The Journal of
the Korean Society on Water Environment

The Journal of
the Korean Society on Water Environment

Bimonthly
  • ISSN : 2289-0971 (Print)
  • ISSN : 2289-098X (Online)
  • KCI Accredited Journal

Editorial Office


  1. 국립환경과학원 물환경평가연구과 (Water Quality Assessment Research Division, National Institute of Environmental Research)
  2. 한국환경산업기술원 (Korean Environmental Industry and Technology Institute)



Chlorophyll-a concentration, Minimum noise fraction (MNF), Pixel purity index (PPI), RapidEye imagery, Spectral mixture analysis (SMA)

1. Introduction

최근 환경, 국방, 재난·재해, 교통 등 각종 분야에서 원격 탐사의 수요가 증가함에 따라, 전 세계에서 다양한 목적을 가진 위성들이 발사되고 있다. 최근에 우리나라도 다목적 실용위성 3호와 5호를 성공적으로 발사하여 서브미터급 컬 러 영상과 기상조건에 관계없이 대상체의 관측이 가능한 합성개구레이더(Synthetic Aperture Radar, SAR) 영상 자료 를 사용할 수 있게 되었다. 이렇게 획득된 원격탐사 자료 는 광범위한 지역의 정보를 정량적, 시계열적으로 제공하므 로(Ryu et al., 2013) 짧은 시간에 넓은 지역에 대한 과학적 인 분석이 가능하다. 뿐만 아니라 초분광 센서를 이용하면 지표물의 생물리화학적 특성과 관련된 정밀 분석이 가능함 에 따라(Han et al., 2013; Yan et al., 2013) 대상체에 대한 질적, 양적 정보의 획득이 가능해졌다.

원격탐사기법은 다양한 분야에서 적용되고 있지만, 특히 산불 탐지 및 피해량 산정(Kang et al., 2010; Loboda et al., 2013; Veraverbeke et al., 2011), 식생 수종 분석(Cho et al., 2012; Saatchi et al., 2008), 식생 생육 분석(Chen et al., 2007; Kim et al., 2013), 해양 해수면 온도 분석(Guan and Kawamura, 2004; Park and Kim, 2009) 등 환경 분야 에서 활발하게 활용되고 있다. 그러나 환경원격탐사 분야 중에서도 담수에 대한 원격탐사, 특히 하천에 대한 수질 모니터링 분야에서는 활용연구가 미미한 실정이다. 뿐만 아 니라 영상을 이용해 수질을 추정하는 연구들이 대부분 기 존의 밴드 조합을 이용한 회귀분석 방법을 이용하고 있어, 분석을 위해 영상과 현장조사를 병행해야 한다는 문제점을 가지고 있다.

최근 들어 영상을 이용한 수질인자 추정 분야에서도 선형 분광혼합화소분석 기법을 적용한 연구가 활발히 진행되고 있다. 선형분광혼합화소분석 기법은 영상에서 각 화소의 반 사율은 단일분광요소의 선형 조합으로 이루어져 있다고 가 정하고, 각 요소들이 차지하는 비율을 분리해 내는 과정이 다. 관심 요소에 의한 분율만을 얻을 수 있음에 따라 더욱 정밀한 분석이 가능하다. 선형분광혼합화소분석 기법을 적 용한 사례는 특히 산림, 토지피복, 해양 분야에서 많은 연 구가 진행되고 있고, 해외의 경우에는 담수 영역의 수질정 보를 얻으려는 연구들도 진행되고 있다.

Oyama et al. (2009)의 연구에서는 선형분광혼합화수분석 을 기반으로 SDA(Spectral Decomposition Algorithm)을 개 발하였다. 이를 Landsat-5 TM 영상에 적용하여 SS 농도가 높은 가스미가우라 호수에 대해 클로로필a, NPSS(Non Phytoplankton Suspended Solids) 농도맵을 성공적으로 작 성하였다. 추가로 bio-optical model을 이용해 도출한 단일 분광요소를 이용하여 추정모델식에 결합한 결과, 영상자료 에 모델의 직접적인 적용이 가능하였다. 두 시기 영상에 적용결과 클로로필a의 추정오차는 9.9%, NPSS는 15.9%로 나타났다.

Svab et al. (2005)의 연구에서는 Landsat TM 과 ETM+ 영상과 Balaton 호수 실측자료를 이용하여 부유물질과 클 로로필a 농도를 추정하였다. 그 결과, 부유물질 농도가 높 고 클로로필 농도가 매우 낮은 수체에서는 클로로필a 농도 추정이 매우 힘들다고 하였다. 그러나 주성분 분석을 통해 고유의 단일분광요소를 찾아내고 선형분광혼합분석을 적용 하여 다중회귀분석한 결과, 부유물질과 클로로필의 농도 분포 와 상관없이 클로로필a의 농도 추정이 가능하다고 하였다.

앞선 사례에서 제안된 선형분광혼합분석 기법은 대상체 의 분광학적 특성을 보다 정밀하게 추정할 수 있음에 따라 여러 분야에서 활발하게 사용되고 있다. 하지만 국내에서는 담수에 대해 선형분광혼합분석 기법을 적용하는 사례가 미 미하였고, 해외의 경우에도 기법 적용을 통해 도출된 클로 로필a 농도 추정식은 다른 시기 영상에 적용 시 정확도가 떨어진다는 한계점이 존재하였다. 또한, 담수역 중에서도 하천을 대상으로 하는 연구는 사례를 찾아보기가 힘들었다. 하천은 동일한 담수인 호수에 비해 상대적으로 빠른 흐름 을 가지고 있으므로 시간 변화에 따라 호수와 다른 광학적 특성을 나타낼 것이라 판단된다.

따라서 본 연구에서는 하천 영역을 대상으로 선형분광혼 합분석 기법을 적용하여 클로로필a 농도 추정식을 개발하 고, 개발된 추정식은 다른 시기에 촬영된 영상에 적용하여 안정적인 클로로필a 농도 추정 가능성을 평가하고자 하였다.

2. Materials and Methods

2.1. 연구 대상지역 및 수질자료

낙동강 본류 강정고령보 상류 구간을 연구 대상지역으로 선정하였다. 대상지역은 경상북도 달성군, 고령군, 성주군에 걸쳐 있는 낙동강 본류이고, 조사를 위한 지역은 강정고령 보를 기준으로 상류로 약 15 km ~ 20 km 거리이다. 낙동강 본류는 산업단지가 밀집되어 있고 댐과 하구둑의 영향으로 인해 유속이 감소되어 전형적인 호소형 하천을 특성을 보 이는 지역이다.

영상 촬영은 2013년 10월 14일과 11월 12일 2번에 걸쳐 수행되었고, 영상이 촬영되는 동일한 날짜에 현장조사를 수 행하였으며, 10월 촬영 시에 30개 지점, 11월 촬영 시에 34개 지점에 수온, pH DO, 전기전도도, TSS, VSS, Chl-a 항목을 분석하였다.

2.2. 공간자료 수집 및 전처리

연구에 사용한 위성영상은 독일의 우주항공센터에서 2008 년 발사되어 운영되는 RapidEye 영상이다. 일반적인 광학위 성에서는 Multi-Spectral 영역의 밴드가 Blue, Green, Red, Near-InfraRed(NIR)의 4개 밴드로 구성되어 있는 경우가 많 지만, RapidEye 위성의 경우 Red와 NIR 밴드 사이에 RE(Red-Edge) 밴드를 보유함으로써 클로로필 분석에 효과 적인 것으로 알려져 있다. 본 연구에서는 방사보정 및 기기오 차가 보정된 수준인 1B 레벨의 영상을 사용하였으며, RapidEye 위성영상의 상세제원 및 특징은 Table 1에 나타내었다. (Fig. 1).

Table 1. Product specification of RapidEye Satellite Images (RapidEye AG, 2007)
Specifications Description

Spatial resolution Multi-Spectral 6.5 m

Time resolution 1 day (off-nadir), 5.5 days (nadir)

Dynamic range Up to 12 bit

Spectral bands Blue 440-510 nm
Green 520-590 nm
Red 630-685 nm
Red-Edge 690-730 nm
Near-InfraRed 760-850 nm

Swath width 77 km

Equator crossing time 11:00 am ~ 13:00 am (approximately)

Data processing levels 1B Sensor-Level Product
Fig. 1. Study area (Acquired new images on 14, October (left) and 12, November (right) and each sampling sites).
../../Resources/kswe/KSWE.2014.30.3.329/JKSWE-30-329_F1.jpg

촬영된 영상으로부터 지표면의 반사율 정보를 취득하기 위해 정사보정 및 대기보정과 같은 전처리를 수행하였다. 정사보정은 영상과 함께 제공된 RPC (Rational Polynomial Coefficient) 정보와 30 m GDEM (Global Digital Elevation Map)을 이용하였다. 대기보정은 PCI (Geomatica, USA) 프로 그램의 ATCOR (Atmospheric/Topographic Correction for Satellite Imagery) 모듈을 이용하여 보정하였다. 본 연구에서 는 영상과 함께 제동되는 RPC 정보와 ASTER (Advanced Spaceborne Thermal Emission and Reflection Radiometer) 영 상을 이용해 제작된 30 m GDEM 자료를 이용해 정사보정을 수행하였다(Fig. 2). 국내에서도 국토지리정보원을 통해 제공 되는 10 m 급 DEM 자료가 있지만 남한 지역에 대해 지역별 로 구축, 갱신되는 시기가 상이하고, 대상 지역인 강정고령 보 지역에 부분적으로 표고값이 존재하지 않은 지역들이 있 어서 최근에 갱신된 ASTER 30 m GDEM을 이용하였다.

Fig. 2. Ortho-rectified RapidEye Imagery, Oct. (up) and Nov. (down).
../../Resources/kswe/KSWE.2014.30.3.329/JKSWE-30-329_F2.jpg

대기보정에 사용된 ATCOR 모듈은 분광 반사율 및 방사 율, 온도 등 지구표면의 물리적인 파라메터를 계산하는 모 델로, 대기감쇠에 의한 노이즈 제거와 연무 제거에 유효한 것으로 알려져 있다. ATCOR 대기보정을 위해 입력된 변 수들을 Table 2에 정리하였다. 초기 가시도는 10월 영상에 서 18 km, 11월 영상에서 23 km로 설정하였고, 에어로졸 조건은 10월 영상은 mid-latitude summer, 11월 영상은 fall and spring으로 적용하였다. 입력된 조건을 기준으로 10월 과 11월 영상의 대기보정을 수행하였다(Fig. 3).

Table 2. Input Parameters of the atmospheric correction for ATCOR module
Parameters 1st 2nd
Flight date 14 October 12 November
Flight time 12:13:42 12:21:17
Aerosol type Rural Rural
Aerosol condition Mid-latitude summer Fall/spring
Center latitude 35.892776 35.870766
Center longitude 128.197632 128.359299
Solar zenith 43.882870 53.461029
Solar azimuth 180.160507 183.134796
Sensor tilt angle 7.38 11.17
Satellite azimuth angle 279.27 100.52
Visibility 18 km 23 km
Fig. 3. Atmosphere Corrected RapidEye Imagery.
../../Resources/kswe/KSWE.2014.30.3.329/JKSWE-30-329_F3.jpg

전처리가 완료된 영상은 연구 대상지역인 하천 영역만을 추출하는 마스킹 과정을 거쳤다. 하천 영역의 효과적인 마 스킹을 위해 근적외선 밴드에서 물의 반사율이 낮은 점을 이용하여 물과 비슷한 반사율을 보이는 영역을 선택하고, 선택된 화소와 주변 화소들 간의 밝기값과 표준편차 등의 통계적인 정보를 이용하여 분류하였다.

2.3. 단일분광화소 선택을 위한 영상처리

2.3.1. Minimum Noise Fraction (MNF) Transforms

MNF 변환은 영상을 고유의 차원으로 투영함으로써 자료 에서 노이즈를 분리해내고 영상 내에서 상대적으로 반사율 이 낮은 하천 구간의 신호대잡음비를 높여 분석 정확도를 높이는 과정이다(Green et al., 1988). 본 연구에서는 하천 지역을 촬영한 영상 내에서 단일분광요소에 해당되는 화소 를 선택하기 위해 MNF 변환을 수행하고, 각 밴드별 산포 도 상에서 단일분광요소가 위치하는 영역들을 확인하는 과 정을 거쳤다.

2.3.2. 화소순도지수(Pixel Purity Index, PPI) 산정

화소순도지수는 MNF 변환된 밴드별 화소값들을 무작위 로 추출된 단위벡터공간에 투영시켜 벡터공간의 중심에서 가장 가장자리에 위치한 화소들을 확인하는 과정을 반복하여 산정된다. 10월과 11월 영상에 대해 5차원 공간에 15000번 의 반복 투영을 시행하여 화소순도지수를 각각 산정하였다.

2.3.3. 잠재 단일분광화소 선택

MNF 산포도를 이용한 단일분광화소 영역 확인 과정과 화소순도지수 산정 결과, 실측된 현장의 클로로필a 농도 등 을 교차 분석하여 잠정적으로 각 요소들에 대한 단일분광 화소를 선택하였다. 선형분광혼합화소 분석을 위해서는 일 반적으로 분석하고자 하는 영상의 밴드 수보다 작게 단일 분광화소를 선택하며, 본 연구에서는 각각 클로로필a, 클로 로필을 제외한 입자성 물질, 깨끗한 물에 대해 단일분광화 소를 선택하였다.

2.4. 선형분광혼합화소 분석

분광혼합화소 분석이란 지형지물의 반사율을 나타내는 위성영상에서 각 화소에 대해 여러 단일분광요소들의 많고 적음을 분율로 결정하는 것을 말한다. 선형분광혼합화소 분 석은 영상에서 각 화소의 반사율은 단일분광요소의 선형 조합으로 이루어져 있다고 가정하고, 각 요소들이 차지하는 비율을 분리해 내는 과정으로 식 (1)과 같이 표현 가능하 다. 선형분광혼합화소 분석을 통해 10월과 11월 영상에서 클로로필a, NPSS, 깨끗한 물에 대한 분율 영상을 각각 산정 하였다.

(1)
R i = c = 1 n r j f ij + e n

Rn = the reflectance for the ith pixel

rj = the spectral reflectance of the jth surface component

fij = the fraction of the jth surface component in the ith pixel

3. Results and Discussion

3.1. 수질 분석

위성영상의 반사율 정보와 현장에서 조사·분석된 수질의 상관분석을 위해 2013년 10월 14일과 11월 12일 두 차례 에 걸쳐 대상지역을 촬영하고 현장 수질조사를 수행하였다. 수질분석은 각각 10월 촬영 시에 30개 지점, 11월 촬영 시 에는 34개 지점에 대해 수온, pH DO, 전기전도도, TSS, VSS, Chl-a 항목을 분석하였다.

10월에 측정된 클로로필a 농도는 10.0 μg/L ~ 50.0 μg/L의 분포를 보였고, 상류에서 하류로 이동할수록 증가하는 경향 을 보였다. 반면 11월에 측정된 클로로필a 농도는 상류 2 개 지점을 제외하고는 10.0 μg/L ~ 15.0 μg/L로 대상 지역 전체에 걸쳐 고른 분포를 보였다. 10월과 11월에 연구 대 상지역에서 측정된 수온은 상류와 하류 전반에 걸쳐 1 ~ 2°C 차이로 고른 분포를 보였고, SS 농도는 상류에서 하류로 갈수록 증가하는 경향을 보였다. 10월에 측정된 클로로필a 의 평균 농도는 27.9 μg/L, 최대 농도는 47.0 μg/L, 최소 농 도는 12.7 μg/L이었고, 11월에 측정된 클로로필a의 평균 농 도는 12.4 μg/L, 최대 농도는 22.0 μg/L, 최소 농도는 8.8 μg/L이었다. 11월 클로로필a 농도에 비해 10월 클로로필a 농도가 12.7 μg/L ~ 47.0 μg/L로 상대적으로 표준편차가 크 게 나타났다(Table 3).

Table 3. Statistics of water quality concentrations sampled on Oct. and Nov.
Statistics Date Temp. (°C) pH DO (mg/) COND (µs/cm) TSS (mg/) Chl-a (µg/)
Mean 10.14 22.2 8.6 10.1 237.7 7.6 27.9
11.12 14.3 8.4 10.7 285.2 8.5 12.4
Max. 10.14 23.1 8.9 11.2 241.0 14.8 47.0
11.12 14.7 8.7 11.1 316.0 10.4 22.0
Min. 10.14 21.2 8.0 8.9 227.0 5.0 12.7
11.12 13.7 7.7 10.1 252.0 6.4 8.8
St.Dev. 10.14 0.5 0.2 0.5 2.8 1.9 8.7
11.12 0.3 0.2 0.3 19.6 1.1 2.7

3.2. 단일분광요소 영상 구축

촬영된 영상에서 각각 클로로필a와 NPSS, 깨끗한 물의 순수한 반사율 파장과 가장 유사한 반사율 파장을 갖는 화 소를 선택하기 위해 MNF 변환 후 각 MNF 밴드별 산포도 를 작성하였다. MNF 밴드별 산포도를 이용해 각각의 단일 분광요소에 해당되는 지역을 영상 내에서 확인할 수 있었 다(Fig. 4). 영상 내에서 정확하게 각각의 단일분광요소를 선택하기 위해서는 영상이 촬영된 시점에 어느 지역에서 클로로필a 농도가 높을지 또는 어느 지역에서 SS농도가 높 을지 예측할 수 있도록 현장에 대한 사전지식이 매우 중요 하다(Tyler et al., 2006).

Fig. 4. Scatter plots of each MNF bands and end-member selection images acquired on 14, October (up) and 12, November (down).
../../Resources/kswe/KSWE.2014.30.3.329/JKSWE-30-329_F4.jpg

단일분광요소들의 반사율 파장의 차이가 매우 커서 서로 구분이 용이한 경우, MNF 밴드별 산포도 상의 가장자리에 해당되는 픽셀에서 단일분광요소를 확인할 수 있는 확률이 높은 것으로 알려져 있다(Johnson and Tothill, 1985). 하지 만 촬영된 영상 내에서 하천은 산림이나 토양 등 다른 피 복에 비해 상대적으로 어두운 객체에 해당된다. 따라서 본 연구에서는 영상 내에서 클로로필a와 NPSS 농도에 대응하 는 단일분광요소를 선택하기 위해 화소순도지수를 산정하 였다. 화소순도지수를 산정하는 것은 다분광 혹은 초분광 영상 이미지에서 파장특성이 순수한 픽셀 또는 n-차원 중 심에서 가장 멀리 위치한 픽셀을 찾는 과정이다(Boardman et al., 1995). MNF 변환 및 화소순도지수 산정 결과와 실 측한 수질의 비교를 통해 단일분광요소를 선택하고 분광혼 합화소분석을 수행하였고, 10월과 11월의 원시영상에서 각 각 클로로필a, NPSS, 깨끗한 물에 대응하는 단일분광요소 영상을 구축하였다(Fig. 5).

Fig. 5. Unmixed abundance images of each end-members, 14 October(up) and 12 November(down), 2013.
../../Resources/kswe/KSWE.2014.30.3.329/JKSWE-30-329_F5.jpg

3.3. 영상촬영 및 채수시간 차이에 따른 분석정확도 변화

11월 영상에서 얻은 단일분광요소 영상과 34개 지점의 클 로로필a 농도 실측치를 이용하여 다중회귀분석을 수행한 결과 (2)와 같은 관계식을 도출하였다.

(2)
Chl - a = 49.7 - 36.9 EM chl - a - 37.3 EM NPSS - 36.9 EM pw

관계식 (2)을 이용해 영상에서 계산된 클로로필a 농도와 실측된 농도를 비교한 결과, 결정계수는 0.17로 해당 관계 식은 설명력이 매우 낮았다. 또한 실측된 클로로필a 농도와 영상에서 추정한 농도의 차이는 하류에 비해 상류에서 상 대적으로 크게 나타났다. 11월 영상을 이용한 분석에서 하 류에 비해 상류에서 실측 수질과 많은 차이를 보인 이유는 영상의 촬영과 현장조사의 시간 차이 때문으로 판단하였다. 확인 결과 11월 영상의 촬영시각은 12시 21분이고, 현장조 사는 이보다 앞서서 11시 10분에서 12시 17분 사이에 이 루어졌다. 결과적으로 현장조사는 상류에서 하류방향으로 진행되었기 때문에 영상 촬영시간과 채수시간의 차이는 하 류보다 상류에서 크게 발생되었다. 반면 10월 영상의 촬영 시각은 12시 13분이고, 현장조사는 11시 32분에서 13시 사 이에 이루어져 촬영시각을 기준으로 전·후 약 40분 이내에 조사가 이루어졌다. 따라서 10월 조사된 자료는 채수 지점 의 GPS 좌표가 잘못 기입된 2개 지점(T-4, T-15)을 제외한 28개 지점의 자료를 분석에 사용하였고, 11월 조사된 자료 는 영상 촬영시각을 기준으로 50분 이내에 조사된 24개 지 점의 자료를 분석에 이용하였다.

호소에 비해 상대적으로 유속이 큰 하천에서는 정확한 분석을 위해 영상 촬영시각과 현장조사 시간의 차이를 최 소화할 필요가 있다. 현장 조사된 자료들 중에 영상이 촬 영된 시각으로부터 각각 30분, 40분, 50분 이내에 채수된 시료의 수질 자료들을 이용해 다중회귀분석을 수행한 결과, 영상의 촬영시각과 채수시간의 차이가 커질수록 결정계수가 작아지고 유의확률이 증가하는 결과를 확인하였다(Table 4). 촬영시각과 샘플링 시각의 차이에 따른 결정계수의 변화, 회귀모형을 산정하기 위한 샘플링 개수 등을 고려하여 11 월 영상을 이용한 다중회귀분석에는 샘플링된 34개 지점의 자료 중 24개 지점의 수질자료를 이용하였다.

Table 4. Change determination coefficient of multi-variate regression for image acquisition time difference
Time difference 30 min. 40 min. 50 min raw data
No. of data 14 19 24 34
Determination coefficient 0.84 0.56 0.51 0.17
F-value 17.90 6.46 6.95 2.09
P-value 0.0002 0.0051 0.0021 0.1225

3.4. 단일분광요소 영상을 이용한 클로로필a 다중회귀 분석

10월과 11월 영상에서 계산된 단일분광요소 영상의 반사 율과 실측된 수질자료를 다중회귀분석하여 각각 식 (3)과 식 (4)의 관계식을 도출하였다.

(3)
Chl - a = 68.6 - 36.1 EM chl - a - 49.3 EM NPSS - 52.2 EM pw
(4)
Chl - a = 13.2 - 0.6 EM chl - a - 2.5 EM NPSS - 3.6 EM pw

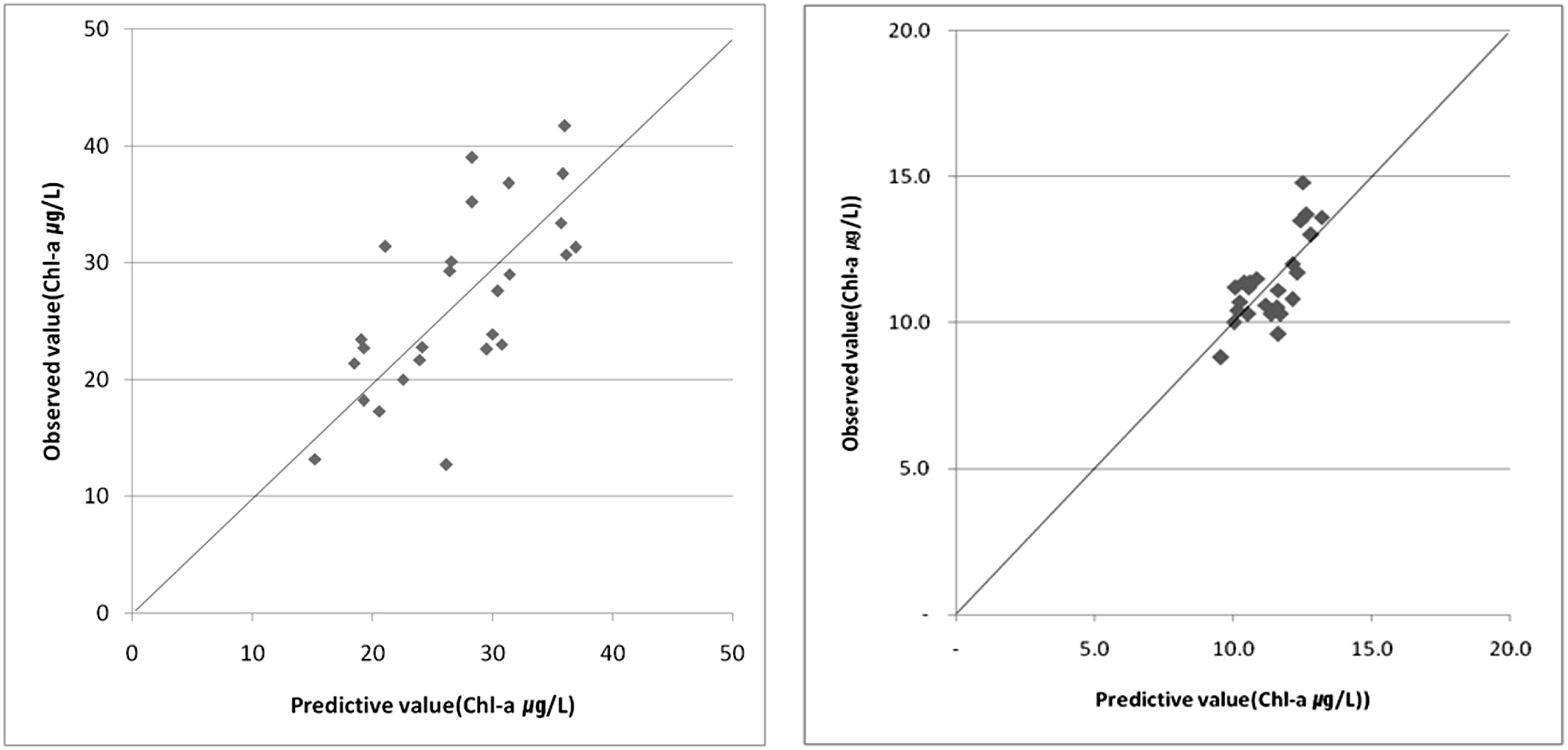
식 (3)과 (4)를 이용해 10월과 11월 영상에서 추정된 클 로로필a 농도와 실측된 지점의 클로로필a 농도를 비교한 결과, 결정계수는 각각 0.49, 0.51로 비교적 낮게 나타났다 (Fig. 6). 이는 10월과 11월에 측정된 클로로필a 농도가 상 류에서 하류에 이르기까지 전반적으로 낮고, 비슷하게 분포 하고 있기 때문으로 판단된다. 연구대상 수체에서 클로로필 a 농도가 비슷하게 분포하는 경우에는 선형분광혼합화소 분석을 위한 영상 내 단일분광 요소 선택의 정확도가 떨어 진다. 또한, 낮은 클로로필a 농도는 특정 파장대에서 나타 나는 복사에너지의 반사와 흡수 피크를 상대적으로 구분하 기 어렵게 한다. 따라서 영상의 반사율과 실측 클로로필a 농도를 이용해 회귀분석을 수행한 선행 연구들을 분석해보 면, 대부분 클로로필a 농도가 10 μg/에서 120 μg/ 사이 의 변화를 보이는 넓은 수체를 대상으로 하고 있음을 확인 할 수 있다. 본 연구에서도 대상 지역의 클로로필a 농도가 높은 시기에 영상촬영과 현장조사를 병행하고자 하였지만, 현장의 날씨와 운량 등의 조건으로 인해 클로로필a 농도가 높았던 10월 초 영상을 얻을 수 없었다.

Fig. 6. Relationship between observed and calculated Chl-a concentrations, 14 Oct. (left), 12 Nov. (right), 2013.
../../Resources/kswe/KSWE.2014.30.3.329/JKSWE-30-329_F6.jpg

3.5. 밴드조합을 통한 클로로필a 회귀분석

단일분광요소 영상을 이용한 클로로필 회귀분석 결과와 비교를 위해 밴드조합을 이용한 클로로필 회귀분석을 수행 하였다. 클로로필a 농도 추정 알고리즘은 Gitelson et al. (2008)의 연구에서 제안한 Red-RE two-band model과 Red- RE-NIR three-band model을 이용하였다. Choi et al. (2011) 의 연구에서는 RapidEye 영상과 Red-RE two-band model, Red-RE-NIR three-band model을 이용해 낙동강 본류의 클 로로필a 농도를 성공적으로 추정한 바 있다. Fig. 7은 깨끗 한 물과 기본적으로 클로로필 a로 구성된 조류가 포함되어 있는 물의 반사특성을 보여주고 있다. 깨끗한 물은 400- 500 nm 사이에서 2%정도 반사되었으며, 710 nm 이후의 파 장에서 1% 이하로 감소하였다. 이와 반대로 조류가 포함된 물에서는 두 부분의 반사와 두 부분의 감소가 상대적으로 두드러지게 나타난다(Jenson, 2006). 또한, 클로로필a 농도 에 따른 분광특성의 변화는 적색광과 근적외선 파장대에서 반사와 흡수 최대치를 구분하기 쉽지 않아 회귀분석 시 정 확도를 저감시키는 요인으로 작용한다.

Fig. 7. Comparison of spectrum between water containing algae and clean water (left,Jenson, 2006) and Chlorophyll-a reflectance for different concentration in water in the visible and NIR spectrum (right, RapidEye inc.).
../../Resources/kswe/KSWE.2014.30.3.329/JKSWE-30-329_F7.jpg

10월 영상의 밴드별 반사율 특징은 475 nm인 청색광에서 가장 높은 반사율을 보이고, 녹색광, 적색광, 근적외선으로 갈수록 점차 감소하며, Red-edge밴드인 710 nm와 근적외선 밴드인 805 nm에서 비슷한 반사율을 보였다. 또한, 10월 11월 영상 모두 클로로필a 농도가 매우 낮아 밴드별 반사 율 변화패턴이 깨끗한 물의 반사율 패턴과 매우 유사하게 나타났다(Fig. 8).

Fig. 8. Reflectance (×100) variation of RapidEye image pixel for the sampling points; Imagery acquired on 14, October (left) and 12, November (right).
../../Resources/kswe/KSWE.2014.30.3.329/JKSWE-30-329_F8.jpg

3.5.1. Red-RE two-band model

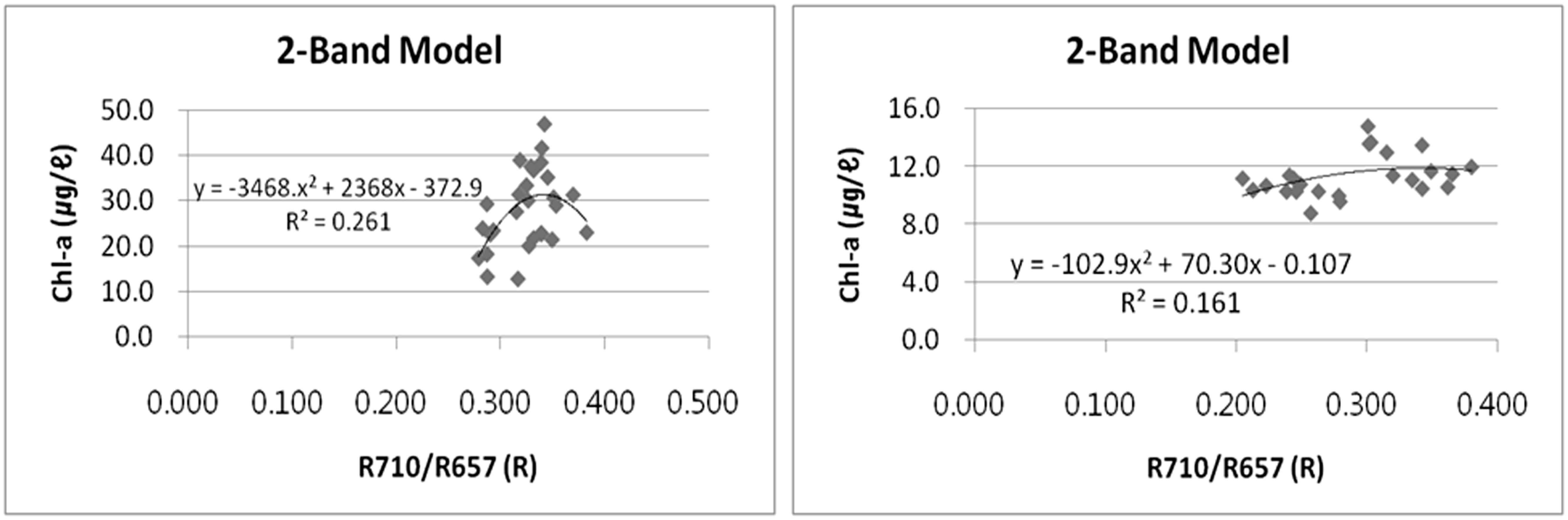
Two-band 모델은 클로로필a 농도가 증가함에 따라 rededge 밴드인 710nm 파장대에서 높은 반사율을 보이고 적색 광 밴드인 675nm 파장대에서 발생되는 높은 흡수로 인해 반사율 차이가 커지는 분광특성을 이용한 클로로필a 농도 추정모델이다. Two-band 모델 추정 클로로필 농도와 실측 치 비교를 통해 도출된 식 (4)와 (5)를 이용해 10월과 11월 영상 내에서 클로로필a 농도를 산정하였다. 하지만 두 영상 모두 적색광 밴드인 675 nm와 Red-edge밴드인 710 nm에서 비슷한 반사율 값을 보이고 상류와 하류 전체에 걸쳐 클로 로필a 농도가 매우 낮아서 추정된 클로로필a 농도와 실측 농도를 비교했을 때, 결정계수가 각각 0.26과 0.16으로 나 타났다. 따라서 Two-band 모델 방법으로 작성된 모형은 본 자료를 설명하기에 부적합하다고 판단된다(Fig. 9).

Fig. 9. Relationship between observed Chl-a concentrations and R values calculated by imageries acquired on 14, October (left) and 12, November (right) with Red-RE two-band Chl-a estimation equations.
../../Resources/kswe/KSWE.2014.30.3.329/JKSWE-30-329_F9.jpg
(5)
Chl - a = - 372.9 + 2368.0 R - 3468.1 R 2
(6)
Chl - a = - 0.1 + 70.3 R - 102.9 R 2

3.5.2. Red-RE-NIR three-band model

Three-band 모델은 클로로필a 농도가 증가함에 따라 반사 율 피크를 보이는 red-edge와 강한 흡수를 보이는 적색광 밴 드, red-edge보다는 약하지만 반사피크를 보이는 근적외선 밴드를 이용하여 클로로필a 농도를 추정하는 모델이다. 10월 과 11월 영상에서 각각 식 (6)과 (7)을 이용해 영상 내에서 클로로필a 농도를 산정하였다. 두 영상에서 모두 적색광 밴 드에서 뚜렷한 흡수를 나타나지 않았고, 10월 영상은 rededge 밴드와 근적외 밴드에서 비슷한 반사율을 보였다. 또한, 두 영상에서 three-band 모델을 이용해 추정된 클로로필a 농 도와 실측 농도를 비교했을 때, 10월 영상에서는 결정계수가 0.02, 11월 영상에서는 0.30으로 나타남으로써 해당 모델로 는 현상을 설명하기에 부적합한 결과를 보였다(Fig. 10).

Fig. 10. Relationship between observed Chl-a concentrations and R values calculated by imageries acquired on 14, October (left) and 12, November (right) with Red-RE-NIR three-band Chl-a estimation equations
../../Resources/kswe/KSWE.2014.30.3.329/JKSWE-30-329_F10.jpg
(7)
Chl - a = - 61.1 - 229.0 R - 145.8 R 2
(8)
Chl - a = 19.4 + 15.6 R + 1.2 R 2

3.6. 선형분광혼합화소 분석법의 다중시기 영상 적용성 검토

선형분광혼합화소 분석기법을 적용하여 10월 영상에서 산정된 클로로필a 농도 추정식 (2)를 11월 영상에 적용하 였다. 회귀식 (2)를 11월 영상에 적용하기 위해 10월 영상 에 적용했던 동일한 방법으로 클로로필a, NPSS, 깨끗한 물 에 대한 단일분광화소 영상을 도출하였다. 그 결과, 전체적 으로 실측치보다 크게 예측되었고, 11월 영상에서 산정된 회귀식 (3)를 10월 영상에 적용한 결과는 전체적으로 실측 치보다 작게 예측되었다(Fig. 11). Tyler et al. (2006)의 연 구에서는 2000년 영상에서 추출된 다중회귀식을 1997년 영 상에 적용하여 클로로필a 농도를 계산하고, 실측된 클로로 필a 농도와 비교하여 통계적으로 높은 유의성을 보이는 결 과를 도출하였다. 하지만 Tyler 등이 분석한 대상 수체는 면 적이 약 600 km2 이고, 평균 수심이 3 m로 유동이 거의 없는 대규모 호소였다. 반면 본 연구의 대상지역인 낙동강 본류 강정고령보 구간은 대형 호소에 비해 단일분광요소의 시간 에 따른 공간 변이가 매우 큰 수체이다. 10월과 11월 영상 에서 도출된 클로로필a 농도 추정식이 다른 시기에 촬영된 영상에서 전반적으로 과소 또는 과대 산정된 이유는 두 영 상 내에서 단일분광요소에 해당되는 화소의 위치와 분포가 시간에 변화함에 따라 크게 달라졌기 때문으로 판단된다. 또한, 10월과 11월 현장조사 결과에서 보듯이 클로로필a 농도가 매우 낮아 영상 내에서 클로로필a에 대응하는 단일 분광요소를 선택하기 힘들었던 점도 분석의 정확도를 저감 시키는 이유라고 판단된다.

Fig. 11. Comparison between observed and calculated Chl-a concentration with multi-regression model and spectral mixture analysis using RapidEye images; 14, October (left) and 12, November (right), 2013.
../../Resources/kswe/KSWE.2014.30.3.329/JKSWE-30-329_F11.jpg

4. Conclusion

영상의 특정 화소 내에 존재하는 다양한 물질들의 혼재 된 반사율 정보를 각각의 단일분광요소에 대한 반사율 정 보로 분리해내는 선형분광혼합화소 분석법을 이용하여 영 상 내에서 안정적으로 클로로필a 농도를 추정하고자 하였 다. 또한, 과거 영상에 선형분광혼합화소 분석기법을 적용 하여 추출한 클로로필a 농도 다중회귀식을 새롭게 촬영된 영상에 적용함으로써 영상 촬영시에 매번 현장조사를 병행 하지 않고도 수질의 예측이 가능한지 검토하고자 하였다.

10월과 11월 영상에 선형분광혼합화소 분석기법을 적용 해 산정된 단일분광요소 영상들과 실측된 수질을 다중회귀 분석하여 클로로필a 농도를 추정하였다. 그 결과, 결정계수 는 각각 0.49, 0.51로 비교적 낮게 나타났다. 이는 클로로 필a 농도가 낮고 비슷한 분포를 보이고 있어 영상 내에서 클로로필에 대한 단일분광요소를 정확하게 선택하지 못했 기 때문으로 판단된다.

정확도 검증을 위해 선형분광혼합화소 분석기법을 이용 한 클로로필a 농도 추정 결과와 기존의 밴드 조합을 이용 한 수질인자 추정모델의 결과를 서로 비교하였다. 적색광과 red-edge 밴드를 이용한 Two-band 모델로 클로로필a 농도 를 추정한 결과, 각각의 결정계수는 10월 영상에서 0.26, 11월 영상에서 0.16으로 설명력이 낮게 나타났다. 또한, 적 색광, red-edge, 근적외선 밴드를 이용한 Three-band 모델을 이용해 클로로필 농도를 추정한 경우에서도 10월 영상에서 0.02, 11월 영상에서 0.30의 낮은 결정계수가 도출되었다.

밴드 조합을 이용한 수질인자 분석 결과보다 선형분광혼 합화소 분석기법을 이용한 수질 추정 결과가 상대적으로 높은 정확도를 보였다. 10월, 11월에 실측된 클로로필a 농 도가 전체적으로 매우 낮았고, 영상 분석에 활용할 수 있 는 파장의 신호가 약했기 때문에 밴드 조합을 이용한 결과 는 정확도가 매우 낮았고, 반면에 MNF 변환을 통해 노이 즈를 제거하고 수질인자를 추출한 선형분광혼합화소 분석 법의 결과가 동일한 조건에서 상대적으로 높은 정확도를 보인 것으로 판단된다.

또한, 클로로필 농도가 매우 낮은 시기에 촬영된 영상은 적색광(675 nm) 파장에서 강한 흡수를 보이고, 근적외선 (710 nm와 805 nm) 파장에서 강한 반사를 보이는 일반적인 분광특성 패턴을 따르지 않는다는 사실을 확인하였다. 이런 경우 반사율의 흡수와 반사 특성 차이를 이용해 수질인자 를 추출하는 밴드 조합 방법은 매우 부정확한 결과를 초래 한다. 반면, 분광혼합화소 분석기법은 단일분광요소에 대한 반사율 정보를 이용해 수질인자를 추출하기 때문에 수질농 도가 낮은 시기에 촬영된 영상을 이용한 수질분석에 적합 한 방법으로 판단된다.

분광혼합화소 분석을 통해 영상의 화소 내에서 클로로필 농도에 대응되는 반사율 정보만을 분리하여 도출된 수질인 자 회귀식을 다른 시기 영상에 적용하였으나 전체적으로 낮은 상관성을 보였다. 물의 이동이 매우 느리게 일어나는 대형 호소와 달리 하천에서는 시간에 따른 수질의 공간변 이가 컸기 때문으로 판단된다. 다중 시기에 적용 가능한 수질인자 회귀식 도출을 위해서는 영상 내에서 실측된 수 질과 연계하지 않고 단일분광요소에 해당되는 화소를 찾아낼 수 있는 방법이 필요할 것으로 판단된다. 아울러 향후 단 일분광요소에 해당하는 대상물질들에 대한 분광특성에 대 한 연구가 지속적으로 진행된다면 가능할 것으로 기대된다.

연구결과를 종합하면 다분광 영상을 활용하면 넓은 영역 의 수계에 대한 면단위 원격 관측과 수질 미측정 지점의 안정적인 수질자료 추출 등이 가능할 것으로 기대된다. 또 한, 영상으로부터 산정된 수질자료를 수질모델의 초기장 자 료로 이용할 경우, 모델의 정확도 제고에 크게 기여할 것 으로 판단된다. 나아가 신속한 원격 모니터링을 위해서는 날씨나 현장조건에 대한 제약이 적은 무인항공시스템과 초 분광센서를 이용한 하천 모니터링 기법의 도입도 필요할 것으로 판단된다.

References

1 
Boardman J.W., Kruse F.A., Green R.O., 1995, Mapping Target Signatures Via Partial Unmixing of AVRIS Data: in Summaries, JPL Publication, 1,, pp. 23-26
2 
Chen J., Lin H., Pei Z., 2007, Application of ENVISAT ASAR Data in Mapping Rice Crop Growth in Southern China, IEEE Geoscience Remote Sensing Letters, Vol. 4, No. 3, pp. 431-435Google Search
3 
Cho M.A., Mathieu R., Asner G.P., Naidoo L., Aardt J.V., Ramoelo A., Debba P., Wessels K., Main R., Smit I.P.J., Erasmus B., 2012, Mapping Tree Species Composition in South African Savannas using an Integrated Airborne Spectral and LiDAR System, Remote Sensing of Environment, Vol. 125, pp. 214-226Google Search
4 
Choi E.Y., Lee J.W., Lee J.K., 2011, Estimation of Chlorophyll-a Concentrations in the Nakdong River Using High-Resolution Satellite Image, [Korean Literature], Korean Journal of Remote Sensing, Vol. 27, No. 5, pp. 613-623Google Search
5 
Gitelson A.A., Dall'Olmo G., Moses W., Rundquist D.C., Barrow T., Fisher T.R., Gurlin D., Holz J., 2008, A Simple Semi-analytical Model for Remote Estimation of Chlorophyll-a in Turbid Water: Validation, Remote Sensing of Environment, Vol. 112, No. 9, pp. 3582-3593Google Search
6 
Green A.A., Berman M., Switzer P., Craig M.D., 1988, A Transform for Ordering Multispectral Data in terms of Image Quality with Implications for Noise Removal, IEEE Transactions on Geoscience and Remote Sensing, Vol. 26, No. 1, pp. 65-74Google Search
7 
Guan L., Kawamura H., 2004, Merging Satellite Infra-red and Microwave SSTs: Methodology and Evaluation of the New SST, Journal of Oceanography, Vol. 60, No. 5, pp. 905-912Google Search
8 
Han Y.K., Kim Y.I., Han D.Y., Choi J.W., 2013, Mosaic Image Generation of AISA Eagle Hyperspectral Sensor using SIFT Method, [Korean Literature], Korean Journal of Geomatics, Vol. 31, No. 2, pp. 165-172Google Search
9 
Jenson J.R., 2006, [Korean Literature], Remote Sensing of the Environment, Sigmapress, pp. 411-415
10 
Johnson R.W., Tothill J.C., Tothill J. C., Mott J. J., 1985, Ecology and Management of the World’s Savannas, Australlian Academia of Science
11 
Kang J.M., Zhang C., Park J.K., Kim M.G., 2010, Forest Fire Damage Analysis using Satellite Images, [Korean Literature], Korean Journal of Geomatics, Vol. 28, No. 1, pp. 21-28Google Search
12 
Kim Y.H., Hong S.Y., Lee K.D., Jang S.Y., Lee H.Y., Oh Y.S., 2013, Monitoring Wheat Growth by COSMO-SkyMed SAR Images, [Korean Literature], Korean Journal of Remote Sensing, Vol. 29, No. 1, pp. 35-43Google Search
13 
Loboda T.V., French N.H.F., Hight-Harf C., Jenkins L., Miller M.E., 2013, Mapping Fire Extent and Burn Severity in Alaskan Tussock Tundra: An Analysis of the Spectral Response of Tundra Vegetation to Wildland Fire, Remote Sensing of Environment, Vol. 134, pp. 194-209Google Search
14 
Oyama Y., Matsushita B., Fukushima T., Matsushige K., Imai A., 2009, Application of Spectral Decomposition Algorithm for Mapping Water Quality in a Turbid Lake (Lake Kasumigaura, Japan) from Landsat TM Data, ISPRS Journal of Photogrammetry and Remote Sensing, Vol. 64, No. 1, pp. 73-85Google Search
15 
Park K.A., Kim Y.H., 2009, A Methodology for 3-D Optimally-Interpolated Satellite Sea Surface Temperature Field and Limitation, [Korean Literature], Journal of the Korean Earth Science Society, Vol. 30, No. 2, pp. 223-233Google Search
16 
RapidEye AG, 2007, RapidEyeTM Image Product Specifications, RapidEye AG
17 
Ryu J.H., Han K.S., Pi K.J., Lee M.J., 2013, Analysis of Land Cover Change Around Desert Areas of East Asia, [Korean Literature], Korean Journal of Remote Sensing, Vol. 29, No. 1, pp. 105-114Google Search
18 
Saatchi S., Buermann W., Steege H., Mori S., Smith T.B., 2008, Modeling Distribution of Amazonian Tree Species and Diversity using Remote Sensing Measurements, Remote Sensing of Environment, Vol. 112, No. 3, pp. 2000-2017Google Search
19 
Svab E., Tyler A.N., Preston T., Presing M., Balogh K.V., 2005, Characterizing the Spectral Reflectance of Algae in Lake Waters with High Suspended Sediment Concentrations, International Journal of Remote Sensing, Vol. 26, No. 5, pp. 919-928Google Search
20 
Tyler A.N., Svab E., Preston T., Presing M., Kovacs W.A., 2006, Remote Sensing of the Water Quality of Shallow Lakes: A Mixture Modelling Approach to Quantifying Phytoplankton in Water Characterized by High-suspended Sediment, International Journal of Remote Sensing, Vol. 27, No. 1, pp. 1521-1537Google Search
21 
Veraverbeke S., Lhermitte S., Verstraeten W.W., Goossens R., 2011, A Time-integrated MODIS Burn Severity Assessment using the Multi-temporal Differenced Normalized Burn Ratio(dNBRMT), International Journal of Applied Earth Observation and Geoinformation, Vol. 13, No. 1, pp. 52-58Google Search