Rapid Activation of Solution-Processed ZrOx Gate Dielectrics via Pulsed-UV Annealing for Pentacene OTFTs
(Hyeonju Lee)
1,†
(Bokyung Kim)
1,†
(Taehui Kim)
1
(Dongwook Kim)
1
(Xue Zhang)
2
(Jin-Hyuk Bae)
3,4
(Youngjun Yun)
1
(Sungkeun Baang)
5,*
(Jaehoon Park)
1,*
-
(School of Semiconductor·Display Technology, Hallym University, Chuncheon 24252, Republic
of Korea)
-
(College of Ocean Science and Engineering, Shandong University of Science and Technology,
Qingdao 266590, China)
-
(School of Electronic and Electrical Engineering, Kyungpook National University, Daegu,
24252, Republic of Korea)
-
(School of Electronics Engineering, Kyungpook National University, Daegu, 24252, Republic
of Korea)
-
(Department of Software, Hallym University, Chuncheon 24252, Republic of Korea)
Copyright © The Korean Institute of Metals and Materials
Keywords
Pentacene, Pulsed-UV annealing, Solution Process, Surface energy, ZrOx gate dielectric, Organic Thin-Film Transistor
1. INTRODUCTION
Organic thin-film transistors (OTFTs) have been widely studied as promising candidates
for next-generation electronics, including flexible displays and sensor arrays, owing
to their mechanical flexibility, biocompatibility, light weight, and compatibility
with low-cost large-area fabrication[1-4]. Among the various organic semiconductors, pentacene has particularly attracted attention
because of its relatively high field-effect mobility and stability[5,
6]. However, to practically implement OTFTs, both the active layer and the gate dielectric
play crucial roles, as the dielectric layer strongly affects the threshold voltage,
mobility, and overall device reliability[7].
Reducing the operating voltage is one of the major challenges to lower power consumption
in OTFTs. Conventional silicon dioxide and low-k polymeric dielectrics often lead
to operating voltages that exceed several tens of volts and thus are unsuitable for
low-power applications[8-9]. High-permittivity metal oxide (MO) dielectrics have been investigated as alternatives
because their large dielectric constants can reduce the operating voltage. Among these
dielectrics, zirconium oxide (ZrOx) prepared by solution-based sol–gel processing is a promising candidate owing to
its high-k properties and reasonable insulating performance [10-13]. Notably, the electrical properties of oxide thin films are strongly influenced by
processing conditions such as dopant concentration, oxygen pressure, and annealing
temperature[14].
Sol–gel derived MO films typically require high annealing temperatures (>400 °C) to
remove organic residues and achieve sufficient condensation and film densification[15]. Such processing conditions are incompatible, however, with flexible plastic substrates
and restrict their application in flexible organic electronics. To overcome this limitation,
ultraviolet (UV)-assisted annealing has been explored. Deep-UV irradiation facilitates
low-temperature activation of sol–gel MO semiconductors such as IGZO and IZO[16]. More recently, pulsed UV (p-UV) irradiation using a xenon lamp has been reported
as an efficient approach that enables rapid activation within tens of seconds at relatively
low temperatures[17]. In addition, p-UV-assisted annealing has been successfully applied to oxide thin
films for TFT applications[18]. This feature offers advantages in processing throughput and reduced substrate heating,
which are critical for practical device manufacturing.
Despite the advantages offered by p-UV irradiation, its application to sol–gel MO
gate dielectrics in OTFTs has not been extensively investigated. In this study, we
investigate the use of p-UV-assisted thermal annealing for the low-temperature activation
of sol–gel ZrOx films employed as gate dielectrics in pentacene-based TFTs. The optical, chemical,
and morphological properties of the ZrOx films are systematically analyzed, and their influence on the electrical performance
of OTFTs is evaluated to assess the potential of this approach for application to
flexible organic electronics.
2. EXPERIMENTAL
The ZrOx precursor solution was prepared by dissolving zirconium (IV) acetylacetonate [Zr(C5H7O2)4, Sigma-Aldrich] (4 wt%) in methanol [CH3OH, Sigma-Aldrich]. Monoethanolamine [C2H7NO, Sigma-Aldrich] was added as a stabilizer to the zirconium precursor in a 1:1 molar
ratio. The solution was stirred at 1200 rpm and 50 °C for 12 h using a magnetic stirrer,
followed by an additional 2 h of stirring under the same conditions immediately prior
to device fabrication.
Top-contact bottom-gate pentacene TFTs incorporating solution-processed ZrOx gate dielectrics were fabricated on indium tin oxide (ITO)-patterned glass substrates.
Before depositing the dielectric layer, the substrates were sequentially cleaned by
ultrasonication in acetone, 2-propanol, and deionized water. To improve surface wettability,
the ITO substrates were treated with oxygen plasma (40 W, 20 sccm, 1 min). The ZrOx solution was filtered through a 0.2 µm poly(tetrafluoroethylene) syringe filter (Hyundai
Micro, Seoul, Korea) and spin-coated at 3000 rpm for 30 s in air.
The thermal treatment of the ZrOx films followed a previously reported procedure[19]. The films were annealed in two steps: soft and hard baking. Soft baking was conducted
on a hot plate (Corning, Seoul, Korea) at 65 °C for 10 min. Hard baking was performed
either (i) at 200 °C for 60 min on a hot plate, or (ii) at 200 °C for 5 min under
simultaneous p-UV irradiation (DTX Inc., Gyeonggi Province, Korea). p-UV irradiation
was conducted at a frequency of 15 Hz with a lamp-to-sample distance of 10 cm.
A 60 nm pentacene active layer was deposited by thermal evaporation at a rate of 0.3
nm/s. Finally, gold source and drain electrodes were deposited through a finger-type
mask by thermal evaporation at a rate of 0.15 nm/s, forming channels with a length
of 80 µm and a width of 2000 µm. The device structure is schematically illustrated
in Fig. 1.
Fig. 1. Device structure of the pentacene OTFT with a solution-processed ZrOx dielectric layer.
3. RESULTS AND DISCUSSION
To investigate the influence of annealing methods on the optical properties of solution-processed
ZrOx films, four types of films were prepared on quartz substrates: a coated-only film,
a film prebaked at 65 °C, a film prebaked at 65 °C and thermally annealed at 200 °C
for 60 min on a hot plate, and a film prebaked at 65 °C and p-UV annealed at 200 °C
for 5 min. The optical properties of these films were characterized using a UV-vis
spectrophotometer over a wavelength range of 200–800 nm.
Figure 2(a) shows the transmittance spectra of the films. All the samples exhibited high transparency
in the visible range (400–800 nm), with transmittance values exceeding 80%, while
a decline in transparency was observed below 400 nm owing to intrinsic absorption.
The absorption spectra (Fig. 2(b)) revealed that the intensity of the absorption peak in the 250–350 nm region progressively
decreased from the coated-only film to the p-UV annealed film. This trend suggests
that annealing, particularly p-UV treatment, modifies the electronic structure of
the films and reduces the sub-bandgap absorption. The optical band gap (Eg) was estimated using Tauc’s relation (αhν)2 ∝ (hν-Eg), where α is the absorption coefficient, h is Planck’s constant, and ν is the photon
frequency. The absorption coefficient was calculated as α = (2.303 × log(1/T))/d,
where T is the transmittance and d is the film thickness. The band gap was determined
by extrapolating the linear portion of the (αhν)2 versus hν plots (Fig. 2(c))[20]. The hot plate annealed film exhibited an Eg of ~ 5.1 eV while the p-UV annealed film showed a slightly higher Eg (~5.2 eV), with both falling within the reported ZrOx range of 4.5–5.8 eV[21-22].
Fig. 2. Optical characterization of solution-processed ZrOx films: (a) UV–vis transmittance spectra, (b) absorbance spectra, and (c) optical
band gap values determined from Tauc’s plots.
Notably, p-UV annealing achieved a comparable band gap and slightly improved optical
transparency in just 5 min compared to 60 min in the case of conventional thermal
annealing. These results demonstrate that p-UV treatment is a rapid and effective
method for tuning the optical properties of solution-processed ZrOx films without compromising their transparency or electronic structure.
Figures 3(a, b) show the contact angles of distilled water on ZrOx thin films prepared to analyze the surface properties of the insulator layer. The
two samples consisted of a ZrOx thin film annealed on a hot plate for 60 min and a ZrOx thin film annealed for 5 min using p-UV. The measured contact angles were 36.1° and
31.8°, respectively. Based on these values, the surface energy (γp) of the two ZrOx thin films was calculated using Eq. (1):
where γw is the surface free energy of water (73.0 mJ/m2) and θ0 is the contact angle at equilibrium[23]. From Eq. (1), the calculated surface energy values of the two ZrOx thin films were 59.6 and 62.4 mJ/m2, respectively. The surface energy of the ZrOx film annealed with p-UV for 5 min was higher than that annealed on a hot plate for
60 min, demonstrating that the annealing method influenced the surface energy. Regarding
changes in the surface properties of zirconia induced by UV treatment, previous studies
have reported that UV irradiation reduced the amount of surface carbon species and
significantly decreased carboxylic groups[24-25]. Consequently, the hydrophilization observed in the contact angles of ZrOx films can be attributed to the increased surface energy resulting from the reduction
of relatively hydrophobic carboxylic groups under p-UV annealing. This increase in
surface energy suggests that p-UV annealing induces surface-related chemical modification
of the ZrOx films rather than substantial changes in bulk dielectric properties.
Fig. 3. Water contact angles of ZrOx thin films annealed on (a) a hot plate for 60 min and (b) by p-UV for 5 min; and
(c) FT-IR spectra of ZrOx films prepared under the two annealing conditions.
Figure 3(c) shows the Fourier transform infrared (FT-IR) spectra of ZrOx thin films prepared under the two annealing conditions on Si substrates, measured
in a range of 400–4000 cm-1 using a vacuum FT-IR spectrometer (Bruker Corporation, Billerica, USA). An absorption
peak centered at 867 cm-1 was observed in both ZrOx films and is attributed to the stretching vibration of the Zr–O bond. Additional
Zr–O and Zr–OH vibrational modes appeared in the 500–800 cm-1 region[26-27]. The band at 1710–1780 cm-1 is assigned to C=O stretching vibrations[28]. The absorption bands in the 1300–1500 cm-1 range, centered at 1406 cm-1, are attributed to C–H deformation vibrations[27,
29-30]. The 900–1280 cm-1 region is associated with Zr–OC/Zr–O–C and C–O stretching vibrations[29,
31]. This pronounced reduction in carbon-related absorption bands suggests that the high
photon energy of pulsed-UV irradiation effectively decomposes residual organic species
originating from the sol–gel precursor, which are less effectively removed by thermal
annealing alone at 200 °C. These FT-IR results provide direct spectroscopic evidence
supporting the surface chemical modification inferred from the contact angle and surface
energy analysis.
Compared with the ZrOx film annealed at 200 °C for 60 min on a hot plate, the film annealed using p-UV showed
a pronounced reduction in absorption intensity in the carbon-related regions. This
observation is consistent with the contact angle results, where p-UV treatment rendered
the surface more hydrophilic. The higher photon energy of UV irradiation, compared
with that of thermal annealing, more effectively decomposes surface carbon species
and reduces carboxylic groups. Consequently, these FT-IR results support the conclusion
that p-UV annealing increases the surface energy of ZrOx thin films.
The surface energy change induced by p-UV treatment is expected to affect the growth
of pentacene thin films deposited on ZrOx. Figures 4(a, b) present representative atomic force microscopy (AFM) images (3 × 3 μm2) of thermally deposited pentacene films on ZrOx annealed on a hot plate for 60 min and on ZrOx annealed by p-UV for 5 min, respectively. The films exhibited surface roughness values
of approximately 8.8 and 7.7 nm, respectively. The pentacene film grown on the p-UV
annealed ZrOx showed a larger grain size compared with that grown on the hot plate annealed film.
Fig. 4. AFM images (3 × 3 μm2) of pentacene thin films deposited on ZrOx thin films annealed (a) on a hot plate for 60 min and (b) by p-UV for 5 min.
In the pentacene thin film growth process, nuclei initially formed on the substrate
surface and subsequently grew into large islands. These islands coalesce as pentacene
molecules aggregate, and their growth is influenced by the surface energy of the underlying
dielectric. When the surface energy of the gate insulator is high, the monolayer coverage
of pentacene grains increases. The enhanced coverage results from the promoted surface
diffusion of adsorbed pentacene molecules, which improves the connectivity between
individual pentacene islands[32-33]. Therefore, the relatively large grains observed for the film grown on p-UV annealed
ZrOx can be attributed to the higher surface energy of the dielectric. Consistent with
this growth mechanism, the increased surface energy of the p-UV-annealed ZrOx provides a more energetically favorable surface for pentacene nucleation and lateral
grain growth, resulting in improved inter-grain connectivity.
Based on the previous results, Figs. 5 and 6 present the electrical characteristics of the pentacene TFTs with solution-processed
ZrOx thin-film gate insulators. Figures 5(a, b) show the output characteristics of the pentacene TFTs with ZrOx gate insulators, measured by sweeping the drain voltage from 0 to –4 V at a constant
gate voltage of 0 V in –1 V steps. Because grain boundaries in pentacene limit charge
transport in the film, larger pentacene grains enhance electrical conduction[32]. As shown in Fig. 5, all devices exhibited a linear increase and saturation in the drain current in the
low and high drain voltage region, respectively. The slight decrease in drain current
observed in the high drain voltage region after saturation may be associated with
self-heating effects under high electric field conditions, resulting in a reduced
effective carrier mobility in pentacene-based TFTs[34]. Therefore, the pentacene TFT with the ZrOx film annealed at 200 °C for 5 min using p-UV exhibits a higher drain current than
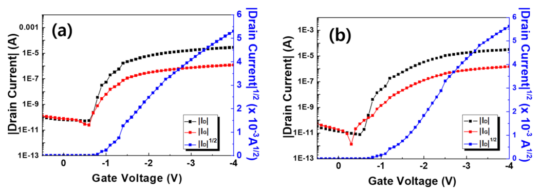
that annealed at 200 °C for 60 min. Figures 6(a, b) show the transfer characteristics of the pentacene TFTs with annealed ZrOx films. The measurements were performed at a drain voltage of –4 V, while the gate
voltage was swept from 0.5 to –4 V in –0.1 V steps. The improved transfer characteristics
observed in Fig. 6, including the enhanced field-effect mobility and on/off current ratio without a
significant threshold voltage shift, are consistent with the surface-related modifications
of the ZrOx gate insulator induced by p-UV annealing.
Fig. 5. Output characteristics of the fabricated OTFTs with ZrOx gate insulator films annealed (a) on a hot plate for 60 min and (b) by p-UV for 5
min.
Fig. 6. Transfer characteristics of the fabricated OTFTs with ZrOx films annealed (a) on a hot plate and (b) by p-UV.
To evaluate the performance of the OTFTs, important parameter values were obtained.
The threshold voltage (VTH) was obtained from a plot of |ID|1/2 versus the gate voltage (VG) by extrapolation to a drain current of 0 A. The field effect mobility (µeff) was calculated using Eq. (2) in the saturation region:
where Cox is the gate insulator capacitance, VTH is the threshold voltage, and W and L are the channel width and length, respectively.
The OTFT devices exhibited approximate µeff values of 3.10 and 4.13 cm2/V∙s.
As expected from the output characteristics, the pentacene TFT with a ZrOx film annealed using p-UV exhibited slightly improved performance in terms of the
on/off current ratio and field-effect mobility compared with the pentacene TFT with
ZrOx film annealed on a hot plate. However, the threshold voltage remained nearly unchanged.
The key parameter values of the OTFTs are summarized in Table 1. The absence of a significant threshold voltage shift further suggests that the observed
performance enhancement is mainly associated with surface-related effects rather than
substantial changes in bulk dielectric trap states.
Table 1. Electrical characteristics of the solution-processed ZrOx pentacene OTFTs.
|
Annealing Method
|
Threshold Voltage
|
Field-Effect Mobility
|
On/Off Ratio
|
|
Hot plate (200 °C, 60 m)
|
–0.92 V
|
3.10 cm2/V∙s
|
5.63 × 105
|
|
Pulsed UV (200 °C, 5 m)
|
–1.22 V
|
4.13 cm2/V∙s
|
4.06 × 106
|
4. CONCLUSIONS
In this study, we demonstrated a low-temperature and rapid fabrication method to prepare
high-k ZrOx gate dielectrics in OTFTs using p-UV-assisted thermal annealing. Compared with conventional
hot plate annealing at 200 °C for 60 min, p-UV annealing at 200 °C for 5 min effectively
activated the sol–gel derived ZrOx films without degrading their optical or structural properties. The p-UV-annealed
ZrOx films exhibited a slightly higher optical band gap (~5.2 eV), reduced water contact
angles (31.8°), and increased surface energy (62.4 mJ/m2), consistent with FT-IR spectroscopic evidence of reduced carbon-related species.
These changes promoted the growth of pentacene with larger grain size and a smoother
morphology, which improved the charge transport pathways. These results highlight
that p-UV-assisted annealing is a fast, energy-efficient, and substrate-compatible
processing route to fabricate high-performance organic TFTs with oxide gate dielectrics,
offering strong potential for next-generation low-power and flexible organic electronic
devices.
ACKNOWLEDGEMENT
This research was supported by Basic Science Research Program through the National
Research Foundation of Korea(NRF) funded by the Ministry of Education (2022R1A6A3A01086570).
This research was also supported by the Regional Innovation System & Education (RISE)
program through the Gangwon RISE Center, funded by the Ministry of Education(MOE)
and the Gangwon State(G.S.), Republic of Korea.(2025-RISE-10-009, 2025-RISE-10-006).
REFERENCES
Zheng Y., Zhang S., Tok J. B.-H., Bao Z., J. Am. Chem. Soc., 144, 4699 (2022)

Ashizawa M., Zheng Y., Tran H., Bao Z., Prog. Polym. Sci., 100, 101181 (2020)

Wu Y-L., Fukuda K., Yokota T., Someya T., Adv. Mater., 31, 1903687 (2019)

Gutruf P., Rogers J. A, Curr. Opin. Neurobiol., 50, 42 (2018)

Han C. Y., Tang W. M., Lai P-T., Appl. Surf. Sci., 544, 148656 (2021)

N-Yawson B., Noh Y-Y., Adv. Funct. Mater., 28, 1802201 (2018)

Virkar A. A., Mannsfeld S. C. B., Bao Z., Stingelin N., Adv. Mater., 22, 3857 (2010)

Han C. Y., Lai P. T., Tang W. M., IEEE Electron Device Lett., 42, 339 (2021)

Liu Z., Yin Z., Wang J., Zheng Q., Adv. Funct. Mater., 29, 1806092 (2019)

Londhe P., Chaure N. B., Athawale A., Mater. Today Commun., 29, 102924 (2021)

Weng J., Chen W., Xia W., Zhang J., Jiang Y., Zhu G., J. Sol-Gel Sci. Technol., 81,
662 (2017)

Sil A., Goldfine E. A., Huang W., Bedzyk M. J., Medvedeva J. E., Facchetti A., Marks
T. J., Chem. Mater., 32, 805 (2019)

Kwon J-H., Choi J-H., Bae J-H., Park J., Crystals, 9, 634 (2019)

Park B., Kor. J. Met. Mater., 62, 106 (2024)

Yu X., Smith J., Zhou N., Zeng L., Guo P., Xia Y., Alvarez A., Aghion S., Lin H.,
Yu J., Chang R. P. H., Bedzyk M. J., Ferragut R., Marks T. J., Facchetti A., Proc.
Natl. Acad. Sci. U.S.A., 112, 3217 (2015)

Chae D., Kim J., Shin J., Lee W. H., Ko S., Curr. Appl. Phys., 19, 954 (2019)

Park S. C., Kim D., Shin H., Lee D. K., Zhang X., Park J., Choi J. S., J. Inf. Disp.,
17, 1 (2016)

Zhang X., Lee H., Kim B., Kim T., Kim D., Yun Y., Kim E. -J., Park J., Kor. J. Met.
Mater., 63, 812 (2025)

Kwon J-H., Lee H., Kim B., Zhang X., Jang J., Bae J-H., Park J., Adv. Mater. Interfaces.,
8, 2101104 (2021)

Lee H., Kim B., Gao C. Y., Choi H. J., Ko J-H., Seo C.H., Park J., Mol. Cryst. Liq.
Cryst., 679, 1597544 (2019)

Oluwabi A. T., Acik I. O., Katerski A., Mere A., Krunks M., Thin Solid Films., 662,
59 (2018)

Bashir A., Farooq M., Malik A., Naseem S., Bhatti A. S., Coatings., 11, 821 (2021)

Duca M. D., Plosceanu C. L., Pop T., Polym. Degrad. and Stab., 61, 65 (1998)

Roy M., Pompella A., Kubacki J., Piosik A., Psiuk B., Klimontko J., Szade J., Roy
R. A., Hedzelek W., Colloids Surf. B Biointerfaces., 156, 194 (2017)

Henningsen A., Smeets R., Heuberger R., Jung O. T., Hanken H., Heiland M., Cacaci
C., Precht C., Eur. J. Oral. Sci., 126, 126 (2018)

Bollino F., Armenia E., Tranquillo E., Materials, 10, 757 (2017)

Oluwabi A. T., Katerski A., Carlos E., Branquinho R., Mere A., Krunks M., Fortunato
E., Pereira L., Acik I. O., J. Mater. Chem. C, 8, 3730 (2020)

Dahham O. S., Hamzah R., Noriman N. Z., Alakrach A. M., Idrus S. Z. S., Shayfull Z.,
Adam T., IOP Conf. Ser.: J. Phys., 24, 82 (2018)

Liang L., Xu Y., Wu D., Sun Y., Materials Chem. Phys., 114, 252 (2009)

Neumayer D. A., Cartier E., J. Appl. Phys., 90, 1801 (2001)

Lin W., Chen S., Zhu P., Li Y., Jia Y., Hu H., Mater. Res. Express, 5, 115602 (2018)

Kwak S-Y., Choi C. G., Bae B-S., Electrochem. Solid-State Lett., 12, G37 (2009)

Park J., Bae J-H., Kim W-H., Lee S-D., Gwag J. S., Kim D. W., Noh J. C., Choi J. S.,
Solid-State Electron., 54, 1650 (2010)

Nikiforov G., Barra M., Horowitz G., Sci. Rep., 8, 27689 (2018)
