The Journal of
the Korean Society on Water Environment

The Journal of
the Korean Society on Water Environment

Bimonthly
  • ISSN : 2289-0971 (Print)
  • ISSN : 2289-098X (Online)
  • KCI Accredited Journal

Editorial Office


  1. 서울시립대학교 환경공학부 (Department of Environmental Engineering, Graduate School, University of Seoul)



Coagulation, Dewaterbility, Floc, Sedimentation, Sludge

1. Introduction

2012년부터 하수슬러지의 해양투기가 전면 금지됨에 따 라 하·폐수 처리장에서 발생하는 슬러지의 농축 및 탈수과 정이 이슈화되고 있다(Han and Yoon, 2006). 슬러지는 높 은 함수율과 다양한 유기성분 및 중금속 등이 함유된 유해 물질로 인식되고 있어 슬러지의 처리 문제는 매우 중요하 다. 따라서 소화와 탈수처리 등 슬러지의 감량을 위해 많 은 연구가 진행 중에 있으며, 기존 슬러지의 처리 기술보 다 다양한 접근방법을 통한 새로운 기술개발이 필요한 실 정이다(Kim and Nam, 2012; Neyens and Baeyens, 2003).

슬러지는 수분을 많이 함유하고 있어 감량화를 위해서는 슬러지 내 수분을 감소시키는 탈수공정이 중요하다. 슬러지 탈수의 핵심은 세포 안에 포획되어 있는 수분을 제거하는 것으로서 floc의 화학적, 구조적 및 물리적 성질들과 상당한 연관성을 가지고 있다. 그러므로 탈수효율을 향상시키기 위 해서는 슬러지의 floc 구조를 변형시킬 수 있는 전처리 공정 이 필요하다. 전처리 공정에는 열 전처리에 의한 생물학적 분해, 오존과 산 또는 알칼리, Fenton 시약 등의 화학약품 처리를 통한 분해가 쉬운 물질로의 전환, 초음파, 냉동 및 해동, 전기분해(Yuan et al., 2010), 효소 첨가 등이 있으며 이들 방법은 가용화를 위한 전처리 공정으로서 세포벽 파괴 및 분해 등을 통해 용해성 유기물질을 용출시켜 슬러지를 감량화 하는 것으로 이와 관련하여 전 세계적으로 많이 연 구되고 있다(Turchiuli and Fargues, 2004; Yu et al., 2009).

대부분의 하수처리장은 기계적 탈수공정 전에 적합한 화 학응집제를 주입하여 응집/응결 및 침전시키는 화학적 처 리를 이용한다. 이는 침전되지 않는 콜로이드 입자들을 제 거하기 위해 응집제 및 응집 보조제를 주입하고 floc을 형 성시켜 중력 침강 및 고액 분리시키는 방법을 말한다. 초 기에는 철염 또는 알루미늄, lime 등을 사용하였으나 슬러 지의 부피 및 양 증가 등의 단점으로 인하여 무기 응집제 와 유기 고분자 응집제를 복합적으로 사용하는 것이 일반 적이며, 이는 큰 floc을 형성시킬 뿐 아니라 pin floc을 해 소하는 등 침강성을 향상시켜 준다. 또한 양이온의 농도는 슬러지 탈수와 긍정적인 상관관계를 가지며, 양이온이 불균 형한 슬러지의 경우 양이온의 농도를 첨가하는 등 보정을 통해 탈수성을 높일 수 있다(Han et al., 2011; Lim, 2001; Matthew and John, 1997).

응집제 처리공정은 응집제 주입량에 따른 슬러지의 성상 변화(pH, 점도, 고형물 농도 등)의 특성에 따라서 탈수 공 정에 영향을 준다(Lee, 2008; Seo et al., 1996). 총 고형물 의 함량에 따라 응집제의 투입량이 달라지는데, 적정 주입 량보다 증가한 경우에는 응집제 과잉현상으로 인하여 탈수 성이 저하되며 또한 적정량 투입한 후에 반응시간이 길어 지면 큰 floc 들이 다시 파괴되어 탈수성이 악화되기 때문 에 최적의 응집 조건을 찾는 것은 굉장히 중요하다(Kim, 2006). 또한 탈수성에 부정적으로 영향을 미치는 물질로서 슬러지 중의 ECP(exocellular polymer)는 floc을 형성하는 과정에서 가교 역할을 하여 응집 형성을 유도하나, ECP는 슬러지의 침강성을 불량하게 만들기 때문에 정량화가 필요 하다. ECP를 제거하는 전처리 방법으로 산 처리와 오존 및 초음파 등을 활용한 연구가 보고되고 있다. (Chen et al., 2001; Hwang et al., 2002).

이와 같이 탈수공정은 여러 가지 요인들이 작용하며, 탈 수효율을 높이기 위해서는 슬러지와 응집제 반응 Mechanism 특성을 조사 및 연구해야 한다.

본 연구는 무기 및 유기 응집제를 활용하여 단일과 이액 주입 방식을 적용한 하수슬러지와 응집제 반응 특성으로부 터 침강성과 탈수 효율을 고찰하고자 하였다.

2. Materials and Methods

2.1. 시료

본 연구에서 사용된 시료는 경기도에 위치한 J 하수종말 처리장의 2차 침전지에서 발생한 잉여슬러지를 직접 채취하 여 사용하였으며, 슬러지의 변질을 방지하기 위해 즉시 실 험을 수행하였고, 여분의 시료는 항온 냉장실에 보관하였다.

2.2. 응집제

응집제는 본 연구에 사용된 슬러지에 적합한 응집제로서 정수 및 하수 처리장에서 보편적으로 많이 쓰이는 알루미 늄계열의 PAC (Ploy Aluminium Chloride, Al2O3 17%) 응집 제와 양이온성의 유기 폴리머 응집제를 사용하였다. 무기응 집제는 10배 희석하였고, 희석된 용액의 pH와 점도(mPa·s) 는 각각 pH 3.32 및 3.04 (21°C)이었다. 양이온성의 유기 응집제는 Y 화학에서 제공하는 ‘C-210P’라는 중양이온성의 분말형 응집제를 사용하였으며 하수도 설계 기준(KWWA, 2011)에 따라 슬러지 개량을 위한 농도 범위인 0.2%를 적 용시켜 실험을 진행하였다. 0.2% 양이온 응집제 용액의 pH 와 점도(mPa·s)는 각각 pH 3.62 및 4.83(21°C)이었다.

2.3. Jar-test 및 탈수 실험

대상 슬러지와 응집제의 응집 반응 특성과 최적 주입량 을 도출하기 위해 bench scale 방식의 Jar-test를 수행하였 다. Jar-tester에 대한 교반기 paddle의 기본구조는 Fig. 1과 같고, 교반 조건은 Table 1에 나타내었다. 실험조건은 대상 시료 200 mL에 응집제 종류별로 주입량의 변화를 주었으 며, 응집제의 점도를 고려하여 주사기로 정확한 주입량을 주입하였다.

Fig. 1. Schematic diagram of paddle.
../../Resources/kswe/KSWE.2014.30.3.311/JKSWE-30-311_F1.jpg
Table 1. Stirring conditions of Jar-tester
Rapid mixing Slow mixing
Rpm 200 50
Time (min) 1 5

탈수성 실험은 SRF 방법을 적용하여 실험실에서 손쉽게 할 수 있는 buchner funnel 여과법으로 구성하였고 여과지는 Whatman No. 1 filter paper (Φ 47mm)를 사용하였다. 여과지 를 buchner funnel 위에 증류수를 이용하여 밀착시키고, Jar-test 이후 응집된 슬러지를 floc이 깨지지 않도록 균일하 게 혼합하여 여과하였으며, 여액량에 따른 시간을 기록하였 다. 초기 여과시점은 진공펌프를 작동 했을 때 일정한 압 력이 유지되는 시점으로 정하였으며, 여액이 분당 1 mL 이 상 떨어지지 않을 경우 측정을 완료하였다.

비저항 계수는 Darcy의 수정된 여과방정식으로부터 다음 과 같이 표현할 수 있다.

(1)
dV dt = P T A 2 μ rCV + R M A
(2)
t V = μ rCV 2 P T A 2 + μ R M P T A
(3)
b = μ rC 2 P T A 2 , a = μ R M P T A
(4)
r = 2 P T A 2 b μ C

t : 여과시간 (sec)

V : 여액 부피 (m3)

μ : 점도 (N·sec/m2)

r : 비저항계수 (m/kg)

A : 여과지 면적 (m2)

PT : 압력 (N/m2)

RM : 여과지 저항 (1/m)

C : 여액 단위 체적당 건조 고형물의 무게 (kg/m3)

식 (1)을 적분하면 식 (2)를 얻을 수 있다. 식 (2)로부터 t/V (sec/m3)와 V (m3)를 y = bx + a의 1차 함수로 나타내면 기울기 b와 절편 a는 식 (3)과 같으며, 기울기 b를 r에 대 하여 정리하면 식 (4)로 정리할 수 있다. 따라서 t/V와 V에 관하여 도식화 한 후 그 기울기로부터 비저항 계수 r 값을 식 (4)에 의해 계산할 수 있다(Lee et al., 2010).

2.4. 분석 방법

본 연구의 분석은 Standard Method를 적용하여 수행하였 다(Eugene et al., 2012). 슬러지와 무기 및 유기응집제의 최적 응집제 주입농도를 결정하기 위해 Jar-test 실험을 수 행하였고, 30min 방치 후 상징수의 Zeta 전위를 분석하였 다(Brookhaven Co, Zetaplus model). 응집 전-후 시료의 성 상변화를 알아보기 위해 온도, pH, 알칼리도를 측정하였고. 최종적으로 floc의 크기 및 침강특성을 비교하였으며, 유기 응집제에 의해 형성된 floc의 크기는 모눈종이를 이용한 대 략적인 측정뿐만 아니라 침강성 실험으로서 보충하였다. 이 에 따른 결과로부터 탈수효율에 미치는 영향을 평가하였다. 또한 탈수성 실험에서 점도측정(SEKONIC Co, VM-300 model) 과 단일 응집제 주입방식 이외에 무기응집제와 유기응집제 를 모두 활용한 이액주입 방식의 탈수 효율을 비교하였다. 이액주입 방식의 실험방법은 무기응집제를 200rpm에서 1min 동안 선반응 시킨 후, 유기응집제를 주입하여 동일한 교반 조건 후에 50rpm에서 5min간 완속교반을 수행하였다.

3. Results and Discussion

3.1. 시료 성상

하수슬러지는 성상 특성에 따라서 응집 및 탈수 공정에 대한 분석 조건이 달라지기 때문에 하수 슬러지의 물리/화 학적 특성을 조사하는 것은 필수적이다. 따라서 본 시료의 성상 결과를 Table 2에 나타내었다.

Table 2. Characteristics of the excess sludge
°C pH Zeta Potential (mV) TS (mg/L) VS/TS (mg/mg) SRF (m/kg)
19.5 ± 0.5 6.55 ± 0.8 -16.15 ± 0.3 14,020 0.74 2.85 × 1012

3.2. Jar-test 실험 결과

3.2.1. Zeta 전위 측정 결과 (응집제 주입 농도 결정)

본 연구에서의 대상 시료에 대한 응집제 종류 및 주입량 별에 따른 최적 응집 조건을 도출하기 위하여 상징수에 대 한 Zeta 전위를 측정함으로서 최적 응집제 주입 농도를 결 정하였다. Zeta 전위는 용액 속에 존재하고 있는 콜로이드 입자의 표면 전기적 특성을 나타내는 전위 값으로, 값이 클수록 입자 사이의 정전기적 반발력으로 인하여 응집이 이루어지지 않는 반면 ‘0’에 가까울수록 큰 응집을 형성하 게 된다. 따라서 Zeta 전위를 통해 용액에 존재하는 입자의 안정성을 측정할 수 있기 때문에 수 처리에 있어서 응집 공정의 효율을 평가하는 지표라 할 수 있다. 시료 200 mL 당 PAC는 0.1-1.5 mL와 C-210P의 경우는 2-8 mL의 응집제 를 각각 첨가한 후 생성된 floc의 침강으로부터 상징수를 취하여 Zeta 전위를 측정하였다.

응집제 주입량에 따른 Zeta 전위 결과 값은 Fig. 2에 나타내었 다. 그 결과 PAC 응집제는 0.5 mL (Al 26mg/L), C-210P는 5.5 mL (55 mg/L) 주입량에서 Zeta 전위 값이 0mV에 가깝게 수렴 하였으며, 이때의 농도를 최적 주입량으로 결정하였다.

Fig. 2. Zeta potential according to dose of coagulant.
../../Resources/kswe/KSWE.2014.30.3.311/JKSWE-30-311_F2.jpg

Fig. 3은 각 응집제별 최적 주입량일 때, Zeta 전위 값을 보여준다.

Fig. 3. Zeta potential of the optimum coagulant dose.
../../Resources/kswe/KSWE.2014.30.3.311/JKSWE-30-311_F3.jpg

3.2.2. pH 및 알칼리도 변화량 측정 결과

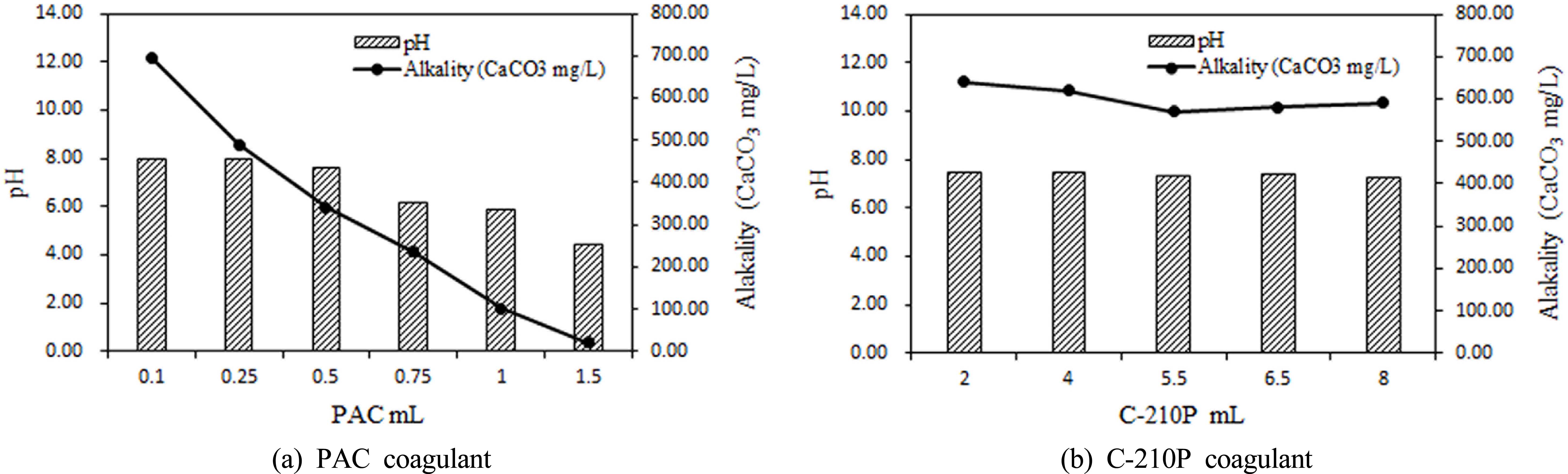
PAC 및 C-210P 응집제의 농도별 주입량에 따른 상징수 의 pH 및 알칼리도 측정 결과를 Fig. 4에 나타내었다.

Fig. 4. pH and Alkalinity according to dose of coagulants.
../../Resources/kswe/KSWE.2014.30.3.311/JKSWE-30-311_F4.jpg

PAC 응집제 주입량에 따른 pH와 알칼리도 변화량을 살펴 보면 그래프 (a)에서 보여주듯이 주입량 0.5 mL (Al 26 mg/L) 에서 주입량을 증가할수록 pH가 4.4까지 감소하였으며, pH 감소와 더불어 알칼리도 값 또한 큰 감소폭으로 변화함을 알 수 있었다. 반면, C-210P 응집제 농도에 따른 pH와 알 칼리도의 그래프 (b)는 비교적 pH 값이 일정하며, 실제 약 pH 평균 7.4를 기준으로 ±0.1 정도의 pH 차이 값들을 보 였다. 일정한 pH 값 변화와 관계있듯이 알칼리도 또한 PAC 응집제와는 비교적 일정한 값을 유지하였다. 이를 통 해 pH와 알칼리도가 응집 반응의 영향 요인임을 고려했을 때 응집제의 주입량에 따른 pH 및 알칼리도의 영향이 큰 PAC 응집제가 C-210P 응집제 보다 응집효율에 영향을 줄 것으로 판단된다.

3.3. 탈수 효율 평가

3.3.1. Floc의 크기 및 침강성 비교

본 연구는 응집제와 슬러지와의 반응으로부터 형성된 floc의 크기 및 침강성이 탈수 성능에 미치는 영향을 알아 보기 위해 수행하였다.

Fig. 5는 응집제 종류별에 따라 floc의 크기를 비교한 자 료로서 최적 주입량을 기준으로 그 이하, 이상 주입했을 때 floc의 실제 모습을 보여준다. 유기 응집제의 대표적인 장점이 잘 나타나 있듯이 무기 응집제와는 다르게 floc의 크기가 유기 응집제 주입량이 많을수록 크게 형성하였으며, 약 1 cm - 1.5 cm 크기의 floc을 형성하였다. 또한 무기 응집 제와 유기 응집제를 이용한 이액 주입 방식은 유기 응집제 를 단독으로 주입했을 때 보다 floc의 크기는 크지 않지만, 유기 응집제 주입에 의하여 크기 분별이 가능할 정도로 floc 이 형성되었음을 판단할 수 있다.

Fig. 5. Pictures for floc according to dose of coagulants.
../../Resources/kswe/KSWE.2014.30.3.311/JKSWE-30-311_F5.jpg

침강은 기본적으로 4가지 형태인 독립 침강, 응집 침강, 계면 침강, 압밀 침강으로 분류된다. 고농도의 부유물질을 포함한 침강은 일반적으로 계면 침전과 압밀침전이 독립 및 응집 침전과 함께 일어난다. 균일한 농도의 부유물질을 메 스실린더에 넣었을 경우, 단계적으로 침전이 이루어지는데 먼저, 분산되어 있는 가벼운 입자들은 독립 입자나 응결성 입자와 같이 침전되고 침전이 계속 일어나면 계면 침전 층 과 상층부에 맑은 층이 형성되면서 뚜렷한 경계면이 형성된 다. 이를 계면 침강이라고 하며, 압밀 침강은 연속적으로 가 해지는 응집 입자들에 무게 때문에 일어난다. 또한, 이와 같 은 침강 양상은 슬러지의 고형 입자 농도, 크기, 점도, 밀도 등의 특성에 따라 다르다. (Tchobanoglous et al., 2004).

본 논문에서는 입자를 포함한 현탁액의 침강성 실험을 메스실린더를 이용하여 0-200min동안 5-10min 간격마다 floc 의 침강 부피를 측정함으로서 일정 시간 동안 floc의 침강 부피(mL)를 측정하는 방법으로 구성하였다. 이때, Jar-test 이후에 대상 시료는 floc이 깨지지 않도록 균일하게 혼합하 였다. 또한, 슬러지에 주입할 응집제는 floc 크기에 따른 침강 특성에 대한 뚜렷한 결과를 비교하기 위해서 PAC 응집제 보다는 다양한 크기의 floc을 형성 시킬 수 있는 C-210P 응집제를 활용하여 최적 주입량을 기준으로 floc 크기의 변 화와 그에 따른 침강성의 변화를 비교하는 목적으로 본 실 험을 수행하였다.

일정시간 간격에 따른 침강부피를 측정한 결과 비교적 계면 층 위로 맑은 층을 형성하였으며, 초기 침강 부피에 대한 t시간에서의 침강 부피 비(Vt/V0)를 Fig. 6에 나타내었 다. Fig. 6을 보면 각각 주입량 5.5 mL, 8 mL에서는 10~30 min에서 급격하게 침강하나 30min 이후에는 변화가 없었 으며, 200min 까지의 최종 침강 체적 부피율은 85-90% 이 였다. 반면, 주입량 2 mL에서는 200min 동안 완만하게 감 소하는 경향을 보였고, 최종 침강 체적 부피율은 대략 75% 값으로 상대적으로 주입량 5.5 mL, 8 mL 보다는 10% 정도 이상에 침강이 이루어졌음을 알 수 있었다. 결과적으로 30min 이전의 각 주입량에 따른 그래프의 기울기를 비교하 면 floc의 크기가 클수록 침강성이 좋지만, floc이 최종 시 간까지 침강한 전체 침강 체적 부피는 주입량이 5.5 mL < 8 mL < 2 mL 순서로 초기(t=0) 보다 침강이 많이 이루어졌으 며 floc 크기와 비교했을 때 상관성이 없는 결과라 할 수 있다. 이 결과는 응집제 주입량을 많이 주입하여 응집 농 도 증가 및 floc의 크기를 성장시킴으로 인해 침강 하는 과 정에서의 간섭 받는 영향력이 많을 뿐만 아니라, 고 농도 의 입자성을 갖는 현탁액을 침강 시킬 경우에는 자유 침강, 간섭 침강, 압축 침강들이 단계적으로 과정이 진행되기 때 문에 오히려 응집 농도가 저 농도일 경우가 침강 반응 속 도가 빠르게 형성된 것으로 판단된다(Tchobanoglous et al., 2004). 뿐만 아니라 침강 현상은 이론적으로 floc의 크기 외 모양, 밀도, 점도, 고형물 농도 등 많은 요인들이 작용 하기 때문에 본 실험 방법으로서는 응집 현탁 용액의 환경 조건에 따른 floc 간의 상호 작용이 고려되어 나타난 결과 로서 해석하기에는 어려운 점이 있다(Zhao, 2004a, 2004b).

Fig. 6. Sedimentation volume according to time of floc.
../../Resources/kswe/KSWE.2014.30.3.311/JKSWE-30-311_F6.jpg

일반적인 슬러지의 침강성을 측정할 수 있는 방법으로 SVI (Sludge Volume Index) 및 SDI (Sludge Density Index) 값을 또한 구하였다. 일반적으로 SVI는 50-150 범위에서, SDI는 0.83-1.67 범위가 적당하다. Table 3에 C-210P 응집 제의 주입 농도에 따른 SVI 및 SDI 값을 비교한 결과 두 지표 모두 양호한 범위 안의 값을 나타내며 이로부터 최적 응집제 농도 조건 기준에서 그 이하 또는 이상의 주입량의 경우 양호한 침강 및 응집성을 가짐을 알 수 있었다. SVI 및 SDI 측정 외 고형물 flux 값을 산출하여 침강 특성을 분석하였다. 고형물 flux는 단위 시간 동안에 단위 면적 당 고형물 이동량을 말하며, 고형물 농도를 변화에 따른 일련 의 침강 실험을 통해 얻어진 자료부터 얻을 수 있다. 중력 에 의한 고형물 flux는 고형물의 농도와 그 농도에서의 고 액계면 침강속도에 의해 결정되며 관계식은 다음과 같다. (Kim, 2005; Kim et al., 2004).

Table 3. SVI and SDI values of organic polymer coagulant
No. Dose (mL) Concentration (mg/L) SVI SDI
1 2 20 83.23 1.20
2 5.5 55 81.12 1.23
3 8 80 69.44 1.44
dose : mL/200mL
SF g = C i × V i × 10 6 mg / kg - 1

SFg = 중력의 의한 고형물질 플럭스, kg/m2h

Ci = i 지점에서의 고형물 농도, mg/L

Vi = 농도 Ci 에서의 고액계면의 침강속도, m/h

본 연구에서는 슬러지 고형물 농도에 따른 고형물 flux가 아닌 0-200min 범위에서의 각 침강 속도를 구하여 침강 시 간에 따른 고형물 flux 관계를 통해 침전되는 응집 입자의 이동량을 계산하였다. 이 때, C-210P 2, 5.5, 8 mL의 주입량 에 해당하는 시료의 고형물 농도는 2966.67 mg/L, 3095.11 mg/L, 3330.11 mg/L 이였다.

그 결과 Fig. 7에 나와 있듯이 초기의 고형물 flux 값과 침강 시간이 지남에 따른 고형물 flux 변화로부터 응집 입 자가 침강되는 이동량의 폭이 응집제 주입량이 많을수록 크다는 것을 알 수 있었다. 이에 대한 주된 영향 요인은 침강 속도의 차이일 것으로 판단되어지며, 전체적으로 양호 한 SVI 및 SDI 값과 고형물 flux를 고려했을 때, 본 연구 에서는 양이온 고분자 응집제를 최적 주입량에 상관없이 형성된 floc 크기가 클수록 일시적인 순간의 침강 속도는 좋지만, 전반적으로 여러 환경 조건을 무시하고 floc 크기 만을 침강효율의 영향 요소로 분석하기에는 어려움이 있다 는 것을 확인하였다.

Fig. 7. Variation of solid flux according to sedimentation time.
../../Resources/kswe/KSWE.2014.30.3.311/JKSWE-30-311_F7.jpg

3.3.2. SRF (Specific Resistance of Filtration, 비여과저항)

응집제 종류 및 주입 방식에 따른 슬러지의 탈수성 효율 을 알아보기 위해 SRF(Specific Resistance of Filtration, 비 여과저항) 실험을 수행하였다. 또한, SRF 탈수 실험에 영 향을 줄 수 있는 중요 요인 중 탈수성 평가를 위한 비교 인자로서 점도를 측정하였다.

PAC 및 C-210P 응집제에 대한 각각의 단일 주입 방식과 PAC 응집제를 선반응 시킨 후 C-210P 응집제를 주입하는 이액 주입 방식을 통하여 주입 방식에 따른 탈수 특성을 조사하였다. 이액 주입 방식은 Zeta 전위 결과로부터 얻은 PAC 응집제의 최적 농도 값을 고정하고 이에 따른 C-210P 응집 제 농도 변화 실험을 통해 SRF 결과 값을 얻었다.

Table 4로부터 알 수 있듯이, 각 응집제 주입 농도별에 따른 응집 전후의 점도는 C-210P 응집제가 PAC 응집제보 다 높지만, 0.81-0.87 mPa·S의 범위로 약 4-7% 정도의 차 이 밖에 나지 않기 때문에 탈수성에 미치는 영향력은 높지 않을 것으로 판단된다. 탈수성은 SRF 값이 클수록 나쁨을 의미하므로 응집제의 단일 주입 방식만 비교했을 때 전체 적으로 농도가 증가할수록 탈수성이 향상되었다. PAC 응집 제보다 C-210P 응집제의 탈수성이 좋게 나타났으며, 최적 응집 조건에서의 탈수성은 각각 SRF (r, m/kg)값이 1.16×1012 (PAC 0.5 mL), 3.14×1011 (C-210P 5.5 mL)로 C-210P 응집제 가 높은 탈수성을 보여주었다. 반면 이액 주입 방식은 단일 주입 방식의 응집 조건보다는 응집제 농도 변화에 따른 비 저항 계수 r 값의 차이가 크지 않았으며 PAC 0.5 mL(Al 26 mg/L) 만 주입하는 경우보다 C-210P 응집제를 후공정으로 주입할 경우가 최소 30%에서 최대 75%까지 높은 효율을 나타내었다. 본 실험 결과로부터 양이온성의 유기 응집제가 탈수성 효율이 높은 이유는 C-210P 응집제로 응집 반응 시 킨 결과가 Fig. 5와 Fig. 6, 7에서 알 수 있듯이 큰 입자를 형성함으로서 슬러지 cake 상과 액상 사이에 고액 분리 및 침강성이 좋았기 때문이며 결과적으로 슬러지의 부피 감소 와 큰 입자간의 탈수 될 수 있는 큰 공간율로 부터 높은 탈수성 결과가 나온 것이라 판단된다. 또한 무기응집제와 유기 응집제의 이액 방식에서도 PAC 응집제의 선반응으로 인하여 슬러지의 표면전하를 앞서 중화시키고 유기 응집제가 큰 floc으로 성장시키는 응집 반응 mechanism 때문에 PAC 응집제보다는 더 높은 탈수 효과를 나타난 결과로 판단된 다(Jung et al., 2012). 본 논문과 관련하여 타 연구에서는 잉여슬러지를 폴리 아크릴 아미드 계통의 분말 고분자 응 집제를 주입하여, 주입 농도 조건하에서 1.25 × 1011 ~ 1.46 × 1010 m/Kg 범위의 비저항 값을 얻었으며, 잉여 슬러지와 소 화슬러지를 혼합한 경우에는 잉여슬러지의 혼합비가 높을 수록 오히려 탈수 성능을 떨어뜨리는 결과가 나타났다(Kim et al., 1998). 농축슬러지의 탈수성 향상에 대한 개선 방법 으로 폐지 및 카본을 주입을 하면 SRF 값으로부터 최대 98%의 효율을 얻을 수 있으며(Moon, 2011), 고농도의 축산 폐수는 무기 및 양이온 고분자 응집제의 단독 주입하는 것 보다 혼합 적용할 시에 침강성과 탈수성의 높은 효율(Kang and Min, 2002) 등을 보여준다. 타 연구와 다르게, 본 연구 에서의 잉여슬러지를 이용한 탈수 효율은 무기 응집제 및 유기 응집제, 혼합 응집제를 사용 했을 경우, 주입한 농도 범위에서의 가장 낮은 SRF 값은 응집제를 주입하지 않은 슬러지의 초기 SRF 값보다 각각 89.71, 99.18, 89.75% 감 소 효율의 결과를 얻을 수 있었다.

Table 4. Viscosity and resistivity coefficient by injection of coagulants (20 ± 0.5°C)
(a) PAC coagulant
No. Dose (mL) Concentration (mg/L) Viscosity (mPa•s) r (resistivity coefficient, m/kg)
1 0.1 5.2 0.82 3.71 × 1012
2 0.25 13 0.82 2.44 × 1012
3 0.5 26 0.82 1.16 × 1012
4 0.75 39 0.82 6.96 × 1011
5 1 52 0.81 3.73 × 1011
6 1.5 78 0.82 2.93 × 1011
(b) C-210P coagulant
No. Dose (mL) Concentration (mg/L) Viscosity (mPa•s) r (resistivity coefficient, m/kg)
1 2 20 0.87 1.37 × 1012
2 4 40 0.87 4.08 × 1011
3 5.5 55 0.84 3.14 × 1011
4 6.5 65 0.84 4.66 × 1011
5 8 80 0.84 2.35 × 1010
(c) (PAC + C-210P) coagulant
No. PAC C-210P Viscosity (mPa•s) r (resistivity coefficient, m/kg)
Dose (mL) Dose (mL) Concentration (mg/L)
1 0.5 2 20 0.81 8.08 × 1011
2 4 40 0.81 5.36×1011
3 5.5 55 0.83 4.03×1011
4 6.5 66 0.82 3.90×1011
5 8 80 0.84 2.92×1011
dose : mL/200mL

4. Conclusion

본 연구는 하수슬러지와 무기 및 양이온성 유기 응집제 와의 반응으로부터 형성된 입자의 크기 및 침강성이 탈수 성에 미치는 영향에 관하여 연구를 수행하였으며 연구 결 과는 다음과 같다.

  1. 최적 응집제 주입 농도를 결정하기 위해 각 응집제별 주입량에 따른 Jar-test를 실험한 후 상징수로부터 Zeta 전위를 측정한 결과, PAC는 0.5 mL (Al 26 mg/L), 0.2% C-210P는 5.5 mL (55 mg/L) 로 결정되었다. 또한, 응집 제와 슬러지와의 반응 전·후 pH 및 알칼리도 측정 결 과, C-210P 응집제는 일정한 양상을 보인 반면 PAC 응 집제는 감소하는 경향을 보였다.

  2. 응집제 종류별 슬러지와의 응집 반응 결과, 유기 응집제 를 주입한 경우가 확연하게 floc을 크게 형성하였음을 보였다. 유기 응집제의 침강 특성은 SVI와 SDI 값으로 부터 양호한 침강성 및 응집성을 가짐을 확인하였으며 침강 시간에 따른 고형물 flux 관계로부터 응집제 주입 량이 많을수록 침강 속도가 크다는 것을 알 수 있었다. 그 결과 floc의 크기가 침강성 향상에 직접적인 영향을 준다고 해석하기에는 어려움이 있을 뿐만 아니라 침강 성에 관한 본 연구에서의 실험 방법은 이론적으로 침강 성에 영향을 줄 수 있는 모든 환경 요인들을 고려한 결 과라 평가할 수 없기 때문에, 이에 대해서는 추가적인 다 른 연구 방법이 더 필요할 것으로 판단하였다.

  3. 단일 및 이액 주입 방식으로부터 응집제 주입 농도에 따른 탈수성 효율을 비교하기 위해 SRF 실험을 수행하 였다. 무기응집제에 의한 슬러지의 표면 전하 중화와 유 기 응집제의 응집 반응 특성을 분석 한 결과, 최적 주입 농도의 단일 무기 응집제를 주입한 조건보다 이액 방식 으로 주입한 경우가 최대 75% 까지 효율을 보였다. 또 한, 각 응집제 주입 종류별로 나타난 최소 SRF 값을 기 준으로 비교했을 때, 무기<이액<유기 응집제 주입 순으 로 높은 탈수성 결과를 얻을 수 있었다.

Acknowledgement

본 연구는 환경부 글로벌탑환경기술개발 사업단의 “하·폐 수 고도처리 기술개발 사업단” 의 지원에 의해서 수행된 과 제임(과제번호 : GT-11-B-01-018-0)

References

1 
Chen Y., Yan H., Gu G., 2001, Effect of Acid and Surfactant Treatment on Activated Sludge Dewatering and Settling, Water Research, Vol. 35, No. 11, pp. 2615-2620Google Search
2 
Eugene W.R., Rodger B.B., Andrew D.E., Lenore S.C., 2012, Standard Methods For the Examination of Water and Wastewater, American Public Health Association (APHA), pp. 104-106
3 
Han G.B., Yoon J.H., 2006, Effective Correlation between Coagulation Efficiency and the Sludge Settling Characteristic, [Korean Literature], Journal of the Korea Organic Resource Recycling Association, Vol. 14, No. 1, pp. 151-159Google Search
4 
Han S.H., Yang D.J., Kim D.G., 2011, [Korean Literature], Application of Coagulant Aid to Improve Coagulation and Settling Efficiency, Korean Society of Water Environment and Korean Society of Water and Wastewater, pp. 911-912
5 
Hwang S.J., Jeong K.H., Whang G.D., 2002, Effect of ECP (exocellular polymers) Changes to the Dewaterability and Settlability of Wastewater Sludge Pretreated by Acid and Ultrasonic, [Korean Literature], Journal of Korean Society of Water and Wastewater, Vol. 16, No. 6, pp. 733-740Google Search
6 
Jung J.S., Oh M.H., Han I.S., Hong S.M., Hong S.H., 2012, A Study of the T-N, T-P Change According to the PFS (Poly Ferric Sulfate) of Complex Method Coagulation Injection Using the Disk Type Thickener in Sewage Sludge Treatment, [Korean Literature], Journal of Material Cycles and Waste Management, Vol. 29, No. 6, pp. 568-574Google Search
7 
Kang S.H., Min K.S., 2002, Enhancement of Dewatering and Settling Characteristics for Swine Wastewater Using Coagulants, [Korean Literature], Journal of Korean Society on Water Environment, Vol. 18, No. 3, pp. 313-319Google Search
8 
Kim B.S., 2005, [Korean Literature], A Study on the Improvement of Sludge Treatment System Applying to Solid Flux Theory. Master’s Thesis, Chungnam National university, pp. 1-50
9 
Kim H.G., Lee S.B., Kim H.Y., 1998, [Korean Literature], Studies on the Characteristics of Sedimentation and Dehydration for Sewage-Sludge, The Research Institute of Industrial Technology Conbuk National University, Vol. 30, pp. 97-102
10 
Kim J.E., 2006, [Korean Literature], Estimation of Dewatering Factor for Optimized Dewatering System of Sewage Sludge, Master’s Thesis, Dong-A University, pp. 1-47
11 
Kim J.H., Nam S.Y., 2012, Influence of Conditioning Properties on Sewage Sludge Dewatering, [Korean Literature], Journal of Korea Society of Waste Management, Vol. 29, No. 8, pp. 800-805Google Search
12 
Kim Y.T., Hong C.W., Nam J.H., Kwon W.S., Park C.H., 2004, [Korean Literature], A Study on Solid FLUX Optimization of Wastewater Sludge by Bath Gravity Thickening Test, Korean society of water environment and Korean Society of Water and Wastewater, pp. 14-17
13 
Korea Water and Wastewater Works Association (KWWA), 2011, [Korean Literature], Sewage Facilities Standard, Construction Books Publisher, pp. 759-765
14 
Lee C.H., 2008, The Sludge Conditioning and Dewatering Properties of Waste Sludge with Metal Salt, [Korean Literature], Journal of Korean Society of Environmental Engineers, Vol. 30, No. 8, pp. 775-780Google Search
15 
Lee C.H., Ahn K.H., Song S.K., 2010, Dewatering Characteristics for Physico-Chemical Properties with Sewage Sludge, [Korean Literature], Journal of Korean Society for Biotechnology and Bioengineering, Vol. 25, No. 1, pp. 41-46Google Search
16 
Lim H.J., 2001, [Korean Literature], Dewatering of Thickened and Digested Sludge of Sewage Treatment Using Polymer, Master’s Thesis, National University of Technology, pp. 1-69
17 
Matthew J.H., John T.N., 1997, Dewatering and Settling of Activated Sludges : The Case for Using Cation Analysis, Water Environment Research, Vol. 69, No. 2, pp. 225-232Google Search
18 
Moon K.S., 2011, [Korean Literature], A Study on the Improvement of Dewaterability and Heating Value of Sewage Sludge by Addition of Waste Paper, Master’s Thesis, Kyungpook National University, pp. 58-67
19 
Neyens E., Baeyens J., 2003, A Review of Thermal Sludge Pre-treatment Processes to Improve Dewaterability, Journal of Hazardous Materials, Vol. 98, No. 1-3, pp. 51-67Google Search
20 
Seo J.W., Song T.J., Park J.W., Lee T.H., Lee S.M., 1996, Characteristics of Sludge Dewaterability and Viscosity with Polymer Flocculant Addition, [Korean Literature], Journal of Korean Society of Environmental Engineers, Vol. 18, No. 12, pp. 1609-1618Google Search
21 
Tchobanoglous G., Burton F.L., Stensel H.D., Ko K. B., 2004, [Korean Literature], Wastewater Engineering : Treatment and Reuse, Donghwa Publisher, pp. 389-410
22 
Turchiuli C., Fargues C., 2004, Influence of Structural Properties of Alum and Ferric Flocs on Sludge Dewaterability, Chemical Engineering Journal, Vol. 103, No. 1-3, pp. 123-131Google Search
23 
Yuan H., Zhu N., Song L., 2010, Conditioning of Sewage Sludge with Electrolysis: Effectiveness and Optimizing Study to Improve Dewaterability, Bioresource Technology, Vol. 101, No. 12, pp. 4285-4290Google Search
24 
Yu Q., Lei H., Yu G., Feng X., Li Z., Wu Z., 2009, Influence of Microwave Irradiation on Sludge Dewaterability, Chemical Engineering Journal, Vol. 155, No. 1-2, pp. 88-93Google Search
25 
Zhao Y.Q., 2004a, Settling Behaviour of Polymer Flocculated Water-Treatment Sludge I : Analyses of Settling Curves, Separation Purification Technology, Vol. 35, No. 1, pp. 71-80Google Search
26 
Zhao Y.Q., 2004b, Settling Behaviour of Polymer Flocculated Water-Treatment Sludge II : Effects of Floc Structure and Floc Packing, Separation Purification Technology, Vol. 35, No. 3, pp. 175-183Google Search