The Journal of
the Korean Journal of Metals and Materials

The Journal of
the Korean Journal of Metals and Materials

Monthly
  • pISSN : 1738-8228
  • eISSN : 2288-8241

Editorial Office


  1. ์„œ์šธ๊ณผํ•™๊ธฐ์ˆ ๋Œ€ํ•™๊ต ์‹ ์†Œ์žฌ๊ณตํ•™๊ณผ (Department of Materials Science and Engineering, Seoul National University of Science and Technology, Seoul 01811, Republic of Korea)



Hydrogen embrittlement, Steel, Grain boundary characteristic, Mechanical properties

1. ์„œ ๋ก 

์ตœ๊ทผ ๊ธฐํ›„๋ณ€ํ™”์— ๋Œ€์‘ํ•˜๊ธฐ ์œ„ํ•ด ์˜จ์‹ค๊ฐ€์Šค ๋ฐฐ์ถœ๋Ÿ‰์„ ์ค„์ด๊ณ , ์ง€์† ๊ฐ€๋Šฅํ•œ ์—๋„ˆ์ง€ ์ž์›์„ ํ™•๋ณดํ•˜๋ ค๋Š” ๋…ธ๋ ฅ์ด ์ „์„ธ๊ณ„์ ์œผ๋กœ ๊ฐ•ํ™”๋˜๊ณ  ์žˆ๋‹ค[1]. ์ด๋Ÿฌํ•œ ๋ฐฐ๊ฒฝ์—์„œ ์ˆ˜์†Œ์—๋„ˆ์ง€๋Š” ๋†’์€ ์—๋„ˆ์ง€ ๋ฐ€๋„์™€ ๋‹ค์–‘ํ•œ ์ƒ์‚ฐ ๊ฐ€๋Šฅ์„ฑ์œผ๋กœ ์ธํ•ด ํ™”์„์—ฐ๋ฃŒ๋ฅผ ๋Œ€์ฒดํ•  ์ˆ˜ ์žˆ๋Š” ์นœํ™˜๊ฒฝ ์—๋„ˆ์ง€์›์œผ๋กœ ์ฃผ๋ชฉ๋ฐ›๊ณ  ์žˆ๋‹ค[2,3]. ์ด์— ๋”ฐ๋ผ ์ˆ˜์†Œ ๊ธฐ๋ฐ˜ ์‚ฌํšŒ ๊ตฌ์ถ•์„ ์œ„ํ•œ ์ธํ”„๋ผ ๊ฐœ๋ฐœ์ด ํ•„์ˆ˜์ ์ด๋ฉฐ, ์ด๋ฅผ ์œ„ํ•ด์„œ๋Š” ์ˆ˜์†Œ์˜ ์ƒ์‚ฐ ๋ฟ๋งŒ ์•„๋‹ˆ๋ผ ํšจ์œจ์ ์ธ ์ €์žฅ ๋ฐ ์šด์†ก ๊ธฐ์ˆ ์ด ์š”๊ตฌ๋œ๋‹ค. ํ˜„์žฌ ์ˆ˜์†Œ์˜ ์ €์žฅ ๋ฐ ์šด์†ก์€ ์••์ถ• ๊ธฐ์ฒด ํ˜•ํƒœ๋กœ ์ด๋ฃจ์–ด์ง€๋ฉฐ, ๊ณ ์•• ํƒฑํฌ, ํŠœ๋ธŒ ํŠธ๋ ˆ์ผ๋Ÿฌ, ์‹ฌ๋ฆฌ์Šค ํŒŒ์ดํ”„, ์šฉ์ ‘ ํŒŒ์ดํ”„๋ผ์ธ ๋“ฑ์˜ ๊ฐ•์žฌ ๊ธฐ๋ฐ˜ ์‹œ์Šคํ…œ์ด ์ฃผ๋กœ ์‚ฌ์šฉ๋œ๋‹ค. ์ด๋Ÿฌํ•œ ๊ฐ•์žฌ๋“ค์€ ๋‹ค์–‘ํ•œ ๋ฐฉ๋ฒ•์œผ๋กœ ์ œ์กฐ๋  ์ˆ˜ ์žˆ์ง€๋งŒ, ํ€œ์นญ ๋ฐ ํ…œํผ๋ง(quenching and tempering, QT)์œผ๋กœ ์ œ์กฐ๋˜๋Š” ํ…œํผ๋“œ ๋งˆ๋ฅดํ…์‚ฌ์ดํŠธ(tempered martensite) ์กฐ์ง์˜ ์ €ํ•ฉ๊ธˆ๊ฐ•์€ ๊ฐ€์Šค ๋‚ด์••์„ ๊ฒฌ๋””๋Š” ๋†’์€ ๊ฐ•๋„๋ฅผ ๊ฐ€์ง€๋ฉด์„œ๋„ ์ €๋น„์šฉ์œผ๋กœ ์ œ์กฐํ•  ์ˆ˜ ์žˆ์–ด ๋‹ค์–‘ํ•œ ์‚ฐ์—…์—์„œ ๋„๋ฆฌ ์‚ฌ์šฉ๋˜๊ณ  ์žˆ๋‹ค[4-6].

๊ทธ๋Ÿฌ๋‚˜ ์ด๋Ÿฌํ•œ ๊ฐ•์žฌ๋„ ์ˆ˜์†Œ ํ™˜๊ฒฝ ํ•˜์— ์žฅ์‹œ๊ฐ„ ๋…ธ์ถœ๋  ๊ฒฝ์šฐ ๊ฐ•์žฌ์˜ ์ธ์žฅ๊ฐ•๋„, ์—ฐ์„ฑ ๋ฐ ์ธ์„ฑ ๋“ฑ์˜ ๋ฌผ์„ฑ์ด ์ €ํ•˜๋˜๋Š” ์ˆ˜์†Œ์ทจ์„ฑ์ด ๋ฐœ์ƒํ•  ์ˆ˜ ์žˆ๋‹ค[7-10]. ์ˆ˜์†Œ์ทจ์„ฑ์€ ๊ฐ•์žฌ์˜ ๋ฏธ์„ธ ๊ตฌ์กฐ์— ๋”ฐ๋ผ ๊ทธ ๋ฐœ์ƒ ๋ฉ”์ปค๋‹ˆ์ฆ˜์ด ๋‹ฌ๋ผ์งˆ ์ˆ˜ ์žˆ์œผ๋ฉฐ, ํŠนํžˆ ์ˆ˜์†Œ์˜ ํ™•์‚ฐ ๋ฐ ํŠธ๋žฉ(trap) ๊ฑฐ๋™์ด ์ค‘์š”ํ•œ ์—ญํ• ์„ ํ•œ๋‹ค[11-13]. ๋Œ€ํ‘œ์ ์œผ๋กœ ์ „์œ„๋Š” ์ˆ˜์†Œ์˜ ๊ฐ€์—ญ์  ํŠธ๋žฉ์‚ฌ์ดํŠธ๋กœ ์ˆ˜์†Œ์— ์˜ํ•œ ๊ท ์—ด์˜ ๊ฐœ์‹œ์™€ ์ „ํŒŒ์— ์ค‘์š”ํ•œ ์—ญํ• ์„ ์ˆ˜ํ–‰ํ•˜๋Š” ๊ฒƒ์œผ๋กœ ์•Œ๋ ค์ ธ ์žˆ๋‹ค[14,15]. ๋˜ ๋‹ค๋ฅธ ์˜ˆ์‹œ๋กœ ๊ฒฐ์ •๋ฆฝ๊ณ„์—์„œ๋Š” ์ž„๊ณ„ ๋†๋„ ์ด์ƒ์˜ ์ˆ˜์†Œ๊ฐ€ ์‘์ง‘๋˜๋ฉด ๊ธˆ์† ์›์ž์˜ ๊ฒฐํ•ฉ๋ ฅ ์•ฝํ™”๊ฐ€ ๋ฐœ์ƒํ•˜์—ฌ ์ž…๊ณ„ ํŒŒ๊ดด์˜ ์ฃผ ์›์ธ์„ ์ œ๊ณตํ•  ์ˆ˜ ์žˆ๋‹ค[16-18]. ๋”ฐ๋ผ์„œ ๊ฐ•์žฌ์˜ ๋ฏธ์„ธ์กฐ์ง ํŠน์„ฑ์ด ๋‹ฌ๋ผ์ง€๋ฉด ์ˆ˜์†Œ์ทจ์„ฑ ๊ฑฐ๋™์ด ๋ณ€ํ™”ํ•  ์ˆ˜ ์žˆ๊ธฐ ๋•Œ๋ฌธ์— ๋ฏธ์„ธ์กฐ์ง ์ธ์ž์™€ ์ˆ˜์†Œ์ทจ์„ฑ ๋ฉ”์ปค๋‹ˆ์ฆ˜ ๊ฐ„์˜ ์ƒ๊ด€๊ด€๊ณ„๋ฅผ ์—ฐ๊ตฌํ•˜๋Š” ๊ฒƒ์ด ๋งค์šฐ ์ค‘์š”ํ•˜๋‹ค.

์••๋ ฅ์šฉ๊ธฐ์šฉ์œผ๋กœ ํ™œ์šฉ๋˜๋Š” ์†Œ์žฌ๋Š” ๋‘๊บผ์šด ๊ฐ•์žฌ๋ฅผ ํ€œ์นญํ•˜์—ฌ ๋งˆ๋ฅดํ…์‚ฌ์ดํŠธ ์กฐ์ง์„ ํ˜•์„ฑ์‹œํ‚ค๋Š” ๊ฒƒ์ด ์ค‘์š”ํ•˜๊ธฐ ๋•Œ๋ฌธ์— Ni๊ณผ Cr๊ณผ ๊ฐ™์€ ๊ฒฝํ™”๋Šฅ ํ–ฅ์ƒ ์›์†Œ์˜ ์ฒจ๊ฐ€๊ฐ€ ์ฃผ์š”ํ•˜๊ฒŒ ๊ณ ๋ ค๋œ๋‹ค. ๊ทธ๋Ÿฌ๋‚˜ Ni ํ•จ๋Ÿ‰์ด ์ฆ๊ฐ€ํ• ์ˆ˜๋ก ์ˆ˜์†Œ๊ฐ€ ๊ฒฐ์ •๋ฆฝ๊ณ„์— ์ง‘์ ๋˜์–ด ๊ท ์—ด์„ ์œ ๋ฐœํ•  ๊ฐ€๋Šฅ์„ฑ์ด ๋†’๊ธฐ ๋•Œ๋ฌธ์— Ni์ด ์ผ์ • ํ•จ๋Ÿ‰ ์ด์ƒ์ผ ๊ฒฝ์šฐ ์ˆ˜์†Œ์ทจ์„ฑ์ด ๊ธ‰๊ฒฉํžˆ ์ฆ๊ฐ€๋˜๋Š” ๊ฒƒ์œผ๋กœ ์•Œ๋ ค์ ธ ์žˆ๋‹ค[19,20]. ์ตœ๊ทผ ์ˆ˜์†Œ์ทจ์„ฑ ์—ฐ๊ตฌ์—์„œ ๋ฏธ์„ธ์กฐ์ง์˜ ๊ฒฐ์ •๋ฆฝ๊ณ„ ํŠน์„ฑ์ด ์ˆ˜์†Œ์— ์˜ํ•œ ๊ท ์—ด ์ „ํŒŒ์— ์ค‘์š”ํ•œ ์—ญํ• ์„ ํ•œ๋‹ค๋Š” ์ ์ด ๊ฐ•์กฐ๋˜๋ฉด์„œ ๊ด€๋ จ ์—ฐ๊ตฌ๊ฐ€ ํ™œ๋ฐœํ•˜๊ฒŒ ์ˆ˜ํ–‰๋˜๊ณ  ์žˆ์œผ๋‚˜, Ni ํ•จ๋Ÿ‰์— ๋”ฐ๋ฅธ ์ˆ˜์†Œ์ทจ์„ฑ ๋ณ€ํ™”์— ๋Œ€ํ•œ ์—ฐ๊ตฌ๋Š” ์—ฌ์ „ํžˆ ๋ถ€์กฑํ•œ ์‹ค์ •์ด๋‹ค.

๋˜ํ•œ, ํ…œํผ๋ง ์˜จ๋„์— ๋”ฐ๋ผ ๋ฏธ์„ธ์กฐ์ง ๋‚ด ์ „์œ„ ๋ฐ€๋„๊ฐ€ ๋ณ€ํ™”ํ•˜๋ฉด์„œ ์ฃผ์š”ํ•œ ์ˆ˜์†Œ ํŠธ๋žฉ์‚ฌ์ดํŠธ์˜ ์—ญํ• ์ด ๋‹ฌ๋ผ์งˆ ์ˆ˜ ์žˆ๋‹ค. ๋”ฐ๋ผ์„œ Ni ํ•จ๋Ÿ‰๊ณผ ํ…œํผ๋ง ์˜จ๋„๋ฅผ ์กฐ์ ˆํ•˜์—ฌ ํ…œํผ๋“œ ๋งˆ๋ฅดํ…์‚ฌ์ดํŠธ๊ฐ•์„ ์ œ์กฐํ•˜๊ณ , ์ˆ˜์†Œ์ทจ์„ฑ ์ €ํ•ญ์„ฑ๊ณผ ํŒŒ๊ดด ์–‘์ƒ์˜ ๋ณ€ํ™”๋ฅผ ํ‰๊ฐ€ํ•˜๋Š” ๊ฒƒ์ด ํ•„์š”ํ•˜๋‹ค. ๋ณธ ์—ฐ๊ตฌ์—์„œ๋Š” ์ด๋Ÿฌํ•œ ๋ณ€์ˆ˜๋ฅผ ์ฒด๊ณ„์ ์œผ๋กœ ๋ถ„์„ํ•˜์—ฌ, Ni ํ•จ๋Ÿ‰๊ณผ ํ…œํผ๋ง ์˜จ๋„๊ฐ€ ์ˆ˜์†Œ ์ทจ์„ฑ ๊ฑฐ๋™์— ๋ฏธ์น˜๋Š” ์˜ํ–ฅ์„ ๊ณ ์ฐฐํ•˜๊ณ , ์ˆ˜์†Œ์ €์žฅ์šฉ ๊ณ ๊ฐ•๋„ ๊ฐ•์žฌ ์„ค๊ณ„์— ๊ธฐ์—ฌํ•˜๊ณ ์ž ํ•˜์˜€๋‹ค.

2. ์‹คํ—˜๋ฐฉ๋ฒ•

2.1 ์‹œํŽธ ์ œ์กฐ์™€ ๋ฏธ์„ธ์กฐ์ง ๋ถ„์„

๋ณธ ์—ฐ๊ตฌ์—์„œ๋Š” ๊ณ ์••์šฉ๊ธฐ ๊ฐ•์žฌ ๊ทœ๊ฒฉ์ธ SA372 Grade J์˜ ์กฐ์„ฑ์„ ๋งŒ์กฑํ•˜๋Š” ์†Œ์žฌ๋ฅผ ๊ธฐ๋ฐ˜์œผ๋กœ ํ‘œ 1๊ณผ ๊ฐ™์ด Ni ํ•จ๋Ÿ‰์ด 0.5์™€ 2.2 wt.%๋กœ ์„œ๋กœ ๋‹ค๋ฅธ ์‹œํŽธ์„ ์ œ์กฐํ•˜์˜€๋‹ค. ํ•ด๋‹น ์‹œํŽธ์€ 880oC์—์„œ 30๋ถ„ ๋™์•ˆ ์˜ค์Šคํ…Œ๋‚˜์ดํŠธํ™” ์—ด์ฒ˜๋ฆฌ ๋ฐ ํ€œ์นญ ์ดํ›„ 550oC์™€ 650oC์—์„œ 60๋ถ„๊ฐ„ ํ…œํผ๋งํ•˜์˜€๋‹ค. ๋ณธ ์—ฐ๊ตฌ์—์„œ๋Š” ํŽธ์˜์ƒ Ni ํ•จ๋Ÿ‰์ด 0.5 ๋ฐ 2.2 wt.%์ธ ์‹œํŽธ์„ ๊ฐ๊ฐ โ€˜0.5Niโ€™, โ€˜2.2Niโ€™๋กœ, ํ…œํผ๋ง ์˜จ๋„์— ๋”ฐ๋ฅธ ์‹œํŽธ์„ โ€˜T550โ€™(550oC), โ€˜T650โ€™(650oC)์œผ๋กœ ๋ช…๋ช…ํ•˜์˜€๋‹ค.

๋ฏธ์„ธ์กฐ์ง์„ ๊ด€์ฐฐํ•˜๊ธฐ ์œ„ํ•ด์„œ๋Š” ๋จผ์ € ์†Œ์žฌ๋ฅผ ์ ˆ๋‹จํ•˜๊ณ  ์—ฐ๋งˆํ•œ ๋‹ค์Œ 3% ๋‚˜์ดํƒˆ ์šฉ์•ก์œผ๋กœ ์—์นญํ•˜์—ฌ ์ฃผ์‚ฌ์ „์žํ˜„๋ฏธ๊ฒฝ(Scanning Electron Microscope, SEM, Model: JSM-6700F, JEOL, Japan)์œผ๋กœ ๋ถ„์„ํ•˜์˜€๋‹ค. ๋˜ํ•œ 5% ๋„๋ฐ์‹ค๋ฒค์  ์„คํฐ์‚ฐ(dodecyl benzene sulfonic acid), 0.5% ์—ผ์‚ฐ ๋ฐ ํ”ผํฌ๋ฆญ์‚ฐ ํ˜ผํ•ฉ ์šฉ์•ก์œผ๋กœ ์—์นญํ•˜์—ฌ ๊ด‘ํ•™ํ˜„๋ฏธ๊ฒฝ์œผ๋กœ ๊ด€์ฐฐํ•œ ๋‹ค์Œ ASTM E112 ํ‘œ์ค€ ๊ฒฐ์ •๋ฆฝ ํฌ๊ธฐ ์ธก์ • ๋ฐฉ๋ฒ•์„ ํ™œ์šฉํ•˜์—ฌ ๊ตฌ์˜ค์Šคํ…Œ๋‚˜์ดํŠธ ๊ฒฐ์ •๋ฆฝ ํฌ๊ธฐ๋ฅผ ์ธก์ •ํ•˜์˜€๋‹ค[22]. ๋ณด๋‹ค ์ž์„ธํ•œ ๋ฏธ์„ธ์กฐ์ง์€ ์ „์žํ›„๋ฐฉ์‚ฐ๋ž€ํšŒ์ ˆ(Electron Backscatter Diffraction, EBSD, Model: TSL Hikari XP, AMETEK, USA) ๋ถ„์„์„ ํ†ตํ•ด ๊ด€์ฐฐํ•˜์˜€๋‹ค. EBSD ๋ถ„์„์€ OIM(Orientation Imaging Microscopy) ์†Œํ”„ํŠธ์›จ์–ด(TexSEM Laboratories, Inc., Draper, UT, USA)๋ฅผ ํ™œ์šฉํ•˜์—ฌ ๊ฒฐ์ •๋ฆฝ ๊ตฌ์กฐ ๋ฐ ฮฃ3 ์ž…๊ณ„ ๋ถ„์œจ์„ ํ‰๊ฐ€ํ•˜์˜€๋‹ค. ํ•œํŽธ X์„  ํšŒ์ ˆ ๋ถ„์„(X-ray diffraction, XRD, Model: D/max-2500V, Rigaku Corp., Japan)์„ ํ†ตํ•ด ์‹œํŽธ์˜ ์ƒ ์ข…๋ฅ˜๋ฅผ ๋ถ„์„ํ•˜์˜€์œผ๋ฉฐ, ๊ฒฐ๊ณผ ๊ฐ’์˜ ๋ฐ˜์น˜์ „ํญ(full width at half maximum, FWHM)๊ณผ ํ”ผํฌ ๊ฐ๋„๋กœ ์ „์œ„๋ฐ€๋„๋ฅผ ๊ณ„์‚ฐํ•˜๊ธฐ ์œ„ํ•ด ์‹ 1๊ณผ ๊ฐ™์€ Williamson-Hall plot์„ ์‚ฌ์šฉํ•˜์˜€๋‹ค[21].

(1)
ฮฒ cos โก ฮธ ฮป = 0.9 D + 2 ฮต sin โก ฮธ ฮป

์ด๋•Œ ฮฒ, ฮธ, ฮป, ฮต, D๋Š” ๊ฐ๊ฐ FWHM, ํšŒ์ ˆ ๊ฐ๋„, ํŒŒ์žฅ, ๋ณ€ํ˜•๋Ÿ‰, ๊ฒฐ์ • ๊ตฌ์กฐ ํฌ๊ธฐ์ด๋‹ค. ์—ฌ๊ธฐ์„œ ๊ตฌํ•œ ๋ณ€ํ˜•๋Ÿ‰๊ณผ ๊ฒฐ์ • ๊ตฌ์กฐ ํฌ๊ธฐ๋ฅผ ๋ฐ”ํƒ•์œผ๋กœ ์ „์œ„๋ฐ€๋„ ฯ๊ฐ€ ์‹ 2๋ฅผ ๋”ฐ๋ผ ๊ณ„์‚ฐ๋  ์ˆ˜ ์žˆ๋‹ค.

(2)
ฯ = 14.4 ฮต 2 b 2

์—ฌ๊ธฐ์„œ b๋Š” ๋ฒ„๊ฑฐ์Šค ๋ฒกํ„ฐ(Burgers vector) ๊ฐ’์„ ์˜๋ฏธํ•œ๋‹ค.

2.2 ๊ธฐ๊ณ„์  ํŠน์„ฑ ๋ฐ ์ˆ˜์†Œ์ทจ์„ฑ ํ‰๊ฐ€

๋ณธ ์—ฐ๊ตฌ์—์„œ ์ œ์กฐ๋œ ์‹œํŽธ์˜ Ni ํ•จ๋Ÿ‰ ๋ฐ ํ…œํผ๋ง ์˜จ๋„์— ๋”ฐ๋ฅธ ๊ธฐ๊ณ„์  ํŠน์„ฑ์„ ๋ถ„์„ํ•˜๊ธฐ ์œ„ํ•ด ์ธ์žฅ ์‹œํ—˜์„ ์‹ค์‹œํ•˜์˜€๋‹ค. ์ธ์žฅ ์‹œํ—˜์€ ASTM E8 ํ‘œ์ค€ ์‹œํ—˜๋ฒ•์— ๋”ฐ๋ผ 1/2 sub-size์˜ ๋ด‰์ƒ ์ธ์žฅ ์‹œํŽธ์œผ๋กœ ๊ทธ๋ฆผ 1(a)์™€ ๊ฐ™์ด ๊ฐ€๊ณตํ•˜์—ฌ ์ˆ˜ํ–‰ํ•˜์˜€๋‹ค. ์ธ์žฅ ์‹œํ—˜์€ 10ํ†ค ์šฉ๋Ÿ‰์˜ ๋งŒ๋Šฅ ์‹œํ—˜๊ธฐ(Model: UT-100E, MTDI, Korea)๋ฅผ ์‚ฌ์šฉํ•˜์—ฌ 10-3ยทs-1์˜ ๋ณ€ํ˜•๋ฅ  ์†๋„๋กœ ์‹ค์‹œํ•˜์˜€๋‹ค.

์ˆ˜์†Œ์ทจ์„ฑ ํ‰๊ฐ€๋Š” ๋™์ผํ•œ ์žฅ๋น„์—์„œ in-situ ๋ฐฉ์‹์˜ ์ €์†๋ณ€ํ˜•๋ฅ ์‹œํ—˜(slow strain-rate test, SSRT)์„ ์ˆ˜ํ–‰ํ•˜์˜€๋‹ค. ์ˆ˜์†Œ ์ฃผ์ž… ์ธ์žฅ ์‹œํ—˜์„ ์œ„ํ•ด ์‹œํ—˜ ๋„์ค‘์— ์ˆ˜์†Œ๋ฅผ ์‹ค์‹œ๊ฐ„์œผ๋กœ ์ฃผ์ž…ํ•  ์ˆ˜ ์žˆ๋Š” in-situ SSRT ์žฅ๋น„๋ฅผ ๊ทธ๋ฆผ 1(c)์™€ ๊ฐ™์ด ๋„์ž…ํ•˜์˜€๋‹ค. In-situ SSRT๋Š” 1 M NaOH + 3 g/L NH4SCN ํ˜ผํ•ฉ ์ˆ˜์šฉ์•ก์—์„œ 0.5 A/m2์˜ ์ „๋ฅ˜ ๋ฐ€๋„๋กœ ์ˆ˜ํ–‰ํ•˜์˜€๋‹ค. ์šฉ ์‹œํŽธ์€ ๊ทธ๋ฆผ 1(b)์™€ ๊ฐ™์ด ๋ด‰์ƒ ๋…ธ์น˜ ์ธ์žฅ ์‹œํŽธ์„ ๊ฐ€๊ณตํ•˜์˜€์œผ๋ฉฐ ํ•˜์ค‘ ์†๋„(crosshead speed)๋Š” 0.015 mm/min์œผ๋กœ ์‹ค์‹œํ•˜์˜€๋‹ค. SSRT ์ดํ›„ ํŒŒ๋‹จ๋œ ์ธ์žฅ ์‹œํŽธ์˜ ํŒŒ๋ฉด๊ณผ ํŒŒ๋‹จ๋ฉด์€ ๊ฐ๊ฐ SEM๊ณผ EBSD๋ฅผ ํ™œ์šฉํ•˜์—ฌ ์ถ”๊ฐ€๋กœ ๋ถ„์„ํ•˜์˜€๋‹ค. ์ˆ˜์†Œ์ทจ์„ฑ ์ €ํ•ญ์„ฑ ๋น„๊ต๋ฅผ ์œ„ํ•œ ์ง€ํ‘œ๋กœ๋Š” ์ˆ˜์†Œ ์ฃผ์ž… ์ „ํ›„์˜ ๋…ธ์น˜์ธ์žฅ๊ฐ•๋„์˜ ๋น„์ธ ์ƒ๋Œ€๋…ธ์น˜์ธ์žฅ๊ฐ•๋„(relative notch tensile strength, RNTS)๋ฅผ ๊ณ„์‚ฐํ•˜์—ฌ ์‚ฌ์šฉํ•˜์˜€๋‹ค[23].

์ˆ˜์†Œ ์ฃผ์ž… ์ดํ›„ ์‹œํŽธ ๋‚ด๋ถ€์— ์ง‘์ ๋œ ์ˆ˜์†Œ ํ•จ๋Ÿ‰๊ณผ ํŠธ๋žฉ ๊ฑฐ๋™์„ ๋ถ„์„ํ•˜๊ธฐ ์œ„ํ•ด ์—ดํƒˆ์ฐฉ ๊ฑฐ๋™ ๋ถ„์„(thermal desorption analysis, TDA)์„ ์ˆ˜ํ–‰ํ•˜์˜€๋‹ค. TDA ์žฅ๋น„๋Š” ๊ธฐ์ฒด ํฌ๋กœ๋งˆํ† ๊ทธ๋ž˜ํ”ผ(gas chromatography, Model: 7890A, Agilent Technologies, USA)์™€ ํŠœ๋ธŒํ˜• ์—ด์ฒ˜๋ฆฌ๋กœ(tubular furnace)๋ฅผ ์—ฐ๊ฒฐํ•˜์˜€๊ณ , Ar ๊ธฐ์ฒด๋ฅผ ์šด๋ฐ˜ ๊ธฐ์ฒด(carrier gas)๋กœ ์‚ฌ์šฉํ•˜์˜€๋‹ค. TDA๋Š” ์‹œํŽธ์„ 10 mm ร— 10 mm ร— 10 mm ์˜ ๋™์ผํ•œ ํฌ๊ธฐ๋ฅผ ๊ฐ–๋Š” ์ •์œก๋ฉด์ฒด๋กœ ์ ˆ๋‹จํ•˜์—ฌ 1 M NaOH + 3 g/L NH4SCN์˜ ํ˜ผํ•ฉ ์ˆ˜์šฉ์•ก์—์„œ 25 A/m2์˜ ์ „๋ฅ˜๋ฐ€๋„๋กœ 24์‹œ๊ฐ„ ์‚ฌ์ „ ์ฃผ์ž…ํ•œ ๋‹ค์Œ 100 oC/h์˜ ์Šน์˜จ ์†๋„๋กœ ์ƒ์˜จ์—์„œ 400 oC๊นŒ์ง€ ์ˆ˜ํ–‰ํ•˜์˜€๋‹ค. ์‹ค์ œ๋กœ ์ˆ˜์†Œ ํ™•์‚ฐ์„ ์ตœ์†Œํ™”ํ•˜๊ธฐ ์œ„ํ•ด, ์ˆ˜์†Œ ์ฃผ์ž… ํ›„ 5๋ถ„ ์ด๋‚ด์— TDA ๋ถ„์„์„ ์ˆ˜ํ–‰ํ•˜์˜€๋‹ค. ์‹œํŽธ์—์„œ ํƒˆ์ฐฉ๋œ ์ˆ˜์†Œ์˜ ์ด ํ•จ๋Ÿ‰์€ ์ˆ˜์†Œ ํƒˆ์ฐฉ ์†๋„๋ฅผ ์‹œ๊ฐ„์œผ๋กœ ์ ๋ถ„ํ•˜์—ฌ ๊ณ„์‚ฐํ•˜์˜€๋‹ค.

3. ์‹คํ—˜ ๊ฒฐ๊ณผ

3.1 ๋ฏธ์„ธ์กฐ์ง๊ณผ ์ธ์žฅ ํŠน์„ฑ

๋ณธ ์—ฐ๊ตฌ์—์„œ ์‚ฌ์šฉํ•œ ํ…œํผ๋“œ ๋งˆ๋ฅดํ…์‚ฌ์ดํŠธ๊ฐ•์˜ ๋ฏธ์„ธ์กฐ์ง์„ SEM์œผ๋กœ ๊ด€์ฐฐํ•˜์—ฌ ๊ทธ๋ฆผ 2์— ๋‚˜ํƒ€๋‚ด์—ˆ๋‹ค. ๋ชจ๋“  ์‹œํŽธ์—์„œ ํ…œํผ๋“œ ๋งˆ๋ฅดํ…์‚ฌ์ดํŠธ์™€ ํ…œํผ๋“œ ๋ฒ ์ด๋‚˜์ดํŠธ๊ฐ€ ํ˜ผํ•ฉ๋œ ์กฐ์ง์œผ๋กœ ๋‚˜ํƒ€๋‚ฌ์œผ๋ฉฐ, ๊ธฐ์ง€ ๋‚ด ๋‹ค์–‘ํ•œ ํ˜•์ƒ๊ณผ ํฌ๊ธฐ๋ฅผ ๊ฐ–๋Š” ํƒ„ํ™”๋ฌผ์ด ๋‹ค๋Ÿ‰์œผ๋กœ ์„์ถœ๋˜์—ˆ๋‹ค. Ni์€ ์˜ค์Šคํ…Œ๋‚˜์ดํŠธ ์•ˆ์ •ํ™” ์›์†Œ๋กœ ๊ฐ•์žฌ์˜ ๋ƒ‰๊ฐ ๊ณผ์ •์—์„œ ๋ฒ ์ด๋‚˜์ดํŠธ ์ƒ์„ฑ์„ ์ง€์—ฐ์‹œํ‚ค๊ณ  ๋งˆ๋ฅดํ…์‚ฌ์ดํŠธ ์ƒ์„ฑ ์‹œ์ž‘ ์˜จ๋„๋ฅผ ๋‚ฎ์ถฐ ๊ฐ•์žฌ์˜ ๋งˆ๋ฅดํ…์‚ฌ์ดํŠธ์™€ ๋ฒ ์ด๋‚˜์ดํŠธ ํ˜•์„ฑ์— ์˜ํ–ฅ์„ ์ค€๋‹ค[24]. ๋‘ ์กฐ์ง์— ํ…œํผ๋ง ์—ด์ฒ˜๋ฆฌ๋ฅผ ์ ์šฉํ•˜๋ฉด ๋งˆ๋ฅดํ…์‚ฌ์ดํŠธ๊ฐ€ ๊ฐ–๋Š” ๋ž˜์Šค(lath) ๊ตฌ์กฐ๊ฐ€ ์‚ฌ๋ผ์ง€๋ฉด์„œ ์ „์œ„๋ฐ€๋„๊ฐ€ ๊ฐ์†Œํ•˜๊ณ , ๊ธฐ์ง€ ๋‚ด์— ํƒ„ํ™”๋ฌผ์ด ์„์ถœ๋œ๋‹ค. Ni ํ•จ๋Ÿ‰ ๋ณ€ํ™”์— ๋”ฐ๋ฅธ ๋ฏธ์„ธ์กฐ์ง ์ฐจ์ด๋Š” ๋ฏธ๋ฏธํ•˜์˜€๋‹ค(๊ทธ๋ฆผ 2). ์ด๋Š” Ni์ด ์˜ค์Šคํ…Œ๋‚˜์ดํŠธ ์•ˆ์ •ํ™” ์›์†Œ๋กœ ์ž‘์šฉํ•˜์—ฌ ๋ฒ ์ด๋‚˜์ดํŠธ ์ƒ์„ฑ์„ ์ง€์—ฐ์‹œํ‚ค์ง€๋งŒ, ํ…œํผ๋“œ ๋งˆ๋ฅดํ…์‚ฌ์ดํŠธ์™€ ํ…œํผ๋“œ ๋ฒ ์ด๋‚˜์ดํŠธ ์กฐ์ง ๊ฐ„์˜ ํŠน์„ฑ์ด ์œ ์‚ฌํ•˜๊ธฐ ๋•Œ๋ฌธ์ด๋‹ค. ๋˜ํ•œ ํ…œํผ๋ง ์˜จ๋„์˜ ์ฆ๊ฐ€์— ๋”ฐ๋ผ ๋” ๋งŽ์€ ํƒ„ํ™”๋ฌผ์ด ์„์ถœ๋˜์—ˆ์œผ๋ฉฐ, ์ผ๋ถ€ ๊ตฌ์ƒํ™”๋œ ํƒ„ํ™”๋ฌผ๋„ ๊ฐ™์ด ์„์ถœ๋˜์—ˆ๋‹ค.

๊ฐ ์‹œํŽธ์˜ ๋ฏธ์„ธ์กฐ์ง์„ ๋ณด๋‹ค ์ž์„ธํžˆ ๊ด€์ฐฐํ•˜๊ธฐ ์œ„ํ•ด EBSD ๋ถ„์„์„ ์ˆ˜ํ–‰ํ•˜์˜€์œผ๋ฉฐ, ๊ทธ ๊ฒฐ๊ณผ๋ฅผ ๊ทธ๋ฆผ 3์— ๋‚˜ํƒ€๋‚ด์—ˆ๋‹ค. ๋ชจ๋“  ์‹œํŽธ์—์„œ ํŒจํ‚ท, ๋ธ”๋ก ๋ฐ ๋ž˜์Šค ๊ตฌ์กฐ๋ฅผ ํฌํ•จํ•˜๋Š” ์ „ํ˜•์ ์ธ ํ…œํผ๋“œ ๋งˆ๋ฅดํ…์‚ฌ์ดํŠธ๊ณ„ ์กฐ์ง์ด ๊ด€์ฐฐ๋˜์—ˆ๋‹ค. EBSD์˜ IPF (inverse pole figure) map ์ƒ์—์„œ ๊ตฌ์˜ค์Šคํ…Œ๋‚˜์ดํŠธ ๊ฒฐ์ •๋ฆฝ ํฌ๊ธฐ๋Š” Ni ํ•จ๋Ÿ‰๊ณผ ๊ด€๊ณ„์—†์ด ์•ฝ 15~20 ฮผm ๋ฒ”์œ„์—์„œ ์œ ์‚ฌํ•œ ๊ฐ’์„ ๋‚˜ํƒ€๋‚ด์—ˆ๋‹ค. ๋˜ํ•œ ๊ตฌ์˜ค์Šคํ…Œ๋‚˜์ดํŠธ ๊ฒฐ์ •๋ฆฝ์„ ํ”ผํฌ๋ฆญ์‚ฐ ํ˜ผํ•ฉ ์šฉ์•ก์„ ์‚ฌ์šฉํ•˜์—ฌ ์—์นญํ•œ ๋‹ค์Œ ๊ด‘ํ•™ํ˜„๋ฏธ๊ฒฝ์œผ๋กœ ๊ด€์ฐฐํ•˜์—ฌ ๊ทธ ํฌ๊ธฐ๋ฅผ ์ •๋Ÿ‰์ ์œผ๋กœ ์ธก์ •ํ•œ ๊ฒฐ๊ณผ์™€ XRD ๋ถ„์„ ๊ฒฐ๊ณผ ๋ฐ ์ด๋ฅผ ๋ฐ”ํƒ•์œผ๋กœ ๊ณ„์‚ฐ๋œ ์ „์œ„๋ฐ€๋„๋ฅผ ๊ทธ๋ฆผ 4 ๋ฐ ํ‘œ 2์— ์ •๋ฆฌํ•˜์˜€๋‹ค. ๋จผ์ € ๊ตฌ์˜ค์Šคํ…Œ๋‚˜์ดํŠธ ๊ฒฐ์ •๋ฆฝ ํฌ๊ธฐ๋Š” 0.5Ni, 2.2Ni ์‹œํŽธ์—์„œ ๊ฐ๊ฐ 17.3ยฑ3.0 ฮผm ๋ฐ 17.8ยฑ3.3 ฮผm๋กœ EBSD ๊ฒฐ๊ณผ์™€ ์œ ์‚ฌํ•œ ๊ฒฐ๊ณผ๋ฅผ ๋ณด์˜€๋‹ค. ๊ตฌ์˜ค์Šคํ…Œ๋‚˜์ดํŠธ ๊ฒฐ์ •๋ฆฝ ํฌ๊ธฐ๋Š” ๊ฐ•์žฌ์˜ ์˜ค์Šคํ…Œ๋‚˜์ดํŠธํ™” ์—ด์ฒ˜๋ฆฌ ๊ณผ์ •์—์„œ ๊ฒฐ์ •๋˜๊ธฐ ๋•Œ๋ฌธ์— ํ…œํผ๋ง ์˜จ๋„์— ๋”ฐ๋ผ์„œ๋Š” ๋ณ€ํ™”ํ•˜์ง€ ์•Š์•˜๋‹ค. ์ „์œ„๋ฐ€๋„๋Š” ํ…œํผ๋ง ์˜จ๋„์˜ ์ฆ๊ฐ€์— ๋”ฐ๋ผ ๊ฐ์†Œํ•˜์˜€๋‹ค. ์ด๋Š” ๋†’์€ ์˜จ๋„์—์„œ ํƒ„์†Œ์˜ ํ™•์‚ฐ์ด ์ด‰์ง„๋˜์–ด ๋งˆ๋ฅดํ…์‚ฌ์ดํŠธ ๋ž˜์Šค ๊ตฌ์กฐ๊ฐ€ ์ ์ง„์ ์œผ๋กœ ํ•ด์†Œ๋˜๊ธฐ ๋•Œ๋ฌธ์ด๋‹ค. ๋‹ค๋งŒ Ni ํ•จ๋Ÿ‰์— ๋”ฐ๋ผ์„œ๋Š” ์ „์œ„๋ฐ€๋„ ์ฐจ์ด๊ฐ€ ๊ฑฐ์˜ ๋ฐœ์ƒํ•˜์ง€ ์•Š์•˜๋‹ค. Ni ํ•จ๋Ÿ‰๊ณผ ํ…œํผ๋ง ์˜จ๋„ ๋ณ€ํ™”์— ๋”ฐ๋ฅธ ๊ฒฐ์ •๋ฆฝ๊ณ„ ํŠน์„ฑ ๋ณ€ํ™”๋ฅผ ํ‰๊ฐ€ํ•˜๊ธฐ ์œ„ํ•ด EBSD ๋ถ„์„ ๊ฒฐ๊ณผ๋ฅผ ๋ฐ”ํƒ•์œผ๋กœ ฮฃ3 ๊ฒฐ์ •๋ฆฝ๊ณ„์˜ ๋ถ„์œจ์„ ์ธก์ •ํ•œ ๊ฒฐ๊ณผ๋ฅผ ํ‘œ 2์— ๋‚˜ํƒ€๋‚ด์—ˆ๋‹ค. ฮฃ3 ๊ฒฐ์ •๋ฆฝ๊ณ„๋Š” [111]ฮฑ ๋ฐฉํ–ฅ์—์„œ 60ยฐ์˜ ๋ฐฉ์œ„์ฐจ๋ฅผ ๊ฐ–๋Š” K-S(Kurdjumov-Sachs)/K-S ๊ด€๊ณ„์— ์˜ํ•œ ์Œ์ • ๊ฒฐ์ •๋ฆฝ๊ณ„(twin boundary)์ด๋‹ค[25]. ๋ณธ ์—ฐ๊ตฌ์—์„œ๋Š” ฮฃ3 ๊ฒฐ์ •๋ฆฝ๊ณ„ ๋ถ„์œจ์ด Ni ํ•จ๋Ÿ‰ ์ฆ๊ฐ€ ๋ฐ ํ…œํผ๋ง ์˜จ๋„ ์ƒ์Šน์— ๋”ฐ๋ผ ์ฆ๊ฐ€ํ•˜๋Š” ๊ฒฝํ–ฅ์„ ๋ณด์˜€๋‹ค. ์ด๋Š” ํ…œํผ๋ง ๊ณผ์ •์—์„œ ๊ฒฐ์ •๋ฆฝ๊ณ„ ์ด๋™์ด ์ด‰์ง„๋˜๋ฉฐ, ฮฃ3 ๊ฒฐ์ •๋ฆฝ๊ณ„๊ฐ€ ์šฐ์„ ์ ์œผ๋กœ ํ˜•์„ฑ๋  ๊ฐ€๋Šฅ์„ฑ์ด ๋†’์•„์ง€๊ธฐ ๋•Œ๋ฌธ์ด๋‹ค.

๋ณธ ์—ฐ๊ตฌ์—์„œ ์‚ฌ์šฉํ•œ ์‹œํŽธ๋“ค์˜ ์ธ์žฅ ์‹œํ—˜ ๊ฒฐ๊ณผ๋ฅผ ํ‘œ 3์— ๋‚˜ํƒ€๋‚ด์—ˆ๋‹ค. ํ‘œ 3์—์„œ ํ™•์ธํ•  ์ˆ˜ ์žˆ๋“ฏ์ด, ํ…œํผ๋ง ์˜จ๋„๊ฐ€ ์ฆ๊ฐ€ํ• ์ˆ˜๋ก ํ•ญ๋ณต๊ฐ•๋„์™€ ์ธ์žฅ๊ฐ•๋„๋Š” ๊ฐ์†Œํ•˜์˜€์œผ๋‚˜ ์—ฐ์‹ ์œจ์€ ์ฆ๊ฐ€ํ•˜๋Š” ๊ฒฝํ–ฅ์„ ๋ณด์˜€๋‹ค. ์ด๋Ÿฌํ•œ ๊ฒฐ๊ณผ๋Š” ํ…œํผ๋ง ์˜จ๋„๊ฐ€ ์ฆ๊ฐ€ํ•จ์— ๋”ฐ๋ผ ๋งˆ๋ฅดํ…์‚ฌ์ดํŠธ์˜ ๋ž˜์Šค ๊ตฌ์กฐ๊ฐ€ ์ ์ฐจ ํ•ด์†Œ๋˜๊ณ  ์ „์œ„๋ฐ€๋„๊ฐ€ ๊ฐ์†Œํ•˜๊ธฐ ๋•Œ๋ฌธ์ด๋‹ค. ์ „์œ„๋ฐ€๋„์˜ ๊ฐ์†Œ๋Š” ๋ณ€ํ˜• ์ €ํ•ญ์„ ๋‚ฎ์ถ”์–ด ์ธ์žฅ๊ฐ•๋„๋ฅผ ๊ฐ์†Œ์‹œํ‚ค๋Š” ๋ฐ˜๋ฉด, ์—ฐ์‹ ์œจ์„ ์ฆ๊ฐ€์‹œํ‚ค๋Š” ์›์ธ์œผ๋กœ๋„ ์ž‘์šฉํ•œ๋‹ค. ํ•œํŽธ, Ni ํ•จ๋Ÿ‰์ด ์ฆ๊ฐ€ํ•ด๋„ ์ธ์žฅ๊ฐ•๋„์˜ ๋ณ€ํ™”๋Š” ๊ฑฐ์˜ ๋‚˜ํƒ€๋‚˜์ง€ ์•Š์•˜๋‹ค. ์ด๋Š” ์ฒ ๊ฐ• ๋‚ด์—์„œ Ni์ด ์ƒ๋Œ€์ ์œผ๋กœ ์ž‘์€ ๋ถˆ์ผ์น˜๋„(misfit parameter)๋ฅผ ๊ฐ€์ ธ ๊ธฐ์ง€ ๋‚ด ํ™•์‚ฐ ์†๋„๊ฐ€ ๋А๋ฆฌ๊ณ , ์ด์— ๋”ฐ๋ผ์„œ ๊ฒฐ์ •๋ฆฝ๊ณ„๋กœ์˜ ํŽธ์„(segregation) ์ •๋„๊ฐ€ ๋ฏธ๋ฏธํ•˜์—ฌ ๋น„๊ต์  ์•ฝํ•œ ์šฉ์งˆ ๋Œ๋ฆผ ํšจ๊ณผ(solute drag effect)๋ฅผ ๋ณด์ด๊ธฐ ๋•Œ๋ฌธ์ด๋‹ค[24]. ๋”ฐ๋ผ์„œ Ni์˜ ๊ณ ์šฉ ๊ฐ•ํ™” ํšจ๊ณผ๋Š” Si๊ณผ ๋น„์Šทํ•˜๋ฉฐ Mn, Mo, Cr์™€ ๊ฐ™์€ ๋‹ค๋ฅธ ์ฃผ์š” ํ•ฉ๊ธˆ์›์†Œ๋ณด๋‹ค๋Š” ๋‚ฎ์€ ๊ฒƒ์œผ๋กœ ์•Œ๋ ค์ ธ ์žˆ๋‹ค[24].

3.2 ์ˆ˜์†Œ์ทจ์„ฑ ๋ฐ ํŒŒ๊ดด ๊ฑฐ๋™

In-situ SSRT ๊ฒฐ๊ณผ๋ฅผ ๋ฐ”ํƒ•์œผ๋กœ ์ˆ˜์†Œ์ทจ์„ฑ ์ €ํ•ญ์„ฑ ์ง€ํ‘œ๋ฅผ ๊ณ„์‚ฐํ•˜์˜€์œผ๋ฉฐ, ๊ทธ ๊ฒฐ๊ณผ๋ฅผ ๊ทธ๋ฆผ 5 ๋ฐ ํ‘œ 4์— ์ •๋ฆฌํ•˜์˜€๋‹ค. ์šฐ์„  Ni ํ•จ๋Ÿ‰๊ณผ ๊ด€๊ณ„์—†์ด ํ…œํผ๋ง ์˜จ๋„๊ฐ€ ์ฆ๊ฐ€ํ• ์ˆ˜๋ก ์ธ์žฅ ๊ฐ•๋„๋Š” ๊ฐ์†Œํ•˜์˜€์ง€๋งŒ, ์ˆ˜์†Œ์ทจ์„ฑ ์ €ํ•ญ์„ฑ์€ ๋ชจ๋‘ ์ฆ๊ฐ€ํ•˜๋Š” ๊ฒฝํ–ฅ์„ ๋ณด์˜€๋‹ค. Ni ํ•จ๋Ÿ‰์— ๋”ฐ๋ผ์„œ๋Š” ๋‘ ํ…œํผ๋ง ์˜จ๋„์—์„œ ๋‹ค๋ฅธ ๊ฒฝํ–ฅ์„ ๋ณด์˜€๋Š”๋ฐ, T550 ์‹œํŽธ์—์„œ๋Š” Ni ํ•จ๋Ÿ‰ ๋ณ€ํ™”๊ฐ€ ์ˆ˜์†Œ์ทจ์„ฑ ์ €ํ•ญ์„ฑ์— ํฐ ์˜ํ–ฅ์„ ๋ฏธ์น˜์ง€ ์•Š์•˜๋‹ค. ํ•˜์ง€๋งŒ, T650 ์‹œํŽธ์—์„œ๋Š” Ni ํ•จ๋Ÿ‰์ด ์ฆ๊ฐ€ํ•จ์— ๋”ฐ๋ผ ์ˆ˜์†Œ์ทจ์„ฑ ์ €ํ•ญ์„ฑ์ด 0.84์—์„œ 0.71๋กœ ๊ฐ์†Œํ•˜๋Š” ๊ฒฝํ–ฅ์„ ๋ณด์˜€๋‹ค. ์ด๋Š” ํ…œํผ๋ง ์˜จ๋„๊ฐ€ ๋†’์•„์ง€๋ฉด์„œ ์ „์œ„๋ฐ€๋„๊ฐ€ ๊ฐ์†Œํ•˜๊ณ , ์ƒ๋Œ€์ ์œผ๋กœ ฮฃ3 ๊ฒฐ์ •๋ฆฝ๊ณ„๊ฐ€ ์ฆ๊ฐ€ํ•œ ๊ฒƒ์ด ์˜ํ–ฅ์„ ๋ฏธ์ณค์„ ๊ฐ€๋Šฅ์„ฑ์ด ์žˆ๋‹ค.

๊ทธ๋ฆผ 6๋Š” ์ˆ˜์†Œ ์ฃผ์ž… in-situ SSRT ์ดํ›„ ํŒŒ๋‹จ๋œ ์‹œํŽธ์˜ ํŒŒ๋ฉด์„ ์ •๋ฆฌํ•œ ๊ฒฐ๊ณผ์ด๋‹ค. ์ „์ฒด์ ์œผ๋กœ ๋ชจ๋“  ์‹œํŽธ์—์„œ ๊ตฌ์˜ค์Šคํ…Œ๋‚˜์ดํŠธ ๊ฒฐ์ •๋ฆฝ๊ณ„๋ฅผ ๋”ฐ๋ผ ๊ท ์—ด์ด ์ „ํŒŒํ•˜๋Š” ์ž…๊ณ„(intergranular, IG) ํŒŒ๊ดด ์–‘์ƒ ๋˜๋Š” ๋งˆ๋ฅดํ…์‚ฌ์ดํŠธ์˜ ํŒจํ‚ท, ๋ธ”๋ก ๊ฒฝ๊ณ„๋ฅผ ๋”ฐ๋ผ ๋ฐœ์ƒํ•˜๋Š” ์ค€๋ฒฝ๊ฐœ(quasi-cleavage, QC) ํŒŒ๊ดด ์–‘์ƒ์ด ๋‚˜ํƒ€๋‚˜๊ฑฐ๋‚˜ ๋‘ ํŒŒ๊ดด ์–‘์ƒ์ด ํ˜ผํ•ฉ๋˜์–ด ๋ฐœ์ƒํ•˜์˜€๋‹ค. ์‹œํŽธ์˜ ๋…ธ์น˜ ์ฃผ์œ„์—์„œ์˜ ํŒŒ๊ดด ์–‘์ƒ์€ Ni ํ•จ๋Ÿ‰๊ณผ ํ…œํผ๋ง ์˜จ๋„์— ๋”ฐ๋ผ์„œ ๋‹ค๋ฅด๊ฒŒ ๋ฐœ์ƒํ•˜์˜€๋‹ค. ๋จผ์ € ํ…œํผ๋ง ์˜จ๋„๊ฐ€ ๋‚ฎ์€ T550 ์‹œํŽธ์—์„œ๋Š” ๊ทธ๋ฆผ 6(a) ๋ฐ 7(b)์™€ ๊ฐ™์ด 0.5Ni ๋ฐ 2.2Ni ์‹œํŽธ ๋ชจ๋‘ ํŒŒ๋ฉด์—์„œ ์ž…๊ณ„ ํŒŒ๊ดด ์–‘์ƒ์ด ์ง€๋ฐฐ์ ์œผ๋กœ ๋‚˜ํƒ€๋‚˜๊ณ  ์ผ๋ถ€ ์ค€๋ฒฝ๊ฐœ ํŒŒ๊ดด๊ฐ€ ํ˜ผํ•ฉ๋˜์–ด ํ˜•์„ฑ๋˜์—ˆ์œผ๋ฉฐ, Ni ํ•จ๋Ÿ‰์— ๋”ฐ๋ฅธ ํŒŒ๊ดด ์–‘์ƒ์˜ ๋ณ€ํ™”๋Š” ๋‚˜ํƒ€๋‚˜์ง€ ์•Š์•˜๋‹ค. ๊ทธ๋Ÿฌ๋‚˜ ํ…œํผ๋ง ์˜จ๋„๊ฐ€ ๋†’์€ T650 ์‹œํŽธ์—์„œ๋Š” Ni ํ•จ๋Ÿ‰์— ๋”ฐ๋ฅธ ํŒŒ๊ดด ์–‘์ƒ ๋ณ€ํ™”๊ฐ€ ๋ฐœ์ƒํ•˜์˜€๋‹ค. ๊ทธ๋ฆผ 6(c)์™€ ๊ฐ™์ด 0.5Ni-T650 ์‹œํŽธ์—์„œ๋Š” ํŒŒ๋ฉด ์–‘์ƒ์ด ์ค€๋ฒฝ๊ฐœ ํŒŒ๊ดด๋กœ๋งŒ ๋‚˜ํƒ€๋‚ฌ์ง€๋งŒ, ๊ทธ๋ฆผ 6(d)์™€ ๊ฐ™์ด 2.2Ni-T650 ์‹œํŽธ์—์„œ๋Š” ์ผ๋ถ€ ์ž…๊ณ„ ํŒŒ๊ดด๊ฐ€ ๊ด€์ฐฐ๋˜์—ˆ๋‹ค. Ni ํ•จ๋Ÿ‰ ์ฆ๊ฐ€์— ๋”ฐ๋ฅธ ํŒŒ๊ดด ์–‘์ƒ์˜ ๋ณ€ํ™”๋Š” ํ…œํผ๋ง ์˜จ๋„ ์ƒ์Šน์— ๋”ฐ๋ฅธ ์ „์œ„๋ฐ€๋„ ๊ฐ์†Œ์™€ ฮฃ3 ๊ฒฐ์ •๋ฆฝ๊ณ„ ๋ถ„์œจ ์ฆ๊ฐ€์™€ ๊ด€๋ จ์ด ์žˆ์œผ๋ฉฐ, ์ด์— ๋Œ€ํ•œ ์ž์„ธํ•œ ๋…ผ์˜๋Š” ๋ณธ ๋…ผ๋ฌธ์˜ ๊ณ ์ฐฐ์—์„œ ๋‹ค๋ฃฌ๋‹ค. ๋˜ํ•œ, ๊ฐ™์€ Ni ํ•จ๋Ÿ‰์„ ๊ฐ–๋Š” ๊ทธ๋ฆผ 6(b)์™€ 6(d)๋ฅผ ๋น„๊ตํ•˜๋ฉด, ํ…œํผ๋ง ์˜จ๋„๊ฐ€ ์ฆ๊ฐ€ํ•จ์— ๋”ฐ๋ผ ์ „์œ„๋ฐ€๋„๊ฐ€ ๊ฐ์†Œํ•˜๋ฉด์„œ ์ž…๊ณ„ ํŒŒ๊ดด์˜ ๋น„์œจ์ด ์ค„์–ด๋“ค์—ˆ๊ณ , ์ด์— ๋”ฐ๋ผ ํŒŒ๋ฉด ์–‘์ƒ์ด ๋ณ€ํ™”ํ•˜๋Š” ๊ฒฝํ–ฅ์„ ๋ณด์˜€๋‹ค. ๊ฒฐ๋ก ์ ์œผ๋กœ, Ni ํ•จ๋Ÿ‰์ด ์ฆ๊ฐ€ํ•  ๊ฒฝ์šฐ, T550 ์‹œํŽธ์—์„œ๋Š” ์ž…๊ณ„ ํŒŒ๊ดด ์–‘์ƒ์ด ์ง€๋ฐฐ์ ์ธ ๋ฐ˜๋ฉด, T650 ์‹œํŽธ์—์„œ๋Š” ์ผ๋ถ€ ์ค€๋ฒฝ๊ฐœ ํŒŒ๊ดด๊ฐ€ ์ž…๊ณ„ ํŒŒ๊ดด๋กœ ์ „ํ™˜๋˜๋Š” ๊ฒฝํ–ฅ์ด ๊ด€์ฐฐ๋˜์—ˆ๋‹ค. ์ด๋Š” ํ…œํผ๋ง ์˜จ๋„๊ฐ€ ๋†’์„์ˆ˜๋ก ์ „์œ„๋ฐ€๋„๊ฐ€ ๊ฐ์†Œํ•˜๊ณ  ฮฃ3 ๊ฒฐ์ •๋ฆฝ๊ณ„ ๋ถ„์œจ์ด ์ฆ๊ฐ€ํ•˜๊ธฐ ๋•Œ๋ฌธ์œผ๋กœ ํ•ด์„๋  ์ˆ˜ ์žˆ๋‹ค.

๊ทธ๋ฆผ 7์€ 2.2Ni-T550 ๋ฐ 2.2Ni-T650 ์‹œํŽธ์—์„œ ์ˆ˜์†Œ ์ฃผ์ž… in-situ SSRT ์ดํ›„ ํŒŒ๋‹จ๋œ ๋ด‰์ƒ ๋…ธ์น˜ ์ธ์žฅ ์‹œํŽธ์˜ ํŒŒ๋‹จ๋ฉด์„ ๊ด€์ฐฐํ•œ ๊ฒฐ๊ณผ์ด๋‹ค. ํŒŒ๋‹จ๋ฉด์€ in-situ SSRT ๋„์ค‘ ์ˆ˜์†Œ๊ฐ€ ์œ ์ž…๋  ์ˆ˜ ์žˆ๋Š” ๋…ธ์น˜ ์ฃผ์œ„์—์„œ ๊ด€์ฐฐํ•˜์—ฌ ์ˆ˜์†Œ์— ์˜ํ•œ ํŒŒ๊ดด ์–‘์ƒ์ด ๋ฐ˜์˜๋˜๋„๋ก ๊ด€์ฐฐํ•˜์˜€๋‹ค. EBSD ๋ถ„์„์„ ํ†ตํ•ด KAM (kernel average misorientation) map์„ ๋น„๊ตํ•œ ๊ฒฐ๊ณผ, ํ…œํผ๋ง ์˜จ๋„๊ฐ€ ๋†’์€ ์‹œํŽธ์ผ์ˆ˜๋ก ๋” ๋งŽ์€ ๋ณ€ํ˜•์ด ๊ด€์ฐฐ๋˜์—ˆ๋‹ค. ์ด๋Š” ํ…œํผ๋ง ์˜จ๋„๊ฐ€ ์ฆ๊ฐ€ํ•˜๋ฉด ๋ฏธ์„ธ์กฐ์ง ๋‚ด ์ž”๋ฅ˜ ์‘๋ ฅ์ด ์™„ํ™”๋˜๊ณ  ์ „์œ„ ์ด๋™์ด ์šฉ์ดํ•ด์ ธ, ๋ณ€ํ˜•์ด ์ƒ๋Œ€์ ์œผ๋กœ ์‰ฝ๊ฒŒ ๋ฐœ์ƒํ•˜๊ธฐ ๋•Œ๋ฌธ์ด๋‹ค. ๋”ฐ๋ผ์„œ ํ…œํผ๋ง ์˜จ๋„๊ฐ€ ๋‚ฎ์€ T550 ์‹œํŽธ์—์„œ ๋” ๊ฐ•ํ•˜๊ฒŒ ์ทจ์„ฑ ํŒŒ๊ดด๊ฐ€ ๋ฐœ์ƒํ•˜์˜€๋‹ค(๊ทธ๋ฆผ 6).

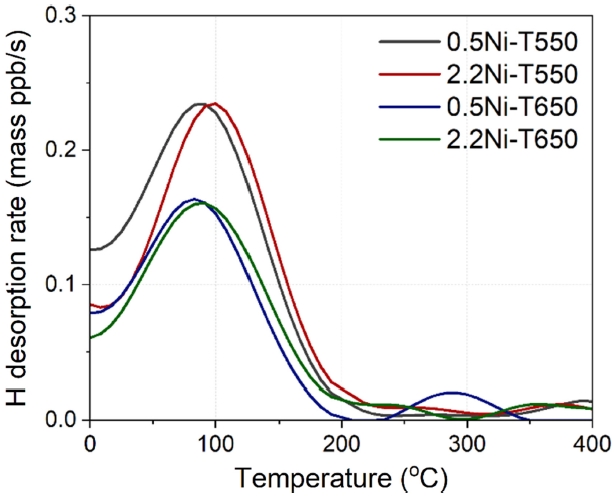
4. ๊ฒฐ๊ณผ ๊ณ ์ฐฐ

์ˆ˜์†Œ์ทจ์„ฑ์€ ์ฃผ๋กœ ์ˆ˜์†Œ์˜ ํ™•์‚ฐ๊ณผ ํŠธ๋žฉ(trapping) ๊ฑฐ๋™์— ์˜ํ•ด ๊ฒฐ์ •๋œ๋‹ค. ํŠนํžˆ BCC ๊ตฌ์กฐ๋ฅผ ๊ฐ–๋Š” ๊ฐ•์žฌ์—์„œ๋Š” ๊ฐ€์—ญ์ ์ธ ํŠธ๋žฉ์‚ฌ์ดํŠธ์— ์ง‘์ ๋œ ์ˆ˜์†Œ ํ•จ๋Ÿ‰์ด ์ˆ˜์†Œ์ทจ์„ฑ ์ €ํ•ญ์„ฑ์— ์ค‘์š”ํ•œ ์˜ํ–ฅ์„ ๋ฏธ์นœ๋‹ค[26-28]. ๋ณธ ์—ฐ๊ตฌ์—์„œ๋Š” Ni ํ•จ๋Ÿ‰ ๋ฐ ํ…œํผ๋ง ์˜จ๋„์— ๋”ฐ๋ฅธ ์ˆ˜์†Œ ์—ดํƒˆ์ฐฉ ๊ฑฐ๋™์„ ๋ถ„์„ํ•˜์˜€์œผ๋ฉฐ, ์ด๋ฅผ ๋ฐ”ํƒ•์œผ๋กœ ๊ฐ ์‹œํŽธ์˜ ์ˆ˜์†Œ ํ•จ๋Ÿ‰์„ ๊ณ„์‚ฐํ•œ ๊ฒฐ๊ณผ๋ฅผ ๊ทธ๋ฆผ 8์— ๋‚˜ํƒ€๋‚ด์—ˆ๋‹ค. ๊ณ„์‚ฐ ๊ฒฐ๊ณผ 0.5Ni-T550, 2.2Ni-T550, 0.5Ni-T650, 2.2Ni-T650 ์‹œํŽธ์˜ ์ˆ˜์†Œ ํ•จ๋Ÿ‰์€ ๊ฐ๊ฐ 1.14, 1.07, 0.75, 0.80 ppm์œผ๋กœ ๋‚˜ํƒ€๋‚ฌ์œผ๋ฉฐ, ํ…œํผ๋ง ์˜จ๋„๊ฐ€ ์ฆ๊ฐ€ํ•จ์— ๋”ฐ๋ผ ์ „์ฒด์ ์ธ ์ˆ˜์†Œ ํ•จ๋Ÿ‰์€ ๊ฐ์†Œํ•˜๋Š” ๊ฒฝํ–ฅ์„ ๋ณด์˜€๋‹ค. ์ด๋Š” ํ…œํผ๋ง ๊ณผ์ •์—์„œ ์ „์œ„ ๋ฐ€๋„๊ฐ€ ๊ฐ์†Œํ•˜๋ฉด์„œ, ์ˆ˜์†Œ์˜ ์ฃผ์š” ๊ฐ€์—ญ์  ํŠธ๋žฉ์‚ฌ์ดํŠธ๋กœ ์ž‘์šฉํ•˜๋Š” ์ „์œ„๊ฐ€ ์ค„์–ด๋“  ๊ฒฐ๊ณผ๋กœ ํ•ด์„๋  ์ˆ˜ ์žˆ๋‹ค. Ni ํ•จ๋Ÿ‰ ์ฆ๊ฐ€์— ๋”ฐ๋ฅธ ์ „์ฒด์ ์ธ ์ˆ˜์†Œ ํ•จ๋Ÿ‰ ๋ณ€ํ™”๋Š” ๊ด€์ฐฐ๋˜์ง€ ์•Š์•˜๋‹ค. ๋‹ค์–‘ํ•œ ์ธ์ž๊ฐ€ ์ˆ˜์†Œ์˜ ํŠธ๋žฉ์‚ฌ์ดํŠธ๋กœ ์ž‘์šฉํ•˜๋ฉฐ ์ˆ˜์†Œ ํ•จ๋Ÿ‰์— ์˜ํ–ฅ์„ ๋ฏธ์น  ์ˆ˜ ์žˆ๋Š”๋ฐ, ๋Œ€ํ‘œ์ ์œผ๋กœ๋Š” ๊ธฐ์ง€ ๊ฒฉ์ž, ๊ธฐ์ง€ ๋‚ด ์‘๋ ฅ์žฅ(strain field), ์ „์œ„, ๊ตฌ์˜ค์Šคํ…Œ๋‚˜์ดํŠธ ๊ฒฐ์ •๋ฆฝ๊ณ„, ์„์ถœ๋ฌผ ๋“ฑ์ด ์กด์žฌํ•œ๋‹ค[26,29]. XRD ๊ฒฐ๊ณผ์— ๋”ฐ๋ฅด๋ฉด, Ni ํ•จ๋Ÿ‰์ด ๋‹ค๋ฅธ ๋‘ ์‹œํŽธ์—์„œ ๋™์ผํ•˜๊ฒŒ ฮฑ ๊ธฐ์ง€๋งŒ์ด ๋‚˜ํƒ€๋‚ฌ๊ณ , ์ „์œ„๋ฐ€๋„ ์ฐจ์ด๋„ ๋ฐœ์ƒํ•˜์ง€ ์•Š์•˜๋‹ค. ๊ตฌ์˜ค์Šคํ…Œ๋‚˜์ดํŠธ ๊ฒฐ์ •๋ฆฝ ํฌ๊ธฐ ์ธก์ • ๊ฒฐ๊ณผ์—์„œ๋„ Ni ํ•จ๋Ÿ‰์— ๋”ฐ๋ฅธ ์ฐจ์ด๊ฐ€ ๋ฐœ์ƒํ•˜์ง€ ์•Š์•˜์œผ๋ฉฐ, ๊ทธ๋ฆผ 2 ๋ฐ ํ‘œ 3์—์„œ ๋ฏธ์„ธ์กฐ์ง ์ฐจ์ด๋‚˜ ๊ฐ•๋„ ๋ณ€ํ™”๋„ ๋ฐœ์ƒํ•˜์ง€ ์•Š์•˜๋‹ค. ์ด๋ฅผ ์ข…ํ•ฉ์ ์œผ๋กœ ๊ณ ๋ คํ–ˆ์„ ๋•Œ, ๋ณธ ์—ฐ๊ตฌ์—์„œ ๋ฐœ์ƒํ•œ Ni ํ•จ๋Ÿ‰์— ๋”ฐ๋ฅธ ์ˆ˜์†Œ์ทจ์„ฑ ์ €ํ•ญ์„ฑ์ด๋‚˜ ํŒŒ๊ดด ์–‘์ƒ์˜ ๋ณ€ํ™”๋Š” ๋‹จ์ˆœํ•œ ์ˆ˜์†Œ ํŠธ๋žฉ ๋ฉ”์ปค๋‹ˆ์ฆ˜๋ณด๋‹ค๋Š” ๋‹ค๋ฅธ ์ธ์ž์™€ ๊ด€๋ จ๋˜์–ด ์žˆ๋Š” ๊ฒƒ์œผ๋กœ ํŒ๋‹จํ•˜์˜€๋‹ค.

์ด๋ฅผ ๋ฐ”ํƒ•์œผ๋กœ ๋ณธ ์—ฐ๊ตฌ์—์„œ๋Š” Ni ํ•จ๋Ÿ‰ ์ฆ๊ฐ€์— ๋”ฐ๋ฅธ ฮฃ3 ๊ฒฐ์ •๋ฆฝ๊ณ„์˜ ๋ณ€ํ™”๊ฐ€ ์ˆ˜์†Œ์ทจํ™” ๊ฑฐ๋™ ๋ณ€ํ™”์— ๋ฏธ์นœ ์˜ํ–ฅ์„ ๋ถ„์„ํ•˜๊ณ ์ž ํ•˜์˜€๋‹ค. ๋จผ์ € ํ‘œ 2์˜ EBSD ๋ถ„์„ ๊ฒฐ๊ณผ์— ๋”ฐ๋ฅด๋ฉด Ni ํ•จ๋Ÿ‰์ด ์ฆ๊ฐ€ํ•จ์— ๋”ฐ๋ผ์„œ ฮฃ3 ๊ฒฐ์ •๋ฆฝ๊ณ„์˜ ๋ถ„์œจ๋„ ์ฆ๊ฐ€ํ•˜๋Š” ๊ฒฝํ–ฅ์„ ๋ณด์˜€๋‹ค. ๊ทธ๋Ÿฌ๋‚˜ ์ˆ˜์†Œ์ทจํ™” ๊ฑฐ๋™์—์„œ ฮฃ3 ๊ฒฐ์ •๋ฆฝ๊ณ„์˜ ์˜ํ–ฅ์€ ์–‘๋ฉด์„ฑ์„ ์ง€๋‹ˆ๋Š” ๊ฒƒ์œผ๋กœ ๋ณด๊ณ ๋˜์–ด ์žˆ๋‹ค[30-36]. ์ผ๋ฐ˜์ ์œผ๋กœ ฮฃ3 ๊ฒฐ์ •๋ฆฝ๊ณ„๋ฅผ ํฌํ•จํ•œ ๋‚ฎ์€ ฮฃ ๊ฐ’์„ ๊ฐ–๋Š” CSL(coincident site lattice) ๊ฒฐ์ •๋ฆฝ๊ณ„๋Š” ์ผ๋ฐ˜ ๊ฒฐ์ •๋ฆฝ๊ณ„๋ณด๋‹ค ๊ท ์—ด ๊ฐœ์‹œ์— ๋Œ€ํ•œ ์ €ํ•ญ์„ฑ์ด ๋†’์•„, ์ˆ˜์†Œ์ทจ์„ฑ ์ €ํ•ญ์„ฑ์„ ํ–ฅ์ƒ์‹œํ‚ฌ ์ˆ˜ ์žˆ๋‹ค[27,28]. ๊ทธ๋Ÿฌ๋‚˜ ๋‹ค๋ฅธ ํ•œํŽธ์œผ๋กœ๋Š” ฮฃ3 ๊ฒฐ์ •๋ฆฝ๊ณ„๊ฐ€ ์ˆ˜์†Œ๋ฅผ ์ง‘์ค‘์ ์œผ๋กœ ํŠธ๋žฉํ•  ๊ฐ€๋Šฅ์„ฑ๋„ ์žˆ์œผ๋ฉฐ, ํŠน์ • ์กฐ๊ฑด์—์„œ๋Š” ์˜คํžˆ๋ ค ๊ตฌ์˜ค์Šคํ…Œ๋‚˜์ดํŠธ ๊ฒฐ์ •๋ฆฝ๊ณ„๋ฅผ ๋”ฐ๋ผ ๋ฐœ์ƒํ•˜๋Š” ์ž…๊ณ„ ๊ท ์—ด์„ ์ด‰์ง„ํ•  ์ˆ˜ ์žˆ๋‹ค๋Š” ์—ฐ๊ตฌ ๊ฒฐ๊ณผ๋„ ์กด์žฌํ•œ๋‹ค[30-36]. ๋”ฐ๋ผ์„œ ์ˆ˜์†Œ์ทจ์„ฑ ์—ฐ๊ตฌ์—์„œ ฮฃ3 ๊ฒฐ์ •๋ฆฝ๊ณ„์˜ ์—ญํ• ์„ ์ดํ•ดํ•˜๊ธฐ ์œ„ํ•ด์„œ๋Š” ์†Œ์žฌ ๋‚ด ๊ฒฐ์ •๊ตฌ์กฐ ๋ฐ ์ˆ˜์†Œ ํ™•์‚ฐ ๊ฒฝ๋กœ๋ฅผ ์ข…ํ•ฉ์ ์œผ๋กœ ๊ณ ๋ คํ•ด์•ผ ํ•œ๋‹ค.

๊ทธ๋ฆผ 9๋Š” Ni ํ•จ๋Ÿ‰ ์ฆ๊ฐ€์— ๋”ฐ๋ฅธ ฮฃ3 ๊ฒฐ์ •๋ฆฝ๊ณ„ ๋ถ„์œจ ์ฆ๊ฐ€๊ฐ€ ๊ตญ๋ถ€์ ์ธ ์ˆ˜์†Œ ํ™•์‚ฐ๊ณผ ์‘์ง‘์— ๋ฏธ์น˜๋Š” ์˜ํ–ฅ์„ ์„ค๋ช…ํ•œ ๋„์‹์ด๋‹ค. Ni ํ•จ๋Ÿ‰์ด ์ฆ๊ฐ€ํ•˜๋ฉด ฮฃ3 ๊ฒฐ์ •๋ฆฝ๊ณ„๊ฐ€ ์ฆ๊ฐ€ํ•˜๊ณ , ์ด๋กœ ์ธํ•ด ์ „์œ„๊ฐ€ ๊ฒฐ์ •๋ฆฝ๊ณ„์—์„œ ์ถ•์ ๋˜๋ฉด์„œ ๊ตญ๋ถ€์ ์ธ ์‘๋ ฅ ์ง‘์ค‘์ด ๋ฐœ์ƒํ•œ๋‹ค. ์ด๋Ÿฌํ•œ ํ˜„์ƒ์ด ์ˆ˜์†Œ ํ™•์‚ฐ์„ ์ด‰์ง„ํ•˜์—ฌ, ์ตœ์ข…์ ์œผ๋กœ ๊ตฌ์˜ค์Šคํ…Œ๋‚˜์ดํŠธ ๊ฒฐ์ •๋ฆฝ๊ณ„์—์„œ ์ž…๊ณ„ ํŒŒ๊ดด๋ฅผ ์œ ๋ฐœํ•  ๊ฐ€๋Šฅ์„ฑ์ด ๋†’์•„์ง„๋‹ค. ์ผ๋ฐ˜์ ์œผ๋กœ, ์ธ์žฅ ์‘๋ ฅ์ด ์ž‘์šฉํ•˜๋ฉด ํ…œํผ๋“œ ๋งˆ๋ฅดํ…์‚ฌ์ดํŠธ๊ฐ•์€ ์ˆ˜์†Œ ํ™˜๊ฒฝ์—์„œ ๋งˆ๋ฅดํ…์‚ฌ์ดํŠธ์˜ ํŒจํ‚ท ๋˜๋Š” ๋ธ”๋ก์˜ ๊ณ„๋ฉด์„ ๋”ฐ๋ผ ๊ท ์—ด์ด ์ „ํŒŒํ•˜๋Š” ์ค€๋ฒฝ๊ฐœ ํŒŒ๊ดด๊ฐ€ ๋ฐœ์ƒํ•˜๋Š” ๊ฒƒ์œผ๋กœ ์•Œ๋ ค์ ธ ์žˆ๋‹ค[37]. ฮฃ3 ๊ฒฐ์ •๋ฆฝ๊ณ„๋Š” ๊ท ์—ด ์ „ํŒŒ๋ฅผ ์–ต์ œํ•˜๋Š” ์—ญํ• ์„ ํ•˜์ง€๋งŒ[30], ๋™์‹œ์— ์ „์œ„๋ฅผ ๊ตญ๋ถ€์ ์œผ๋กœ ์ถ•์ (pile-up)์‹œ์ผœ ํŠน์ • ์˜์—ญ์—์„œ ์‘๋ ฅ ์ง‘์ค‘์„ ์œ ๋ฐœํ•  ์ˆ˜ ์žˆ๋‹ค. ์ „์œ„๋Š” ์ˆ˜์†Œ์˜ ํ™•์‚ฐ ์†๋„๋ฅผ ์ฆ๊ฐ€์‹œํ‚ค๋Š” ๊ฒƒ์œผ๋กœ ์•Œ๋ ค์ ธ ์žˆ์œผ๋ฉฐ, ๊ตญ๋ถ€์ ์œผ๋กœ ์Œ“์ธ ์ „์œ„๋“ค์ด ์ˆ˜์†Œ๊ฐ€ ํŠน์ • ๊ฒฐ์ •๋ฆฝ๊ณ„์— ๋น ๋ฅด๊ฒŒ ์‘์ง‘๋  ์ˆ˜ ์žˆ๋„๋ก ์œ ๋„ํ•œ๋‹ค[14,15]. ํŠนํžˆ ์ด๋Ÿฌํ•œ ์ˆ˜์†Œ ์‘์ง‘์€ ์ฃผ๋กœ ๊ตฌ์˜ค์Šคํ…Œ๋‚˜์ดํŠธ ๊ฒฐ์ •๋ฆฝ๊ณ„์—์„œ ๋ฐœ์ƒํ•  ๊ฐ€๋Šฅ์„ฑ์ด ๋†’์€๋ฐ, ์ด๋Š” ๋ณ€ํ˜• ๊ณผ์ •์—์„œ ๊ตฌ์˜ค์Šคํ…Œ๋‚˜์ดํŠธ ๊ฒฐ์ •๋ฆฝ๊ณ„์— ์ˆ˜์†Œ๊ฐ€ ์ง‘์ค‘์ ์œผ๋กœ ์ถ•์ ๋  ์ˆ˜ ์žˆ๋Š” ์—ฌ๋Ÿฌ ๊ฐ€์ง€ ์š”์ธ๊ณผ ๊ด€๋ จ์ด ์žˆ๋‹ค. ๋จผ์ € ๊ตฌ์˜ค์Šคํ…Œ๋‚˜์ดํŠธ ๊ฒฐ์ •๋ฆฝ๊ณ„๋Š” ๋ณ€ํ˜• ์‹œ ์‘๋ ฅ ์ง‘์ค‘์ด ๋ฐœ์ƒํ•˜๊ธฐ ์‰ฌ์šด ์˜์—ญ์œผ๋กœ ์‘๋ ฅ ๊ตฌ๋ฐฐ๋ฅผ ๋”ฐ๋ผ ์ˆ˜์†Œ๊ฐ€ ์ž์—ฐ์Šค๋Ÿฝ๊ฒŒ ํ™•์‚ฐ๋  ๊ฐ€๋Šฅ์„ฑ์ด ํฌ๋‹ค[15]. ๋˜ํ•œ ๊ตฌ์˜ค์Šคํ…Œ๋‚˜์ดํŠธ ๊ฒฐ์ •๋ฆฝ๊ณ„๋Š” ๋‹ค๋ฅธ ๊ฒฐ์ •๋ฆฝ๊ณ„์— ๋น„ํ•ด ์ž์œ  ๋ถ€ํ”ผ๊ฐ€ ํฌ๊ณ  ๊ตฌ์กฐ์  ์ผ๊ด€์„ฑ์ด ๋‚ฎ์•„ ์ˆ˜์†Œ๊ฐ€ ์‰ฝ๊ฒŒ ํŠธ๋žฉ๋  ์ˆ˜ ์žˆ๋Š” ํ™˜๊ฒฝ์„ ์ œ๊ณตํ•œ๋‹ค[15]. ์ด๋Ÿฌํ•œ ์ด์œ ๋กœ ์ธํ•ด ์ˆ˜์†Œ๊ฐ€ ๊ตฌ์˜ค์Šคํ…Œ๋‚˜์ดํŠธ ๊ฒฐ์ •๋ฆฝ๊ณ„์— ๋†’์€ ๋†๋„๋กœ ์‘์ง‘๋˜๋ฉด, HEDE์— ์˜ํ•œ ์ž…๊ณ„ ๊ฒฐํ•ฉ๋ ฅ์˜ ์ €ํ•˜๊ฐ€ ๋ฐœ์ƒํ•˜๋ฉฐ ์ž…๊ณ„ ํŒŒ๊ดด์— ๋Œ€ํ•œ ์ž„๊ณ„ ์‘๋ ฅ์ด ํฌ๊ฒŒ ๊ฐ์†Œํ•œ๋‹ค. ์ด์— ๋”ฐ๋ผ ์กฐ๊ธฐ์— ์ž…๊ณ„ ๊ท ์—ด์ด ์ „ํŒŒ๋˜๊ณ  ๊ฐ•์žฌ์˜ ์ˆ˜์†Œ์ทจ์„ฑ ์ €ํ•ญ์„ฑ์ด ๊ฐ์†Œํ•œ๋‹ค. ์‹ค์ œ๋กœ T650 ์‹œํŽธ ์ค‘์—์„œ๋Š” 2.2Ni ์‹œํŽธ์—์„œ๋งŒ ๊ทธ๋ฆผ 6(d)์™€ ๊ฐ™์ด ์ˆ˜์†Œ ์˜ํ–ฅ๋ถ€์ธ ์ธ์žฅ ์‹œํŽธ ํ‘œ๋ฉด์˜ ์ผ๋ถ€ ์œ„์น˜์— ์ž…๊ณ„ ํŒŒ๊ดด๊ฐ€ ๋ฐœ์ƒํ•˜์˜€์œผ๋ฉฐ, Ni ํ•จ๋Ÿ‰์˜ ์ฆ๊ฐ€์— ๋”ฐ๋ผ RNTS ๊ฐ์†Œ๊ฐ€ ๋ฐœ์ƒํ•˜์˜€๋‹ค(๊ทธ๋ฆผ 5, ํ‘œ 4). ๋ฐ˜๋ฉด T650 ์‹œํŽธ๊ณผ ๋‹ฌ๋ฆฌ T550 ์‹œํŽธ์—์„œ๋Š” Ni ํ•จ๋Ÿ‰ ์ฆ๊ฐ€์— ๋”ฐ๋ฅธ RNTS ๊ฐ์†Œ๊ฐ€ ๋ฐœ์ƒํ•˜์ง€ ์•Š์•˜๋‹ค. ์ด๋Š” T550 ์‹œํŽธ์—์„œ ์ „์œ„๋ฐ€๋„๊ฐ€ ์ถฉ๋ถ„ํžˆ ๋†’์•„ ฮฃ3 ๊ฒฐ์ •๋ฆฝ๊ณ„์˜ ์˜ํ–ฅ๊ณผ ๋ฌด๊ด€ํ•˜๊ฒŒ ์ž…๊ณ„ ํŒŒ๊ดด๊ฐ€ ์‰ฝ๊ฒŒ ๋ฐœ์ƒํ•  ์ˆ˜ ์žˆ๋Š” ํ™˜๊ฒฝ์ด๊ธฐ ๋•Œ๋ฌธ์— Ni ํ•จ๋Ÿ‰์— ๋”ฐ๋ฅธ ๊ฐ•์žฌ์˜ ์ˆ˜์†Œ์ทจ์„ฑ ๋ณ€ํ™”๊ฐ€ ๋‚˜ํƒ€๋‚˜์ง€ ์•Š์€ ๊ฒƒ์œผ๋กœ ํŒ๋‹จ๋œ๋‹ค.

5. ๊ฒฐ ๋ก 

๋ณธ ์—ฐ๊ตฌ์—์„œ๋Š” ํ…œํผ๋“œ ๋งˆ๋ฅดํ…์‚ฌ์ดํŠธ ์กฐ์ง์„ ๊ฐ–๋Š” SA372 ๊ฐ•์—์„œ Ni ํ•จ๋Ÿ‰๊ณผ ํ…œํผ๋ง ์˜จ๋„๊ฐ€ ์ˆ˜์†Œ์ทจ์„ฑ์— ๋ฏธ์น˜๋Š” ์˜ํ–ฅ์„ ๋ถ„์„ํ•˜์—ฌ ๋‹ค์Œ๊ณผ ๊ฐ™์€ ๊ฒฐ๋ก ์„ ๋„์ถœํ•˜์˜€๋‹ค.

1) ํ…œํผ๋ง ์˜จ๋„๊ฐ€ ์ฆ๊ฐ€ํ•˜๋ฉด์„œ ๋งˆ๋ฅดํ…์‚ฌ์ดํŠธ์˜ ๋ž˜์Šค ๊ตฌ์กฐ๊ฐ€ ํ•ด์†Œ๋˜๊ณ  ์ „์œ„๋ฐ€๋„๊ฐ€ ๊ฐ์†Œํ•˜์˜€๋‹ค. ์ „์œ„๋Š” ์ˆ˜์†Œ์˜ ๊ฐ€์—ญ์  ํŠธ๋žฉ์‚ฌ์ดํŠธ๋กœ ์ž‘์šฉํ•˜๊ธฐ ๋•Œ๋ฌธ์— ํ…œํผ๋ง ์˜จ๋„์˜ ์ฆ๊ฐ€์— ๋”ฐ๋ผ ์ „์ฒด ์ˆ˜์†Œ ํ•จ๋Ÿ‰์€ ํฌ๊ฒŒ ๊ฐ์†Œํ•˜์˜€๊ณ , ์ด์— ๋”ฐ๋ผ ์ˆ˜์†Œ์ทจ์„ฑ ์ €ํ•ญ์„ฑ์ด ํ–ฅ์ƒ๋˜์—ˆ๋‹ค.

2) Ni ํ•จ๋Ÿ‰์— ๋”ฐ๋ฅธ ๊ธฐ์ง€ ์กฐ์ง, ์ „์œ„, ๊ฒฐ์ •๋ฆฝ ํฌ๊ธฐ, ์ธ์žฅ ๊ฐ•๋„์™€ ๊ฐ™์€ ์ˆ˜์†Œ์˜ ํŠธ๋žฉ์‚ฌ์ดํŠธ๋กœ ์ž‘์šฉํ•˜๋Š” ๋Œ€ํ‘œ์ ์ธ ์ธ์ž๋“ค์˜ ๋ณ€ํ™”๋Š” ํฌ์ง€ ์•Š์•˜๋‹ค. ๊ทธ๋Ÿฌ๋‚˜ Ni ํ•จ๋Ÿ‰ ์ฆ๊ฐ€๋กœ ์ธํ•ด ฮฃ3 ๊ฒฐ์ •๋ฆฝ๊ณ„์˜ ๋ถ„์œจ์ด ์ฆ๊ฐ€ํ•˜์˜€์œผ๋ฉฐ, ์ด๋Š” ์ˆ˜์†Œ ํ™•์‚ฐ ๊ฒฝ๋กœ์™€ ์‘์ง‘ ๋ฉ”์ปค๋‹ˆ์ฆ˜์— ์˜ํ–ฅ์„ ๋ฏธ์น  ์ˆ˜ ์žˆ๋‹ค.

3) ์ˆ˜์†Œ์ทจ์„ฑ ์‹œํ—˜ ๊ฒฐ๊ณผ ํ…œํผ๋ง ์˜จ๋„๊ฐ€ ๋†’์€ T650 ์‹œํŽธ์—์„œ Ni ํ•จ๋Ÿ‰ ์ฆ๊ฐ€์— ๋”ฐ๋ฅธ ์ˆ˜์†Œ์ทจ์„ฑ ์ €ํ•ญ์„ฑ์˜ ๊ฐ์†Œ๊ฐ€ ๋‘๋“œ๋Ÿฌ์ง€๊ฒŒ ๋‚˜ํƒ€๋‚ฌ๋‹ค. ์ด๋Š” ํ…œํผ๋ง ์˜จ๋„ ์ฆ๊ฐ€์— ๋”ฐ๋ผ ์ „์œ„๋ฐ€๋„๊ฐ€ ๊ฐ์†Œํ•˜๋ฉด์„œ ฮฃ3 ๊ฒฐ์ •๋ฆฝ๊ณ„๊ฐ€ ์ƒ๋Œ€์ ์œผ๋กœ ์ค‘์š”ํ•œ ์—ญํ• ์„ ํ•˜๊ฒŒ ๋˜์—ˆ๊ธฐ ๋•Œ๋ฌธ์œผ๋กœ ํ•ด์„๋œ๋‹ค. ๋ฐ˜๋ฉด T550 ์‹œํŽธ์—์„œ ์ „์œ„๋ฐ€๋„๊ฐ€ ๋†’์•„, ฮฃ3 ๊ฒฐ์ •๋ฆฝ๊ณ„์˜ ์˜ํ–ฅ์ด ์ƒ๋Œ€์ ์œผ๋กœ ์ž‘์•„์ง€๊ณ  ์ „์œ„ ์ž์ฒด๊ฐ€ ์ฃผ์š”ํ•œ ์ทจ์„ฑ ๊ท ์—ด ๋ฉ”์ปค๋‹ˆ์ฆ˜์œผ๋กœ ์ž‘์šฉํ•œ ๊ฒƒ์œผ๋กœ ํŒ๋‹จ๋œ๋‹ค.

4) ํ…œํผ๋ง ์˜จ๋„๊ฐ€ ๋‚ฎ์€ T550 ์‹œํŽธ์—์„œ๋Š” Ni ํ•จ๋Ÿ‰ ์ฆ๊ฐ€์— ๋”ฐ๋ฅธ ์ˆ˜์†Œ์ทจ์„ฑ ์ €ํ•ญ์„ฑ์˜ ์ฐจ์ด๊ฐ€ ๋‚˜ํƒ€๋‚˜์ง€ ์•Š์•˜๋‹ค. ์ด๋Š” T550 ์‹œํŽธ์ด ๋†’์€ ์ „์œ„๋ฐ€๋„๋กœ ๊ฐ€์ง€๋ฉฐ ฮฃ3 ๊ฒฐ์ •๋ฆฝ๊ณ„์™€ ๊ด€๊ณ„์—†์ด ์ž…๊ณ„ ํŒŒ๊ดด๊ฐ€ ์‰ฝ๊ฒŒ ๋ฐœ์ƒํ•  ์ˆ˜ ์žˆ๊ธฐ ๋•Œ๋ฌธ์ด๋‹ค.

Notes

[1] ๊ฐ์‚ฌ์˜ ๊ธ€

์ด ์—ฐ๊ตฌ๋Š” ์„œ์šธ๊ณผํ•™๊ธฐ์ˆ ๋Œ€ํ•™๊ต ๊ต๋‚ด์—ฐ๊ตฌ๋น„์˜ ์ง€์›์œผ๋กœ ์ˆ˜ํ–‰๋˜์—ˆ์Šต๋‹ˆ๋‹ค.

REFERENCES

1 
Veziroglu T. N., Sahin S., Energy Convers. Manag,49, 1820 (2008)Google Search
2 
Zheng J., Liu X., Xu P., Liu P., Zhao Y., Yang J., Int. J. Hydrog. Energy,37, 1048 (2012)Google Search
3 
Nagao A., Martin M. L., Dadfarnia M., Sofronis P., Robertson I. M., Acta Mater,74, 244 (2014)Google Search
4 
Shi R., Wang Y., Lu S., Liu S., Tu Y., Yang S., Gao K., Yang X. S., Pang X., Mater. Sci. Eng. A,874, 145084 (2023)Google Search
5 
Bang H.R., Park J.S., Kim S.H., Kim T.Y., Oh M.S., Kim S.J., Korean J. Met. Mater,61, 145 (2023)Google Search
6 
Kim S.G., Kim J.Y., Seo H.J., Jung H.G., Park J., Hwang B., Korean J. Met. Mater,61, 807 (2023)Google Search
7 
Zielinski A., Domzalicki P., J. Mater. Process. Technol,133, 230 (2003)Google Search
8 
Kim S. G., Shin S. H., Hwang B., J. Mater. Res. Technol,19, 2794 (2022)Google Search
9 
Lee S. I., Lee J. M., Lee S. Y., Kim H. J., Suh J. Y., Shim J. H., Baek U. B., Nahm S. H., Lee J., Hwang B., Mater. Sci. Eng. A,766, 138367 (2019)Google Search
10 
Yoo I., Lee J. M., Lim H. S., Suh J. Y., Lee J., Hwang B., Metall. Mater. Trans. A,51, 2118 (2020)Google Search
11 
Oriani R. A., Acta Metall,18, 147 (1970)Google Search
12 
Krom A. H. M., Bakker A., Metall. Mater. Trans. B,31, 1475 (2000)Google Search
13 
Takahashi J., Kawakami K., Kobayashi Y., Acta Mater,153, 193 (2018)Google Search
14 
Depover T., Verbeken K., Int. J. Hydrog. Energy,45, 3050 (2018)Google Search
15 
Momotani Y., Shibata A., Yonemura T., Bai Y., Tsuji N., Scr. Mater,178, 318 (2020)Google Search
16 
Troiano A. R., Metallogr. Microstruct. Anal,5, 557 (2016)Google Search
17 
Nagao A., Dadfarnia M., Somerday B. P., Sofronis P., Ritchie R. O., J. Mech. Phys. Solids,112, 403 (2018)Google Search
18 
Dong X., Wang D., Sukumar P. T., Tehranchi A., Ponge D., Sun B., Raabe D., Acta Mater,239, 118296 (2022)Google Search
19 
Hui W., Zhang H., Zhang Y., Zhao X., Shao C., Mater. Sci. Eng. A,674, 615 (2016)Google Search
20 
Wang A., Tian X., Wang S., Xing X., Liu J., Cui G., Zhang Y., J. Pipeline Sci. Eng,4, 100176 (2024)Google Search
21 
Williamson G. K., Hall W. H., Acta Metall,1, 22 (1953)Google Search
22 
ASTM E112-13, Standard Test Methods for Determining Average Grain Size,1-13, ASTM International (2021)Google Search
23 
Shin H. C., Kim S. G., Hwang B., Met. Mater. Int,30, 122 (2024)Google Search
24 
Mohrbacher H., Kern A., Alloys,2, 1 (2023)Google Search
25 
Kurdjumow G., Sachs G., Zeitschrift fรผr Physik,64, 325 (1930)Google Search
26 
Fernรกndez-Sousa R., Betegรณn C., Martรญnez-Paรฑeda E., Acta Mater,199, 253 (2020)Google Search
27 
Pressouyre G. M., Acta Metall,28, 895 (1980)Google Search
28 
Dadfarnia M., Sofronis P., Neeraj T., Inter. J. Hydrog. Energy,36, 10141 (2011)Google Search
29 
Zhang S., Wan J., Zhao Q., Liu J., Huang F., Huang Y., Li X., Corros. Sci,164, 108345 (2020)Google Search
30 
Seita M., Hanson J. P., Gradeฤak S., Demkowicz M. J., Nat. Commun,6, 6164 (2015)Google Search
31 
Chen T., Koyama M., Chiba T., Akiyama E., Takai K., Mater. Sci. Eng. A,886, 145718 (2023)Google Search
32 
Shin H. C., Kim S. G., Hwang B., Metals,14, 1171 (2024)Google Search
33 
Windle A. H., Smith G. C., Met. Sci. J,2, 187 (1968)Google Search
34 
Tien J. K., Richards R. J., Buck O., Marcus H. L., Scr. Metall,9, 1097 (1975)Google Search
35 
Kurkela M., Latanision R. M., Scr. Metall,13, 927 (1979)Google Search
36 
Hwang C., Bernstein I. M., Acta Metall,34, 1001 (1986)Google Search
37 
Cho L., Bradley P. E., Lauria D. S., Martin M. L., Connolly M. J., Benzing J. T., Seo E. J., Findley K. O., Speer J. G., Slifka A. J., Acta Mater,206, 116635 (2021)Google Search

Figures and Tables

Fig. 1.

Schematic illustrations of the testing specimens showing the (a) round-type smooth, and (b) round-type notch tensile specimens. (c) Slow strain-rate test (SSRT) system for in-situ electrochemical hydrogen charging.

../../Resources/kim/KJMM.2025.63/kjmm-2025-63-5-380f1.jpg
Fig. 2.

SEM micrographs of the (a) 0.5Ni-T550, (b) 2.2Ni-T550, (c) 0.5Ni-T650, and (d) 2.2Ni-T650 steels.

../../Resources/kim/KJMM.2025.63/kjmm-2025-63-5-380f2.jpg
Fig. 3.

Inverse pole figure (IPF) maps obtained from electron backscatter diffraction (EBSD) results for the (a) 0.5Ni-T550, (b) 2.2Ni- T550, (c) 0.5Ni-T650, and (d) 2.2Ni-T650 steels. The white dotted line highlights the prior austenite grain boundary (PAGB).

../../Resources/kim/KJMM.2025.63/kjmm-2025-63-5-380f3.jpg
Fig. 4.

X-ray diffraction (XRD) profile results for the 0.5Ni-T550, 2.2Ni-T550, 0.5Ni-T650, and 2.2Ni-T650 steels.

../../Resources/kim/KJMM.2025.63/kjmm-2025-63-5-380f4.jpg
Fig. 5.

In-situ slow strain-rate test (SSRT) results of non-charged and H-charged tensile specimens for the 0.5Ni-T550, 2.2Ni-T550, 0.5Ni-T650, and 2.2Ni-T650 steels.

../../Resources/kim/KJMM.2025.63/kjmm-2025-63-5-380f5.jpg
Fig. 6.

SEM fractographs of H-charged in-situ SSRT tensile specimens of the (a) 0.5Ni-T550, (b) 2.2Ni-T550, (c) 0.5Ni-T650, and (d) 2.2Ni-T650 steels (IG; intergranular, QC; quasi-cleavage).

../../Resources/kim/KJMM.2025.63/kjmm-2025-63-5-380f6.jpg
Fig. 7.

Cross-sectional images of (a) and (c) IPF and (b) and (d) kernel average misorientation (KAM) maps obtained from EBSD results of H-charged in-situ SSRT tensile specimens for the (a)-(b) 2.2Ni-T550 and (c)-(d) 2.2Ni-T650 steels.

../../Resources/kim/KJMM.2025.63/kjmm-2025-63-5-380f7.jpg
Fig. 8.

Thermal desorption curves of the SA372 steels pre-charged with hydrogen electrochemically at a current density of 25 A/m2 and heated at a constant rate of 100 oC/h for the 0.5Ni-T550, 2.2Ni- T550, 0.5Ni-T650, and 2.2Ni-T650 steels. The hydrogen content was 1.14, 1.07, 0.75, and 0.80 ppm for the 0.5Ni-T550, 2.2Ni- T550, 0.5Ni-T650, and 2.2Ni-T650 steels, respectively.

../../Resources/kim/KJMM.2025.63/kjmm-2025-63-5-380f8.jpg
Fig. 9.

Schematic illustration explaining the role of ฮฃ3 grain boundary on hydrogen embrittlement fracture characteristics.

../../Resources/kim/KJMM.2025.63/kjmm-2025-63-5-380f9.jpg
Table 1.

Chemical composition of SA372 steels investigated in this study (wt.%).

Steel C Si Mn Ni Cr Mo Nb Ti
SA372 Grade J 0.35~0.50 0.15~0.35 0.75~1.05 - 0.80~1.15 0.15~0.25 - -
0.5Ni 0.47 0.28 0.97 0.50 1.13 0.20 0.01 0.001
2.2Ni 0.45 0.29 0.98 2.20 1.10 0.19 0.01 0.001
Table 2.

Microstructure characteristics of SA372 steels investigated in this study.

Steel Microstrain1) (ฮต, ร—10-3) Dislocation density1) (ร—1014/m2) ฮฃ3 boundary fraction2) (%) Prior austenite grain size3) (ฮผm)
0.5Ni-T550 1.45 4.84 5.2 17.3ยฑ3.0
0.5Ni-T650 0.73 1.22 6.3
2.2Ni-T550 1.44 4.78 6.2 17.8ยฑ3.3
2.2Ni-T650 0.73 1.23 6.8

1) Measured by Williamson-Hall plot from XRD analysis results [21].

2) Measured by electron backscatter diffraction results.

3) Measured by optical microscope after etching with the solution containing saturated aqueous picric acid, sodium dodecyl benzene sulfonate, and HCl.

Table 3.

Tensile properties of SA372 steels investigated in this study.

Steel Vickers hardness (HV) Yield strength (MPa) Tensile strength (MPa) Total elongation (%)
0.5Ni-T550 374ยฑ3 1,149 1,263 14.8
0.5Ni-T650 327ยฑ6 873 1,016 18.9
2.2Ni-T550 389ยฑ12 1,161 1,281 15.0
2.2Ni-T650 310ยฑ3 884 1,052 19.2
Table 4.

In-situ SSRT results of SA372 steels investigated in this study.

Steel Notch tensile strength (MPa) Hydrogen notch tensile strength (HNTS) Relative notch tensile strength (RNTS)
0.5Ni-T550 1,563 730 0.47
0.5Ni-T650 1,312 1,201 0.84
2.2Ni-T550 1,711 767 0.45
2.2Ni-T650 1,488 1,063 0.71