이승욱
(Seung Uk Lee)
12
현세미
(Se-Mi Hyun)
1
김민철
(Min-Chul Kim)
1*
홍석민
(Seokmin Hong)
1
김종민
(Jong Min Kim)
1
이수열
(Soo Yeol Lee)
2
-
한국원자력연구원 재료안전기술연구부
(1Materials Safety Technology Research Division, Korea Atomic Energy Research Institute,
Daejeon, 34057, Republic of Korea)
-
충남대학교 신소재공학과
(2Department of Materials Science and Engineering, Chungnam National University, Daejeon,
34134, Republic of Korea)
Copyright © 2025 The Korean Institute of Metals and Materials
Key words
SA508 Gr.3, Electron Beam Welding, Post-Weld Heat Treatment, Post-Weld Quality Heat Treatment, Microstructure, Mechanical Properties
1. 서 론
소형모듈원자로(Small Modular Reactor, SMR)는 기후 변화 대응과 탄소중립 실현을 위한 차세대 원자로로 주목 받고 있다. SMR은
기존 대형원전에 비해 출력이 낮아 여러 호기의 원자로를 건설해야 하며, 이에 따라 건설기간의 단축이 필수적이다. 현재 원자로압력용기(Reactor
Pressure Vessel, RPV) 제작에는 주로 SAW (Submerged Arc Welding) 공정이 적용되고 있으며, 이러한 용접공정은
다중패스 용접방식으로 인해 용접에 장시간이 소요된다. 반면, 전자빔 용접(Electron Beam Welding, EBW)은 단일패스 용접이 가능하여
제작기간을 단축할 수 있어 SMR과 차세대 원전 기기 제작에 적용하기 위한 기술로 주목받고 있다[1].
과거 EBW는 주로 두께가 얇은 재료의 용접에 적용되었다. 그러나 최근 기술개발을 통해 최대 1012 W/m2의 전류 밀도를 가지며, 최대 250 mm 두께의 부품을 고속으로 용접할 수 있도록 발전되어 원전기기 제작에 적용하기 위한 연구가 진행 중이다[2]. 그러나 EBW는 비균질한 미세조직을 형성하고 기계적특성 변화를 초래할 수 있다고 보고된다[3,4]. 특히, 용접부(Weld)와 열영향부(Heat Affected Zone, HAZ)에서는 급랭에 의해 마르텐사이트와 같은 저온 변태상이 형성되며,
이는 높은 경도와 잔류응력을 유발한다. 또한, EBW는 아크용접과 달리 다중패스 용접에서 나타나는 자연적인 템퍼링 효과가 미미하므로, 용접후열처리(Post
Weld Heat Treatment, PWHT)를 통해 잔류응력을 완화하여 구조적 신뢰성을 확보해야 한다[3].
원자로압력용기는 내부로부터의 높은 압력과 중성자조사에 의한 재료취화를 방지하기 위하여 높은 강도와 우수한 파괴인성이 요구된다. 이러한 요구조건을 충족하기
위하여 ASTM (American Standard for Testing Materials) 규격에 따라 SA508 단조강(forging)과 SA533
판재(plate)가 적용되어 왔다. 이 중 SA508 Gr.3 Mn-Mo-Ni계 저합금강은 높은 인성 및 우수한 용접성으로 현재 상용원전 압력 용기
소재로 사용되고 있다. 특히 압력용기는 용접으로 제작되므로 용접부에 대한 미세조직 및 기계적특성 평가가 이루어져야 한다[5-7]. Vasileiou et al.의 연구[8]에 따르면, SA508 Gr.3 소재의 SAW 용접 후 PWHT를 적용했을 때 잔류응력이 약 600 MPa에서 100 MPa로 감소하였다. 또한,
EBW 공정에서도 유사한 수준의 잔류응력 완화가 가능할 것으로 보고되었다. EBW는 용가재를 사용하지 않기 때문에 용접부의 화학조성이 모재와 동일하며,
이는 추가적인 품질관리 측면에서 이점을 제공한다[9]. Bruce et al.의 연구[2]에서는, PWHT 공정에 품질열처리(Quality Heat Treatment, QHT) 공정을 적용하여 미세조직을 균질화하고, 용접부를 제거함으로써
가동중검사 과정을 간소화할 수 있다고 제안하였다. 그러나 이러한 용접후 QHT 적용은 ASME code와 같은 관련 규정의 부재로 현재로써 EBW
공정을 원전 기기제작에 적용하기 위해서는 기존 SAW 용접공정과 동일한 PWHT 공정의 적용이 필수적인 상황이다. 따라서 원자로압력용기와 같은 대형구조물
제작에 EBW 공정을 안정적으로 적용하기 위해서는 PWHT 조건에 따른 기계적특성 변화와 더불어, 향후 가동중검사의 간소화를 고려한 용접후 QHT의
적용을 위한 연구를 병행할 필요가 있다.
본 연구에서는 원자로압력용기용 저합금강 소재에 전자빔용접 공정을 적용하고, 용접후열처리 공정 조건에 따른 용접부 및 용접열영향부의 미세조직 변화와
그에 따른 기계적 특성의 변화를 고찰하고자 하였다. 이를 위해, SA508 Gr.3 Mn-Mo-Ni계 저합금강 소재를 이용하여 40 mm 두께의 전자빔용접재를
제작하고 기존 SAW 용접후 적용되는 PWHT 공정과 용접후 QHT 공정을 수행하여 용접후열처리 공정조건에 따른 미세조직의 변화를 평가하였다. 또한,
경도, 인장 및 충격특성 등 기계적 특성 평가를 통하여 전자빔 용접부의 기존 PWHT 공정조건 및 용접후 QHT 품질열처리 공정의 효과를 종합적으로
고찰하였다.
2. 실험 방법
2.1 전자빔 용접부 제작
본 연구에서는 상용원전의 원자로압력용기에 적용된 SA508 Gr.3 Cl.1 저합금강을 사용하여 용접부를 모사하였다. SA508 Gr.3 Cl.1의
ASME Code[10] 조성범위와 본 연구에서 사용된 소재의 화학 조성을 표 1에 정리하였다. 전자빔 용접(Electron Beam Welding, EBW) 시 비드품질을 확보하기 위해 extension tabs와 backing
plate를 부착하여 용접을 진행하였다. 용접은 5.0 × 10-4 mbar의 진공조건에서 수행되었으며, 초점위치, 용접전류 및 용접속도는 각각 520 mm, 250 mA, 200 mm/min로 설정하였다.
2.2 용접후열처리 조건
용접후열처리(Post Weld Heat Treatment, PWHT)는 기존 SAW 공정의 PWHT 조건(610°C, 30시간)과 동일하게 적용하였으며[11-14], 온도에 따른 영향을 확인하기 위해 추가적으로 630°C에서 30시간 열처리를 수행하였다. 또한, 용접부 제거효과를 평가하기 위해 용접후 품질열처리(Post
Weld Quality Heat Treatment, PWQHT)는 기존 원자로 압력용기 강재의 열처리 조건에 따라 880°C에서 2시간 동안 오스테나이트화
열처리를 수행한 후, 660°C에서 7시간 동안 템퍼링을 실시하였다. 각 열처리 조건은 표 2에 정리하였다. EBW 후 As-welded 상태의 시편은 AS로 명명하였으며, 기존 SAW 공정과 동일한 PWHT를 진행한 시편은 P1, 온도 변화의
영향을 평가하기 위해 630°C에서 PWHT를 수행한 시편은 P2, 그리고 PWQHT 시편은 PQ로 명명하였다.
2.3 미세조직 분석
각 열처리 시편의 미세조직은 광학현미경(Optical microscope, Eclipse-MA200, Nikon, Japan), 주사전자현미경(Scanning Electron Microscope, SEM) 및 후방산란전자회절(Electron
Backscatter Diffraction, EBSD)을 이용하여 분석하였다. 미세조직 분석을 위해 시편은 0.25 μm까지 연마한 후, 3 % 나이탈(Nital)
용액으로 에칭하였다. 또한, 각 시편에서 10장의 SEM 이미지를 선별하고, 이미지분석 소프트웨어(Image-Pro Plus 7.0)를 사용하여 석출물의
크기 및 분율을 정량화하였다.
2.4 기계적 특성 평가
용접부의 위치별 경도측정은 시편 상단에서 20 mm 떨어진 지점에서 수행하였으며, Akashi사의 HM-123 장비를 사용하여 500 g 하중으로
10 s 동안 유지한 후 측정하였다. 인장시험은 ASTM E8/E8M[15]에 따라 수행되었으며, 용접부만의 인장특성 평가를 위해 폭 2 mm, 두께 1 mm의 소형판상 인장시험편을 용접 진행방향(Longitudinal)으로
채취하여 사용하였다. 시험은 MTS사의 기계식 재료시험기를 이용하여 수행하였으며, 상온(25°C) 및 압력용기 가동 온도(288°C)에서 4.6 ×
10-4s-1의 변형속도로 진행하였다. 도출된 응력-변형률 곡선으로부터 0.2% offset 방법을 적용하여 항복강도를 구하고, 최대하중을 기준으로 인장강도를
계산하였다. 충격천이특성 평가는 대경테크사의 DTI-603D 시험기(용량 500 J)를 사용하여 ASTM E23[16]에 따라 수행하였다. 시험은 -120°C에서 120°C까지의 온도범위에서 진행되었으며, 표준원전 원자로압력용기 감시시험 기준에 따라 용접부 중심과
용접선에서 0.8 mm 떨어진 열영향부에 노치를 삽입하여 시험을 수행하였다. 또한, 각 시험편의 충격천이곡선으로부터 흡수에너지가 41 J 및 68
J일 때의 지시온도(Index temperature, T41J, T61J)를 기준으로 천이특성을 평가하였다.
3. 결 과
3.1 EBW 용접부 미세조직 분석
EBW 적용 후 전체적인 용접 단면부 사진과 용접 중심부 및 용접부의 저배율 OM 이미지를 그림 1에 나타내었다. 용접 중심부와 용접부에서는 주로 베이나이트가 형성되었으며(그림 1 (b), (c)), 용접 중심부에서 떨어진 지점에서는 조대한 columnar 조직이 형성되는 것을 확인할 수 있었다(그림 1 (b)). 그러나 저배율 OM 이미지로는 미세조직을 정확하게 구별하기는 어려워 고배율에서 SEM 분석 후 그림 2에 정리하였으며, 각 이미지에 베이나이트(B)와 위드먼스태튼 페라이트(WF)로 미세조직을 구별하였다. 모재에서는 주로 SA508 Gr.3 저합금강의
미세조직인 상부 베이나이트가 형성되었으며, 베이나이트 lath 구조가 관찰되었다(그림 2 (g)).
As-welded (AS) 시편의 중심부에서 측정된 용접부의 폭은 약 4.5 mm이며, 열영향부를 포함한 전체 폭은 약 10 mm로 확인되었다. 용접부는
기존 문헌[17-21]에서와 유사하게 베이나이트와 부분적인 위드먼스태튼 페라이트가 혼합된 복합조직으로 형성되었다(그림 2 (b), (c)). 용접부 중심선에서는 등축형 결정립이 관찰되었으며, 중심선에서 1 mm 떨어진 지점에서는 모재에서 용접부 중심방향으로 성장하는 조대한 columnar
형태의 결정립이 확인되었다. 열영향부는 위치에 따라 미세조직 차이가 뚜렷하게 나타나며, CGHAZ (Coarse Grained Heat Affected
Zone), FGHAZ (Fine Grained Heat Affected Zone), ICHAZ (Intercritical Heat Affected
Zone)로 구별되었다. CGHAZ는 용접 시 A3온도 이상(오스테나이트 단상 영역)까지 가열된 영역으로, 결정립이 조대화되며 주로 마르텐사이트 조직이 형성되었다(그림 2 (d)). FGHAZ는 A3까지 도달하지만 CGHAZ 보다 낮은 온도로 가열되므로 결정립이 미세화되며, 마르텐사이트보다 하부베이나이트가 주로 나타났다(그림 2 (e)). ICHAZ는 오스테나이트와 페라이트가 공존하는 A1과 A3 사이 온도범위까지 가열되었다가 냉각되며, 가열시 재결정에 의하여 미세한 베이나이트가 형성되었으며(그림 2 (f)), 모재는 SA508 Gr.3 Mn-Mo-Ni 저합금강의 전형적인 조직인 상부베이나이트로 구성되어 있다(그림 2 (g)).
용접후열처리 온도에 따른 미세조직 변화를 그림 3에 나타내었다. P1 (610°C/30 hr) 조건의 경우, 용접부의 조대한 columnar 결정립 내부에서 lath 사이 간격이 증가하였으며, lath를
따라 형성된 rod 형태의 석출물이 관찰되었다(그림 3 (a)). CGHAZ의 경우, 템퍼드 마르텐사이트와 템퍼드 베이나이트가 형성되었으며, 용접후열처리 적용에도 불구하고 여전히 교차된 lath 구조가 일부
남아있는 것으로 확인되었다(그림 3 (c)). P2 (630°C/30 hr) 조건에서는 P1과 유사한 미세조직을 보였지만, CGHAZ 및 ICHAZ에서는 더욱 균일한 석출물 분포가 나타났다(그림 3 (d), (f)).
용접후 품질열처리(PWQHT)를 적용한 PQ 시편의 미세조직을 그림 4에 나타내었다. 열영향부와 모재의 미세조직은 템퍼드 베이나이트 조직(그림 4 (c), (d))으로 형성되었다. 용접부의 경우 탄화물이 존재하지 않는 페라이트와 템퍼드 베이나이트 조직이 형성되었고 특정 방향으로 석출물 밴드가 관찰되었다. 용접부
중심의 경우 석출물 분포의 방향성은 뚜렷하지 않으나, 중심선에서 1 mm 떨어진 지점의 경우 응고 방향으로 석출물 밴드가 형성되었다(그림 4 (a), (b)). PWQHT 후 용접부와 모재의 미세조직 형태는 유사하였지만, 용접부는 열영향부와 모재보다 상대적으로 결정립의 크기가 큰 미세조직이 형성되었다.
3.2 기계적특성 평가
용접부의 위치별 경도측정 결과를 그림 5와 표 3에 정리하였다. P1 (610°C/30 hr) 조건에서는 후열처리 후 기지의 연화로 인해 용접부 및 열영향부의 경도가 약 50 Hv 정도 감소하는
경향을 보였으나, 기존 용접공정인 SAW와 비교했을 때 용접부, CGHAZ, 그리고 FGHAZ의 경도는 여전히 다소 높게 나타났다. P2 (630°C/30
hr) 후열처리 조건에서는 As-welded (AS) 대비 경도 감소 폭이 70 Hv 이상으로 더욱 크게 나타났으며, 상대적으로 균일한 경도 분포를
보였다. PWQHT를 적용한 후에는 용접부와 열영향부의 경도가 모재와 유사한 수준으로 나타났다.
용접부의 후열처리 조건에 따른 인장시험 후 응력-변형률 곡선을 그림 6에 나타내었으며, 항복강도, 인장강도, 그리고 연신율을 표 4에 정리하였다. 상온 인장시험 결과, AS 용접부의 항복강도와 인장강도는 각각 668 MPa, 863 MPa로 가장 높은 값을 나타낸 반면, 연신율은
5 %로 가장 낮았다(표 4, 그림 6 (a)). P1 조건에서는 AS 대비 강도가 10 % 이상 감소하고 연신율이 8 %로 증가하였으며, 후열처리 온도가 높은 P2 조건에서는 강도가 20 %
이상 감소하고 연신율이 9 %로 증가하였다. 288°C에서의 인장시험에서도 유사한 경향이 나타났다(표 4, 그림 6 (b)). P1, P2 조건 모두 기존 SAW 공정보다 높은 강도를 유지하였으나, 연신율은 감소하는 경향을 보였다. PWQHT를 적용한 경우, 항복 강도는
457 MPa, 균일 연신율은 13 %로 기존 모재의 인장특성과 유사한 수준을 보였으나, 총 연신율은 26 %로 모재보다 약간 감소하였다.
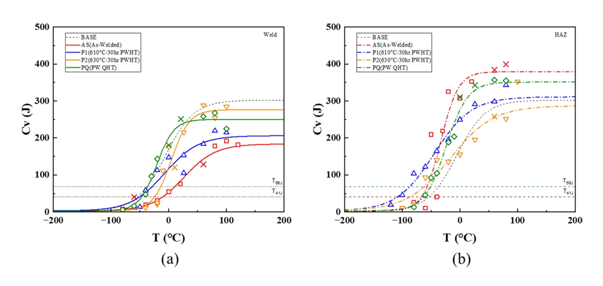
용접부 및 열영향부의 온도별 충격천이곡선을 그림 7에 나타내고, 천이곡선으로부터 얻은 상부흡수에너지(Upper Shelf Energy, USE), 연성-취성 천이온도(Ductile-to-Brittle
Transition Temperature, DBTT), 그리고 흡수에너지가 41 J, 68 J 일 때의 지시온도(Index temperature)인
T68J, T41J를 표 5에 정리하였다. AS 용접부의 경우, USE는 184 J, T41J는 –10.3°C, DBTT는 26.1°C로 가장 낮은 충격천이특성을 나타내었다. P1 후열처리 조건에서의 USE는 217 J, T41J는 –51.4°C, DBTT는 -2.2°C로, P2 조건에서는 USE가 276 J, T41J는 –24.2°C, DBTT가 4.3°C로 AS 보다 인성이 개선되는 경향을 나타내었다(표 5, 그림 7 (a)). PWQHT를 적용한 경우, 용접부의 USE는 250 J, T41J는 –46.5°C, DBTT는 -21.1°C로, P1 및 P2 조건보다 우수한 충격천이특성을 보였다. 그러나 기존 모재보다는 다소 낮은 USE와 높은
T41J를 나타냈다.
열영향부의 경우, AS 조건에서 USE는 354 J, T41J는 –63.3°C, DBTT는 -35.7°C로 모재보다 우수한 충격특성을 보였다. P1 조건에서는 USE가 295 J로 감소하였으나, T41J은 –105.9°C, DBTT는 -49.2°C로 충격천이특성이 크게 향상되었다(표 5, 그림 7 (b)). 반면, P2 조건에서는 USE가 287 J로 소폭 감소하였으며, T41J과 DBTT는 각각 -86.3°C, -16.8°C로 증가하여 P1 조건보다 충격천이특성이 저하되는 경향을 보였다. PWQHT 후 열영향부의 USE는
341 J, T41J은 -61.9°C, DBTT는 -25.3°C로 AS의 열영향부보다 다소 저하된 충격천이특성을 나타냈으나, 모재보다는 우수하게 나타났다.
4. 결 론
4.1. EBW 용접부 및 열영향부의 미세조직 형성에 따른 기계적특성 변화
EBW는 고에너지 전자빔을 이용하여 용접부만 국부적으로 용융시키는 방식으로, 기존 SAW 공정보다 용접부 폭이 좁게 형성된다[22]. 또한 용접부 내 위치에 따라 미세조직의 크기와 형태가 크게 변화하는 특징을 보인다. 용접선 중심부에서부터 모재부까지의 EBW 용접부 단면 전체의
대면적 EBSD 분석결과를 그림 8 (a)에 나타내었다. 그리고 용접부 중심, 용접선 중심에서 1 mm 떨어진 용접부, CGHAZ, FGHAZ의 고배율 EBSD 분석결과를 그림 8 (b)-(e)에 나타내었다. 용접부 중심부에서는 상대적으로 등축형 결정립 형태를 보이지만, 몇몇 결정립들은 전자빔 투과방향과 평행한 두께 방향을 따라 길게 형성된
columnar 조직을 보여준다. 반면 용접부 중심에서 떨어지면 가로 방향으로 300 μm 이상의 조대한 columnar 조직이 형성되었으며, 이는
용접부 중심보다 더 조대하였다. 고배율 EBSD를 살펴보면 용접부 조직은 결정립 내부에 lath가 방향성을 갖고 있는 packet 형태의 조직과 결정립계에서
내부로 확산해 형성된 형태의 조직이 혼재되어 있어 베이나이트와 위드먼스태튼 페라이트의 복합조직이 형성된 것을 볼 수 있다. HAZ 부에서는 이러한
columnar 조직은 관찰되지 않았지만, CGHAZ부에서는 상당히 조대한 미세조직을 보인 반면 FGHAZ부에서는 상당히 미세한 조직을 보여주었다.
고배율 EBSD 분석에서 CGHAZ 부에서는 마르텐사이트가 상당수 포함된 조직을 보여준 반면, FGHAZ부에서는 대다수가 베이나이트 조직을 보여주었다.
추가적으로 이러한 조대한 columnar 조직의 방향성을 평가하기 위하여 용접부 윗면에서도 EBSD 분석을 수행하였으며, 그 결과를 그림 9에 나타내었다. 전자빔 진행방향을 따라 용접부 중심선에 250 μm 이상의 조대한 columnar 조직이 형성되었으며, 중심선 양옆으로는 열 방출의
반대 방향으로 특정 각도를 가지며 성장하는 columnar 조직이 확인되었다. 이러한 미세조직적 특징은 용접부가 완전히 용융된 상태에서 응고가 진행될
때, 온도구배에 따라 열이 모재방향으로 방출되면서 결정이 성장하기기 때문으로 판단된다. 또한, 그림 8과 같이 용접부 단면 관찰에서 용접부 중심부에 등축정으로 보이는 조직도 용접방향에 영향을 받아 방향성을 띠며 성장하는 것으로 확인되었다. 따라서,
용접부에서는 조대한 columnar 조직형성과 잔류응력의 영향으로 인해, 모재 대비 USE는 감소하고 천이온도는 크게 상승하는 경향을 나타낸 것으로
판단된다[23].
반면, 열영향부는 모재보다 USE가 증가하고 천이온도는 감소하여 충격특성이 향상되었다. 열영향부 충격시험편의 노치위치는 원자로 감시시험 열영향부 시험편
채취기준인 용접선에서 0.8 mm 떨어진 위치로, 이는 FGHAZ에서 노치가공이 이루어진 것을 확인할 수 있었다. EBSD 분석결과, FGHAZ의
유효결정립 크기는 약 5 μm로 매우 미세한 조직을 나타냈다. 일반적으로 충격인성은 결정립 크기의 영향을 받는 것으로 알려져 있어[24], 미세한 FGHAZ에서 관찰된 미세한 유효결정립 크기로 인해 열영향부는 모재 및 용접부보다 우수한 충격인성을 나타낸 것으로 판단된다.
4.2 용접후열처리 적용에 따른 기계적 특성 변화
용접후열처리(Post Weld Heat Treatment, PWHT)적용 후, As-welded (AS) 상태에 비해 경도, 항복강도 및 인장강도는
감소하고 연신율은 증가하는 경향을 보였다. 이러한 변화는 후열처리 온도가 높을수록 더욱 크게 나타났다. 이는 후열처리 과정에서 급랭으로 형성된 조직의
잔류응력이 완화되고, 조직이 연화(softening)되었기 때문이다. 이러한 경향은 충격천이특성 평가에서도 유사하게 나타났다. EBW 용접부의 경우,
후열처리 적용 후 AS 조건보다 USE가 증가하고 천이온도가 감소하여 충격특성이 향상되었다. 그러나 PWHT 온도가 높은 P2 (630°C/30 hr)조건에서는
USE가 더 높은 값을 나타낸 반면, 천이온도가 증가하여 충격천이특성이 저하되는 경향을 보였다. 열영향부의 경우에는 후열처리 온도가 상승하면 USE는
유사하게 유지되나 천이온도는 용접부와 유사하게 증가하는 것으로 나타났다. 이러한 천이온도의 증가는 취성파괴를 유발하는 석출물의 크기에 영향을 받는
것으로 알려져 있다[25, 26]. 후열처리 온도에 따른 석출물의 크기 변화를 확인하기 위하여 P1 (610°C/30 hr), P2 (630°C/30 hr) 조건의 열영향부에 대하여
SEM 사진을 활용하여 석출물 정량분석을 수행하였다. 각 조건에서의 대표적인 석출물 형태와 석출물 정량화 결과를 그림 10과 그림 11에 각각 나타내었다. PWHT 온도가 높은 P2조건에서는 P1조건보다 석출물의 크기가 더 크게 형성되었으며, 0.2 μm 이상의 조대한 석출물 분율이
약 25 %에서 47 %로 크게 증가하였으며, 용접부에서도 유사하게 석출물 크기의 증가가 나타났다. 따라서 높은 온도에서의 후열처리는 강도의 감소
및 용접부에서의 충격흡수에너지 증가에는 효과적으로 작용하였으나, 조대한 석출물의 증가로 인해 충격천이온도가 상승하는 부정적인 영향을 미친 것으로 판단된다.
P1 및 P2 조건의 용접부는 모재와 비교했을 때 높은 강도를 보였으나, 충격천이특성은 상대적으로 낮은 값을 나타내었다. 이는 용접부의 조대한 columnar
조직 형성과 이와 함께 발생하는 합금원소의 편석에 기인하는 것으로 판단된다. 그림 12와 같이 용접부 조직에서는 흰색으로 나타나는 석출물 밴드가 관찰되었으며 이 영역에서 Mo 등의 용질원소의 함량이 높게 나타났다. 이는 SA508 Gr.3
저합금강에서 일반적으로 형성되는 M2C, M3C 등의 탄화물들이 집중되어 형성된 것이라 판단된다[27]. 용접부의 응고과정에서 형성된 columnar 결정립의 입계를 따라 합금원소의 편석이 발생하며, 후열처리 이후에도 이러한 편석이 완전히 해소되지
않아 입계 근처에 석출물이 집중적으로 형성된 것으로 판단된다. 또한 AS의 EBSD 분석 결과(그림 8)에서와 같이 용접부에는 250 μm 이상의 조대한 columnar 결정립이 형성되나, 후열처리는 A3 온도 이하에서 수행되어 기존의 구 오스테나이트 결정립 크기에는 변화가 없다. 따라서, 조대한 결정립과 석출물 편석의 영향으로 인해 후열처리를 적용함에도
불구하고 용접부의 기계적특성이 모재만큼 충분히 회복하지 못한 것으로 판단된다.
4.3. 용접후 품질열처리에 따른 기계적특성 변화
PWQHT를 통하여 그림 5와 같이 용접부와 열영향부의 경도는 모재와 유사한 수준으로 감소하였으며, 인장시험에서도 용접부의 항복강도, 인장강도, 연신율은 모재와 유사한 값을
보였다. 용접부의 충격천이특성 또한 향상되어 천이온도는 모재와 유사한 수준으로 향상되나, USE는 모재보다는 다소 낮은 값을 보였다. 반면, 열영향부는
USE와 천이온도 모두 모재보다 우수한 특성을 나타내었다.
그림 4에서와 같이 용접부의 경우, 품질열처리 적용후에도 모재나 열영향부보다 결정립 크기가 큰것으로 관찰되었으며, EBSD 분석을 이용하여 유효결정립 크기를
측정한 결과에서도 용접부에서 가장 큰 결정립 크기를 보였다. 또한 그림 13과 같이 용접부에서 템퍼드 베이나이트와 부분적인 페라이트가 관찰되었으며, 석출물이 특정영역에 집중되어 형성되는 것으로 나타났다. 특히 용접선(fusion
line) 방향으로 1 mm 떨어진 지점에서는 응고 방향을 따라 석출물 밴드가 형성되었다. 이는 용접부에 형성되는 조대한 columnar 조직의 영향으로,
응고 시 발생한 용질원자의 편석이 품질열처리를 통하여 완전히 제거되지 않는 것을 의미한다. 따라서, 모재보다 낮은 용접부의 USE는 상대적으로 큰
결정립 크기와 조직의 불균일, 석출물 집중 등에 기인하는 것으로 판단된다.
5. 결 론
본 연구에서는 원자로압력용기용 SA508 Gr.3 Cl.1 Mn-Mo-Ni계 저합금강에 전자빔용접 공정을 적용하고, 용접후 열처리 공정 조건에 따른
용접부 및 용접열영향부의 미세조직 변화와 그에 따른 기계적 특성의 변화를 고찰하였다.
EBW는 상용 SAW보다 적은 입열량으로 인해 기존 SAW 용접부 보다 좁은 용접부와 열영향부를 형성하였다. As-welded 상태의 용접부는 위드먼스태튼
페라이트와 베이나이트가 조대한 columnar 형태로 형성되었다. 열영향부는 위치에 따라 다양한 미세조직을 보이며, 용접부보다 미세한 조직이 형성되었다.
용접부 및 열영향부에 생성된 저온변태상으로 인해 가장 높은 경도와 강도, 그리고 낮은 충격천이특성을 보였다.
용접후열처리(PWHT) 적용으로 결정립내의 lath를 따라 연신된 석출물이 생성되었으며, 후열처리 온도가 높을수록 석출물의 크기는 증가하였다. PWHT
적용 시, 기지조직의 연화와 잔류응력의 완화로 경도와 강도는 감소하고 연신율과 충격인성은 향상되었다. 그러나 PWHT 온도가 증가하면, 석출물 크기
증가로 인하여 천이온도의 상승이 발생한다.
용접후 품질열처리(PWQHT) 적용 시 용접부에는 모재보다 다소 큰 결정립 크기를 갖는 페라이트 조직과 상부 베이나이트 조직이 형성되고, 특정 방향으로
석출물 밴드가 관찰되었다. 이는 용접부의 조대한 columnar 조직의 경계에서 나타나는 용질원자의 편석이 품질열처리를 통하여 완전히 제거되지 않은
것으로 판단된다. 이로인해 용접부의 충격천이특성은 품질열처리 적용후에도 기존 모재보다 다소 낮게 나타났다.
Acknowledgements
이 논문은 2025년도 정부(과학기술정보통신부)의 재원으로 한국연구재단-고리1호기 기기/설비활용 원전 안전기술실증 사업의 지원을 받아 수행된 연구임(No.
RS-2021-NR056246).
REFERENCES
Bridger K., ANT LR 2020-01,Electric Power Research Institute (2020)

Bruce K., Taylor M., Fellowes J., Gyves K., Li K., Moore K., Burling L. D., J. Francis
and E. Pickering, Metall. Mater. Trans. A,56, 655 (2024)

Sun Y.L., Vasileiou A.N., Pickering E.J., Collins J., Obasi G., Akrivos V., Smith
M.C., Int. J. Mech. Sci,196, 106244 (2021)

Zhang X., Zhu H., Xiong Z., Cheng X., (In press), Met. Mater. Int.,

Hong S., Lee C.L., Lee B.S., Kim H.D, Kim M.C., Korean J. Met. Mater,61, 729 (2023)

Hyun S.-M., Hong S., Kim M.C., Kim J.M., Sohn S.S., Korean J. Met. Mater,62, 593 (2024)

Lee G.-G., Lee B.S., Kim M.C., Kim J.M., Nucl. Eng. Tech,55, 2844 (2023)

Vasileiou A.N., Smith M.C., Francis J.A., Balakrishnan J., Wang Y.L., Obasi G., Bruke
M.G., Pickering E.J., Gandy D.W., Irvine N.M., Mater. Des,209, 109924 (2021)

Faraone K.M., Miller R.G., Feng Z., TN 37831-6283,Oak Ridge National Laboratory (2022)

ASTM, A508/A508M-18,ASTM Int. (2019)

Rathod D.W., Francis J.A., Vasileiou A.N., Roy M.J., English P.D., Balakrishnan J.,
Smith M.C., Irvine N.M., Int. J. Press. Vessels Piping,172, 313 (2019)

Vasileiou A.N., Smith M.C., Francis J.A., Rathod D.W., Balakrishnan J., Irvine N.M.,
Int. J. Press. Vessels Piping,172, 379 (2019)

Cooper A. J., Wisbey A., Kyffin W., Dutilleul T., Nunn M., Punshon C., Smith M.C.,
Pickering E., Akrivos V., Carruthers A., Proc. Press. Vessels Piping Conf., (2023)

ASME, BPVC Section III Division 1, Subsection NB, Rules for Construction of Nuclear
Facility Components,ASME (2017)

ASME, E8/E8M-22,ASTM Int. (2022)

ASTM, E23-18,ASTM Int. (2018)

Kim S., Kang S.Y., Lee S., Oh S.J., Kwon S., Kim O.H., Hong J.H., Metallurgical and
Materials Transactions A,31A, 1107 (2000)

Pickering E. J., Bhadeshiaet H., Metallurgical and Materials Transactions A,45A, 2983
(2014)

Obasi G., Pickering E.J., Vasileiou A.N., Sun Y.L., Rathod D., Preuss M., Francis
J.A., Smith M.C, Metallurgical and Materials Transactions A,50A, 1715 (2019)

Xia X., Wu J., Liu Z., Ma J., Ji H., Trans. Indian Inst. Met,76, 3379 (2023)

Kim T-H., Kim C., Lee C.-H., Kwack J., Jeon D., Hong H.-U., Korean J. Met. Mater,61,
659 (2023)

Balakrishnan J., Vasileiou A.N., Francis J.A., Smith M.C., Roy M.J., Callaghan M.D.,
Irvine N.M., Int. J. Press. Vessels Piping,162, 59 (2018)

Sun Y., Smith M., Dutilleul T., Jones S., Int. J. Press. Vessels Piping,199, 104772
(2022)

Hong S., Lee C., Kim M.C., Lee B.S., Korean J. Met. Mater,55, 752 (2017)

Lee S., Kim S., Hwang B., Lee B.S., Lee C.G., Acta Materialia,50, 4755 (2002)

Im Y.R., Oh Y.J., Lee B.J., Hong J.H., Lee H.C, Journal of Nuclear Materials,297,
138 (2001)

Lee B.J., Computer Assisted Alloy and Process Design of Nuclear Structural Steels,18-20,
KAERI (1997)

Figures and Tables
Fig. 1.
OM images of EBW As-welded specimen: (a) Cross-sectional image, (b)Weld (centerline),
(c) Weld.
Fig. 2.
SEM images of EBW As-welded specimen: (a) Cross-sectional image, (b)Weld (centerline),
(c) Weld (Centerline +1 mm), (d) CGHAZ, (e) FGHAZ, (f) ICHAZ, (g) BM.
Fig. 3.
Microstructures of EBW weld joint after PWHT (a), (c), (e) 610°C PWHT Weld, CGHAZ,
ICHAZ / (b), (d), (f) 630°C PWHT Weld, CGHAZ, ICHAZ.
Fig. 4.
Microstructures of EBW welds after PWQHT (a) Weld (centerline), (b) Weld (Centerline
+ 1mm), (c) HAZ, (d) BM.
Fig. 5.
Vickers hardness distribution according to heat treatment conditions.
Fig. 6.
Tensile test results of the weld zone in the as-welded condition and after PWHT (a)
room temperature, (b) 288°C.
Fig. 7.
Impact test results of the EBW weld joint and heat-affected zone of SA508 Gr.3 steel
(a) Weld, (b) Heat-affected zone.
Fig. 8.
IPF Maps of the EBW weldment in SA508 Gr.3 low alloy steel (a) overall weldment (b)
weld (Centerline), (c) weld (Centerline + 1 mm), (d) CGHAZ, (e) FGHAZ.
Fig. 9.
IPF maps of the electron beam weld joint after PWHT shown in top view.
Fig. 10.
SEM images of precipitates in the heat-affected zone of EBW welds (a) 610°C/30 hr
PWHT, (b) 630°C/30 hr PWHT.
Fig. 11.
Quantification of precipitates in the heat-affected zone of SA508 Gr.3 low-alloy steel
after PWHT.
Fig. 12.
EDS line scanning analysis results of the EBW weld joint (centerline + 1 mm) after
610°C PWHT.
Fig. 13.
SEM analysis results of the weld joint after PWQHT (a), (c) Weld(centerline), (b),
(d) Weld (centerline + 1 mm).
Table 1.
The chemical composition of the SA508 Gr.3 low-alloy steel (wt%) [10].
|
|
C
|
Ni
|
Cr
|
Mo
|
Mn
|
Si
|
Cu
|
Fe
|
|
ASME spec.
|
0.25 max.
|
0.4 – 1.0
|
0.25 max.
|
0.45 – 0.6
|
1.2 – 1.5
|
0.4 max.
|
0.2 max.
|
Bal.
|
|
SA508 Gr.3
|
0.2
|
0.89
|
0.2
|
0.5
|
1.33
|
0.2
|
0.02
|
Bal.
|
Table 2.
Post Weld Heat Treatment (PWHT) and Quality Heat Treatment (QHT) Conditions.
|
Welding Method
|
Heat Treatment
|
ID
|
Condition (°C)
|
|
EBW
|
As-welded
|
AS
|
-
|
|
PWHT
|
P1
|
610°C/30 hr/FC
|
|
P2
|
630°C/30 hr/FC
|
|
PWQHT
|
PQ
|
880°C/2 hr/AC -
|
|
660°C/7 hr/AC
|
|
SAW [10]
|
PWHT
|
-
|
610°C/30 hr/FC
|
Table 3.
Vickers hardness results of the weld and heat-affected zone in the as-welded, PWHT
and PWQHT conditions.
|
ID
|
Weld (HV)
|
CGHAZ (HV)
|
FGHAZ (HV)
|
ICHAZ (HV)
|
BM (HV)
|
|
AS (As-welded)
|
283 ± 9
|
303 ± 17
|
287 ± 19
|
240 ± 16
|
187 ± 6
|
|
P1 (610°C/30hr PWHT)
|
234 ± 5
|
254 ± 8
|
229 ± 13
|
192 ± 1
|
183 ± 9
|
|
P2 (630°C/30hr PWHT)
|
216 ± 5
|
216 ± 11
|
206 ± 12
|
178 ± 12
|
177 ± 9
|
|
PQ (PWQHT)
|
189 ± 3
|
-
|
197 ± 6
|
-
|
195 ± 9
|
|
SAW (610°C/30 hr PWHT)
|
217 ± 8
|
260 ± 4
|
234 ± 24
|
198 ± 8
|
185 ± 9
|
Table 4.
Tensile test results of the weld zone in the as-welded condition and after PWHT.
|
Welding Method
|
ID
|
RT
|
288°C
|
|
YS (MPa)
|
TS (MPa)
|
U. El. (%)
|
T. El. (%)
|
YS (MPa)
|
TS (MPa)
|
U. El. (%)
|
T. El. (%)
|
|
EBW
|
AS (As-welded)
|
668±2
|
863±2
|
5.1±0.2
|
13.6±0.5
|
708±9
|
945±9
|
8.5±0.2
|
18.3±0.9
|
|
P1 (610°C/30 hr)
|
589±3
|
715±2
|
7.8±0.1
|
17.4±0.1
|
550±4
|
684±4
|
7±0.6
|
13.9±1.1
|
|
P2 (630°C/30 hr)
|
525±3
|
653±3
|
8.8±0.7
|
18.8±0.9
|
495±6
|
634±3
|
8±1.0
|
15±0.8
|
|
PQ (PWQHT)
|
457±3
|
593±3
|
13±0.2
|
26±0.7
|
404±8
|
601±9
|
12±0.8
|
22±0.4
|
|
SAW [10]
|
SW(610°C/30 hr)
|
533±10
|
629±15
|
12±1.6
|
29.4±2.8
|
455±13
|
568±6
|
6.9±0.6
|
22±0.7
|
|
BM (Reference)
|
436±3
|
586
|
11.5±0.4
|
29.8±1.4
|
413±2
|
608±1
|
11.9±0.1
|
27.2±1.1
|
Table 5.
Impact test results of the EBW weld joint and heat-affected zone of SA508 Gr.3 steel.
|
Welding Method
|
ID
|
RT
|
288°C
|
|
USE (J)
|
T41J (°C)
|
T68J (°C)
|
DBTT (°C)
|
USE (J)
|
T41J (°C)
|
T68J (°C)
|
DBTT (°C)
|
|
EBW
|
AS (As-welded)
|
184
|
-10.3
|
10.2
|
26.1
|
354
|
-63.3
|
-55.1
|
-35.7
|
|
P1 (610°C/30 hr)
|
217
|
-51.4
|
-28.8
|
-2.2
|
295
|
-105.9
|
-86.5
|
-49.2
|
|
P2 (630°C/30 hr)
|
276
|
-24.2
|
-13.9
|
4.3
|
287
|
-86.3
|
-62
|
-16.8
|
|
PQ (PWQHT)
|
250
|
-46.5
|
-36.4
|
-21.1
|
341
|
-61.9
|
-50.7
|
-25.3
|
|
SAW [10]
|
SW(610°C/30 hr)
|
273
|
-45.9
|
-29.7
|
-1.4
|
280
|
-103.8
|
-94.7
|
-78.3
|
|
BM (Reference)
|
302
|
-53.4
|
-37.4
|
-5.7
|
302
|
-53.4
|
-37.4
|
-5.7
|