์ด์ฐฝ์ฑ
(Chang-Uk Lee)
1
๊น๊ฒฝ์
(Kyeong-Won Kim)
2
์ด์ฐฝํ
(Chang-Hoon Lee)
2
๋ฐํ๊ถ
(Hyungkwon Park)
2*
๋ฐ์ฑ์ค
(Seong-Jun Park)
2*
-
์ฑ์ผํฐ๋น ๊ธฐ์ ์ฐ๊ตฌ์
(1Rearch & Development (R&D) Center, Sungil Turbine Co. Ltd., 45 Noksansandan 289-ro,
Gangseo-gu, Busan, Republic of Korea)
-
ํ๊ตญ์ฌ๋ฃ์ฐ๊ตฌ์ ๊ทนํ์ฌ๋ฃ์ฐ๊ตฌ์
(2Extreme Materials Research Institute, Korea Institute of Materials Science, 797 Changwondae-ro,
Seongsan-gu, Changwon, Gyeongnam 51508, Republic of Korea)
Copyright ยฉ 2025 The Korean Institute of Metals and Materials
Key words
Machinability, Lightweight steel, Heat-treatment, Microstructure, Inclusions
1. ์ ๋ก
์ต๊ทผ ํ๊ฒฝ์ค์ผ ๋ฐ ์ด์ฐํํ์ ๋ฐฐ์ถ ๊ท์ ๊ฐ ๊ฐํ๋จ์ ๋ฐ๋ผ ์์ก๊ธฐ๊ธฐ, ๋ฐ์ ์ค๋น ๋ฑ์ ํจ์จ์ ํฅ์์ํค๊ธฐ ์ํ ๋ชฉ์ ์ผ๋ก ๋ถํ ๊ฒฝ๋ํ์ ๋ํ ๊ด์ฌ์ด ๋์์ง๊ณ
์๋ค. ์ด์ ๋์ํ์ฌ ๋ถํ์ ์ ์ฉ๋๋ ๊ฐ์ฌ์ ๊ณ ๊ฐ๋ํ๋ฅผ ํตํด ์ ์ฉ ๋ถํ์ ๊ฐ๋๋ฅผ ์ ์งํ๋ฉด์ ๋ถํ์ ๋๊ป ๋๋ ํฌ๊ธฐ๋ฅผ ๊ฐ์์์ผ ์ ์ฒด ์ ํ์ ๊ฒฝ๋ํ์ํค๋
๋ฐฉ์์ ๋ํ ์ฐ๊ตฌ๊ฐ ์งํ๋๊ณ ์๋ค. ํํธ, ๊ฒฝ๋์ฒ ๊ฐ์ ์ผ๋ฐ ์ฒ ๊ฐ์์ฌ์ ๊ฒฝ๋์์์ธ Al์ ๋ค๋ ์ฒจ๊ฐํ์ฌ ์ผ๋ฐ ๊ฐ์ฌ๋ณด๋ค ๋ฎ์ ๋ฐ๋๋ก ๊ฒฝ๋ํ๋ ์ฒ ๊ฐ์์ฌ๋ฅผ
์๋ฏธํ๋ค. ๊ธฐ์กด ์ฐ์
์ ์ผ๋ก ๋๋ฆฌ ์ฌ์ฉ๋๋ ์ฒ ๊ฐ ์ ํ์ ๊ฒฝ๋ํํ์ฌ ์ฌ์ฉํ ์ ์๋ค๋ ์ธก๋ฉด์์ ํฐ ๊ด์ฌ์ ๋ฐ๊ณ ์์ผ๋ฉฐ, ๋์์ ์ ํ ์ ์ฉ์ ์ํ ๋ค์ํ
ํน์ฑ์ ๋ํ ๋ง์ ์ฐ๊ตฌ๊ฐ ์ด๋ฃจ์ด์ง๊ณ ์๋ค[1-3].
๊ฒฝ๋์ฒ ๊ฐ์ Fe-Mn-Al-C ์ฑ๋ถ๊ณ๋ฅผ ๊ธฐ๋ณธ์ผ๋ก Mn, Al, C์ ํฉ๊ธ์ฑ๋ถ ์์ ๋ฐ๋ผ ํ๋ผ์ดํธ๊ณ, ์ค์คํ
๋์ดํธ๊ณ, ๋ํ๋ ์ค๊ณ ๋ฑ์ ๋ฏธ์ธ์กฐ์ง์ ๊ฐ๊ฒ
๋๋ฉฐ, ๊ทธ์ ๋ฐ๋ผ ๋ค์ํ ๊ธฐ๊ณ์ ํน์ฑ์ ๋ณด์ธ๋ค[2,3]. ๊ทธ ์ค ์ค์คํ
๋์ดํธ๊ณ ๊ฒฝ๋์ฒ ๊ฐ์ ํ๋ผ์ดํธ ์์ ํ ์์์ธ Al์ ์ฒจ๊ฐ๋(5-12 wt.%)์ ๋ฐ๋ผ ์ค์คํ
๋์ดํธ ์์ ํ ์์์ธ Mn (12-30
wt.%)์ C (0.6-2.0 wt.%)์ ์ถฉ๋ถํ ์ฒจ๊ฐํจ์ผ๋ก์จ ์์จ์์ ์ค์คํ
๋์ดํธ ๋จ์์ ๊ฐ๋๋ก ์ค๊ณ๋ ๊ฐ์ฌ์ด๋ค. ํนํ, ์ค์คํ
๋์ดํธ๊ณ ๊ฒฝ๋์ฒ ๊ฐ์
๋์ ๊ฐ๋์ ๋์์ ๋์ ์ฐ์ฑ๊ณผ ์ธ์ฑ์ ๊ฐ๋ ์ฐ์ํ ๊ธฐ๊ณ์ ํน์ฑ์ผ๋ก ์ฐ์
์ ํ์ฉ์ ๋ํ ๋ง์ ์ฐ๊ตฌ๊ฐ ์ด๋ฃจ์ด์ง๊ณ ์๋ค[4-6]. ๋ํ์ฌ ์ค์คํ
๋์ดํธ๊ณ ๊ฒฝ๋์ฒ ๊ฐ์ ์ ์ ํ ์ํจ์ด์ฒ๋ฆฌ๋ฅผ ํตํด ๊ธฐ์ง ๋ด ฮบ-ํํ๋ฌผ์ ์์ถ์ํฌ ์ ์๋๋ฐ, ์ผ๋ฐ์ ์ผ๋ก (Fe, Mn)3AlC ํํ์กฐ์ฑ์ ๊ฐ๋ ฮบ-ํํ๋ฌผ์ ์ค์คํ
๋์ดํธ ๊ธฐ์ง์ ์์ ์ ํฉ์ ์ด๋ฃจ๋ฉฐ ๋ฏธ์ธํ๊ฒ ํ์ฑ๋์ด ๊ฐ๋๋ฅผ ํฌ๊ฒ ํฅ์์ํฌ ์ ์๋ ๊ฒ์ผ๋ก ๋ณด๊ณ ๋๊ณ ์๋ค[3,6]. ๋ฐ๋ผ์ ๊ฒฝ๋์ฒ ๊ฐ์ ๋ชฉํ ๋ถํ ํน์ฑ์ ๋ถํฉํ๋๋ก ์ํจ์ด์ฒ๋ฆฌ๋ฅผ ํตํด ๊ฐ๋๋ฅผ ํฅ์์์ผ ๊ตฌ์กฐ์ฌ๋ก์ ์ฌ์ฉํ๊ธฐ์ ์ ํฉํ๋ค.
์ ์ญ๊ฐ๊ณต์ ๊ตฌ์กฐ์ฌ๋ฅผ ํน์ ํ ํฌ๊ธฐ ๋ฐ ํ์์ ๋ถํ์ผ๋ก ๋ง๋ค๊ธฐ ์ํ์ฌ ๋ฐ์ ํ ํํ์ ์์ฌ๋ฅผ ๊น๋ ๊ฐ๊ณต๋ฒ์ ์๋ฏธํ๋ค. ๋ฐ๋ผ์ ํน์ ํ ํ์์ ๋ถํ์ ์ ์ํ๊ธฐ
์ํด์ ์์ฌ์ ์ ์ญ์ฑ(Machinability)์ ์ค์ํ ํน์ฑ์ด๋ผ ํ ์ ์๋ค. ํนํ ์ ํ์ฐ๊ตฌ์ ๋ฐ๋ฅด๋ฉด ๋ถํ์ ์ ์ฒด ๊ฐ๊ณต๋น์ฉ ์ค 40% ์ด์์ด ์ ์ญ
๊ณต์ ์์ ์์๋๋ ๊ฒ์ผ๋ก ๋ณด๊ณ ๋๊ณ ์๊ธฐ ๋๋ฌธ์ ๋ถํ ์ ์กฐ ์
์ฅ์์๋ ๊ฒฝ์ ์ฑ ์ธก๋ฉด์์ ๋ฐ๋์ ๊ณ ๋ ค๋์ด์ผ ํ ํน์ฑ์ด๋ค[7]. ์ฆ, ๋ฐ์ด๋ ํน์ฑ์ ๊ฐ๋ ์์ฌ๋ผ๋ ๊ฐ๊ณต๋น์ฉ์ด ๋น์ธ๋ค๋ฉด ์ฐ์
์ ์์ฉ์ด ์ ํ๋ ์ ์๊ธฐ ๋๋ฌธ์, ์๋กญ๊ฒ ๊ฐ๋ฐ๋ ๊ฐ์ฌ์ ๋ํ ์ ์ญ์ฑ ํ๊ฐ๋ ๋ฐ๋์
๊ฒํ ๋ ํ์๊ฐ ์๋ค. ์ ํ์ฐ๊ตฌ์์๋ ๋๊ฐ ๋์ ๊ฐ๊ณต๊ฒฝํ์จ, ๋์ ๊ฐ๋, ๋์ ์ฐ์ฑ๊ณผ ์ธ์ฑ, ๋ฎ์ ์ด์ ๋๋ ๋ฑ์ ํน์ฑ์ ๊ฐ๋ ์์ฌ๋ฅผ ๋์ ์ญ์์ฌ(Difficult-to-machine
Material)๋ก ๋ถ๋ฅํ๋ค[7-9]. ์์ ๊ฐ์ ํน์ฑ์ ๊ธฐ๊ณ์ ์ ์ญ๊ฐ๊ณต์ ์ ์ญ ๊ณต๊ตฌ์ ๋ง๋ชจ๊ฐ ์ฌํ๊ฒ ๋ฐ์๋๊ธฐ ๋๋ฌธ์ ๊ณต๊ตฌ ์๋ชจ๋๊ฐ ๋๊ณ ๊ณต๊ตฌ ๊ต์ฒด๊ฐ ์ฆ์์ง๊ฒ ๋๋ฏ๋ก ๊ฒฐ๊ณผ์ ์ผ๋ก ์ ํ๋น์ฉ์ด
์ฆ๊ฐ๋๋ ์์ธ์ผ๋ก ์์ฉํ๊ฒ ๋๋ค. ์ด๋ฌํ ์ธก๋ฉด์์ ๋ํ์ ์ธ ๋์ ์ญ์์ฌ๋ก ํ๊ฐ๋๋ ์ค์คํ
๋์ดํธ๊ณ ์คํ
์ธ๋ฆฌ์ค(Austenitic Stainless)๊ฐ์
๊ฒฝ์ฐ ์ ์ญ์ฑ์ ํฅ์์ํค๊ธฐ ์ํ ๋ค์ํ ์ฐ๊ตฌ๊ฐ ๋ณด๊ณ ๋๊ณ ์๋ค[7,9,10]. ์ํ๊น๊ฒ๋ ์ค์คํ
๋์ดํธ๊ณ ๊ฒฝ๋์ฒ ๊ฐ์ ์์์ ์ธ๊ธํ ์ค์คํ
๋์ดํธ๊ณ ์คํ
์ธ๋ฆฌ์ค๊ฐ๊ณผ ์ ์ฌํ ํน์ฑ์ ๊ฐ๊ธฐ ๋๋ฌธ์ ์ ์ญ์ฑ์ด ์๋นํ ๋จ์ด์ง๋ ๊ฒ์ผ๋ก ๋ณด๊ณ ๋๊ณ
์๋ค[11]. ์ค์คํ
๋์ดํธ๊ณ ๊ฒฝ๋ ์ฒ ๊ฐ์ ์งง์ ์ ์ญ๊ฑฐ๋ฆฌ์์๋ ์๋นํ ๊ณต๊ตฌ ๋ง๋ชจ๊ฐ ๋ฐ์๋๋ฉฐ ๋์์ ์ ์ญ๋ ฅ์ด ๊ธ๊ฒฉํ ๋์์ง๋ ๋์ ์ญ ํน์ฑ์ ๋ณด์์ผ๋ฉฐ, ์ด๋ฌํ ๋ฎ์
์ ์ญ์ฑ์ Sulfur ์ฒจ๊ฐ๋ฅผ ํตํ์ฌ MnS ๊ฐ์ฌ๋ฌผ์ ํ์ฑ์ํด์ผ๋ก์จ ์๋น๋ถ๋ถ ๊ฐ์ ํ ์ ์๋ค๊ณ ๋ณด๊ณ ๋ ๋ฐ ์๋ค[11]. ํ์ง๋ง ํ์ฌ๊น์ง ๊ฒฝ๋์ฒ ๊ฐ์ ๋ถํ ์ ์ฉ์ ์ํด ํ์ํ ์ํจ์ฒ๋ฆฌ ํ ์ ์ญ ํน์ฑ์ ๋ํ ์ฐ๊ตฌ๋ ๋ณด๊ณ ๋ ๋ฐ๊ฐ ์๋ค.
๋ฐ๋ผ์ ๋ณธ ์ฐ๊ตฌ์์๋ ์ค์คํ
๋์ดํธ๊ณ ๊ฒฝ๋์ฒ ๊ฐ์ ๊ตฌ์กฐ์ฌ๋ก์์ ํ์ฉ๋๋ฅผ ๊ณ ๋ คํ์ฌ ์ ์ญ์ฑ ํฅ์์ ์ํ S์ฒจ๊ฐ ํ, ์ํจ ์ /ํ ๊ธฐ๊ณ์ ๋ฌผ์ฑ ๋ฐ ์ ์ญ์ฑ ๋ณํ๋ฅผ
๊ณ ์ฐฐํ๊ณ ์ ํ์๋ค. ์ด๋ฅผ ์ํด ๋ค์ํ ํจ๋์ S๊ฐ ์ฒจ๊ฐ๋ ๊ฒฝ๋์ฒ ๊ฐ์ ์ ์กฐํ์ฌ MnS ๊ฐ์ฌ๋ฌผ์ ์์ ํฌ๊ธฐ ์ ์ด๋ฅผ ํ์์ผ๋ฉฐ, S ํจ๋์ ๋ฐ๋ฅธ ๊ธฐ๊ณ์ ๋ฌผ์ฑ
๋ณํ์ MnS ๊ฐ์ฌ๋ฌผ ๊ฐ์ ์๊ด๊ด๊ณ์ ๋ํ ๊ณ ์ฐฐ์ ์งํํ์๋ค. ๋ํ ๊ท ์งํ์ด์ฒ๋ฆฌ์ฌ์์ S ํจ๋์ ๋ฐ๋ฅธ ์ ์ญ์ฑ ๊ฐ์ ํจ๊ณผ์ ์ํจ ์ด์ฒ๋ฆฌ์ ์ํ ์ ์ญ
ํน์ฑ ๋ณํ์ ๋ํด ์ดํด๋ณด์์ผ๋ฉฐ, ๋์๊ฐ ์ด๋ฌํ ๊ฒฐ๊ณผ๋ฅผ ๋ฐํ์ผ๋ก ๋ถํ ์ ์์ ๊ณต์ ์์์ ๋ํ ๊ณ ์ฐฐ์ ์งํํ์๋ค. ์ด๋ฅผ ํตํด ํฅํ ๋ค์ํ ์ฐ์
์์ ์ค์คํ
๋์ดํธ๊ณ
๊ฒฝ๋์ฒ ๊ฐ์ ๊ตฌ์กฐ์ฌ๋ก ํ์ฉํจ์ ์์ด ์ค์ํ ๊ณตํ์ ๊ด์ ์ ์ ์ํ๊ณ ์ ํ์๋ค.
2. ์คํ ๋ฐฉ๋ฒ
๋ณธ ์ฐ๊ตฌ์์๋ ์ ์ญ์ฑ์ ํฅ์์ํค๊ธฐ ์ํ์ฌ S ์ฑ๋ถ์ ์ฒจ๊ฐํ ์ค์คํ
๋์ดํธ๊ณ ๊ฒฝ๋์ฒ ๊ฐ์ ์ ์กฐํ์๋ค. ํฉ๊ธ์ Fe-22Mn-8Al-0.9C-0.02Nb์
๊ธฐ๋ฐ์ผ๋ก 0.0048์์ 0.0256, 0.0494 wt.% ํจ๋์ S๋ฅผ ์ฒจ๊ฐํ์์ผ๋ฉฐ ๊ฐ ํฉ๊ธ์ ํํ์ฑ๋ถ ๋ถ์๊ฒฐ๊ณผ๋ ํ 1์ ๋ํ๋ด์๋ค.
ํธ์์ ํฉ๊ธ์ S ์ฒจ๊ฐ๋์ ๋ฐ๋ผ ๊ฐ๊ฐ MA0S, MA25S ๋ฐ MA50S๋ก ํ๊ธฐํ์๋ค. ๊ฐ ํฉ๊ธ๋ค์ ๋จผ์ ์ง๊ณต์ ๋์ฉํด๋ฒ์ ์ด์ฉํ์ฌ 100 kg์ ์๊ณณ์
์ ์ํ์๋ค. ๋ง๋ค์ด์ง ์๊ณณ์ 1150 ยฐC ์์ 2์๊ฐ ๊ฐ์ด ํ, 900 ยฐC ์ด์์ ์จ๋์์ 55 mm์ ๋๊ป๋ก ์ด๊ฐ์์ฐ ํ ์๋ ์ฒ๋ฆฌํ์๋ค. ์์ฐ๋
ํ์ฌ๋ 1000 ยฐC์์ 2์๊ฐ ๊ท ์งํ์ด์ฒ๋ฆฌ ํ ์๋์ฒ๋ฆฌ๋ฅผ ์ค์ํ์๋ค.
๊ทธ๋ฆผ 1(a)์ 1(b)๋ ๊ฐ๊ฐ ์ง์ 10 ppm์ ํฌํจํ๋ MA0S์ MS50S์ Thermo-Calc. (TCFE11) ์ด์ญํ ๊ณ์ฐ ๊ฒฐ๊ณผ๋ฅผ ๋ํ๋ธ๋ค. ๊ทธ๋ฆผ 1์ ๋ํ๋ ๊ฒ๊ณผ ๊ฐ์ด 1000 ยฐC์์ ๊ท ์งํ์ด์ฒ๋ฆฌ ํ ์๋์ฒ๋ฆฌํ ํฉ๊ธ๋ค์ ๊ธฐ์ง๋ ์ค์คํ
๋์ดํธ๋ก ์ด๋ฃจ์ด์ง ๊ฒ์ผ๋ก ์์๋๋ค. ์ํจ์ด์ฒ๋ฆฌ๋ ๊ท ์งํ์ด์ฒ๋ฆฌ
ํ ์๋ํ ์์ฌ๋ฅผ ์ด์ฉํ์ฌ 550 ยฐC์์ 6์๊ฐ ๋์ ์ ์งํ ํ ๊ณต๋ํ์์ผ๋ฉฐ, ์ํจ ํ์ ํฉ๊ธ์ ๋ณ๋๋ก ๊ฐ๊ฐ MA0S-AG, MA25S-AG ๋ฐ
MA50S-AG๋ก ํ๊ธฐํ์๋ค.
๊ฐ ํฉ๊ธ์ ๋ฏธ์ธ์กฐ์ง์ ๊ดํํ๋ฏธ๊ฒฝ(OM, optical microscopy, DM2700M, Leica)๊ณผ ์ ๊ณ๋ฐฉ์ฌํ ์ฃผ์ฌ์ ์ํ๋ฏธ๊ฒฝ(FE-SEM, field
emission scanning electron microscopy, JSM-7001F, JEOL)์ ์ด์ฉํ์ฌ ๊ด์ฐฐํ์๋ค. ๋ฏธ์ธ์กฐ์ง ๊ด์ฐฐ์ฉ ์ํธ์
์์ฐ๋ฐฉํฅ์ผ๋ก ์ํธ์ ์ ๋จํ์์ผ๋ฉฐ, ์ ๋จ๋ ์ํธ์ ๊ธฐ๊ณ์ ์ฐ๋ง ํ 10% Nital (HNO3 10% + Ethanol 90%) ์ฉ์ก์ ์ฌ์ฉํ์ฌ ์์นญ ์ฒ๋ฆฌํ์๋ค. ์ํจ ์ ํ์ ฮบ-ํํ๋ฌผ ํ์ฑ ๋ฐ ๊ทธ ๋ถํฌ๋ฅผ ํ์ธํ๊ธฐ ์ํ์ฌ ํฌ๊ณผ์ ์ํ๋ฏธ๊ฒฝ(TEM,
transmission electron microscopy, JEM-2100F, JEOL)์ ์ด์ฉํ์ฌ ๋ฏธ์ธ์กฐ์ง ๊ด์ฐฐ์ ์งํํ์์ผ๋ฉฐ, ์ ํ์์ผ์ ์ํ์ (SAED,
selected area eletron diffraction) ํจํด ๋ถ์์ ํตํด ๊ทธ ๊ฒฐ์ ๊ตฌ์กฐ ๋ถ์์ ์งํํ์๋ค. TEM ๋ฏธ์ธ์กฐ์ง ๊ด์ฐฐ์ ์ํ ์ํ์
๊ธฐ๊ณ์ ์ฐ๋ง๋ฅผ ํตํด 80 ฮผm ์ดํ์ ๋๊ป๊น์ง Thin Foil ์ํธ์ผ๋ก ์ ์ํ ํ ์ด๋ฅผ ํผํฌ๋ฆญ์ฐ(10%)๊ณผ ๋ฉํ์ฌ(90%) ํผํฉ์ฉ์ก๊ณผ -20 ยฐC
๋ฐ 24 V ์กฐ๊ฑด์์ twin-jet polishing์ ํตํด ์ ์ํ์๋ค.
์ธ์ฅํน์ฑ ํ๊ฐ๋ฅผ ์ํ์ฌ ๊ฐ ํฉ๊ธ์ ASTM E8M ๊ท๊ฒฉ์ ๋ฐ๋ผ ๋ด์์ธ์ฅ์ํธ์ผ๋ก ๊ฐ๊ณตํ์์ผ๋ฉฐ, ์ธ์ฅ์ํ์ 1.33 ร 10-3 s-1์ ๋ณํ์๋๋ก ์ธ์ฅ์ํ๊ธฐ(INSTRON 4485, INSTRON)๋ฅผ ์ฌ์ฉํ์ฌ ํ๊ฐํ์๋ค. ๊ฐ ํฉ๊ธ์ ์ธ์ฑ์ ํ๊ฐํ๊ธฐ ์ํ์ฌ ์ค๋ฅดํผ ์ถฉ๊ฒฉ์ํ์ ์งํํ์๋ค.
๊ฐ ํฉ๊ธ์ ASTM E23์ ๋ฐ๋ผ ๊ฐ๊ณต์ ์งํํ์์ผ๋ฉฐ ์ค๋ฅดํผ ์ถฉ๊ฒฉ ์ํ์ฅ๋น(IT406, TINIUS OLSEN)๋ฅผ ์ฌ์ฉํ์ฌ ์ถฉ๊ฒฉํก์์๋์ง๋ฅผ ํ๊ฐํ์๋ค.
์ด์ ๋๋์ ์ดํฝ์ฐฝ๊ณ์๋ ๊ฐ๊ฐ ๋ ์ด์ ํ๋์ฌ ์ฅ๋น(Laser flash apparatus, LFA467HT, NETZSCH)๊ณผ ๋๋ผํ ๋ฏธํฐ ์ฅ๋น(Theta,
Dilatronic-III)๋ฅผ ์ฌ์ฉํ์ฌ ์ธก์ ํ์๋ค. ์ด์ ๋๋๋ 10 ร 10 ร 3 mm3 ํฌ๊ธฐ ์ํธ์ ์ฌ์ฉํ์ฌ ASTM E1461-13 ๊ท๊ฒฉ์ ๋ฐ๋ผ ์ธก์ ํ์์ผ๋ฉฐ, ์ดํฝ์ฐฝ๊ณ์๋ 3 mm ์ง๋ฆ๊ณผ 10 mm ๊ธธ์ด์ ์ํตํ ์ํธ์ ์ฌ์ฉํ์ฌ ์ธก์ ํ์๋ค.
์ ์ญ์ฑ์ ํ์ฌ์ ๋ฐ๋ง(Milling)๊ฐ๊ณต ๋ฐฉ๋ฒ์ผ๋ก ์งํํ์์ผ๋ฉฐ ์ ์ญ๊ณผ์ ์์์ ๊ณต๊ตฌ ์์์ ๋๋ฅผ ๊ธฐ์ค์ผ๋ก ๊ณต๊ตฌ์๋ช
์ ํ๊ฐํ์๋ค. ์ฅ๋น๋ ์์งํ๋จธ์๋์ผํฐ(NX6500II,
Doosan Machine Tools)๋ฅผ ์ฌ์ฉํ์๊ณ , ์ ์ญ๋ ฅ์ ๊ณต๊ตฌ๋๋ ฅ๊ณ(9119AA2, Kistler)๋ก ์ธก์ ํ์์ผ๋ฉฐ, ๊ณต๊ตฌ๋ง๋ชจ ์ ๋๋ ๊ฐ ์ํ๊ฑฐ๋ฆฌ๋ง๋ค
๋์งํธํ๋ฏธ๊ฒฝ(VHX-5000, Keyence)์ ํตํด ๊ณต๊ตฌ๋ ์ ๊ด์ฐฐ์ ๊ด์ฐฐํ์ฌ ํ๊ฐํ์๋ค[๊ทธ๋ฆผ 2(a)].
์ ์ญ๋ ฅ๊ณผ ๊ณต๊ตฌ๋ง๋ชจ ์ํ์ ์ํ ์ํธ์ ๊ฐ๊ฐ 45 ร 60 ร 50 mm3๊ณผ 100 ร 100 ร 50 mm3 ํฌ๊ธฐ๋ก ์ค๋นํ์๋ค. ์ ์ฒด ์ ์ญ๊ฑฐ๋ฆฌ๋ 40 m๋ก ์ค์ ํ์์ผ๋ฉฐ, ๋งค 4 m (1 pass) ๋ง๋ค ์ค๋จ ํ ๋์งํธํ๋ฏธ๊ฒฝ์ ํตํด ์ ์ญ๊ณต๊ตฌ 4๊ฐ ๋ ์ ๊ด์ฐฐํ๊ณ
Crater ๋ง๋ชจ๊ฐ ์งํ๋ ์ ๋๋ฅผ ์ธก์ ํ์๋ค. ์ํ ์งํ ์ค 4๊ฐ ๋ ์ค ํ๋์ ๋ ์ด๋ผ๋ Crater ๋ง๋ชจ๊ฐ 200 ฮผm ์ด์์ด ๋๋ฉด ๊ทน์ฌํ ์์๊ณผ
ํจ๊ป ๋ง๋ชจ ์ ๋๊ฐ ๊ธ์์ค๋ฝ๊ฒ ์์นํ๊ธฐ ๋๋ฌธ์ ๊ณต๊ตฌ๋ง๋ชจ 200 ฮผm๋ฅผ ์ ์ญ๊ฐ๊ณตํ๊ณ๋ก ์ค์ ํ์๋ค. ๊ทธ๋ ์ง ์์ ๊ฒฝ์ฐ ๋ค์ pass๋ฅผ ์ํํ์์ผ๋ฉฐ ๊ณต๊ตฌ๋ง๋ชจ๊ฐ
๊ฐ๊ณตํ๊ณ๋ฅผ ๋์ง ์์ ๊ฒฝ์ฐ 40 m๊น์ง ์ ์ญ๊ฐ๊ณต์ ์งํํ์ฌ ํ๊ฐ๋ฅผ ์๋ฃํ์๋ค. ๊ทธ๋ฆผ 2(b)์ ๋นจ๊ฐ์ ํ์ดํ๋ก ๋ํ๋ธ ๋ฐ์ ๊ฐ์ด 1 pass์ ๊ณต๊ตฌ๋ ์ฌ๊ทธ์ฌ๊ทธ ํํ๋ก ๊ฐ๊ณต์ ์งํํ์๋ค. ๊ณต๊ตฌ๋ ์ฒ์ x์ถ ๋ฐฉํฅ์ผ๋ก ์ํ์ ๊ฐ๋ก์ง๋ฌ ๊ฐ๊ณต ํ
(100 mm), y์ถ์ผ๋ก 0.5 mm ์ด๋ํ๊ณ , ๊ทธ ํ์ ๋ค์ -x์ถ ๋ฐฉํฅ์ผ๋ก ์ ์ญ์ ์งํํ์๋ค. ์ด๋ฐ์์ผ๋ก ๊ณต๊ตฌ๋ pass๋น ์ด 4 m๋ฅผ ์ด๋ํ๊ฒ
๋๋ค. ๋ช๋ฒ์ ์๋น์ํ ํ์, ์ ์ญ๊ฐ๊ณต ํ๋ผ๋ฏธํฐ๋ฅผ ๊ณ ์ ํ์ฌ ์ํ์ ์งํํ์๋ค; ์ ์ญ์๋(cutting speed, Vc)์ ์ด์ก์๋(feeding rate, f)๋ ๊ฐ๊ฐ 100 m/min๊ณผ 1147 mm/min์ผ๋ก ์ค์ ํ์๋ค. ๋ํ์ฌ ์ ์ญ๋ ฅ์ ๋งค ๊ณต๊ตฌ๋ง๋ชจ๋ ํ๊ฐ ์ง์
๊ณต๊ตฌ๋๋ ฅ๊ณ๋ฅผ ํตํด ์ธก์ ๋ ๊ฐ์ ์ฌ์ฉํ์๋ค. ์ ์ญ๋ ฅ(Fc)์ 3๊ฐ์ ์ถ ์ ์ญ๋ ฅ ์ธก์ ๊ฐ์ ์ด์ฉํ์ฌ ์๋์ ๊ฐ์ ์์ ํตํด ๊ณ์ฐ๋์๋ค.
์ฌ๊ธฐ์ Fx, Fy, Fz๋ ๊ฐ๊ฐ x-, y-, z-์ถ ์ ์ญ๋ ฅ์ ์๋ฏธํ๋ค. ์ถ๊ฐ์ ์ผ๋ก 4๊ฐ์ ๋ ์ ๊ฐ๋ ์ ์ญ๊ณต๊ตฌ๋ WC-Co ์์ฌ์ AlTiCrN์ด ์ฝํ
๋ Medium Flat
Type ์๋๋ฐ(TSE 4100M TT5525, TAEGUTEC)์ ์ ์ ํ์๋ค. ๋ํ ์ ์ญ ์ค ๊ณต๊ตฌ๋ง๋ชจ๋ฅผ ๊ฐ์์ํค๊ณ ์จ๋์์น์ ์ต์ ํ์ฌ ์ํํ ์์ฌ
์ ์ญ์ด ๊ฐ๋ฅํ๋๋ก ์ ์ญ์ (cutting oil, OLEX CUT 7500FE)๋ฅผ ์ถฉ๋ถํ ๋ถ์ฌํ์๋ค.
3. ๊ฒฐ๊ณผ ๋ฐ ๊ณ ์ฐฐ
3.1. ์ํจ ์ /ํ ๋ฏธ์ธ์กฐ์ง ๋ฐ ๊ฐ์ฌ๋ฌผ ๋ถ์
๊ทธ๋ฆผ 3(a-c)๋ ๊ท ์งํ์ฒ๋ฆฌํ MA0S, MA25S ๋ฐ MS50S ํฉ๊ธ์ ๊ดํํ๋ฏธ๊ฒฝ ๋ฏธ์ธ์กฐ์ง ์ฌ์ง์ ๋ํ๋ธ๋ค. ์ธ ํฉ๊ธ์ ๋ชจ๋ ์ค์คํ
๋์ดํธ ๊ธฐ์ง๋ฅผ ๊ฐ๋ ๊ฒ์ ํ์ธํ
์ ์์ผ๋ฉฐ, ์ด๋ ๊ทธ๋ฆผ 1์ ์ด์ญํ ๊ณ์ฐ ๊ฒฐ๊ณผ์ ์ผ์นํจ์ ์ ์ ์๋ค. ๊ฐ ํฉ๊ธ์ ๊ฒฐ์ ๋ฆฝ ํฌ๊ธฐ๋ ๊ฐ๊ฐ 45.75, 55.67 ๋ฐ 56.14 ฮผm๋ก ์ธก์ ๋์ด ์ ์ฌํ ๊ฒฐ์ ๋ฆฝ ํฌ๊ธฐ๋ฅผ
๊ฐ๋๋ค. ์ ํ ์ฐ๊ตฌ์์ 46 ๊ณผ 58 ฮผm ๊ฒฐ์ ๋ฆฝ ํฌ๊ธฐ ์ฐจ์ด๋ ๊ฒฐ์ ๋ฆฝ๊ณ ๊ฐํ ํจ๊ณผ ์ฐจ์ด๊ฐ ์ฝ 7.42 MPa๋ก ํ๊ฐ๋ ์ ์ ๊ฐ์ํด๋ณด๋ฉด, 46๊ณผ 56
ฮผm ๊ฒฐ์ ๋ฆฝ ์ฐจ์ด์ ์ํ ๊ฐํํจ๊ณผ๋ ๋ฏธ๋ฏธํ ๊ฒ์ผ๋ก ์ฌ๋ฃ๋๋ค[11]. ๊ทธ๋ฆผ 3(a-c)๋ฅผ ๋ณด๋ฉด ๊ฒ์์ ๋ฐ์ ๋ค์ด ๊ด์ฐฐ๋๋๋ฐ, ์ด ๋ฐ์ ๋ค์ S ํจ๋์ด ์ฆ๊ฐํจ์ ๋ฐ๋ผ ํฌ๊ธฐ์ ์๊ฐ ์ฆ๊ฐํ๋ ๊ฒ์ฒ๋ผ ๋ณด์ธ๋ค. ๊ทธ๋ฆผ 3(d-f)๋ ๊ฐ ํฉ๊ธ์ ์ํจ ํ์ ๊ดํํ๋ฏธ๊ฒฝ ๋ฏธ์ธ์กฐ์ง ์ฌ์ง์ ๋ํ๋ธ๋ค. ์ํจ์ด์ฒ๋ฆฌ ํ ๊ฒฐ์ ๋ฆฝ ํฌ๊ธฐ ๋ฐ ๊ฒ์์ ๋ฐ์ ์ ํฌ๊ธฐ ๋ฐ ์๋ ํฐ ๋ณํ๊ฐ ์์๋ค. ๋ค๋ง
๊ฒฐ์ ๋ฆฝ๊ณ๊ฐ ๋์ฑ ์ ๋ช
ํด์ง ๊ฒ์ ํ์ธํ ์ ์๋๋ฐ, ์ด๋ ์
๊ณ์ ์์ถ๋ ฮบ-ํํ๋ฌผ์ ์์นญ์ ์ํ ๊ฒฐ๊ณผ๋ก ์ฌ๋ฃ๋๋ค.
๊ทธ๋ฆผ 4(a, c)์ 4(b, d)๋ ๊ฐ๊ฐ ์ํจ ์ ๊ณผ ํ์ MA0S์ MA50S ํฉ๊ธ์ TEM ๋ฏธ์ธ์กฐ์ง ์ฌ์ง์ ๋ํ๋ด๋ฉฐ, ๊ฐ ์ฝํ๋ ๊ฐ๊ฐ์ SAED ํจํด์ ๋ํ๋ธ๋ค. ์์์ ์ธ๊ธํ
๋ฐ์ ๊ฐ์ด, ์ํจ์ ์ ํฉ๊ธ๋ค์ ๊ธฐ์ง ์กฐ์ง์ ์ค์คํ
๋์ดํธ ์์ธ ๊ฒ์ ๊ทธ๋ฆผ 4(a)์ 4(c)์ SAED ํจํด์ ํตํด ํ์ธํ ์ ์๋ค.
๋ํ ๊ท ์งํ์ฒ๋ฆฌ ํ ์๋์ฒ๋ฆฌํ ์ํธ์์๋ ์ ์๊ฐ ๋ง์ด ๊ด์ฐฐ๋์์ผ๋, ์ด๋ฌํ ์ ์๋ค์ ๊ทธ๋ฆผ 4(b)์ 4(d)์ ๋ณด์ด๋ ๋ฐ์ ๊ฐ์ด ์ํจ ํ ๋ง์ด ์ฌ๋ผ์ง๋ ๊ฒ์ด ๊ด์ฐฐ๋์๋ค. ๋ํ์ฌ ์ํจ์ด์ฒ๋ฆฌ๋ฅผ ์งํํ ํฉ๊ธ์์๋ ์ค์คํ
๋์ดํธ ๊ธฐ์ง์ ๊ท์น์์ธ ฮบ-ํํ๋ฌผ์ด ์์ฑ๋
๊ฒ์ SAED ํจํด์ผ๋ก๋ถํฐ ํ์ธํ ์ ์๋ค. ๊ทธ๋ฆผ 5(a)์ 5(b)๋ ๊ฐ๊ฐ ๊ทธ๋ฆผ 4(d)์ ์ํจ ํ MA50S ์ํธ์ ๊ฒฐ์ ๋ฆฝ ๋ด์ ๊ฒฐ์ ๋ฆฝ๊ณ์ ํ์ฑ๋ ฮบ-ํํ๋ฌผ ์์์ผ์(dark-field image)์ ๋ํ๋ด๊ณ ์๋ค. ์ด๋ฅผ ํตํด ๊ฒฐ์ ๋ฆฝ
๋ด์์๋ ์ ~ ์์ญ nm ํฌ๊ธฐ์ ๋ฏธ์ธํ ฮบ-ํํ๋ฌผ์ด ์์ถ๋ ๋ฐ๋ฉด ์
๊ณ์์๋ ์๋์ ์ผ๋ก ํฐ ์๋ฐฑ nm ํฌ๊ธฐ์ ฮบ-ํํ๋ฌผ์ด ํ์ฑ๋ ๊ฒ์ ํ์ธํ ์ ์๋ค[12].
๊ทธ๋ฆผ 6์ MA50S ์ํธ์์ ๊ด์ฐฐ๋ ๋ ์ข
๋ฅ์ MnS ๊ฐ์ฌ๋ฌผ์ ๋ํ๋ด๊ณ ์๋ค. ๊ทธ๋ฆผ 6(a)๋ Mn๊ณผ S ์ด์ธ์ ๋ค๋ฅธ ์์๊ฐ ์๋ ์์ํ MnS ๊ฐ์ฌ๋ฌผ์ ๋ํ๋ด๊ณ ์๋ค. ๊ทธ๋ฆผ 1์ ์ด์ญํ ๊ณ์ฐ์ ํตํด MnS๋ ํฉ๊ธ์ ์ก์์ด ์๊ณ ๋๋ 1300 ยฐC ๋ถ๊ทผ์์ ์ก์์ ๊ณ ์ํ๊ฐ ์ด๋ฃจ์ด์ง ๋ ์ ์ถ๋จ์ ํ์ธํ ์ ์๋๋ฐ, ์ด MnS
ํ์ฑ ์จ๋๋ ๊ท ์งํ์ฒ๋ฆฌ ์จ๋์ธ 1000 ยฐC ๋ณด๋ค ๋๊ธฐ ๋๋ฌธ์ ์ ์ถ๋ MnS๋ ๊ท ์งํ์ฒ๋ฆฌ ์ ์ฉํด๋์ง ์๊ณ ์กด์ฌํ ๊ฒ์ผ๋ก ์๊ฐํ ์ ์๋ค. ๋ํ MnS๋
๋์ฒด๋ก ํ์ํํ๋ก ๊ด์ฐฐ์ด ๋๋๋ฐ, ์ด๋ ์ด๊ธฐ ์ํ์ MnS๊ฐ ํ์ฑ๋ ํ ์ด๊ฐ์์ฐ์ ์์ฐ๋ฐฉํฅ์ ๋ฐ๋ผ ์ฐ์ ๋ ๊ฒฐ๊ณผ๋ก ์๊ฐ๋๋ค. ๊ทธ๋ฆผ 6(b)๋ AlN-MnS์ ๋ณตํฉ๊ฐ์ฌ๋ฌผ์ ๋ํ๋ธ๋ค. EDS ๋ถ์์ ํตํด ๊ฐ์ฌ๋ฌผ์ ์ค์ฌ๋ถ์ ์๋ AlN์ ๊ด์ฐฐํ ์ ์์ผ๋ฉฐ, ์ด๋ฅผ ํตํด AlN์ MnS๊ฐ ๋๋ฌ์ธ๊ณ
์๋ ํํ์์ ์ ์ ์๋ค. N์ ํฉ๊ธ ์ ์กฐ์ ์ฒจ๊ฐํ ์์๋ ์๋๋, ์์์ฌ ๋๋ ์ฉํด ๊ณผ์ ์ค ๋ถ์๊ธฐ๋ฅผ ํตํด ์๋ ํฌํจ๋ ๊ฒ์ผ๋ก ์ฌ๋ฃ๋๋ค. ๊ทธ๋ฆผ 1์ ์ด์ญํ ๊ณ์ฐ๊ฒฐ๊ณผ๋ฅผ ๋ณด๋ฉด AlN์ ์ต์ ์ ์ฝ 1430 ยฐC๋ก ํฉ๊ธ์ด ์๊ณ ๋๊ธฐ ์ ์ ์ถ๋ ๊ฒ์ผ๋ก ์๊ฐ๋๋ค. ์ด๋ฅผ ๊ฐ์ํด๋ณด๋ฉด 1400 ยฐC ์ด์์ ์จ๋์์
AlN์ด ๋จผ์ ํ์ฑ๋๊ณ ํฉ๊ธ์ด ์๊ณ ๋๋ 1300 ยฐC ๊ทผ์ฒ์์ AlN ํ๋ฉด์ MnS๊ฐ ๋ถ๊ท ์ผ ํต์์ฑ์ ํตํด ํ์ฑ๋๋ ๊ฒ์ผ๋ก ํ๋จํ ์ ์๋ค[13]. ๋ํ ์ด๋ฅผ ํตํด AlN์ด MnS์ ํต์์ฑ ์ฌ์ดํธ๋ก ์์ฉํจ์ ์ ์ถํ ์ ์๋ค.
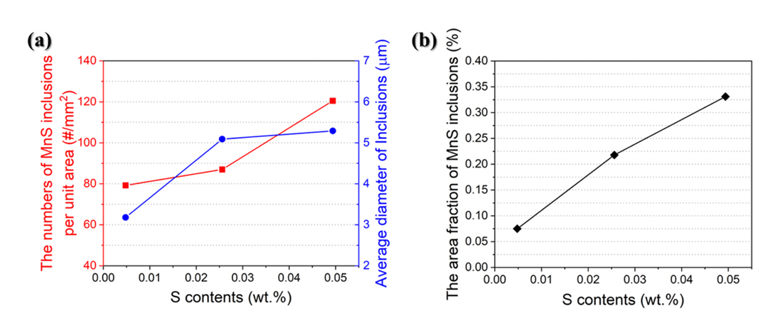
๊ทธ๋ฆผ 7(a)๋ S ํจ๋์ ๋ฐ๋ฅธ MnS ๊ฐ์ฌ๋ฌผ์ ์์ ํฌ๊ธฐ(ํ๊ท ์ง๋ฆ)์ ๋ณํ๋ฅผ ๋ํ๋ธ๋ค. S ํจ๋์ด 0.0048 (MA0S)์์ 0.0256 (MA25S)์
0.0494 (MA50S) wt.%๋ก ์ฆ๊ฐํ์์ ๋, MA0S ๋๋น ๊ฐ์ฌ๋ฌผ์ ์๋ 10%์ 52% ์ฆ๊ฐํ์๊ณ ๊ฐ์ฌ๋ฌผ์ ํฌ๊ธฐ๋ 60%์ 66% ์ฆ๊ฐํ์์์
์ ์ ์๋ค. ๋ํ์ฌ ๊ฐ์ฌ๋ฌผ์ ๋ฉด์ ๋ถ์จ์ S ํจ๋์ ๋น๋กํ์ฌ ์ ํ์ผ๋ก ์ฆ๊ฐํ์์์ ๊ทธ๋ฆผ 7(b)๋ฅผ ํตํด ํ์ธํ ์ ์๋ค. ์ด๋ฅผ ํตํด S ์ฒจ๊ฐ ์ด๊ธฐ์๋ ๊ฐ์ฌ๋ฌผ์ ์๋ณด๋ค ํฌ๊ธฐ๊ฐ ์ฐ์ ์ ์ผ๋ก ์ฆ๊ฐ๋๋ฉฐ, ์ดํ ์ผ์ ์ด์์ S ํจ๋์ด ์ฒจ๊ฐ๋ ์์๋ ๊ฐ์ฌ๋ฌผ์
ํฌ๊ธฐ๋ณด๋ค ์๊ฐ ๊ธ๊ฒฉํ ์ฆ๊ฐ๋๋ ๊ฒ์ผ๋ก ์๊ฐ๋๋ค. ์ด๋ฌํ ๊ฒฝํฅ์ S ํจ๋์ด ์ ์์, ๋ถ๊ท ์ผ ํต์์ฑ ์ฌ์ดํธ์์ ํ์ฑ๋ MnS์ ์ฑ์ฅ์ ์ฐ์ ์ ์ผ๋ก S๊ฐ
์๋ชจ๊ฐ ๋์ง๋ง, S ํจ๋์ด ๋์ ๊ฒฝ์ฐ์๋ ๋ถ๊ท ์ผ ํต์์ฑ ์ฌ์ดํธ์์ ํ์ฑ๋ MnS์ ์ฑ์ฅ๊ณผ ํจ๊ป ๊ท ์ผ ํต์์ฑ ์ฌ์ดํธ์์๋ MnS๊ฐ ํ์ฑ/์ฑ์ฅ์ด ๋๊ธฐ
๋๋ฌธ์ธ ๊ฒ์ผ๋ก ์ ์ถ๋๋ค.
3.2. S ํจ๋์ ๋ฐ๋ฅธ ์ํจ ์ /ํ ๊ธฐ๊ณ์ ํน์ฑ ๋ณํ
๊ทธ๋ฆผ 8(a-d)๋ ๊ฐ๊ฐ ๊ท ์งํ์ด์ฒ๋ฆฌ์ ์ํจ์ด์ฒ๋ฆฌํ MA0S ๋ฐ MA25S, MA50S ํฉ๊ธ์ ํญ๋ณต๊ฐ๋, ์ธ์ฅ๊ฐ๋, ์ฐ์ ์จ, ์ถฉ๊ฒฉํก์์๋์ง ๊ฒฐ๊ณผ๋ฅผ ๋ํ๋ด์์ผ๋ฉฐ, ๊ตฌ์ฒด์ ์ธ
๊ฐ ๋ฌผ์ฑ๊ฐ์ ํ 2์ ๋ํ๋ด์๋ค. ๊ท ์งํ์ด์ฒ๋ฆฌํ ๋ชจ๋ ํฉ๊ธ์ ํ๊ท ์ ์ผ๋ก ํญ๋ณต๊ฐ๋ 473ยฑ13.3 MPa, ์ธ์ฅ๊ฐ๋ 814ยฑ13.8 MPa, ์ธ์ ์จ 60ยฑ0.6 %๋ก
S ํจ๋๊ณผ ๊ด๊ณ์์ด ์ธ ํฉ๊ธ ๋ชจ๋ ์ ์ฌํ ๊ฐ์ ๋ณด์ธ๋ค. ๋ฐ๋ฉด ๊ทธ๋ฆผ 8(d)์์ ์ถฉ๊ฒฉ ํก์ ์๋์ง๋ S ํจ๋์ด ์ฆ๊ฐํจ์ ๋ฐ๋ผ 211 J ์์ 150 J๊น์ง ์ ์ฐจ์ ์ผ๋ก ๊ฐ์ํ๋ ๊ฒ์ ํ์ธํ ์ ์์ผ๋ฉฐ, S ํจ๋๊ณผ ์ถฉ๊ฒฉํก์์๋์ง
๊ฐ์๋ ์ ํ์ ๊ด๊ณ๊ฐ ์๋ ๊ฒ์ผ๋ก ๋ณด๊ณ ๋ ๋ฐ ์๋ค[11]. ๊ฒฐ๊ณผ์ ์ผ๋ก S ํจ๋ ์ฆ๊ฐ์ ๋ฐ๋ผ ํญ๋ณต๊ฐ๋, ์ธ์ฅ๊ฐ๋, ์ฐ์ ์จ์ ๋ณํ๊ฐ ๊ฑฐ์ ์์ผ๋ ์ถฉ๊ฒฉํก์์๋์ง๋ ํ์ฐํ๊ฒ ๊ฐ์ํจ์ ์ ์ ์๋ค. ์ํจ์ด์ฒ๋ฆฌ
์ /ํ ์ธ์ฅ ๋ฐ ์ถฉ๊ฒฉํน์ฑ์ ๋น๊ตํด๋ณด๋ฉด ์ํจ์ ๋ณด๋ค ํญ๋ณต๊ฐ๋๊ฐ ํ๊ท 473ยฑ13.3์์ 722ยฑ24.1 MPa๋ก 53% ํฅ์๋์์ผ๋ฉฐ ์ธ์ฅ๊ฐ๋๋ ํ๊ท 814ยฑ13.8
์์ 928ยฑ17.8 MPa๋ก 14% ์์น๋์๋ค. ๋ํ์ฌ ์ฐ์ ์จ์ ํ๊ท 60ยฑ0.6์์ 43ยฑ2.5%๋ก 28% ๊ฐ์๋์์ผ๋ฉฐ ์ถฉ๊ฒฉํก์์๋์ง๋ ํ๊ท 178ยฑ31.1์์
103ยฑ7.4 J๋ก ์ฝ 42% ๊ฐ์๋์๋ค.
๊ทธ๋ฆผ 9๋ MA50S ๊ท ์งํ์ด์ฒ๋ฆฌ์ฌ์ ์ธ์ฅ์ํ ํ๋จ๋ฉด์ FE-SEM์ผ๋ก ๊ด์ฐฐํ ๋ฏธ์ธ์กฐ์ง ์ฌ์ง์ ๋ํ๋ธ๋ค. ํ๋ ๊ฐ ํฌ์ธํธ์์์ ์์๋ณ ์ง๋๋ถ์จ์ ๋ํ๋ด๋ฉฐ,
์ด๋ฅผ ํตํด ๊ฐ์ฌ๋ฌผ์ MnS์์ ํ์ธํ ์ ์๋ค. ์ธ์ฅ์ํ ์ ์ MnS ๊ฐ์ฌ๋ฌผ ํ์์ธ ๊ทธ๋ฆผ 6๊ณผ ๋น๊ตํด๋ณด๋ฉด ์ธ์ฅ์ํ ํ MnS ๊ฐ์ฌ๋ฌผ์ ์ธ์ฅ๋ฐฉํฅ์ผ๋ก ์๋นํ ์ฐ์ ๋ ๊ฒ์ ํ์ธํ ์ ์๋ค. ์ฆ, ์ธ์ฅ์ MnS ๊ฐ์ฌ๋ฌผ์ ๋ชจ์ฌ์ ํจ๊ป ์ฐ์ ๋์๋ค๋
๊ฒ์ ์ ์ถํ ์ ์๋ค. ๊ทธ๋ฆผ 10(a-c)๋ ๊ฐ๊ฐ MA0S, MA25S ๋ฐ MA50S ํฉ๊ธ์ ์ค๋ฅดํผ ์ถฉ๊ฒฉ์ํ ํ ํ๋จ๋ฉด์ ๊ด์ฐฐํ FE-SEM ์ฌ์ง์ด๋ค.
ํ๋ ๊ทธ๋ฆผ 10(c)์ MA50S ์ํธ์์ ๊ด์ฐฐ๋ ๊ฐ์ฌ๋ฌผ ํฌ์ธํธ๋ณ ์์ ์ง๋๋ถ์จ์ ๋ํ๋ด๋ฉฐ, ์ด๋ฅผ ํตํด MnS ๊ฐ์ฌ๋ฌผ์์ ํ์ธํ ์ ์๋ค. ๋ํ ๊ฐ ๊ทธ๋ฆผ์์ ๋นจ๊ฐ์ ํ์ดํ๋
MnS ๊ฐ์ฌ๋ฌผ์ ๊ฐ๋ฆฌํจ๋ค. ๊ทธ๋ฆผ 10(a-c)๋ฅผ ํตํด S ํจ๋์ด ์ฆ๊ฐํจ์ ๋ฐ๋ผ MnS์ ํฌ๊ธฐ๊ฐ ์ปค์ง๋ฉฐ ์๋ ์ฆ๊ฐํ๋ ๊ฒ์ ์ ์ ์์ผ๋ฉฐ ์ด๋ ๊ทธ๋ฆผ 7(a)์ ๋ถ์๊ฒฐ๊ณผ์ ์ผ์นํ๋ค. ํํธ ๊ทธ๋ฆผ 10์ ์ถฉ๊ฒฉ์ํ ํ ํ๋ฉด ์ฌ์ง์์๋ ๊ทธ๋ฆผ 9์ ์ธ์ฅ์ํ ํ ํ๋จ๋ฉด์์ ๊ด์ฐฐ๋ ๊ธธ๊ฒ ์ฐ์ ๋ MnS ๊ฐ์ฌ๋ฌผ๊ณผ๋ ๋ค๋ฅด๊ฒ ๊ทธ ํํ๊ฐ ๋น๊ต์ ๊ตฌํ์ผ๋ก ์ ์ง๋๊ณ ์๋ ๊ฒ์ ํ์ธํ ์ ์์ผ๋ฉฐ ์ด๋ ์ถฉ๊ฒฉ์ํ
์ ๊ณผ ํ์ MnS ํ์์ ๋ณํ๊ฐ ๊ฑฐ์ ์๋ค๋ ๊ฒ์ ์๋ฏธํ๋ค. ์ด๋ฅผ ํตํด ๋ ์ํ๋ฒ์์์ ์ฐจ์ด์ ๋ฐ๋ผ MnS ๊ฐ์ฌ๋ฌผ์ด ๋ฌผ์ฑ์ ๋ฏธ์น๋ ์ํฅ์ด ๋ค๋ฅผ ๊ฒ์ผ๋ก
์ ์ถํ ์ ์๋ค. ๋ณธ ์ฐ๊ตฌ์์์ ์ธ์ฅ์ํ์ 1.33 ร 10-3 s-1์ ๋ณํ์๋๋ก ์ํ๋์๋ค. ์ด์ ๊ฐ์ด ๋๋ฆฐ ๋ณํ์๋ ํ์์๋ MnS๊ฐ ๊ธฐ์ง์ ๋ณํ์ ์์ํ์ฌ ํจ๊ป ์ฐ์ ๋จ์ผ๋ก์จ ๊ฐ์ฌ๋ฌผ๊ณผ ๊ธฐ์ง์ ๊ณ๋ฉด์์์ Micro-void
ํ์ฑ์ ์ต์ ํ์ฌ ์ธ์ฅํน์ฑ์ด ์ ์ง๋ ๊ฒ์ผ๋ก ํ๋จ๋๋ค. ์ด๋ฌํ ์ฌ์ค์ MnS๊ฐ ๊ธธ์ด๋ฐฉํฅ์ ํญ๋ณต๊ฐ๋, ์ธ์ฅ๊ฐ๋, ๊ฐ๊ณต๊ฒฝํ ๋ฐ ๊ฐ๊ณต๊ฒฝํ์จ์ ๊ฑฐ์ ์ํฅ์ ๋ฏธ์น์ง
์๋๋ค๊ณ ์ธ๊ธํ Maciejewski์ ์ ํ์ฐ๊ตฌ๊ฒฐ๊ณผ์ ์ผ์นํ๋ค[14]. ๋ฐ๋ฉด ์ถฉ๊ฒฉ์ํ์ ๊ต์ฅํ ์งง์ ์๊ฐ์ ๋์ ๋ณํ์๋๋ก ์ํ์ด ์ด๋ฃจ์ด ์ง๋ค. ์ถฉ๊ฒฉ์ํ์์ ๋ณํ์๋๋ ์ ํํ๊ฒ ์ ์๋ ์์ผ๋ ์ ํ์ฐ๊ตฌ์์๋ ์ ์ฐ๋ชจ์ฌํด์
๋ฐ ๋์ ์ธ์ฅ์ํ๊ณผ์ ๋น๊ต์คํ์ ํตํด ๊ตญ๋ถ์ ์ผ๋ก 10โ103 s-1๋ก ๋ณํ๋๋ ๊ฒ์ผ๋ก ๋ณด๊ณ ํ๊ณ ์๋ค[15]. ์ด๋ฅผ ํตํด ์๊ฐ์ ์ธ ๋ณํ์ด ์ด๋ฃจ์ด์ง๋ ์ถฉ๊ฒฉ์ํ์์๋ MnS ๊ฐ์ฌ๋ฌผ์ด ์๋ ฅ์ง์ค ์ฌ์ดํธ๋ก ์์ฉํ๋ ๊ฒ์ผ๋ก ์๊ฐ๋๋ค. ์ด๋ Ghosh et al.์
์ ํ์ฐ๊ตฌ์์ ๋ฎ์ ๊ณ๋ฉด๊ฐ๋๋ก ์ธํ์ฌ MnS ๊ฐ์ฌ๋ฌผ์ด ์ฝ๊ฒ ๊ธฐ์ง์ ๋ถ๋ฆฌ๋์ด ํฌ๊ณ ์ฐ์ ๋ Void๋ฅผ ํ์ฑํ๋ฉฐ, ์ฃผ๋ณ Void์์ ๊ฒฐํจ์ผ๋ก ์ธํ ๊ท ์ด ํ์ฑ์
ํตํด ์ต๋ํก์์๋์ง๊ฐ ๊ฐ์๋๋ค๋ ๊ฒฐ๊ณผ์ ์ผ์นํ๋ค[16]. ๊ฒฐ๊ณผ์ ์ผ๋ก ๋ณํ์๋์ ๋ฐ๋ผ MnS๊ฐ ๋ฌผ์ฑ์ ๋ฏธ์น๋ ์ํฅ์ด ๋ฌ๋ผ์ง๋ ๊ฒ์ผ๋ก ์๊ฐํ ์ ์๋ค. ์ฆ, ๋๋ฆฐ ๋ณํ์๋์์๋ ๊ธฐ์ง์ ํจ๊ป ๋ณํ๋จ์ผ๋ก์จ
๊ณ๋ฉด์์์ Micro-void ํ์ฑ ์ต์ ๋ฅผ ํตํด ์ธ์ฅํน์ฑ์ด ์ ์ง๋๋ ๋ฐ๋ฉด, ๋น ๋ฅธ ๋ณํ์๋์์๋ ๊ณ๋ฉด์์์ Void ํ์ฑ์ผ๋ก ์ธํ ๊ท ์ด ํ์ฑ ๋ฐ ๊ทธ๋ก
์ธํ ์ถฉ๊ฒฉ์ธ์ฑ ์ ํ๊ฐ ๋ฐ์ํ๊ฒ ๋๋ค. ์ด๋ฌํ ์ธก๋ฉด์์ MnS ๊ฐ์ฌ๋ฌผ์ ํฌ๊ธฐ๊ฐ ์ปค์ง๊ณ ์๊ฐ ๋ง์์ง์๋ก ์ ์ฐจ ์ถฉ๊ฒฉ์ธ์ฑ์ด ์ ํ๋๋ ํ์์ ์ดํดํ ์ ์๋ค.
๊ทธ๋ฆผ 8์์์ ์ํจ ํ์ ์ธ์ฅ ๋ฐ ์ถฉ๊ฒฉ ๋ฌผ์ฑ๋ณํ๋ ์ํจ์ ๋ฐ๋ฅธ ฮบ-ํํ๋ฌผ์ ์์ถ๋ก ์ธํ ๊ฒฐ๊ณผ๋ก ์ฌ๋ฃ๋๋ค. ์ฆ, ๊ฒฝ๋์ฒ ๊ฐ์์ ์ํจ์ ์ํด ํ์ฑ๋ ฮบ-ํํ๋ฌผ์
๊ฒฐ์ ๋ฆฝ๋ด[๊ทธ๋ฆผ 5(a)]์ ๊ฒฐ์ ๋ฆฝ๊ณ[๊ทธ๋ฆผ 5(b)]์ ์กด์ฌํ๋๋ฐ, ๊ฒฐ์ ๋ฆฝ๋ด์์ ์์ถ๋ ๋ฏธ์ธํ ฮบ-ํํ๋ฌผ์ ์ ์์ ์์ง์์ ์ต์ ์ํด์ผ๋ก์จ ๊ฐ๋๋ฅผ ์ฆ๊ฐ์ํค๋ ๋ฐ๋ฉด ๊ฒฐ์ ๋ฆฝ๊ณ์ ํ์ฑ๋ ์กฐ๋ํ ฮบ-ํํ๋ฌผ์
๊ฒฝ์ฐ ๊ฒฐ์ ๋ฆฝ๊ณ๋ฅผ ์ทจํ์ํค๊ณ ๊ท ์ด์ ํ ๊ฒฝ๋ก๋ก ์์ฉํ์ฌ ์ถฉ๊ฒฉํก์์๋์ง๋ฅผ ์๋นํ ๊ฐ์์ํค๊ฒ ๋๋ค[12,17]. ์ถ๊ฐ์ ์ผ๋ก ์ํจ์ด์ฒ๋ฆฌ ํ ํญ๋ณต ๋ฐ ์ธ์ฅ๊ฐ๋๋ S ํจ๋์ ๋ฐ๋ผ ํฐ ๋ณํ๋ ์์์ผ๋ฉฐ, ์ฐ์ ์จ์ S ํจ๋์ ๋ฐ๋ผ ๋ค์ ์ฆ๊ฐํ๋ ๊ฒฝํฅ์ ๋ณด์ธ ๋ฐ๋ฉด ์ถฉ๊ฒฉํก์์๋์ง๋
S ํจ๋์ ๋ฐ๋ผ ๋ค์ ๊ฐ์ํ๋ ๊ฒฝํฅ์ ๋ณด์๋ค. S ํจ๋๊ณผ ์ํจ์ด์ฒ๋ฆฌ์ ๋ฐ๋ฅธ ์ถฉ๊ฒฉํก์์๋์ง๋ ์ํจ ์ ๋ณด๋ค ์ํจ ํ์ ๊ฐ์์จ์ด ๋ฎ์์ก์์ ์ ์ ์๋ค;
์ฆ, ์ํจ ์ ์๋ S ํจ๋ ์ฆ๊ฐ์ ๋ฐ๋ผ ์ถฉ๊ฒฉํก์์๋์ง๊ฐ ๋น ๋ฅด๊ฒ ๊ฐ์ํ์์ผ๋, ์ํจ ํ์๋ S ํจ๋ ์ฆ๊ฐ์ ๋ฐ๋ฅธ ์ถฉ๊ฒฉํก์์๋์ง ๊ฐ์๋๋ ์ ๋๊ฐ ํ์ฐํ๊ฒ
์ ์๋ค. ๊ฒฐ๋ก ์ ์ผ๋ก ์ํจ ์ /ํ S ํจ๋์ ๋ฐ๋ฅธ ๊ธฐ๊ณ์ ํน์ฑ ๋ณํ๋ ์ฝ๊ฐ์ ๋น์จ ์ฐจ์ด๋ ์์ผ๋ ๋๋ถ๋ถ ๊ฐ์ ๋ฐฉํฅ์์ ์ง๋ ๊ฒ์ ์ ์ ์๋ค.
3.3. S ํจ๋์ ๋ฐ๋ฅธ ์ํจ ์ /ํ ์ ์ญ์ฑ ๋ณํ
๊ทธ๋ฆผ 11(a)์ 11(b)๋ ๊ฐ๊ฐ ์ํจ ์ ๊ณผ ํ์ MA0S, MA25S ๋ฐ MA50S ์ธ ํฉ๊ธ์ ์ ์ญ๊ฑฐ๋ฆฌ์ ๋ฐ๋ฅธ ๊ณต๊ตฌ๋ง๋ชจ๋๋ฅผ ๋ํ๋ด๊ณ ์๋ค. ๊ท ์งํ์ด์ฒ๋ฆฌ์ฌ์ ๊ฒฝ์ฐ, MA0S
ํฉ๊ธ์ ์ ์ญ์ฑ ํ๊ฐ ์ด๊ธฐ๋ถํฐ ๊ธ๊ฒฉํ๊ฒ ๊ณต๊ตฌ๋ง๋ชจ๊ฐ ์ฆ๊ฐํ์์ผ๋ฉฐ, MA25S์ MA50Sํฉ๊ธ์ ์ ์ญ๊ฑฐ๋ฆฌ 40 m๊น์ง ๊ณต๊ตฌ๋ง๋ชจ ์ ๋๊ฐ ๊ทธ๋ณด๋ค ํจ์ฌ ๋ฎ์
๊ธฐ์ธ๊ธฐ๋ก ์๋งํ๊ฒ ์ฆ๊ฐ๋๋ ๋ชจ์ต์ ๋ณด์๋ค. ํนํ, S ํจ๋์ด 0.0048 wt.%์์ 0.0256 wt.%๋ก ์ฆ๊ฐํ ๋ ๊ณต๊ตฌ๋ง๋ชจ๋๊ฐ ์๋นํ ๊ฐ์ํ
๊ฒ์ ๋ณผ ์ ์์์ผ๋, ์ถ๊ฐ์ ์ธ S ํจ๋ ์ฆ๊ฐ(0.0256 โ 0.0494 wt.%)์ ๋ฐ๋ฅธ ๊ณต๊ตฌ๋ง๋ชจ๋ ๊ฐ์ ํจ๊ณผ๋ ์๋์ ์ผ๋ก ์ ์๋ค. ์ด๋ ์๋์
S ์ฒจ๊ฐ๋ผ๋ MnS ๊ฐ์ฌ๋ฌผ์ ํ์ฑ์ ํตํด ์ ์ญ์ฑ์ ๋๋ ทํ๊ฒ ํฅ์์ํฌ ์ ์์์ ์๋ฏธํ๋ค. ๋ค๋ง, S ํจ๋์ ์ฆ๊ฐ์ ๋ฐ๋ผ MnS ๊ฐ์ฌ๋ฌผ์ ํฌ๊ธฐ์ ์๋
์ฆ๊ฐํ์ง๋ง ์ด๊ธฐ S ์ฒจ๊ฐ๋ณด๋ค ํจ๊ณผ์ ์ด์ง ๋ชปํ๋ฉฐ, ์ด๋ฅผ ๊ฐ์ํด๋ณด๋ฉด ์ถฉ๊ฒฉํก์์๋์ง ๊ฐ์๋์ ์ต์ํํ๋ฉด์ ์ ์ญ์ฑ์ ๊ทน๋ํํ ์ ์๋ ์ ์ ํจ๋์ด ์์ ๊ฒ์ผ๋ก
์ฌ๋ฃ๋๋ค. ์ํจ ํ์๋ ๊ท ์งํ์ด์ฒ๋ฆฌ์ฌ์ ๊ฐ์ด S ํจ๋์ ๋ฐ๋ผ ์ ์ญ๊ฑฐ๋ฆฌ ๋น ๊ณต๊ตฌ๋ง๋ชจ ์ ๋์ ๊ธฐ์ธ๊ธฐ๊ฐ ๋ฎ์์ง๋ ๊ฑฐ๋์ ๊ด์ฐฐ๋์์ผ๋, 20 ~ 24 m
ํ์ ๊ธ์์ค๋ฝ๊ฒ ๊ณต๊ตฌ๋ง๋ชจ๋๊ฐ ์ฆ๊ฐ๋๋ ๊ฒฐ๊ณผ๋ฅผ ์ป์๋ค. ๊ฒฐ๊ณผ์ ์ผ๋ก ์ํจ ํ์๋ S ํจ๋์ ์๊ด์์ด ์ ์ญ์ฑ์ด ๊ธ๊ฒฉํ ์
ํ๋๋ ๊ฒ์ ์ ์ ์๋ค. ์ด๋ก๋ถํฐ
์ํจ ํ ์ ์ญ๊ฐ๊ณต์ ํจ์จ์ฑ์ด ๋จ์ด์ง ๊ฒ์ผ๋ก ์๊ฐ๋๋ฉฐ, ์ ์ญ๊ณต์ ์ ์ํจ ์ ์ ์ํํ๋ ๊ฒ์ด ํจ๊ณผ์ ์ธ ๊ฒ์ผ๋ก ์ฌ๋ฃ๋๋ค.
๊ทธ๋ฆผ 11(c)์ 11(d)๋ ๊ฐ๊ฐ ์ํจ ์ ๊ณผ ํ์ MA0S, MA25S ๋ฐ MA50S ์ธ ํฉ๊ธ์ ์ ์ญ๊ฑฐ๋ฆฌ์ ๋ฐ๋ฅธ ์ ์ญ๋ ฅ ๋ณํ๋ฅผ ๋ํ๋ด๊ณ ์๋ค. ์ ์ฒด์ ์ผ๋ก ์ ์ญ๋ ฅ ๋ณํ๋ ๊ณต๊ตฌ๋ง๋ชจ
๋ณํ์ ์ ์ฌํ๋ฐ, ๋ฎ์ S ํจ๋(0.0048 wt.%)์์๋ ์ ์ญ ์ด๋ฐ๋ถํฐ ์ ์ญ๋ ฅ์ด ๊ฐํ๋ฅด๊ฒ ์ฆ๊ฐํจ์ ์ ์ ์๋ค. ์ด๋ ๋์ผํ ๊ฑฐ๋ฆฌ๋ฅผ ์ ์ญํ ๋
๋ ํฐ ํ์ด ๋ค์ด๊ฐ๋ฉฐ, ์ด๋ ๊ทธ๋ฆผ 11(a)์ ๊ณต๊ตฌ๋ง๋ชจ์ ๋์ ์ฐ๊ด์ด ์๋ค; ์ฆ, ๊ณต๊ตฌ๋ง๋ชจ๊ฐ ์ฌํด์ง์๋ก ๋ ํฐ ํ์ผ๋ก ์ ์ญ์ ์ํํด์ผํจ์ ์๋ฏธํ๋ค. S ํจ๋์ 0.0256๊ณผ 0.0494 wt.%
์ฆ๊ฐ์ 40 m ๊ฑฐ๋ฆฌ๊น์ง ์ ์ญ๋ ฅ์ ์๋งํ๊ฒ ์ฆ๊ฐ๋จ์ ์ ์ ์์ผ๋ฉฐ, ํจ์จ์ ์ธ ์ ์ญ์ด ๊ฐ๋ฅํจ์ ์ ์ ์๋ค. ๋ฐ๋ฉด ๊ทธ๋ฆผ 11(d)์ ์ํจ์ฌ์์๋ S ํจ๋ ์ฆ๊ฐ์ ๋ฐ๋ผ ์ ์ญ๋ ฅ์ด ๊ฐ์๋๋ ๊ฒฝํฅ์ ๋ณด์ด๋, ์ ์ฒด์ ์ผ๋ก ์ ์ญ๋ ฅ ์ฆ๊ฐ ๊ธฐ์ธ๊ธฐ๊ฐ ๊ฐํ๋ฅด๋ค. ์ด๋ก๋ถํฐ ์งง์ ์ ์ญ๊ฑฐ๋ฆฌ์๋ ์ฌ๊ฐํ
๊ณต๊ตฌ๋ง๋ชจ๋ก ์ธํ์ฌ ํฐ ์ ์ญ๋ ฅ์ด ํ์ํจ์ ์ ์ ์๋ค.
๊ทธ๋ฆผ 12์ ๊ฐ ์์ฌ ๋น ์ต๋ ์ ์ญ๊ฐ๋ฅ ๊ฑฐ๋ฆฌ์์์ ์ ์ญ ํ ์ ์ญ๊ณต๊ตฌ 4๊ฐ์ ๋ ์ค ํ๋๋ฅผ ๋์งํธํ๋ฏธ๊ฒฝ์ผ๋ก ๊ด์ฐฐํ ์ด๋ฏธ์ง๋ฅผ ๋ํ๋ด๋ฉฐ, ๊ทธ๋ฆผ 12(a-c)๋ ๊ท ์งํ์ฒ๋ฆฌ์ฌ(24 m โ MA0S, 40 m โ MA25S ๋ฐ 40 m โ MA50S) ๊ทธ๋ฆฌ๊ณ ๊ทธ๋ฆผ 12(d-f)๋ ์ํจ์ฒ๋ฆฌ์ฌ(20 m โ MA0S-AG, 20 m โ MA25S-AG, 24 m โ MA50S-AG)๋ฅผ ๋ํ๋ธ๋ค. ๋จผ์ ๊ท ์งํ์ฒ๋ฆฌ์ฌ์ ๊ฒฝ์ฐ, ๊ทธ๋ฆผ 11(a)์์ ๋ํ๋ ๋ฐ์ ๊ฐ์ด MA25S์ MA50S ์์ฌ๋ 40 m๊น์ง ์ฝ๊ฐ์ Crater wear (๋
ธ๋์ ํ์ดํ)๊ฐ ๊ด์ฐฐ๋๋ ์ ์ฒด์ ์ผ๋ก ์ ์ญ๊ณต๊ตฌ์ ๋
์์์ด ๊ฑฐ์ ์์์ ํ์ธํ ์ ์๋ค. ๋ฐ๋ฉด MA0S์ ๊ฒฝ์ฐ 24 m ์ ์ญ๊ฑฐ๋ฆฌ์์๋ ์๋นํ Crater wear๊ฐ ๊ด์ฐฐ๋์์ผ๋ฉฐ, ์ผ๋ถ Flank wear
(๋นจ๊ฐ์ ํ์ดํ)๋ ๊ด์ฐฐ๋๋ ๊ฒฐ๊ณผ๋ฅผ ๋ณด์๋ค. ๊ฒฐ๊ณผ์ ์ผ๋ก S ํจ๋์ด ์ ์ ๊ฒฝ์ฐ ์ ์ญ๊ฐ๊ณต์ ์งง์ ์ ์ญ ๊ฑฐ๋ฆฌ์์๋ ์ ์ญ๊ณต๊ตฌ๊ฐ ์ฝ๊ฒ ์์๋จ์ ํ์ธํ ์ ์์ผ๋ฉฐ,
์ด์ ๋ฐ๋ผ ๋์ผ ๊ฑฐ๋ฆฌ ์ ์ญ์ ๋ ํฐ ์ ์ญ๋ ฅ์ด ์๊ตฌ๋๊ณ ๊ฒฐ๊ตญ ๊ณต๊ตฌ๊ฐ ํ์๋๋ ๊ฒฐ๊ณผ๋ก ์ด์ด์ง๋ค.
์์ ๊ด์ฐฐ๋ ๊ฒ์ฒ๋ผ ์ฒจ๊ฐ๋ S๋ ๊ธฐ์ง์์ ํ๋ถํ Mn๊ณผ ๊ฒฐํจํ์ฌ MnS ๊ฐ์ฌ๋ฌผ์ ํ์ฑํ๊ฒ ๋๋๋ฐ, ์ด MnS ๊ฐ์ฌ๋ฌผ์ ๋ ๊ฐ์ง ์ธก๋ฉด์์ ์ ์ญ์ฑ์ ํฅ์์์ผ์ฃผ๋
๊ฒ์ผ๋ก ์๊ฐํ ์ ์๋ค. ๋จผ์ MnS ๊ฐ์ฌ๋ฌผ์ ์ ์ญ์ ์๋ ฅ์ง์ค์ฌ์ดํธ์ ์ญํ ์ ํ์ฌ ๊ท ์ด ํ์ฑ์ ์ฝ๊ฒ ๋ง๋ค ์ ์๊ฒ ํ๋ค[14,18]. ํนํ ์ก์์์ ์ ์ถ๋๋ MnS๋ ๊ฒฐ์ ๋ฆฝ ๋ด์ ๊ฒฐ์ ๋ฆฝ๊ณ์ ์๊ด์์ด ์กด์ฌํ๋ฏ๋ก ํ์ฑ๋ ๊ท ์ด์ด ์ ํ๋๋๋ฐ ํจ๊ณผ์ ์ธ ์ง๊ฒ๋ค๋ฆฌ ์ญํ ์ ํ ๊ฒ์ผ๋ก ์ ์ถ๋๋ค.
๋ํ ์ ์ญ๊ฐ๊ณต ์ ์์ฌ๋ ๊ณต๊ตฌ์์ ๋ง์ฐฐ๋ก ์ธํ์ฌ ๊ตญ๋ถ์ ์ผ๋ก ์ฝ 760 ยฐC์ ์๋นํ ๋์ ์จ๋๊น์ง ์์นํ ์ ์๋ ๊ฒ์ผ๋ก ๋ณด๊ณ ๋๊ณ ์๋ค[19]. ์ด๋ฌํ ๊ตญ๋ถ์ ์จ๋์์น์ ๋ค์ํ ์์ฌ ๋ฐ ๊ณต์ ํ๋ผ๋ฏธํฐ์ ๋ฐ๋ผ ๋ฌ๋ผ์ง ์ ์๊ฒ ์ง๋ง, ์์ฌ์ ๊ด์ ์์ ๋ณด๋ฉด ์ด์ ๋๋๊ฐ ๋ฎ์์๋ก ๊ตญ๋ถ์ ์ผ๋ก ์จ๋๊ฐ
์์น๋๊ธฐ ์ฌ์ธ ๊ฒ์ผ๋ก ์๊ฐํ ์ ์๋ค. ์ค์คํ
๋์ดํธ๊ณ ๊ฒฝ๋์ฒ ๊ฐ์ ์ด์ ๋๋๋ 11.0 W/mยทK๋ก ์ธก์ ๋์๋๋ฐ, ์ผ๋ฐ ํ์๊ฐ ์์ฌ๋ ์ฝ 50 W/mยทK
๊ทธ๋ฆฌ๊ณ ๋์ ์ญ์์ฌ์ธ ์ค์คํ
๋์ดํธ๊ณ ์คํ
์ธ๋ฆฌ์ค๊ฐ ์ฝ 20 W/mยทK์ธ ์ ์ ๊ฐ์ํด๋ณด๋ฉด ๊ฒฝ๋์ฒ ๊ฐ ์์ฌ๋ ์๋นํ ๋ฎ์ ์ด์ ๋๋๋ฅผ ๊ฐ๋๋ค๋ ๊ฒ์ ์ ์ ์๋ค.
์ด๋ ๊ฒ ๊ตญ๋ถ์ ์ผ๋ก ๊ธ๊ฒฉํ ์จ๋ ์์น์ ๊ฒช์ ์ง์ญ์ ํ์ ๊ธ๊ฒฉํ ๋๊ฐ๋๋ ๊ณผ์ ์์ ๊ฐ์ฌ๋ฌผ๊ณผ ๋ชจ์ฌ ์ฌ์ด์ ์ดํฝ์ฐฝ๊ณ์ ์ฐจ์ ์ํ์ฌ ์ด์ ์๋ ฅ์ด ๋ฐ์ํ๊ฒ
๋๋ค. MnS์ ์ดํฝ์ฐฝ๊ณ์๋ 18.1 ร 10-6 ยฐC-1์ผ๋ก ๋ณด๊ณ ๋์์ผ๋ฉฐ, ์ค์คํ
๋์ดํธ๊ณ ๊ฒฝ๋์ฒ ๊ฐ์ 15.7 ร 10-6 ยฐC-1๋ก ์ธก์ ๋ ๊ฒ์ ์๊ฐํด๋ณด๋ฉด, ๊ธ๊ฒฉํ ์จ๋ ์์น ํ ๋๊ฐ ๊ณผ์ ์ ๊ฒช์ผ๋ฉด์ MnS ์ฃผ๋ณ์ผ๋ก Cavity๋ Pore๊ฐ ํ์ฑ๋๋ฉฐ ๊ฒฐ๊ตญ MnS์ ๋ชจ์ฌ ์ฌ์ด์
๊ณ๋ฉด์์ ๊ท ์ด ํ์ฑ์ ์๋ฐ์ ์ผ๋ก ์์ฉํ๊ฒ ๋๋ค[7]. ๊ฒฐ๊ณผ์ ์ผ๋ก MnS ๊ฐ์ฌ๋ฌผ์ ๊ธฐ๊ณ์ ์ผ๋ก ๊ทธ๋ฆฌ๊ณ ์ด์ ์ผ๋ก ์๋ ฅ์ง์ค ๋ฐ ์ดํฝ์ฐฝ/์์ถ์ ์ํ ์ฌ์ด ๊ท ์ด ํ์ฑ ๋ฐ ์ ํ ๊ฒฝ๋ก๋ก ์์ฉํ๊ฒ ๋์ด ์ ์ญ์ฑ์
ํฅ์์ํจ ๊ฒ์ผ๋ก ์ดํดํ ์ ์๋ค.
๊ทธ๋ฆผ 12(d-f)์ ์ํจ์ด์ฒ๋ฆฌ์ฌ์ ์ต๋ ์ ์ญ๊ฑฐ๋ฆฌ ์ ์ญ ํ ๊ณต๊ตฌ๋ ์ ๊ท ์งํ์ฒ๋ฆฌ์ฌ์ ๋นํด์ ์๋นํ ๊ณต๊ตฌ์์์ด ์งํ๋์์์ ํ์ธํ ์ ์์ผ๋ฉฐ ์ด๋ ๊ทธ๋ฆผ 11์ ์คํ ๊ฒฐ๊ณผ์ ์ผ์นํ๋ค. MA0S-AG์ ๊ฒฝ์ฐ, ์ํจ์ ๋ณด๋ค ๋ ์งง์ 20 m์ ์ ์ญ๊ฑฐ๋ฆฌ์์๋ ์ ์ฌํ Crater wear ์ ๋ ๋ฐ ๋ ์ฌ๊ฐํ Flank
wear๊ฐ ๊ด์ฐฐ๋์๋ค. MA25S-AG์ MA50S-AG์ ๊ฒฝ์ฐ, ์ํจ์ ๊ณผ ๋น๊ตํ์ ๋ ์ ๋ฐ์ ๋์ ์ ์ญ๊ฑฐ๋ฆฌ์์๋ ์ฌ๊ฐํ Crater ๋ฐ Flank
wear๊ฐ ๊ด์ฐฐ๋์๋ค. ๋ํ์ฌ ์์ ์ธ๊ธํ์๋ฏ์ด S ํจ๋์ ์๊ด์์ด ๋น์ทํ ์ ์ญ๊ฑฐ๋ฆฌ (์ฝ 20 m)์์ ๊ธ๊ฒฉํ ๊ณต๊ตฌ๋ง๋ชจ๋ ์ฆ๊ฐ๋ฅผ ๋ณด์ด๋ ๊ฒ์ผ๋ก ๋ฏธ๋ฃจ์ด๋ณด์,
์ํจ ํ์ ๊ณต๊ตฌ๋ง๋ชจ๋ S ํจ๋์ ์ํ MnS ๊ฐ์ฌ๋ฌผ๋ณด๋ค ์์ถ๋ ฮบ-ํํ๋ฌผ์ ์ํฅ์ด ๋์ฑ ํฐ ๊ฒ์ผ๋ก ์ ์ถ๋๋ค. ํนํ, ์ํจ ํ MA0S์ ์ดํฝ์ฐฝ๊ณ์์
์ด์ ๋๋๋ ๊ฐ๊ฐ 1.66 ร 10-6 ยฐC-1์ 12.5 W/mยทK ์ธก์ ๋ ๊ฒ์ ๊ฐ์ํด๋ณด๋ฉด, ์ํจ ํ ์ ์ญ์ฑ์ด ์
ํ๋๋ ๋ฌธ์ ๋ ์์ฌ์ ์ด์ ํน์ฑ ๋ณํ๋ณด๋ค๋ ฮบ-ํํ๋ฌผ ํ์ฑ์ ๋ฐ๋ฅธ ์ ์์ด๋ ๋ฐฉํด
ํจ๊ณผ์์ ๊ธฐ์ธํ ๊ฒ์ผ๋ก ์๊ฐ๋๋ค[20,21]. ๊ฒฐ๊ณผ์ ์ผ๋ก ๊ธฐ์ง๋ด ํ์ฑ๋ ์์ถ๋ฌผ์ ๊ฐ๋๋ฅผ ์ฆ๊ฐ์ํค์ง๋ง ๋์์ ์ ์ญ์ ์ํด ๋ ํฐ ํ์ด ํ์ํ๊ฒ ๋๋ฏ๋ก ๊ณต๊ตฌ์์์ ์ด์ง์์ผ ์ ์ญ์ฑ์ ๋จ์ด๋จ๋ฆฌ๋
๊ฒ์ผ๋ก ์ดํดํ ์ ์๋ค.
์ด์์ ๊ฒฐ๊ณผ๋ก๋ถํฐ ์ค์คํ
๋์ดํธ๊ณ ๊ฒฝ๋์ฒ ๊ฐ์ ์ ์ญ์ฑ ํฅ์์ ์ํด์๋ S ์ฑ๋ถ์ ์ฒจ๊ฐํ์ฌ MnS์ ์์ ํฌ๊ธฐ๋ฅผ ์ฆ๊ฐ์ํค๋ ๊ฒ์ด ์ ๋ฆฌํ๋ฉฐ, ์ถฉ๊ฒฉํก์์๋์ง
๊ฐ์๋ฅผ ๊ณ ๋ คํ์ฌ S ํจ๋์ ์ ์ดํ ํ์๊ฐ ์๋ค. ๋ํ ์ํจ์ด์ฒ๋ฆฌ ํ ํญ๋ณต๊ฐ๋์ ์ธ์ฅ๊ฐ๋๋ ํฅ์๋๋ ์ ์ญ์ฑ์ด ๊ธ๊ฒฉํ ๊ฐ์ํ๊ธฐ ๋๋ฌธ์, ์ ํ ์ ์์ ์ํจ
์ ์์ฌ๋ฅผ ์ ์ญ๊ฐ๊ณตํ ํ ์ํจ ์ด์ฒ๋ฆฌ๋ฅผ ํตํด ์์ฌ์ ํน์ฑ์ ํฅ์์ํค๋ ๋ฐฉํฅ์ด ๋ฐ๋์งํ ๊ฒ์ผ๋ก ํ๋จ๋๋ค.
4. ๊ฒฐ ๋ก
๋ณธ ์ฐ๊ตฌ์์๋ S ์ฒจ๊ฐ๋ฅผ ํตํ ์ค์คํ
๋์ดํธ ๊ฒฝ๋์ฒ ๊ฐ์ ์ ์ญ์ฑ ๊ฐ์ ์ ๋ํ ์ฐ๊ตฌ๋ฅผ ์ํํ์์ผ๋ฉฐ ๋์์ ๊ตฌ์กฐ์ฌ๋ก์ ํ์ฉ์ ์ํ ๊ธฐ๊ณ์ ํน์ฑ ํ๊ฐ๋ฅผ ์งํํ์๋ค.
์ด๋ฅผ ์ํด Fe-22Mn-8Al-0.9C-0.02Nb ํฉ๊ธ์ฑ๋ถ์ ๊ธฐ๋ณธ์ผ๋ก S ํจ๋์ 0.0048, 0.0256 ๋ฐ 0.0494 wt.%๋ก ์ ์ดํ 3์ข
์
ํฉ๊ธ์ ์ค๊ณํ์๋ค. ๋ํ์ฌ ์ํจ์ด์ฒ๋ฆฌ์ ๋ฐ๋ฅธ ๋ณํ๋ฅผ ๊ด์ฐฐํ๊ธฐ ์ํ์ฌ ๊ท ์งํ์ฒ๋ฆฌ์ฌ์ ์ํจ์ด์ฒ๋ฆฌ์ฌ์ ๊ธฐ๊ณ์ ํน์ฑ๊ณผ ์ ์ญ์ฑ ํ๊ฐ๋ฅผ ์งํํ์ฌ ๋ค์๊ณผ ๊ฐ์
๊ฒฐ๋ก ์ ์ป์๋ค.
1. 3์ข
์ ํฉ๊ธ์ ๊ธฐ์ง๋ ๋ชจ๋ ์ค์คํ
๋์ดํธ ๋จ์์ผ๋ก ์ด๋ฃจ์ด์ ธ ์์ผ๋ฉฐ ์ ์ฌํ ๊ฒฐ์ ๋ฆฝ ํฌ๊ธฐ๋ฅผ ๋ณด์๋ค. S๋ฅผ ์ฒจ๊ฐํจ์ ๋ฐ๋ผ ๊ฒฐ์ ๋ฆฝ ๋ด์ ๊ฒฐ์ ๋ฆฝ๊ณ์ ์๊ด์์ด
MnS ๊ฐ์ฌ๋ฌผ์ด ๊ด์ฐฐ๋์์ผ๋ฉฐ, S ํจ๋ ์ฆ๊ฐ์ ๋ฐ๋ผ MnS ๊ฐ์ฌ๋ฌผ์ ์์ ํฌ๊ธฐ๊ฐ ์ฆ๊ฐํ์๋ค. 550 ยฐC, 6์๊ฐ ์ํจ์ด์ฒ๋ฆฌ ํ, ๊ฒฐ์ ๋ฆฝ ๋ด์๋ ๋ฏธ์ธํ
ฮบ-ํํ๋ฌผ์ด ๊ด์ฐฐ๋ ๋ฐ๋ฉด ๊ฒฐ์ ๋ฆฝ๊ณ์์๋ ์๋์ ์ผ๋ก ์กฐ๋ํ ฮบ-ํํ๋ฌผ์ด ๊ด์ฐฐ๋์๋ค.
2. ๊ท ์งํ์ด์ฒ๋ฆฌ์ฌ์ธ MA0S, MA25S ๋ฐ MA50S ํฉ๊ธ์์ ํญ๋ณต๊ฐ๋, ์ธ์ฅ๊ฐ๋, ์ฐ์ ์จ์ ๊ฐ๊ฐ ํ๊ท 473 MPa, 814 MPa ๋ฐ 60%๋ก
S ํจ๋์ ๊ด๊ณ์์ด ๋น์ทํ ์์ค์ ๋ณด์ธ ๋ฐ๋ฉด ์ถฉ๊ฒฉํก์์๋์ง๋ S ํจ๋์ ๋ฐ๋ผ 211 J์์ 150 J๋ก ๊ฐ์๋๋ ๊ฒฐ๊ณผ๋ฅผ ์ป์๋ค. ์ด๋ฌํ ๊ฑฐ๋์ MnS
๊ฐ์ฌ๋ฌผ์ด ๋๋ฆฐ ๋ณํ์๋์ธ ์์จ์ธ์ฅ ํ์์๋ ๊ธฐ์ง์ ํจ๊ป ์ฐ์ ๋๋ ๋ฐ๋ฉด ๊ณ ์ ๋ณํ์ธ ์ถฉ๊ฒฉ์ํ์์๋ ๊ฐ์ฌ๋ฌผ์ ๋ณํ ์์ด ๊ธฐ์ง ์กฐ์ง๊ณผ์ ๊ณ๋ฉด์ด ๊ท ์ด ํ์ฑ
์ฌ์ดํธ๋ก ์์ฉํ ๊ฒฐ๊ณผ๋ก ํ๋จ๋๋ค. ์ํจ์ด์ฒ๋ฆฌ ํ์๋ ํญ๋ณต๊ฐ๋์ ์ธ์ฅ๊ฐ๋๊ฐ ๊ฐ๊ฐ ํ๊ท 722 MPa๊ณผ 928 MPa๋ก ์๋นํ ์ฆ๊ฐํ ๋ฐ๋ฉด ์ฐ์ ์จ๊ณผ ์ถฉ๊ฒฉํก์์๋์ง๋
ํ๊ท 43%๊ณผ 103 J๋ก ํ์ ํ ๊ฐ์๋ฅผ ๋ณด์๋ค. ์ด๋ ์ํจ์ด์ฒ๋ฆฌ ์ ๊ฒฐ์ ๋ฆฝ ๋ด์ ๊ฒฐ์ ๋ฆฝ๊ณ์ ์์ถ๋ ฮบ-ํํ๋ฌผ ๋๋ฌธ์ธ ๊ฒ์ผ๋ก ํ๋จํ ์ ์๋ค.
3. ์ ์ญ์ฑ ํ๊ฐ ๊ฒฐ๊ณผ, ๊ท ์งํ์ด์ฒ๋ฆฌ์ฌ์์๋ S ํจ๋์ด ์ ์ MA0S ์ํธ์ ๊ฒฝ์ฐ ํ๊ฐ ์ด๊ธฐ๋ถํฐ ๋์ ๊ณต๊ตฌ๋ง๋ชจ๋์ ์ด๋ก ์ธํ ๋์ ์ ์ญ๋ ฅ์ผ๋ก ์ธํ์ฌ
๋ฎ์ ๊ณต๊ตฌ์๋ช
(24 m)๋ฅผ ๋ณด์ธ ๋ฐ๋ฉด S ํจ๋์ ๋ฐ๋ผ ๊ณต๊ตฌ์๋ช
์ด ์๋นํ ๊ฐ์ ๋๋ ๊ฒฐ๊ณผ(40 mm)๋ฅผ ์ป์๋ค. ์ด๋ S ํจ๋์ ๋ฐ๋ผ MnS ๊ฐ์ฌ๋ฌผ์
์์ ํฌ๊ธฐ๊ฐ ์ฆ๊ฐํ๋ฉฐ ๊ทธ์ ๋ฐ๋ผ ๊ฐ์ฌ๋ฌผ์์์ ์๋ ฅ์ง์ค๊ณผ ๊ฐ์ฌ๋ฌผ-๊ธฐ์ง์กฐ์ง ์ฌ์ด์ ์ดํฝ์ฐฝ๊ณ์ ์ฐจ์ด์ ๋ฐ๋ฅธ ๊ณ๋ฉด์์์ ๊ท ์ด ํ์ฑ ๋ฐ ์ ํ์ ๊ฒฐ๊ณผ์ธ ๊ฒ์ผ๋ก
์๊ฐ๋๋ค. ๊ฒฐ๊ณผ์ ์ผ๋ก S ํจ๋์ ๋ฐ๋ผ ์ ์ญ์ฑ์ด ์๋นํ ๊ฐ์ ๋๋ ๊ฒฐ๊ณผ๋ฅผ ์ป์๋ค.
4. ์ํจ์ด์ฒ๋ฆฌ์ฌ์ ์ ์ญ์ฑ ํ๊ฐ์, S ํจ๋์ ๋ฐ๋ผ ์ฝ๊ฐ์ ๊ฐ์ ์ ๋ณด์ด๋ ์ธ ํฉ๊ธ ๋ชจ๋ ์ ์ญ ์ด๊ธฐ๋ถํฐ ๊ณต๊ตฌ๋ง๋ชจ๋์ ์ ์ญ๋ ฅ์ด ๊ธ๊ฒฉํ ์ฆ๊ฐํ๋ฉฐ ๋ฎ์ ๊ณต๊ตฌ์๋ช
(20
- 24 m)์ ๋ณด์๋ค. S ํจ๋์ ์๊ด์์ด ์ธ ํฉ๊ธ์ด ๋น์ทํ ์ ์ญ์ฑ์ ๋ณด์ธ ๊ฒ์ ๊ฐ์ํด๋ณด๋ฉด, ์ํจ ํ์๋ MnS ๊ฐ์ฌ๋ฌผ๋ณด๋ค ์์ถ๋ ฮบ-ํํ๋ฌผ์ด ์ ์ญ์ฑ์
๋ฏธ์น๋ ์ํฅ์ด ๋์ฑ ์ฐ์ธํ ๊ฒ์ผ๋ก ํ๋จํ ์ ์๋ค. ์ด๋ ฮบ-ํํ๋ฌผ์ ์ํ ์ ์์ด๋ ๋ฐฉํด ํจ๊ณผ๋ก ์ธํ์ฌ ์ ์ญ์ ์ํด ๋ ํฐ ํ์ ํ์๋ก ํ์ฌ ๊ณต๊ตฌ์์์
๊ฐ์ํ์ํจ ๊ฒฐ๊ณผ๋ก ์ฌ๋ฃ๋๋ค. ๋ฐ๋ผ์ ๋ณธ ์์ฌ๋ฅผ ๊ตฌ์กฐ์ฌ์ ์ ์ฉ์ ์ํจ ์ ์์ฌ๋ฅผ ์ ์ญ๊ฐ๊ณตํ ํ ์ํจ์ด์ฒ๋ฆฌ๋ฅผ ํ๋ ๊ฒ์ด ๋ฐ๋์งํ ๊ฒ์ผ๋ก ํ๋จ๋๋ค.
Acknowledgements
๋ณธ ์ฐ๊ตฌ๋ ์์ฌ๋ถํ๊ธฐ์ ๊ฐ๋ฐ์ฌ์
(20010748)์ ์ฐ๊ตฌ๋น ์ง์์ ๋ฐ์ ์ํ๋์์ต๋๋ค.
REFERENCES
Frommeyer G., Brรผx U., Steel Res. Int,77, 627 (2006)

Zambrano O., J. Mater. Sci,53, 14003 (2018)

Chen S., Rana R., Haldar A., Ray R. K., Prog. Mater. Sci,89, 345 (2017)

Lee K., Park S.-J., Moon J., Kang J.-Y., Lee T.-H., Han H. N., Scripta Mater,124,
193 (2016)

Moon J., Park S.-J., Jang J. H., Lee T.-H., Lee C.-H., Hong H.-U., Han H. N., Lee
J., Lee B. H., Lee C., Acta Mater,147, 226 (2018)

Moon J., Ha H.-Y., Park S.-J., Lee T.-H., Jang J. H., Lee C.-H., Han H. N., Hong H.-U.,
J. Alloys Compd,775, 1136 (2019)

ร
nmark N., Karasev A., Jรถnsson P. G., Materials,8, 751 (2015)

Kaladhar M., Subbaiah K. V, Rao C., Int. J. Mach. Mater,12, 178 (2012)

Emura S., Kawajiri M., Min X., Yamamoto S., Sakuraya K., Tsuzaki K., ISIJ Int,53,
1841 (2013)

Akasawa T., Sakurai H., Nakamura M., Tanaka T., Takano K., J. Mater. Process. Technol,143,
66 (2003)

Park H., Lee C., Kim K.-W., Kim S.-D., Jang J. H., Ha H.-Y., Moon J., Lee C.-H., Park
S.-J., Mater. Sci. Eng. A,856, 143939 (2022)

Feng Y., Song R., Pei Z., Song R., Dou G., Met. Mater. Int,24, 1012 (2018)

Vaz Penna R., Bartlett L., Constance T., Int. J. Metalcast,13, 286 (2019)

Maciejewski J., J. Fail. Anal. Pre,15, 169 (2015)

Lucon E., J. Res. Natl. Inst. Stand. Technol,121, 165 (2016)

Ghosh A., Sahoo S., Ghosh M., Ghosh R., Chakrabarti D., Mater. Sci. Eng. A,613, 37
(2014)

Park J.Y., Park S.J., Lee J.H., Moon J.O., Lee T.H., Jung K.J., Han H.N., Shin J.H.,
Korean J. Met. Mater,55, 825 (2017)

Watari K., Iwasaki T., Aiso T., Nippon Steel Tech. Rep,116, 1 (2017)

Alabdullah M., Polishetty A., Nomani J., Littelfair G., Int. J. Adv. Manuf. Technol,91,
501 (2017)

Palanisamy D., Senthil P., Senthilkumar V., Arch. Civ. Mech. Eng,16, 53 (2016)

Guldibi A. S., Demir H., Eng. Technol. Appl. Sci. Res,10, 5168 (2020)

Figures and Tables
Fig. 1.
Equilibrium phase fraction of (a) MA0S and (b) MA50S including nitrogen content of
10 ppm calculated by Thermo-Calc. (TCFE 11 database).
Fig. 2.
(a) a photograph of machinability tester and (b) a schematic image of the evaluation
method.
Fig. 3.
Optical micrographs of the microstructure (a-c) before and (d-f) after aging treatment:
(a) MA0S-ST, (b) MA25S-ST, (c) MA50S-ST, (d) MA0S-AG, (e) MA25S-AG, and (f) MA50S-AG.
Fig. 4.
TEM micrographs of the microstructure with its SAED pattern (a, c) before and (b,
d) after aging treatment: (a) MA0S-ST, (b) MA0S-AG, (c) MA50S-ST, and (d) MA50S-AG.
Fig. 5.
TEM micrographs of the microstructure of ฮบ-carbide observed (a) in a grain and (b)
along grain boundary in MA50S-AG.
Fig. 6.
FE-SEM micrographs with EDS mapping analysis of (a) MnS and (b) AlN-MnS inclusions.
Fig. 7.
(a) the correlation of S contents with the number and the average diameter of MnS
inclusions and (b) the change of area fraction of MnS inclusions depending on S contents.
Fig. 8.
The change in mechanical properties before and after aging: (a) yield strength, (b)
tensile strength, (c) elongation, and (d) impact absorption energy.
Fig. 9.
A FE-SEM micrograph with EDS point analysis of the MnS inclusion elongated by tensile
test in MA50S-ST sample.
Fig. 10.
FE-SEM micrographs of fractography of V-notch impact test: (a) MA0S-ST, (b) MA25S-ST,
and (c) MA50S-ST.
Fig. 11.
The change of (a-b) tool wear and (c-d) cutting force with the machining distance:
(a, c) solution- and (b, d) aging-treated specimens (MA0S, MA25S, and MA50S indicate
the S content of 0.0048, 0.0256, and 0.0494 wt.% added specimens, respectively. In
addition, ST and AG indicate solution- and aging- treated specimen).
Fig. 12.
Digital micrographs of one of 4 flutes after specific milling distance: (a) 24 m in
MA0S-ST, (b) 40 m in MA25S-ST, (c) 40 m in MA50S-ST, (d) 20 m in MA0S-AG, (e) 20 m
in MA25S-AG, and (f) 24 m in MA50S-AG.
Table 1.
Chemical composition of S-added austenitic lightweight steels
|
|
Chemical composition (wt%)
|
|
C
|
Mn
|
Al
|
Nb
|
S
|
Fe
|
|
MA0S
|
0.956
|
22.52
|
7.70
|
0.019
|
0.0048
|
Bal.
|
|
MA25S
|
0.963
|
22.54
|
7.56
|
0.020
|
0.0256
|
Bal.
|
|
MA50S
|
0.957
|
22.63
|
7.48
|
0.020
|
0.0494
|
Bal.
|
Table 2.
Mechanical properties of S-added austenitic lightweight steels
|
Specimen
|
Solution-treatment
|
Aging-treatment
|
|
Yield strength (MPa)
|
Tensile strength (MPa)
|
Elongation (%)
|
Absorbed energy (J)
|
Yield strength (MPa)
|
Tensile strength (MPa)
|
Elongation (%)
|
Absorbed energy (J)
|
|
MA0S
|
464
|
799
|
60
|
211
|
720
|
914
|
41
|
111
|
|
MA25S
|
489
|
825
|
61
|
172
|
747
|
948
|
43
|
100
|
|
MA50S
|
468
|
819
|
60
|
150
|
699
|
922
|
46
|
97
|