The Journal of
the Korean Journal of Metals and Materials

The Journal of
the Korean Journal of Metals and Materials

Monthly
  • pISSN : 1738-8228
  • eISSN : 2288-8241

Editorial Office


  1. 국립창원대학교 신소재공학부 (Department of Materials Science and Engineering, Changwon National University, Changwon, 51140, Republic of Korea)
  2. 한국재료연구원 내열재료실 (High Temperature Materials Group, Korea Institute of Materials Science, Changwon, 51508, Republic of Korea)
  3. 한국로스트왁스㈜ 기술연구소 (R&D Center, Korea Lost Wax Co. Ltd., Sihung, Republic of Korea)
  4. 한화에어로스페이스㈜ 항공재료연구개발센터 (Aero Materials R&D Center, Hanwha Aerospace, Seongnam, 13488, Republic of Korea)



Single crystal superalloy, Freckle defect, Microsegregation, Rayleigh number, Density inversion

1. 서 론

니켈 기반 단결정 초내열합금은 뛰어난 고온 강도, 크리프 저항성 및 미세조직 안정성으로 인해 항공 및 발전용 터빈 블레이드에 널리 사용된다[1,2]. 최근에는 Re, Ru 등 고용강화 금속원소를 첨가해 성능을 극대화하는 추세이지만, 합금 조성의 복잡성은 응고 거동 예측과 제어를 어렵게 하여 각종 주조 결함의 위험을 높인다[1,3-5]. 그중 프랙클 결함은 단결정 구조 내에 다수의 다결정을 형성하여, 단결정 터빈 블레이드의 수율을 떨어뜨리고, 기계적 특성을 급격히 저하시켜 크리프, 피로 수명을 단축시키는 주된 원인으로 작용한다.

프랙클 결함의 형성 메커니즘은 응고 과정에서 발생하는 수지상 간 액상의 열-조성 대류 현상으로 설명되고 있다[6]. 응고가 진행되는 동안 Al, Ti와 같은 경원소들이 액상으로 편석되면서 부력을 발생시키고, 반대로 Re, W 등의 중원소 편석은 국부적인 밀도 변화를 유발하여 수직 반전층을 형성하게 된다[3,7]. 이러한 밀도 구배로 인해 액상이 수지상 가지들을 분리시키며, 분리된 가지들이 다시 응고되면서 특징적인 프랙클 사슬 구조가 만들어진다[3,10]. 이 현상은 주조물의 외곽 영역이나 후육부처럼 열전달 조건이 불균일한 구역에서 특히 자주 관찰된다[1].

프랙클 형성은 수지상 사이 액상의 밀도 차이에 민감한 특성을 보이기 때문에, 합금의 화학 조성이 이러한 결함 생성 경향을 좌우하는 핵심 인자로 작용한다[1]. Re, W과 같은 무거운 내열금속 원소들은 고상으로 우선 분배되어 액상의 상대적 밀도를 감소시킴으로써 프랙클 발생을 촉진할 수 있다. 반면 Ta와 같이 액상에 농축되기 쉬운 원소는 액상 밀도를 증가시켜 프랙클 형성을 억제하는 효과가 있는 것으로 알려져 있다[3,10]. 이처럼 합금 성분 제어를 통해 액상의 밀도 특성과 원소 분배 거동을 제어함으로써 프랙클 형성 가능성에 상당한 영향을 줄 수 있다는 점이 다수의 연구를 통해 입증되고 있다[4,8].

프랙클 결함 억제는 항공엔진용 및 산업용 단결정 터빈 블레이드의 성능 확보와 제조 수율 향상을 위해 필수적이다[1]. 니켈 기반 단결정 초합금은 항공엔진과 산업용 가스 터빈의 터빈 블레이드 제조를 위한 선호 재료로 사용되고 있으나, Re 등 내열 합금원소 함량 증가로 인해 프랙클 발생 경향이 심화되고 있다. 특히 항공용 블레이드의 정밀한 형상 요구사항과 산업용 대형 블레이드의 균일한 온도 구배 유지 어려움으로 인해 공정 최적화만으로는 한계에 직면한다. 따라서 프랙클 억제 특성을 내재한 합금 설계가 가장 효과적인 해결책으로 제안된다[3].

본 연구에서는 CMSX-4 SLS 합금과 개발 니켈계 단결정 초내열합금을 동일 응고 조건에서 비교 및 분석하여 극한 응고 환경에서도 프랙클 결함을 억제할 수 있는 합금 설계 전략을 제시하였다. CMSX-4 SLS는 고함량 내열금속 원소로 인한 프랙클 발생이 알려져 있으며[9] 본 실험에서도 단결정 터빈블레이드 형상 모델 주조품의 두꺼운 부위(루트부)에서 다수의 프랙클이 관찰되었다. 반면 본 연구에서 개발한 합금에서는 동일 조건에서 프랙클이 발생하지 않았으며, 이는 원소 분포와 액상 밀도 차이에 기인함을 확인하였다. 또한 미세조직 및 성분 분석 결과를 바탕으로 CMSX-4 SLS 및 본 연구 개발합금에 대한 액상 밀도와 분배 거동 차이가 프랙클 형성을 억제하는 메커니즘을 분석하였다.

2. 실험 방법

2.1 합금설계

본 연구에서 개발된 NASX(New Alloy Single Crystal) 초내열합금은 CMSX-4 SLS 합금과 비교하여 Re 함량을 줄이고, Ta, W, Mo 함량을 높여 고온 기계적 강도를 유지하면서 프랙클 민감성을 감소시키도록 설계되었다(표 1). 고밀도 원소인 Ta은 응고 중 수지상 사이 액상에 농축되어 액상 간 밀도 차를 줄이고 부력 구동 대류를 억제한다[10]. Mo는 Re와 상호작용하여 Re의 고상 편석을 완화하고 밀도 구배를 추가로 축소한다[11]. 반면 CMSX-4 SLS는 NASX보다 Al과 Re 함량이 높아 Al의 액상 편석으로 액상이 경량화되고[12], Re, W의 고상 편석은 액상 내 이들 원소의 결핍을 야기하여 머시존 내 액상이 상부 벌크 액상보다 가벼워지는 밀도 역전을 일으켜 프랙클을 유발하는 대류 현상을 초래한다. 또한 낮은 Ta 함량은 이러한 밀도 감소를 충분히 보완하지 못한다. 따라서 NASX 초내열합금은 Ta과 Mo 증량과 Re, W, Al의 최적의 조합을 통해 응고 중 액상 밀도 구배를 최소화하여 프랙클 결함을 효과적으로 방지할 수 있을 것으로 기대된다.

Table 1. Analyzed compositions (at%) of NASX and CMSX-4 SLS alloys

Alloy Co Cr Mo W Al Ti Ta Re Ni
*NASX 17.54 15.64 0.51 Bal.
CMSX-4 SLS 9.9 7.6 0.38 2.12 12.61 1.27 2.18 0.98 Bal.

*NASX: New Alloy Single Crystal Superalloy

2.2 단결정 블레이드 제조

본 연구에 사용된 합금은 CMSX-4 SLS과 본 연구 개발의 NASX 합금이다. 주조는 수직 브릿지만 방식의 방향성 응고 장비(㈜한국로스트왁스)를 이용하였으며, 나선형 결정립 선택기(selector)를 적용한 세라믹 셸 주형에 각 용탕을 주입한 후 4 mm/min의 일정한 속도로 인출하여 단결정 블레이드 모델을 제조하였다. 모델 블레이드 주조품의 개략적인 크기는 가로 140 mm × 세로 180 mm × 두께 15-25 mm이며, 이러한 대형 형상과 불균일한 두께 분포는 프랙클 결함 발생에 취약한 조건을 제공하도록 설계되었다.

Fig. 1. (a) CMSX-4 SLS blade, (b) NASX blade, (c, d) freckle defects on the surface of CMSX-4 SLS blade. (e, f) freckle-free surface of NASX blade.

../../Resources/kim/KJMM.2026.64.1.39/fig1.png

2.3 미세조직 분석

단결정 시편은 마크로 에칭을 이용한 육안검사를 통해 프랙클, 결정립 등을 관찰하였다. 프랙클은 단결정에 육안으로 확인되는 성장방향을 따라 연결된 다결정의 결함으로 정의하였으며, 블레이드 전체에 대한 프랙클 발생 유무를 관찰하였다. 미세조직 관측을 위해 블레이드의 후육부를 포함한 주요 위치에서 시편을 채취하였다. 시편은 Kalling's II(3 g CuCl2, 30 ml HCl, 70ml ethanol)로 에칭하여 횡단면 및 종단면에서 광학현미경(OM, NIKON ECLIPSE MA200)을 이용하여 관찰하였다. 프랙클의 형상은 전계방사형 주사전자현미경(FE-SEM, TESCAN MIRA I LMH)으로 관찰하였으며, EBSD(Electron Backscatter Diffraction)를 통해 프랙클 영역의 결정구조를 분석하였다.

2.4 DSC 실험 (열분석)

각 합금의 열분석은 NETZSCH STA 449 F5 Jupiter 장비를 이용한 Differential Scanning Calorimetry(DSC)로 측정하였다. DSC 분석용 시편은 직경 3mm, 높이 1mm (107 mg)으로 절단하여 Al2O3도가니에 장입한 후 Ar 분위기에서 가열속도 10K/min의 속도로 가열하여 1000°C ~ 1500°C의 온도 범위에서 측정하였다.

2.5 수치 시뮬레이션

Thermo-calc 프로그램의 Ni계 데이터베이스를 사용하여 Scheil–Gulliver 응고 모사를 실시하였다. Scheil 계산 결과로부터 각 원소의 응고 중 분배계수(k), 액상 밀도 변화 등을 계산하였다. ProCAST 모사 프로그램을 통해 블레이드 내 각 지점에서의 온도구배(G)와 응고계면 이동속도(V)를 구하였다.

3. 결과 및 고찰

3.1 미세조직

그림 1 (a), (b)는 각각 CMSX-4 SLS와 NASX 합금으로 주조된 모델 블레이드의 사진이다. CMSX-4 SLS로 주조된 모델 블레이드에서는 일방향응고 조건에서 냉각속도가 느린 후육부, 특히 블레이드 상부와 하부에서 프랙클이 관측되었다. 반면 합금 조성을 최적화한 NASX의 경우 동일한 주조 조건에서도 표면에서 프랙클이 관측되지 않았다. 그림 1(c), (d)는 CMSX-4 SLS 합금 블레이드 표면을 마크로 에칭하여 관측한 결과로, 무질서한 방위를 갖는 미세 결정립들이 길게 이어진 사슬 형태의 프랙클을 육안으로 확인할 수 있다. 반면 그림 1(e), (f)의 NASX 합금 표면에서는 프랙클이 관찰되지 않았다.

그림 2는 CMSX-4 SLS 블레이드에서 관찰된 프랙클의 상세 분석 결과이다. 육안 검사 후 프랙클이 있는 표면을 연삭하여 산화피막을 제거한 뒤 연마 및 에칭하여 미세조직을 관찰하였다(그림 2b). 프랙클 사슬은 많은 미세한 결정립으로 구성되어 있으며, 이들은 모재와 명확히 구별되는 무질서한 결정 방위를 갖고 있다. 그림 2(c)의 EBSD 분석 결과에서도 동일한 프랙클 사슬 내에서 결정 방위가 무작위로 분포되어 있음을 확인할 수 있다. 이러한 고각 입계(일반적으로 15° 이상의 방위차)의 존재로 인해 단결정 블레이드의 결정 연속성이 파괴되어 해당 주조품은 불량품으로 판정된다[13]. Wang 등[13]의 연구에 따르면, 니켈기 단결정 초합금에서 발생한 프랙클 결정립의 약 2/3가 모재와 30~60° 범위의 방위차를 형성하며, 이러한 무작위 방향의 다결정 구조는 크리프 저항성과 기계적 특성을 급격히 저하시킨다.

Fig. 2. (a) Appearance of freckle on the surface of the CMSX-4 SLS blade. (b) Freckle OM image and (c) EBSD image of a freckle chain.

../../Resources/kim/KJMM.2026.64.1.39/fig2.png

3.2 미세 편석 거동

그림 3에서 보는 바와 같이, Thermo-calc 계산을 통해 구한 CMSX-4 SLS 합금의 Re와 W은 높은 분배계수(k>1)를 나타내므로 수지상 중심부로 편석될 것으로 예상된다. 반면 Al과 Mo, Ta는 낮은 분배계수(k<1)를 보이므로 수지상간 영역으로 편석될 것으로 예상된다.

이러한 원소별 분배계수 차이는 프랙클 형성에 직접적인 영향을 미친다. k>1인 Re와 W의 고상 편석은 수지상간 액상에서 이들 중원소의 결핍을 야기하여 액상 밀도를 감소시킨다. 동시에 k<1인 Al과 같은 경원소의 액상 편석은 액상 밀도를 추가로 감소시켜 밀도 역전 현상을 초래한다. 이러한 밀도 역전은 머시존 내 액상과 상부 벌크 액상 사이의 밀도 차이를 유발하여 부력 구동 대류를 발생시키며, 이것이 프랙클 형성의 직접적인 원인이 된다.

NASX 합금에서도 Re와 W은 수지상 중심부로 편석되는 거동을 보이나, CMSX-4 SLS 대비 분배계수가 다소 낮아 편석 정도가 완화될 것으로 판단된다. Al, Mo, Ta는 두 합금 모두에서 유사하게 수지상간 영역으로 편석되는 거동을 나타낼 것으로 예측된다. 두 합금 모두 Re, W의 고상 편석과 Al의 액상 편석으로 인해 프랙클이 발생할 수 있는 조건을 갖추고 있으나, NASX는 Re, Ta, Mo 등의 조성 함량 조절로 액상 밀도 감소가 부분적으로 상쇄되어 프랙클 민감성이 낮아질 것으로 예상된다. 따라서 프랙클 형성 경향은 분배계수 뿐만 아니라 합금 조성에 따른 액상 밀도 변화를 종합적으로 고려하여 평가해야 한다.

Fig. 3. Temperature dependence of the equilibrium partition coefficients (k=Cs/Cl) for (a) CMSX-4 SLS and (b) NASX

../../Resources/kim/KJMM.2026.64.1.39/fig3.png

그림 4는 Scheil 모델을 기반으로 계산한 머시존 내 액상에서의 Ta, Re, W, Mo 원소 농도 변화를 나타낸다. 고상 분율이 0에서 0.5로 증가하는 동안 각 원소의 분배 계수를 이용해 액상 농도 변화를 예측하였다. 계산 결과, 고상 분율 증가에 따라 Re와 W의 액상 농도는 점차 감소하는 반면, Ta는 지속적으로 증가하였으며, Mo는 완만하게 변화하는 것으로 확인되었다. 이는 응고가 진행될수록 머시존 내 수지상간 액상에서 Ta의 농도가 증가함을 의미한다. 앞서 언급한 바와 같이, Ta는 고밀도 원소로서 Re와 W의 고상 편석으로 인한 액상 밀도 감소를 부분적으로 상쇄하는 역할을 한다. 이러한 원소 별 농도 분포는 앞서 제시한 Ta 농축에 의한 밀도 보상 효과와 일치하여 NASX 합금의 프랙클 억제 설계 전략을 실질적으로 뒷받침한다.

Fig. 4. Approximate distributions of Ta, Re, W, and Mo in the mushy zone liquid during solidification for (a) CMSX-4 SLS and (b) NASX alloys.

../../Resources/kim/KJMM.2026.64.1.39/fig4.png

3.2.1. 밀도 변화 비교

그림 5는 각 합금의 고상분율에 따른 수지상간 액상밀도(ρL,ID)와 벌크 액상밀도(ρL,Bulk) 간의 비를 Thermo-Calc로 계산한 것이다. 밀도비가 1보다 작을수록 수지상 간 액상이 벌크 액상보다 가볍다는 것을 의미하며, 이러한 밀도 역전이 클수록 부력 구동 대류가 강해져 프랙클 형성이 촉진된다.

CMSX-4 SLS는 고상 분율 0.2~0.6 영역에서 밀도비가 1 이하로 크게 감소하여 뚜렷한 밀도 역전 구간을 형성한 반면, NASX는 전체 고상분율 구간에서 밀도비 감소폭이 작고 변화가 완만하여 밀도 역전이 크게 완화되었다. 이는 앞서 설명한 Ta의 액상 농축과 Mo의 Re 편석 완화 효과가 실제로 액상 밀도 감소를 효과적으로 상쇄하고 있음을 정량적으로 입증한다. 그 결과, NASX는 머시존 내 액상과 벌크 액상 간의 밀도 차이가 작아 부력 구동 대류가 억제되며, 이는 그림 1에서 확인된 바와 같이 NASX에서 프랙클이 발생하지 않은 실험 결과를 뒷받침한다.

Fig. 5. Comparison of the calculated density ratio profiles during solidification for CMSX-4 SLS and NASX alloys. (a) Density ratio between interdendritic liquid and bulk liquid as a function of solid fraction in CMSX-4 SLS, (b) density ratio between interdendritic liquid and bulk liquid as a function of solid fraction in NASX, (c) comparison of the density ratio profiles of CMSX-4 SLS and NASX.

../../Resources/kim/KJMM.2026.64.1.39/fig5.png

3.3 ProCAST 모사

그림 6은 동일한 주조 조건임에도 불구하고 CMSX-4 SLS에서 프랙클이 발생한 원인을 체계적으로 분석하기 위해 ProCAST 시뮬레이션을 통해 블레이드 내 A~L 각 지점에서의 온도구배(G)와 응고계면 이동속도(V)를 구하였다. 특히 두꺼운 후육부(B, J, K 지점)에서 온도구배가 상대적으로 낮아, 프랙클이 쉽게 발생할 수 있는 열적, 구조적 조건임이 확인되었다. 실제 주조 실험에서도 NASX에서는 프랙클이 관측되지 않은 반면, CMSX-4 SLS의 후육부에서는 명확한 프랙클 형성이 확인되었다(그림 1). 이는 CMSX-4 SLS의 경우 앞서 분석한 바와 같이 수지상 간 액상과 벌크 액상 간의 큰 밀도 차이로 인해 동일한 온도 구배 조건에서 프랙클이 형성된 반면, NASX는 상대적으로 밀도 저하가 완화되어 프랙클 형성에 필요한 임계 조건에 도달하지 않았기 때문으로 판단된다. 이 결과는 NASX의 합금 조성 최적화에 기인한 밀도 역전 완화가 실질적으로 프랙클 방지에 기여했음을 보여준다.

Fig. 6. (a) Simulated temperature gradient profile obtained from ProCAST (b) Schematic of the blade showing the designated points (A–L) used for extracting thermal data for Rayleigh number calculation

../../Resources/kim/KJMM.2026.64.1.39/fig6.png

3.4 DSC 열분석

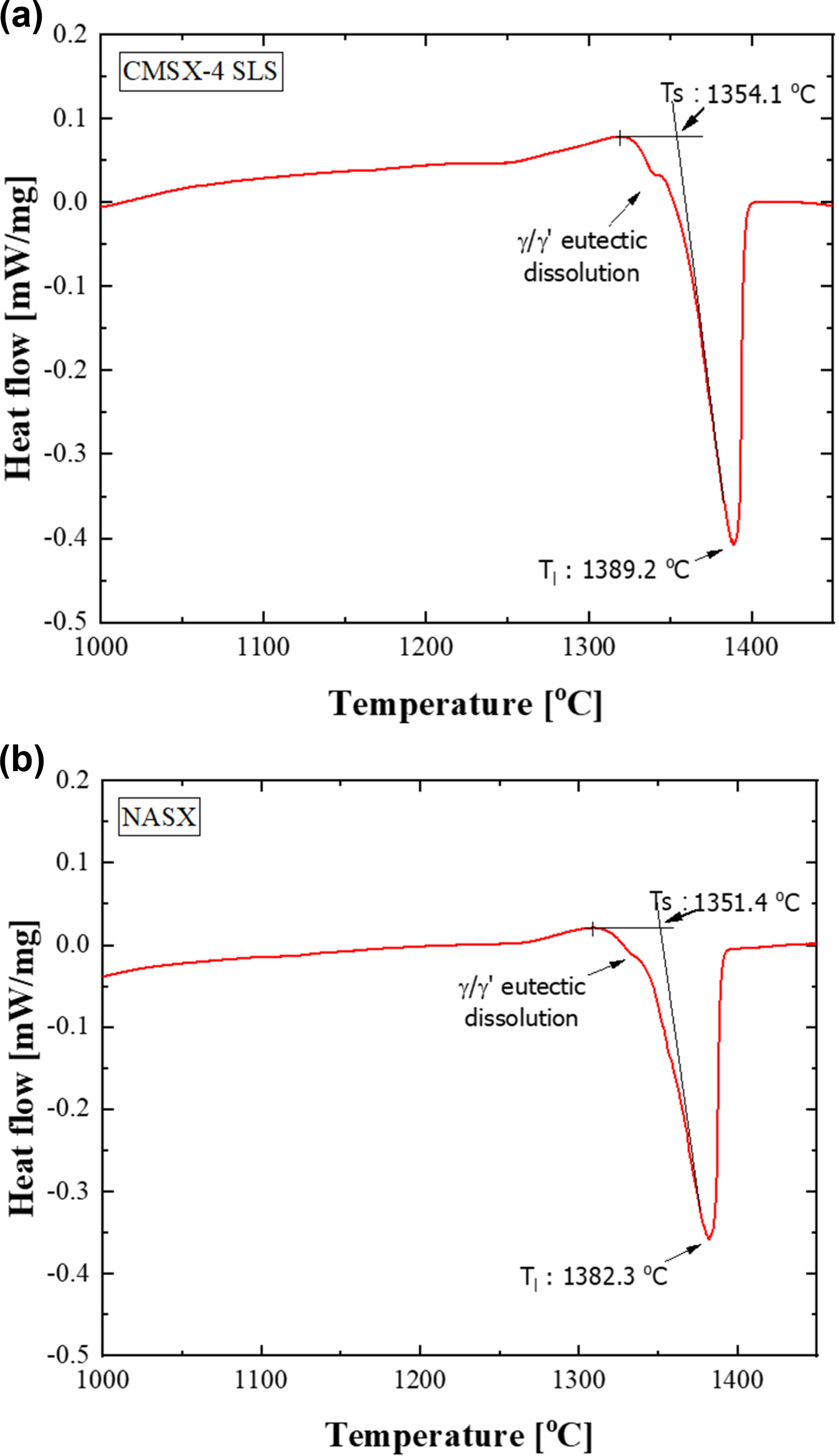
그림 7은 CMSX-4 SLS 및 NASX 합금의 DSC 승온 곡선을 나타내며, 응고 구간 폭(ΔTo)을 정량화하였다. 각 곡선에서 기준선과 흡열 반응 시작점(onset)이 만나는 지점을 고상선 온도(Ts)로, 흡열 피크의 최대치를 보이는 지점을 액상선 온도(Tl)로 정의한 뒤 ΔTo = Tl - Ts를 계산한 결과, CMSX-4 SLS는 Ts = 1354.1°C, Tl = 1389.2°C로 ΔTo = 35.1 °C였으며, NASX는 Ts = 1351.4 °C, Tl = 1382.3 °C로 ΔTo = 30.9 °C였다. 이처럼 NASX는 CMSX-4 SLS에 비해 약 4.2 °C 좁은 응고 구간을 보여 열-조성 대류 안정성이 향상되며, 앞서 언급한 조성 최적화로 인한 밀도 역전 완화와 결합되어 프랙클 민감성 저감에 기여할 것으로 판단된다.

Fig. 7. DSC heating curves for (a) CMSX-4 SLS and (b) NASX

../../Resources/kim/KJMM.2026.64.1.39/fig7.png

3.5 프랙클 맵

그림 8에는 온도구배 G와 응고속도 V가 프랙클 발생에 미치는 영향을 프랙클 맵 형태로 나타내었다. 프랙클이 발생하지 않은 조건은 'O'로(그림 6의 A, C~F, L 지점), 발생한 조건은 'X'로 표시하였으며(그림 6의 B, J, K 지점), 각 점의 좌표는 그림 6(b)에서 정의한 블레이드 내 지점별 온도구배와 응고속도를 의미한다. 곡선은 프랙클 한계 경계를 경험적, 수치적으로 도출한 것으로, 우선 수치 계산에서는 식(1)을 이용하였다[16].

(1)
$GV = \frac{\Delta T_o}{\Delta t^*}$

여기서 G는 온도구배(K/mm), V는 응고계면 이동속도(mm/min), ΔTo는 고상선 및 액상선 온도차이(K), Δt*는 머시존에서 국부적 응고 시간(min)이다. ΔTo는 DSC 승온 실험(그림 7)에서 얻은 액상선–고상선 온도차이를 구하였고, Δt*는 머시존의 길이를 ProCAST로 측정한 응고 계면 이동 속도로 나눈 값이다. Δt* 값은 일방향 응고 시험에서 속도 별 실험 결과로 얻은 머시존 길이를 최소자승법으로 피팅한 후, 그 평균값을 계면 속도로 나누어 결정하였다. Experimental 프랙클 경계선(점선)은 이러한 계산 결과를 바탕으로 프랙클 발생 경계를 설정한 실험적 임계선이다.

그림 8에서 NASX의 임계 곡선이 CMSX-4 SLS보다 낮은 위치에 있음은 동일한 온도구배와 응고속도 조건에서 NASX의 프랙클 민감성이 더 낮음을 의미한다. 특히 후육부인 B와 J, K 지점은 비교적 낮은 냉각속도(G×V) 영역에 위치하여 임계 곡선 아래의 위험 영역에 속함을 알 수 있다. 다만 프랙클 맵은 국소적 온도구배와 응고속도의 상관관계에만 기반하므로, 실제 프랙클 형성 거동을 정밀히 예측하기 위해서는 머시존 내부의 열–조성 대류 안정성, 즉 복합적인 물리 현상을 반영한 추가적인 수치 해석 및 이론적 검토가 필요하다.

Fig. 8. Freckling map showing the effect of temperature gradient and growth rate on the freckles formation.

../../Resources/kim/KJMM.2026.64.1.39/fig8.png

Table 2. Physical properties of CMSX-4 SLS and NASX superalloys.

Parameter unit CMSX-4 SLS NASX Reference
Liquidus temperature (Tm, °C) 1389.2 1382.3 This study by DSC
Solidus temperature (Ts, °C) 1354.1 1351.4 This study by DSC
Solidification interval (ΔTo) 35.1 30.9 This study by DSC
Diffusion coefficient of solute in liquid (DL, m2/s) 3 × 10-9 [14, 15]
Gibbs-Thompson coefficient (Γ, m·°C) 1.8 × 10-7 [14, 15]
Solid-liquid segregation coefficient (k0) 0.54 0.57 This study by thermo calc.

3.6 Rayleigh Number calculation

CMSX-4 SLS와 NASX 합금의 프랙클 결함 형성을 예측하기 위해 Beckermann 등이 제안한 머시존 내 Rayleigh 수(Rah)를 계산하였다. Rayleigh 수는 조성에 의한 부력(Δρ/ρo)과 중력 가속도(g), 평균 투과도($\overline{K}$) 및 특성 높이(h)로 구성된 부력 항과 열확산도(α) 및 운동점성도(ν)로 구성된 저항 항의 비로 정의되며 식(2)로 나타낸다. 본 연구에서 αν 값은 Beckermann 등이 제시한 5×10-12 m4/s2를 근사값으로 사용하였다[17].

(2)
$Ra_h = \frac{(\Delta\rho/\rho_o)g\overline{K}h}{\alpha v}$

여기서 아래첨자 h는 머시존 내 높이 h를 따라 평균화 된 값을 의미한다. h는 단상 액체와 머시 영역의 계면, 즉 수지상으로부터 아래 방향으로 측정되며(그림 9), 머시존의 전체 높이를 H라고 할 때 h는 0 $\le$ h $\le$ H 범위에서 변화한다.

주어진 온도 구배 G에 대해 머시존 내 특정 위치의 높이 h는 액상선 온도 Tl과 국소 온도 T 사이의 관계를 통해 다음과 같이 표현된다.

(3)
$h = \frac{T_l - T_h}{G}$

상대 밀도차 Δρ/ρ0는 머시존 상단의 액체 밀도 ρ0와 높이 h 지점의 액체 밀도 ρ(h)를 이용해 다음과 같이 정의된다.

(4)
$\frac{\Delta\rho}{\rho_o} = \frac{\rho_o - \rho(h)}{\rho_o}$

머시존의 평균 투과도 $\overline{K}$는 Kozeny–Carman 모델을 바탕으로 다음과 같이 주어진다.

(5)
$\overline{K} = K_0 \cdot \frac{(1 - \overline{\epsilon_s})^3}{\overline{\epsilon_s}^2}$

여기서 K0 = 6×10-4 ·λ12, λ1은 1차 수지상 간격이다[18]. 평균 고상 분율 $\overline{\epsilon_s}$는 다음과 같이 정의된다.

(6)
$\overline{\epsilon_s} = \frac{1}{h} \int_{0}^{h} \epsilon_s(y)dy$

여기서 y는 머시존의 상단 계면으로부터 아래 방향으로 측정된 깊이이다(그림 9). 만약 고상분율이 온도의 함수 εs(T)로 주어질 경우, 변수 변환을 통해 식(6)을 다음과 같이 온도 기반 표현으로 대체할 수 있다. 이때 Tl은 액상선 온도이다.

(7)
$\overline{\epsilon_s} = \frac{1}{T_l - T_h} \int_{T_h}^{T_l} \epsilon_s(T)dT$

이는 Thermo-calc계산으로부터 얻은 εs(T) 데이터를 직접 활용할 수 있다는 장점이 있다.

Beckermann 연구에서는 1차 수지상 간격은 Schneider등[18]이 제안한 다음 식을 사용하여 계산하였으나, 본 연구에서는 경험적 관계식 대신 이론적 모델에 기반한 식(8)를 사용하였다. 1차 수지상에 대한 이론적 분석은 Kurz[19]에 의해 제시되었으며, 이에 따라 사용된 식은 다음과 같다.

(8)
$\lambda_1 = \frac{4.3(\Delta T_0 D \Gamma)^{0.25}}{k^{0.25} V^{0.25} G^{0.5}}$

여기서 k는 분배계수이며 각 원소의 분배계수는 Thermo-calc로 계산하였고 합금 전체 분배계수는 Gu et al.에서 제시된 방법을 참고하여 계산하였다[20]. D는 확산 계수, ΔTo는 수지상 선단과 기저부 사이의 온도 차이, Γ는 Gibbs-Thompson 계수이다. G, V는 각각 온도구배와 응고 속도로서 앞서 ProCAST 계산을 통해 도출된 각 지점의 값을 적용하였다. 각 변수에 사용된 값은 표 2에 나타냈다.

그림 10은 블레이드 각 지점(A~L)에서 계산한 Rayleigh 수의 고상분율 의존성을 보여준다. 두 합금 모두 고상분율이 약 0.15~0.20 부근에서 Rayleigh 수가 최대값에 도달한 후 감소하는 경향을 나타내는데, 이는 고상분율 증가에 따라 조성 편차로 인한 밀도 역전(부력 항)이 증가하는 반면 투과도(저항 항)는 급격히 감소하기 때문이다. 이러한 최대값은 머시존 내부에서 부력이 투과 저항을 가장 크게 상회하는 위치로서, 유동 채널이 형성되기 가장 용이한 영역을 나타낸다. 반면 수지상 선단 부근에서는 부력 자체가 미미하고, 머시존의 깊은 영역에서는 투과도가 지나치게 낮아 유동이 억제되어 불안정성이 발생하기 어렵다. 따라서 최대 Rayleigh수는 프랙클 민감성을 평가하는 유용한 단일 물리적 지표로 활용될 수 있다.

본 연구에서는 두 합금의 고상 분율에 따른 Rayleigh 수 계산 결과(그림 10)에서 고상 분율 약 0.15~0.20 부근에서 Rayleigh 수가 최대임을 확인하였다. 이를 바탕으로 최대 Rayleigh 수가 나타나는 고상 분율 조건에서의 물성치를 적용하여 블레이드 A–L 각 지점의 Rayleigh 수를 계산하였으며, 실험에서 프랙클이 관찰된 조건은 ‘ꭓ’ 기호로 표시하였다(그림 11).

계산 결과, 프랙클이 실제로 관찰된 B와 J, K 지점에서 높은 Rayleigh 수 값을 나타냈다. 전체적으로 CMSX-4 SLS가 NASX보다 높은 값을 보였으며, 이러한 경향은 각 합금의 미세 편석 거동 및 Thermo-Calc 기반 밀도 역전 분석 결과와 일치하여 이론-실험 통합 모델의 타당성을 뒷받침한다.

또한, 프랙클 발생 여부가 Rayleigh수 뿐만 아니라 Pollock과 Murphy가 제안한 열적 매개변수와도 높은 상관성을 보였다[10]. 두 기준 모두 프랙클 형성-비형성 전이 구간에서 유사한 경향을 나타내며, 실험 관측 결과와 잘 일치함을 확인하였다.

분석 결과, 프랙클 형성-비형성 전이에 해당하는 임계 Rayleigh수는 약 0.011으로 판단되며, 본 연구에서 측정된 G-1/2V-1/4임계값은 약 0.7 cm1/4s1/4K-1/2로 나타났다. 이는 Pollock과 Murphy가 SX-1 합금에 대해 제시한 0.95 cm1/4s1/4K-1/2와는 차이를 보인다[10].

이러한 차이는 합금 조성에 따른 본질적인 특성 변화로 해석할 수 있다. Pollock과 Murphy[10]의 연구가 SX-1 합금에 기반한 반면, 본 연구에서 사용된 개발합금과 CMSX-4 SLS와는 상이한 조성적 특성을 가진다. 실제로 니켈기 초합금의 방향응고 연구에서 동일한 응고 조건에서도 합금별로 서로 다른 물성과 미세조직 특성을 보이는 것으로 알려져 있다[21]. 결과적으로 동일한 열적 조건에서도 합금별로 서로 다른 프랙클 형성 임계값을 가지게 된다.

이는 순수 열적 기준의 근본적 한계를 보여주며, 합금 조성을 자동으로 고려할 수 있는 Rayleigh 수 기준의 필요성을 더욱 부각시킨다. Beckermann 등[17]이 지적한 바와 같이, 열적 기준의 상수값은 합금 조성에 따라 달라질 수밖에 없으며, 이는 범용적 예측 도구로서의 활용을 제한한다.

Fig. 9. Schematic of the solidification system

../../Resources/kim/KJMM.2026.64.1.39/fig9.png

Fig. 10. Variation of the Rayleigh number with solid fraction for each point (A~L) (a) CMSX-4 SLS (b) NASX.

../../Resources/kim/KJMM.2026.64.1.39/fig10.png

Fig. 11. Rayleigh numbers for CMSX-4 SLS and NASX superalloys as a function of thermal parameter G-1/2V-1/4 [cm1/4s1/4K-1/2]. Circles indicate no freckles, crosses indicate freckle formation.

../../Resources/kim/KJMM.2026.64.1.39/fig11.png

4. 결 론

본 연구에서는 CMSX-4 SLS 합금과 개발된 NASX 합금을 대상으로 합금 조성이 프랙클 결함 형성에 미치는 영향을 체계적으로 분석하였으며, 다음과 같은 결론을 도출하였다.

1) 프랙클 결함 발생은 응고 중 원소의 미시편석 거동 및 액상 밀도 변화와 밀접한 관련이 있었다. CMSX-4 SLS 합금은 Re, W의 고상 집중 편석 및 Al의 액상 농축으로 인해 밀도 역전 현상이 발생하였고, 이로 인한 상향 대류가 프랙클 형성을 유발하였다.

2) NASX 합금은 CMSX-4 SLS 대비 Re와 Al 함량을 감소시키고 Ta 및 Mo 함량을 증가시켜 열-조성 대류를 효과적으로 억제하였다. 특히 Ta는 고밀도 원소로서 수지상간 영역에 농축되어 액상으로 편석된 Al에 의한 액상 밀도 저하와 Re, W등의 고상 편석 원소들의 결핍으로 인한 액상 밀도 저하를 상쇄할 수 있을 만큼 충분한 함량으로 액상 밀도를 효과적으로 증가시켰다. 또한 Mo는 Re의 고상 편석을 완화하여 액상 내 밀도 변화를 완충하는 역할을 하였다.

3) Thermo-Calc 계산을 통해 NASX는 CMSX-4 SLS 대비 수지상간 액상과 벌크 액상 간의 밀도비 변화가 완만하며 밀도 역전 구간이 축소됨을 확인하였다. 또한 ProCAST 시뮬레이션 결과, 블레이드 각 지점에서의 온도구배와 응고속도 분석을 통해 CMSX-4 SLS의 후육부는 프랙클 형성에 취약한 낮은 냉각속도 조건임이 밝혀졌다. 이러한 해석 결과는 실제 주조 실험과 일치하여, NASX에서는 프랙클이 전혀 관찰되지 않은 반면 CMSX-4 SLS는 후육부에서 명확한 프랙클 결함이 발생하였다.

4) Rayleigh 수 분석을 통해 프랙클 발생의 임계 조건(Racrit ≈ 0.011)을 설정하였으며, NASX 합금은 이 임계값을 하회하여 안정적인 응고 특성을 나타내었다. 이러한 임계값은 본 연구에서 사용된 단결정 초내열합금에서 프랙클 발생 가능성을 정량적으로 예측할 수 있는 기준을 제공한다. 앞서 구축한 프랙클 맵의 경우 국소적 온도구배와 응고속도만을 고려한 정성적 평가 도구로서, 합금 조성에 따른 밀도 변화와 같은 물성 차이를 직접적으로 반영하지 못하는 한계를 갖는다. 따라서 합금 설계 관점에서 프랙클 억제 효과를 정량적으로 평가하기 위해서는 Rayleigh 수에 따른 해석이 보다 유용한 도구로 판단된다.

감사의 글

본 연구는 핵심기술 연구개발과제(무기체계 패키지형) “터보샤프트엔진 동력터빈 핵심부품소재 장수명화 개발 기술(KRIT-CT-22-055-04)”에 의한 연구임을 밝히며, 이에 감사드립니다.

REFERENCES

1 
Ma D., Li L., Zhao Y., Deng Y., Cheng B., Xu F., Metals, 14, 1129 (2024)Google Search
2 
Harris K., Wahl J. B., Superalloys 2004 (eds. K. A. Green, T. M. Pollock, H. Harada, T. E. Howson, R. C. Reed, J. J. Schirra, and S. Walston), 45-52, TMS (2004)Google Search
3 
Auburtin P., Cockcroft S. L., Mitchell A., Superalloys 1996 (eds. T. D. Kissinger, D. J. Deye, D. L. Anton, A. D. Cetel, M. V. Nathal, T. M. Pollock, and D. A. Woodford), 443-450, TMS (1996)Google Search
4 
Yang W., Chen W., Chang K.M., Mannan S., deBarbadillo J., Morita K., Superalloys 718, 625, 706 and Various Derivatives (ed. E. A. Loria), 113-122, TMS (2001)Google Search
5 
Kim K.M., Jeong Y.-S., Kiran D.V., Kwon S.-H., Seo S.-M., Chun E.-J., Korean J. Met. Mater., 62, 22 (2024)DOI
6 
Auburtin P., Cockcroft S. L., Mitchell A., Wang T., Superalloys 2000 (eds. T. M. Pollock, R. D. Kissinger, R. R. Bowman, K. A. Green, M. McLean, S. Olson, and J. J. Schirra), 255-261, TMS (2000)Google Search
7 
Schadt R., Wagner I., Preuhs J., Sahm P. R., Superalloys 2000 (eds. T. M. Pollock, R. D. Kissinger, R. R. Bowman, K. A. Green, M. McLean, S. Olson, and J. J. Schirra), 211-218, TMS (2000)Google Search
8 
Park Sanghyeon, Gu Jiho, Lee Jehyun, Korean J. Met. Mater., 63, 132 (2025)DOI
9 
Li Q., Shen J., Xiong Y., Qin L., Yue X., Materials Letters, 228, 281 (2018)Google Search
10 
Pollock T. M., Murphy W. H., Met. Mater. Trans. A, 27A, 1081 (1996)Google Search
11 
Ai C., Liu L., Zhang J., Guo M., Li Z., Huang T., Zhou J., Li S., Gong G., Liu L., J. Alloys Compd., 754, 85 (2018)Google Search
12 
Giamei A. F., Kear B. H., Metall. Trans., 1, 2185 (1970)Google Search
13 
Wang S., Jia Y., Wang Y., Zhang Y., Ma L., Cheng F., Zeng Y., Shen X., Du Y., Ge B., Microstructure, 4, 2024006 (2024)Google Search
14 
Liang Y.-J., Li A., Cheng X., Pang X.-T., Wang H.-M., J. Alloys Compd., 688, 133 (2016)Google Search
15 
Liu Y., Wang F., Ma D., Yang Q., Wang W., Yu X., Zhao Y., Dong H., Liu Y., Li D., Acta Mater., 266, 119702 (2024)Google Search
16 
Sims C., Stolloff N., Hagel W., Superalloys II, 195, John Wiley & Sons (1987)Google Search
17 
Beckermann C., Gu J. P., Boettinger W. J., Met. Mater. Trans. A, 31A, 2545 (2000)Google Search
18 
Schneider M. C., Gu J. P., Beckermann C., Boettinger W. J., Kattner U. R., Met. Mater. Trans. A, 28A, 1517 (1997)Google Search
19 
Kurz W., Fisher D. J., Acta Metall., 29, 11 (1981)Google Search
20 
Gu J., Jung H., Lee J., Yoon H., Seo S., Jo C., Lee J., Korean J. Met. Mater., 56, 674 (2018)DOI
21 
Wagner A., Shollock B.A., McLean M., Mater. Sci. Eng. A, 374, 270 (2004)Google Search