최지원
(Ji Won Choi)
1
김지영
(Ji Young Kim)
1
김영민
(Youngmin Kim)
1
이의선
(Eui Seon Lee)
1
오승탁
(Sung-Tag Oh)
1,*
-
서울과학기술대학교 신소재공학과
(Department of Materials Science and Engineering, Seoul National University of Science
and Technology, Seoul 01811, Republic of Korea)
Copyright © The Korean Institute of Metals and Materials
Keywords
Freeze casting, Porous W, Camphene, Tert-butyl alcohol, Pore structure
1. 서 론
재료 내부에 존재하는 기공이 외부표면과 연결된 형태인 개기공을 갖는 다공성 금속은 오염물질 분리용 필터, 열교환기 재료 및 에너지 흡수재 등과 같은
환경∙에너지 분야에서 다양하게 사용되고 있다[1]. 이러한 다공체는 유체 투과 저항계수가 작고 큰 비표면적을 가지는 것이 유리하기 때문에 성능향상과 다양한 응용을 위해서는 기공의 양, 기공크기 및
형상, 배향성 등의 정밀한 제어가 요구된다[2,3].
일반적으로 개기공을 가지는 금속 다공체는 고분자와 같이 고온 열처리 과정에서 분해됨으로써 소결체 내에 기공을 형성하는 물질을 이용하는 기공 형성제
공정[4], 용융 상태의 금속에 기체를 용해시킨 후 한쪽 방향으로만 응고시키면서 기체를 배출해 기공을 형성하는 일방향 응고법[5] 등이 사용되고 있다.
최근에는 방향성을 갖는 개기공과 미세기공이 동시에 존재하는 다공성 구조를 만들 수 있는 동결주조(freeze casting) 법이 많은 주목을 받고
있다[6-8]. 동결주조는 고체분말이 포함된 액체 상태의 동결제를 일방향으로 응고하여 고체 상태의 결정으로 변환시킨 후, 이를 승화처리로 제거하고 소결을 통해
다공체로 제조하는 공정이다. 일방향 응고된 동결제 결정은 기공형성을 위한 템플릿의 역할을 하기 때문에 동결주조로 제조한 다공체는 방향성의 개기공을
포함하고 있으며, 동결제의 종류, 고체분말 함량 및 동결온도 등에 따라 기공의 양, 형상 및 크기 등 기공구조를 다양하게 제어할 수 있는 장점이 있다.
한편 기공의 형상은 승화과정으로 제거되는 동결제 템플릿의 고체결정 구조에 직접적으로 의존하기 때문에 요구되는 기공구조를 위해서는 적절한 동결제의 선택이
필요하다.
동결주조에 사용되는 대표적인 동결제로는 H2O, camphene 및 tert-butyl alcohol 등이 있으며 대표적인 물성과 결정형상을 표 1에 나타내었다. H2O는 친환경 물질이라는 장점이 있지만, 증기압이 낮아 동결제의 승화에 어려움이 있고 응고 시 약 9%의 부피팽창으로 시편의 변형이 발생한다는 단점이
있다[6]. Camphene과 TBA는 H2O와 비교하여 상대적으로 높은 증기압과 응고 시 부피변화가 작아 동결제 제거와 형상 안정성을 갖는 다공체 제조에 유리하며, 응고된 동결제의 결정은
각각 수지상 및 육각형 기둥의 모양을 나타내기 때문에 다공체 내 다양한 기공 구조를 구현하는데 적합하다[9-11]. 따라서 camphene과 TBA를 동결제로 이용하는 동결주조 공정은 ZrO2, Al2O3 등 세라믹 계 다공체 제조에 적용되고 있으나, 다공성 금속 계는 높은 분산안정성을 갖는 슬러리 제조에 어려움이 있어 다양한 적용에 한계가 있다.
기존연구에서는 금속산화물을 원료분말로 사용하고, oligomeric polyester 등을 분산제로 첨가하여 분산안정성을 갖는 슬러리를 제조한 다음
동결주조 및 수소분위기에서 열처리하여 다양한 금속 다공체로 제조하는 공정을 보고한 바 있다[12,13]. 그러나 분산안정성은 원료분말의 특성뿐만 아니라 슬러리의 pH 및 이온 강도 등에 영향을 미치는 분산제의 종류와 양에도 의존함으로, camphene과
TBA와 같은 비수계(non-aqueous) 동결제에 다양한 유기계 분산제를 적용하고 그 효과를 분석하는 연구가 요구된다. 또한 3422°C의 고융점을
갖는 W의 치밀화 거동을 고려할 때, 동결주조 공정으로 제조된 다공체의 기공구조 및 고체 지지대(strut)의 미세조직 특성에 미치는 소결온도의 영향에
대한 분석이 필요하다.
따라서 본 연구에서는 요구되는 성능을 만족하는 다공체 제조를 위해 소결온도, 분산제 및 동결제 종류가 슬러리의 분산안정성 및 기공 특성에 미치는 영향을
체계적으로 분석하고자 하였다. 실험계로 W 다공체를 선택하여 WO3 분말을 혼합한 camphene 및 TBA 슬러리의 분산안정성에 미치는 분산제의 영향과 동결주조로 제조한 다공체의 기공구조를 분석하여 동결제의 종류
및 공정조건이 기공특성에 미치는 영향을 해석하고자 하였다.
Table 1. Properties of various sublimable vehicles
|
Sublimable vehicles
|
Melting point (°C)
|
Viscosity (liquid)
|
Volume change during solidification
|
Vapor pressure (solid)
|
Solidified crystal morphology
|
|
Water
|
0
|
1.0 mPa·s (20°C)
|
+9%
|
1 mm Hg (-20°C)
|
Dendrite
|
|
Camphene
|
47
|
1.4 mPa·s (47°C)
|
-3.1%
|
3 mm Hg (25°C)
|
Dendrite
|
|
Tert-butyl alcohol
|
25.3
|
3.38 mPa·s (30°C)
|
+2%
|
46 mm Hg (25°C)
|
Straight prisms (Hexagonal)
|
2. 실험 방법
원료분말로는 평균 입자크기 0.2 μm, 순도 99.9%의 WO3(Kojundo Chemical Lab. Co.)을 사용하였다. 원료분말은 미세화 및 응집체 제거를 위해 직경 5 mm의 stainless steel
볼을 이용하여 에탄올 용액 내에서 5시간 동안 밀링하였다. 밀링한 분말은 건조기에서 에탄올을 제거한 후 동일한 조건으로 건식 밀링하였다. 동결제로
Sigma-Aldrich의 camphene(순도 95%)과 TBA(순도 99.5%)를 각각 사용하여 10 vol%의 WO3 분말이 첨가된 슬러리를 제조하였다. 슬러리의 분산안정성을 위한 분산제로는 camphene의 경우 1 wt% Hypermer KD-4, TBA는 5
wt% polyethylene glycol과 1 wt% citric acid를 사용하였다. 동결제는 각각의 융점보다 높은 온도로 가열한 액체 상태에서
첨가물들과 함께 12시간 동안 볼 밀링하여 균일한 슬러리로 제조한 후, 하부가 -20 °C로 냉각된 Teflon 금형에서 3시간 동안 동결하여 높이
약 40 mm, 직경 15 mm의 동결체로 제조하였다. Camphene을 동결제로 사용한 시편은 -20 °C에서 24시간 동안 진공 분위기에서 승화
처리하였으며, TBA를 사용한 경우는 상온에서 48시간 동안 승화시켜 동결제를 제거하였다. 동결건조한 시편은 승온 속도 2 °C/min으로 1500
°C까지 가열하여 4시간 동안 수소분위기에서 환원 및 소결하였다.
원료 및 볼 밀링한 분말의 크기는 동적광산란 입도분석기(DLS, nanoSAQLA, Otsuka)를 이용하여 측정하였으며, camphene 및 TBA
슬러리의 분산 안정성은 분산안정화도 분석기(Turbiscan, Formulaction)로 평가하였다. WO3 분말의 환원 거동은 열중량분석기(TGA, Thremo plus EVO2, Rigaku)를 이용하여 순도 99.999%의 수소분위기에서 3°C/min의
승온속도로 1000 °C까지 가열하며 무게변화를 측정하여 해석하였다. 분말 및 소결한 다공체의 미세조직은 주사전자현미경(SEM, JSM- 6700F,
JEOL)을 이용하여 분석하였다. 소결한 다공체의 기공도는 Archimedes 원리를 이용하여 측정하였으며 상대밀도 100%일 때의 W 밀도는 19.25
g/cm3으로 계산하였다.
3. 결과 및 고찰
원료로 사용된 WO3 분말을 습식 및 건식으로 볼 밀링하여 얻은 분말은 그림 1의 SEM 사진과 같이, 전체적으로 둥근 모양(nodular)의 미세한 입자들로 구성되어 있으며 일부에서는 응집체로 존재함을 알 수 있다.
Fig. 1. SEM image of ball-milled WO3 powder.
그림 2는 밀링 전후의 입도분포를 나타낸 것으로, 원료분말은 미세한 입자와 커다란 응집체가 존재하는 다중 입도분포를 나타내나 볼 밀링한 경우에는 최대크기
약 400 nm 이하의 입자들로 구성된 전형적인 정규분포를 보여준다. 따라서 본 연구에서는 5시간 동안 볼 밀링한 균일한 크기의 WO3 분말을 슬러리 제조에 이용하였다.
Fig. 2. Particle size distribution of the as-received and ball-milled WO3 powders.
그림 3은 WO3 분말이 첨가된 동결제 슬러리에서 분산제 첨가에 따른 분산 안정성의 변화를 Turbiscan으로 측정한 결과이다. 그림에서 TSI(Turbiscan
stability index) 값은 슬러리가 담긴 시료 병의 일정위치에서 변화하는 후방산란율의 면적을 적분하여 시간에 따라 누적시킨 것으로[14], TSI 값이 작을수록 분산안정성이 우수함을 나타낸다. 그림 3(a) 및 (b)에서 보여주는 바와 같이 분산제를 첨가한 camphene 및 TBA 슬러리는 모든 측정시간 범위에서 상대적으로 낮은 TSI 값을 나타낸다. 이는 기존에
citric acid를 분산제로 사용한 TBA 슬러리와 비교하여 상대적으로 작은 값으로[13], 본 실험에서 사용한 1 wt% Hypermer KD-4와 5 wt% polyethylene glycol/1 wt% citric acid 분산제는
WO3 분말과 혼합된 camphene과 TBA 슬러리의 분산 안정성 향상에 기여함을 확인할 수 있다.
Fig. 3. Turbiscan stability index for (a) camphene and (b) TBA slurries with or without
dispersant.
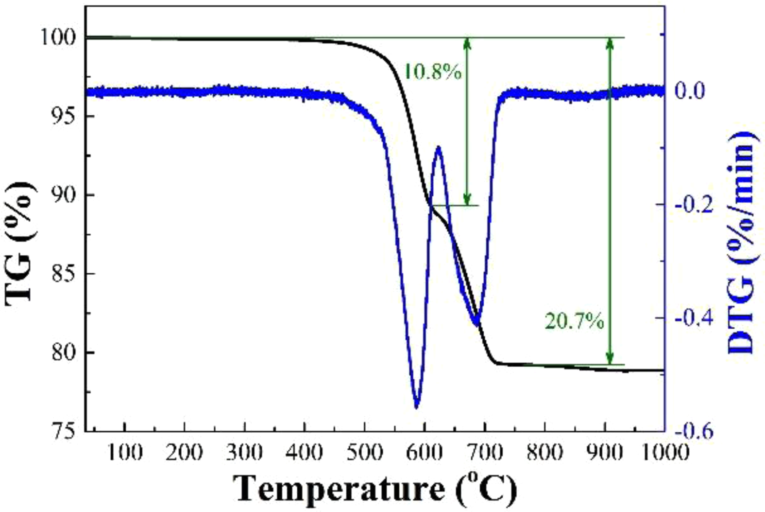
동결주조한 WO3 분말은 최종적으로 수소분위기에서의 열처리를 통해 W 다공체로 제조된다. 따라서 원료분말의 환원거동을 이해하기 위해 TGA를 이용하여 고순도의 수소분위기에서
온도증가에 따른 무게변화를 분석하였다. 그림 4는 온도변화에 따른 WO3 분말의 무게변화를 계산한 백분율(TG)과 이를 시간으로 미분한 값(DTG)을 나타낸 결과이다.
Fig. 4. TG-DTG curves for the hydrogen reduction of the ball-milled WO3 powder, obtained at a scanning rate of 3 °C/min.
밀링한 원료분말의 무게감소는 약 450 °C부터 시작되어 580 °C와 690 °C에서 최대 무게변화율을 나타내며, 710 °C 이상에서는 일정한
값인 20.7%를 보여주었다. WO3가 금속 W로 환원될 경우 이론적인 무게감소의 백분율은 20.7%이며 이 값은 그림 4의 분석결과와 일치한다. 한편, 그림에서 관찰되는 두 개의 최대 무게변화율 피크는 주로 산화물의 단계적 환원에 기인한 것이며, 이는 WO3가 약 580 °C에서 WO2상으로 환원되고 계속해서 약 690 °C의 고온영역에서 WO2가 W상으로 환원된다는 기존의 논문보고와 잘 일치한다[15]. 따라서 본 실험에서의 소결조건인 1500 °C의 수소분위기에서 4시간 동안의 가열을 통해 순수한 W 다공체로의 제조가 가능함을 보여준다.
그림 5는 하부 금형을 -20 °C로 냉각한 상태에서 10 vol% WO3 분말을 함유한 슬러리를 동결건조한 후 승화 및 소결 공정을 거쳐 제조한 다공체의 미세구조를 나타낸 것이다.
Fig. 5. SEM micrograph of a cross-section parallel to the macroscopic (a) camphene
and (b) TBA growth direction for the porous W with an initial WO3 content of 10 vol%, sintered at 1500 °C for 4 h. Insets show magnified views.
Camphene 및 TBA를 동결제로 사용한 다공체의 기공도는 각각 75.6% 및 77.6%이며, 이는 표 1과 같이 응고 시 부피변화와 기공구조 차이에 기인한 것으로 해석된다. 소결한 모든 다공체에서는 동결주조 방향과 평행한 배향성의 거대기공이 관찰되며,
이는 슬러리의 응고열이 우선적으로 금형하부로 방출되기 때문에 반대방향인 상부로 동결제가 일방향 응고되고 계속해서 건조과정을 통해 제거되었기 때문이다[7]. 한편, 그림 5(a)와 (b)의 확대한 사진과 같이 camphene을 사용한 W 다공체는 응고 방향을 따라 전형적인 수지상(dendrite)의 구조를 나타내나 TBA의 경우는
규칙적으로 정렬된 단방향의 기둥형(columnar) 구조로 동결제 결정의 성장거동에 따라 명백히 구별되는 기공 형상을 보여준다[9,16].
그림 6은 다공체 내 동결제 성장과 수직한 방향으로 절단한 부분의 기공구조를 SEM으로 관찰한 결과이다. Camphene을 동결제로 사용한 경우인 그림 6(a)에서는 커다란 기공과 함께 미세한 기공들이 관찰되는 바, 이는 camphene이 수지상 형태로 응고되는 과정에서 WO3 입자들이 수지상 가지(dendrite arm) 주변으로 배척되어 존재하고 최종적으로 동결제의 제거와 수소분위기에서의 소결과정을 거쳐 수지상 가지들이
존재했던 자리가 다양한 크기의 빈 공간으로 형성되었기 때문이다[17,18]. 한편 TBA는 각 고리에 수소가 결합된 육원자 고리의 결정 구조를 나타내므로[19,20], 응고 시 육각기둥의 형상으로 성장하게 되어 최종적으로는 그림 6(b)와 같이 육각형 기공 구조를 나타내는 것으로 해석된다. 그림 6에서 관찰되는 기공들의 지지대(strut)는 완전 치밀화된 미세조직을 보여주며, 이는 지지대로 배척되어 축적된 WO3 입자들이 수소분위기에서의 환원을 통해 나노크기의 W 입자들로 형성되며 또한 기존 논문의 소결온도인 1000 °C와 비교할 때[13] 소결온도의 증가로 인한 소결성 향상에 기인한 것으로 해석할 수 있다.
Fig. 6. SEM images of porous W on cross-section near the upper (a and b) and lower
part (c and d). Camphene (a and c) and TBA (b and d) were used as freezing agents.
그림 6에서 관찰되는 기공들의 지지대는 완전 치밀화된 미세조직을 보여주며, 이는 지지대로 배척되어 축적된 WO3 입자들이 수소분위기에서 환원을 통해 나노크기의 W 입자들로 형성되었고, 계속해서 미세기공 들이 1500 °C에서의 소결을 통해 제거되었기 때문으로
해석된다. 또한, 기존 논문에서 보고한 다공체의 소결온도인 1000 °C와 비교할 때[12,13] 지지대에서는 거의 기공이 관찰되지 않으며 이는 소결온도의 증가로 인한 소결성 향상에 기인한 것으로 해석된다.
소결한 W 다공체의 위치에 따른 기공구조를 분석하기 위해 금형의 상부와 하부에 해당되는 횡단면을 SEM으로 관찰하였다. 그림 6은 각각 camphene 및 TBA를 이용하여 제조한 다공체의 상부와 하부의 기공구조를 나타낸 것으로 그림 6(c) 및 (d)와 같이 상부보다는 하부에서 더 작은 기공크기를 보여준다. 기존의 연구결과를 참고할 때[20,21], 일방향으로 동결된 시편 내 위치에 따른 기공크기 차이는 동결제의 응고거동 변화로 해석할 수 있다. 슬러리는 하부 금형이 -20 °C로 냉각된 부분에서
우선적으로 응고가 시작되기 때문에 높은 핵 생성속도를 갖게 되며 따라서 작은 크기의 동결제 결정으로 존재하게 된다. 그러나 상부방향으로 계속 응고가
진행되면 앞서 형성된 고체 동결제 결정이 응고열의 전달을 지연시켜 슬러리의 동결속도는 급속히 감소한다. 이러한 낮은 동결속도는 응고되는 동결제 주변으로
배척되어 축적되는 WO3 입자들의 재배열에 충분한 시간을 제공할 수 있기 때문에 동결제는 상대적으로 커다란 크기로 성장하게 된다. 따라서 그림 6과 같이 W 다공체의 하부보다 상부에서 더 큰 기공이 형성되는 것은 이러한 응고거동의 변화로 해석할 수 있다.
4. 결 론
동결주조 공정을 이용한 다공성 W 제조를 위해 WO3 분말이 혼합된 camphene 및 TBA 슬러리의 분산안정성에 미치는 분산제의 영향을 조사하고 동결제에 따른 다공체의 기공특성을 분석하였다. 균일한
크기 분포를 갖는 분말제조를 위해 원료분말은 5시간 동안 볼 밀링하였으며 평균크기는 약 400 nm를 나타내었다. 볼 밀링한 WO3 분말과 혼합된 1 wt% Hypermer KD-4와 5 wt% polyethylene glycol/1 wt% citric acid 분산제는 camphene과
TBA 슬러리의 분산안정성 향상에 기여함을 확인하였다. 하부 금형을 -20 °C로 냉각한 상태에서 10 vol% WO3 분말을 함유한 슬러리를 동결건조한 후 승화 및 수소분위기에서 소결한 W 다공체는 동결제 종류에 상관없이 동결주조 방향과 평행한 배향성의 거대기공이
관찰되었다. Camphene과 TBA를 동결제로 사용한 W 다공체에서는 동결제의 결정구조에 의존하는 수지상과 육각기둥 형상의 기공구조를 나타내었다.
슬러리의 응고열이 우선적으로 방출되는 금형의 하부에서는 상부와 비교하여 상대적으로 작은 기공이 관찰되었으며, 이러한 기공크기의 차이는 주로 동결속도
변화가 동결제 주변으로 배척되어 축적되는 WO3 입자들의 재배열 거동에 미치는 영향으로 해석하였다.
감사의 글
이 연구는 서울과학기술대학교 교내 일반과제 연구비 지원으로 수행되었습니다.
REFERENCES
Liu P. S., Liang K. M., J. Mater. Sci., 36, 5059 (2001)

Banhart J., Prog. Mater. Sci., 46, 559 (2001)

Lefebvre L.-P., Banhart J., Dunand D. C., Adv. Eng. Mater., 10, 775 (2008)

Atwater M. A., Guevara L. N., Darling K. A., Tschopp M. A., Adv. Eng. Mater., 20,
1700766 (2018)

Nakajima H., Prog. Mater. Sci., 52, 1091 (2007)

Fukasawa T., Ando M., Ohji T., Kanzaki S., J. Am. Ceram. Soc., 84, 230 (2001)

Deville S., Adv. Eng. Mater., 10, 155 (2008)

Shao G., Hanaor D. A. H., Shen X., Gurlo A., Adv. Mater., 32, 1907176 (2020)

Koh Y.-H., Lee E.-J., Yoon B.-H., Song J.-H., Kim H.-E., Kim H-W., J. Am. Ceram. Soc.,
89, 3646 (2006)

Jeon K. C., Kim B. S., Kim Y. D., Suk M.-J., Oh S.-T., Int. J. Refract. Met. Hard
Mater., 53, 32 (2015)

Lee E. S., Oh S.-T., Korean J. Met. Mater., 62, 929 (2024)

Lee Y.-S., Oh S.-T., Kor. J. Mater. Res., 21, 520 (2011)

Lee E. S., Heo Y. J., Ko Y. T., Park J. G., Choa Y.-H., Oh S.-T., J. Powder Mater.,
28, 216 (2021)

Yang H., Kang W., Yu Y., Yin X., Wang P., Zhang X., Powder Technol., 315, 477 (2017)

Wilken T. R., Morcom W. R., Wert C. A., Woodhouse J. B., Metall. Trans. B., 7, 589
(1976)

Chen R., Wang C.-A., Huang Y., Ma L., Lin W., J. Am. Ceram. Soc., 90, 3478 (2007)

Araki K., Halloran J. W., J. Am. Ceram. Soc., 87, 1859 (2004)

Deville S., Maire E., Bernard-Granger G., Lasalle A., Bogner A., Gauthier C., Leloup
J., Guizard C., Nature Mater., 8, 966 (2009)

Sun M.-Q., Shen P., Jiang Q.-C., J. Mater. Sci., 54, 5224 (2019)

Lee E. S., Oh S.-T., Korean J. Met. Mater., 62, 929 (2024)

Shanti N. O., Araki K., Halloran J. W., J. Am. Ceram. Soc., 89, 2444 (2006)
