›์†Œ์žฌ ๊ฐ€๊ฒฉ์ด ์ €๋ ดํ•œ ์ฒ ๊ณ„ ํ˜•์ƒ๊ธฐ์–ตํ•ฉ๊ธˆ์˜ ์‘์šฉ์ด ๊ธฐ๋Œ€๋˜๊ณ  ์žˆ๋‹ค. ์ฒ ๊ณ„ ํ˜•์ƒ๊ธฐ์–ตํ•ฉ๊ธˆ์€ ๋‹ค์–‘ํ•œ ์กฐ์„ฑ์ด ์‹œ๋„๋˜์—ˆ์œผ๋ฉฐ ๊ทธ์ค‘ 1982๋…„ Sato et al. [8] ์ด Fe-Mn-Si๊ณ„ ํ˜•์ƒ๊ธฐ์–ตํ•ฉ๊ธˆ์„ ๊ฐœ๋ฐœํ•˜์—ฌ ์ง€์†์ ์ธ ์—ฐ๊ตฌ๊ฐ€ ์ด๋ค„์ง€๊ณ  ์žˆ๋‹ค[9โ€“11]. Fe-Mn-Si๊ณ„ ํ˜•์ƒ๊ธฐ์–ตํ•ฉ๊ธˆ์€ ๋†’์€ ๊ฐ€๊ณต์„ฑ ๋ฐ ๋‚ฎ์€ ๊ฐ€๊ฒฉ๊ณผ ์ค€์ˆ˜ํ•œ ํ˜•์ƒ๊ธฐ์–ตํŠน์„ฑ[12] ๋“ฑ์˜ ์žฅ์ ์„ ํ™œ์šฉํ•ด ๋‚ด์ง€์ง„์šฉ ์ฒ ๊ทผ ํ˜น์€ ๋‹ค๋ฆฌ ๋“ฑ์˜ ๊ฑด์ถ•๋ฌผ์— ์‚ฌ์šฉ๋˜๊ณ  ์žˆ์œผ๋ฉฐ, ํ˜•์ƒ๋ณต์›์‘๋ ฅ์„ ์ด์šฉํ•˜์—ฌ ์•ก์ถ”์—์ดํ„ฐ, ์‹ค๋Ÿฌ, ๋Œํผ[13] ํ˜น์€ ์ฒ ๊ทผ ๋“ฑ์„ ์ž‡๋Š” ์ปคํ”Œ๋Ÿฌ์™€ ๊ฐ™์€ ํ™œ์šฉ๋ฐฉ์•ˆ๋„ ์ œ์‹œ๋˜๊ณ  ์žˆ๋‹ค. ์ด๋Ÿฐ ๋‹ค์–‘ํ•œ ํ™œ์šฉ์„ ์œ„ํ•ด ๋‹ค๋ฅธ ๊ฐ•์ข…๋“ค์— ์‚ฌ์šฉ๋˜๋Š” ๊ธฐ์ดˆ ๊ธฐ์ˆ ๋“ค์„ Fe-Mn-Si๊ณ„ ํ˜•์ƒ๊ธฐ์–ตํ•ฉ๊ธˆ์— ์ ์šฉํ•  ํ•„์š”๊ฐ€ ์žˆ๋‹ค. ํŠนํžˆ ์•ž์„œ ์–ธ๊ธ‰ํ•œ ์ปคํ”Œ๋Ÿฌ ๊ฐ™์€ ๊ฒฝ์šฐ, ์ž‘์€ ์ง๊ฒฝ์„ ๊ฐ–๋Š” ์ค‘๊ณตํ˜• ์ปคํ”Œ๋Ÿฌ๋Š” ๋”ฅ ๋“œ๋กœ์ž‰ ๋“ฑ์˜ ๊ณต์ •์„ ์ด์šฉํ•˜์—ฌ ์‹ฌ๋ฆฌ์Šค (seamless) ๊ฐ€๊ณต์ด ๊ฐ€๋Šฅํ•˜์ง€๋งŒ, ๋Œ€๊ตฌ๊ฒฝ ํŒŒ์ดํ”„์— ์ ์šฉ๋˜๋Š” ๊ฒฝ์šฐ ํŒ์žฌ๋ฅผ ๋ฐด๋”ฉ (bending) ๊ฐ€๊ณตํ•œ ํ›„ ์šฉ์ ‘ํ•˜๋Š” ๊ณต์ •์ด ๋ฐ˜๋“œ์‹œ ํ•„์š”ํ•˜๋‹ค. Fe-Mn-Si๊ณ„ ํ˜•์ƒ๊ธฐ์–ตํ•ฉ๊ธˆ์˜ ์šฉ์ ‘์€ ์†Œ์ˆ˜์˜ ์—ฐ๊ตฌ์ž๋“ค์— ์˜ํ•ด ์ œํ•œ์ ์œผ๋กœ ์ˆ˜ํ–‰๋œ ๋ฐ” ์žˆ์œผ๋ฉฐ, ๋…ผ๋ฌธ์— ๊ฒฐ๊ณผ๊ฐ€ ๋ณด๊ณ ๋œ ์‚ฌ๋ก€๊ฐ€ ๊ฑฐ์˜ ์—†๋‹ค. Kim et al. [14]์€ ์•„ํฌ ์šฉ์ ‘์„ ํ†ตํ•ด ์„ฑ๊ณต์ ์œผ๋กœ Fe-Mn-Si๊ณ„ ํ˜•์ƒ๊ธฐ์–ตํ•ฉ๊ธˆ์„ ์šฉ์ ‘ํ•œ ๋’ค ์—ด์ฒ˜๋ฆฌํ•˜์—ฌ ์ค€์ˆ˜ํ•œ ์ธ์žฅ ์‘๋ ฅ ๋ฐ ์—ฐ์‹ ์œจ์„ ๋‚˜ํƒ€๋ƒˆ๋‹ค. ๋˜ํ•œ Zhou et al. [15]์€ YAG ๋ ˆ์ด์ €๋ฅผ ํ†ตํ•ด Fe-Mn-Si๊ณ„ ํ˜•์ƒ๊ธฐ์–ตํ•ฉ๊ธˆ์„ ์šฉ์ ‘ํ•˜์—ฌ ๋ชจ์žฌ์™€ ๊ฑฐ์˜ ํก์‚ฌํ•œ ์ธ์žฅ ์‘๋ ฅ๊ณผ ๋†’์€ ํ‘œ๋ฉด ์กฐ๋„๋ฅผ ์–ป์—ˆ๋‹ค. ํ•˜์ง€๋งŒ ๋ถ„๋ง ์šฉ๊ฐ€์žฌ๋ฅผ ์‚ฌ์šฉํ•œ ๋ ˆ์ด์ € ์šฉ์ ‘์€ ๋ณด๊ณ ๋œ ์‚ฌ๋ก€๊ฐ€ ์—†์œผ๋ฉฐ ์ด์— ๊ด€ํ•œ ๋งŽ์€ ์—ฐ๊ตฌ๊ฐ€ ํ•„์š”ํ•˜๋‹ค.

๋ ˆ์ด์ € ์ง์ ‘ ์ ์ธต ๊ธฐ์ˆ  (Laser direct energy deposition, L-DED)์€ ๋ ˆ์ด์ € ๋ถ„๋ง ์†Œ๊ฒฐ ๊ธฐ์ˆ  (Laser powder bed fusion, L-PBF)๊ณผ ํ•จ๊ป˜ ์ฃผ์š”ํ•œ ์ ์ธต ์ œ์กฐ ๋ฐฉ์‹์ด๋‹ค. ์ด๋Ÿฌํ•œ ์ ์ธต ์ œ์กฐ ๊ธฐ์ˆ ์€ ๋น ๋ฅธ ๋ƒ‰๊ฐ์†๋„์— ์˜ํ•ด ์ƒ์„ฑ๋œ ์…€ (cell) ๊ฒฝ๊ณ„์— ์ „์œ„์™€ ๋ฏธ์„ธ ํŽธ์„๋“ค์ด ์ง‘์ค‘๋˜๋ฉฐ, ์ด๋ฅผ ํ†ตํ•œ ๊ฐ•ํ™”ํšจ๊ณผ๋กœ ์ธํ•ด ๋‹ค๋ฅธ ์ œ์ž‘ ๋ฐฉ์‹์— ๋น„ํ•ด ๋†’์€ ๊ฐ•๋„๋ฅผ ๋‚˜ํƒ€๋‚ด๊ฒŒ ๋œ๋‹ค[16]. ๋˜ํ•œ L-DED๋Š” L-PBF์— ๋น„ํ•ด ๋†’์€ ์ƒ์‚ฐ์†๋„์™€ ๊ฒฝ์‚ฌ๋ฉด์„ ํฌํ•จํ•œ ๋‹ค์–‘ํ•œ ํ˜•์ƒ์˜ ํ‘œ๋ฉด์— ์ ์ธต ํ•  ์ˆ˜ ์žˆ๋‹ค๋Š” ์žฅ์ ์ด ์žˆ๋‹ค[17,18]. ์ด๋Ÿฌํ•œ L-DED ๊ณต์ •์€ ์ปดํ“จํ„ฐ ์ง€์› ์„ค๊ณ„ (computer aided design) ์†Œํ”„ํŠธ์›จ์–ด๋ฅผ ์ด์šฉํ•˜์—ฌ ์„ค๊ณ„ ๋œ ๋ถ€ํ’ˆ ๋˜๋Š” ์‹œํŽธ์˜ ์ œ์กฐ ์ด์™ธ์—๋„ ๋ถ„๋ง ์šฉ๊ฐ€์žฌ๋ฅผ ์ด์šฉํ•˜์—ฌ ๋‘ ๋ชจ์žฌ ์‚ฌ์ด์˜ ๊ฐ„๊ทน์„ ์ฑ„์šฐ๋Š” ๋ฐฉ์‹์˜ ์šฉ์ ‘๊ณต์ •์œผ๋กœ ์‘์šฉ ๊ฐ€๋Šฅํ•˜๋‹ค. ๊ธฐ์กด ์•„ํฌ๋ฅผ ์—ด์›์œผ๋กœ ์‚ฌ์šฉํ•˜๋Š” ์šฉ์ ‘์€ ์šฉ์ ‘๋ถ€ ํ˜•์„ฑ ์‹œ์— ๋ฐœ์ƒํ•œ ์—ด์ด ์šฉ์ ‘๋ถ€ ๋ฟ๋งŒ ์•„๋‹ˆ๋ผ, ์šฉ์ ‘๋ถ€์™€ ์ธ์ ‘ํ•œ ๋ชจ์žฌ์˜ ๋น„๊ต์  ๋„“์€ ๋ฒ”์œ„๊นŒ์ง€ ์˜ํ–ฅ์„ ๋ฏธ์ณ ์—ด์˜ํ–ฅ๋ถ€ (Heat Affected Zone, HAZ) ์ƒ์„ฑ์œผ๋กœ ์ธํ•œ ๊ธฐ๊ณ„์  ํŠน์„ฑ ๊ฐ์†Œ, ๋‘ ๋ชจ์žฌ๋ฅผ ๋งž๋Œ€๊ธฐ ์šฉ์ ‘ํ•˜๋Š” ๊ฒฝ์šฐ ํŠน์ • ์›์†Œ์˜ ์ฆ๋ฐœ์— ์˜ํ•œ ํŠน์„ฑ ๋ณ€ํ™” ๋“ฑ์˜ ๋‹จ์ ์ด ์žˆ๋‹ค[19]. ๋ฐ˜๋ฉด์— ๋ ˆ์ด์ €๋ฅผ ์‚ฌ์šฉํ•˜๋Š” L-DED๋Š” ๊ตญ๋ถ€์ ์ธ ์šฉ์œต์„ ๋ฐ˜๋ณตํ•˜์—ฌ ์ ์ธตํ•˜๋Š” ๋ฐฉ์‹์ด๋ฏ€๋กœ ์—ด์˜ํ–ฅ๋ถ€ ๋ฉด์ ์„ ์ตœ์†Œํ™”ํ•˜์—ฌ ๊ฐ•๋„ ๊ฐ์†Œ๋ฅผ ์•ผ๊ธฐํ•˜๋Š” ์š”์ธ์ด ์ ์œผ๋ฉฐ[20], L-DED ๊ณต์ •์˜ ํŠน์ง•์ ์ธ ๋ฏธ์„ธ์กฐ์ง ๊ตฌํ˜„์„ ํ†ตํ•ด ๋†’์€ ์šฉ์ ‘๋ถ€ ๊ฐ•๋„๋ฅผ ์–ป์„ ์ˆ˜ ์žˆ๋‹ค. ๋˜ํ•œ ์ •๋ฐ€ํ•˜๊ฒŒ ๊ณต๊ตฌ ๊ฒฝ๋กœ (tool path)๋ฅผ ์กฐ์ ˆํ•  ์ˆ˜ ์žˆ๊ธฐ ๋•Œ๋ฌธ์— ํšจ์œจ์ ์ด๊ณ  ์ •ํ™•ํ•œ ์šฉ์ ‘์ด ๊ฐ€๋Šฅํ•˜๋ฉฐ, ์›ํ•˜๋Š” ์กฐ์„ฑ์˜ ๋ถ„๋ง์„ ์ด์šฉํ•˜์—ฌ ์šฉ์ ‘๋ถ€์˜ ํŠน์„ฑ์„ ๊ฐœ์งˆ ํ•  ์ˆ˜ ์žˆ๋‹ค[21].

๋ณธ ์—ฐ๊ตฌ์—์„œ๋Š” L-DED ๊ณต์ •์„ ๋ถ„๋ง ์šฉ๊ฐ€์žฌ๋ฅผ ์‚ฌ์šฉํ•˜๋Š” Fe-Mn-Si ๊ณ„ ํ˜•์ƒ๊ธฐ์–ตํ•ฉ๊ธˆ์˜ ์šฉ์ ‘๊ณต์ •์œผ๋กœ์˜ ์‘์šฉ๊ฐ€๋Šฅ์„ฑ์„ ๊ฒ€์ฆํ•˜๊ณ , ์šฉ์ ‘๋œ ์‹œํŽธ์˜ ๋ฏธ์„ธ์กฐ์ง, ๊ธฐ๊ณ„์  ํŠน์„ฑ ๋ฐ ํ˜•์ƒ๊ธฐ์–ตํŠน์„ฑ์„ ์กฐ์‚ฌํ•˜์˜€๋‹ค. Fe-Mn-Si๊ณ„ ํ˜•์ƒ๊ธฐ์–ตํ•ฉ๊ธˆ์˜ ํ˜•์ƒ๊ธฐ์–ตํŠน์„ฑ์€ Mn ํ•จ์œ ๋Ÿ‰์— ๋”ฐ๋ผ ๋ณ€ํ™”ํ•œ๋‹ค. ๊ทธ๋Ÿฌ๋‚˜ ๊ตญ์†Œ์ ์œผ๋กœ ๋†’์€ ์ž…์—ด๋Ÿ‰์„ ๋ณด์ด๋Š” L-DED ๊ณต์ •์€ ๋งŽ์€ ์–‘์˜ Mn ์ฆ๋ฐœ์„ ์•ผ๊ธฐํ•  ๊ฐ€๋Šฅ์„ฑ์ด ์žˆ์—ˆ์œผ๋ฉฐ, ์ด๋Š” ํ˜•์ƒ๊ธฐ์–ตํŠน์„ฑ์˜ ๊ฐ์†Œ๋กœ ์ด์–ด์งˆ ์ˆ˜ ์žˆ๋‹ค. ๋ณธ ์—ฐ๊ตฌ์—์„œ๋Š” ์ด์™€ ๊ฐ™์€ Mn์˜ ์ฆ๋ฐœ์„ ๊ฐ์•ˆํ•˜์—ฌ ํ˜•์ƒ๊ธฐ์–ตํ•ฉ๊ธˆ ๋ชจ์žฌ์˜ Mn ๋ถ„์œจ๋ณด๋‹ค ๋†’์€ Mn ๋ถ„์œจ์ธ 24% Mn์„ ํ•จ์œ ํ•˜๊ณ  ์žˆ๋Š” ๊ณ ๋ง๊ฐ„๊ฐ• ๋ถ„๋ง์šฉ๊ฐ€์žฌ๋ฅผ ์‚ฌ์šฉํ•˜์—ฌ ์šฉ์ ‘์„ ์ง„ํ–‰ํ•˜์—ฌ Mn ์ฆ๋ฐœ์— ์˜ํ•œ ํ˜•์ƒ ๊ธฐ์–ตํŠน์„ฑ ๋ณ€ํ™”๋ฅผ ๋ฐฉ์ง€ํ•  ์ˆ˜ ์žˆ์—ˆ๋‹ค. ์šฉ์ ‘๋ถ€๋ฅผ ํฌํ•จํ•œ ์ธ์žฅ ์‹œํŽธ์„ ์‚ฌ์šฉํ•ด ์ง„ํ–‰ํ•œ ์ธ์žฅ์‹œํ—˜๊ณผ ๊ฒฝ๋„์‹œํ—˜์„ ํ†ตํ•ด ๋ ˆ์ด์ € ์ถœ๋ ฅ์— ๋”ฐ๋ฅธ ์šฉ์ ‘๋ถ€์˜ ๊ธฐ๊ณ„์  ๊ฑฐ๋™์„ ํ™•์ธํ–ˆ๋‹ค. ๋˜ํ•œ energy dispersive spectroscopy (EDS) ๋ฐ electron backscatter diffraction (EBSD) ๋“ฑ์„ ์‚ฌ์šฉํ•ด ์šฉ์ ‘๋ถ€, ์—ด์˜ํ–ฅ๋ถ€ ๋ฐ ๋ชจ์žฌ์˜ ๋ฏธ์„ธ์กฐ์ง ๋ฐ ์กฐ์„ฑ ๋ณ€ํ™”๋ฅผ ๊ด€์ฐฐํ•˜์˜€์œผ๋ฉฐ, ๋ ˆ์ด์ € ์ถœ๋ ฅ ๋ณ€ํ™”์— ๋”ฐ๋ฅธ ๋ฏธ์„ธ์กฐ์ง ์„ฑ์žฅ ๋ฐ ์šฉ์œตํ’€ ํ˜•์ƒ ๋“ฑ์„ ๊ด€์ธกํ–ˆ๋‹ค.

2. ์‹คํ—˜ ๋ฐฉ๋ฒ•

2.1 ์‚ฌ์šฉ ์žฌ๋ฃŒ

L-DED๋ฅผ ์‚ฌ์šฉํ•œ ์šฉ์ ‘ ๊ณต์ •์€ MX-Lab (InssTek Inc, Daejeon, korea)์„ ์ด์šฉํ•˜์—ฌ ์ง„ํ–‰ํ–ˆ๋‹ค. 3 mm๋กœ ์—ด๊ฐ„ ์••์—ฐ ๋œ ํ˜•์ƒ๊ธฐ์–ตํ•ฉ๊ธˆ ํŒ์žฌ๋ฅผ ์••์—ฐ ๋ฐฉํ–ฅ์œผ๋กœ 75mm ร— 50 mm๋กœ ๊ฐ€๊ณตํ•œ ๋’ค 50 mm ๋ณ€์— 2 mm ร— 45ยฐ ํฌ๊ธฐ์˜ ๊ทธ๋ฃจ๋ธŒ (groove)๋ฅผ ๊ฐ€๊ณตํ–ˆ๋‹ค. ์šฉ์ ‘ ๊ณต์ •์— ์‚ฌ์šฉ๋œ ๋ถ„๋ง ์šฉ๊ฐ€์žฌ๋Š” ๊ฐ€์Šค ๋ถ„๋ฌด๋ฒ• (gas atomized)์œผ๋กœ ์ œ์กฐ๋œ ์ž…๋„ 80-120 ฮผm ์ธ ๊ตฌํ˜•์˜ ๊ณ ๋ง๊ฐ„๊ฐ• ๋ถ„๋ง์ด๋ฉฐ, ํ‘œ 1์— ๋ชจ์žฌ์™€ ์šฉ๊ฐ€์žฌ์˜ ์กฐ์„ฑ์„ ํ‘œ๊ธฐํ–ˆ๋‹ค. ๊ทธ๋ฆผ 1 (a)์— ์šฉ์ ‘ ๊ณต์ •์˜ ์ง„ํ–‰ ๋ฐฉ์‹์„ ๋‚˜ํƒ€๋ƒˆ์œผ๋ฉฐ, ๊ทธ๋ฆผ 1 (b)์™€ ๊ฐ™์€ ํ˜•์ƒ์˜ ์ง€๊ทธ์— ๋ชจ์žฌ๋ฅผ ๊ณ ์ •ํ•˜์—ฌ ์šฉ์ ‘์„ ์ง„ํ–‰ํ–ˆ๋‹ค. ์Šค์บ” ์†๋„ (scanning speed), ํ•ด์น˜ ๊ฐ„๊ฒฉ (hatch spacing), ๋ ˆ์ด์–ด ๋‘๊ป˜ (layer thickness)๋Š” ๊ฐ๊ฐ 840 mm/min, 0.3 mm, 0.15 mm๋กœ ๊ณ ์ •ํ–ˆ๋‹ค. ๋ ˆ์ด์ € ์ถœ๋ ฅ์€ 150 W, 200 W, 250 W, 300 W๋กœ ๋ณ€ํ™”์‹œ์ผœ๊ฐ€๋ฉฐ ์‹คํ—˜์„ ์ง„ํ–‰ํ•˜์˜€์œผ๋ฉฐ, ์šฉ์ ‘ ๊ณต์ • ์กฐ๊ฑด์€ ํ‘œ 2์— ํ‘œ๊ธฐํ–ˆ๋‹ค.

๋‹จ๋ฉด์„ ๊ด€์ธกํ•˜๊ธฐ ์œ„ํ•œ ์‹œํŽธ์€ ์—ฐ๋งˆ ํ›„, 3% nital ์šฉ์•ก์œผ๋กœ ์—์นญํ•œ ๋’ค ๊ด‘ํ•™ํ˜„๋ฏธ๊ฒฝ (optical microscopy, Eclipse E200, Japan)์„ ์‚ฌ์šฉํ•˜์—ฌ ์šฉ์ ‘ ์‹œํŽธ์˜ ์šฉ์œตํ’€ ๊นŠ์ด์™€ ํ˜•์ƒ ๋ฐ ๊ฒฐ์  ๋“ฑ์„ ๋ถ„์„ํ–ˆ๋‹ค. ๋ฏธ์„ธ์กฐ์ง๊ณผ energy dispersive spectroscopy (EDS, X-MaxN, Oxford Instrument, UK)๋ฅผ ํ†ตํ•œ ์กฐ์„ฑ ๋ถ„์„์€ scanning electron microscopy (SEM, JSM7200F, JEOL, Japan)์„ ์ด์šฉํ•˜์—ฌ ์‹ค์‹œํ–ˆ๋‹ค. Inverse pole figure (IPF), pole figure (PF) ๋ฐ phase map ๋“ฑ์€ electron backscatter diffraction (EBSD, Oxford Nordlysnano, UK)๋ฅผ ํฌํ•จํ•˜๋Š” SEM ์žฅ๋น„๋ฅผ ์‚ฌ์šฉํ•˜์—ฌ ๊ด€์ธกํ–ˆ๋‹ค. EBSD ๋ฐ์ดํ„ฐ๋ฅผ ๊ฐ€๊ณตํ•˜๊ธฐ ์œ„ํ•ด CHANNEL 5 ์†Œํ”„ํŠธ์›จ์–ด๊ฐ€ ์‚ฌ์šฉ๋˜์—ˆ๋‹ค. Kernel average misorientation (KAM)์€ local misorientation 0-5ยฐ์˜ ๋ฒ”์œ„์—์„œ ์ธก์ •๋˜์—ˆ๋‹ค.

๋ฏธ์„ธ๊ฒฝ๋„๋Š” ๋น„์ปค์Šค ๊ฒฝ๋„๊ณ„ (Vickers microhardness, HM-200, Mitutoyo, Japan)์„ ์‚ฌ์šฉํ•ด 0.05 kgf์˜ ํ•˜์ค‘์œผ๋กœ ์ธก์ •ํ•˜์˜€๋‹ค. ์—ฌ๋Ÿฌ ๊ฐœ์˜ ์ƒ˜ํ”Œ์„ ์ค€๋น„ํ•˜์—ฌ ๊ทธ๋ฆผ 2 (a)์˜ P1, P2, P3, P4 ์ง€์ ์„ ๊ฐ๊ฐ 5๋ฒˆ์”ฉ ์ธก์ •ํ•œ ๊ฒฐ๊ณผ๊ฐ’์˜ ํ‰๊ท ์„ ๊ฒฝ๋„ ๊ฐ’์œผ๋กœ ํƒํ–ˆ๋‹ค. P1 ์ง€์ ์€ ๋ชจ์žฌ, P2์™€ P3 ์ง€์ ์€ ์—ด ์˜ํ–ฅ๋ถ€ (heat affected zone), P4 ์ง€์ ์€ ์šฉ์ ‘๋ถ€๋‹ค.

์ธ์žฅ์‹œํŽธ์€ ASTM E8 sub-size ๊ทœ๊ฒฉ์œผ๋กœ ๊ฐ€๊ณตํ•˜์—ฌ ํ…Œ์ŠคํŠธํ–ˆ์œผ๋ฉฐ, ์šฉ์ ‘๋ถ€๋ฅผ ์ค‘์•™์— ํฌํ•จํ•˜๋Š” ํ˜•์ƒ์œผ๋กœ ์Šค์บ” ๋ฐฉํ–ฅ์— ์ˆ˜์งํ•˜๋Š” ๋ฐฉํ–ฅ์œผ๋กœ ์ œ์ž‘ํ–ˆ๋‹ค. 50 kN ์šฉ๋Ÿ‰์˜ ์ธ์žฅ์‹œํ—˜๊ธฐ (Quasar 50, Galdabini, Italy)๋ฅผ ์ด์šฉํ•˜์—ฌ 1.92 mm/min์˜ ์†๋„๋กœ ์ธ์žฅ์‹œํ—˜์„ ์ง„ํ–‰ํ•˜์˜€๋‹ค.

ํ˜•์ƒํšŒ๋ณต์‘๋ ฅ์„ ์ธก์ •ํ•˜๊ธฐ ์œ„ํ•œ ์‹œํŽธ์€ ASTM E8 subsize ๊ทœ๊ฒฉ์œผ๋กœ ๊ฐ€๊ณต๋˜์—ˆ์œผ๋ฉฐ, ์ธ์žฅ์‹œํ—˜๊ธฐ (Instron 8516, Instron corporation, United States)๋ฅผ ์ด์šฉํ•ด ์ธก์ •ํ–ˆ๋‹ค. ํ˜•์ƒํšŒ๋ณต์‘๋ ฅ์€ 2%์˜ pre-strain์„ ๊ฐ€ํ•œ ์‹œํŽธ์„ ์ „๊ธฐ ๊ฐ€์—ด๋กœ์—์„œ 200ยฐC๊นŒ์ง€ ๊ฐ€์—ดํ•œ ๋’ค, 50 MPa์˜ ์‘๋ ฅ์„ ๊ฐ€ํ•œ ์ฑ„ ์ƒ์˜จ (25ยฐC)๊นŒ์ง€ ๋ƒ‰๊ฐํ•˜๋Š” ๊ณผ์ •์—์„œ ์ธ์žฅ์‹œํ—˜๊ธฐ์— ์ธก์ •๋˜๋Š” ์‘๋ ฅ์˜ ๋ณ€ํ™”๋ฅผ ํ†ตํ•ด ๊ด€์ธกํ–ˆ๋‹ค.

3. ๊ฒฐ๊ณผ ๋ฐ ๊ณ ์ฐฐ

3.1 ๊ฒฐ๊ณผ ๋ฐ ๊ณ ์ฐฐ

๊ทธ๋ฆผ 3์€ L-DED ๊ณต์ •์„ ์ด์šฉํ•˜์—ฌ ์ œ์ž‘๋œ ์šฉ์ ‘ ์‹œํŽธ๋‹จ๋ฉด์˜ ๊ด‘ํ•™ํ˜„๋ฏธ๊ฒฝ ์ด๋ฏธ์ง€๋‹ค. ๋ชจ๋“  ์‹œํŽธ์—์„œ ๊ทธ๋ฃจ๋ธŒ์˜ ๊ฐ€์žฅ ํ•˜๋‹จ๋ถ€๊ฐ€ ์™„์ „ํžˆ ์ ‘ํ•ฉ๋œ ๊ฒƒ์„ ํ™•์ธํ•  ์ˆ˜ ์žˆ์œผ๋ฉฐ, ๋”ฐ๋ผ์„œ ์‚ฌ์šฉ๋œ ๋ชจ๋“  ๋ ˆ์ด์ €์ถœ๋ ฅ์ด ์‹œํŽธ์ด ๋งž๋‹ฟ๋Š” ๋ถ€๋ถ„์„ ์šฉ์œต์‹œํ‚ค๊ธฐ์— ์ถฉ๋ถ„ํ•œ ๊ฒƒ์„ ์•Œ ์ˆ˜ ์žˆ๋‹ค. ํ•˜์ง€๋งŒ ๋ ˆ์ด์ € ์ถœ๋ ฅ์ด ๋ณ€ํ•จ์— ๋”ฐ๋ผ์„œ ๋ถ„๋ง ์šฉ๊ฐ€์žฌ๋ฅผ ์‚ฌ์šฉํ•˜์—ฌ ์ ์ธต์„ ํ†ตํ•ด ์šฉ์ ‘ํ•œ ๋ถ€๋ถ„์˜ ๊ฒฐํ•จ ๋ฐœ์ƒ์–‘์ƒ์ด ๋‹ฌ๋ผ์กŒ๋‹ค. ๊ทธ๋ฆผ 3 (a)์—์„œ ๋ณผ ์ˆ˜ ์žˆ๋“ฏ์ด ๋ ˆ์ด์ € ์ถœ๋ ฅ์ด 150 W ์ผ ๋•Œ๋Š” ์šฉ์œตํ’€ ๋‚ด๋ถ€์— ์œตํ•ฉ ๋ถ€์กฑ (lack of fusion) ๋˜๋Š” ๊ฐ€์Šค ๊ธฐ๊ณต (gas pore)์œผ๋กœ ์˜ˆ์ƒ๋˜๋Š” ๊ธฐ๊ณต๋“ค์ด ๊ด€์ฐฐ๋˜์—ˆ์œผ๋‚˜ ๋ชจ์žฌ์™€์˜ ์ ‘ํ•ฉ ๊ณ„๋ฉด์—์„œ๋Š” ๋‘๋“œ๋Ÿฌ์ง„ ๊ฒฐํ•จ์ด ๋ฐœ์ƒํ•˜์ง€ ์•Š์•˜๋‹ค. ๋ฐ˜๋ฉด ๋ ˆ์ด์ €์ถœ๋ ฅ์ด ์ฆ๊ฐ€ํ•จ์— ๋”ฐ๋ผ์„œ ์šฉ์œตํ’€์— ํ˜•์„ฑ๋œ ๊ธฐ๊ณต์€ ๊ฑฐ์˜ ์‚ฌ๋ผ์กŒ์ง€๋งŒ ์ ์ธต๋ถ€์™€ ๋ชจ์žฌ์˜ ๊ณ„๋ฉด์—์„œ ๊ท ์—ด์ด ์ ์  ์ฆ๊ฐ€ํ•˜๋Š” ๊ฒƒ์„ ๋ณผ ์ˆ˜ ์žˆ๋‹ค.

๊ธฐ๊ณต์˜ ํ˜•์„ฑ ์–‘์ƒ์„ ๋ณด๋ฉด ๋ ˆ์ด์ € ์ถœ๋ ฅ์ด ์ฆ๊ฐ€ํ•จ์— ๋”ฐ๋ผ์„œ ๊ธฐ๊ณต์ด ์ค„์–ด๋“œ๋Š” ๊ฒฝํ–ฅ์„ ๋ณด์ด๊ธฐ ๋•Œ๋ฌธ์— 150 W์˜ ์ถœ๋ ฅ์—์„œ ์šฉ์ ‘๋œ ์‹œํŽธ์— ํ˜•์„ฑ๋œ ๊ธฐ๊ณต์€ ๊ฐ€์Šค ๊ธฐ๊ณต๋ณด๋‹ค๋Š” ์œตํ•ฉ ๋ถ€์กฑ์ผ ๊ฒƒ์œผ๋กœ ์‚ฌ๋ฃŒ๋œ๋‹ค[22]. ๋ชจ์žฌ์™€ ์ ์ธต๋ถ€์˜ ๊ณ„๋ฉด์— ํ˜•์„ฑ๋œ ๊ท ์—ด์˜ ๊ฒฝ์šฐ ๋ ˆ์ด์ € ์ถœ๋ ฅ์ด ์ฆ๊ฐ€ํ• ์ˆ˜๋ก ๋” ๋งŽ์€ ๊ท ์—ด์ด ์ƒ๊ธฐ๋Š” ๊ฒƒ์„ ํ™•์ธํ•  ์ˆ˜ ์žˆ๋‹ค. ํŠนํžˆ ๊ทธ๋ฆผ 3 (d)์—์„œ ๋‚˜ํƒ€๋‚œ ๊ฒƒ๊ณผ ๊ฐ™์ด 300 ฮผm ์ด์ƒ์˜ ํฐ ๊ณต๋™ (void)๋“ค์ด ํ˜•์„ฑ๋œ ๊ฒƒ์„ ๋ณผ ์ˆ˜๊ฐ€ ์žˆ๋Š”๋ฐ ์ด๋Ÿฌํ•œ ๊ณต๋™์€ ์ด๋ฏธ ํ˜•์„ฑ๋œ ๊ท ์—ด ์œ„์— ๋ ˆ์ด์ €๊ฐ€ ์กฐ์‚ฌ๋˜๋ฉฐ ์šฉ์œต๋ถ€๊ฐ€ ์‘๊ณ  ํ›„ ๋ƒ‰๊ฐ์‹œ์— ์ˆ˜์ถ•ํ•˜๋Š” ํ˜„์ƒ์— ์˜ํ•ด ๊ท ์—ด์ด ์ ์  ์„ฑ์žฅํ•˜์—ฌ ๊ณต๋™์„ ํ˜•์„ฑํ•œ ๊ฒƒ์œผ๋กœ ์‚ฌ๋ฃŒ๋œ๋‹ค. ์ด๋Ÿฌํ•œ ๋ ˆ์ด์ € ์ถœ๋ ฅ ์ฆ๊ฐ€์— ๋”ฐ๋ผ ๊ท ์—ด์ด ์ฆ๊ฐ€ํ•˜๋Š” ์–‘์ƒ์„ ์„ค๋ช…ํ•˜๊ธฐ ์œ„ํ•ด์„œ ์ตœ์ƒ๋‹จ ์ธต์˜ ์šฉ์œตํ’€ ๊นŠ์ด๋ฅผ ์ธก์ •ํ•œ ๊ฒฐ๊ณผ 150W, 200W, 250W, ๋ฐ 300W์—์„œ ๊ฐ๊ฐ 171.4 ~ 209.5 ฮผm, 252.4 ~ 295.2 ฮผm, 309.5 ~ 352.3 ฮผm, ๋ฐ 371.4 ~ 407.1 ฮผm์˜ ๋ฒ”์œ„๋ฅผ ๋‚˜ํƒ€๋ƒˆ๋‹ค. ๋ ˆ์ด์ € ์ถœ๋ ฅ์ด ์ฆ๊ฐ€ํ•จ์— ๋”ฐ๋ผ ์ฆ๊ฐ€ํ•œ ๋‹จ์ผ ์šฉ์œตํ’€์˜ ๊นŠ์ด๋Š” ๋ชจ์žฌ์™€์˜ ๊ณ„๋ฉด์—์„œ ๋” ํฐ ๋ถ€ํ”ผ์˜ ๋ชจ์žฌ์˜ ์šฉ์œต์„ ์œ ๋„ํ•  ์ˆ˜ ์žˆ๊ณ , ๋”ฐ๋ผ์„œ ๋ ˆ์ด์ € ์ถœ๋ ฅ์ด ์ฆ๊ฐ€ํ• ์ˆ˜๋ก ๋” ํฐ ์‘๊ณ ์ˆ˜์ถ•์„ ์œ ๋ฐœํ•˜์—ฌ ๊ท ์—ด์ด ์ฆ๊ฐ€ํ•˜๋Š” ๊ฒƒ์œผ๋กœ ์‚ฌ๋ฃŒ๋œ๋‹ค.

๊ทธ๋ฆผ 4๋Š” L-DED ๊ณต์ •์„ ์ด์šฉํ•˜์—ฌ ์šฉ์ ‘๋œ ์‹œํŽธ ๋‹จ๋ฉด์„ ์—ฐ๋งˆํ•œ ํ›„ color etchingํ•œ ํ›„ ๊ด€์ฐฐํ•œ ๊ด‘ํ•™ํ˜„๋ฏธ๊ฒฝ ์ด๋ฏธ์ง€๋‹ค. ๊ทธ๋ฆผ 4 (b~d)์—์„œ ๋ณผ ์ˆ˜ ์žˆ๋“ฏ์ด 200W ์ด์ƒ์˜ ๋ ˆ์ด์ € ์ถœ๋ ฅ์ด ์‚ฌ์šฉ๋œ ์‹œํŽธ๋“ค์˜ ๊ฒฝ์šฐ ๋Œ€์ฒด๋กœ ๊ฒฐ์ •๋ฆฝ์˜ ์„ฑ์žฅ์ด ๋‹จ์ผ ์šฉ์œตํ’€์˜ ๋‚ด๋ถ€์—์„œ ๋๋‚˜๋Š” ๊ฒƒ์— ๋ฐ˜ํ•ด, 150 W์˜ ๋ ˆ์ด์ € ์ถœ๋ ฅ์ด ์‚ฌ์šฉ๋œ ๊ฒฝ์šฐ (๊ทธ๋ฆผ 4 (a)) ๊ฒฐ์ •๋ฆฝ์ด ์ˆ˜ ๊ฐœ์˜ ์šฉ์œตํ’€์— ๊ฑธ์ณ์„œ ํ˜•์„ฑ๋จ์œผ๋กœ์จ ๋งค์šฐ ์กฐ๋Œ€ํ•œ ์ฃผ์ƒ์ •์˜ ๊ฒฐ์ •๋ฆฝ์ด ๊ด€์ฐฐ๋˜์—ˆ๋‹ค. ์•ž์„œ ๊ธฐ์ˆ ํ•œ ๋ฐ”์™€ ๊ฐ™์ด ๋ ˆ์ด์ € ์ถœ๋ ฅ์ด ์ž‘์„์ˆ˜๋ก ์–•์€ ์šฉ์œตํ’€์˜ ๊นŠ์ด๋ฅผ ๊ฐ€์ง€๋Š”๋ฐ Sun et al. [23]์˜ ์—ฐ๊ตฌ์— ๋”ฐ๋ฅด๋ฉด ๋ ˆ์ด์ € ์ถœ๋ ฅ์ด ์ƒ๋Œ€์ ์œผ๋กœ ๋†’์„ ๋•Œ๋Š” ์ ์ธต๋ฐฉํ–ฅ์œผ๋กœ <011> ๊ฒฐ์ • ๋ฐฉ์œ„๋ฅผ ๊ฐ€์ง€๊ธฐ ์‰ฌ์šด ์ข๊ณ  ๊นŠ์€ ์šฉ์œตํ’€์ด ์ƒ์„ฑ๋˜๋ฉฐ, ๋ ˆ์ด์ € ์ถœ๋ ฅ์ด ์ƒ๋Œ€์ ์œผ๋กœ ๋‚ฎ์„ ๋•Œ๋Š” ์ ์ธต๋ฐฉํ–ฅ์œผ๋กœ <001> ๊ฒฐ์ • ๋ฐฉ์œ„๋ฅผ ๊ฐ–๋Š” ์–•๊ณ  ๋„“์€ ์šฉ์œตํ’€์ด ๋ฐœ์ƒํ•˜๊ธฐ ์‰ฝ๋‹ค๊ณ  ๋ณด๊ณ ๋œ ๋ฐ” ์žˆ๋‹ค. ๋˜ํ•œ Shao et al. [24]์€ ๋‹ค๊ฒฐ์ • ๋ชจ์žฌ์— ์ ์ธต ํ•  ๊ฒฝ์šฐ, ๋ ˆ์ด์ € ์ถœ๋ ฅ์ด ์ƒ๋Œ€์ ์œผ๋กœ ๋‚ฎ์„ ๋•Œ ์‘๊ณ ๋ฐฉํ–ฅ์˜ ๋ฐฐ์—ด์— ๋”ฐ๋ผ ์ ์ธต ๋ฐฉํ–ฅ์œผ๋กœ ์ฃผ์ƒ์ •์˜ ๊ฒฐ์ •๋ฆฝ์ด ์‰ฝ๊ฒŒ ํ˜•์„ฑ๋œ๋‹ค๊ณ  ๋ณด๊ณ ํ•˜์˜€๋‹ค. ์ด๋ฅผ ๊ณ ๋ คํ•  ๋•Œ, ๊ฐ€์žฅ ๋‚ฎ์€ ๋ ˆ์ด์ €์ถœ๋ ฅ์ธ 150 W๊ฐ€ ์‚ฌ์šฉ๋œ ์šฉ์ ‘๋ถ€์˜ ๋‹จ๋ฉด์กฐ์ง์„ ๋‚˜ํƒ€๋‚ธ ๊ทธ๋ฆผ 4 (a)์—์„œ์˜ ์กฐ๋Œ€ํ•œ ์ฃผ์ƒ์ • ์กฐ์ง์€ ๋‚ฎ์€ ๋ ˆ์ด์ € ์ถœ๋ ฅ์— ์˜ํ•ด ํ˜•์„ฑ๋œ ์–•๊ณ  ๋„“์€ ์šฉ์œตํ’€ ํ˜•์„ฑ์— ์˜ํ•œ ๊ฒƒ์œผ๋กœ ์‚ฌ๋ฃŒ๋œ๋‹ค. ๋ ˆ์ด์ € ์ถœ๋ ฅ์ด 200W ์ด์ƒ์ผ ๊ฒฝ์šฐ์—๋Š” ๋“ฑ์ถ•์ •์— ๊ฐ€๊นŒ์šด ๋ณต์žกํ•œ ํ˜•ํƒœ์˜ ๊ฒฐ์ •๋ฆฝ์ด ๊ด€์ฐฐ๋˜๋Š”๋ฐ, ์ด๋Š” ๋ ˆ์ด์ € ์ถœ๋ ฅ์˜ ํ–ฅ์ƒ์œผ๋กœ ์šฉ์œตํ’€์˜ ํ˜•ํƒœ๊ฐ€ ์ข๊ณ  ๊นŠ์–ด์ง€๋ฉฐ ๋‹ค์–‘ํ•œ ๋ฐฉํ–ฅ์œผ๋กœ ์‘๊ณ ๊ฐ€ ๋ฐœ์ƒ๋˜์—ˆ๊ธฐ ๋•Œ๋ฌธ์œผ๋กœ ์ƒ๊ฐ๋œ๋‹ค.

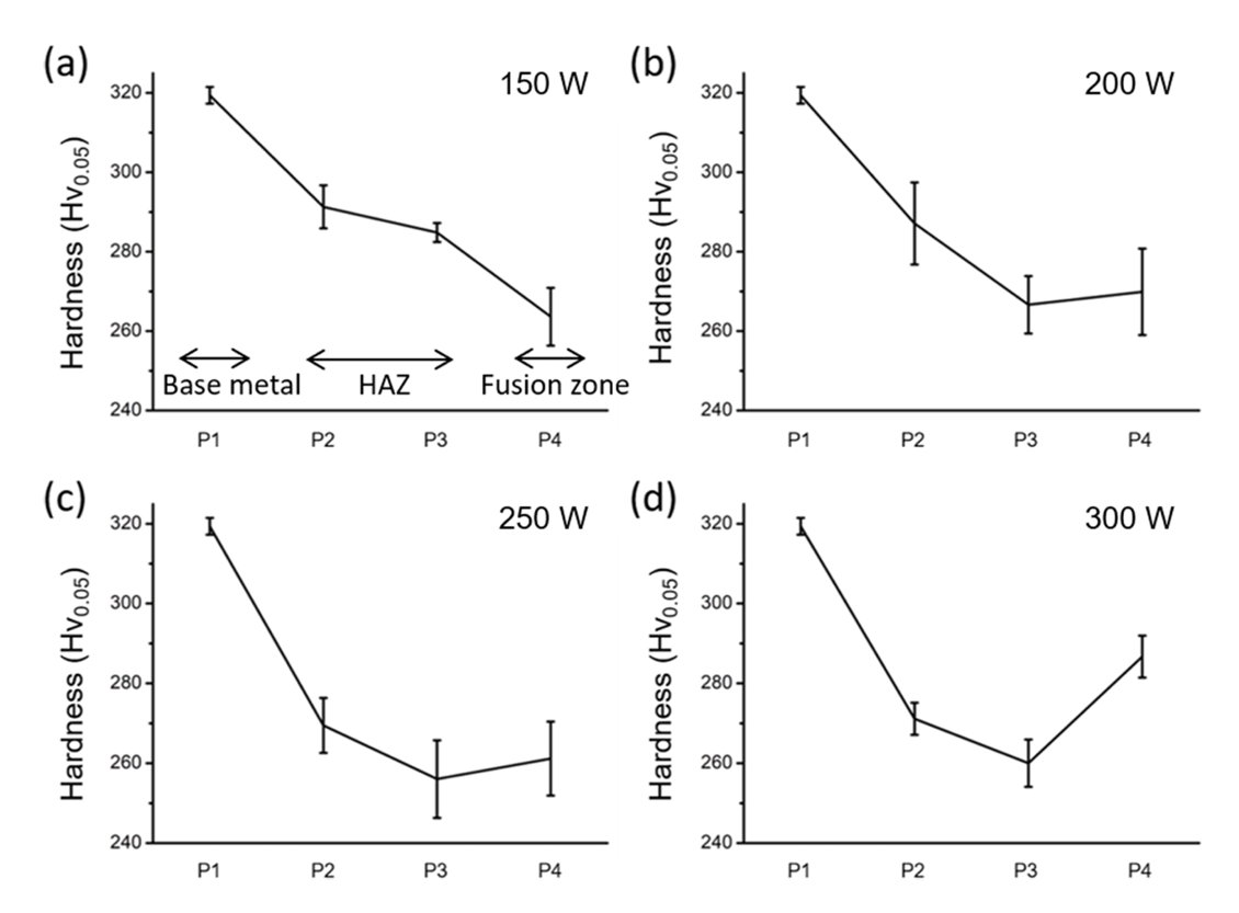
๊ทธ๋ฆผ 5๋Š” ๊ทธ๋ฆผ 2์—์„œ ํ‘œ์‹œ๋œ P1 โ€“ P4 ์ง€์ ์—์„œ์˜ ๋ฏธ์„ธ๊ฒฝ๋„๋ฅผ ๋‚˜ํƒ€๋‚ด๋ฉฐ ์ธก์ •๊ฐ’์„ ํ‘œ 3์—๋„ ๋‚˜ํƒ€๋ƒˆ๋‹ค. ๋ ˆ์ด์ € ์ถœ๋ ฅ๊ณผ ๋ฌด๊ด€ํ•˜๊ฒŒ ๋ชจ๋“  ์‹œํŽธ์˜ ์—ด์˜ํ–ฅ๋ถ€์—์„œ ๊ฒฝ๋„๊ฐ€ ํฌ๊ฒŒ ๊ฐ์†Œํ•œ ๊ฒƒ์„ ์•Œ ์ˆ˜ ์žˆ์œผ๋ฉฐ, ์ด๋Š” L-DED ๊ณต์ •์„ ์ด์šฉํ•˜์—ฌ ์šฉ์ ‘์„ ์ง„ํ–‰ํ•˜๋Š” ๋™์•ˆ ๋ชจ์žฌ์™€ ์šฉ์ ‘๋ถ€์˜ ๊ณ„๋ฉด์— ๋ฐœ์ƒํ•œ ์—ด๋กœ ์ธํ•œ ํ’€๋ฆผ ๋ฐ ๊ฒฐ์ •๋ฆฝ ์„ฑ์žฅ ํšจ๊ณผ ๋•Œ๋ฌธ์ธ ๊ฒƒ์œผ๋กœ ์‚ฌ๋ฃŒ๋œ๋‹ค. ๊ทธ๋ฆผ 5 (b~d)๋Š” ์—ด์˜ํ–ฅ๋ถ€์—์„œ ๊ฒฝ๋„๊ฐ€ ๊ฐ์†Œํ•˜๋‹ค๊ฐ€ ์šฉ์ ‘๋ถ€์—์„œ ๋‹ค์‹œ ์ฆ๊ฐ€ํ•˜๋Š” ์–‘์ƒ์„ ๋ณด์ด๋Š”๋ฐ ๊ทธ๋ฆผ 5 (a)์—์„œ๋Š” ๊ฒฝ๋„๊ฐ€ ๋ชจ์žฌ์—์„œ ์šฉ์ ‘๋ถ€๊นŒ์ง€ ์ ์ง„์ ์œผ๋กœ ๊ฐ์†Œํ•œ๋‹ค. ํ‘œ 3์— ๋‚˜ํƒ€๋‚œ ๊ฐ ์‹œํŽธ์˜ ์—ด์˜ํ–ฅ๋ถ€ ๊ฒฝ๋„ ๊ฐ’์„ ์‚ดํŽด๋ณด๋ฉด 150 W, 200 W, 250 W, 300 W์˜ ์กฐ๊ฑด์—์„œ ์ œ์ž‘๋œ ์‹œํŽธ๋“ค์€ ๊ฐ๊ฐ 284.9 Hv, 266.6 Hv, 256.0 Hv, 260.0 Hv ๋กœ 150W์˜ ์ถœ๋ ฅ์—์„œ ์ œ์ž‘๋œ ์‹œํŽธ์˜ ๊ฒฝ๋„๊ฐ์†Œ๊ฐ€ ๊ฐ€์žฅ ์ ์€ ๊ฒƒ์€ ํ™•์ธํ•  ์ˆ˜ ์žˆ๋‹ค. ๋˜ํ•œ ์šฉ์ ‘๋ถ€์˜ ๊ฒฝ๋„๋Š” 300 W๋ฅผ ์ œ์™ธํ•˜๋ฉด ๋Œ€์ฒด๋กœ ๋น„์Šทํ•˜๊ธฐ ๋•Œ๋ฌธ์— ๊ทธ๋ฆผ 5 (a)์—์„œ ๊ฒฝ๋„๊ฐ€ ์ ์ง„์ ์œผ๋กœ ๊ฐ์†Œํ•˜๋Š” ์–‘์ƒ์„ ๋‚˜ํƒ€๋‚ธ ๊ฒƒ์œผ๋กœ ์‚ฌ๋ฃŒ๋œ๋‹ค. 150 W์—์„œ ์ œ์ž‘๋œ ์‹œํŽธ์˜ ๋†’์€ ์—ด์˜ํ–ฅ๋ถ€ ๊ฒฝ๋„๋Š” ๋‚ฎ์€ ๋ ˆ์ด์ € ์ถœ๋ ฅ ์‚ฌ์šฉ ์— ๋”ฐ๋ฅธ ์ž…์—ด๋Ÿ‰์˜ ๊ฐ์†Œ๋กœ ์ธํ•ด ๋ชจ์žฌ์˜ ์—ด์˜ํ–ฅ ํšจ๊ณผ๊ฐ€ ๋” ๋†’์€ ๋ ˆ์ด์ € ์ถœ๋ ฅ์—์„œ ์ œ์ž‘๋œ ์‹œํŽธ์— ๋น„ํ•ด ์ ์—ˆ๊ธฐ ๋•Œ๋ฌธ์ธ ๊ฒƒ์œผ๋กœ ์‚ฌ๋ฃŒ๋œ๋‹ค. ํ•œํŽธ, 300 W์—์„œ ์ œ์ž‘๋œ ์‹œํŽธ์˜ ๊ฒฝ์šฐ ์šฉ์ ‘๋ถ€์˜ ๊ฒฝ๋„๊ฐ€ ๋‹ค๋ฅธ ์‹œํŽธ์— ๋น„ํ•ด ๋†’๊ฒŒ ๋‚˜ํƒ€๋‚ฌ๋Š”๋ฐ, ๋ณธ ์—ฐ๊ตฌ์˜ ๋ชฉ์ ์€ ์ ์ ˆํ•œ ์šฉ์ ‘๋ถ€ ๋ฐ ์šฉ์ ‘ ๊ณ„๋ฉด์„ ํ˜•์„ฑํ•  ์ˆ˜ ์žˆ๋Š” ์ ์ธต ์ œ์กฐ ์กฐ๊ฑด์„ ์ฐพ๊ณ  ๊ทธ ์‹œํŽธ์˜ ํŠน์„ฑ์„ ๋ถ„์„ํ•˜๋Š”๋ฐ ์žˆ๊ณ , ์šฉ์ ‘๋ถ€์™€ ๋ชจ์žฌ ์‚ฌ์ด์— ๋งŽ์€ ๊ท ์—ด์ด ๋ฐœ์ƒํ•œ ๊ณต์ •์กฐ๊ฑด์— ๋Œ€ํ•œ ์ƒ์„ธํ•œ ๋ฏธ์„ธ์กฐ์ง ํ‰๊ฐ€๋Š” ๋ณธ ์—ฐ๊ตฌ์˜ ๋ชฉ์ ์„ ๋ฒ—์–ด๋‚˜๊ธฐ ๋•Œ๋ฌธ์— ์ถ”๊ฐ€์ ์ธ ๋ถ„์„์€ ์ง„ํ–‰ํ•˜์ง€ ์•Š์•˜์œผ๋ฉฐ, ํ–ฅํ›„ ๋ณธ ์กฐ๊ฑด์œผ๋กœ ์ ์ธต ์ œ์กฐํ•œ ์ƒ˜ํ”Œ์„ ๋ณ„๋„๋กœ ์ œ์ž‘ํ•˜์—ฌ ๋ถ„์„ํ•  ๊ณ„ํš์ด๋‹ค.

๊ทธ๋ฆผ 6 (a)๋Š” L-DED ๊ณต์ •์„ ์ด์šฉํ•˜์—ฌ ์šฉ์ ‘๋œ ์‹œํŽธ์„ ์ธ์žฅ์‹œํ—˜ ํ–ˆ์„ ๋•Œ ์–ป์–ด์ง„ ์‘๋ ฅ-๋ณ€ํ˜•๋ฅ  ๊ณก์„ ์ด๋ฉฐ, ์ธ์žฅ๊ฐ•๋„, ํ•ญ๋ณต๊ฐ•๋„ ๋ฐ ์—ฐ์‹ ์œจ์„ ํ‘œ 4์— ๋‚˜ํƒ€๋ƒˆ๋‹ค. ํ•ญ๋ณต๊ฐ•๋„๋ฅผ ์‚ดํŽด๋ณด๋ฉด ๋ชจ๋“  ์‹œํŽธ์—์„œ ๋ชจ์žฌ๋ณด๋‹ค ๋†’์€ ํ•ญ๋ณต๊ฐ•๋„๋ฅผ ๋‚˜ํƒ€๋‚ด๋Š” ๊ฒƒ์„ ํ™•์ธํ•  ์ˆ˜ ์žˆ๋‹ค. ํ˜ผํ•ฉ๋ฒ•์น™์„ ๊ณ ๋ คํ–ˆ์„ ๋•Œ, ๊ตญ๋ถ€์ ์œผ๋กœ ์šฉ์œต์ด ์ง„ํ–‰๋˜๋Š” ๋ ˆ์ด์ € ๊ณต์ •์˜ ํŠน์„ฑ์ƒ ๋ชจ์žฌ์˜ ๋ฏธ์„ธ์กฐ์ง์€ ๋ณ€ํ•จ์ด ์—†๋‹ค๊ณ  ๊ฐ€์ •ํ•˜๋ฉด ์šฉ์ ‘๋œ ์‹œํŽธ์˜ ํ•ญ๋ณต๊ฐ•๋„ ์ฆ๊ฐ€๋Š” L-DED ๊ณต์ •์„ ์ด์šฉํ•˜์—ฌ ํ˜•์„ฑ๋œ ์šฉ์ ‘๋ถ€์˜ ๊ธฐ์—ฌ๊ฐ€ ์ ˆ๋Œ€์ ์ผ ๊ฒƒ์œผ๋กœ ์‚ฌ๋ฃŒ๋œ๋‹ค. ์ด๋Ÿฌํ•œ ์šฉ์ ‘๋ถ€์˜ ํ•ญ๋ณต๊ฐ•๋„ ์ฆ๊ฐ€์— ๋Œ€ํ•œ ๊ธฐ์—ฌ๋Š” ๊ทธ๋ฆผ 8์—์„œ ์šฉ์ ‘๋ถ€์˜ ๋ฏธ์„ธ์กฐ์ง๊ณผ ํ•จ๊ป˜ ๊ณ ์ฐฐํ•˜๊ณ ์ž ํ•œ๋‹ค.

ํ•œํŽธ, ์ธ์žฅ๊ฐ•๋„์™€ ์—ฐ์‹ ์œจ์˜ ๊ฒฝ์šฐ ๋ ˆ์ด์ € ์ถœ๋ ฅ์ด ์ฆ๊ฐ€ํ• ์ˆ˜๋ก ํ˜„์ €ํžˆ ๊ฐ์†Œํ•˜๋Š” ๊ฒƒ์„ ๋ณผ ์ˆ˜ ์žˆ์œผ๋ฉฐ ์ด๋Š” ๋ ˆ์ด์ € ์ถœ๋ ฅ ์ฆ๊ฐ€์— ๋”ฐ๋ฅธ ๊ณ„๋ฉด ๊ฒฐํ•จ ์ฆ๊ฐ€์™€ ๊ด€๋ จ ์žˆ๋Š” ๊ฒƒ์œผ๋กœ ์‚ฌ๋ฃŒ๋œ๋‹ค. ๊ทธ๋ฆผ 3์—์„œ ๋ณผ ์ˆ˜ ์žˆ๋“ฏ์ด ๋ ˆ์ด์ € ์ถœ๋ ฅ์ด ์ฆ๊ฐ€ํ• ์ˆ˜๋ก ๊ณ„๋ฉด์—์„œ์˜ ๊ท ์—ด์ด ์ฆ๊ฐ€ํ•˜์˜€๋‹ค. ์ด๋Ÿฌํ•œ ๊ณ„๋ฉด์—์„œ์˜ ๋ถˆ์•ˆ์ •์„ฑ์ด ์ธ์žฅ์‹œํ—˜์‹œ ์กฐ๊ธฐ ํŒŒ๋‹จ์œผ๋กœ ์ด์–ด์ง„ ๊ฒƒ์œผ๋กœ ์‚ฌ๋ฃŒ๋˜๋ฉฐ ๊ทธ๋ฆผ 6 (c)์—์„œ ์ธ์žฅ์‹œํ—˜ ํ›„ ๊ณ„๋ฉด์—์„œ ํŒŒ๋‹จ ๋œ ๊ฒƒ์„ ๋ณผ ์ˆ˜ ์žˆ๋‹ค. ์ธ์žฅ๊ฐ•๋„์˜ ๊ฐ์†Œ ์—ญ์‹œ ์กฐ๊ธฐ ํŒŒ๋‹จ์œผ๋กœ ์ธํ•ด ์ถฉ๋ถ„ํ•œ ๊ฐ€๊ณต๊ฒฝํ™”๊ฐ€ ์ด๋ฃจ์–ด์ง€์ง€ ๋ชปํ–ˆ๊ธฐ ๋•Œ๋ฌธ์ธ ๊ฒƒ์œผ๋กœ ์‚ฌ๋ฃŒ๋œ๋‹ค. ๊ทธ๋ฆผ 3์—์„œ ์–‘ํ˜ธํ•œ ๊ณ„๋ฉด์„ ํ˜•์„ฑํ•œ 150 W์—์„œ ์ œ์ž‘๋œ ์‹œํŽธ์˜ ๊ฒฝ์šฐ 23.2%์˜ ์—ฐ์‹ ์œจ์„ ๋‚˜ํƒ€๋‚ด๋ฉฐ ๋ชจ์žฌ๋ณด๋‹ค ์•ฝ๊ฐ„ ๋†’์€ 996.8 MPa์˜ ์ธ์žฅ๊ฐ•๋„๋ฅผ ๋‚˜ํƒ€๋‚ด์–ด ์šฉ์ ‘๋œ ์‹œํŽธ ์ค‘ ๊ฐ€์žฅ ์ข‹์€ ๊ฐ•๋„-์—ฐ์‹ ์œจ ์กฐํ•ฉ์„ ๋‚˜ํƒ€๋ƒˆ๋‹ค. ๋˜ํ•œ ๋†’์€ ๊ณ„๋ฉด ์•ˆ์ •์„ฑ ์ด์™ธ์—๋„ ๋†’์€ ๊ฐ•๋„์˜ ์šฉ์ ‘๋ถ€ ํ˜•์„ฑ์œผ๋กœ ์šฉ์ ‘๋ถ€๊ฐ€ ์•„๋‹Œ ๋ชจ์žฌ์—์„œ ํŒŒ๋‹จ์ด ์ผ์–ด๋‚˜ ๋งค์šฐ ๊ฑด์ „ํ•œ ์šฉ์ ‘๋ถ€๊ฐ€ ํ˜•์„ฑ๋œ ๊ฒƒ์„ ํ™•์ธํ•  ์ˆ˜ ์žˆ๋‹ค. ํ•˜์ง€๋งŒ ์—ฌ์ „ํžˆ 42.8%์˜ ์—ฐ์‹ ์œจ์„ ๋ณด์ธ ๋ชจ์žฌ๋ณด๋‹ค ํ›จ์”ฌ ๋‚ฎ์€ 23.2%์˜ ์—ฐ์‹ ์œจ์„ ๋‚˜ํƒ€๋ƒˆ๋Š”๋ฐ, ์ด๋Š” ์šฉ์ ‘๋ถ€์˜ ๋†’์€ ๊ฐ•๋„๋กœ ์ธํ•ด ๋ณ€ํ˜•์ด ๋ชจ์žฌ์— ์ง‘์ค‘๋˜์–ด ๋น„๊ต์  ์กฐ๊ธฐ์— ํŒŒ๋‹จ์ด ์ผ์–ด๋‚œ ๊ฒƒ์œผ๋กœ ์‚ฌ๋ฃŒ๋œ๋‹ค.

๊ด‘ํ•™ํ˜„๋ฏธ๊ฒฝ์„ ํ†ตํ•œ ์šฉ์ ‘๋ถ€ ๋ฐ ๊ณ„๋ฉด ๊ฑด์ „์„ฑ ํ‰๊ฐ€, ๋ฏธ์„ธ๊ฒฝ๋„ ์‹œํ—˜ ๋ฐ ์ธ์žฅ์‹œํ—˜ ๋“ฑ์„ ํ†ตํ•ด 150 W์˜ ๋ ˆ์ด์ € ์ถœ๋ ฅ์—์„œ ์ œ์ž‘๋œ ์‹œํŽธ์—์„œ ๊ท ์—ด์ด ์—†๋Š” ๊ฑด์ „ํ•œ ๊ณ„๋ฉด์ด ํ˜•์„ฑ๋˜์—ˆ์„ ๋ฟ๋งŒ ์•„๋‹ˆ๋ผ ์—ด์˜ํ–ฅ๋ถ€์˜ ๊ฒฝ๋„์ €ํ•˜๊ฐ€ ๊ฐ€์žฅ ๋‚ฎ์•˜๊ธฐ ๋•Œ๋ฌธ์—, ๋ณธ ์—ฐ๊ตฌ์—์„œ๋Š” 150 W ์กฐ๊ฑด์—์„œ ์ œ์ž‘๋œ ์‹œํŽธ์„ ์ด์šฉํ•˜์—ฌ ์ถ”๊ฐ€์ ์ธ ๋ฏธ์„ธ์กฐ์ง ๋ฐ ํ˜•์ƒ๊ธฐ์–ตํŠน์„ฑ์— ๋Œ€ํ•ด ์กฐ์‚ฌํ•˜์˜€๋‹ค. ์ถ”๊ฐ€์ ์œผ๋กœ 150 W์™€ 200 W ์‚ฌ์ด์˜ ๋ ˆ์ด์ € ์ถœ๋ ฅ์—์„œ ๊ธฐ๊ณต์ด ์—†๊ณ  ๊ท ์—ด ์—†์ด ๊ฑด์ „ํ•œ ๊ณ„๋ฉด์„ ๊ฐ€์ง„ ์‹œํŽธ์„ ์–ป์„ ์ˆ˜ ์žˆ์„ ๊ฒƒ์œผ๋กœ ํŒ๋‹จํ•ด 175 W๋ฅผ ๋ ˆ์ด์ € ์ถœ๋ ฅ์„ ์‚ฌ์šฉํ•ด ์‹คํ—˜์„ ์ง„ํ–‰ํ–ˆ์œผ๋‚˜, ์ธ์žฅ ์‹œํ—˜์„ ์ง„ํ–‰ํ•œ ๊ฒฐ๊ณผ 200 W ์‹œํŽธ๊ณผ ์œ ์‚ฌํ•˜๊ฒŒ ๊ณ„๋ฉด์—์„œ ํŒŒ๋‹จ์ด ๋ฐœ์ƒํ•ด ๋‚ฎ์€ ์ธ์žฅ ์‘๋ ฅ๊ณผ ์—ฐ์‹ ์œจ์„ ๋‚˜ํƒ€๋‚ด๋Š” ๊ฒƒ์„ ํ™•์ธํ–ˆ๋‹ค.

๊ทธ๋ฆผ 7์€ L-DED ๊ณต์ •์„ ์ด์šฉํ•˜์—ฌ ์šฉ์ ‘๋œ ์‹œํŽธ์˜ ๊ณ„๋ฉด์—์„œ์˜ EDS ๋ฐ EBSD ๊ด€์ฐฐ ๊ฒฐ๊ณผ๋‹ค. ๊ทธ๋ฆผ 7 (a)๋Š” ์šฉ์ ‘๋ถ€์—์„œ ๋ชจ์žฌ๊นŒ์ง€์˜ EDS line scan ๊ฒฐ๊ณผ๋ฅผ ๋‚˜ํƒ€๋‚ด๋Š”๋ฐ, ํ‘œ 2์—์„œ ๋‚˜ํƒ€๋‚ธ Cr, Mn, Si, V ๋“ฑ ๋ชจ์žฌ์™€ ์šฉ์ ‘๋ถ€์— ์‚ฌ์šฉ๋œ ์šฉ๊ฐ€์žฌ์˜ ์กฐ์„ฑ์ฐจ์ด๋ฅผ ํ™•์—ฐํžˆ ํ™•์ธํ•  ์ˆ˜ ์žˆ๋‹ค. ๊ทธ๋ฆผ 7 (b)์™€ (c)๋Š” ๊ณ„๋ฉด์—์„œ์˜ IPF coloring ์ด๋ฏธ์ง€์™€ phase map์„ ๋‚˜ํƒ€๋‚ธ๋‹ค. ๊ทธ๋ฆผ 7 (b)๋ฅผ ๋ณด๋ฉด ์šฉ์ ‘๋ถ€์˜ ๊ฒฐ์ •๋ฆฝ๋“ค์€ ๊ณ„๋ฉด์—์„œ ์ˆ˜์งํ•˜๊ฒŒ ํ˜•์„ฑ๋˜์–ด ์šฉ์ ‘๋ถ€์˜ ์ค‘์‹ฌ์œผ๋กœ ๊ฐˆ์ˆ˜๋ก ์ ์  ์ ์ธต ๋ฐฉํ–ฅ์œผ๋กœ ์ •๋ ฌ๋˜๋Š” ๊ฒƒ์„ ๋ณผ ์ˆ˜ ์žˆ์œผ๋ฉฐ, ์ด๋Š” ์šฉ์ ‘๋ถ€์˜ ์ค‘์‹ฌ์œผ๋กœ ๊ฐˆ์ˆ˜๋ก ๋ ˆ์ด์ €๊ฐ€ ์ง์ ‘ ์กฐ์‚ฌ๋˜๋Š” ์ ์ธต ๋ฐฉํ–ฅ์œผ๋กœ <001> ๊ฒฐ์ • ๋ฐฉ์œ„์˜ ๊ฒฐ์ •๋ฆฝ์ด ์„ฑ์žฅํ•˜๊ธฐ ๋•Œ๋ฌธ์ด๋‹ค[23,24]. ๊ทธ๋ฆผ 7 (c)๋Š” ๋ชจ์žฌ์™€ ์šฉ์ ‘๋ถ€ ๋ชจ๋‘ ๋ฉด์‹ฌ์ž…๋ฐฉ๊ตฌ์กฐ๋ฅผ ๊ฐ–๋Š” ฮณ์ƒ์ธ ๊ฒƒ์œผ๋กœ ํ™•์ธ๋˜์—ˆ์œผ๋ฉฐ ์ด๋Š” ๋ชจ์žฌ์™€ ์šฉ์ ‘๋ถ€์— ์‚ฌ์šฉ๋œ ์šฉ๊ฐ€์žฌ์˜ ์กฐ์„ฑ์„ ๊ฐ–๋Š” ์‹œํŽธ์˜ ๋ฏธ์„ธ์กฐ์ง์„ ๋ณด๊ณ ํ•œ ๋‹ค๋ฅธ ์—ฐ๊ตฌ์ž๋“ค์˜ ๊ฒฐ๊ณผ์™€ ๊ฐ™๋‹ค[10,25].

๊ทธ๋ฆผ 8์€ ์šฉ์ ‘๋ถ€ ์ค‘์•™์˜ EBSD ๊ด€์ฐฐ๊ฒฐ๊ณผ๋ฅผ ๋‚˜ํƒ€๋‚ธ๋‹ค. ๊ทธ๋ฆผ 8 (a~c)๋Š” IPF map์„ ๋‚˜ํƒ€๋‚ด๋Š”๋ฐ ์ ์ธต ๋ฐฉํ–ฅ์ธ BD๋ฅผ ๋”ฐ๋ผ ์—ฐ์‹  ๋œ ์ฃผ์ƒ์ •์˜ ๊ฒฐ์ •๋ฆฝ์ด ํ˜•์„ฑ๋œ ๊ฒƒ์„ ๋ณผ ์ˆ˜ ์žˆ๋‹ค. ๋˜ํ•œ ๋™์ผ ์ธต์„ ์ ์ธต ํ•  ๋•Œ ๋ ˆ์ด์ €๊ฐ€ ์ด๋™ํ•˜๋Š” ๋ฐฉํ–ฅ์ธ SD1 ๋ฐ SD2์—์„œ๋Š” ๋šœ๋ ทํ•œ ์ง‘ํ•ฉ์กฐ์ง์„ ๋‚˜ํƒ€๋‚ด์ง€ ์•Š์ง€๋งŒ ์ ์ธต ๋ฐฉํ–ฅ์ธ BD๋ฅผ ๋”ฐ๋ผ ๋šœ๋ ทํ•œ {100} ์ง‘ํ•ฉ์กฐ์ง์ด ํ˜•์„ฑ๋œ ๊ฒƒ์„ ํ™•์ธํ•  ์ˆ˜ ์žˆ๋‹ค. ๊ทธ๋ฆผ 8 (f)์˜ PF์™€ IPF ์—ญ์‹œ BD ๋ฐฉํ–ฅ์œผ๋กœ์˜ ๋šœ๋ ทํ•œ {100} ์ง‘ํ•ฉ์กฐ์ง์„ ๋‚˜ํƒ€๋‚ด๊ณ  ์žˆ์œผ๋ฉฐ SD ๋ฐฉํ–ฅ์œผ๋กœ๋Š” ๋ฌด์งˆ์„œํ•œ ๊ฒฐ์ •๋ฐฉ์œ„๋ฅผ ๊ฐ€์ ธ {100}-fiber-like ์ง‘ํ•ฉ์กฐ์ง์„ ๊ฐ–๋Š” ๊ฒƒ์œผ๋กœ ์‚ฌ๋ฃŒ๋œ๋‹ค. ๊ทธ๋ฆผ (d)๋Š” phase map์„ ๋‚˜ํƒ€๋‚ด๋Š”๋ฐ ์šฉ์ ‘๋ถ€ ์ค‘์•™์—์„œ๋„ ์šฉ์ ‘๋ถ€ ๊ณ„๋ฉด๊ณผ ๋ชจ์žฌ์™€ ๋งˆ์ฐฌ๊ฐ€์ง€๋กœ ฮณ์ƒ์ด ํ˜•์„ฑ๋œ ๊ฒƒ์„ ๋ณผ ์ˆ˜ ์žˆ๋‹ค. ํ•œํŽธ ๊ทธ๋ฆผ 8 (e)๋Š” KAM map์„ ๋‚˜ํƒ€๋‚ด๋Š”๋ฐ ๊ฒฐ์ •๋ฆฝ๊ณ„ ๋ฟ๋งŒ ์•„๋‹ˆ๋ผ ํ•˜๋‚˜์˜ ๊ฒฐ์ •๋ฆฝ ๋‚ด๋ถ€์—๋„ local misorientation์ด ๋†’์€ ์˜์—ญ์ด ๊ต‰์žฅํžˆ ๋งŽ์€ ๊ฒƒ์œผ๋กœ ๊ด€์ฐฐ๋œ๋‹ค. ์ด๋Ÿฌํ•œ local misorientation์€ ๋งค์šฐ ๋น ๋ฅธ ์‘๊ณ ์†๋„๋ฅผ ๊ฐ–๋Š” ๋ ˆ์ด์ € ํ”„๋กœ์„ธ์Šค๋ฅผ ์ด์šฉํ•˜๋Š” ์ ์ธต ์ œ์กฐ ๊ณต์ •์œผ๋กœ ์ œ์ž‘๋œ ๊ธˆ์† ์‹œํŽธ์—์„œ ํŠน์ง•์ ์œผ๋กœ ๋‚˜ํƒ€๋‚˜๋Š” ํ˜„์ƒ์ด๋ฉฐ, cellular ๊ตฌ์กฐ์˜ ์…€ ๊ฒฝ๊ณ„ ๋˜๋Š” ์ €๊ฐ์ž…๊ณ„ (low-angle grain boundary) ๋“ฑ์—์„œ ๋†’์€ local misorientation์ด ๊ด€์ฐฐ๋œ๋‹ค[26]. ์…€ ๊ฒฝ๊ณ„์™€ ์ €๊ฐ์ž…๊ณ„ ๋ชจ๋‘ ์ „์œ„์˜ ์ด๋™์„ ํšจ๊ณผ์ ์œผ๋กœ ๋ฐฉํ•ดํ•˜์—ฌ ๊ฐ•๋„ ํ–ฅ์ƒ์— ๊ธฐ์—ฌํ•˜๋Š” ๊ฒƒ์œผ๋กœ ๋ณด๊ณ ๋˜๊ณ  ์žˆ์œผ๋ฉฐ[27โ€“29], ๊ทธ๋ฆผ 8 (e)์—์„œ ๋‚˜ํƒ€๋‚œ ๊ฒƒ์ฒ˜๋Ÿผ LDED ๊ณต์ •์„ ์ด์šฉํ•˜์—ฌ ํ˜•์„ฑ๋œ ์šฉ์ ‘๋ถ€์˜ ๋†’์€ KAM ๊ฐ’ ๋˜ํ•œ ์ „์œ„์˜ ์ด๋™์„ ๋ฐฉํ•ดํ•˜๋Š” ๊ฒฐํ•จ๋“ค์— ์˜ํ•ด ์ธก์ •๋œ ๊ฒƒ์œผ๋กœ ์‚ฌ๋ฃŒ๋˜๋ฉฐ, ์šฉ์ ‘๋ถ€์˜ ๋†’์€ ๊ฐ•๋„ ๋˜ํ•œ ์ด๋Ÿฌํ•œ ๊ฒฐํ•จ์˜ ํ˜•์„ฑ ๋•Œ๋ฌธ์ธ ๊ฒƒ์œผ๋กœ ๋ณด์ธ๋‹ค.

๊ทธ๋ฆผ 9์€ 2%์˜ ์‚ฌ์ „๋ณ€ํ˜•์„ ์ค€ ์‹œํŽธ์„ ๊ตฌ์†์‹œํ‚จ ์ƒํƒœ๋กœ 200ยฐC๊นŒ์ง€ ๊ฐ€์—ด ํ›„ ๋‹ค์‹œ ์ƒ์˜จ๊นŒ์ง€ ๋ƒ‰๊ฐ์‹œ์ผฐ์„ ๋•Œ ๋ฐœ์ƒํ•˜๋Š” ํšŒ๋ณต์‘๋ ฅ์„ ์ธก์ •ํ•œ ๊ฒฐ๊ณผ๋ฅผ ๋‚˜ํƒ€๋‚ธ ๊ทธ๋ž˜ํ”„๋‹ค. ์ƒ์˜จ๊นŒ์ง€ ๋ƒ‰๊ฐํ•œ ํ›„ ๋ฐœ์ƒํ•œ ํšŒ๋ณต์‘๋ ฅ์€ ์šฉ์ ‘์„ ์ ์šฉํ•˜์ง€ ์•Š์€ ๋ชจ์žฌ์˜ ๊ฒฝ์šฐ 260 MPa์ธ ๋ฐ˜๋ฉด L-DED ๊ณต์ •์„ ์ด์šฉํ•˜์—ฌ ์šฉ์ ‘๋œ ์‹œํŽธ์€ 320 MPa๋กœ ๋‚˜ํƒ€๋‚ฌ๋‹ค. ์šฉ์ ‘๋œ ์‹œํŽธ์˜ ๊ฒฝ์šฐ ์šฉ๊ฐ€์žฌ๋กœ ์‚ฌ์šฉ๋œ ๋ถ„๋ง์€ ํ˜•์ƒ๊ธฐ์–ตํ•ฉ๊ธˆ ๋ถ„๋ง์ด ์•„๋‹ˆ๊ธฐ ๋•Œ๋ฌธ์— ์ „์ฒด ์‹œํŽธ์—์„œ ํ˜•์ƒ๊ธฐ์–ตํ•ฉ๊ธˆ์˜ ์ฒด์ ๋ถ„์œจ์€ ์ค„์–ด๋“ค์—ˆ์Œ์—๋„ ๋ถˆ๊ตฌํ•˜๊ณ  ์˜คํžˆ๋ ค ๋†’์€ ํšŒ๋ณต์‘๋ ฅ์„ ๋‚˜ํƒ€๋ƒˆ๋‹ค. ์ด๋Ÿฌํ•œ ์ƒ๋ฐ˜๋œ ๊ฒฐ๊ณผ๋Š” ์šฉ์ ‘๋œ ์‹œํŽธ์˜ ๋†’์€ ํ•ญ๋ณต๊ฐ•๋„์— ๊ธฐ์ธํ•˜๋Š” ๊ฒƒ์œผ๋กœ ์‚ฌ๋ฃŒ๋œ๋‹ค. Leinenbach et al. ๋ฐ Wang et al. ์€ Fe-17Mn-5Si-10Cr-4Ni-(V, C)์˜ ์กฐ์„ฑ์„ ๊ฐ–๋Š” ํ˜•์ƒ๊ธฐ์–ตํ•ฉ๊ธˆ์„ ์ด์šฉํ•˜์—ฌ ๋‹ค์–‘ํ•œ ์—ด-๊ธฐ๊ณ„์  (thermo-mechanical)์ฒ˜๋ฆฌ๋ฅผ ๊ฑฐ์นœ ์‹œํŽธ๋“ค์˜ ํ˜•์ƒ๊ธฐ์–ตํŠน์„ฑ๋“ค์„ ์—ฐ๊ตฌํ•˜์˜€๋Š”๋ฐ, ํšŒ๋ณต์‘๋ ฅ์˜ ๊ฒฝ์šฐ ํ˜•์ƒ๊ธฐ์–ตํšจ๊ณผ๋กœ ์ผ์ปฌ์–ด์ง€๋Š” ํ˜•์ƒ์˜ ๋ณต์›๋Ÿ‰ ๋ณด๋‹ค๋Š” ํ•ญ๋ณต๊ฐ•๋„์— ๋” ์˜์กดํ•œ๋‹ค๊ณ  ๋ณด๊ณ ํ•˜์˜€๋‹ค. ๊ตฌ์†๋œ Fe-Mn-Si๊ณ„ ํ˜•์ƒ๊ธฐ์–ตํ•ฉ๊ธˆ์„ ๊ฐ€์—ดํ•  ๋•Œ๋Š” ์‚ฌ์ „๋ณ€ํ˜•์„ ์ค„ ๋•Œ ํ˜•์„ฑ๋œ ์‘๋ ฅ์œ ๊ธฐ๋ณ€ํƒœ ์ƒ์ธ ฮต-martensite ์ƒ์œผ๋กœ๋ถ€ํ„ฐ ฮณ-austenite ์ƒ์œผ๋กœ์˜ ์—ญ๋ณ€ํƒœ๋กœ ์ธํ•œ ํ˜•์ƒ๋ณต์›์— ์˜ํ•ด ํšŒ๋ณต์‘๋ ฅ์ด ๋ฐœ์ƒํ•˜๊ณ  ๋ƒ‰๊ฐ์‹œ์—๋Š” ์ฃผ๋กœ ์—ด์ˆ˜์ถ•์— ์˜ํ•ด์„œ ์ถ”๊ฐ€์ ์ธ ํšŒ๋ณต์‘๋ ฅ์ด ๋ฐœ์ƒํ•œ๋‹ค. ์ด ๋•Œ ์‹œํŽธ์— ๋ฐœ์ƒ๋˜๋Š” ํšŒ๋ณต์‘๋ ฅ์— ์˜ํ•ด ๋‹ค์‹œ ฮณ-austenite์—์„œ ฮต-martensite๋กœ์˜ ๋ณ€ํƒœ๊ฐ€ ์ผ์–ด๋‚˜๋ฉด์„œ ์‘๋ ฅ-์˜จ๋„ ๊ณก์„ ์˜ ๊ธฐ์šธ๊ธฐ๊ฐ€ ์ค„์–ด๋“ค๊ฑฐ๋‚˜ ์‹ฌํ•œ ๊ฒฝ์šฐ ํšŒ๋ณต์‘๋ ฅ์ด ๊ฐ์†Œํ•˜๋Š” ๊ฒฝ์šฐ๊ฐ€ ๋ฐœ์ƒํ•  ์ˆ˜ ์žˆ๋‹ค. ํ•ญ๋ณต๊ฐ•๋„๊ฐ€ ๋†’์„์ˆ˜๋ก ฮณ-austenite์—์„œ ฮต-martensite๋กœ์˜ ์ƒ๋ณ€ํƒœ์— ๋Œ€ํ•œ ์ €ํ•ญ์„ฑ์ด ๋†’์•„์ง€๊ธฐ ๋•Œ๋ฌธ์— ๋ƒ‰๊ฐ ์‹œ ํšŒ๋ณต์‘๋ ฅ์˜ ์ฆ๊ฐ€์œจ์˜ ๊ฐ์†Œ๋ฅผ ํšจ๊ณผ์ ์œผ๋กœ ๋ง‰์„ ์ˆ˜ ์žˆ๋‹ค. ๋ณธ ์—ฐ๊ตฌ์—์„œ๋„ L-DED๊ณต์ •์„ ์ ์šฉํ•˜์—ฌ ํ˜•์„ฑ์‹œํ‚จ ๊ณ ๋ง๊ฐ„๊ฐ• ์šฉ์ ‘๋ถ€์˜ ๋†’์€ ํ•ญ๋ณต๊ฐ•๋„๋กœ ์ธํ•ด ํ˜•์ƒ๊ธฐ์–ตํ•ฉ๊ธˆ์˜ ์ฒด์ ๋ถ„์œจ์ด ๊ฐ์†Œํ•˜์˜€์Œ์—๋„ ๋ถˆ๊ตฌํ•˜๊ณ  ๋” ๋†’์€ ํšŒ๋ณต์‘๋ ฅ์„ ์–ป์„ ์ˆ˜ ์žˆ์—ˆ์œผ๋ฉฐ, ์ด๋Š” L-DED ๊ณต์ •์„ ์ด์šฉํ•˜์—ฌ ์šฉ์ ‘๋ถ€๋ฅผ ํ˜•์„ฑํ•˜๋Š” ๊ฒฝ์šฐ, ๊ทธ ๋ชฉ์ ์ด ๋” ๋†’์€ ๊ฐ•๋„๋‚˜ ํšŒ๋ณต์‘๋ ฅ์ผ ๊ฒฝ์šฐ ๋ฐ˜๋“œ์‹œ ๋ชจ์žฌ์™€ ๋™์ผํ•œ ํ˜•์ƒ ๊ธฐ์–ตํ•ฉ๊ธˆ ๋ถ„๋ง์„ ์‚ฌ์šฉํ•ด์•ผ๋งŒ ํ•˜๋Š” ๊ฒƒ์ด ์•„๋‹ˆ๋ผ ์ „ํ˜€ ๋‹ค๋ฅธ ์กฐ์„ฑ์„ ๊ฐ–๋Š” ๋ถ„๋ง์„ ์ด์šฉํ•˜์—ฌ ํŠน์„ฑ์„ ๊ฐœ์„ ํ•  ์ˆ˜ ์žˆ์Œ์„ ์‹œ์‚ฌํ•œ๋‹ค.

4. ๊ฒฐ ๋ก 

๋ณธ ์—ฐ๊ตฌ์—์„œ๋Š” DED๋ฅผ ์ด์šฉํ•ด ์ฒ ๊ณ„ ํ˜•์ƒ๊ธฐ์–ตํ•ฉ๊ธˆ์„ ์šฉ์ ‘ํ•  ์ˆ˜ ์žˆ๋Š”์ง€ ์•Œ์•„๋ณด๊ธฐ ์œ„ํ•ด ๋ ˆ์ด์ € ์ถœ๋ ฅ์„ ๋ณ€ํ™”์‹œ์ผœ๊ฐ€๋ฉฐ Fe-Mn-Si๊ณ„ ํ˜•์ƒ๊ธฐ์–ตํ•ฉ๊ธˆ ์‚ฌ์ด์— ๊ณ ๋ง๊ฐ„๊ฐ•์„ ์ ์ธตํ•˜์—ฌ ๋‘ ํŒ์žฌ๋ฅผ ์šฉ์ ‘ํ•˜๋Š” ์‹คํ—˜์„ ์ง„ํ–‰ํ•˜์˜€๋‹ค. ๊ด‘ํ•™ํ˜„๋ฏธ๊ฒฝ ๋ถ„์„ ๋ฐ ๊ธฐ๊ณ„์  ํŠน์„ฑ ๋ถ„์„์„ ํ†ตํ•ด ์šฉ์ ‘ ๊ณต์ •์— ๊ฐ€์žฅ ์ ํ•ฉํ•œ ๋ ˆ์ด์ € ์ถœ๋ ฅ์„ 150 W๋กœ ์„ ์ •ํ•˜์˜€์œผ๋ฉฐ, ์ถ”๊ฐ€์ ์œผ๋กœ 150 W ์‹คํ—˜ ์กฐ๊ฑด์˜ ๋ฏธ์„ธ์กฐ์ง ๋ฐ ํšŒ๋ณต์‘๋ ฅ์„ ๋ถ„์„ํ•˜์˜€๋‹ค. ๋ณธ ์—ฐ๊ตฌ๋ฅผ ํ†ตํ•ด ์–ป์–ด์ง„ ๊ฒฐ๋ก ์€ ๋‹ค์Œ๊ณผ ๊ฐ™๋‹ค.

1. ๋ ˆ์ด์ € ์ถœ๋ ฅ ์กฐ๊ฑด์— ๋”ฐ๋ฅธ ๊ฒฐ์  ์ƒ์„ฑ ๊ฒฝํ–ฅ์„ ๊ด€์ธกํ–ˆ๋‹ค. ๋ ˆ์ด์ € ์ถœ๋ ฅ์ด ๋‚ฎ์„ ๊ฒฝ์šฐ ์œตํ•ฉ ๋ถ€์กฑ ํ˜น์€ ๊ฐ€์Šค ๊ธฐ๊ณต์œผ๋กœ ์˜ˆ์ƒ๋˜๋Š” ๊ธฐ๊ณต ๊ฒฐํ•จ์ด ๊ด€์ฐฐ๋˜์—ˆ๋‹ค. ๋ ˆ์ด์ € ์ถœ๋ ฅ์ด ์ฆ๊ฐ€ํ•จ์— ๋”ฐ๋ผ ๊ธฐ๊ณต์€ ์ค„์–ด๋“ค์ง€๋งŒ, ๋ชจ์žฌ์™€ ์ ์ธต๋ถ€ ์‚ฌ์ด์— ๋” ๋งŽ์€ ๊ท ์—ด์ด ์ƒ๊ธฐ๋Š” ๊ฒƒ์„ ์•Œ ์ˆ˜ ์žˆ์—ˆ์œผ๋ฉฐ, ์ด๋Š” ๋ ˆ์ด์ € ์ถœ๋ ฅ ์ฆ๊ฐ€์— ๋”ฐ๋ผ ์šฉ์œต๋ถ€์˜ ์‘๊ณ  ์ˆ˜์ถ•์ด ์ปค์ ธ ๊ท ์—ด์˜ ์ง„์ „์„ ์ผ์œผํ‚ค๊ธฐ ๋•Œ๋ฌธ์ด๋ผ๊ณ  ์ƒ๊ฐ๋œ๋‹ค.

2. ์šฉ์ ‘๋ถ€์˜ ๋ฏธ์„ธ์กฐ์ง์€ ๋ ˆ์ด์ € ์ถœ๋ ฅ์— ๋”ฐ๋ผ ํฌ๊ฒŒ ๋‹ฌ๋ผ์กŒ๋‹ค. 200 W ์ด์ƒ์˜ ๋ ˆ์ด์ € ์ถœ๋ ฅ์˜ ๊ฒฝ์šฐ ๋Œ€์ฒด๋กœ ๋“ฑ๋ฐฉ์ •์— ๊ฐ€๊นŒ์šด ๊ฒฐ์ •๋ฆฝ์ด ์šฉ์œตํ’€ ๋‚ด๋ถ€์—์„œ ํ˜•์„ฑ๋˜์ง€๋งŒ, 150 W ๋ ˆ์ด์ € ์ถœ๋ ฅ์ด ์‚ฌ์šฉ๋œ ๊ฒฝ์šฐ ์—ฌ๋Ÿฌ ์šฉ์œตํ’€์— ๊ฑธ์นœ ์กฐ๋Œ€ํ•œ ์ฃผ์ƒ์ • ๊ฒฐ์ •๋ฆฝ์ด ํ˜•์„ฑ๋˜๋Š” ๊ฒƒ์„ ์•Œ ์ˆ˜ ์žˆ์—ˆ๋‹ค. ์ด๋Š” ๋ ˆ์ด์ € ์ถœ๋ ฅ์— ๋”ฐ๋ฅธ ์šฉ์œตํ’€ ํ˜•์ƒ ์ฐจ์ด์— ์˜ํ•œ ๊ฒƒ์œผ๋กœ ์‚ฌ๋ฃŒ๋œ๋‹ค.

3. 150 W ๋ ˆ์ด์ € ์ถœ๋ ฅ์„ ์‚ฌ์šฉํ–ˆ์„ ๋•Œ ๊ฐ€์žฅ ์šฐ์ˆ˜ํ•œ ๊ธฐ๊ณ„์  ํŠน์„ฑ์„ ๋ณด์ด๋Š” ๊ฒƒ์„ ๊ด€์ฐฐํ•  ์ˆ˜ ์žˆ์—ˆ๋‹ค. ์šฉ์ ‘๋ถ€์˜ ๋ฏธ์„ธ ๊ฒฝ๋„์˜ ๊ฒฝ์šฐ 150 W, 200 W, 250 W, 300 W์˜ ์กฐ๊ฑด์—์„œ ๊ฐ๊ฐ 284.9 Hv, 266.6 Hv, 256.0 Hv, 260.0 Hv๋กœ 150 W ๋ ˆ์ด์ € ์ถœ๋ ฅ์—์„œ ๊ฐ€์žฅ ๋‚ฎ์€ ๊ฒฝ๋„ ๊ฐ์†Œ๋ฅผ ๋ณด์˜€๋‹ค. ์ธ์žฅ ๊ฐ•๋„์˜ ๊ณ„๋ฉด ๊ฑด์ •์„ฑ์ด ๊ฐ€์žฅ ์ข‹์•˜๋˜ 150 W ๋ ˆ์ด์ € ์ถœ๋ ฅ์—์„œ ์•ฝ 1,000 MPa์˜ ์ธ์žฅ๊ฐ•๋„์™€ 23% ์ด์ƒ์˜ ์—ฐ์‹ ์œจ์„ ๋‚˜ํƒ€๋ƒˆ๋‹ค.

4. EBSD phase map์„ ํ†ตํ•ด ๋ชจ์žฌ์™€ ์šฉ์ ‘๋ถ€ ๋ชจ๋‘ ๋ฉด์‹ฌ ์ž…๋ฐฉ๊ตฌ์กฐ๋ฅผ ๊ฐ–๋Š” ฮณ์ƒ์ž„์„ ํ™•์ธํ•˜์˜€์œผ๋ฉฐ, 150 W ์ถœ๋ ฅ ์กฐ๊ฑด์—์„œ ์ ์ธต ๋ฐฉํ–ฅ์œผ๋กœ ์ •๋ ฌ๋˜๋Š” ๊ฒฐ์ •๋ฆฝ์„ IPF map ์—์„œ๋„ ํ™•์ธํ•  ์ˆ˜ ์žˆ์—ˆ๋‹ค. ๋˜ํ•œ ์ ์ธต ๋ฐฉํ–ฅ์„ ๋”ฐ๋ผ {100} ์ง‘ํ•ฉ์กฐ์ง์ด ํ˜•์„ฑ๋œ ๊ฒƒ์„ ํ™•์ธํ–ˆ๋‹ค. KAM map์—์„œ ๋†’์€ ์ „์œ„๋ฐ€๋„์— ์˜ํ•œ ๋†’์€ local misorientation์„ ๊ฐ–๋Š” ์˜์—ญ๋“ค์ด ์žˆ์Œ์„ ์•Œ ์ˆ˜ ์žˆ์—ˆ๋Š”๋ฐ, ์šฉ์ ‘ ์ƒ˜ํ”Œ์˜ ์ธ์žฅ๊ฐ•๋„๊ฐ€ ๋ชจ์žฌ๋ณด๋‹ค ๋†’์€ ์ด์œ ๋Š” ์ด์™€ ๊ฐ™์€ ๋†’์€ ์ „์œ„๋ฐ€๋„์— ์˜ํ•œ ๊ฒƒ์œผ๋กœ ์ƒ๊ฐ๋œ๋‹ค.

5. ํ˜•์ƒ๋ณต์›์‘๋ ฅ์€ ํ˜•์ƒ๊ธฐ์–ตํ•ฉ๊ธˆ ๋ชจ์žฌ๋ณด๋‹ค ๊ณ ๋ง๊ฐ„๊ฐ•์„ ์‚ฌ์šฉํ•ด ์šฉ์ ‘ํ•œ ์ƒ˜ํ”Œ์—์„œ ๋” ๋†’์€ ๊ฒƒ์„ ๊ด€์ฐฐํ•  ์ˆ˜ ์žˆ์—ˆ๋‹ค. ์ด๋Š” ํ•ญ๋ณต๊ฐ•๋„๊ฐ€ ๋†’์€ ์šฉ์ ‘๋œ ์‹œํŽธ์—์„œ ฮณ-austenite์—์„œ ฮต-martensite๋กœ์˜ ์ƒ๋ณ€ํƒœ์— ๋Œ€ํ•œ ์ €ํ•ญ์„ฑ์ด ๋†’๊ธฐ ๋•Œ๋ฌธ์—, ๋ƒ‰๊ฐ ์‹œ์— ํšŒ๋ณต์‘๋ ฅ ์ฆ๊ฐ€์œจ์˜ ๊ฐ์†Œ๋ฅผ ํšจ๊ณผ์ ์œผ๋กœ ๋ง‰์„ ์ˆ˜ ์žˆ์—ˆ๊ธฐ ๋•Œ๋ฌธ์œผ๋กœ ์‚ฌ๋ฃŒ๋œ๋‹ค.

Acknowledgements

๋ณธ ์—ฐ๊ตฌ๋Š” ์‚ฐ์—…ํ†ต์ƒ์ž์›๋ถ€์™€ ํ•œ๊ตญ์‚ฐ์—…๊ธฐ์ˆ ์ง„ํฅ์›์˜ โ€˜โ€˜๊ตญ์ œ๊ณต๋™๊ธฐ์ˆ ๊ฐœ๋ฐœ์‚ฌ์—…โ€™โ€™์˜ ์ง€์›์„ ๋ฐ›์•„ ์ˆ˜ํ–‰๋œ ์—ฐ๊ตฌ๊ฒฐ๊ณผ์ž„. (๊ณผ์ œ๋ฒˆํ˜ธ: P0019307)

REFERENCES

1 
Lobo P. S., Almeida J., Guerreiro L., Procedia Eng,114, 776 (2015)Google Search
2 
Mohd Jani J., Leary M., Subic A., Gibson M. A., Mater. Des,56, 1078 (2014)Google Search
3 
Xue L., Atli K. C., Zhang C., Hite N., Srivastava A., Leff A. C., Wilson A. A., Sharar D. J., Elwany A., Arroyave R., Karaman I., Acta Mater,229, 117787 (2022)Google Search
4 
Alagha A. N., Hussain S., Zaki W., Mater. Des,204, 109654 (2021)Google Search
5 
Yang X., Yang Q., Shi Y., Yang L., Wu S., Yan C., Shi Y., Addit. Manuf,54, 102737 (2022)Google Search
6 
Ferretto I., Kim D., Della Ventura N. M., Shahverdi M., Lee W., Leinenbach C., Addit. Manuf,46, 102071 (2021)Google Search
7 
Patriarca L., Abuzaid W., Carlucci G., Belelli F., Casati R., Mater. Lett,302, 130349 (2021)Google Search
8 
Sato A., Chishima E., Sonlap K., Lmor1 T., Acta metall,30, 1177 (1982)Google Search
9 
Cladera A., Weber B., Leinenbach C., Czaderski C., Shahverdi M., Motavalli M., Constr. Build Mater,63, 281 (2014)Google Search
10 
Ferretto I., Borzรฌ A., Kim D., Ventura N. M. D., Hosseini E., Lee W. J., Leinenbach C., Addit. Manuf. Lett,3, 100091 (2022)Google Search
11 
Kim D., Kim Y., Oak J. J., Lee J., Park C. H., Lee W., Park Y., Korean J. Met. Mater,58, 660 (2020)Google Search
12 
Kajiwara S., Mater. Sci. Eng. A,273, 67 (1999)Google Search
13 
Janke L., Czaderski C., Motavalli M., Ruth J., Mater. Struct,38, 578 (2005)Google Search
14 
Yan Z., Zou K., Cheng M., Zhou Z., Song L., J. Mater. Res. Technol,15, 582 (2021)Google Search
15 
Kim T. G., Shim D. S., Mater. Sci. Eng. A,828, 142004 (2021)Google Search
16 
Zeng Y., Li L., Huang W., Zhao Z., Yang W., Yue Z., Int. J. Mech. Sci,221, 107173 (2022)Google Search
17 
Kou S., WELDING METALLURGY SECOND EDITION,115-343, John Wiley & Sons (2003)Google Search
18 
Faraji A. H., Moradi M., Goodarzi M., Colucci P., Maletta C., Opt. Lasers Eng,96, 1 (2017)Google Search
19 
Svetlizky D., Das M., Zheng B., Vyatskikh A. L., Bose S., Bandyopadhyay A., Schoenung J. M., Lavernia E. J., Eliaz N., Mater. Today,49, 271 (2021)Google Search
20 
Park J., Nam H., Jin Q. Y., Lee W., Korean J. Met. Mater,61, 760 (2023)Google Search
21 
Sun Z., Tan X., Tor S. B., Chua C. K., NPG Asia Mater,10, 127 (2018)Google Search
22 
Shao J., Yu G., Li S., He X., Tian C., Dong B., J. Alloys Compd,898, 162976 (2022)Google Search
23 
Park Y. K., Shin K. Y., Lee K. Y., Lee W., Steel Res. Int,95, 2300492 (2024)Google Search
24 
Bertsch K. M., Meric de Bellefon G., Kuehl B., Thoma D. J., Acta Mater,199, 19 (2020)Google Search
25 
Wang Y. M., Voisin T., McKeown J. T., Ye J., Calta N. P., Li Z., Zeng Z., Zhang Y., Chen W., Roehling T. T., Ott R. T., Santala M. K., Depond P. J., Matthews M. J., Hamza A. V., Zhu T., Nat. Mater,17, 63 (2018)Google Search
26 
Chen H., Gu D., Dai D., Ma C., Xia M., Mater. Sci. Eng. A,682, 279 (2017)Google Search
27 
Cao S., Gu D., Shi Q., J. Alloys Compd,692, 758 (2017)Google Search
28 
Leinenbach C., Kramer H., Bernhard C., Eifler D., Adv. Eng. Mater,14, 62 (2012)Google Search
29 
Wang C. P., Wen Y. H., Peng H. B., Xu D. Q., Li N., Mater. Sci. Eng. A,528, 1125 (2011)Google Search

Figures and Tables

Fig. 1.

(a) Schematic of welding process and (b) welding jig

../../Resources/kim/KJMM.2024.62/kjmm-2024-62-12-935f1.jpg
Fig. 2.

(a) Location of microhardness test and (b) drawing of ASTM E8 sub-size tensile test specimen. P1 is base metal, P2 and P3 are heat affected zone and P4 is fusion zone

../../Resources/kim/KJMM.2024.62/kjmm-2024-62-12-935f2.jpg
Fig. 3.

Cross-sectional image of polished weldments fabricated with different laser power. (a) 150 W, (b) 200 W, (c) 250 W and (d) 300 W

../../Resources/kim/KJMM.2024.62/kjmm-2024-62-12-935f3.jpg
Fig. 4.

Cross-sectional image of etched weldments fabricated with different laser power. (a) 150 W, (b) 200 W, (c) 250 W and (d) 300 W

../../Resources/kim/KJMM.2024.62/kjmm-2024-62-12-935f4.jpg
Fig. 5.

Microhardness of each point of cross-section at Fig. 2. (a), (a) 150 W, (b) 200 W, (c) 250 W and (d) 300 W

../../Resources/kim/KJMM.2024.62/kjmm-2024-62-12-935f5.jpg
Fig. 6.

(a) Stress-strain curve of weldments and base metal, (b) image of fractured weldment of 150 W and (c) image of fractured weldment of 200 W

../../Resources/kim/KJMM.2024.62/kjmm-2024-62-12-935f6.jpg
Fig. 7.

EDS line scan measurement and EBSD image of welding interface of weldment fabricated by 150 W laser power, (a) EDS line scan result (b) IPF map along building direction and (c) phase map

../../Resources/kim/KJMM.2024.62/kjmm-2024-62-12-935f7.jpg
Fig. 8.

EBSD image of the Fusion zone of weldment fabricated by 150 W laser power, IPF map along (a), (b) scan direction, (c) building direction, (d) phase map, (e) KAM map and (f) PF and IPF

../../Resources/kim/KJMM.2024.62/kjmm-2024-62-12-935f8.jpg
Fig. 9.

Recovery stress of base metal and weldment fabricated by 150 W laser power

../../Resources/kim/KJMM.2024.62/kjmm-2024-62-12-935f9.jpg
Table 1.

Chemical composition of base metal and powder filler metal

Base metal, Fe-based shape memory alloy (wt.%)
Fe Mn Si Cr Ni V C
Bal. 17 5 10 4 0.7 0.3
Powder filler metal, high manganese alloy (wt.%)
Fe Mn Cr C
Bal. 24 4 0.4
Table 2.

Welding process parameters including laser power, scan speed, hatch spacing and layer thickness

Laser power (W) Scan speed (mm/min) Hatch spacing (mm) Layer thickness (mm)
#1 150 840 0.3 0.15
#2 200
#3 250
#4 300
Table 3.

Microhardness measurements at point P1 to P4 of weldments

Laser power (W) P1 (Hv) P2 (Hv) P3 (Hv) P4 (Hv)
150 319.4 291.3 284.9 263.6
200 287.1 266.6 269.9
250 269.5 256.0 261.2
300 271.1 260.0 286.7
Table 4.

Tensile test measurements of weldments and base metal

Laser power (W) Tensile strength (MPa) Yield strength (MPa) Strain (%)
150 996.8 555.22 23.24
200 951.5 550.06 12.71
250 877.9 519.64 6.09
300 677.7 566.13 1.19
Base metal 981.8 496.68 42.78