The Journal of
the Korean Journal of Metals and Materials

The Journal of
the Korean Journal of Metals and Materials

Monthly
  • pISSN : 1738-8228
  • eISSN : 2288-8241

Editorial Office





Effective Mass model, Pd decoration, Weighted mobility, Bipolar conduction, Bi0.5Sb1.5Te3

1. INTRODUCTION

In the ongoing fight against global warming, research on diverse sustainable energy harvesting technologies continues to be a crucial focus[1]. Among environmentally friendly approaches, thermoelectric technology stands out for its ability to directly convert waste heat into electricity, eliminating the need for fossil fuel combustion[2]. The effectiveness of thermoelectric devices hinges on the thermoelectric figure-of-merit (zT) of the materials used[3,4]. As a result, a significant research effort has been directed towards enhancing the zT of thermoelectric materials. zT (=S2σT/κ) relies on the Seebeck coefficient (S), electrical conductivity (σ), temperature (T in Kelvin), and thermal conductivity (κ). The κ comprises both electronic contribution to thermal conductivity (κe) and lattice thermal conductivity (κl)[5,6]. The term S2 σ in the zT equation is referred to as the power factor (PF), which determines the electron transport properties of the material[7]. As illustrated in the zT equation, the optimization of zT occurs when the PF is high, and κ is low.

Bismuth telluride (Bi2Te3)-alloy-based systems have been extensively investigated as thermoelectric materials for near-room-temperature applications, and are predominant in the thermoelectric cooling industry[8-10]. Notably, recent advancements in processing techniques, particularly nanostructuring, have significantly enhanced the thermoelectric performance of p-type Bi-Te-based materials, especially within the Bi-Sb-Te alloy system[1,11-12]. The use of high-energy ball milling and spark plasma sintering (SPS) to synthesize nanocomposites has led to a remarkable increase in the zT of p-type Bi-Sb-Te alloys. The zT value has risen from 1.0, which is typically observed in ingots of the pristine material, to a range of 1.4-1.5[13, 14]. This enhancement is attributed to the reduction in lattice thermal conductivity (κl) achieved by introducing phonon scattering centers with varying size scales, including nanosized inclusions and grain boundaries.

The concept of ‘nanoparticle-in-alloy’, which involves the dispersion of nanoparticles into the alloy matrix, has been explored as a straightforward and scalable nano-structuring method for bulk thermoelectric materials[15]. Many studies have employed the method of adding metal acetate powders to alloys and then generating metal nanoparticles through reduction pyrolysis. The metal nanoparticles produced by this method are several tens of nanometers in size. For instance, Lee et al. incorporated 50 nm Ag and Cu acetate powders into Bi0.5Sb1.5Te3 and achieved Ag and Cu nanoparticles of around 40 nm after reduction heat treatment[16,17]. Similarly, Hwang et al. employed reduction heat treatment with Co acetate powder to obtain Co particles ranging from 20 to 80 nm[18].

This study investigates the impact of incorporating metal nanoparticles into a Bi0.5Sb1.5Te3 matrix. Previous studies have utilized acetate precursors to obtain particles with sizes in the tens of nanometers[16-18]. This study explores the thermoelectric properties of 500-1000 nm Pd nanoparticles obtained through the pyrolysis of Pd acetate. Samples were sintered with 0.02, 0.04, 0.08, and 2.00 wt.% of Pd acetate, respectively. In addition, we analyzed data obtained from the experiment using an Effective Mass (EM) model. We calculated key band parameters like density-of-states effective mass (md*), non-degenerate mobility (μ0), and weighted mobility (μW) using the EM model. Specifically, it was determined that the md* of all samples increased and exceeded that of pristine Bi0.5Sb1.5Te3, and the μ0 of all samples decreased compared with pristine Bi0.5Sb1.5Te3. In the low-temperature range (T < 423 K), no improvement in thermoelectric properties was observed with the addition of Pd acetate. However, at high temperatures (T ≥ 423 K), an improvement in thermoelectric properties was noted with the addition of 0.02 wt.% Pd acetate, due to both μW improvement and κl suppression.

2. EXPERIMENTAL

Bi0.5Sb1.5Te3 was synthesized using a conventional solid-state process with high purity (99.999%) Bi, Sb, and Te shots. The raw materials were stoichiometrically weighed and placed in a 15 mm-diameter quartz tube and the quartz tube was vacuum sealed at 10-4 torr. The quartz tubes were melted in a furnace for 12 h at 1073 K and then water quenched. The ingots were crushed into powder using a high-energy ball mill (SPEX 8000D, SPEX). For the Pd acetate samples, Pd acetate powder was mixed with Bi0.5Sb1.5Te3 powder and the mixed powder was transferred to an alumina crucible and heated at 573 K for 3 h in an N2 atmosphere. The powders mixed with Pd acetate were sintered by spark plasma sintering (SPS) at 730 K for 5 min at a pressure of 60MPa in a vacuum (SPS-1030, Sumitomo Coal Mining Co., Ltd.).

A phase analysis of the samples was performed using X-ray diffraction (XRD) (Bruker D8 Discover with Cu Kα, λ = 1.54059 Å). The samples were examined using scanning electron microscopy (SEM) (HITACHI (SU8010)). Energy-dispersive spectrometry (EDS) (Bruker Quantax Xflash 6/60) was utilized for elemental mapping.

The S and σ were measured in a temperature range of 300–520 K using a ZEM-3 (Advanced RIKO Inc., Yokohama, Japan) under a He atmosphere. The Hall measurement was made using the van der Pauw method at 300 K (HMS5300, Ecopia, Anyang, South Korea). The temperature dependence of the thermal diffusivity, λ, was measured in both directions using a laser flash method (LFA457, Netzsch, Selb, Germany) and converted to a κ value using a combination of heat capacity, Cp, and density, ρs, (κ = ρsCpλ).

We also calculated the band parameters like density-of-states effective mass (md*), non-degenerate mobility (μ0), and weighted mobility (μW) using the EM model[19,20].

According to the EM model, the S is defined as Equation (1).

(1)
S = k B e ( η 2 F 1 ( η ) F 0 ( η ) )

where kB, e, η, and Fj(η) are the Boltzmann constant, electric charge, reduced Fermi level, and the Fermi integral of order j (Equation (2)), respectively.

(2)
F n ( η ) = 0 ε n 1 + exp ( ε η ) d ε

The nH can be described in terms of the η (within the Fermi integral) and the density-of-states effective mass (md*) as shown below in Equation (3).

(3)
n H = 16 π 3 ( 2 m d k B T h 2 ) 3 / 2 ( F 0 ( η ) ) 2 F 1 / 2 ( η )

The T and h in Equation (3) are the absolute temperature and the Planck constant, respectively.

The μH and μ0 can be defined with Equations (4, 5).

(4)
μ H = μ 0 F 1 / 2 ( η ) 2 F 0 ( η )
(5)
E d e f 2 = π 4 2 e ( k B T ) 3 / 2 C l μ 0 ( m d ) 5 / 2

where Cl, Nv and Edef are the elastic constant, valley degeneracy and deformation potential.

The μW is defined with Equations (6,7) below, the μW at 300 K is calculated using the md* and μ0 from Equations (3, 4). Equation (7) is an expression that approximates μW within 3% accuracy for |S|≥20 even in the absence of nH [19]. At high temperatures, Hall measurements are not conducted, so μW was calculated using Equation (7).

(6)
μ W = μ 0 ( m d m 0 ) 3 / 2
(7)
μ W = 3 h 3 σ 8 π e ( 2 m 0 k B T ) 3 / 2 [ exp [ | S | k B / e 2 ] 1 + exp [ 5 ( | S | k B / e 1 ) ] + 3 | S | π 2 k B / e 1 + exp [ 5 ( | S | k B / e 1 ) ] ]

where m0 is the electron rest mass.

And the B-factor is defined with Equation (8).

(8)
B = ( k B e ) 2 8 π e ( 2 m 0 k B ) 3 / 2 3 h 3 μ W T 5 / 2 k l

While the theoretical maximum zT at 473 K requires measuring nH using the SPB model, the absence of nH data at this temperature necessitated the calculation of intrinsic conductivity (σ0) as proposed by Hu et al. The relationship between σ0 and the experimental conductivity σ is described by the Fermi integral of order 0, F0, as follows[21].

(10)
σ = σ 0 F 0

where F0 can be defined as Equation (11).

(11)
F 0 = exp ( 2 S r ) + π 2 / 3 S r exp ( 2.3 S r )

In Equation (11), Sr represents the ratio of the experimental S, to the constant S0 (=kB/e). The optimal Sr for the theoretical maximum zT (Sr,opt) is directly linked to the B-factor and is given by Equation (12).

(12)
S r , opt = 3.17 + 0.59 ln ( B + 0.13 )

The theoretical maximum zT (zTmax)can be calculated using Equation (13), which involves Sr,opt, L, and the B-factor.

(13)
z T max = S r , o p t 2 L S 0 2 + 1 B F 0

3. RESULTS AND DISCUSSION

Fig 1 shows the XRD analysis pattern of the sintered Pd-decorated samples (pristine Bi0.5Sb1.5Te3, and Bi0.5Sb1.5Te3 decorated with 0.02, 0.04, 0.08, and 2.00 wt.% of Pd acetate). It can be seen that rhombohedral crystal structured Bi0.5Sb1.5Te3 was synthesized without impurities in all the samples, as their peaks coincide with the peaks of Bi0.5Sb1.5Te3 (JCPDs # 491713), without secondary phase peaks. There was an observable peak shift in all samples.

Figs 2(a-c) show TEM images of the Bi0.5Sb1.5Te3 powders mixed with 0.08 wt.% Pd acetate after pyrolysis. The protruding parts in Figs 2(a-c) can be identified as Pd from the lattice spacing. At this point, the lattice spacing of Pd metal particles is 0.31 nm, closer to the value of Pd(111)[22]. Pd metal particles of various sizes co-existed, including those in the tens of nanometers range and larger particles approaching 1 micrometer. However, when the amount of Pd acetate mixed with Bi0.5Sb1.5Te3 powder increased, the size of the Pd particles after pyrolysis also increased.

Fig 2(d) shows an SEM image of the Bi0.5Sb1.5Te3 powders mixed with 2.00 wt.% Pd acetate after pyrolysis. We observed two different kinds of particles: brighter particles of a few micrometers size, and darker particles with a much larger size. Among the brighter particles, some of them were identified as Pd particles by Pd elemental mapping via SEM-EDS (Fig 2(e)). When a significantly higher amount of Pd acetate (approximately 25 times more) was added to the sample shown in Figs 2(d,e), compared to those in Figs 2(a-c), large agglomerated Pd particles measuring approximately 1 µm were observed. This indicates that the addition of excessive Pd acetate hinders effective dispersion, leading to the formation of larger particle clusters rather than well-dispersed smaller particles.

Fig 3(a) presents a SEM image of the Pd acetate 0.08 wt.% sample after sintering. It reveals brighter regions, some appearing as spots, while others exhibit elongated shapes, with dimensions approximately a few micrometers in size. To identify the elemental composition of these regions, we performed EDS mapping on the area shown in Fig 3(a). The EDS spectra (Fig 3(b)) and elemental mapping for Bi (Fig 3(c)), Sb (Fig 3(d)), Te (Fig 3(e)), and Pd (Fig 3(f)) provide insight into the sample’s composition. Figs 3(c-e) demonstrate that the brighter regions correspond to clustered Pd, while the darker regions represent the Bi0.5Sb1.5Te3 matrix. The EDS analysis, as shown in Table 1, detected Pd at 1.06 wt.% in the mapped area, significantly higher than the nominal 0.08 wt.% in the initial sample. This discrepancy suggests that Pd may have agglomerated in this specific region during the sintering process.

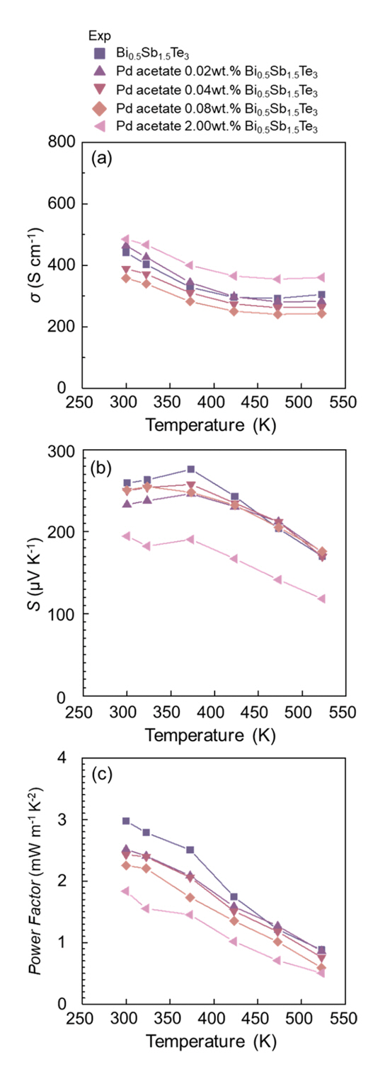
Fig 4 shows the electronic properties of samples with varying Pd acetate content. Fig 4(a) specifically presents the electrical conductivity (σ) as a function of temperature and Pd acetate concentration. Generally, σ decreases as temperature rises across all samples. The addition of 0.02 wt.% Pd acetate enhanced σ at temperatures below 400 K, compared to pristine Bi0.5Sb1.5Te3. Above 400 K, however, the pristine sample exhibited higher σ. The 0.02 wt.% Pd acetate sample reached a peak σ of 463.2 S cm-1 at 300 K. Samples with 0.04 and 0.08 wt.% Pd acetate showed lower σ than the pristine material across all tested temperatures. In contrast, the 2.00 wt.% Pd acetate sample displayed the highest σ throughout the temperature range. This anomalous behavior of the 2.00 wt.% sample likely stems from the presence of heavily agglomerated Pd particles, observed even before sintering (as shown in Fig 2(e)).

Fig 4(b) shows the S as a function of temperature and Pd acetate content. S peaks near 375 K for all samples, then decreases with temperature due to increasing bipolar conduction. Pristine Bi0.5Sb1.5Te3 exhibited the highest S below 423 K, reaching 276.2 μV K-1 at 373 K. As temperature rises, Pd-included samples showed a higher S than pristine Bi0.5Sb1.5Te3. At 473 K, the 0.02 wt.% Pd acetate sample achieved the highest S (212.3 μV K-1). This suggests Pd inclusion may suppress bipolar conduction, as evidenced by a slower S decrease at higher temperatures. However, the 2.00 wt.% Pd sample showed significantly lower S compared to samples with less Pd content. At 300 K, increasing Pd content decreased the PF compared to the pristine sample. Above 400 K, the PF of the 0.02 wt.% Pd sample was comparable to that of the pristine sample, likely due to suppressed bipolar conduction from Pd inclusion.

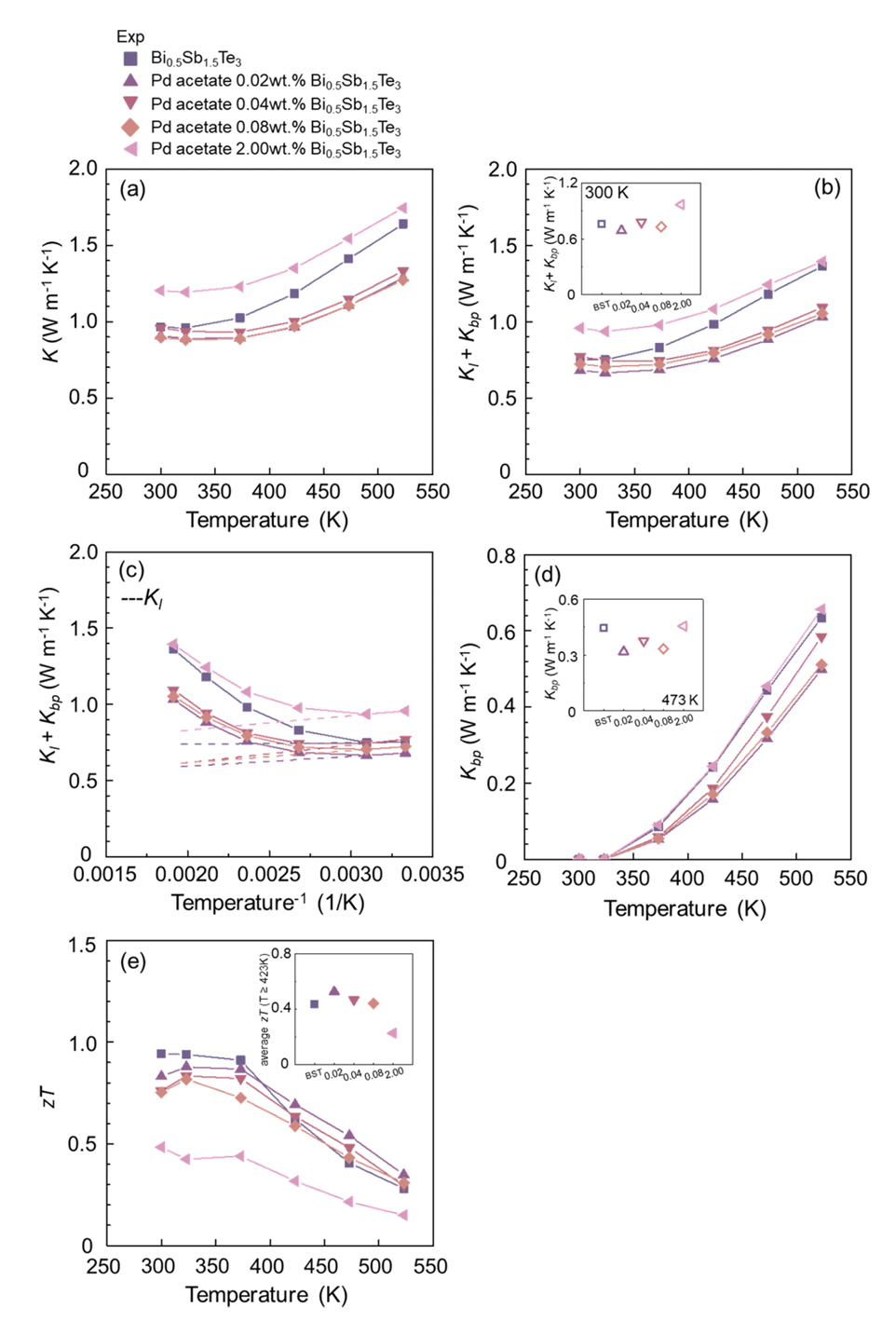
Fig 5(a) shows the temperature-dependent κ for varying Pd contents in Bi0.5Sb1.5Te3. The pristine sample exhibited the highest κ across most temperature ranges, except for the 2.00 wt.% Pd sample. Lightly Pd-decorated samples (x ≤ 0.08) showed significantly lower κ than the pristine sample as temperature increases. For narrow band gap materials like Bi0.5Sb1.5Te3 (~0.2 eV), κ comprises lattice thermal conductivity (κl), electronic thermal conductivity (κe), and bipolar thermal conductivity (κbp): κ = κl + κe + κbp. Fig 5(b) demonstrates that Pd inclusion effectively suppresses κl + κbp across all temperatures, particularly for the 0.02 wt.% Pd sample. The κe is calculated using κe = LσT, where L is the Lorenz number. L is estimated using Equation (9)[23]:

(9)
L ( 10 8 W Ω K 2 ) = 1.5 + exp ( S ( μ VK 1 ) 116 )

The inset in Fig 5(b) shows the Pd content (x) dependence of κl at 300 K, where κbp is negligible. The 0.02 wt.% Pd sample exhibited the lowest κl (0.69 W m-1K-1), approximately 10% lower than the pristine sample. Fig 5(d) presents the estimated κbp, obtained by subtracting the extrapolated ~T-1 trend of κl from κl + κbp. As shown in Fig 5(c), we identified the region where κl + κbp decreases as T-1 increases by plotting T-1 on the x-axis. Assuming a linear relationship between κl and T-1, we extrapolated a line (dashed line) from the slope of the decreasing region to determine the κl values corresponding to different T-1 values.

For this analysis, we assume κbp is negligible at room temperature. The κbp increases substantially with temperature for all samples, with the x = 0.02 sample showing a significantly lower κbp than the pristine sample at 523 K. The inset in Fig 5(d) shows that at 473 K, the κbp of the x = 0.02 sample decreased by 30% compared to the pristine sample (from 0.44 to 0.31 W m-1 K-1). Fig 5(e) shows the temperature-dependent zT. At 473 K, the zT of the pristine sample increased by 32% (from 0.41 to 0.54) when x = 0.08. While the Pd-containing samples had a lower zT than pristine Bi0.5Sb1.5Te3 below 373 K, they surpassed the pristine sample at higher temperatures, primarily due to κl and κbp suppression.

The inset in Fig 5(e) presents the average zT for temperatures above 423 K, demonstrating the improvement due to Pd addition. The average zT increased from 0.44 in pristine Bi0.5Sb1.5Te3 (20% increase) with 0.02 wt.% Pd acetate, and to 0.47 (7% increase) with 0.04 wt.% Pd. This enhancement in average zT at high temperatures is attributed to the simultaneous reduction of κl and κbp by the Pd acetate addition.

Fig 6(a) shows the measured Hall carrier concentration (nH) as a function of Pd acetate content (x). While nH increases with x, the changes are not substantial. In Fig 6(b), Seebeck-Pisarenko plots, calculated using the effective mass (EM) model, are fitted to the measured nH and S for different x values. This fitting allows the determination of the density-of-states effective mass (md*) using Equations (1) and (3). At 300 K, md* shows a gradual increase with increasing x. The increase in md* with x is primarily attributed to an increase in the single band mass (mb*). Consequently, as shown in Fig 6(c), the corresponding non-degenerate mobility (μ0) decreases with increasing x at 300 K, as calculated using Equations (3) and (4). From μ0, which is inversely proportional to both mb* and the deformation potential (Edef), we can derive the change in Edef with increasing x (shown in the inset of Fig 6(c)). For these calculations, a valley degeneracy (Nv) of 6 and an elastic constant of 68 GPa were used (Equation (5))[24]. Generally, Edef increases with increasing x, indicating that the carrier-phonon interaction becomes stronger as x increases. This stronger interaction hinders carrier transport[25-27].

Fig 7 presents the theoretical maximum PF and zT estimated using the EM model. At 300 K, Fig 7(a) shows the calculated μW for different Pd content. The μW, which is comprised of band parameters like md* and μ0, is related to the maximum PF of a sample. The pristine sample exhibited the highest μW (403 cm2 s-1 V-1) among all samples at 300 K, suggesting it will have the highest theoretical maximum PF at this temperature.

Fig 7(b) shows the calculated B-factor at 300 K, which is a function of μW, T, and ĸl (as shown in Equation (8)). While μW relates to the theoretical maximum PF, the B-factor corresponds to the theoretical maximum zT. At 300 K, the B-factor decreased with increasing Pd content, with the highest value (0.354) observed in the pristine sample. This indicates that increasing Pd content (x) did not help improve the theoretical maximum zT at 300 K. Based on the 300 K μW obtained in Fig 7(a), Fig 7(c) presents the theoretical Hall carrier concentration (nH)-dependent PF calculations (shown as lines) alongside experimental PF values (indicated as symbols). Comparing these reveals that further doping to increase nH could improve the PF of all samples. For instance, the experimental PF of the pristine sample (2.97 mW cm-1 K-2) could potentially be improved by 22 % (to 3.61 mW cm-1 K-2) according to the EM model calculation. Fig 7(d) presents the calculated nH-dependent zT curves (lines) together with the experimental values (symbols). Unlike the PF, the experimental zT of all samples are positioned near the optimum nH for the highest predicted zT. The theoretical maximum zT and PF calculated using the EM model represent the upper limits achievable when the nH is tuned to its optimal value. Since the experimental value is not optimized for nH, a discrepancy between this theoretical value and the experimental results is commonly observed.

At higher temperatures, such as 473 K, both the μW and B-factor peak at x = 0.02, unlike the pristine sample, as shown in Figs 7(e,f). This shift is attributed to the suppression of bipolar conduction and ĸl. The B-factor improvement in the x = 0.02 sample (0.177) compared to the pristine sample (0.125) amounts to a 42 % increase. This suggests a comparable improvement in the theoretical maximum zT could be achieved if the nH is optimally tuned. Using Equations (10-13), the zTmax of the x = 0 and 0.02 sample are 0.41 and 0.55, respectively. The zTmax of the x = 0.02 sample is about 34 % higher than that of the pristine sample.

4. CONCLUSIONS

This study examined the effects of sintering Bi0.5Sb1.5Te3 powders decorated with nanoscale Pd particles. Despite post-sintering aggregation into micron-sized clusters, the Pd particles had a significant influence on their thermoelectric properties. At 300 K, Pd-decorated samples exhibited lower weighted mobilities but enhanced phonon scattering compared to the pristine sample. As the temperature increased, both weighted mobility and thermoelectric quality factor improved in the Pd-decorated samples, indicating a higher theoretical maximum power factor and zT. At 473 K, the Bi0.5Sb1.5Te3 + 0.02 wt.% Pd sample demonstrated a remarkable 40 % improvement in theoretical maximum zT over the pristine sample, primarily due to effective suppression of bipolar conduction. These findings highlight that Pd decoration, even with particle aggregation, can substantially enhance the thermoelectric properties of Bi0.5Sb1.5Te3, especially at elevated temperatures.

Acknowledgements

This research was supported by Basic Science Research Program through the National Research Foundation of Korea (NRF) funded by the Ministry of Education (NRF-2019R1A6A1A11055660) for Won-Seon Seo. This work was supported by the National Research Foundation of Korea(NRF) grant funded by the Korea government(MSIT) (RS-2024-00412554) for Hyosun Lee. This research was also supported by Nano·Material Technology Development Program through National Research Foundation of Korea(NRF) funded by the Ministry of Science and ICT (2022M3H4A1A04076667) for Hyun-Sik Kim.

REFERENCES

1 
Sootsman J. R., Chung D. Y., Kanatzidis M. G., Angew. Chem. Int. Ed,48, 8616 (2009)Google Search
2 
Park H., Kim S. I., Lee K., Seo W. S., Kim H. S., ChemNanoMat,8, (2022)Google Search
3 
Yang J., Meisner G., Chen L., Appl. Phys. Lett,85, 1140 (2004)Google Search
4 
Park H., Kim S. I., Kim J., Hwang S., Kim H. S., Ceramics,6, 504 (2023)Google Search
5 
Kim H. S., Kim S. I., Lee K. H., Kim S. W., Snyder G. J., Phys. Status Solidi B,254, 1600103 (2016)Google Search
6 
Tan G., Shi F., Hao S., Chi H., Zhao L. D., Uher C., Wolverton C., Dravid V. P., Kanatzidis M. G., J. Am. Chem. Soc,137, 5100 (2015)Google Search
7 
Tritt T. M., Thermal conductivity: theory, properties, and applications; Physics of Solids and Liquids,105-121, Springer (2006)Google Search
8 
Kim S. I., Lee K. H., Mun H. A., Kim H. S., Hwang S. W., Roh J. W., Yang D. J., Shin W. H., Li X. S., Lee Y. H., Science,348, 109 (2015)Google Search
9 
Minnich A. J., Dresselhaus M. S., Ren Z. F., Chen G., Energy Environ. Sci,2, 466 (2009)Google Search
10 
Medlin D. L., Snyder G. J., Curr. Opin. Colloid Interface Sci,14, 226 (2009)Google Search
11 
Lan Y. C., Minnich A. J., Chen G., Ren Z. F., Adv. Funct. Mater,20, 357 (2010)Google Search
12 
Vaqueiro P., Powell A. V., J. Mater. Chem,20, 9577 (2010)Google Search
13 
Xie W. J., He J., Kang H. J., Tang X. F., Zhu S., Laver M., Wang S. Y., Copley J. R. D., Brown C. M., Zhang Q. J., Tritt T. M., Nano Lett,10, 3283 (2010)Google Search
14 
Poudel B., Hao Q., Ma Y., Lan Y., Minnich A., Yu B., Yan X., Wang D., Muto A., Vashaee D., Chen X., Liu J., Dresslhaus M. S., Chen G., Ren Z., Science,320, 634 (2008)Google Search
15 
Mingo N., Hauser D., Kobayashi N. P., Plissonnier M., Shakouri A., Nano Lett,9, 711 (2009)Google Search
16 
Lee K., Kim H., Kim S., Lee E., Lee S., Rhyee J., Jung J., Kim I., Wang Y., Koumoto K., J. Electron. Mater,41, 1165 (2012)Google Search
17 
Lee K., Kim H., Shin W. H., Kim S. Y., Lim J., Kim S. W., Kim S., Acta Mater,185, 271 (2020)Google Search
18 
Hwang S., Kim S., Ahn K., Roh J. W., Yang D., Lee S., Lee K., J. Electron. Mater,42, 1411 (2013)Google Search
19 
Snyder G. J., Snyder A. H., Wood M., Gurunathan R., Snyder B. H., Niu C., Adv. Mater,32, 2001537 (2020)Google Search
20 
Kim M., Kim S. I., Kim S. W., Kim H., Lee K. H., Adv. Mater,33, 2005931 (2021)Google Search
21 
Hu C., Gao Z., Zhang M., Han S., Fu C., Zhu T., Energy Environ. Sci,16, 5381 (2023)Google Search
22 
Lamber R., Wetjen S., Jaeger N. I., Phys. Rev. B,51, 16 (1995)Google Search
23 
Kim H. S., Gibbs Z. M., Tang Y., Wang H., Snyder G. J., APL Mater,3, 041506 (2015)Google Search
24 
Witting I. T., Ricci F., Chasapis T. C., Hautier G., Snyder G. J., Research,2020, 4361703 (2020)Google Search
25 
Wang H., Pei Y., Lalonde A. D., Snyder G. J., Proc. Natl. Acad. Sci. U.S.A,109, 9705 (2012)Google Search
26 
Hwang S. M., Kim S. I., Heo M., Lee K., Yang H., Seo W. S., Kim H. S., Korean J. Met. Mater,61, 98 (2023)Google Search
27 
Lee J. H., Park H., Kim J. Y., Seo W. S., Yang H. S., Aydemir U., Kim S. Y., Shin W. H., Kim H. S., Korean J. Met. Mater,61, 915 (2023)Google Search

Figures and Table

Fig. 1.

X-ray diffraction (XRD) patten of Bi0.5Sb1.5Te3 with varying amounts of added Pd acetate (0, 0.02, 0.04, 0.08, and 2.00 wt.%).

../../Resources/kim/KJMM.2025.63/kjmm-2025-63-1-43f1.jpg
Fig. 2.

(a-c) Transmission electron microscopy (TEM) images of Bi0.5Sb1.5Te3 with 0.08 wt.% Pd acetate before sintering, (d) scanning electron microscopy (SEM) image of Bi0.5Sb1.5Te3 with 2.00 wt.% Pd acetate before sintering, and (e) SEM-EDS (Energy dispersive spectroscopy) Pd mapping of the sample shown in (d).

../../Resources/kim/KJMM.2025.63/kjmm-2025-63-1-43f2.jpg
Fig. 3.

(a) SEM image of the 0.08 wt.% Pd acetate sample after sintering, (b) EDS spectra, SEM-EDS elemental mapping of the same sample for (c) Bi, (d) Sb, (e) Te, and (f) Pd.

../../Resources/kim/KJMM.2025.63/kjmm-2025-63-1-43f3.jpg
Fig. 4.

(a) σ (T), (b) S (T), and (c) PF (T) of the Bi0.5Sb1.5Te3 + x wt.% Pd acetate samples (x = 0, 0.02, 0.04, 0.08, and 2.00) in a T range of 300-523 K.

../../Resources/kim/KJMM.2025.63/kjmm-2025-63-1-43f4.jpg
Fig. 5.

(a) κ (T), (b) κl + κbp (T) (inset: κl (x) at 300 K), (c) κl + κbp (T-1) (dashed line: κl), (d) κbp (T) (inset: κbp (x) at 300 K), and (e) zT (T) (inset: average zT (x) (423-523 K) of the Bi0.5Sb1.5Te3 + x wt.% Pd acetate samples (x = 0, 0.02, 0.04, 0.08, and 2.00) in a T range of 300-523 K.

../../Resources/kim/KJMM.2025.63/kjmm-2025-63-1-43f5.jpg
Fig. 6.

(a) Hall carrier concentration (nH) (x), (b) md* (x), (c) μ0 (x), and inset of (c) deformation potential (Edef) (x) of the Bi0.5Sb1.5Te3 + x wt.% Pd acetate samples (x = 0, 0.02, 0.04, 0.08, and 2.00) at 300 K.

../../Resources/kim/KJMM.2025.63/kjmm-2025-63-1-43f6.jpg
Fig. 7.

(a) μW (x), (b) B-factor (x), (c) PF (x), (d) zT (nH) at 300 K, (e) μW (x), and (f) B-factor (x) at 473 K of the Bi0.5Sb1.5Te3 + x wt.% Pd acetate samples (x = 0, 0.02, 0.04, 0.08, and 2.00).

../../Resources/kim/KJMM.2025.63/kjmm-2025-63-1-43f7.jpg
Table 1.

EDS spectra of the Fig. 3(a) region of the 0.08 wt.% Pd acetate sample after sintering.

Element wt.% Standard deviation of wt.% sigma at.%
Pd 1.06 0.04 1.33
Sb 28.08 0.10 30.71
Te 56.16 0.11 58.60
Bi 14.70 0.08 9.36
Total 100.00 100.00