김해정
(Haejung Kim)
†
조홍래
(Hong-Lae Cho)
구본경
(Bhon Kyoung Koo)
-
(주)하이드로코어 유역환경연구소
(Hydrocore, Watershed Environment Research Unit)
© Korean Society on Water Environment. All rights reserved.
Key words
Definition of Dorang, Headwater, Hydrologic analysis, Stream classification
1. Introduction
최근 하천의 생태적 기능에 대한 관심이 증가하면서 하 천의 최상류 지천인 도랑 관리에 대한 요구가 높아지고 있 다. 2006년 발표된 ‘물환경관리기본계획’은
수자원 관리의 대상을 기존 본류 및 상수원 중심에서 실개천부터 하구 연 안에 이르는 총괄적 범위로 확장하였으며, 이전의 맑은 물 공 급을 위한 상수원
수질 개선 차원의 환경 개선을 넘어 ‘생태 적 가치 보호’라는 패러다임의 전환을 맞이하였다(Kim and Han, 2008; MOE, 2006). 최상류 하천(headwater streams)은 총연장과 유역면적에 있어 전체 하천에서 큰 비중을 차지 하며, 수변림으로부터 상당량의 유기물질과
무척추동물이 유입되는 특징이 있고, 대부분의 유입물질은 하류로 전달되어 강의 생물 군집을 뒷받침한다(Lassaletta et al., 2010; Meyer et al., 2007; Wipfli et al., 2007). Alexander et al. (2007)은 미국 북동부 하천망을 대상으로 총량 유역모델인 SPARROW 를 적용하여 2차 하천 연평균 유량의 약 70%, 질소 유동 량(nitrogen flux)의
약 65%가 1차 하천에서 유입되며, 4차 이상 하천에 대한 1차 하천의 유량과 질소 유동량의 기여 도는 각각 약 55%, 40%로 여전히 큰 비중을
차지한다고 분석하였다. 이는 하천의 유량과 수질 관리 측면에서 최상 류 하천의 중요성을 강조하는 결과이다. 즉 건강한 하천 생태계를 유지하기 위해서는
상류 하천인 도랑에 대한 관 리가 필수적이라 할 수 있다.
2007년 환경부에서 「4대강 도랑·실개천 실태조사」 연구 를 실시한 이래 2009년까지 3년간 전국에서 총 513 곳의 도랑 실태를 조사하였으며,
그 중 일부 마을에 대해서는 정화활동, 수생식물 식재 등의 관리 활동을 진행하였다(MOE, 2007, 2008, 2009). 2010년 이후로는 4대강 각 유역환경청 에서 해당 유역별 도랑 실태조사와 관리·복원 활동이 이어 지고 있다. 금강유역환경청과 금강물환경연구소는
2010년 과 2011년 각각 54 곳의 도랑을 추가로 조사하고, 도랑복 원에 대한 연구를 진행하였고(GREMO, 2010; GRERC, 2011), 영산강유역환경청에서는 2011년 상수원 인근의 농촌마을 등에 위치한 오염 우심 도랑에 대하여 ‘우리 마을 도랑 살 리기’ 공모사업을 실시하였으며(YREMO, 2011), 한강유역 환경청에서는 2012년 민간단체 수질보전활동 지원사업의 일환으로 ‘지류·지천 수질 개선사업’과 ‘샛강·도랑 살리기 지원사업’을 실시하였다(HREMO, 2012). 낙동강유역환경청 은 2010년 30곳의 도랑을 추가로 조사하고, 11개 마을 도 랑에 대해 정화·복원 활동을 추진하였으며, 3개 마을을 도 랑
관리 모범마을로 선정하였다. 또한 2011년에는 경상남 도와 함께 ‘우리 마을 도랑 살리기’ 범국민 운동을 추진하 는 등 적극적으로 도랑 관리 및
복원 사업을 진행하고 있 다(GNDI, 2011).
기존의 도랑 연구는 상당수의 도랑 데이터베이스를 구축 하고, 도랑의 구조적 문제점과 관리상의 문제점 등을 파악 하였으며, 일부 도랑에 대해 정화·복원
활동을 진행하여 모범 사례를 발굴한 측면에서 의의가 있다. 그러나 전국에 산재해 있는 도랑 분포에 대한 선행 연구 없이 조사 대상 도랑을 무작위로
선정하였기 때문에 구축한 정보를 체계적 으로 이용하기 어려우며, 또한 도랑에 대한 법적·학술적 기준이 없어 도랑 분류 기준이 불확실하고 일부 도랑이
소 하천과 혼동되는 등의 문제를 지니고 있다.
본 연구의 목적은 첫째 수자원 관리 측면에서 점차 중요 한 하천의 단위로 인식되고 있는 도랑에 대하여 하천분류 학적인 정의를 내리고, 둘째 그 정의를
바탕으로 대권역 유역인 금강유역을 대상으로 도랑과 도랑유역의 분포 현황 을 파악하며, 셋째 도랑유역의 지형적 특성을 파악함으로써 체계적인 도랑 관리를
위한 토대를 마련하는 것이다.
2. Materials and Methods
2.1. 선행연구 고찰
2.1.1. 도랑에 관한 국내외 문헌
하천은 규모에 따라 다양한 용어가 사용되는데 사전적 정의에 따르면 도랑은 매우 좁고 작은 개울로 가장 작은 규모의 하천을 지칭한다(NIKL, 2014). Park (2012)은 하천 과 관련된 우리말을 도랑-개울-내-가람(강, 江)으로 위계에 따라 설명하면서, 도랑에 대해서는 한 걸음에 가로지를 만 큼 폭이 좁으면 ‘실도랑’,
소가 들어가서 풀을 뜯을 만큼 널 찍하면 그냥 ‘도랑’이라고 서술하였다. GNDI (2011)에 의 하면 도랑은 빗물이 모여 처음으로 하천의 형태를 나타내 는 곳으로, 강살리기네크워크 단체의 말을 인용하여 소하천 중에서 관리가 되지 않고 정부에
등록되지 않으며 폭이 5 m 내외, 평균수심 최소 10 cm 이상인 농촌마을 앞을 지나는 소하천이라고 정의하였다. 여기에서 소하천은 소하천정비법 에
의거한 하천이 아닌 작은 하천을 의미한다고 판단된다. Han and An (2012)은 일반적으로 도랑은 마을을 낀 작은 개울을 의미하며, 보통 폭이 2 ~ 3 m 이하, 길이는 500 m 정도 규모로서 하천법이나 소하천정비법에서
따로 규정하 지 않아 체계적으로 관리할 법적 근거 없이 소하천, 실개 천 등으로 혼용되고 있다고 설명하였다.
도랑을 나타내는 영문 표현으로는 streamlet, brook, brooklet, rivulet, ditch 등을 들 수 있다. 이 중 ditch는
주로 농업 목적 에 의해 인공적으로 조성된 직강화된 물길을 뜻하고(Davies et al., 2008), 그 외의 단어는 작은 규모의 자연하천을 의미 한다(AHD, 2014). 그러나 이 단어들은 학술 연구에서는 지 명 외에는 거의 쓰이지 않으며, 특별히 작은 하천에 대한 연구는 대부분 최상류 하천(headwater
streams)이라는 용어 를 사용한다. Meyer et al. (2007)의 연구는 rivulet 등을 과 학자들은 최상류 하천으로 부르며, 주로 2차 이하의 하천에 대하여 최상류 하천이라는 용어를 사용한다고 언급하였다.
Vannote et al. (1980)의 연구는 크게 1차에서 3차 하천을 최상류 하천, 4차에서 6차를 중간규모 하천, 6차 이상을 강 으로 분류하였으며, Hansen (2001)의 연구는 하천차수별 유 량을 분석하면서 1차 하천을 최상류 하천으로 인식하였다.
2.1.2. 하천 분류 체계
하천은 분류 기준에 따라 다양하게 구분된다. 하천의 유 량에 따라서는 일시하천(ephemeral), 간헐하천(intermittent), 항류하천(perennial)으로
구분되고, 이는 하천 종단위치의 영향을 받아 출구로부터 가깝고 고도가 낮을수록 항류하천, 출구로부터 멀고 고도가 높을수록 일시하천의 특성을 보인 다(Maidment, 1992). 형성 원인에 따라서는 크게 충적하천 (alluvial)과 비충적하천(non-alluvial)으로 구분된다. 충적하 천은 하폭, 수심, 경사 등이
유역 내 유사 유출에 의하여 다양하게 결정되는 반면, 암반하천과 같은 비충적하천은 그 영향을 받지 않는다(USDA, 2001). 또한 하도의 형태에 따라 직류하천(straight), 사행하천(meandering), 망상하천(braided) 으로 구분하고(Leopold and Wolman, 1957), 하천의 발달 시기에 따라서는 유년기, 장년기, 노년기로 구분한다(Davis, 1899). 이러한 하천 분류(stream classification)는 하천을 단 순하게 특정 기준에 따라 나누는 작업을 의미하며, 계층적인 하천 분류가
등장하면서 하천 분류 체계(stream classification system)라는 용어가 사용되었다(KICT, 2001).
하천 분류 체계는 크게 지형적 특성에 따른 분류, 교란 정도에 따른 분류, 하천차수에 따른 분류 등으로 나눌 수 있다. 지형적 특성에 따른 분류 방법
중 가장 널리 이용되고 있는 것은 Rosgen이 자연하천에 대해 고안한 분류 체계로 국내외 다수의 연구에서 이 방법을 적용하였다(Kondolf, 1995; KICT, 2001; Lee et al., 2004; Lee et al., 2011; Rim et al., 2008; USDA, 2001). Rosgen의 분류 체계는 총 4단계로 구성 된다. 1단계는 하천의 지형적 특성(geomorphic characterization) 인 하천
단면의 굴입비(entrenchment ratio), 하폭-수심 비(W/D ratio), 사행도(sinuosity), 경사에 따라 9가지 유형으로 구분한다.
2단계는 형태적 기술(morphological description) 단계로 하도 내 하상재료의 크기에 따라 기반암, 전석, 호 박돌, 자갈, 모래,
실트-점토 6가지로 구분한다. 1단계와 2 단계 과정을 거쳐 유효한 하천유형은 총 42개로 분류된다. 3단계는 하천의 상태(stream state
or condition)에 대한 구 분 단계로 유기물질과 하도의 단절, 수변식생, 유황, 퇴적 및 사행 특성 등의 인자를 기준으로 더 세분화된 하천
분 류를 진행할 때 적용한다. 4단계는 검증(validation) 단계로 특정 하천 유형에 대한 유사, 수리, 생물학적 정보를 제공 하거나 활동 영향
평가 등에 이용된다(Rosgen, 1985, 1994). 교란 정도에 따른 하천 분류 체계로는 영국국립하천공사 (National Rivers Authority)의 템즈 지방사무소에서 개발한 방법이 있으며,
하천을 직접 답사하고 교란에 대한 민감도 를 평가한다. 교란이 거의 없고 자연에 가까운 상태의 하 천에서부터 전체가 콘크리트로 구성된 암거형 하천까지
5 가지 유형으로 분류한다(KICT, 2001). 하천차수에 따른 하 천 분류 체계로는 Horton이 고안하고 Strahler가 수정한 분 류 방법이 가장 널리 이용된다(USDA, 2001). 하천의 차수 는 하천의 지류가 많은 정도를 나타낸 수로서 지류가 없는 가장 상위의 물길이 1차 하천이다. 하류로 진행되면서 같은 차수의 하천이
합류할 때 한 차수 증가하며, 다른 차수의 하천이 합류할 때는 그 중 높은 차수를 유지한다(Strahler, 1957).
2.2. 국내 하천 체계에 따른 하천차수 파악
국내 법령에 따른 하천 체계는 하천법에 의한 국가하천 과 지방하천, 소하천정비법에 의한 소하천으로 구성된다. 각 하천의 물리적 지정 기준으로는 국가하천은
유역면적이 200 km2 이상인 하천(하천법 제 7조 2항), 지방하천은 지 방 공공이해와 밀접한 관계가 있는 하천으로 규모에 대한 별도의 규정은 없으며(하천법 제 7조
3항), 소하천은 평균 하천 폭이 2 m 이상, 시점에서 종점까지의 길이가 500 m 이 상인 하천(소하천정비법 시행령 제 2조)이다(KMGL, 2014).
도랑의 상대적인 위계를 분석하기 위하여 국가하천, 지방 하천, 소하천도를 지리정보시스템(Geographic Information System, GIS)
상에서 하천차수도와 중첩하여 하천차수를 파 악하였다. 이때 국가수자원관리종합정보시스템(WAMIS, 2011) 에서 제공하는 국가하천, 지방하천, 하천차수도와 옥천군, 보은군, 연기군에서 취득한 소하천도를 이용하였다.
2.3. 연구지역
본 연구는 금강유역을 대상으로 하였다. 금강유역은 총 유역면적이 9,915.09 km2 로 남한 전체 면적의 약 9%를 차 지하는 대권역 유역이며 유로연장은 388.45 km이다. 행정 구역상 상당 면적이 충청남도(3,832.62 km2)와 충청북도 (3,3398.65 km2)에 걸쳐있고, 유역 내 주요 도시로는 대전 광역시와 청주시, 공주시, 논산시, 연기군, 부여군, 옥천군, 보은군 등이 속해 있다.
금강유역은 14개의 중권역으로 구성되며 그 특징을 살펴 보면 다음과 같다(Fig. 1). 금강 상류의 용담댐, 용담댐하류, 무주남대천, 영동천, 초강 유역은 주로 산림지역으로 산림 면적이 70% 이상을 차지한다. 금강 중류 지역은
시가지가 발달한 특징을 보이는데 대전광역시가 위치한 갑천 유역의 시가화지역 면적 비율은 14.6%, 청주시가 위치한 미호천 유역의 시가화지역 면적
비율은 7.8%로 전체 금강유역의 시가화지역 면적 비율이 5.3% 것과 비교하여 높은 수치이 다. 금강 하류는 하천이 범람하여 형성된 농경지대가 발달
하였으며 금강하구언 유역의 농경지 면적은 50.6%, 논산천 유역의 농경지 면적은 43.7%에 달한다(Table 1).
Table 1. Land use of middle-sized watersheds in Geum River basin
|
Middle-sized watershed
|
Grand total (km2)
|
Land use (%)
|
|
Urbanized area
|
Agricultural area
|
Forest
|
Grass land
|
Wetland
|
Barren land
|
Water body
|
|
Geum River basin
|
9,913.8
|
5.3
|
28.8
|
60.0
|
1.6
|
0.6
|
1.3
|
2.4
|
|
Yongdam dam
|
930.3
|
2.4
|
21.3
|
70.5
|
3.3
|
0.3
|
1.4
|
0.8
|
|
Lower Yongdam dam
|
127.7
|
1.7
|
13.1
|
81.8
|
0.3
|
0.5
|
1.1
|
1.4
|
|
Muju-Namdae Stream
|
464.1
|
1.9
|
12.5
|
83.0
|
0.8
|
0.3
|
0.8
|
0.6
|
|
Yeongdong Stream
|
705.5
|
3.7
|
21.9
|
70.6
|
0.7
|
0.4
|
1.2
|
1.5
|
|
Cho River
|
664.6
|
2.0
|
21.4
|
74.3
|
0.8
|
0.2
|
0.4
|
1.0
|
|
Upper Daecheong dam
|
120.4
|
4.8
|
26.8
|
61.5
|
1.1
|
0.8
|
1.5
|
3.6
|
|
Bocheong Stream
|
553.6
|
2.6
|
26.0
|
67.8
|
0.7
|
0.4
|
1.2
|
1.4
|
|
Daecheong dam
|
667.5
|
4.0
|
17.6
|
67.5
|
1.0
|
0.6
|
0.8
|
8.6
|
|
Gap Stream
|
649.0
|
14.6
|
17.4
|
59.4
|
3.7
|
0.6
|
3.2
|
1.2
|
|
Lower Daecheong Dam
|
129.8
|
8.5
|
34.4
|
50.0
|
2.0
|
1.0
|
1.6
|
2.4
|
|
Miho Stream
|
1,854.8
|
7.8
|
36.6
|
49.2
|
2.1
|
0.8
|
1.7
|
1.8
|
|
Geum River-Gongju
|
1,843.7
|
4.4
|
32.2
|
57.9
|
1.3
|
0.7
|
1.2
|
2.3
|
|
Nonsan Stream
|
666.1
|
6.5
|
43.7
|
45.0
|
1.4
|
0.4
|
0.9
|
2.1
|
|
Geum River estuary
|
536.6
|
6.2
|
50.6
|
33.7
|
1.0
|
0.8
|
0.5
|
7.1
|
2.4. 도랑유역 추출
2.4.1. 지역 특성에 따른 도랑유역 추출 방법
도랑유역 추출에 이용한 자료는 WAMIS에서 제공하는 하천차수도와 국토지리정보원에서 제작한 10 m 격자의 수 치표고모델(Digital Elevation
Model, DEM)이다. WAMIS의 하천차수도는 1:25,000 수치지도의 하천 정보를 토대로 제 작되었으며, 10 m DEM은 1:5,000
수치지도의 고도자료를 토대로 생성된 것이다. 본 연구에서는 WAMIS 하천차수도 의 한계를 보완하기 위하여 DEM으로부터 1:25,000 지도상 에
나타나는 하천에 준하는 하천도를 작성하였으며, 지역에 따라 WAMIS의 하천차수도와 DEM에서 추출한 하천차수 도 중 적합하다고 판단되는 자료를 이용하여
도랑을 파악 하고 도랑유역을 추출하였다.
위에 언급한 WAMIS 하천차수도의 한계는 크게 두 가지로 구분된다. 첫 번째 한계는 원자료로 이용된 1:25,000 지형도 의 도식규정에 따른 것으로
도상의 길이 10 mm 미만 즉, 250 m 미만인 하천 또는 평수시 유수의 폭이 2 m 이하인 하천은 생략할 수 있게 규정된 점이다(NGII, 2009). 이 경우 1차 하천이 생략됨으로써 규모가 큰 3차 하천이 2차 하천으 로 구분되는데 이러한 문제는 용담댐, 영동천, 초강, 무주남 대천 유역
등 접근이 어려운 상류 유역에서 주로 발견된다. 두 번째 한계는 일부 지역의 하천 정보가 누락된 점으로 이 는 하천의 밀도가 수치지도 도곽선을 경계로
명백하게 차이 나는 점으로부터 추정할 수 있다. 금강유역의 경우 용담댐, 용담댐하류, 무주남대천, 초강 유역의 상당 면적과 영동천, 대청댐상류, 대청댐
유역의 일부 면적에서 도곽선을 경계로 하천 정보의 밀도가 확연히 차이 나는 것을 확인하였다.
한편 DEM으로부터 추출한 하천도는 자연 지형으로부터 왜곡된 하천은 파악할 수 없는 한계가 있다. 대표적으로 도심지 내에 복개된 하천이나 평야지대
농수로는 본래 지 형을 따르지 않고 직강화 되었기 때문에 이 경우 DEM에 서 추출한 하천은 실제 하천과 다른 형태를 보인다.
금강유역 내 시가지와 논의 토지이용 비율이 높은 지역 은 대전시, 청주시, 논산평야가 위치한 지역이다. 대전시와 청주시는 인구 50만 이상의 대도시로
인구 약 13만 규모인 공주시와 논산시, 그리고 인구 10만 이하의 금강유역 내 다른 군 단위 도시와 비교하여 도시화 정도가 심하다. 대 전시는 갑천
유역 내 표준유역인 유등천하류, 대전천, 갑천 하류 유역과 대청댐 유역 내 대청댐조정지 유역에 걸쳐있 으며, 청주시는 미호천 유역 내 석화수위표와
무심천 유역 에 걸쳐있다. 또한 논산평야가 위치하는 금강하구언 유역은 논이 전체 토지 이용의 41.7%, 논산천 유역 내 논산천하류 유역은 51.5%,
강경천 유역은 43.4%를 차지하는 등 산림 의 분포가 지배적인 다른 유역과 달리 대부분의 토지가 논 으로 이용된다. 이러한 유역은 WAMIS 하천차수도를
기준 으로 (방법 2), 이 외의 유역은 DEM에서 추출한 하천도를 기준으로 (방법 1) 도랑을 지정하고 도랑유역을 추출하였다 (Fig. 2). 또한 다른 방법으로 추출한 결과물의 객관성을 위 하여 WAMIS 하천차수도를 이용한 지역은 DEM 추출 하 천도와 비교하여 상류 하천이 생략되어
매우 넓은 크기의 도랑유역이 추출된 경우 DEM 추출 도랑을 기준으로 유역 을 분할하였다.
Fig. 2. Spatial map showing different methods to extract Dorang (headwater streams) catchments related to land use character
2.4.2. GIS 수문분석 기능을 이용한 도랑유역 추출
GIS의 수문분석 기능을 이용하여 DEM으로부터 도랑과 도랑유역을 추출하는 방법은 다음과 같다. 우선 DEM으로 부터 하천차수도의 하천에 해당하는
격자의 고도를 일정 수준 낮추는 버닝 과정을 거쳐 실제 하천이 DEM에 반영 되도록 하였으며, Fill/Sink 작업을 통해 주변 격자에 비하 여
고도 값이 낮은 격자를 메워 하천이 중간에 끊이지 않 도록 하였다. 다음으로 한 격자를 둘러싸는 8개의 격자들 의 고도를 비교하여 물의 흐름을 결정하는
흐름방향도(flow direction)를 생성하고, 이를 토대로 상류 셀의 개수를 모두 더한 흐름누적도(flow accumulation)를 생성하였다.
하천을 형성하는 임계값을 지정하여 하천 격자를 추출한 후 하천 격자를 이어주는 Stream link 기능을 수행하였으며, 이후 Stream order
기능을 이용하여 Strahler 방식으로 하천차수 를 부여하였다. 추출된 하천망에서 도랑의 정의에 따라 도 랑을 지정하고 도랑이 하류하천과 만나는
지점을 출구로 도랑유역을 추출하였다.
DEM으로부터 하천을 추출할 때 하천을 형성하는 상류 유역면적의 임계값에 따라 하천망의 조밀도가 결정된다. 상류 유역면적의 임계값을 다르게 하여 DEM으로부터
하천을 추출하고 Error Matrix 기법을 활용하여 정확도를 평가하여 적정 임계값을 산정하였다. 이 정확도 평가는 WAMIS 하 천차수도에서 하천
정보가 수치지도 도곽선을 따라 명백하 게 차이나는 오류가 없는 유역 중에서 토지이용이 전체 금 강유역과 비슷한 형태를 보이며, 산지에서 평지까지 지형이
고르게 분포하는 보청천 유역을 대상으로 하였다.
3. Results and Discussion
3.1. 도랑의 하천분류학적 정의
앞서 검토한 하천 분류 체계 중 국내 도랑을 정의하기에 효과적인 체계는 하천차수에 따른 방법일 것이라 판단된다. 전국에 국가하천이 61 개소, 지방하천이
3,772 개소, 소하 천이 22,664 개소인 것을 고려할 때(Kim and Han, 2008) 도랑의 수는 소하천보다 훨씬 많을 것으로 예상되므로 현 장조사가 필수적인 Rosgen과 영국국립하천공사의 분류법에 의거하여 도랑을 정의하는 것은
매우 긴 시간이 요구될 것 이다. 반면 하천차수에 의한 분류법은 국가 차원의 하천차 수도가 이미 구축되어 있으며, GIS의 발달로 DEM을 이용 해
원하는 해상도로 하천을 추출하고 하천차수를 파악할 수 있기 때문에 상대적으로 단시간 내에 적용할 수 있고, 지리적으로 광범위한 공간 분석도 가능하다.
무엇보다 국내 외 연구에서 확인된 도랑이 작은 규모의 하천으로 상류 하 천에 해당한다는 개념은 하천차수에 의거한 분류에서 가장 잘 표현된다. 하천차수
체계에 따르면 하천연속성 개념과 연계하여 차수별 하천의 특징과 생물종의 변화를 짐작할 수 있으며(Vannote et al., 1980), 공간적 위계를 통해 본류 의 수질에 영향을 미치는 상류 유역을 파악하는 것이 용이 한 장점이 있다.
도랑의 분류 기준을 결정하기 위하여 옥천·보은·연기군 을 예로 국내 하천 체계에 따른 하천차수를 파악하였다. 그 결과, 국가하천은 하천총연장에서 5차
이상인 하천이 97.1%로 대부분을 차지하며, 지방하천은 5차 이상의 하천이 52.7%, 3·4차 하천이 43.2%로 3차 이상의 하천이 95.9%를
차지하고, 소하천은 1차, 2차, 3·4차 하천이 각각 30.3%, 32.4%, 35.7%로 4차 이하의 하천이 대부분을 차지한다. 특 정 하천으로
지정되지 않은 비법정하천은 총연장 중 1차 하천이 60%, 2차 하천이 26.3%로 2차 이하의 하천이 대부 분을 차지한다(Table 2). Fig. 3에서 하천 유형별 공간 분포 를 확인할 수 있다.
Table 2. The length and percentage as per stream order in Okcheon-gun, Boeun-gun, and Yeongi-gun in Geum River basin
|
Stream order
|
National stream
|
Provincial stream
|
Small stream
|
Non-legal stream
|
|
Length (km)
|
%
|
Length (km)
|
%
|
Length (km)
|
%
|
Length (km)
|
%
|
|
1st
|
-
|
|
6.5
|
1.8
|
247.5
|
30.3
|
2,089.2
|
60.0
|
|
2nd
|
-
|
|
8.7
|
2.4
|
265.3
|
32.4
|
917.1
|
26.3
|
|
3rd・4th
|
3.5
|
2.9
|
158.3
|
43.2
|
291.7
|
35.7
|
478.3
|
13.7
|
|
more than 5th
|
114.8
|
97.1
|
193.0
|
52.7
|
13.3
|
1.6
|
-
|
|
|
Total
|
118.3
|
|
366.5
|
|
817.8
|
|
3,484.6
|
|
Fig. 3. Stream network showing the stream classification (Example of some part of Okcheon-gun and Boeun-gun).
하천차수별 특징을 비교하면, 5차 이상의 하천은 명백하 게 도랑의 규모를 벗어나며, 3·4차 하천도 상당 부분 지방 하천으로 지정된 큰 하천으로 파악된다.
따라서 1·2차 하 천을 도랑에 적합한 규모로 고려할 수 있다. 1·2차 하천을 도랑으로 정의할 경우 옥천·보은·연기군의 예를 통해 몇 가지 쟁점이
드러난다. 우선 3·4차 하천에 해당하는 총하 천연장의 13.7%가 여전히 비법정하천으로 남게 된다. 이는 지방하천과 소하천이 시·도지사, 시장·군수
등의 지정에 의하여 성립되는 점을 고려할 때, 향후 적합한 체계의 하 천으로 지정함이 바람직하다. 다음으로 지방하천과 소하천 의 일부가 1·2차 하천
즉 도랑에 해당하여 중복된 하천 체 계를 갖게 되는데 이 점에 대해서는 두 가지의 접근이 가 능하다. 첫째 1·2차 하천 중 이미 지방하천이나 소하천으
로 지정된 구간을 제외한 나머지를 도랑으로 정의하는 것 이다. 이를 위해서는 소하천에 대한 전국적인 데이터가 필 요한데 현재까지 그러한 데이터가 구축되지
않아 현실적으 로 적용하기 어렵다. 둘째 지방하천이나 소하천으로 지정된 여부와 무관하게 1·2차 하천을 모두 도랑으로 정의하는 것 이다. 이는 최상류
하천 관리의 중요성에 무게를 둔 접근 으로 도랑에 해당하는 구간은 상위 차수의 하천 관리 목표 인 이·치수, 방재 차원의 관리와 더불어 생태적 기능에
대 한 고려가 병행되어야 한다.
위의 검토 결과 본 연구는 도랑을 하천차수 구분에 따른 1·2차 하천으로 정의한다. 이 때 1·2차 하천은 1:25,000 수 치지도에 표현되는 Strahler
방식에 따라 차수가 부여된 하천 을 말한다.
3.2. DEM 추출 하천의 최적 상류 임계 면적
보청천 유역을 대상으로 DEM으로부터 추출한 하천의 정 확도를 분석한 결과, 하천을 형성하는 상류 임계 면적이 0.05 km2 일 때 1:25,000 수치지도의 하천 정보와 가장 유 사한 하천이 형성되는 것으로 분석되었다. 상류 임계 면적 이 0.1 km2 일 경우 원자료에는 없으나 제작되는 자료에는 나타나는 Commission error는 낮은 반면, 원자료에는 있으 나 제작된 자료에는 생략된 Omission
error는 높게 나타나고, 상류 임계 면적이 0.02 km2 인 경우는 이와 반대의 특징을 보인다. 상류 임계 면적이 0.05 km2 인 경우 Commission error와 Omission error가 비교적 한쪽으로 치우치지 않으며, 전체 정확도가 71.5%로 가장 높고, 추출한
하천도의 총하 천길이도 원자료 총하천길이의 95.9%로 매우 유사한 것으 로 분석되었다(Table 3).
Table 3. The variation of stream density according to threshold area to initiate a stream
|
Threshold area (km2)
|
Total stream length (km)
|
Ratio to total length (%)
|
Omission error (%)
|
Commission error (%)
|
Overall accuracy (%)
|
|
0.1
|
1,225.6
|
69.1
|
33.9
|
7.8
|
61.9
|
|
0.05
|
1,700.6
|
95.9
|
20.4
|
13.3
|
71.5
|
|
0.02
|
2,562.1
|
144.5
|
6.2
|
34.2
|
63.1
|
3.3. 금강유역 내 도랑의 분포
금강유역 내 총도랑길이는 20,622.4 km로 총하천길이의 73.6%를 차지하며, 도랑유역은 23,639 곳으로 전체 금강유 역 면적의 71.3%인
7,072.2 km2 를 차지하는 것으로 나타났 다. 중권역별로 살펴보면, 상류 유역 중 무주남대천과 초강 유역은 도랑유역이 차지하는 비율이 77% 이상으로 가장 높았고,
하류 유역인 논산천과 금강하구언 유역은 62.2%, 56.5%로 그 비중이 상대적으로 낮았다(Table 4). 즉 하천의 상류일수록 실핏줄 같은 도랑이 많이 분포하며 하류로 갈 수록 큰 하천의 비중이 커지는 것을 알 수 있다.
Table 4. Total Dorang length and total Dorang catchment area in each middle-sized watershed in Geum River basin
|
Middle-sized watershed
|
Total stream length
|
Total Dorang length
|
Drainage area
|
Total Dorang catchment area
|
|
km
|
km
|
%
|
km2 |
km2 |
%
|
Count
|
|
Yongdam dam
|
2,739.8
|
2,049.2
|
74.8
|
930.3
|
692.2
|
74.4
|
2,417
|
|
Lower Yongdam dam
|
363.6
|
269.9
|
74.2
|
127.7
|
96.2
|
75.3
|
323
|
|
Muju-Namdae Stream
|
1,391.2
|
1,076.9
|
77.4
|
464.1
|
361.4
|
77.9
|
1,246
|
|
Yeongdong Stream
|
2,121.7
|
1,595.3
|
75.2
|
705.5
|
537.3
|
76.2
|
1,900
|
|
Cho River
|
2,039.4
|
1,572.6
|
77.1
|
664.6
|
512.7
|
77.1
|
1,739
|
|
Upper Daecheong dam
|
375.3
|
280.5
|
74.7
|
120.4
|
90.8
|
75.4
|
301
|
|
Bocheong Stream
|
1,658.6
|
1,250.2
|
75.4
|
553.6
|
422.8
|
76.4
|
1,400
|
|
Daecheong dam
|
1,833.3
|
1,314.9
|
71.7
|
667.5
|
465.6
|
69.7
|
1,761
|
|
Gap Stream
|
1,824.3
|
1,333.0
|
73.1
|
649.0
|
454.9
|
70.1
|
1,473
|
|
Lower Daecheong dam
|
374.9
|
284.6
|
75.9
|
129.8
|
99.6
|
76.7
|
329
|
|
Miho Stream
|
5,091.6
|
3,699.3
|
72.7
|
1,854.8
|
1,287.3
|
69.4
|
4,280
|
|
Geum River-Gongju
|
5,265.2
|
3,844.9
|
73.0
|
1,843.7
|
1,333.5
|
72.3
|
4,487
|
|
Nonsan Stream
|
1,687.0
|
1,197.2
|
71.0
|
666.1
|
414.3
|
62.2
|
1,199
|
|
Geum River estuary dam
|
1,247.8
|
853.8
|
68.4
|
536.6
|
303.5
|
56.6
|
784
|
|
Grand total
|
28,013.7
|
20,622.4
|
73.6
|
9,913.8
|
7,072.2
|
71.3
|
23,639
|
도랑의 분포 결과는 전체 하천에서 큰 비중을 차지하는 도 랑을 수자원 관리의 대상으로 삼지 않았던 기존 하천 관리의 문제점을 드러낸다. 즉, 본 연구결과는
근본적인 하천 관리 를 위해서는 도랑을 관리하는 것이 매우 중요함을 시사한다.
3.4. 도랑유역의 지형적 특성
추출된 23,639 곳의 도랑유역을 개별적으로 살펴보면, 가 장 작은 도랑유역은 면적이 50,000 m2로 이는 DEM으로부 터 하천을 추출할 때의 임계값에 해당하며 이때 도랑의 길 이는 DEM 격자 하나에 해당하는 10 m이다. 이러한 소규 모의 도랑은
강우시 일시적으로 형성되는 일시하천일 확률 이 높다. 일시하천을 제외하고 건기에도 하도를 유지하는 도랑을 대상으로 지형적 특성을 분석하였으며, 그
기준으로 하천 길이 250 m 이상을 삼았는데 이는 1:25,000 수치지도 의 도식 규정상 생략 없이 나타내야 하는 하천 길이이다. 이 기준을 충족하는
도랑유역은 17,396 곳으로 파악되었다.
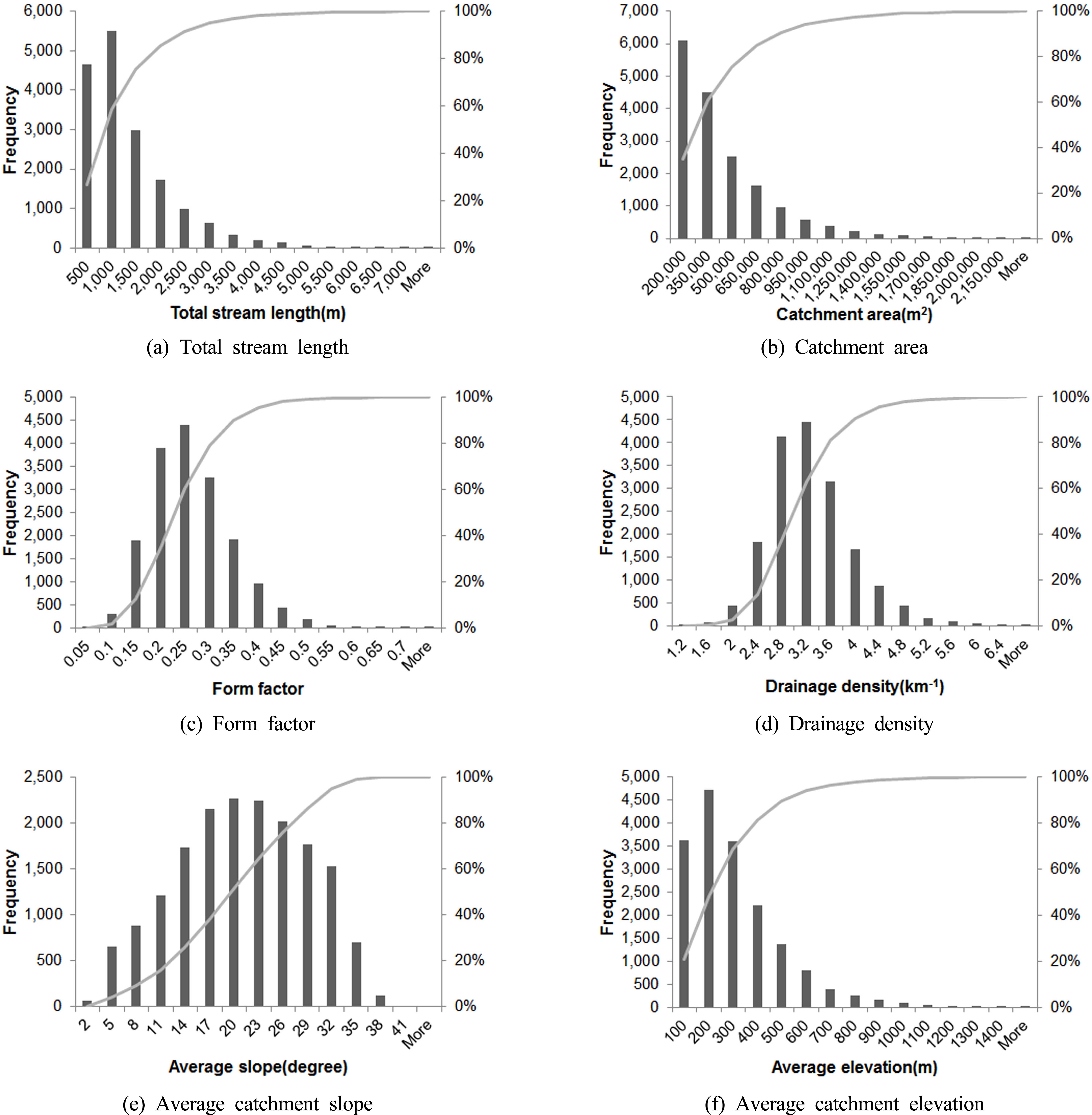
17,396 곳의 도랑유역에 대하여 총하천길이(total stream length), 최원유로연장(basin length), 유역면적(drainage
area), 유역둘레(basin perimeter), 유역평균폭(effective basin width), 형상인자(form factor), 수계밀도(drainage
density), 유역평균 경사(average slope), 유역평균고도(average elevation)를 분 석하였다. 각 지형적 특성 인자에
대하여 최솟값, 최댓값, 중간값, 평균값, 첫 번째 사분위수(1st quartile), 세 번째 사분 위수(3rd quartile)를 계산하였으며,
변수의 극단값을 제외하고 분포를 파악할 수 있는 내부울타리(inner fence)를 파악하였다. 첫 번째와 세 번째 사분위수의 차이(Inter Quartile
Range, IQR)의 1.5배에 해당하는 값을 첫 번째 사분위수에서 빼준 값이 하내부울타리(Lower Inner Fence, LIF), 세 번째
사분위 수에 더해준 값이 상내부울타리(Upper Inner Fence, UIF)이 다. 변수의 분포가 작은 값에 치우쳐 수계밀도를 제외한 나머지 인자의
하내부울타리는 최솟값보다 작게 계산되었 으며 이는 유효한 값이 아니므로 표시하지 않았다.
Table 5와 Fig. 4에 나타낸 각 지형 특성 인자를 살펴보 면, 총도랑길이는 평균 1,139 m로 250 m에서 9,129 m의 범 위를 나타내는데, 일부 극한값을 제외하고는
상내부울타리 이내 범위인 3 km 이하인 것으로 파악되었다. 히스토그램 을 통해 총도랑길이의 분포를 살펴보면 50% 이상의 도랑유 역 내 도랑총연장이
1 km 이하인 것으로 파악된다. 도랑유 역면적의 분포 역시 작은 규모의 도랑유역의 빈도가 높으며 평균 유역면적은 약 0.38 km2이고, 약 75%의 도랑유역이 0.5 km2 이하의 규모인 것으로 나타났다. 유역평균폭은 최 원유로연장에 대한 유역면적의 비로 계산되는데 최소 56 m 에서 최대 약 1 km 사이의 범위이고
평균 폭은 279 m이다. 형상인자는 최원유로연장의 제곱에 대한 유역면적의 비로 정의되는 무차원 매개변수로, 정사각형 유역은 1, 원형 유역 은 0.79
값을 가지며, 길고 좁은 유역은 그 이하의 값을 가 진다(Lee et al., 2007). 금강유역 내 도랑유역의 형상인자는 0.021에서 0.719의 범위 내에 있으며, 평균 0.239로 대체로 좁고 긴 형태를 나타낸다. 수계밀도는
유역면적에 대한 유 역 내 하천총길이의 비로 정의되며 수계밀도가 높을수록 호 우응답이 신속하고 홍수의 위험이 높은 경우가 많다. 도랑 유역의 수계밀도는
평균 3.083 km-1이고 약 50%의 도랑유 역이 2.4 이상 3.2 미만의 범위에 있는 것으로 분석되었다. 도랑유역의 평균 경사는 다른 지형 특성 인자에 비하여 값
의 치우침이 적고 가장 정규분포에 가까운데 약 50%의 도 랑유역이 평균경사 14° 이상 26° 미만의 범위에 있다. 도랑 유역은 평균고도 7 m에서
최대 1,477 m의 범위에 분포하며, 약 90%의 도랑유역의 평균고도는 500 m 미만이다.
Table 5. Statistics on geographical features of Dorang catchments in Geum river basin
|
|
Total stream
length (m)
|
Basin length (m)
|
Drainage area (m2)
|
Basin perimeter (m)
|
Effective basin width (m)
|
Form factor
|
Drainage density (km-1)
|
Average slope (°)
|
Average elevation (m)
|
|
Min
|
250
|
440
|
52,200
|
1,340
|
56
|
0.021
|
1.049
|
0.7
|
7
|
|
LIF
|
-
|
-
|
-
|
-
|
-
|
-
|
1.363
|
-
|
-
|
|
1st Q
|
478
|
839
|
159,900
|
2,440
|
186
|
0.180
|
2.616
|
13.7
|
114
|
|
Median
|
829
|
1,088
|
276,900
|
3,190
|
256
|
0.228
|
2.988
|
19.7
|
207
|
|
Mean
|
1,139
|
1,221
|
379,729
|
3,547
|
279
|
0.239
|
3.083
|
19.5
|
255
|
|
3rd Q
|
1,478
|
1,462
|
492,225
|
4,285
|
349
|
0.286
|
3.450
|
25.7
|
342
|
|
UIF
|
2,977
|
2,395
|
990,713
|
7,053
|
593
|
0.445
|
4.703
|
-
|
683
|
|
Max
|
9,129
|
6,206
|
3,096,700
|
13,140
|
1038
|
0.719
|
7.667
|
42.0
|
1,477
|
Fig. 4. Histograms of geographical features of Dorang catchments in Geum River basin.
각 지형 특성 인자의 극한값을 나타내는 도랑유역의 지 리적 분포를 살펴보면, 총하천길이, 최원유로연장, 유역면 적, 유역둘레, 유역평균폭의 최댓값을
나타내는 도랑유역은 각각 영동천, 금강하구언, 논산천, 영동천, 금강공주 유역에 위치하고 있다. 형상인자가 가장 큰 도랑유역은 용담댐 유 역에 가장
작은 도랑유역은 초강 유역에 위치하며, 수계밀 도가 가장 높은 도랑유역은 보청천 유역에 가장 낮은 도랑 유역은 금강공주 유역에 위치한다. 유역평균경사가
가장 심 한 도랑유역은 초강 유역에, 유역평균고도가 가장 높은 도 랑유역은 무주남대천 유역에 위치한다. 지형과 직접적인 관 련이 있는 유역평균경사와
유역평균고도는 금강 상류 유역 에 위치하는 도랑유역의 값이 높은 경우가 많으나, 도랑유 역의 규모나 형태와 관련된 지형인자는 지역별로 특정한 경향을
보이지 않고 고르게 분포하는 것으로 나타났다.
4. Conclusion
본 연구에서는 도랑에 대한 명확한 정의를 내리고자 하 천 분류 체계를 검토하였으며, 하천차수에 따른 분류가 최 상류 소규모 하천이라는 도랑의 개념적
정의를 뒷받침하는 데 가장 적합하다고 판단하였다. 도랑의 기준이 되는 하천 의 차수를 결정하기 위하여 국내 하천 체계에 따른 하천차 수를 분석하였으며,
그 결과 도랑을 1:25,000 수치지도상에 나타나는 1·2차 하천으로 정의하였다.
WAMIS 하천차수도는 1:25,000 지도의 하천관련 레이어 를 바탕으로 제작되었으나 일부 지역, 특히 상류 지역에서 하천 정보가 누락된 것을 확인하였다.
이를 보완하기 위하 여 GIS 수문분석 기능을 이용하여 DEM으로부터 하천도를 추출하였다. 한편 DEM으로부터 추출한 하천은 자연 지형 을 따르는
하도로 제한되기 때문에 인공화된 하천이 지배 적인 시가화지역, 평야지대에서는 실제 존재하지 않는 물길 이 추출되는 문제가 발생한다. 따라서 지역적
특성에 따라 대전시, 청주시, 논산평야가 위치하는 유역은 WAMIS 하천 차수도를 그 외의 지역은 DEM에서 추출한 하천차수도를 바탕으로 도랑유역을
파악하였다.
금강유역 내 도랑총연장은 20,622.4 km로 하천총연장의 73.6%를 차지하며, 도랑유역은 23,639 곳으로 금강유역 면 적의 71.3%인 7,072.2
km2 를 차지하는 것으로 나타났다.
개별 도랑유역의 지형적 특성을 분석한 결과, 평균 도랑유 역의 면적은 약 0.38 km2 로 극한값을 제외하면 1 km2 이내 로 나타났으며, 도랑유역별 도랑총연장의 평균은 약 1.1 km 이고 극한값을 제외하면 3 km 미만으로 나타났다. 도랑유역 의 형상인자는 평균
0.239, 수계밀도는 평균 3.083 km-1 으로 분석되었다. 도랑유역의 평균 고도는 7 m에서 1,477 m, 평균 유역 경사는 0.7도에서 42도 범위 내에 있는 것으로 나타났다.
본 연구는 하천의 생태적 기능에 대한 관심과 함께 관리 의 중요성이 부각되고 있는 도랑에 대하여 하천분류학적인 정의를 내림으로써 전국에 산재해있는
도랑의 분포를 체계 적으로 파악할 수 있는 기반을 마련하였다. 또한 금강유역 을 대상으로 하천차수도와 DEM을 이용하여 도랑과 도랑 유역을 추출하는
방법론을 제시하고, 개별 도랑유역의 규모 와 형태, 지형 등 지형 특성 인자를 분석하여 도랑유역에 대하여 정량적 수치를 제시하였다. 한편 하천차수에
결정적 인 역할을 하는 상류 임계 면적의 정확도 평가를 보청천 유역만을 대상으로 한 점은 한계로 남는다. 1:25,000 지도 의 정확도가 담보된다면
유역별 특성에 따라 상류 임계 면 적이 추정될 수 있을 것이다. 또한 하천차수에 따른 도랑 의 정의는 하천의 규모 측면에 치중되는데, 생태 서식지,
유량, 하상, 하도경사, 주변 토지이용 등 다양한 인자에 대 하여 도랑의 고유한 특성을 밝혀내는 연구가 필요하다. 향 후 본 연구 결과와 실제 도랑을
비교 검증하는 과정을 거 쳐 전국의 도랑유역 데이터베이스를 구축하고, 도랑유역을 특성별로 유형화하여 관리 방안을 모색하는 후속 연구가 진행되길 바란다.
Acknowledgement
본 연구는 금강물환경연구소 환경기초조사사업 「금강수 계 도랑 복원 표준모델 개발 및 사후관리 방안 연구」의 지 원을 받아 수행되었습니다.
References
Alexander R.B., Boyer E.W., Smith R.A., Schwarz G.E., Moore R.B., 2007, The Role of
Headwater Streams in Downstream Water Quality, Journal of the American Water Resources
Association, Vol. 43, No. 1, pp. 41-59

American Heritage Dictionary (AHD), 2014, http://ahdictionary.com/
Davies B., Biggs J., Williams P., Lee J., Thompson S., 2008, A Comparison of the Catchment
Sizes of Rivers, Streams, Ponds, Ditches and Lakes: Implications for Protecting Aquatic
Biodiversity in an Agricultural Landscape, Hydrobiologia, Vol. 597, pp. 7-17

Davis W.M., 1899, The Geographical Cycle, The Geographical Journal, Vol. 14, No. 5,
pp. 481-504

Geum River Environmental Management Office (GREMO), 2010, [Korean Literature], Geumgang-yuyeonk
dorang siltae-josa mit bokwon sarye model jesi yeongu [Research on the Status of Dorang,
and Proposal for Dorang Restoration in Geum River Basin], Ministry of Environment
Geum River Environment Research Center (GRERC), 2011, [Korean Literature], Development
of Standard Model on Small Stream Restoration and Management in Geum River Watershed,
National Institute of Environmental Research
Gyeongnam Development Institute (GNDI), 2011, Policy Focus 2011-33, [Korean Literature],
Gyeongsangnamdo dorang-salligi hyeonhwanggwa gwaje [Status of and Issues in Reviving
Dorang in Gyeongsangnam-do], Gyeongnam Development Institute, pp. 1-44
Han J.H., An G.K., 2012, Preliminary Ecological Environmental Assessments of a Brooklet
in Jeungchon, [Korean Literature], Journal of Environmental Impact Assessment, Vol.
21, No. 6, pp. 841-857

Han River Environmental Management Office (HREMO), 2012, http://www.me.go.kr/hg/web/board/list.do,
Notice Board: 2012nyeon mingandanche sujil-bojeon-hwaldongjiwon-saeop sihaeng-gonggo
[Project for Implementation of Water Quality Conservation Practices by Private Organizations
in 2012]
Hansen W.F., 2001, Identifying stream types and management implications, Forest Ecology
and Management, Vol. 143, No. 1, pp. 39-46

Kim I.J., Han D.H., 2008, [Korean Literature], A Small Stream Management Plan to Protect
the Aquatic Ecosystem,, RE-09, Korea Environment Institute(KEI), pp. 1-49
Kondolf G.M., 1995, Geomorphological Stream Channel Classification in Aquatic Habitat
Restoration: Uses and Limitations, Aquatic Conservation: Marine and Freshwater Ecosystems,
Vol. 5, No. 2, pp. 127-141

Korea Institute of Construction Technology (KICT), 2001, [Korean Literature], Development
of Close-to-Nature River Improvement Techniques, Ministry of Construction and Transportation
Korea Ministry of Government Legislation (KMGL), 2014, http://www.law.go.kr/
Lassaletta L., Garcia-Gomez H., Gimeno B.S., Rovira J.V., 2010, Headwater Streams:
Neglected Ecosystems in the EU Water Framework Directive. Implications for Nitrogen
Pollution Control, Environmental Science & Policy, Vol. 13, No. 5, pp. 423-433

Lee C.J., Lee D.H., Kim K.H., Woo H.S., 2004, Examination into the Applicability of
the River Classification System Based on the Geomorphological Criteria, [Korean Literature],
Journal of Korea Water Resources Association, Vol. 37, No. 1, pp. 1-11

Lee J.W., Lee M.S., Jeong I.K., Park G.A., Kim S.J., 2011, Stream Type Classification
and 2-Dimensional Hydraulic Characteristics and Bed Change in Anseongcheon Streams
and Tributaries, [Korean Literature], Journal of Korean Association of Geographic
Information Studies, Vol. 14, No. 4, pp. 77-91

Lee M.S., Park G.A., Kim S.J., 2007, Analysis of Geomorphological Characteristics
of Gum River Basin using GIS, [Korean Literature], Journal of Korean Society of Civil
Engineers, Vol. 27, No. 5D, pp. 647-655

Leopold L.B., Wolman M.G., 1957, River Channel Patterns: Braided, Meandering, and
Straight, US Government Printing Office
Maidment D.R., 1992, Handbook of Hydrology, McGraw-Hill, pp. 8-9
Meyer J.L., Jensen M.N., Sutton D., 2007, Where Rivers Are Born: the Scientific Imperative
for Defending Small Streams and Wetlands, American Rivers, pp. 3-8
Ministry of Environment (MOE), 2006, [Korean Literature], Mulhwangyeong-gwalli gibon-gyehoek
[Basic Plan for Water Environment Management], Ministry of Environment
Ministry of Environment (MOE), 2007, [Korean Literature], 4daegang dorang·silgaecheon
siltae-josa-saeop [Status of Dorang and Small streams in Four Major Rivers], Ministry
of Environment
Ministry of Environment (MOE), 2008, [Korean Literature], 5daegang yuyeok dorang siltae-josa
yeongu [Status of Dorang in Five Major Rivers], Ministry of Environment
Ministry of Environment (MOE), 2009, [Korean Literature], 4daegang yuyeok dorang bokwon
mit gwalli-bangan yeongu [Research on Dorang Restoration and Management in Four Major
Rivers], Ministry of Environment
National Geographic Information Institute (NGII), 2009, http://www.ngii.go.kr/, NGII
Notification No. 2009-941
National Institute of the Korean Language (NIKL), 2014, http://stdweb2.korean.go.kr/,
Korean Standard Unabridged Dictionary
Park N.I., 2012, Doranggwa garam [Stream and River], [Korean Literature], Samtoh,
Vol. 505, pp. 90

Rim C.S., Lee J.H., Jeong J.W., Yoon S.E., 2008, Classification of Streams and Application
of Channel Evolution Model in Korea, [Korean Literature], Journal of Korea Society
of Civil Engineers, Vol. 28, No. 6, pp. 615-625

Rosgen D.L., 1985, A stream Classification System, Riparian Ecosystems and Their Management:
Reconciling Conflicting Uses, pp. 91-95
Rosgen D.L., 1994, A Classification of Natural Rivers, Catena, Vol. 22, No. 3, pp.
169-199

Strahler A.N., 1957, Quantitative Analysis of Watershed Geomorphology, Transactions
of the American geophysical Union, Vol. 38, No. 6, pp. 913-920

United States Department of Agriculture (USDA), The Federal Interagency Stream Restoration
Working Group (eds.), 2001 revised, Stream Corridor Restoration: Principles, Processes,
and Practices, USDA-Natural Resources Conservation Service, pp. 342-350
Vannote R.L., Minshall G.W., Cummins K.W., Sedell J.R., Cushing C.E., 1980, The River
Continuum Concept, Canadian Journal of Fisheries and Aquatic Sciences, Vol. 37, No.
1, pp. 130-137

Water Management Information System (WAMIS), 2011, http://www.wamis.go.kr/
Wipfli M.S., Richardson J.S., Naiman R.J., 2007, Ecological Linkages Between Headwaters
and Downstream Ecosystems: Transport of Organic Matter, Invertebrates, and Wood Down
Headwater Channels, Journal of the American Water Resources Association, Vol. 43,
No. 1, pp. 72-85

Youngsan River Environmental Management Office (YREMO), 2011, http://www.me.go.kr/ysg/web/board/list.do,
Notice Board: Uri-maeul dorang-salligi saeop gongmo [Contest on Reviving Dorang of
Our village]