The Journal of
the Korean Society on Water Environment

The Journal of
the Korean Society on Water Environment

Bimonthly
  • ISSN : 2289-0971 (Print)
  • ISSN : 2289-098X (Online)
  • KCI Accredited Journal

Editorial Office


  1. 국립환경과학원 유역총량연구과 (Watershed and Total Load Management Research Division, National Institute of Environmental Research)
  2. 강원대학교 지역건설공학과 (Regional Infrastructure Engineering, Kangwon National University)



Area restriction, Driving factor, Land use change, Land pollutant load

1. Introduction

현재 우리나라에서는 유역단위로 하천의 수질오염을 방 지하고 개선시키기 위해 오염총량관리제를 시행하고 있다. 이에 따라 최근 2010년 1단계 오염총량관리 계획이 종료되 고 2단계 계획을 수립하여 현재까지 제도가 시행 중에 있 으며, 1단계 평가 결과, 3대강(낙동강, 금강, 영산강)수계 모두 제도가 시행되기 전 대비 약 50~80% 범위의 수준으 로 하천 수질이 개선되는 성과를 나타냈다(Lee, 2013).

이렇게 우리나라 하천 수질환경 개선에 많은 도움을 주 고 있는 오염총량관리제는 계획을 수립할 시 장래 목표수 질을 설정하고 목표수질을 달성 및 유지하기 위한 장래 할 당부하량을 산정하여, 해당 총량관리 단위유역 내에서 배출 되는 오염물질의 총량이 목표수질을 달성 할 수 있도록 규 제 또는 관리 하는 제도이다(Park, 2011).

특히 장래에 대한 할당부하량을 예측하기 위해 오염원을 총 6가지(생활계, 축산계, 토지계, 산업계, 매립계, 양식계) 로 분류하여 오염부하량을 산정하며 이 중 토지계 장래 오 염부하량은 목표년도의 미래 토지면적 변화를 예측하여 오 염부하량 산정에 반영한다.

오염총량관리제 계획 수립 시 미래 토지이용 변화는 계 획수립년도 기준 과거 5년 이상의 연속지적도에서 측정된 28개 토지 지목별 면적 자료를 이용하여 5가지 지목으로 재분류 한 후 지목별 증감량을 산정하여 미래 토지이용 변 화를 공간적 변화 예측이 아닌 수치적으로만 예측을 한다.

하지만 토지의 변화는 다양한 사회 경제적 요소, 인구분 포, 인구밀도, 토지이용정책 등 여러 요인에 영향을 받을 수 있기 때문에(Oh et al., 2011) 여러 복합적인 영향을 고 려하지 않고 단순한 모델이나 이론을 이용하여 미래 토지 이용 변화를 예측하기 어렵고(Lee et al., 2011), 이에 따라 과거 면적 증감 경향으로만 미래 토지이용 예측을 할 경우 불확실성이 높아질 수 있다.

또한 차기 오염총량관리제 수립 시 유역모델을 고려할 수 있도록 명시되어 있기 때문에(NIER, 2012) 향후 오염총 량관리제 계획 수립 시 미래 토지 지목 변화 자료에 대한 공간적 자료도 필요할 것으로 예상된다.

이와 더불어 수치적으로만 존재하는 미래 토지이용에 대 해 시공간적 자료로 구축하여 오염총량관리제 계획에 이용 한다면 토지계 오염부하량의 대부분을 차지하는 비점오염 원에 대한 공간적 해석이 용이 할 수 있으며 오염원이 심 각하게 발생될 수 있는 우심지역 선정에도 유용할 수 있다.

하지만 아직까지 오염총량관리제의 미래 토지이용 변화 에 대해 인구 밀도, 인구 분포 등 다양한 토지이용 변화 요소를 고려한 시공간적 토지 지목 변화 예측 및 이에 따 른 영향을 평가한 연구가 많이 진행되어 있지 않았다.

현재 미래 토지 지목 변화에 대해 공간적으로 예측 할 수 있는 기법으로 Cellular Automata(CA) 기법, Markov chain 기법, CA와 Markov Chain이 결합된 기법, CLUE-S (Conversation of Land Use Change and its Effects at Small regional extent)모델을 이용한 기법 등이 있다. 이 중 Markov 기법은 GIS 데이터를 연산하여 현재 토지이용의 변화된 경향을 잘 예측하는 장점이 있지만 시간이 변화되 더라도 전이 확률이 항상 일정하고 모든 위치에 동일하게 적용되는 단점이 있으며(Kim and Lee, 2007), CA 기법 또 한 시계열 자료의 변화양상을 공통적으로 적용시켜 인접격 자의 상태를 지속적으로 변화시키기 때문에 다양한 토지이 용정책 이나 사회 경제적 요인을 반영하기에는 한계가 있 다(Oh et al., 2011).

하지만 이러한 기법 중 CLUE-S 모델을 이용한 기법은 CA 및 Markov 기법과 달리 환경변화, 토지이용정책 및 사 회 경제적 변화를 반영하여 토지이용변화를 예측 할 수 있 으며(Verburg et al., 2002), 전 세계적으로 다양한 토지이용 예측 분야에 활용되고 있다.

따라서 본 연구의 목적은 오염총량관리제에서 효과적인 미래 토지이용별 시공간적 분포 자료를 적용하기 위해 진 위A 단위유역에 CLUE-S 모델을 적용하여 2020년 미래 토 지이용 변화를 시공간적으로 예측하고 이에 따른 2020년의 토지계 발생부하량 변화를 분석하는 것이다.

2. Materials and Methods

2.1. 연구대상지역

연구대상지역은 가장 최근 시행계획이 수립되었으며 상류 영향을 받지 않는 진위A 단위유역을 선정하였다(Fig. 1).

Figure 1. Study area in JINWI A (Ryu, Kim et al., 2014).
../../Resources/kswe/KSWE.2014.30.4.418/JKSWE-30-418_F1.jpg

진위A 단위유역은 도시와 농촌이 혼재(시가화지역 23.9%, 농업지역 33.8%)되어 있는 지역으로서, 도시지역의 밀집현 상 및 농촌지역의 경작 형태 변화가 동시에 존재하는 단위 유역이며(Ryu, Kim et al., 2014) 그린벨트와 같은 특별 토 지이용정책이 고려된 유역이고 가장 최근 오염총량관리제 시행계획이 승인된 단위유역이기 때문에 본 연구의 연구대 상지역으로 선정하였다.

2.2. CLUE-S 모델의 개요

토지이용 변화의 공간적 모델은 가까운 미래의 토지이용 변화의 변화가능성을 분석하는데 있어 매우 중요하며 토지 이용 모델의 결과들은 정책과 사회경제적 및 자연 내 토지 이용 변화의 영향을 산정 하는데 있어 중요하다.

CLUE(Conversion of Land Use and its Effects modeling framework; Veldkamp and Fresco, 1996; Verburg et al., 1999) 모델은 토지이용 간 동적 모델링과 토지이용과 토지 이용의 변화요소(Driving Factor) 간 경험적 정량화를 이용 한 토지이용 변화를 모의하기 위해 개발되었으며 연구지역 의 스케일을 대륙 또는 국가 정도 수준을 고려할 수 있게 설정되었고 미중부, 에콰도르, 중국 및 인도네시아의 자바 등에 적용되어 토지이용변화 분석을 모의하였다.

하지만 기존의 CLUE 모델은 지역단위의 작은 스케일에 바 로 적용을 못하는 제한점이 있기 때문에 이를 해결하기 위해 네덜란드 Wageningen 대학에서 기존의 CLUE 모델을 개선한 CLUE-S(Conversion of Land Use and its Effects at Small regional extent)모델을 개발 하였다(Verburg et al., 2002).

ClUE-S 모델은 비 공간적 모듈과 공간적 모듈로 구성되 어 있으며(Fig. 2) 비 공간적 모듈은 총괄적으로 모든 토지 이용 유형에 대한 지역의 변화를 계산하고 공간적 모듈에 서 이를 레스터자료 기반 시스템을 사용하여 연구지역 내 다른 위치로 토지이용유형을 할당하는 구조를 지닌다. 하지 만 CLUE-S 모델은 비공간적 모듈을 제외한 공간적 모듈만 사용자 인터페이스(User-Interface)로 제공하기 때문에 비공 간적 모듈에 필요한 자료와 결과는 사용자가 직접 엑셀이나 SPSS와 같은 통계 프로그램을 이용하여 작성하여야 한다.

Figure 2. Overview of the modeling procedure (Verburg et al., 2002).
../../Resources/kswe/KSWE.2014.30.4.418/JKSWE-30-418_F2.jpg

2.3. CLUE-S 모델의 입력자료 구축

CLUE-S 모델의 구동을 위해 필요한 자료는 총 5가지로 구분되며 토지이용 자료(Land use map), 특별토지이용정책 자료(Spatial policies and restriction), 토지이용요구 자료 (Land use requirements), 지역 특성 자료(Location characteristics), 토지이용 변화 매개변수 자료(Land use type specific conversion settings)로 구분된다(Fig. 2).

2.3.1. 토지이용지도 및 토지이용요구 자료 구축

CLUE-S 모델에 적용하기 위한 토지이용지도 자료는 환 경부에서 자료를 제공하고 있는 2001년과 2009년 진위A 단위유역 중분류 토지피복 자료를 이용하였고, 오염총량관 리제 및 CLUE-S모델의 입력자료로 사용할 수 있도록 23 개 중분류 토지피복 분류를 8개로 재분류 하여 모델의 입 력자료로 사용하였다(Table 1).

Table 1. Classifications of Land use category
Total water pollution load management system CLUE-S Level II
Urban area Urban area Residential area
Manufacturing area
Commercial area
Recreational facility area
Traffic area
Regional public facility area
Paddy Paddy Paddy
Upland Upland Upland
Plastic house
Orchard
Other cultivation area
Forest Forest Coniferous
Broad-leaved
Mixed stand forest
Others Pasture Natural pasture
Golf
Artificial pasture
Wetland Inland wetland
Coastal wetland
Bare land Mining area
Bare land
Water Inland Water
Sea Water

이와 같은 이유는 23개의 토지피복 종류로 구성되어 있 는 중분류 토지피복 자료가 오염총량관리제의 5가지 토지 이용 분류에 비해 좀 더 세분화되어 분류되어 있기 때문에 본 연구의 오염총량관리제 토지계 발생부하량 산정 시 산 정 불가능한 토지가 발생될 수 있으며, CLUE-S모델 내 23 개의 토지를 모두 입력하였을 경우 모델이 구동되지 않는 제한점이 발생 할 수 있기 때문이다.

따라서 23개의 중분류 토지피복종류를 오염총량관리제에 맞춰 5개로 재분류해야 하지만 현재 오염총량관리제의 5개 토지이용 중 기타 지목에는 초지, 수역, 습지 등 다양한 토 지이용이 존재하기 때문에 5개 토지이용으로만 미래의 시 공간적인 토지이용 변화를 분석하기에는 기타 지목에 대한 불확실성이 매우 커지는 한계가 있어 본 연구에서는 기존 오염총량관리제의 기타 토지이용을 초지, 습지, 나지, 수역 으로 구분하여 Table 1과 같이 총 8개의 토지이용으로 재 분류 하였고 이를 CLUE-S 모델에 적용하였다.

또한 중분류 토지피복 자료를 재분류 한 후, CLUE-S 모 델의 입력자료 중 비 공간적 모듈 자료에 해당하는 토지이 용요구 자료(Land Requirement)에 대해 구축하였다. 토지이 용요구 자료란 현재 토지이용면적이 특정 경향에 따라 미 래에 어떻게 증감될 것인가에 대해 작성하는 것으로 여러 미래 토지이용 시나리오에 따라 사용자에 의해 주관적으로 작성될 수 있는 자료이다.

따라서 본 연구에서는 토지이용요구 자료를 구축하기 위 해 과거 토지이용이 미래토지이용 경향에 기인하는 것을 전제로 2001과 2009년 중분류 토지피복 면적 자료를 이용 하여 2001부터 2009년 사이의 토지이용별 면적을 추세를 이용한 방법에 따른 연평균 증감율을 적용하여 산정하였고 2009년부터 2020년 사이의 토지면적 또한 같은 방법으로 산정하였다(Table 2).

Table 2. Land requirement (km2)
Year Urban area Paddy Upland Forest Pasture Wetland Land Water 비고
2001 147.35 195.69 70.02 255.07 20.26 4.51 15.65 24.99 Level II
2002 150.54 190.99 68.72 253.03 21.92 4.92 19.03 24.39 Prediction
2003 156.72 181.59 67.42 251 23.58 5.33 22.40 23.80
2004 156.9 176.89 66.12 248.97 25.24 5.73 25.78 23.20
2005 160.08 182.19 64.82 246.93 26.91 6.14 29.15 22.61
2006 163.27 167.49 63.51 244.9 28.57 6.55 32.53 22.01
2007 166.45 162.79 62.21 242.86 30.23 6.96 35.91 21.42
2008 169.63 158.09 60.91 240.83 31.90 7.37 39.28 20.82
2009 172.81 158.72 59.61 238.8 33.56 7.78 42.66 20.23 Level II
2010 175.73 157.76 58.41 242.09 31.82 5.23 41.30 20.23 Prediction
2011 176.65 156.81 58.41 241.50 32.01 5.35 41.63 20.23
2012 177.56 155.86 58.41 240.91 32.20 5.46 41.95 20.23
2013 178.48 154.92 58.41 240.32 32.39 5.58 42.27 20.23
2014 179.40 153.98 58.40 239.73 32.58 5.69 42.59 20.23
2015 180.32 153.04 58.40 239.14 32.77 5.80 42.91 20.23
2016 181.24 153.04 58.39 238.55 32.95 5.90 43.22 20.23
2017 182.17 152.12 58.38 237.96 33.14 6.01 43.54 20.23
2018 183.10 151.19 58.36 237.37 33.32 6.11 43.86 20.23
2019 184.02 150.27 58.35 236.78 33.50 6.21 44.17 20.23
2020 184.95 149.36 58.33 236.19 33.67 6.31 44.49 20.23

2.3.2. 지역 특성 자료 구축 및 회귀분석

토지이용 및 면적을 변화시킬 수 있는 요소는 지역기후 또는 기상조건(온도, 강수량, 적설량, 풍속 등), 지역 지형조 건(경사도, 경사향), 토양종류, 수자원(지표수, 지하수, 물이 용 접근성)과 도로망의 접근성 또는 기타 교통수단(공항, 기차역)과의 접근성, 시장과의 접근성, 인구밀도 등 다양한 요소를 통해 결정되며(Briassoulis, 2009), 이에 따라 공간적 토지변화예측에서도 이러한 변화요소 반영이 필요하다.

CLUE-S 모델은 토지이용 면적 증감에 따른 경향 뿐 만 아니라 토지이용 또는 면적을 변화시킬 수 있는 다양한 토 지변화요소(Driving Factor)와 이에 따른 각 토지이용별 회 귀분석 결과를 모델에 고려하여 토지변화예측에 고려할 수 있다.

본 연구에서는 총 7가지(경사향: χ1, 경사도: χ2, DEM: χ3, 도로까지의 거리: χ4, 하천까지의 거리: χ5, 인구: χ6, 인구 밀도: χ7)의 토지변화요소 자료를 생성한 후(Fig. 3), SPSS 통계 프로그램을 이용하여 1)대지는 도로까지의 거리, 인 구, 인구밀도에 대해, 2)논과 전에 대한 지목은 경사향, 경 사도, DEM, 하천까지의 거리, 3)산림은 경사향, 경사도, DEM, 4)초지는 경사도와 DEM, 5)습지는 경사도, DEM, 하천까지의 거리, 6)나지는 DEM, 하천까지의 거리, 인구밀 도, 7)수역은 DEM, 하천까지의 거리에 대해 회귀분석을 실시하였다.

Figure 3. Overview of the information flow in the CLUE-S model.
../../Resources/kswe/KSWE.2014.30.4.418/JKSWE-30-418_F3.jpg

따라서 회귀분석으로부터 도출된 각 Driving Factor별 회귀 계수(β)를 식 (1)에 대한 회귀식에 적용하였고 이를 CLUE-S 모델의 입력자료로 사용하였다.

(1)
ln P x 1 - P x = β 0 + β 1 X 1 + + β K X K

식 (1)에서 β 는 회귀계수, Xk는 독립변수, P(x)는 발생확률, P x 1 - P x 는 Odds 값이며, Odds 값이란 통계학적으로 어떤 사건이 일어날 확률과 일어나지 않을 확률의 비를 의미한다.

하지만 모든 회귀식이 적합하지 않을 수 있으며 이를 검 증해야 하는 단계가 필요하다. 따라서 본 연구에서는 각 토지이용별 회귀분석에 대한 적합성을 검증하기 위해 ROC (Receiver Operating Characteristic) curve 분석을 실시하였 고 분석 결과에 따라 적합한 회귀분석만 도출하여 CLUE-S 모델에 적용하였다.

2.3.3. 특별 토지이용정책지역 구축

CLUE-S 모델은 토지이용정책에 대한 영향을 모델 내 반 영할 수 있도록 설계되어 있다. 특히 우리나라 그린벨트와 같은 정책을 모델 내 적용할 수 있기 때문에 CA 기법이나 Markov 기법과는 다르게 토지이용규제 지역 같은 경우 지 목 변화를 제한할 수 있는 특징을 지니고 있다.

본 연구에서는 진위A 단위유역 내 그린벨트 지역을 Fig. 4 와 같이 구분하여 CLUE-S 모델에 적용하였고 이를 통해 그린벨트 지역의 토지이용 변화를 제한하였다.

Figure 4. Driving factors.
../../Resources/kswe/KSWE.2014.30.4.418/JKSWE-30-418_F4.jpg

2.3.4. 토지이용 변화 매개변수 자료 구축

토지이용 변화에 대해 예측하기 위해서는 CLUE-S 모델 에서 사용자가 매개변수에 대해 임의로 지정해 주어야 하며 이러한 매개변수들 중 모델에 제일 민감한 부분이 변환탄성 (Conversion Elasticity)계수와 변환행렬(Conversion Matrix) 을 지정해주는 것이다.

변환탄성이란 각 토지이용별 변환될 수 있는 확률을 수 치화 시킨 매개변수이며 0에서 1사이의 값을 지닌다. 0의 변환탄성 계수는 이동경작과 같이 한 장소에서 현재 토지 이용이 제거되고 동시에 다른 장소에 이 토지이용이 할당 될 수 있음을 의미하며 1의 의미는 한개 셀 중 한개 토지 이용에 대해 동시에 다른 토지이용이 전혀 추가가 되거나 제거 되지 않음을 의미한다. 예를 들면 도시화에 따른 벌 목현상(Deforestation)이 일어나게 되면 동시에 다른 지역에 산림이 조성될 확률이 거의 없어지는 경우와 재조림(Reforestation) 이 일어나게 되면 동시에 기존 산림지역에 대한 벌목현상이 일어나지 않는 경우이다. 또한 0과 1사의 값의 의미는 토지이용 변화가 허용 되지만 높은 값일수록 1의 의미에 가까워지는 것을 의미한다.

변환행렬이란 각 토지 간 변화될 수 있는 가능성을 0과 1 로 구분한 것으로서 CLUE-S 모델에서는 0일 경우 토지이 용 간 변화가 되지 않는 것으로 판단하며 1일 경우는 변화 가 가능한 것으로 판단한다.

변환행렬에 대해서는 사용자가 현재 토지이용현황의 특 성을 파악 한 후 결정해야 하며, 본 연구에서는 대지의 경 우, 타 토지이용으로 변환될 수 있는 가능성이 거의 존재 하지 않을 것으로 판단하여 변환행렬을 모두 0으로 설정하 였고, 기타 나머지 항목에 대해서는 Table 3과 같이 변환행 렬을 설정하여 CLUE-S 모델에 적용하였다.

Table 3. Default values of Conversion Matrix
Urban area Paddy Upland Forest Pasture Wetland Bare land Water
Urban area 1 0 0 0 0 0 0 0
Paddy 1 1 1 0 1 1 1 0
Upland 1 1 1 1 1 0 1 0
Forest 1 1 1 1 1 1 1 0
Pasture 1 1 1 1 1 1 1 1
Wetland 1 1 1 0 1 1 1 1
Bare Land 1 1 1 0 1 1 1 1
Water 0 0 0 0 1 1 1 1

이와 반대로 변환탄성 계수는 모델의 보정을 통해 결정 해야 하기 때문에 Table 4와 같이 기본 값으로 구성한 후 CLUE-S 모델의 매개변수 보정을 통해 값을 수정 하였다.

Table 4. Default values of Conversion Elasticity
Urban area Paddy Upland Forest Pasture Wetland Bare land Water
Value 1 1 1 1 1 1 1 1

2.4. CLUE-S 모델의 매개변수 보정 및 적용

2.4.1. CLUE-S 모델의 매개변수 보정

본 연구에서는 변환탄성 계수를 보정하기 위하여 위에서 8가지로 재분류되어 구축된 2001년 토지이용 자료와 Driving Factor 자료, 그린벨트 구축자료, 변환행렬을 이용하여 2009 년의 토지이용 변화를 CLUE-S 모델로 예측하고 실제 2009년의 토지이용 면적과 비교하는 시행착오법을 이용하 여 토지이용별 변환탄성 계수에 대한 보정을 실시하였다.

2.4.2. 미래 지목변화 시나리오 작성 및 2020년 미래토지이용 변화 예측

CLUE-S 모델을 이용하여 2020년의 미래 토지이용 변화 를 예측하기 전, 미래에 대한 토지이용정책이 변화할 수 있기 때문에 미래 토지지목변화 시나리오를 2가지로 나누 어 작성하였다. 시나리오 1은 그린벨트 지역이 2020년까지 존재하지 않을 경우이며 시나리오 2는 그린벨트 지역이 2020년까지 존재할 경우에 대한 시나리오 이다.

따라서 각 시나리오 별 위에서 보정된 변환탄성 계수와 재분류된 2009년 토지이용자료, 변환행렬, Driving Factor 자료를 이용하여 2020년의 미래 토지이용 변화를 공간적으 로 예측하였다.

2.5. 오염총량관리제의 토지계 발생부하량 산정

오염총량관리제에서는 오염부하량을 6가지로 나누어 계 획하고 관리하고 있으며 이 중 토지계 오염부하량은 비점 오염원 관리에 있어 매우 중요한 오염원 중 하나이다(Ryu, Park et al., 2014). 또한 미래 토지 지목변화에 따른 오염 부하량 변화를 총량제 내 반영할 수 있는 오염원이기 때문 에 본 연구에서는 2가지의 시나리오별 예측된 미래 토지이 용변화 결과를 식 (2)와 발생부하원단위(Table 5)에 적용하 여 2020년 미래 토지계 BOD, TP에 대한 발생부하량을 산 정 하였고 각 시나리오별 토지계 발생부하량을 비교하였다.

Table 5. Unit area load in total water pollution load management system (kg/km2/day)
Land category BOD TP
Upland 1.59 0.24
Paddy 2.30 0.61
Forest 0.93 0.14
Urban area 85.90 2.10
Others 0.960 0.027
(2)
토지계발생부하량 = 지목별면적 × 지목별연평균발생부하원단위

3. Results and Discussion

3.1. 토지이용별 토지이용변화와의 회귀분석 결과

본 연구에서는 CLUE-S 모델의 사회 경제적 및 지형인자 등을 고려하기 위하여 7가지의 토지변화요소에 대해 회귀 분석을 실시하였고 그 결과를 바탕으로 Table 6과 같이 각 토지이용별 회귀분석 식을 구성하였다.

Table 6. Equations of Logistic regression
Land use Equation of logistic regression
Urban area ln P x 1 - P x = 0.223 – 0.022X4+0.000X6+0.01X7
Paddy ln P x 1 - P x = – 1.109 – 0.022X2–0.03X5
Upland ln P x 1 - P x = – 2.623 – 0.001X1–0.014X2–0.002X3
Forest ln P x 1 - P x = – 1.494 – 0.025X2+0.006X3
Pasture ln P x 1 - P x = – 4.020 – 0.012X2+0.001X3
Wetland ln P x 1 - P x = – 4.370 – 0.029X2 –0.012X3 0.001X5
Bare land ln P x 1 - P x = –4.261 + 0.04X6
Water ln P x 1 - P x = – 2.755 – 0.02X3 – 0.001X5

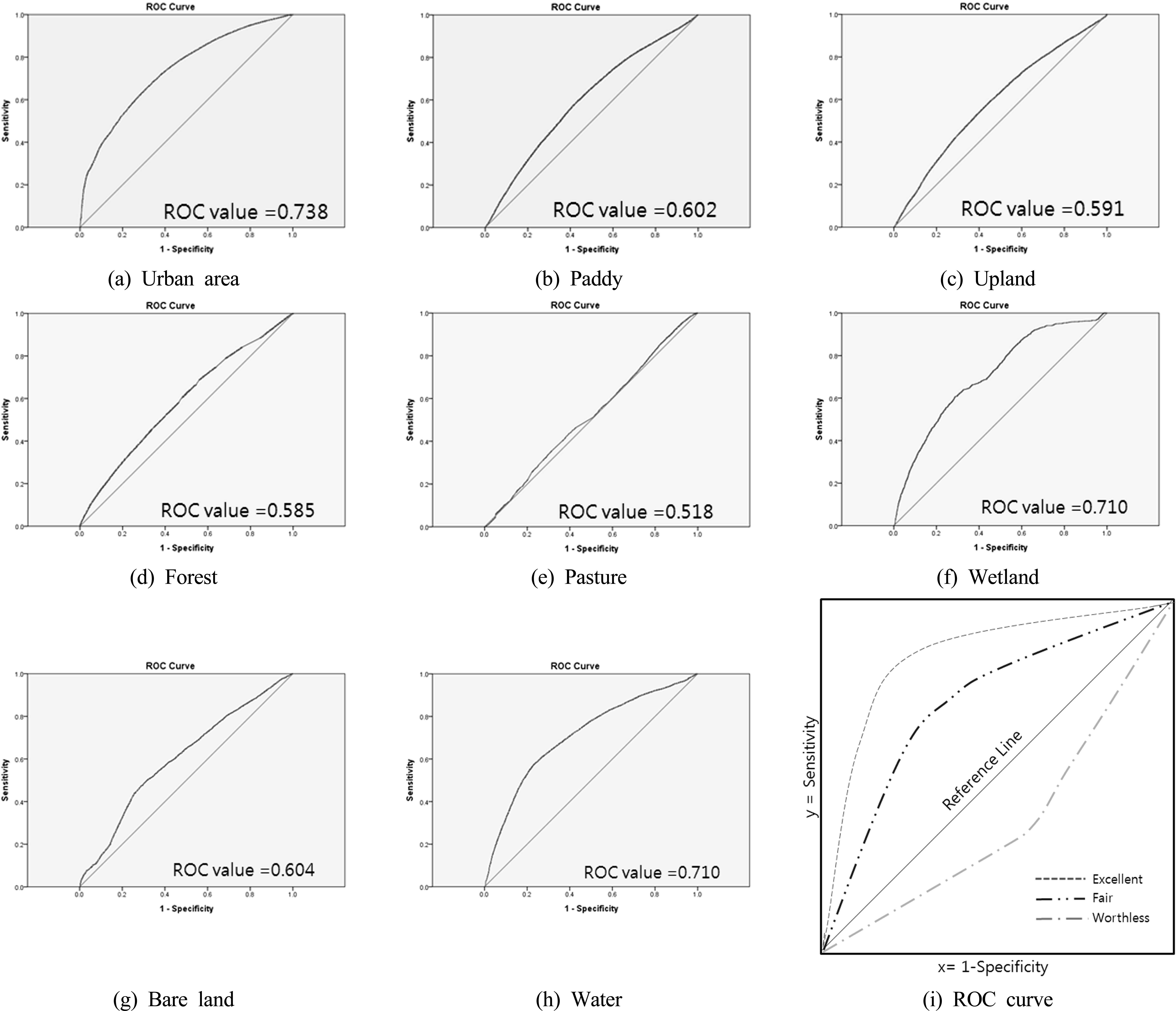
또한 본 연구에서는 각 토지이용과 토지변화요소의 회귀 분석에 대한 적합성을 판단하기 위해 ROC (Receiver Operating Characteristic) curve를 이용하였다.

ROC curve는 true positive (=Sensitivity, 민감도)와 true negative (=Specificity, 특이도)를 동시에 나타내는 그래프이 며 이 때 x축은 false positive rate (=1-true negative), y축은 true positive rate가 된다. ROC curve는 그래프가 Fig. 5(i) 에서와 같이 왼쪽 모서리에 가깝게 그려질수록 회귀분석이 우수하다고 판단하며 이는 ROC curve 면적(Area under the ROC curve: AUC)이 1에 가까울수록 우수하다는 의미와 같다. 또한 AUC 값을 좀 더 세분화 하면 AUC 가 0.5 또 는 0.5 이하일 경우 전혀 사용될 수 없는 부적합 회귀식이 고 0.5에서 0.7 사이면 덜 적합함, 0.7에서 0.9 사이면 비교 적 높은 적합, 0.9에서 1사이면 매우 적합, 1이면 완벽한 적합으로 구분할 수 있다(Song, 2009).

Figure 5. Greenbelt area in JinwiA.
../../Resources/kswe/KSWE.2014.30.4.418/JKSWE-30-418_F5.jpg

ROC curve 분석 결과, 대지, 습지, 수역에 대해서는 0.7 이상으로 비교적 높은 적합성이 나타났고 논, 나지는 0.6 이상, 밭, 초지, 산림은 0.5이상으로 보다 덜 적합한 것으로 분석되었다(Fig. 5).

따라서 본 연구에서는 부적합에 가깝게 AUC 결과가 나타 난 밭, 초지, 산림을 제외한 대지, 습지, 수역, 논, 나지에 대 한 회귀분석 결과를 선택하여 CLUE-S 모델에 반영하였다.

3.2. CLUE-S 모델 적용 결과

3.2.1. 매개변수 보정 결과

실제 2009년 중분류 토지피복자료와 비교한 최적의 2009 년 토지이용변화의 결과와 이에 따라 보정된 변환탄성 계 수는 Fig. 6과 Table 7과 같다.

Table 7. Comparison of land use area in 2009 (km2)
Urban area Paddy Upland Forest Pasture Wetland Bare land Water
Observation 172.84 158.11 59.63 238.82 33.58 7.80 42.68 20.25
Prediction 170.30 169.06 64.93 229.91 31.61 5.11 43.75 18.86
Measuring efficiency -0.01 0.07 0.09 -0.04 -0.06 -0.34 0.03 -0.07
Figure 6. ROC Curve value.
../../Resources/kswe/KSWE.2014.30.4.418/JKSWE-30-418_F6.jpg

2009년에 대한 실제 토지이용 면적과 예측된 토지이용 면적 결과를 비교하면, 대지, 논, 밭, 산림, 초지, 나지, 수 역에 대해서는 모두 오차율이 0.1 이하로 매우 낮게 나타 났으며 예측된 토지이용이 실제토지이용을 비교적 잘 예측 한 것으로 판단된다.

습지에 대해서는 오차율이 0.34로 다른 토지이용에 비해 높게 나타났지만 습지에 대한 토지이용 면적이 다른 토지 피복 면적 보다 매우 낮은 비율을 차지하며 하천 주변부에 습지가 상당부분이 위치하고 있기 때문에 다른 토지이용이 습지로 전환되는 확률이 매우 낮을 수 있고 건기 혹은 우 기에 따라 습지 면적이 현저하게 다를 수 있는 부분이 존 재할 수 있는 것으로 판단된다. 또한 2001년의 습지에 대 한 토지이용 면적은 4.51 km2 으로서 2009년과 이미 약 43% 정도 차이가 존재하였기 때문에 CLUE-S 모델로 예측 하는데 있어 어려움이 있는 것으로 나타났다.

하지만 습지는 다른 토지이용에 비해 그 면적 비율이 매 우 낮으며 다른 토지이용의 면적 비율이 전체 토지 면적 비율의 99.3% 이상을 차지하고 있기 때문에 전체적인 예측 이 잘 맞는 것으로 판단하였다.

따라서 이러한 보정결과에 따른 변환탄성 계수는 산림에 서 가장 작은 값인 0.4로 보정이 되었고 대지, 나지, 수역은 0.9, 논, 밭, 초지, 습지에서는 0.8로 보정되었다(Table 8). 이와 같은 결과는 산림이 가장 급속도로 변화되는 면적이 큰 것을 의미하며 산림에서 다양한 토지이용으로 변화될 수 있음을 나타낸다. 이와 반대로 대지와 수역 같은 경우 는 타 토지이용으로 변환되는 확률이 상대적으로 매우 적 음을 나타낸다.

Table 8. Calibration results of Conversion Elasticity
Urban area Paddy Upland Forest Pasture Wetland Bare land Water
Value 0.9 0.8 0.8 0.4 0.8 0.8 0.9 0.9

3.2.2. 시나리오별 2020년 미래토지이용 변화 예측 결과

토지이용정책(그린벨트)이 적용된 것과 적용되지 않은 시 나리오에 대해 보정된 변환탄성 계수를 CLUE-S 모델에 적 용하여 2020년의 미래 토지이용 변화에 대해 각각 예측 하 였고 그 결과 Fig. 7과 Table 9와 같이 나타났다. Fig. 8.

Figure 7. Comparison of land use map in 2009.
../../Resources/kswe/KSWE.2014.30.4.418/JKSWE-30-418_F7.jpg
Table 9. Comparison of land use area in 2020 (km2)
Urban area Paddy Upland Forest Pasture Wetland Bare land Water
Observation in 2009 170.30 169.06 64.93 229.91 31.61 5.11 43.75 18.86
Scenario1 201.66 158.99 58.05 203.95 32.17 6.22 52.24 20.25
Scenario2 193.28 159.72 56.12 225.81 32.66 6.11 39.58 20.25
Figure 8. Comparison of Predicted land use map in 2020.
../../Resources/kswe/KSWE.2014.30.4.418/JKSWE-30-418_F8.jpg

그린벨트 지역을 미적용한 시나리오 1의 미래 토지이용 변화 패턴은 대지가 급격히 증가하는 것으로 나타났으며 이 에 비해 산림이 급격히 감소하고 그 뒤를 이어 논과 밭 지 역이 감소하는 것으로 나타났다. 또한 나지의 경우도 급격 히 증가하는 것으로 나타났다. 그린벨트 지역을 적용한 시 나리오 2는 시나리오 1과 비슷한 경향으로 대지가 급격히 증가하고 논과 밭이 감소하였지만 산림의 급격한 감소는 일어 나지 않고 나지의 경우는 오히려 감소하는 것으로 나타났다.

각 시나리오별 그린벨트 지역의 유무에 따른 대지의 증 가율을 좀 더 자세히 나타내면 2009년 실제 토지이용과 각 각 0.18%(시나리오 1), 0.13%(시나리오 2) 차이가 있는 것 으로 나타났으며, 나지의 경우, 그린벨트 지역을 미적용한 시나리오 1에서 상당부분 산림이 나지로 개간되는 것으로 나타났고, 대지 또한 그린벨트 지역 안에서 증가하는 것으 로 나타났다.

하지만 그린벨트 지역을 적용한 시나리오 2에서는 그린 벨트 지역 내 산림이 개간되고 대지가 증가하는 경향이 나 타나지 않았고 이에 따라 그린벨트 지역 외에서 토지피복 별 변환이 이루어졌기 때문에 시나리오 1과 2의 각 토지피 복별 면적 및 공간분포가 차이가 있는 것으로 판단된다.

따라서 우리나라와 같이 토지이용정책이 다양하게 존재 하는 지역일수록 CLUE-S모델이 아닌 토지이용정책을 반영 할 수 없는 토지이용변화 예측 모델을 사용한다면, 미래 토지이용변화의 공간적 및 정량적 예측에 있어 상당한 오 차가 있을 것으로 예상된다.

3.3. 오염총량관리제 토지계 발생부하량 산정 결과

위의 예측된 2가지 시나리오와 추세분석을 이용한 2020 년 토지이용의 면적을 이용하여 오염총량관리제의 BOD 및 TP에 대한 토지계 발생부하량을 산정하였고 산정결과는 Table 10과 같이 나타났다.

Table 10. Results of land pollutant load in 2020 (kg/day)
Scenario Upland Paddy Forest Urban area Others
BOD 1 92.31 365.68 189.67 17322.77 106.44
2 89.23 367.36 210.15 16602.79 94.66
Trend extraction method 92.75 343.52 219.66 15887.42 102.46
TP 1 13.93 96.98 28.55 423.49 2.99
2 13.47 97.43 31.64 405.89 2.66
Trend extraction method 14.00 91.11 33.07 388.40 2.88

시나리오 1과 2의 토지계 BOD 발생부하량 산정 결과, 발생부하원단위가 가장 큰 대지에서 719.99 kg/day의 부하 량 차이를 나타냈고 총 면적에 대한 BOD 발생부하량 차이 는 712.68 kg/day로 나타났다. 토지계 TP 발생부하량 또한 발생부하원단위가 가장 큰 대지에서 17.60 kg/day 차이가 나타났고 총 면적에 대한 TP 발생부하량은 14.87 kg/day로 나타났다.

또한 시나리오 2와 추세를 이용한 방법을 이용한 토지계 BOD, TP 발생부하량 산정 결과, 대지 지목에서는 BOD, TP 각각 715.37 kg/day, 17.49 kg/day의 차이로 추세를 이 용한 방법이 더 적게 나타났고, 총 면적에서도 BOD, TP 모두 추세를 이용한 방법이 더 적게 산정되었다.

이와 같은 결과는 오염총량관리제 토지계 발생부하량에 서 대지에 의한 발생부하량의 비율이 높다는 것을 의미하 며 이에 따라 대지에 대한 미래 예측의 불확실성을 줄여야 토지계 발생부하량의 불확실성을 줄일 수 있을 것으로 판 단된다.

따라서 미래 토지이용 변화에 있어 시나리오1과 같이 그 린벨트와 같은 토지이용정책을 적용하지 않거나 추세를 이 용한 방법과 같이 다양한 토지변화요소를 고려하지 않고 변화를 예측하게 된다면 대지 면적에 대해 과대 또는 과소 예측이 되어 토지계 발생부하량 또한 불확실성이 높아질 수 있을 것이라 판단된다.

4. Conclusion

본 연구에서는 기존의 오염총량관리제에서 시공간적으로 미래 토지이용변화를 반영하지 못하는 제한점을 해결하기 위해 CLUE-S 모델을 이용한 미래의 시공간적 토지이용 변 화를 실제 오염총량관리지역인 진위A 단위유역에 적용하여 평가하였다.

  1. CLUE-S 모델을 이용한 진위A 단위유역의 2020년 미래 토지이용 변화 예측 결과, 대지가 지속적으로 증가하며 산림 및 논과 밭의 면적은 지속적으로 감소되는 것으로 분석되었고, 그린벨트 적용 여부에 따라 적용하지 않은 시나리오 1에서는 그린벨트 지역 내에서 대지의 증가나 산림의 개간이 발생되지 않는 것으로 나타났으며 반영 하지 않은 시나리오 2에서는 현재 그린벨트 지역 내에 서 대지가 증가 하고 산림이 개간되어 나지로 변환되는 현상이 발생되었음

  2. 또한 2가지 시나리오 및 추세를 이용한 방법에 따른 토 지계 발생부하량을 산정한 결과, 시나리오 1과 2의 대지 BOD, TP 오염부하량이 각각 719 kg/day, 17.60 kg/day 차이가 있는 것으로 나타났고 시나리오 2와 추세를 이 용한 방법을 비교한 결과 715.37 kg/day, 17.49 kg/day 차이가 나타났으며 이에 따라 토지이용정책 및 토지변 화요소 반영이 시공간적 미래 토지이용 변화 뿐 만 아 니라 토지계 발생부하량 산정에도 큰 영향을 줄 수 있 는 것으로 분석되었음

  3. 따라서 CLUE-S 모델은 다양한 사회경제적 토지변화요 소를 통계학적으로 고려 할 수 있으며 토지이용정책을 반영하여 시공간적인 미래 토지이용변화 분석을 할 수 있기 때문에 추세방법 만을 이용한 미래 토지변화예측 방법이나 모델 보다는 오염총량관리제에서 좀 더 효과 적으로 미래 토지이용 변화를 예측할 수 있으며 토지계 오염부하량을 산정할 때 불확실성을 줄여줄 수 있을 것 으로 판단됨

  4. 또한 CLUE-S 모델은 향후 오염총량관리제에서 유역모 델을 오염총량관리제 계획에 적용할 경우 입력자료 구 축에 유용하게 사용될 수 있을 것이라 기대됨

  5. 하지만 본 연구의 결과는 오염총량관리제가 시행되고 있는 한 개의 단위유역에서 평가한 것이기 때문에 향후 4대강 수계의 대표 단위유역을 선정한 후 추가적으로 다양한 통계학적 추계방법과의 비교 및 검토가 필요할 것으로 판단됨

References

1 
Briassoulis H., 2009, Factors Influencing Land-use and Land-cover Change, http://www.eolss.net, Land use, land cover and soil sciences, W. H. Verhey, EOLSS(e-book), pp. 1-9Google Search
2 
Kim S.J., Lee Y.J., 2007, The Effect of Spatial Scale and Resolution in the Prediction of Future Land Use using CA-Markov Technique, [Korean Literature], Journal of Korean Association of Geographic Information, Vol. 10, No. 2, pp. 58-70Google Search
3 
Lee D.K., Ryu D.H., Kim H.G., Lee S.H., 2011, Analyzing the Future land use Change and its Effects for the Region of Yangpyeong-gun and Yeoju-gun in Korea with the Dyna-CLUE model, [Korean Literature], Journal of Korean Environmental Restoration Technology, Vol. 14, No. 6, pp. 119-130Google Search
4 
Lee Y.G., 2013, [Korean Literature], Analysis and Countermeasure on TMDLs for Sustainable Creating a Water Environment, Gyeongnam Development Institute, pp. 4-5
5 
National Institute of Environmental Research (NIER), 2012, [Korean Literature], Technical Guidelines for TMDLs, 11-1480523-001067-01, National Institute of Environmental Research
6 
Oh Y.G., Choi J.Y., Yoo S.H., Lee S.H., 2011, Prediction of Land-cover Change Based on Climate Change Scenarios and Regional Characteristics using cluster Analysis, [Korean Literacture], Journal of the Korean Society of Agricultural Engineers, Vol. 53, No. 6, pp. 31-41Google Search
7 
Park S.H., 2011, [Korean Literacture], A Study of the Result Analysis and Improvement of Total Water Pollution Loading System, Ph. D. Dissertation, Department of Civil and Environmental Engineering, Graduate School of Chonnam National University
8 
Song S.W., 2009, Using the Receiver Operating Characteristic (ROC) Curve to Measure Sensitivity and Specificity, [Korean Literacture], Korean Journal of Family Medicine, Vol. 30, pp. 841-842Google Search
9 
Ryu J., Kim E., Han M., Kim Y.S., Kum D., Lim K.J., Park B.K., 2014, Enhancement of Estimation Method on the Land T-P Pollutant Load in TMDLs Using L-THIA, [Korean Literature], Journal of Korean Society of Environmental Engineers, Vol. 36, No. 3, pp. 162-171Google Search
10 
Ryu J., Park Y.S., Han M., Ahn K.H., Kum D., Lim K.J., Park B.K., 2014, Enhancement of Land Load Estimation Method in TMDLs for Considering Climate Change Scenarios, [Korean Literature], Journal of Korean Society on Water Environment, Vol. 30, No. 2, pp. 212-219Google Search
11 
Veldkamp A., Fresco L. O., 1996, CLUE-CR: an Integrated Multi-scale Model to Simulate Land use Change Scenarios in Costa Rica, Ecological Modeling, Vol. 91, pp. 231-248Google Search
12 
Verburg P. H., Veldkamp A., de Koning G. H. J., Kok K., Bouma J., 1999, A Spatial Explicit Allocation Procedure for Modeling the Pattern of land use Change based upon Actual land use, Ecological Modeling, Vol. 116, pp. 45-61Google Search
13 
Verburg P., Veldkamp W.S., Espaldon R.L., Mastura S.S., 2002, Modeling the Spatial Dynamic of Regional Land Use: The CLUE-S Model, Environmental Management, Vol. 30, No. 3, pp. 391-405Google Search