The Journal of
the Korean Journal of Metals and Materials

The Journal of
the Korean Journal of Metals and Materials

Monthly
  • pISSN : 1738-8228
  • eISSN : 2288-8241

Editorial Office





Albumin, Antibacterial, Drug delivery, Functional materials, Hydrogel lens

1. INTRODUCTION

Since the eyes are directly exposed to the external environment, they are very vulnerable as well as susceptible to various diseases such as keratitis, glaucoma, and dry eyes[1]. Various methods are used to treat these eye diseases, and eye drops are the most common and easy drug delivery method, used in about 90% of treatments[2]. However, since eye drops have low bioavailability and are often used in high concentrations, their use increases the risk of systemic side effects[3,4]. Accordingly, continuing research and development is underway to address the limitations of eye drops[5]. For example, using hydrogel lenses as a drug delivery system reduces the loss of drugs due to tears and allows the drug to be continuously released. In addition, by improving bioavailability, such lenses have the advantage of reducing side effects. However, hydrogel lenses initially release a large amount of drug, making it difficult to achieve continuous drug release. Various studies are being actively conducted to solve this problem[2]. As a drug delivery system, protein nanoparticles have several advantages, including low toxicity, biodegradability, stability, facile particle surface modification, and ease of particle size control. In addition, since the applied drug may remain in the cornea for a long time, encapsulating the drug using nanoparticles can help prevent side effects by lowering the required concentration of the drug.

Protein nanoparticles are used in various treatments, such as those for cancer, tumor therapy, and vaccine delivery[5,6]. Albumin, a protein present in mammalian serum that serves as a nutrient carrier, is frequently used for the preparation of such nanocapsules because of its excellent high stability, high solubility, solubility, and ease of preparation[6,7]. Bovine serum albumin (BSA) is biodegradable and nontoxic, and nanoparticles are produced mainly by a desolventization method[6]. Desolvation is a method of precipitating a protein nano-precipitate after the solubility of a protein solution is reduced with a desolvation agent, such as ethanol or acetone, to cause phase separation[6]. Albumin nanoparticles will have different sizes depending on the type of acetone, methanol, and ethanol used as a desolvation agent, and particle sizes can vary depending on pH changes using NaCl[8].

Tretinoin (ATRA) is made from vitamin A and affects vision, and is used to relieve dry eye, Stevens-Johnson syndrome, and dry corneal conjunctivitis, and to treat epithelial tumors[9,10]. In addition, ATRA has characteristics that physically change under the influence of photoreaction and light irradiation, and has antibacterial and anti-inflammatory effects, so it is used for acne treatment and in various other fields[11,12]. However, there are very few studies using ATRA for hydrogel lenses. The present study is intended to confirm the function of ATRA as an ophthalmic hydrogel lens and to determine its applicability as an ophthalmic material by using hydrogel lenses as a drug delivery system using protein nanoparticles.

2. MATERIALS AND METHODS

2.1 Reagents and materials

2-Hydroxyethyl methacrylate (HEMA, Sigma-Aldrich, USA), a cross-linker Ethylene glycol dimethacrylate (EGDMA, Sigma-Aldrich, USA), a thermal initiator Azobisobutyronitrile (AIBN, Junsey, Japan), and 2-Hydroxy-2-methylpropiophenone (2H2M, Sigma-Aldrich, USA), which are photoinitiators, were used as additives. In addition, tretinoin (ATRA, Sigma-Aldrich, USA) was used as an additive, and Sigma-Aldrich products were used for all other reagents. The structural formula of the additive of the material used in the experiment is shown in Fig 1.

2.2 BSA nanoparticles

The experiment was modified according to the method reported by H J Kim, S I Lim (2021)[7]. First, 0.2 g of BSA was added to 2 mL of tertiary distilled water and stirred at 800 rpm for 5 minutes using a magnetic stirrer to disperse the BSA. 8mL of ethanol was continuously added to the dispersed BSA solution at a constant rate for 1 min to induce BSA to aggregate into nanoparticles. In order to maintain the structural stability of the BSA nanoparticles, 160 μl of Glutaraldehyde solution (GA) was added and stirred at 800 rpm for 18 h at room temperature. After that, to separate and purify the BSA nanoparticles, the supernatant was removed by centrifugation at 12,000 rpm for 15 min. The third distilled water was added to replace the volume of the removed supernatant and sonicated for 15 min to redisperse the aggregated BSA nanoparticles. After that, to determine the change in the formation of protein nanoparticles according to pH, the mol of the NaOH solution was adjusted to confirm the particle size.

2.3 Polymerization

HEMA, EGDMA, and AIBN (thermal initiator) were used as the basic thermal polymerization combinations, and HEMA, EGDMA, and 2H2M (photoinitiators) were used as the basic photopolymerization combinations. ATRA was added at a ratio of 0.1 to 0.5%, and the samples used in the experiment were named H-REF, HT0.1, HT0.5, U-REF, UT0.1, and UT0.5, respectively. In addition, after the BSA nanoparticle solution was added to U-REF and the BSA nanoparticle solution was added to UT0.5 to investigate drug delivery through protein nanoparticles, the samples that adsorbed ATRA were renamed RA and BA. The samples were stirred using a vortex with 30 min of ultrasonic waves for 1 h. Thermal polymerization was performed at 100°C for 2 h and photopolymerization for 1 min, 45 sec using a mold casting method. The samples were made in a size of 1 cm using a mold with a refractive power of 0.00D. The mixing ratio used for preparation is shown in Table 1.

2.4 ATRA soaking

To introduce ATRA into the prepared hydrogel lens RA, BA, and ATRA were dissolved in ethanol to a concentration of 1% and the lenses were soaked at 37o C for 30 min.

2.5 Measuring Device and Methods

A prepared hydrogel lens was hydrated in a 0.9% concentration of NaCl physiological saline for 24 h, and then its optical and physical properties were evaluated by spectral transmittance, refractive index, water content, contact angle, tensile strength, antimicrobial properties, and SEM measurements. All of the sample measurement results presented in this study were repeated more than five times to increase the accuracy of the experiment. Spectral transmittance was measured according to the conditions of ISO 8599:1994. In addition, the ultraviolet region and the visible ray region were measured by classifying them into UV-B, UV-A, and Vis. Refractive index and water content were measured according to the conditions of ISO 18369-4:2006. Water content was analyzed through weight measurement using an electronic scale. Tensile strength was measured with a tensile test machine (AGS-X 20N, Japan). When a force of 0 to 2.00 kgf was applied to both sides of the sample, the maximum value of damage to the lens was measured and analyzed. The contact angle was measured using a contact angle meter (Phenix-300 Touch, Korea). It was measured using the sessile drop method. SEM analyses was performed using FE-SEM (JSM-7500F+EDS, Oxford). The shapes and sizes of the nanoparticles were observed and compared and analyzed. Drug concentration was measured using the Cary 60 UV-vis (Alient Technologies, USA) It measured the concentration of the eluted drug by time period. The absorption coefficient of ATRA was 48800M-1cm-1 at 350 nm. In addition, in order to evaluate the antimicrobial effect against Staphylococcus aureus, an analysis was performed using a dry film, 3M PetrifilmTM (Sigma-Aldrich, St. Paul, USA). All experiments were conducted at room temperature (1 to 35°C), and samples were stored away from direct sunlight.

3. RESULTS AND DISCUSSION

3.1 Characteristics according to the polymerization method of the hydrogel lens including ATRA

3.1.1 Spectral Transmittance

The spectral transmittance of the sample was measured by classifying into the ultraviolet region UV-B (280~315 nm), ultraviolet region UV-A (315~380 nm), and visible ray region (380~780 nm). The measurement of the thermally polymerized sample indicated that transmittance decreased in all regions according to the amount of ATRA added. It is judged that the transmittance decreased after adding more than a certain amount of retinol, which has thermally unstable characteristics[14]. In the photopolymerized sample, UV-B and UV-A, which are ultraviolet regions, decreased to 48.03~15.07% and 89.02~67.08%, respectively, and the visible ray region was over 88%, which satisfies the basic hydrogel lens requirements of ANSI Z80.20:2004 and indicates an ultraviolet blocking function. A graph of the spectral transmittance of each sample is shown in Fig 3.

3.1.2 Refractive index and water content

The refractive index and water content of the manufactured hydrogel lens sample were measured, and the refractive index of H-REF was determined to be 1.4344 and the water content was 37.45%. Depending on the amount of ATRA added, the measured refractive index was 1.4348~1.4363, and the water content was 37.93~40.69%. The refractive index of U-REF was 1.4370 and the water content was 38.83%. Depending on the amount of ATRA added, the refractive index was determined to be 1.4373~1.4381, and the water content was 38.26~37.70%.

Therefore, with thermal polymerization, it was found that both the refractive index and the water content of the manufactured lens increased depending on the amount of ATRA added. The results confirmed that the refractive index and the water content were in a proportional relationship.

For the photopolymerization case, it was found that the refractive index of the manufactured lens increased with the amount of ATRA added, and the water content gradually decreased. Accordingly, the refractive index and water content were confirmed to be inversely proportional to each other[15]. A graph of the refractive index and water content of each sample is shown in Fig 4.

3.1.3 Contact angle

The initial contact angle of the manufactured hydrogel lens samples prepared for wettability evaluation was measured. The contact angle of H-REF was 58.83°, and it was determined to be 62.87° ~65.49° depending on the amount of ATRA added. The initial contact angle of U-REF was 62.70°, and it was measured to be 69.75° ~72.03° depending on the amount of ATRA added. Regardless of the polymerization method, it was found that the contact angle of the manufactured lens increased with the amount of ATRA added, and it was confirmed that the contact angle was higher when ATRA was used together with photopolymerization. The contact angle image of each sample is shown in Fig 5.

3.1.4 Tensile strength

The tensile strength of the manufactured hydrogel lens samples prepared was measured to evaluate durability. The initial tensile strength of H-REF was found to be 0.209 kgf/mm2, and it was measured to be 0.294~0.023 kgf/mm2 depending on the amount of ATRA added. The initial tensile strength of U-REF was found to be 0.107 kgf/mm2, and it was measured to be 0.111~0.135 kgf/mm2 depending on the amount of ATRA added. It was found that the tensile strength of the manufactured lens increased according to the amount of ATRA added regardless of the polymerization method. This confirms that ATRA improves mechanical properties.

However, for HT0.5, which is a thermally polymerized sample, the tensile strength rapidly decreased, and the tensile strength was low, which was attributed to the thermally unstable retinol[13]. A graph of the tensile strength of each sample is shown in Fig 6. The results show that the photopolymerization samples had higher spectral transmittance and stability than the thermal polymerization samples. Therefore, for the following experiments, the photopolymerization sample was adopted and used.

3.2 Manufacturing of hydrogel lens for eye care using protein nanoparticles

3.2.1 SEM

In order to measure the BSA nanoparticles prepared by the desolvation of BSA, analyses were performed using SEM, at various pH. In the results of the SEM measurements, the sizes of the BSA nanoparticles with a pH of 8 were observed to be 197.6~126.2 nm, BSA nanoparticles with a pH of 10 were 97.14~90.44 nm, and BSA nanoparticles with a pH of 12 were 53.59~43.54 nm. Therefore, it was confirmed that the particle size increased according to the pH concentration[14]. SEM images of each sample are shown in Fig 7.

3.2.2 Water content and contact angle

The water content and contact angle of the manufactured hydrogel lens sample were measured, and determined the water content of RA was 37.97%, and the contact angle was 50.34°. The water content of BA was 35.06%, and the contact angle was 55.94°. Accordingly, it was confirmed that the water content and the contact angle were inversely proportional, and it was judged that the wettability was higher as the water content increased. In addition, the BA sample showed a higher contact angle than the RA sample. This is believed to be due to the increase in friction resulting from the addition of BSA, which does not act as a lubricant between the lens and the eyes[16]. Water content and contact angle graphs and contact angle images are shown in Fig 8.

3.2.3 Tensile strength

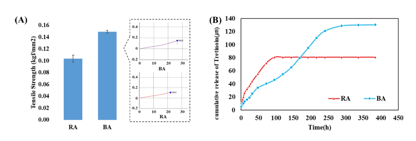
The tensile strength of the manufactured hydrogel lens sample was measured, and was determined to be 0.104 kgf/mm2 for RA, and 0.149 kgf/mm2 for BA. The results confirmed that tensile strength increased in the lens containing protein nanoparticles. BSA is known to have properties that make the material more viscoelastic or harder by increasing friction at higher concentration. The mechanical properties of the BA sample improved compared to the RA sample as a result[17]. A graph of the tensile strength of each sample is shown in Fig 9(A).

3.2.4 Drug delivery

Measurements were performed of the release concentration and release duration of ATRA adsorbed via protein nanoparticles. It was determined that RA was released at 81.15 µm for 96 h and BA was released at 130.35 µm for 336 h. This confirmed that in the lenses that included protein nanoparticles the amount of drug release was high, and could be released for a long time. Drugs added to albumin are known to have an excellent delivery duration and effectiveness[5]. A drug delivery graph is shown in Fig 9(B).

3.2.5 Antibacterial properties

For the antibacterial test, the antibacterial activity against microorganisms was confirmed using a dry film method. To confirm the antibacterial activity of contact lenses with ATRA, 1 mL of the sample solution was injected into a dried Staphylococcus aureus medium and 0.7 mL in dried Escherichia coli medium, then incubated in a thermostat at 35°C ± 1°C for about 24h. The antibacterial activity against Staphylococcus aureus and Escherichia coli was confirmed. When REF without ATRA was measured, it showed somewhat more of both Staphylococcus aureus and Escherichia coli. On the other hand, it was confirmed that all groups to which ATRA was added had very excellent antibacterial properties. The measurement results of antimicrobial activity are shown in Fig 10.

4. CONCLUSIONS

This study compared and analyzed the physical properties of thermal polymerized and photopolymerized hydrogel contact lenses when tretinoin (ATRA) was used as an additive, and investigated the use of hydrogel lenses for drug delivery using protein nanoparticles with bovine serum albumin (BSA). Regardless of the polymerization method, measurements of the optical and physical properties of hydrogel lens using ATRA as an additive showed that ultraviolet rays were blocked and the contact angle and tensile strength increased according to the addition ratio. However, in HR0.5, it was found that thermal stability was low, and that mechanical properties decreased. Regarding lens water content, contradictory results were found depending on the polymerization method. In addition, when ATRA was adsorbed, the sample with added protein nanoparticles had both higher contact angle and tensile strength than the sample to which no protein nanoparticles were added. Notably, for drug delivery, it was confirmed that both the released amount and time of release were excellent. Therefore, if ATRA is used properly, it is believed that lenses can be prepared with various functions such as excellent UV protection, antibacterial properties, and durability, and ATRA adsorption lenses using protein nanoparticles can be used with various ophthalmic materials.

Notes

[1] ACKNOWLEDGEMENT

This work was supported by research grants from Daegu Catholic University in 2024

REFERENCES

1 
Ban J. Y., Journal of Korean Ophthalmic Optics Society,28, 249 (2023)Google Search
2 
Kim Y. J., Annals of Optometry and Contact Lens,22, 48 (2023)Google Search
3 
Kearns V. R., Williams R. L., Expert Rev Med Devices,6, 277 (2009)Google Search
4 
Lomaestro B. M., Drug Saf,22, 479 (2000)Google Search
5 
Jumelle C., Gholizadeh S., Annabi N., Dana R., Journal of Controlled Release,321, 1 (2020)Google Search
6 
Hong S. Y., Park H. H., KSBB Journal,35, 10 (2020)Google Search
7 
Kim H. J., Lim S. L., Clean Technology,27, 55 (2021)Google Search
8 
Storp B. V., Engel A., Boeker A., Ploeger M., Langer K., J Microencapsul,29, 138 (2012)Google Search
9 
Tseng S. C., Trans Ophthalmol Soc U K,104, 489 (1962)Google Search
10 
Tseng S. C., Maumenee A. E., Stark W. J., Maumenee I. H., Jensen A. D., Green W. R., Kenyon K. R., Ophthalmology,92, 717 (1985)Google Search
11 
Tolleson W. H., Cherng S. H., Xia Q., Boudreau M., Yin J. J., Wamer W. G., Howard P. C., Yu H., Fu P. P., Int. J. Environ. Res. Public Health,2, 147 (2005)Google Search
12 
Khoshbakht S., Asghari S. F., Fathi A. A., Sharifi Y., Biomater Res,24, 119 (2020)Google Search
13 
Fu P. P., Cheng S. H., Coop L., Xia Q., Culp S. J., Tolleson W. H., Howard P. C., J Environ Sci Health C Environ Carcinog Ecotoxicol Rev,21, 165 (2003)Google Search
14 
Lin W., Coombes A. G., Davies M. C., Davis S. S., Illum L., J Drug Target,1, 237 (1993)Google Search
15 
Park H. I., Shin S. M., Sung A. Y., Korean Journal of Vision Science,25, 373 (2023)Google Search
16 
Vilhena L., Ramalho A., Appl. Sci,14, 4311 (2024)Google Search
17 
Sterner O., Aeschlimann R., Zürcher S., Scales C., Riederer D., Spencer N. D., Tosatti S. G. P., Tribology Letters,63, 1 (2016)Google Search

Figures and Table

Fig. 1.

Chemical structures of Tretinoin.

../../Resources/kim/KJMM.2025.63/kjmm-2025-63-3-217f1.jpg
Fig. 2.

Images of ATRA soaking process. [(A): Solution with ATRA added to ethanol (B): Contact lens soaked in ATRA solution]

../../Resources/kim/KJMM.2025.63/kjmm-2025-63-3-217f2.jpg
Fig. 3.

The spectral transmittances of samples. [(A) Thermal Polymerization (B) Photo Polymerization]

../../Resources/kim/KJMM.2025.63/kjmm-2025-63-3-217f3.jpg
Fig. 4.

The refractive index and water content of samples. [(A) Thermal Polymerized samples (B) Photo Polymerized samples]

../../Resources/kim/KJMM.2025.63/kjmm-2025-63-3-217f4.jpg
Fig. 5.

Images of the contact angle of samples. [(A): H-REF (B): HT0.1 (C): HT0.5 (D): U-REF (E): UT0.1 (F): UT0.5]

../../Resources/kim/KJMM.2025.63/kjmm-2025-63-3-217f5.jpg
Fig. 6.

The tensile strength of the samples.

../../Resources/kim/KJMM.2025.63/kjmm-2025-63-3-217f6.jpg
Fig. 7.

Surface analysis by SEM image. [(A): pH 8 (B): pH 10 (C): pH 12]

../../Resources/kim/KJMM.2025.63/kjmm-2025-63-3-217f7.jpg
Fig. 8.

The water content and contact angles of samples.

../../Resources/kim/KJMM.2025.63/kjmm-2025-63-3-217f8.jpg
Fig. 9.

Physical properties of soaked samples [(A): Tensile strength of samples (B): Cumulative concentration of drug released by samples]

../../Resources/kim/KJMM.2025.63/kjmm-2025-63-3-217f9.jpg
Fig. 10.

Antimicrobial property of the samples containing ATRA. [(A): Staphylococcus aureus (B): Escherichia coli]

../../Resources/kim/KJMM.2025.63/kjmm-2025-63-3-217f10.jpg
Table 1.

Compositions of hydrogel lens samples. (Unit:%)

Sample HEMA EGDMA AIBN 2H2M ATRA BSA nano
H-REF 99.30 0.50 0.20 - - -
HT0.1 99.21 0.49 0.20 - 0.10 -
HT0.5 98.81 0.49 0.20 - 0.50 -
U-REF(RA) 98.52 0.99 - 0.49 - -
UT0.1 98.42 0.99 - 0.49 0.10 -
UT0.5 98.03 0.98 - 0.49 0.50 -
BA 97.55 0.98 - 0.49 - 0.98