The Journal of
the Korean Society on Water Environment

The Journal of
the Korean Society on Water Environment

Bimonthly
  • ISSN : 2289-0971 (Print)
  • ISSN : 2289-098X (Online)
  • KCI Accredited Journal

Editorial Office


  1. 국립환경과학원 물환경연구부 유역생태연구팀 (Watershed Ecology Research Team, Water Environment Research Department, National Institute of Environmental Research)



Clay, Daphnia magna, Ecotoxicity, Microcystis, Removal efficiency, Vibrio fischeri

1. Introduction

최근 기후변화에 따른 수온 상승, 대기 중 CO2 농도 상 승, 성층현상 강화, 체류시간 증가 등으로 수생태계에서 남 조류의 우점률과 기간이 증가되고 있다(Paerl and Huisman, 2009). 남조류는 종에 따라 대기 중 질소를 고정하며 세포 내 공포의 크기를 조절하는 등 다른 분류군에 비하여 환경 변화에 적응력이 높아 대발생하는데 유리하다(Huisman et al., 2005; Paerl and Fulton, 2006). 특히 국내에서는 Microcystis 의 대발생이 여름철에 반복되고 있다. 유해 남조류 대 발생은 수중 탁도를 증가시키며 사멸 과정에서 수중 산소를 소비하여 다른 생물의 성장을 방해하고 이취미와 독소를 생산하여 공중 보건을 위협하기도 한다(Paerl and Huisman, 2009; Scheffer, 1998).

이에 국내뿐만 아니라 세계 각국에서도 유해 남조류 대발 생을 제어하기 위한 기술이 연구되고 있다. 유해 남조류를 제거하는 방법은 물리, 화학, 생물학적 방법으로 구분된다. 물리적인 방법으로는 수중 폭기, 선택 취수, 초음파 등이 있 으며 2차 오염이 발생하지 않는다는 장점은 가지고 있지만 공공수역에서 사용 시 비용이 높은 것이 단점으로 지적되고 있다(Ahn et al., 2003; KEI, 2010; Nakano et al., 2001). 화 학적 방법으로는 황산구리 등 살조제, 천연물질, 황토 등을 살포하며 즉시 효과가 발생하지만 2차 오염이 우려된다(Lim et al., 2002; Rounsefell and Evans, 1958; Sengco et al., 2005; Sengco et al., 2001). 이에 2차 오염이 우려되지 않는 친환 경적인 방법을 모색하게 되었고 그 대안으로 제시된 것이 생물학적 방법이다. 생물학적 방법에는 수생식물, 세균, 미 생물을 이용하는 방법과 먹이연쇄를 이용한 생물조절방법 등이 있으나 살조 세균의 분리 및 배양의 어려움, 시간이 지 남에 따른 처리효과 감소, 낮은 적용성, 유지관리의 어려움 등 단점을 가지고 있다(Gastrich et al., 2004; Mitra and Flynn, 2006; Nagasaki et al., 1999; Park et al., 2000).

최근에는 황토가 경제적이고 무독성으로 2차 오염을 일 으키지 않아 조류제거물질로 부각되고 있다(Hagström and Granéli, 2005; Sengco and Anderson, 2004; Sengco et al., 2001). 국내에서는 황토를 적조방제 용도로 1996년부터 지 방자치단체에서 살포하기 시작하였고 1998년부터는 정부차 원에서 적조방제를 위해 황토살포를 추진하였다(KMI, 2004; Park and Lee, 2006). 황토는 흡착성, 이온 교환성, 현탁성 등의 특성이 있어(Jeong et al., 1999) 조류세포와 충돌하여 응집·침전하는 과정을 통해 조류를 제거한다. 황토의 응집 과 침전은 조류제거의 중요한 메카니즘으로 효과적인 조류 제거를 위해서는 황토 입자가 넓게 확산되어 조류 세포와 충분히 충돌하여야 한다(Kim, 1998; Sengco and Anderson, 2004). 이는 황토의 입자 크기 및 모양, 표면전하, 성분, 조 류의 종과 세포수, 물의 이온 세기와 pH 등에 영향을 받으 며 이에 대한 연구가 진행되어 왔다(Hagström and Granéli, 2005; Han and Kim, 2001; Sengco et al., 2005; Sengco et al., 2001; Yu et al., 1994a, 1994b, 1995).

하지만 황토에 의한 조류 제거 연구는 대부분 해양과 적 조 생물들을 대상으로 실시하였으며 담수를 대상으로 한 연구는 매우 미흡한 실정이다. 해수는 높은 농도의 전해질 용액으로 이온화 세기가 높으며 황토 입자의 전기 이중층 이 매우 엷어 인력이 매우 강하게 작용하므로 충돌효율이 높아 조류제거가 효율적이다(Hogg et al., 1966). 하지만 담 수는 해수에 비해 이온화 세기가 낮아 황토 입자와 조류 세포 사이의 충돌유효계수가 낮으므로 충돌효율이 감소되 어 응집 제거 효과가 낮아진다(Ahn, 2010; Han and Kim, 2001). 이러한 차이로 인해 적정 살포량 등 기존 연구결과 를 담수에 적용하기 어렵다. 또한 황토 살포 후 수생태계 영향을 고려하기 위하여 생태독성을 평가한 연구도 매우 드물다. 따라서 본 연구에서는 국내에서 주로 사용하고 있 는 황토 4종의 입도 및 성분 분석을 실시하였으며 현장에 서 채집한 Microcystis spp.를 대상으로 황토 4종의 조류제 거효율과 생태독성을 평가하였다. 최종적으로 황토의 입도, 성분, 살포량에 따른 조류제거효율 차이를 분석하고 생태독 성평가 결과를 바탕으로 수생태계 영향을 고려하여 적절한 황토 살포량을 알아보았다.

2. Materials and Methods

2.1. 대상 황토 및 조류

황토는 현재 국내 하천·호소의 조류 대발생 시 수면관리 자가 주로 살포하고 있는 제품을 선정하였으며 소성이나 건조과정을 거친 재생황토(황토 A, B, C)와 자연 상태의 생황토인 자연황토(황토 D)로 구분하여 조사하였다. 대상 조류는 2013년 9월 27일 오후 2시에 세종특별자치시 연서 면에 위치한 고복저수지에서 Microcystis viridis 가 90% 이상 우점하는 현장 조류를 채집한 후 4°C 이하로 냉장보관·운반 하여 즉시 실험에 사용하였다.

2.2. 황토 입도 및 성분

황토의 입도 분석은 KS A 0507(2007) “체가름 시험방법” 을 수정하여 적용하였다. 105~110°C에서 2시간 건조시킨 황토를 눈 크기가 2 mm, 0.2 mm, 0.02 mm인 표준체에 넣 고 20° 기울여 120회/분 속도로 체 틀을 두드린 후 체 망의 미세한 분말까지 솔로 제거하여 각각의 표준체에 잔존하는 황토의 중량을 정량하였다. 산출 결과는 국제토양학회법을 참조하여 자갈(gravel, 2 mm 이상), 조사(coarse sand, 0.2~2 mm), 세사(fine sand, 0.02~0.2 mm), 실트(silt, 0.02 mm 미만) 로 구분하였다. 황토의 화학성분 분석은 X-선 형광분석법 (X-ray Fluorescence, XRF)을 이용하였으며, X-선 회절 분석 (X-ray Diffraction, XRD)을 통해 토양의 광물구조를 확인하 였다. 황토에서 용출되는 중금속을 분석하기 위하여 황토와 용 매(증류수)를 1 : 10 (W: V)의 비로 혼합하여 진탕·여과하고 여과액(용출액)은 수질오염공정시험기준에 준하여 6가크롬, 비소, 납, 아연, 구리, 시안, 페놀, ABS를 분석하였다.

2.3. 조류제거효율 및 pH 변화

1 L 비커에 BG-11 배지로 Microcystis spp.를 5,000 cells/mL 이상(조류경보 단계) 되도록 조절하여 황토 4종을 각각 0.05, 0.1, 0.5, 1, 3, 5, 7, 10, 15, 20, 50, 100 g/L 살포하 고 2분 간 교반한 후 침전시간 별(10, 30분 후) 조류제거효 율을 평가하였다. Microcystis spp.의 세포를 계수하기 위하여 황토 살포 전 시료와 살포 10분, 30분 후의 상등액을 분취 하여 Lugol’s 용액으로 고정하였다. 고정한 시료는 Sedgwick- Rafter chamber에 채우고 15분 이상 침전시켜 50~200배율 의 위상차현미경(Carl Zeiss, DE/Axio Imager A2)을 이용하 여 무작위로 격자 10개 이상에서 Microcystis spp. 세포를 반복 계수하였다. 계수한 세포수를 이용하여 침전시간 별로 조류제거효율을 산출하였다. 또한 황토 살포 시 pH의 변화 를 관찰하기 위하여 살포 전·후의 pH를 측정하였다.

2.4. 생태독성평가

조류제거물질이 생태계에 미치는 영향을 알아보기 위하여 조류제거효율 평가 후 분취한 상등액으로 물벼룩(Daphnia magna) 및 발광박테리아(Vibrio fischeri)의 24시간 급성생 태독성평가를 실시하였다. 급성생태독성평가는 “수질오염공 정시험기준 제49항 물벼룩(Daphnia magna)를 이용한 급성 독성시험”과 “해양환경공정시험기준 제3항 발광박테리아 (Vibrio fischeri) 발광 저해율 시험”을 각각 참조하였다.

3. Results and Discussion

3.1. 황토 입도

황토 4종의 입도분포는 모래(입도 0.02~2 mm)인 경우가 91.9~100% 범위로 나타나 재생황토, 자연황토 구분 없이 모래가 대부분을 차지하는 것으로 조사되었다. 자갈(입도 2 mm이상)의 경우 건조와 소성을 거친 재생황토 3종은 0~1.0% 인 반면 자연황토 1종은 8.1%로 입도가 굵은 자갈의 비율이 높았다. 한편 모래 중 조사(입도 0.2~2 mm)는 76.4~89.4%, 세사(입도 0.02~0.2 mm)는 4.7~23.3% 범위로 나타났으며 황토 A와 B는 세사의 비율이 각각 22.0%, 23.3%인 반면 황토 C와 D는 각각 9.6%, 4.7%로 차이를 보였다(Fig. 1). 자연황토에 비하여 건조나 소성과정을 거친 재생황토가 비 교적 작은 입도를 보였다. 조류제거를 위한 황토의 기본적 인 기능은 응집과 흡착으로 황토의 입도차이에 따라 응집 력이 달라질 수 있기 때문에 입도의 차이는 조류제거효율 에 영향을 미칠 것으로 판단되었다.

Fig. 1. Content of three types (gravel, coarse sand and fine sand) classified with particle diameter in clays.
../../Resources/kswe/KSWE.2014.30.3.261/JKSWE-30-261_F1.jpg

3.2. 황토 성분 분석

황토 4종의 화학 성분비는 이산화규소(SiO2)가 45.3~62.8% 로 황토의 주 화학성분으로 나타났으며 산화알루미늄(Al2O3) 18.5~29.7%, 산화철(Fe2O3) 5.4~7.9% 순으로 조사되었다. 이산화규소의 경우 특히 황토 C와 황토 D에서 각각 62.8%, 58.2%로 높게 나타났으며, 산화알루미늄은 황토 A에서 29.7%로 가장 높았다(Fig. 2). 황토의 광물성분은 황토 4종 모두 석영, 백운모와 점토광물인 카올리나이트(kaolinite)를 함유하였다. 황토 C와 D는 점토광물인 몬모릴로나이트 (montmorillonite)를 함유하였다(Table 1). 황토의 구성광물 은 석영, 장석, 카올리나이트(kaolinite), 일라이트(illite), 버 미큘라이트(vermiculite) 등이 다량 포함되며 각섬석, 침철 석 등이 소량 함유된다(Hwang et al., 2000). 카올리나이트 (kaolinite), 일라이트(illite), 버미큘라이트(vermiculite), 몬모 릴로나이트(montmorillonite) 등은 1차의 규반염 광물이 풍 화되어 분리된 미세입자들로 황토의 물리화학적 특성에 영 향을 미친다. 특히 높은 비표면적을 가지며 양이온 교환 능력이 우수하기 때문에 황토가 조류를 제거하는데 매우 중요한 역할을 한다(Cho et al., 2004; Hwang et al., 2000; Jung et al., 2003). 따라서 황토의 성분 차이는 조류 제거 효율에 영향을 미칠 것이다.

Fig. 2. Content of major elements in clays.
../../Resources/kswe/KSWE.2014.30.3.261/JKSWE-30-261_F2.jpg
Table 1. Mineral composition of clays
Materials Minerals
Clay A Kaolinite, Quartz, Muscovite, Anorthite
Clay B Kaolinite, Quartz, Muscovite, Orthoclases
Clay C Kaolinite, Montmorillonite, Quartz, Muscovite, Orthoclases
Clay D Kaolinite, Montmorillonite, Quartz, Muscovite, Orthoclases, Iron Oxide

토양 내 중금속은 점토광물 및 산화광물에 흡착 또는 공침 되어 다양한 형태로 존재한다(Chon et al., 2010). 이는 황 토의 응집·침전 후 황토에서 용출되어 수생태계에 악영향 을 끼칠 수 있기 때문에 용출 성분을 분석하는 것은 매우 중요하다. 분석 결과 6가 크롬, 비소, 카드뮴, 납, 구리, 시 안, 페놀, ABS는 황토 4종 모두에서 검출되지 않았으며 아 연은 황토 A, C에서 각각 0.046 mg/L, 0.109 mg/L로 검출 되었으나 황토 B, D에서는 검출되지 않았다(Table 2). 아연 의 검출 농도는 먹는물 수질기준(3 mg/L 이하)과 수질오염 물질의 배출허용기준(청정지역 기준 1 mg/L 이하) 미만이 었다. 따라서 황토 살포에 의하여 수생태계의 중금속 영향 은 거의 없을 것으로 판단되었다.

Table 2. Trace elements concentration in eluate of clays Unit : mg/L
Materials Clay A Clay B Clay C Clay D
Cr6+ N.D. N.D. N.D. N.D.
As N.D. N.D. N.D. N.D.
Cd N.D. N.D. N.D. N.D.
Pb N.D. N.D. N.D. N.D.
Zn 0.046 N.D. 0.109 N.D.
Cu N.D. N.D. N.D. N.D.
CN N.D. N.D. N.D. N.D.
Phenol N.D. N.D. N.D. N.D.
ABS N.D. N.D. N.D. N.D.

[i] N.D. : Not detected

3.3. 조류제거효율

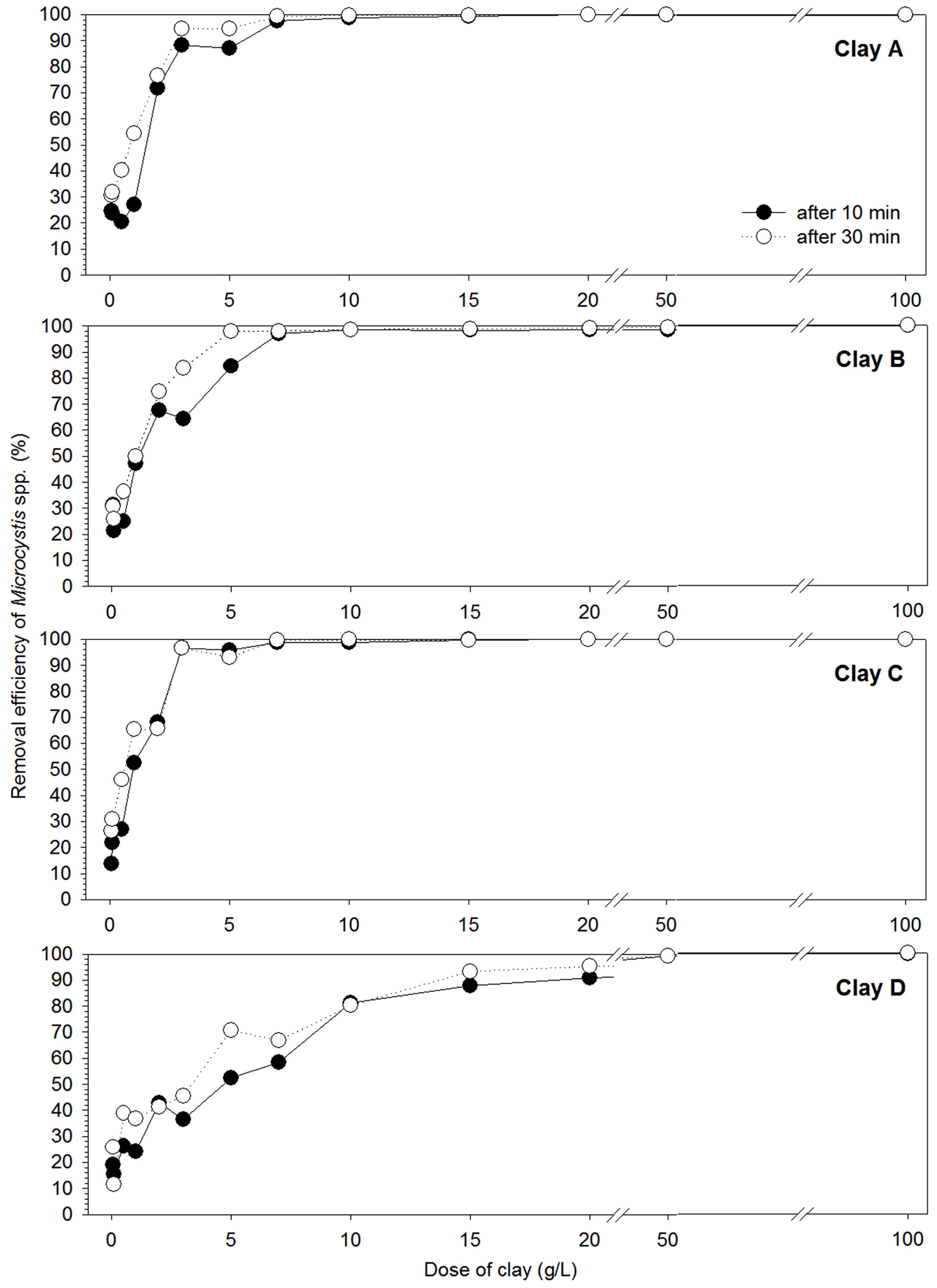
조류제거효율은 황토 살포량이 높을수록 증가하였다(Fig. 3). 황토 살포량이 증가하면 황토와 조류의 접촉기회가 증가하 기 때문이다(Yun et al., 2003). 침전시간 별 제거효율은 0.05~5 g/L 살포 시 10분 침전시켰을 때보다 30분을 침전시 켰을 때 높았으나 7~100 g/L 살포 시 침전시간에 따른 제 거효율에 거의 차이가 없었다. 살포량이 많을수록 많은 황 토 입자가 단시간 동안 동시에 응집·흡착이 이루어지는 반 면 살포량이 적을수록 침전시간이 길어짐에 따라 충분한 응 집·흡착이 일어나 제거효율이 높아지는 것으로 나타났다. 황토 종류에 따라서 조류제거효율은 재생황토와 자연황토 간에 차이를 보였다. 재생황토인 황토 A~C는 살포량 및 침 전시간에 따른 제거효율이 유사하게 나타났다. 침전시간 30 분을 기준으로 할 때 황토 A는 1 g/L 살포 시 54.3%, 2 g/L에 서 76.5%, 3 g/L 이상에서는 95.0% 이상 제거효율을 보였다. 황토 B는 1 g/L에서 50.0%, 2 g/L에서 74.9%, 3 g/L에서 83.8%, 5 g/L 이상에서는 98.0% 이상의 제거효율을 보였다. 황토 C의 경우 0.5 g/L에서 46.0%, 1 g/L에서 65.3%, 2 g/L 에서 65.7%, 3 g/L에서는 95.0% 이상의 제거효율을 보였다. 반면에 자연황토인 황토 D는 재생황토에 비하여 제거효율 이 낮았다. 1 g/L 살포 시 36.9%, 2 g/L에서 41.2%, 3 g/L 에서 45.4%, 5 g/L에서 70.7%, 15 g/L 이상에서는 94.0% 이상 의 제거효율을 보였다(Fig. 3). 본 연구와 마찬가지로 Na et al. (1998)의 연구에 따르면 서낙동강 하류역에서 채수한 Microcystis spp. 제거 실험에서 초기 농도 2,000 ppm 이상 살포 시 30분 후 55~75%까지 제거되었으며 Ahn (2010)의 연 구에서는 Microcystis가 96%를 차지하는 현장시료를 대상으로 황토를 3.0 g/L 살포 시 53.0~74.6%의 제거효율을 보였다.

Fig. 3. Removal efficiency ofMicrocystisspp. in the different dose of clay. (a) Clay A, (b) Clay B, (c) Clay C, (d) Clay D
../../Resources/kswe/KSWE.2014.30.3.261/JKSWE-30-261_F3.jpg

황토 간 제거효율의 차이는 황토의 구성성분이나 입도의 차이 등에 영향을 받는다고 알려져 있다(Avnimelech et al., 1982; Han and Kim, 2001; Na et al., 1996; Pan et al., 2006). 황토의 알루미늄 성분은 수체 내 인 등 영양염을 제거하여 조류의 성장을 억제하거나 직접적으로 조류와 응집·침전을 통해 조류를 제거한다(Holz and Hoagland, 1999; James et al., 1991, Welch and Cooke, 1995). 황토 A, B, C는 황토 D 보다 알루미늄 성분 함량이 높은 것으로 확인되었으며(Fig. 2) 이것은 조류제거효율 차이에 영향을 미쳤을 것이다.

점토입자는 단위 무게당 표면적이 크고 이온화된 표면을 가지므로 이온성 물질의 흡착능이 높으나(Dzombak and Morel, 1987) 입자 형태와 양이온 교환능의 차이에 따라 점토광물 종류 간 차이를 보인다. Pan et al. (2006)의 SEM 이미지 촬영 결과, 카올리나이트 입자는 과립 형태로 M. aeruginosa 세포와 느슨하게 연결되어 있는 반면 세피오라 이트(sepiolite)는 섬유 형태로 M. aeruginosa 세포와 단단 히 엮여있어 응집능이 높았다. 한편 벤토나이트(bentonite) 의 응집 능력은 카올리나이트보다 15~22배 높다고 알려져 있다(Verspagen et al., 2006). 본 연구에서 황토 C와 D는 몬모릴로나이트를 함유하고 있는데 몬모릴로나이트는 강한 이온교환 성향가지며 층 사이로 쉽게 물을 흡수하여 크기 가 약 두 배 정도 팽창한다(Sengco, 1994). 많은 선행연구 에서 몬모릴로나이트는 높은 이온교환능력(Shirota, 1989), 표면 특성에 의한 표면장력(Yu et al., 1995) 등에 의하여 다양한 조류 종을 대상으로 높은 제거능력을 나타낸다고 보고하였다(Avnimelech et al., 1982; Maruyama et al., 1987; Na et al., 1996). 이 때문에 황토 C와 D는 나머지 황토에 비하여 흡착능이 높을 것으로 예상되었지만 본 연 구에서는 뚜렷한 차이를 보이지 않았다.

황토의 조류 제거 효율은 황토입자의 크기에 매우 민감 하다(Han and Kim, 2001). Na et al. (1998)Microcystis sp. 제거 실험에서 황토 입자가 작을수록 제거효율이 크다 고 보고하였다. 입자가 작을수록 표면적이 크고 확산속도는 증가하여 넓게 분산되며 침강속도는 감소하여 조류와 접촉 하는 시간과 면적이 증가하기 때문이다(Jheong, 2001; Kim, 1998). 한편, 여러 선행연구에서 입자 간 충돌효율은 입자 의 크기가 비슷할 때 최대가 되어 황토 입자와 조류 세포 크기가 유사할 때 황토의 조류 제거 효율이 최대가 된다고 보고하였다(Clesceri et al., 1999; Han and Kim, 2001; Pan et al., 2006; Yu et al., 1994a). Yoon et al. (1998)은 황토 입자크기를 50 μm 이하로 분쇄할 경우 적조생물 제거율이 높다고 하였으며 Yun et al. (2003)은 황토 입자 크기가 20~38 μm일 때 제거효율이 높다고 보고하였다. 이처럼 효 율적인 황토 입자 크기가 약간의 차이를 보이는 것은 각 연구에서 대상으로 한 조류 세포 크기 차이 때문인 것으로 판단된다. 본 연구에서 제거 대상인 Microcystis는 군체 형 태로 크기가 작게는 수십 μm에서 수백 μm로 매우 광범위 하였으며 황토 입자(0.02~2 mm)와 크기가 유사하였다. 한 편 재생황토(황토 A~C)와 자연황토(황토 D)의 제거효율 차 이는 황토의 입자크기에서 기인한 것으로 자연 상태의 생 황토인 황토 D는 나머지 황토에 비하여 입자 크기가 크기 때문에 황토 입자가 확산보다 침강이 우세하여 제거효율이 낮았던 것으로 판단되었다. (Table 3).

Table 3. Toxicity unit value obtained from 24h-acute toxicity test of clays for Daphnia magna and Vibrio fischeri Unit : TU
Dose of clay (g/L) Daphnia magna Vibrio fischeri
Clay A Clay B Clay C Clay D Clay A Clay B Clay C Clay D
0.05 0.0 0.0 0.0 0.0 0.0 0.0 0.0 0.0
0.1 0.0 0.0 0.0 0.0 0.0 0.0 0.0 0.0
0.5 0.0 0.0 0.0 0.0 0.0 0.0 0.0 0.0
1 0.0 0.0 0.0 0.0 0.0 0.0 0.0 0.0
3 0.0 0.0 0.0 0.0 0.0 0.0 0.0 0.0
5 0.0 0.0 0.0 0.0 0.0 0.0 0.0 0.0
7 0.0 0.0 0.0 0.0 0.0 0.0 0.0 0.0
10 0.0 0.0 0.0 0.0 0.0 0.0 0.0 0.0
15 0.0 0.0 0.0 0.0 0.0 0.0 0.0 0.0
20 0.0 0.0 0.0 0.0 0.0 0.0 0.0 0.0
50 0.0 0.0 0.0 0.0 0.0 0.0 0.0 0.0
100 0.0 0.0 0.0 0.0 0.0 0.0 1.2 0.0

3.4. 살포 후 pH 변화

황토 살포량이 증가할수록 pH는 감소하였으며, 그 중 황 토 C를 살포하였을 때 가장 큰 폭으로 감소하였고 황토 B 살포 시 변화폭이 작았다(Fig. 4). 60~70% 이상의 제거효 율을 보이는 재생황토 2 g/L, 자연황토 5 g/L 살포량에서 는 pH가 모두 7 이상으로 나타났다. 황토 A의 경우 살포 전 pH는 7.2~7.5 범위를 보였으며 살포 후 pH는 7 g/L 살 포 시 7.0, 10 g/L와 15 g/L에서 7.0, 최고 살포량 100 g/L 에서 6.2까지 감소하였다. 황토 B의 경우 살포 전 pH가 7.3~7.7의 범위를 보였고 살포 후 pH는 7.1~7.6의 범위를 보였다. 황토 C의 경우 살포 전 pH는 7.0~7.7의 범위를 보 였으며 살포 후 pH는 2 g/L 이하에서 7 이상, 10 g/L에서 6.5, 20 g/L에서 6.1, 50 g/L에서 5.5, 최고 살포량 100 g/L 에서는 4.8까지 감소하였다. 황토 D의 경우 살포 전 pH는 7.0~7.7의 범위를 보였으며 살포 후 pH는 5 g/L에서 7.2, 50 g/L에서 6.4, 최고 살포량 100 g/L에서는 6.1까지 감소 하였다. 황토가 살포되면 황토 바깥쪽의 알루미늄 이온이 가수분해 되어 수소이온을 형성하거나(Yun et al., 2003) 황 토의 Al2O3와 Fe2O3가 수화작용으로 Al(OH)3와 Fe(OH)3로 응집 석출되어 수산화이온이 소모되고 수소이온 농도가 높 아져 pH가 낮아진다(Vernon and Snoeyink, 1980). Kim (2000)은 황토의 살포량이 증가할수록 pH는 일률적으로 감 소한다고 하였고, Park and Lee (2007)의 연구에서도 황토 1, 3, 5, 7, 10 g/L 살포 시 pH가 7.6, 7.5, 7.3, 7.1, 6.8로 감소하였다. 따라서 황토 살포 후 pH 변화가 수중생물에게 영향을 주지 않는 범위에서 황토를 살포해야 한다.

Fig. 4. Change of pH before and after removal ofMicrocystisspp. using clays. (a) Clay A, (b) Clay B, (c) Clay C, (d) Clay D
../../Resources/kswe/KSWE.2014.30.3.261/JKSWE-30-261_F4.jpg

3.5. 생태독성평가

황토 살포 후 물벼룩(D. magna)과 발광박테리아(V. fischeri) 에 대한 급성생태독성은 황토 A, B, D의 모든 살포량에서 나타나지 않았다. 하지만 황토 C의 경우 물벼룩(D. magna) 은 모든 살포량에서 독성이 발현하지 않았으나 발광박테리 아(V. fischeri)는 본 연구 최고 살포량인 100 g/L에서 독성 (TU 1.2)이 발현하였다. 본 연구에서는 황토의 응집 및 침전 에 따라 중금속 용출이 거의 없었다는 점, 황토는 Microcystis spp. 세포를 파괴하지 않고 응집시키기 때문에 독소인 microcystin을 방출하지 않는다는 점(Pan et al., 2006) 등을 통해 독성이 거의 나타나지 않았던 것으로 사료된다. 몇몇 의 선행연구에서 황토 살포는 수중 생물에게 직접적 독성 영향이 없다고 하였으며(Cranford and Gordon, 1992; Cranford et al., 1999), Na et al. (1996)의 연구에서도 방어 의 체색이 퇴색된 것을 제외하고 폐사 등의 이상현상을 볼 수 없었다. 또한 KMI (2004)의 연구에서도 10.0 g/L의 농 도로 자연황토를 투입하였을 경우 양식생물인 어류, 패류, 해조류에도 영향이 거의 없었다. 하지만 황토 살포 후 pH 감소, 탁도 및 부유물질 농도 증가 등에 의해 수생태계에 영향을 미칠 수 있다. 황토 살포 등으로 인해 탁도가 100 NTU 를 초과하면 어류들이 스트레스를 받기 시작하고, 수 일 동안 지속될 경우 부화율이 감소한다(Michaud, 1991). Ahn (2010)의 연구에서 송사리(Oryzias latipes)를 대상으로 황토 0.5, 1, 2, 4 g/L를 살포하고 3주 동안 24시간 간격으로 치 사율 관찰한 결과, 노출 4일째에 4.0 g/L의 농도에서 처음 으로 1마리가 치사하였으며 황토의 투입 농도가 높을수록 어류의 생존기간이 단축되었다. 또한 치사한 개체군의 관찰 을 통해 아가미에 황토가 끼어있는 것을 발견하였고 이를 통해 호흡률이 저하되어 치사한 것으로 추정하였다.

4. Conclusion

현장에서 채집한 Microcystis spp.를 대상으로 국내에서 조류제거물질로 주로 사용하고 있는 황토 4종의 조류제거 효율과 생태독성을 조사하였다.

  1. 황토 4종은 입도 0.02~0.2 mm 이었고, 주요 화학성분비 는 이산화규소 (SiO2, 45.3~62.8%), 산화알루미늄 (Al2O3, 18.5~29.7%), 산화철 (Fe2O3, 5.4~7.9%)로 조사되었다. 광 물은 모든 황토에서 카올리나이트(kaolinite)가 검출되었 으며 황토 C와 D에서 조류제거효율이 높다고 알려진 몬모릴로나이트(montmorillonite)가 검출되었다.

  2. 조류제거효율은 황토 A, B, C를 2 g/L 살포 시 60% 이 상의 제거효율을 보였으며 5 g/L 이상에서는 100%에 근접하였다. 반면에 황토 D는 5 g/L에서 60% 이상의 제거효율을 보였으며 20 g/L에서는 95~100% 제거효율 을 보였다. 황토 살포량이 증가할수록 pH는 감소하였으 며, 그 중 황토 C를 살포하였을 때 가장 큰 폭으로 감 소하였고 황토 B 살포 시 변화폭이 작았다.

  3. 황토 살포 후 물벼룩(D. magna)과 발광박테리아(V. fischeri) 에 대한 생태독성은 황토 A, B, D의 모든 살포량에서 나타나지 않았다. 하지만 황토 C의 경우 물벼룩(D. magna)은 모든 살포량에서 독성이 발현하지 않았으나 발광박테리아(V. fischeri)는 100 g/L에서 독성(TU 1.2)이 발현하였다.

  4. 현재 담수 조류발생시 살포하고 있는 황토는 제품특성 에 따라 처리효율, pH 변화에 차이를 보이기 때문에 살포 시 사전 검토가 필요한 것으로 사료되었다.

References

1 
Ahn C.Y., Park M.H., Joung S.H., Kim H.S., Jang K.Y., Oh H.M., 2003, Growth Inhibition of Cyanobacteria by Ultrasonic Radiation: Laboratory and Enclosure Studies, Environmental Science and Technology, Vol. 37, No. 13, pp. 3031-3037Google Search
2 
Ahn S.M., 2010, [Korean Literature], The Assessment of Blue-Green Algae Microcystis Elimination Effect and Risk of Loess, Coagulants and Algicides, Master’s Thesis, Daegu University
3 
Avnimelech Y., Troeger B.W., Reed L.W., 1982, Mutual Flocculation of Algae and Clay: Evidence and Implication, Science, Vol. 216, No. 4541, pp. 63-65Google Search
4 
Cho H.G., Park S.J., Choo C.O., 2004, The Copper Absorption onto Hwangto Suspension from Pankok-ri, Kosung-gun, [Korean Literature], Journal of the Mineralogical Society of Korea, Vol. 17, No. 3, pp. 209-220Google Search
5 
Chon C.M., Park J.K., Kim J.G., Lee Y.S., 2010, Relationship between Physicochemical Properties, Heavy Metal Contents and Magnetic Susceptibility of Soils, [Korean Literature], Journal of the Mineralogical Society of Korea, Vol. 23, No. 4, pp. 281-295Google Search
6 
Clesceri L.S., Greenberg A.E., Eaton A.D., 1999, Standard Methods for the Examination of Water and Wastewater, American Public Health Association
7 
Cranford P.J., Gordon D.C., 1992, The Influence of Dilute Clay Suspensions on Sea Scallop (Placopecten magellanicus) Feeding Activity and Tissue Growth, Netherlands Journal of Sea Research, Vol. 30, pp. 107-120Google Search
8 
Cranford P.J., Gordon D.C., Armsworthy S.L., Tremblay G.H., 1999, Chronic Toxicity and Physical Disturbance Effects of Water- and Oil-Based Drilling Fluids and Some Major Constituents on Adult Sea Scallops (Placopecten magellanicus), Marine Environmental Research, Vol. 48, No. 3, pp. 225-256Google Search
9 
Dzombak D.A., Morel F.M.M., 1987, Adsorption of Inorganic Pollutants in Aquatic Systems, Journal of Hydraulic Engineering, Vol. 116, pp. 430-475Google Search
10 
Gastrich M.D., Leigh-Bell J.A., Gobler C.J., Anderson O.R., Wilhelm S.W., Bryan M., 2004, Viruses as Potential Regulators of Regional Brown Tide Blooms Caused by the Alga, Aureococcus anophagefferens, Estuaries, Vol. 27, No. 1, pp. 112-119Google Search
11 
Hagström J.A., Granéli E., 2005, Removal of Prymnesium parvum (Haptophyceae) Cells under Different Nutrient Conditions by Clay, Harmful Algae, Vol. 4, No. 2, pp. 249-260Google Search
12 
Han M.Y., Kim W., 2001, A Theoretical Consideration of Algae Removal with Clays, Microchemical Journal, Vol. 68, No. 2-3, pp. 157-161Google Search
13 
Hogg R., Healy T.W., Fuerstenau D.W., 1966, Mutual Coagulation of Colloidal Dispersions, Transactions of the Faraday Society, Vol. 62, pp. 1638-1651Google Search
14 
Holz J.C., Hoagland K.D., 1999, Effects of Phosphorus Reduction on Water Quality: Comparison of Alum-Treated and Untreated Portions of a Hypereutrophic Lake, Journal of Lake and Reservoir Management, Vol. 15, No. 1, pp. 70-82Google Search
15 
Huisman J.M., Matthijs H.C.P., Visser P.M., 2005, Harmful Cyanobacteria, Aquatic Ecology Series 3, Springer
16 
Hwang J.Y., Jang M.I., Kim J.S., Cho W.M., Ahn B.S., Kang S.W., 2000, Mineralogy and Chemical Composition of the Residual Soils(Hwangto) from South Korea, [Korean Literature], Journal of the Mineralogical Society of Korea, Vol. 13, pp. 147-163Google Search
17 
James W.F., Barko J.W., Taylor W.D., 1991, Effects of Alum Treatment on Phosphorus Dynamics in a North-Temperate Reservoir, Hydrobiologia, Vol. 215, No. 3, pp. 231-241Google Search
18 
Jeong E.D., Kim H.S., Park K.W., Paek U.H., 1999, A Study on Physical Properties and Adsorption Characteristics of Heavy Metal Ions of Loess, [Korean Literature], Journal of the Korean Environmental Sciences Society, Vol. 8, No. 4, pp. 491-496Google Search
19 
Jheong W.H., 2001, [Korean Literature], Characteristics of Occurrence and Control of Cyanobacteria and Phytoplankton in Lake Paldang. Ph. D. Dissertation, University of Dankook
20 
Jung K.J., Kim M.K., Hong T.K., 2003, Separation and Determination of Major Component(Si, Fe, Al, Mg and Ca) in Yellow Ochre, [Korean Literature], Journal of the Korean Society for Environmental Analysis, Vol. 6, pp. 153-155Google Search
21 
Kim S.J., 1998, Settling Characteristics of Natural Loess Particles in Seawater for Removal of Red Tides, [Korean Literature], Journal of Institute of Marine Industry, Vol. 10, pp. 51-55Google Search
22 
Kim S.J., 2000, Removal of Red Tide Organisms 2. Flocculation of Red Tide Organisms by Using Loess, [Korean Literature], Journal of Korean Fisheries Society, Vol. 33, No. 5, pp. 455-462Google Search
23 
Korea Environment Institute (KEI), 2010, [Korean Literature], Analysis and Management of Algal Bloom in the Nakdong River, Korea Environment Institute, pp. 45-50
24 
Korea Maritime Institute (KMI), 2004, [Korean Literature], Study on the Effect of Clay for the Red Tide and Improvement Plan, Korea Maritime Institute, pp. 25-66
25 
Lim B.J., Kim S.H., Jun S.O., 2002, Application of Various Plants as an Inhibitor of Algal Growth: Studies in Barge Enclosure and Artificially Eutrophicated Pond, [Korean Literature], Korean Journal of Limnology, Vol. 35, No. 2, pp. 123-132Google Search
26 
Maruyama T., Yamada R., Usui K., Suzuki H., Yoshida T., 1987, The Studies on Removal of Red Tide Plankton - II. Removal of Marine Red Tide Plankton with Acid-Treated Clay, [Japanese Literature], Nippon Suisan Gakkaishi, Vol. 53, No. 10, pp. 1811-1819Google Search
27 
Michaud J.P., 1991, A Citizen’s Guide to Understanding and Monitoring Lake and Streams, Washington State Department of Ecology, Publications Office, pp. 360-472
28 
Mitra A., Flynn K.J., 2006, Promotion of Harmful Algal Blooms by Zooplankton Predatory Activity, Biology Letters, Vol. 2, No. 2, pp. 194-197Google Search
29 
Na G.H., Choi W.J., Chun Y.Y., 1996, A Study on Red Tide Control with Loess Suspension, [Korean Literature], Journal of Aquaculture, Vol. 9, No. 3, pp. 239-245Google Search
30 
Na G.H., Nam J.B., Park K.D., Lee J.A., 1998, Experimental Elimination of Blue-Green Algae Microcystis sp. by Loess Suspension in Column Test, [Korean Literature], Journal of Korean Society on Water Environment, Vol. 14, No. 4, pp. 399-404Google Search
31 
Nagasaki K., Tarutani K., Yamaguchi M., 1999, Growth Characteristics of Heterosigma akashiwo Virus and Its Possible Use as a Microbiological Agent for Red Tide Control, Applied and Environmental Microbiology, Vol. 65, No. 3, pp. 898-902Google Search
32 
Nakano K., Lee T.J., Matsumura M., 2001, In Situ Algal Bloom Control by the Interaction of Ultrasonic Radiation and Jet Circulation to Flushing, Environmental Science and Technology, Vol. 35, pp. 4941-4946Google Search
33 
Paerl H.W., Fulton R.S., 2006, Ecology of Harmful Cyanobacteria, Ecology of Harmful Marine Algae, Springer-Verlag, pp. 95-107
34 
Paerl H.W., Huisman J., 2009, Climate Change: a Catalyst for Global Expansion of Harmful Cyanobacterial Blooms, Environmental Microbiology Reports, Vol. 1, No. 1, pp. 27-37Google Search
35 
Pan G., Zhang M.M., Chen H., Zou H., Yan H., 2006, Removal of Cyanobacterial Blooms in Taihu Lake Using Local Soils. I. Equilibrium and Kinetic Screening on the Flocculation of Microcystis aeruginosa Using Commercially Available Clays and Minerals, Environmental Pollution, Vol. 141, No. 2, pp. 195-200Google Search
36 
Park C.H., Lee B.H., 2006, Effects of Loess Application in Coastal Benthic Ecosystem, [Korean Literature], Journal of the Environmental Sciences, Vol. 15, No. 11, pp. 1035-1043Google Search
37 
Park C.H., Lee B.H., 2007, Additive Materials to Reduce the Amount of Loess Being Applied for Red Tide Removal on Coastal Water, [Korean Literature], Journal of the Environmental Sciences, Vol. 16, No. 6, pp. 745-750Google Search
38 
Park H.J., Kwon O.B., Ahn T.S., 2000, Water Quality Improvement by Artificial Floating Island, [Korean Literature], Journal of Korean Environmental Restoration Technology, Vol. 4, pp. 90-97Google Search
39 
Rounsefell G.A., Evans J.E., 1958, Large-Scale Experimental Test of Copper Sulfate as a Control for the Florida Red Tide, U.S. Fish and Wildlife Service, special science report 270, pp. 57Google Search
40 
Scheffer M., 1998, Ecology of Shallow Lakes, Chapman and Hall
41 
Sengco M.R., 1994, The Aggregation of Clay Minerals and Marine Microalgal Cells: Physicochemical Theory and Implications for Controlling Harmful Algal, Ph. D. Dissertation, B. S., Southampton College, Long Island University
42 
Sengco M.R., Anderson D.M., 2004, Controlling Harmful Algal Blooms through Clay Flocculation, Journal of Eukaryotic Microbiology, Vol. 51, No. 2, pp. 169-172Google Search
43 
Sengco M.R., Hagström J.A., Granéli E., Anderson D.M., 2005, Removal of Prymnesium parvum (Haptophyceae) and Its Toxins Using Clay Minerals, Harmful Algae, Vol. 4, No. 2, pp. 261-274Google Search
44 
Sengco M.R., Li A.S., Tugend K., Kulis D., Anderson D.M., 2001, Removal of Red- and Brown-Tide Cells Using Clay Flocculation. I. Laboratory Culture Experiments with Gymnodinium breve and Aureococcus anophagefferens, Marine Ecology Progress Series, Vol. 210, No. 41, pp. 41-53Google Search
45 
Shirota A., 1989, Red Tide Problem and Countermeasures (1), International Journal of Aquaculture and Fish Technology, Vol. 1, pp. 25-38Google Search
46 
Vernon L., Snoeyink D.J., 1980, Water Chemistry, John Wiley & Sons, pp. 264-271
47 
Verspagen J.M.H., Visser P.M., Huisman J., 2006, Aggregation with Clay Causes Sedimentation of the Buoyant Cyanobacteria Microcystis spp, Aquatic Microbial Ecology, Vol. 44, pp. 165-174Google Search
48 
Welch E.B., Cooke G.D., 1995, Effectiveness and Longevity of Alum Treatments in Lakes, Water Resources Series Technical Report No. 145, University of WashingtonGoogle Search
49 
Yoon S.J., Bae H.M., Huh S., Lee P.Y., 1998, Removal Effect of Red Tide by Particle Size of Clay, Korean Fisheries Society Congress, pp. 393-394Google Search
50 
Yu Z.M., Zou J.Z., Ma X.N., 1994a, Application of Clay to Removal of Red Tide Organism. I. Coagulation of Red Tide Organism with Clays, Chinese Journal of Oceanology & Limnology, Vol. 12, No. 3, pp. 193-200Google Search
51 
Yu Z.M., Zou J.Z., Ma X.N., 1994b, Application of Clay to Removal of Red Tide Organism. II. Coagulation of Different Species of Red Tide Organism with Montmorillonite and Effect of Clay Pretreatment, Chinese Journal of Oceanology & Limnology, Vol. 12, No. 4, pp. 316-324Google Search
52 
Yu Z.M., Zou J.Z., Ma X.N., 1995, Application of Clay to Removal of Red Tide Organism. III. The Coagulation of Kaolin on Red Tide Organism, Chinese Journal of Oceanology & Limnology, Vol. 13, No. 1, pp. 62-70Google Search
53 
Yun J.S., Kim S.H., Yoon C.H., 2003, Red-Tide Removal by Loess Spreading, [Korean Literature], Journal of Korean Society of Environmental Engineers, Vol. 25, No. 3, pp. 358-363Google Search