공동수
(Dongsoo Kong)
†
-
경기대학교 생명과학과
(Department of Life Science, Kyonggi University)
© Korean Society on Water Environment. All rights reserved.
Key words
Eutrophication, Transition zone, Water quality, Water quality modeling
1. Introduction
인공호는 하천으로부터 댐에 이르기까지 종적으로 하천 대(riverine zone), 전이대(transition zone), 호심대(lacustrine
zone)로 구분되며 각 구역은 독특한 물리적, 화학적 생물학 적 특성을 지닌다(Thornton et al., 1981). 이에 따라 인공호 의 수질을 결정하는 기작과 변수는 강도와 양상이 자연호 의 그것과 다를 수 있다(Thornton et al., 1990).
하천대와 호심대의 사이에 위치한 전이대는 일반적으로 물의 체류시간이 증가하고 입자성 물질의 침강율이 높아 투명도가 증가하기 때문에 하천대에 비하여
식물플랑크톤 이 증가한다(Kalff, 2002). 따라서 부영양화된 전이대는 하 천대에서 유입되는 외래성(allochthonous) 유기물과 조류에 의한 내래성(autochthonous) 유기물이
더해져 하천대와 호 심대에 비하여 유기물 농도가 높을 수 있다.
우리나라 대부분의 호수는 인공호이며 특히 팔당호는 1973년말 북한강, 남한강, 경안천이 합류하는 지점에 댐이 축조되어 형성된 대표적인 인공호로서
수도권 25백만명의 주요 상수원이다. 이에 따라 팔당호의 수질보전을 위한 각 종 대책과 투자를 통해 팔당호의 생분해성 유기물질의 농 도는 최근 감소하는
경향을 보여 왔으나 부영영화와 조류 발생은 여전히 문제가 되고 있다(Kong et al., 2005; Kong et al., 2006).
팔당호에 유입되는 하천 중 남한강은 유입하천 중 유량 이 가장 많고 수질이 북한강에 비하여 상대적으로 불량하 여 팔당호 수질에 대한 영향도가 크다(Kong, 1992; Lee et al., 2007). 특히 남한강의 하류부 즉 팔당호의 전이대는 영 양물질 농도가 높아 체류시간이 길어지는 저수기에 조류가 다량 발생하여 팔당호의 수질에 영향을 준다.
본 연구는 충주댐 하류로부터 팔당댐 합류부까지에 이르 는 하천대와 전이대에 대한 수질모델링을 통하여 조류발생 에 따른 수질 변화를 해석하기 위해 수행되었다.
최근 4대 강사업의 일환으로 강천보, 여주보, 이포보가 축조되면서 남한강 하류의 체류시간은 더욱 길어졌기 때문에 조류 발 생과 수질 변화에 대한 이해는
더욱 중요시 되고 있다.
본 연구에서 적용된 모델은 미국 연방환경청에서 개발되 어 범용으로 이용되어 왔던 정상상태(steady state) 가정의 QUAL2E 모델(Brown and Barnwell, 1987)을 보완한 것으 로서, 국내에서 2000년대부터 QUALKO(Kong et al., 1999, Kong and Jung, 2007)라는 일명으로 수질오염총량관리 등 을 위해 적용되어 왔지만 아직까지 모델을 구성하는 지배 방정식이 학술적으로 보고되지 않았던 것이다.
본 모델은 정상상태 하천 수질해석 모형인 QUAL2E 모델 을 근간으로 WASP5 모델(Ambrose et al., 1993)의 수질항목 반응식을 일부 접목 및 확장하여 bottle BOD(biochemical oxygen demand) 계산, 조류의 생산에 의한 유기물
증가, 탈 질화 등 유속이 느린 하천에서 일어날 수 있는 반응기작을 모의할 수 있도록 보완하고 총유기탄소(total organic carbon, TOC)의
모의가 가능하도록 구성한 것이다.
2. Materials and Methods
2.1. Model development
미국 연방환경청(U.S.EPA)에서 개발한 QUAL2E 모델은 내부생산 유기물의 증가는 물론 Bottle BOD에 대한 반응 기작을 포함하고 있지
않으므로, 남한강의 전이대와 같이 조류가 많이 발생하는 경우에는 정확한 수질모의가 어렵다. 본 연구에서 적용된 모델은 QUAL2E 모델을 기반으로
여 러 한계점을 보완한 것이다.
본 모델에서 유기물 항목의 입력변수는 실험실에서 측정 된 총유기탄소, 탄소성 생물화학적 산소요구량(carbonaceous biochemical oxygen
demand, CBOD) 또는 5일 생물화학적 산소요구량(5-day biochemical oxygen demand, BOD5) 중 하나를 선택할 수 있다(Table 1). 어떤 경우에도 입력된 변 수들로부터 비생물 탄소성 생물화학적 산소요구량(non-living CBOD, NCBOD)이 모델에서 내부적으로 계산되어진다.
즉 TOC와 CBOD로 입력된 경우엔 조체(algal body)의 이론적 인 산소요구량을 뺀 값으로, BOD5로 입력된 경우엔 조체 와 질산화에 의한 산소요구량을 뺀 값으로 계산된다.
Table 1. Equations of NCBOD, NON and NOP in the model
|
Parameters
|
Input variables
|
Calculated internally in the model
|
|
Non-living CBOD (NCBOD)
|
TOC CBOD BOD5 |
L = ROCTOC – α4A L = CBOD – α4A
L
=
BOD
5
-
O
2
N
5
-
O
2
AC
5
1
-
e
-
5
k
1
|
|
Non-living organic nitrogen (NON)
|
ON
|
N1 = ON –α 1A
|
|
Non-living organic phosphorus (NOP)
|
OP
|
P1 = OP – α2A |
우리나라는 2012년에 TOC를 하천과 호소의 생활환경기 준 항목에 편입하였고, 수질오염총량관리기본방침[환경부훈 령 제1042호, 2013.5.9]에서
2016년까지 TOC를 대상물질에 편입하는 여부를 결정하도록 규정하고 있다. TOC에 대한 총량관리를 위해서는 이를 모의할 수 있는 수질모델이 필
요한데 본 모델은 이를 지원할 수 있다.
비생물성 유기질소(non-living organic nitrogen, NON)와 비생물성 유기인(non-living organic phosphorus,
NOP)은 입 력된 유기질소와 유기인의 값에서 조체내 함량을 뺀 값으 로 계산된다.
대부분의 모델에서 입력변수로 요구하는 유기태 물질의 성상은 비생물성 즉 조체에 포함된 것을 제외한 형태이다. 그러나 이는 실험을 통해서는 분석할 수
없는 것으로서 모 델의 사용자는 모델에서 적용한 함량비와 반응상수를 가지 고 실측치로부터 별도로 환산하여야 한다. 그러나 이는 번 거로운 과정일 뿐
아니라 계산 중에 자칫 오류를 범하기 쉽다. 따라서 본 모델에서는 이 과정을 내부적으로 수행토 록 하여 사용자의 이용 시 편의성과 물질수지의 안정성을
높인 것이다.
용존산소의 반응식에는 기존 QUAL2E 모델의 조류의 소 멸 부분에서 사멸과 분비를 제외한 순수한 호흡만 고려하 였다(Table 2).
Table 2. Modified equations in this model compared with those in QUAL2E
QUAL2E에서는 유기태 물질의 침강에 대한 인자를 침강 율(settling rate)로 고려하고 있다. 그러나 침강율은 수심에 의존적이기 때문에
본 모델에서는 침강속도(settling velocity) 를 적용하였다.
NCBOD 반응식은 QUAL2E 모델의 인자인 침강율을 침 강속도로 바꾸고 조류의 사멸이나 분비에 의한 증가와 탈 질에 의한 감소를 고려하였다. QUAL2E
모델의 BOD 반응 식에 조류의 사멸을 고려한 사례는 선행 연구(Park and Lee, 2002)에서도 찾아 볼 수 있다.
QUAL2E에서는 조류의 소실 과정에 수중으로 순환되는 질소와 인의 형태를 모두 유기태로 고려하고 있으나 호흡 에 의한 최종 대사 산물은 주로 무기태이므로
이는 불합리 한 설정이다. 본 모델에서 NON과 NOP 반응식에는 조류의 소실 과정에 유기태로 재순환되는 부분을 포함시키고, 암모 니아성 질소와 용존
무기인의 반응식에는 무기태로 재순환 되는 부분을 포함시켰다. 질산성 질소의 반응식에는 탈질에 의한 소비를 고려하였다.
QUAL2E 모델에서는 질소와 인의 모의에서 조체에 포함 되어 있는 질소와 인은 출력되지 않는다. 따라서 조류가 많이 발생하고 있는 수역에 이 모델을
적용하는 경우 총질 소와 총인은 별도의 계산이 필요하다. 본 모델은 조체의 질소와 인의 양을 고려하여 총질소와 총인을 계산하여 출 력함으로써 실험실에서
측정된 총질소와 총인 값과의 비교 가 가능하도록 하였다.
본 모델에서는 유기물에 대한 입력변수를 TOC, CBOD, BOD5 중 어느 것으로 하더라도 NCBOD가 환산되어 자체 반응과 용존산소 알고리즘에 연결되며 반응을 마친 상태에 서는 TOC, CBOD, BOD5가 재환산되어 출력된다.
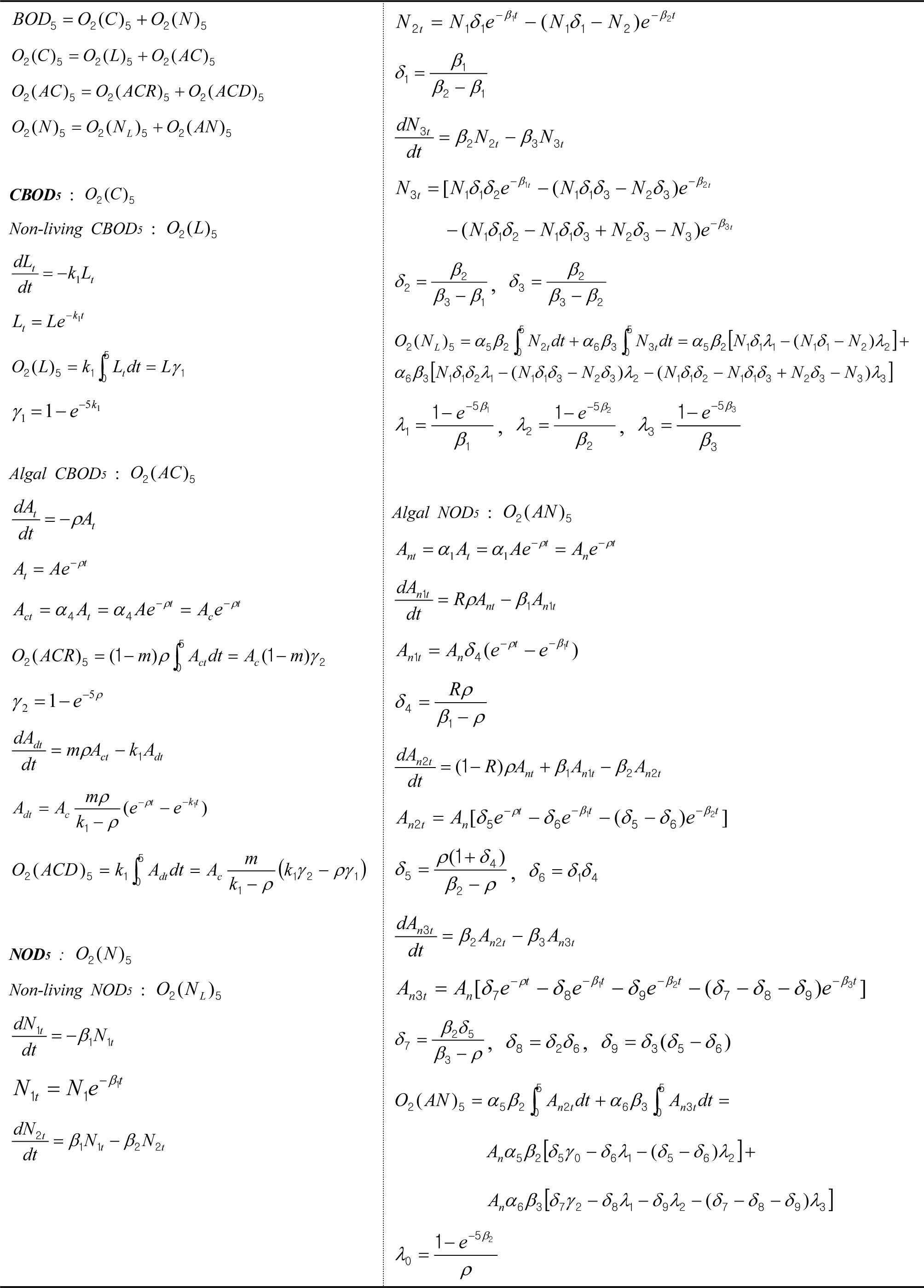
본 모델에서 BOD5는 실험실에서 20°C 암조건에서 일어 날 수 있는 모든 반응을 선형미분방정식으로 고려하여 계 산하였다(Table 3).
Table 3. Analysis on the components of 5-day bottle BOD in the model
첫 단계로 BOD5는 탄소성(5-day carbonaceous biochemical oxygen demand, CBOD5)과 질소성(5-day nitrogenous oxygen demand, NOD5)으로 분리하였다.
CBOD5는 비생물성[O2(L)5]과 조류성[O2(AC)5]으로, 조류 성[O2(AC)5]은 다시 호흡성[O2(ACR)5]과 사멸 또는 분비성 [O2(ACD)5]으로 분리하였다.
NOD5는 비생물성[O2(NL)5]과 조류성[O2(AN)5]으로 분리하 였다. O2(AN)5는 5일 동안 조류의 호흡 또는 사멸과 분비 에 의해 배출되는 암모니아성 질소와 유기질소가 질산화되 는 과정에 소모되는 산소의 양을 의미한다.
WASP5 모델에서도 이러한 Bottle BOD의 개념을 도입하 고 있으나 단순히 비생물성[O2(L)5]과 조류의 호흡성 [O2(ACR)5] 및 암모니아의 질산화에 따른 산소소모만 고려 한다는 점에서 본 모델과 차이가 있다.
2.2. Description of the study site
팔당호는 남한강과 북한강 및 경안천이 합류되는 곳에 1973년 말 댐이 축조되어 형성되었으며, 본 연구의 대상 지역은 남한강의 충주댐으로부터 팔당호
유입부까지의 약 100km 구간이다(Fig. 1).
Figure 1. Map showing water sampling stations (◉) and water sampling/flow gauge stations (■) in the South Han River. (Modified fromKong et al., 2005)
2.3. Analytical methods
본 연구에서 사용된 대부분의 실측자료는 2005년과 2006 년에 국립환경과학원 한강물환경연구소에서 수행한(Kong et al., 2005; Kong et al., 2006) 것이다.
유량은 ISO 2425에서 제시하고 있는 단일측정방법(single measurement method) 중 유속-면적법(velocity-area method)
에 따라 측정된 것이다.
수온, 전기전도도, pH, 용존산소(dissolved oxygen, DO)는 YSI-6600(USA), BOD5는 DO meter를 사용한 격막 전극법, 유기탄소는 총 유기탄소 자동분석기(TOC Analyzer, Shimadzu) 로 측정된 것이다. 총인(total
phosphorus, TP)과 총질소(total nitrogen, TN)는 각각 수질오염공정시험방법에 따라 흡광광 도계(cary 1E, Varian)로
측정된 것이다. 용존 총인과 용존 총질소는 GF/F 여과지로 여과 후 총인, 총질소와 같은 방법 으로 측정되었고, 여액 중 질산성 질소는 IC(Ion
Chromatography, Dionex)로, 암모니아성 질소와 아질산성 질소 및 인 산염인은 흡광광도법으로 측정된 것이다. 클로로필 α는 GF/C
여과지로 여과 후 90% 아세톤으로 암냉소에서 24시간 동 안 엽록소를 추출하여 663, 645, 630, 750 nm의 파장에서 흡광광도계(cary
1E, Varian)로 측정된 것이다.
2.4. Framework of the model
본류와 섬강 및 달천을 모의구간으로 정하여 38개의 구 간(reach)으로 대분하고 1km 간격의 요소(element)로 세분 하였으며 64개의 유출입을
고려하였다.
2.5. Statistical analysis
모델의 보정과 검증 지점의 실측치에 대한 계산치의 적 합도는 평균 절대백분율 오차(mean absolute percentage error, MAPE)로
평가하였다.
n : Number of fitted points
Coi : Observed value
Cei : Calculated value
3. Results and Discussion
3.1. Hydraulic characteristics
하천대와 전이대의 수심, 하폭, 체류시간은 서로 상이하 다. 4대강 사업 이전에 충주댐으로부터 이포 지점까지 약 80km는 하천의 형상을 지니고 있었고
그 하류에서는 급격 히 수심이 증가하는 형상이었다(Fig. 2). 이에 따라 2005년 과 2006년 봄철에 충주댐으로부터 이포 지점까지 유속은 0.5 m/s 내외였고 도달시간은 약 2일이었던 반면, 그 하류
20km 구간의 유속은 0.05~0.06 m/s 였고 체류시간은 3~4일 정도였다(Kong et al., 2006; Yoon, 2006).
Figure 2. Lateral cross-section morphology of the South Han River during a dry period. (Modified fromKong et al., 2005)
북한강의 전기전도도는 남한강에 비해 매우 낮으므로 남 한강의 전기전도도는 팔당호 유입부에 이르러 급속히 낮아 진다(Fig. 3). 2004년 12월의 측정치를 기준으로 충주댐으로 부터 이포 지점까지 약 80km의 전기전도도는 약 300 μS/cm 였으며, 이후 20km 구간은
약 200 μS/cm, 북한강과 합류되 는 호심부는 약 130 μS/cm로 감소하였다(Yoon, 2006).
Figure 3. Variations of electrical conductivity in three distinct zones of the Paldang Reservoir (Dec. 2004). (FromYoon, 2006)
이러한 증거를 종합하여 볼 때 남한강의 전이대는 충주 댐으로부터 80km~100km의 20km 구간으로 추정할 수 있다.
3.2. Trophic state
팔당호는 수심이 얕은 하천형 인공호로서 1980년 이래로 부영양화되었으며 특히 봄철 저수기에 조류발생으로 인해 수질이 악화되는데(Yoon et al., 2010). 남한강 유입부의 전 이대는 이에 큰 영향을 미치고 있다(Kong et al., 2006; Yoon, 2006).
2005년과 2006년 저수기에 남한강의 총인 농도는 달천, 섬강, 복하천이 합류되면서 상승하고 전이대 지역에서는 0.05~0.06 mg l-1, 클로로필 α 농도는 50 μg l-1 의 수준이었 다(Kong et al., 2005; Kong et al., 2006). 이는 OECD 기 준(Vollenweider and Kerekes, 1982)으로 볼 때 총인은 부 영양 수준이며 클로로필 α 농도는 연평균 기준과 비교하면 과영양(hypertrophic), 최대치 기준으로는 부영양 수준이다.
3.3. Model results
3.3.1. Calibration
보정시기(2006년 3~6월)의 수질을 모의하기 위해 보정된 주요 인자와 반응상수는 Table 4와 같으며 적용된 온도 보 정계수(Chen and Orlob, 1975)는 Table 5와 같다
Table 4. Values of major rate constants and stoichiometric values used in the model
|
|
Parameters
|
Unit
|
Calibrated values
|
|
|
Algae (A)
|
The ratio of Chl.a to dry weight (α0)
|
mgChl.am-3/mgA l-1 |
10
|
|
Oxygen production to dry weight (α3)
|
mgO/mgA
|
1.60
|
|
Oxygen respiration to dry weight (α4)
|
mgO/mgA
|
1.60
|
|
The ratio of nitrogen to dry weight (α1)
|
mgN/mgA
|
0.060
|
|
The ratio of phosphorus to dry weight (α2)
|
mgP/mgA
|
0.006
|
|
Maximum specific growth rate at 20°C (µm)
|
d-1 |
3.5
|
|
Half-saturation concentration of phosphorus (KP)
|
mg/L
|
0.002
|
|
Half-saturation concentration of nitrogen (KN)
|
mg/L
|
0.020
|
|
Light attenuation coefficient of water (ƐW)
|
m-1 |
0.50
|
|
Specific decay rate of algae at 20°C (p)
|
d-1 |
0.20
|
|
Mortality ratio of decay rate (m)
|
-
|
0.65
|
|
Organic ratio of recycled N, P (R)
|
-
|
0.5
|
|
Settling velocity at 20°C (σ1)
|
m d-1 |
0.01
|
|
|
CBOD (L)
|
Deoxygenation rate at 20°C (K1)
|
d-1 |
0.06
|
|
Settling velocity at 20°C (v1)
|
m d-1 |
0.01
|
|
|
Nitrogen
|
Oxygen uptake to nitrification of ammonia (α5)
|
mgO/mgN
|
3.43
|
|
Oxygen uptake to nitrification of nitrite (α6)
|
mgO/mgN
|
1.14
|
|
Mineralization rate of NON at 20°C (β1)
|
d-1 |
0.05
|
|
Settling velocity of NON at 20°C (v2)
|
m d-1 |
0.01
|
|
Nitrification rate of ammonia at 20°C (β2)
|
d-1 |
0.10
|
|
Nitrification rate of nitrite at 20°C (β3)
|
d-1 |
1.00
|
|
Denitrification rate at 20°C (β4)
|
d-1 |
0.09
|
|
Half-saturation concentration of DO for denitrification (KO)
|
mg/L
|
0.01
|
|
|
Phosphorus
|
Mineralization rate of NOP at 20°C
|
d-1 |
0.15
|
|
Settling velocity of NOP at 20°C (v3)
|
m d-1 |
0.01
|
Table 5. Values of temperature coefficient (θvalue atkT=kmT-20) used in the model
|
|
Parameters
|
Unit
|
Calibrated values
|
|
|
Algae
|
Growth rate
|
-
|
1.020
|
|
Decay rate
|
-
|
1.047
|
|
Settling velocity
|
-
|
1.024
|
|
|
CBOD
|
Decay rate
|
-
|
1.047
|
|
Settling velocity
|
|
|
Nitrogen
|
Mineralization rate of NON
|
-
|
1.047
|
|
Settling velocity of NON
|
-
|
1.024
|
|
Nitrification rate of ammonia
|
-
|
1.083
|
|
Nitrification rate of nitrite
|
-
|
1.047
|
|
Denitrification rate
|
-
|
1.080
|
|
|
Phosphorus
|
Mineralization rate of NOP
|
-
|
1.047
|
|
Settling velocity of NOP
|
-
|
1.024
|
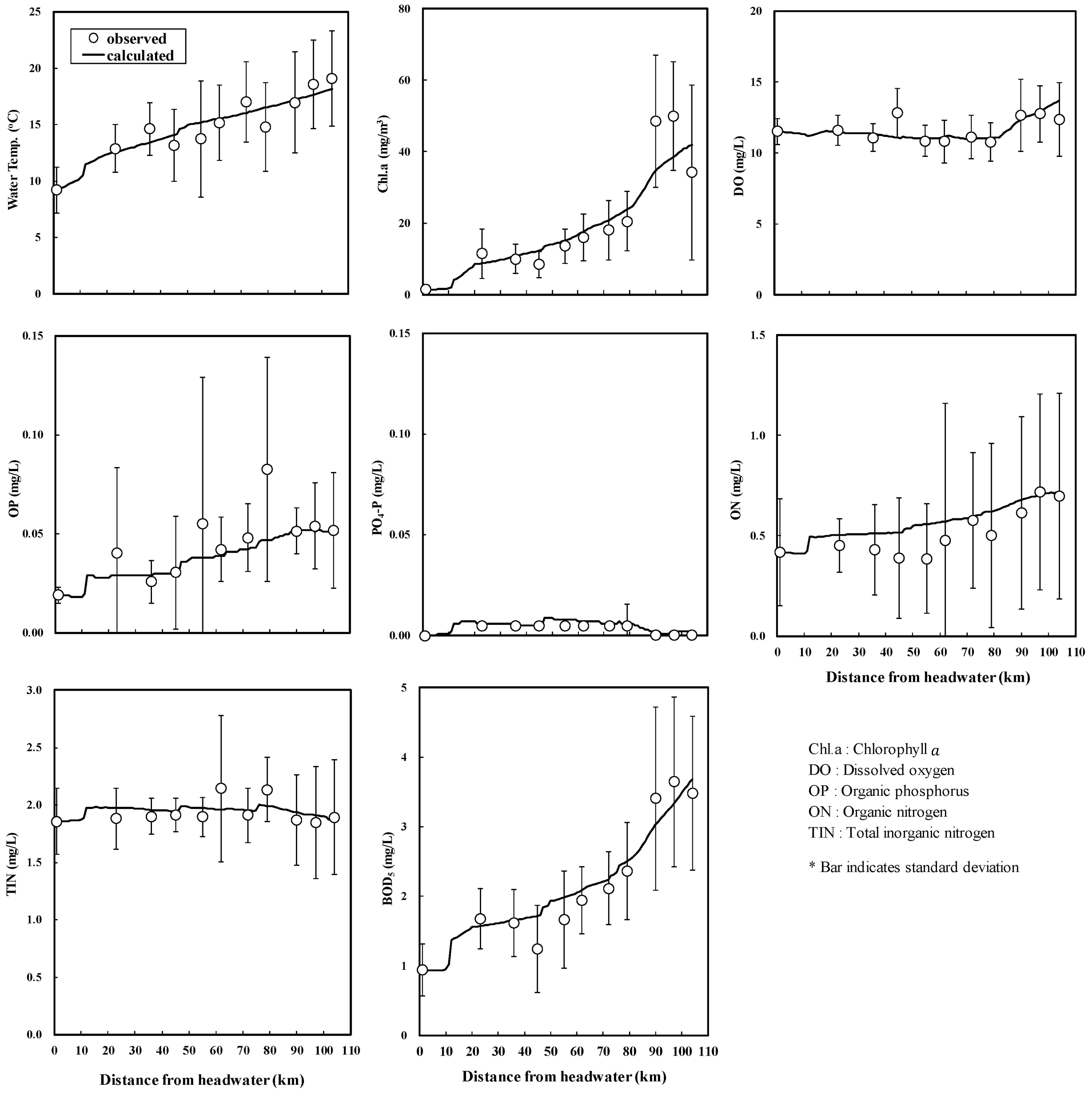
대부분의 수질항목에서 모델의 계산치는 실측치와 잘 일 치하는 경향을 보였다(Fig. 4). 수온은 충주댐의 중층에서 방류된 이후 하류로 갈수록 비교적 일정한 비율로 뚜렷하 게 증가하는 경향을 보였는데 모델의 계산치는 이를 적합 하게
재현하였다.
Figure 4. Calibration of the model in the South Han River from data during a period of Mar.~June, 2006. (Bars indicate standard deviations of observed data)
클로로필 α 농도는 달천이 합류된 이후 충주조정지댐에 서 약간 상승한 후 큰 변화를 보이지 않다가 전이대 구역 에서 급하게 증가하는 경향을 보였으며,
조류의 광합성에 의해 용존산소 농도 역시 급하게 증가하는 양상을 보였는 데 모델의 계산치는 이를 잘 재현하였다.
유기인과 유기질소는 하류로 갈수록 조류가 증가하면서 함께 증가한 반면 인산염인과 무기인은 전이대 구역에서 조류의 흡수에 의해 낮아지는 경향을 보였으며
모델의 결 과는 같은 양상을 보였다.
본 모델링에서 유기물 항목의 변수는 유기탄소로 입력된 것이었는데 이를 바탕으로 모델에서 계산된 BOD5 농도는 실측치를 적합하게 재현하였다. BOD5 농도는 복하천, 청미 천, 양화천이 유입되는 중하류에서는 외부의 오염부하와 조 류에 의해 상승한 것으로 보인다. 그러나 전이대 구간은 비교적 청정한
흑천이 주요 유입원임에도 불구하고 BOD5 농도가 더욱 상승하였는데 이는 조류의 내부생산에 의한 것으로 판단된다.
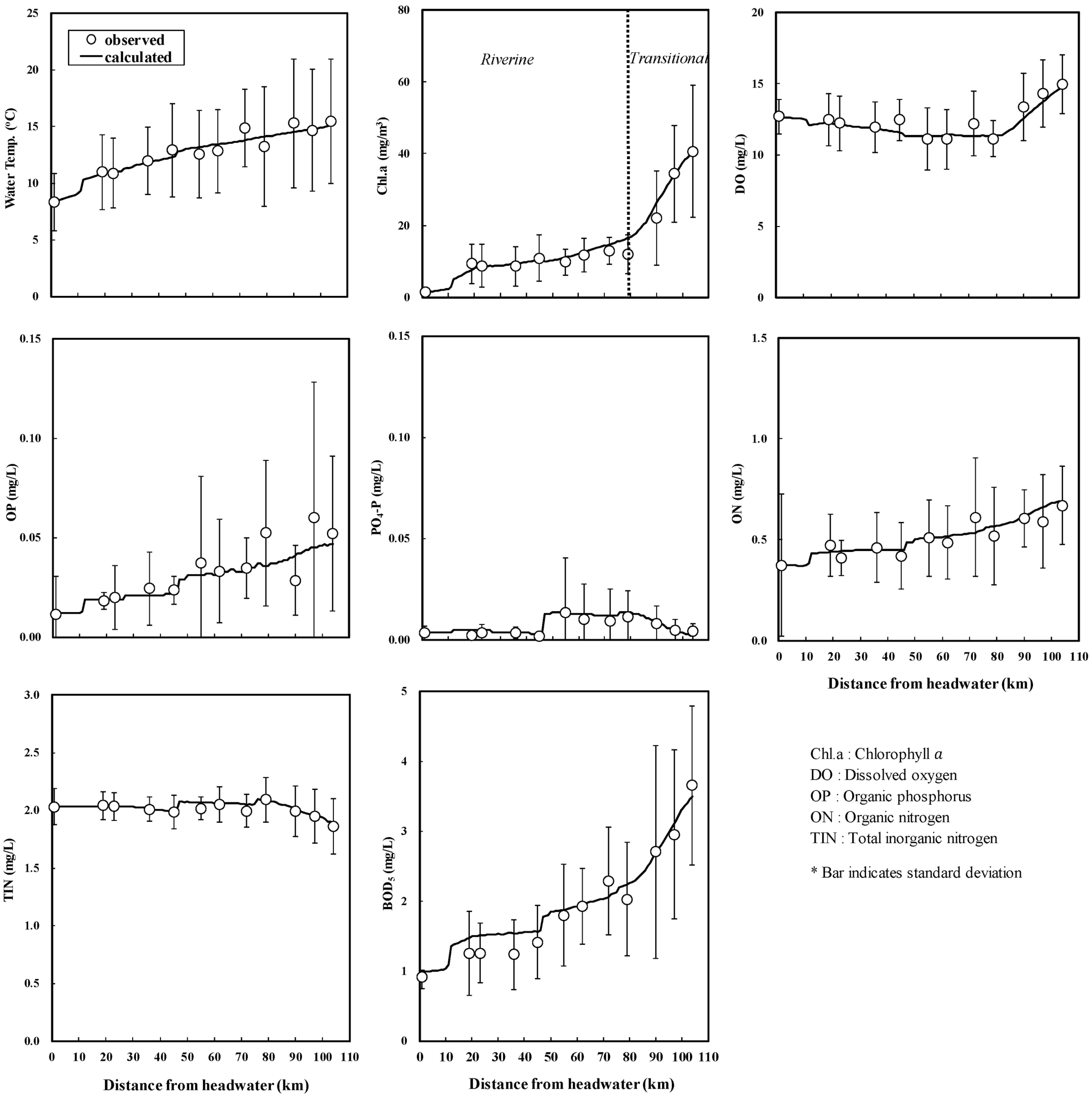
3.3.2. Verification
검증시기(2005년 3~6월)에 대한 모델의 계산치는 클로로필 α와 유기질소가 일부 지점에서 실측치와 다소 차이를 보였으나 전반적으로 실측치와 적합한
수준으로 부합하였다(Fig. 5).
Figure 5. Verification of the model in the South Han River from data during a period of Mar.~June, 2005. (Bars indicate standard deviations of observed data)
실측치에 대한 계산치의 평균 절대백분율 오차는 보정시 기에 유기인과 인산염인이 10%보다 크게 나타났고 다른 모든 항목은 모두 10% 내외의 수준을
보였다(Table 6). 검 증시기의 오차는 대체로 보정시기보다 다소 크게 나타났으 나 인산염인을 제외하면 모두 20%내로 나타났다. 인산염인 은 농도가 극히 낮은 상태였는데
이 경우 모델의 계산치가 실측치와 비슷한 경향을 보일지라도 작은 차이에 의해서도 오차가 커짐을 확인할 수 있었다.
Table 6. Test on the goodness of fit for the model by mean absolute percentage error (MAPE)
|
Water quality variables
|
Calibration (Mar. ~ June, 2006)
|
Verification (Mar. ~ June, 2005)
|
|
|
|
Observed* |
Calculated* |
MAPE (%)
|
Observed* |
Calculated* |
MAPE (%)
|
|
|
Temp. (°C)
|
12.8 ± 2.1
|
12.8 ± 2.0
|
3.5
|
15.0 ± 2.8
|
15.1 ± 2.6
|
5.4
|
|
DO (mg/L)
|
12.5 ± 1.2
|
12.2 ± 1.1
|
3.2
|
11.7 ± 0.8
|
11.7 ± 0.9
|
3.7
|
|
TON (mg/L)
|
0.503 ± 0.099
|
0.521 ± 0.098
|
6.8
|
0.515 ± 0.120
|
0.581 ± 0.094
|
15.5
|
|
TIN (mg/L)
|
2.005 ± 0.058
|
2.019 ± 0.052
|
0.9
|
1.932 ± 0.105
|
1.939 ± 0.044
|
3.6
|
|
TOP (mg/L)
|
0.033 ± 0.015
|
0.030 ± 0.011
|
14.3
|
0.046 ± 0.017
|
0.039 ± 0.011
|
13.1
|
|
PO4-P (mg/L)
|
0.006 ± 0.004
|
0.008 ± 0.005
|
30.8
|
0.003 ± 0.002
|
0.005 ± 0.003
|
135.2
|
|
Chl.a (µg/L)
|
15.2 ± 11.5
|
16.0 ± 11.5
|
10.9
|
21.1 ± 16.2
|
20.5 ± 13.0
|
18.7
|
|
BOD5 (mg/L)
|
2.0 ± 0.8
|
2.0 ± 0.7
|
9.8
|
2.2 ± 0.9
|
2.2 ± 0.8
|
10.1
|
3.4. Scenario analysis
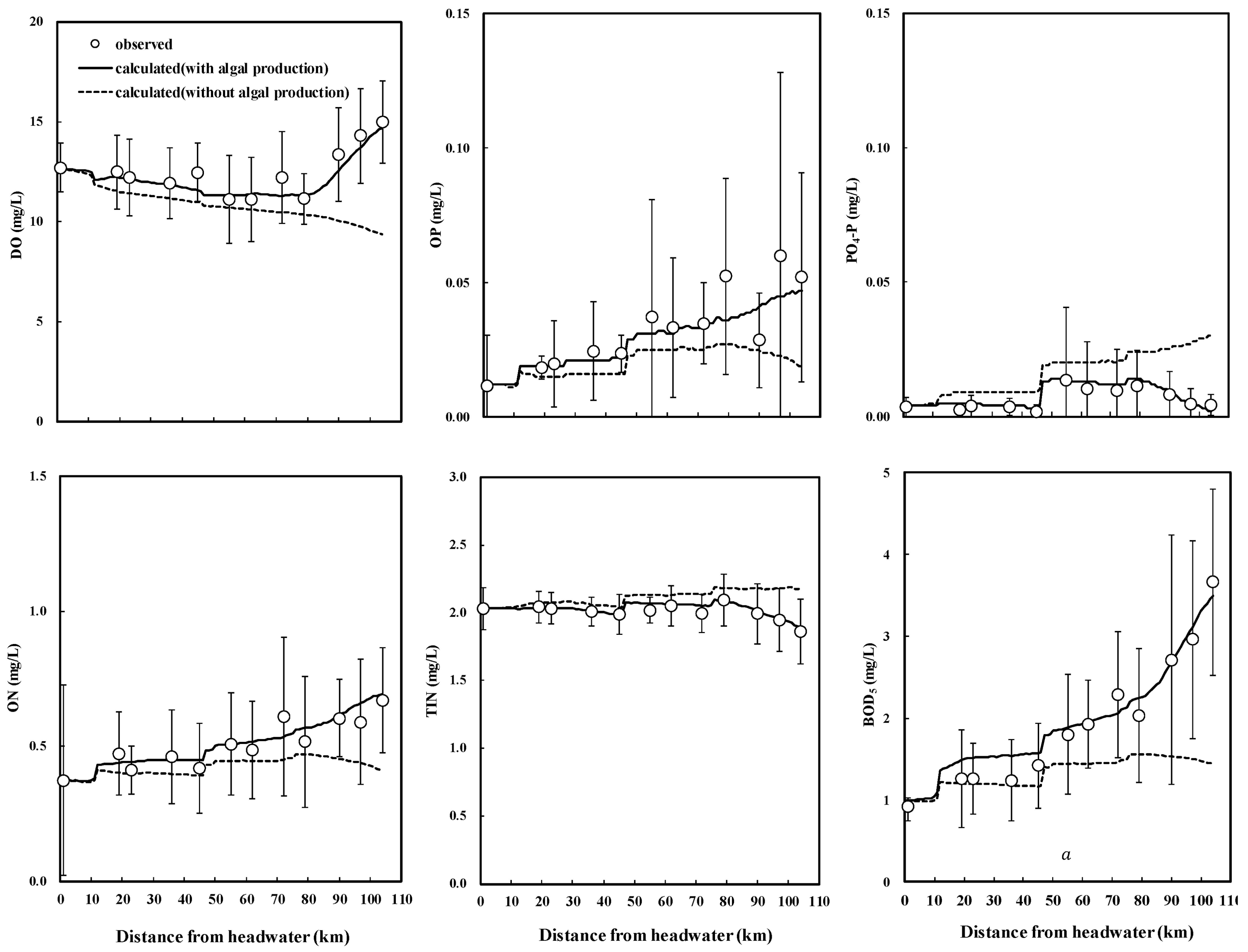
대상 수체에서 조류에 의한 수질변화를 모의하기 위하여 조류의 성장을 억제한 조건에서 나타난 모의 결과를 실제 의 조건에서 모의된 결과와 비교하였다(Fig.
6). 이때 조류 성장이 억제된 조건에서 나타나는 유기질소와 유기인 및 BOD5의 결과는 같은 조건에서 QUAL2E 모델을 구동한 결 과와 유사한 것이기 때문에 두 결과 값의 차이는 본 모델 의 적합성을 확인시켜 주는 것이다.
Figure 6. Estimation on the effect of algal production on water quality in the South Han River during a period of Mar.~June, 2006.
조류의 성장이 억제된 조건에서 용존산소 농도는 상대적 으로 낮은 값을 보였는데 남한강의 말단부에서 그 차이의 비는 0.36이었다(Table 7). 이는 남한강 말단부의 용존산소 농도에 대한 36%가 남한강 수체의 조류발생과 광합성에 의한 것임을 시사하는 것이다.
Table 7. Estimation on the effect of algal production in the South Han River based on model results at the end site during a period of Mar.~June, 2006.
|
|
Calculation with algal production (mg l-1)(A)
|
Calculation without algal production (mg l-1)(B)
|
Difference (mg l-1) (C=A-B)
|
Autochthonous ratio (C/A)
|
|
|
DO
|
14.70
|
9.36
|
5.34
|
0.36
|
|
TOP
|
0.047
|
0.019
|
0.028
|
0.60
|
|
PO4-P
|
0.002
|
0.030
|
-0.028
|
|
|
TON
|
0.693
|
4.14
|
0.279
|
0.40
|
|
TIN
|
1.899
|
2.179
|
-0.280
|
|
|
BOD5 |
3.50
|
1.44
|
2.06
|
0.59
|
조류의 성장이 억제된 조건에서 유기질소와 유기인은 낮 아졌는데 이는 무기질소와 인산염인의 증가분과 일치하였 다. 즉 조류의 증식 과정에 흡수되어 수중에서
감소된 무 기태 질소와 인이 조체로 이전되었음을 의미하며, 유기인의 60%와 유기질소의 40%가 조류의 흡수에 의한 것임을 알 수 있다.
조류의 성장이 억제된 조건에서 BOD5 농도는 낮은 값을 보였는데 그 차이를 기준으로 남한강 말단부의 BOD5 농도 에 미치는 조류 발생의 영향도는 약 60%로서, 상류 경계조 건인 충주댐과 유입하천으로부터 유입되는 오염부하의 영 향보다 더 큰 것으로 추정된다.
4. Conclusion
본 연구에서 적용된 모델은 QUAL2E를 기반으로 보완된 것으로 조류발생이 많은 정체수역의 수질을 모의하는데 있 어 그 적용성이 높음을 확인할 수
있었다.
수질모델링의 결과 남한강 본류의 봄철 수질악화는 남한 강 하류의 정체구간인 전이대에서 야기되는 조류의 대량발 생과 그에 따른 내부생산에 기인하는 것으로
나타나 수질개 선을 위해서는 영양염류 특히 인의 부하를 저감해야 한다.
유기탄소를 모델의 입력변수로 적용한 본 모델의 결과에 서 모의된 BOD5 농도는 실측치를 적합하게 재현하였으므 로 향후 BOD5와 TOC에 대한 수질총량관리를 위해 본 연 구에서 사용된 모델이 활용될 수 있을 것으로 판단된다.
Acknowledgement
이 논문은 2010년도 경기대학교 학술연구비(신진연구과제) 지원에 의하여 수행되었으며, 이에 감사드립니다.
Appendices
Appendix. Nomenclature
Glossary
A
Algal biomass (dry weight) (mg l-1)
Ad
Algal CBOD of dead algae in bottle (mg l-1)
An
Algal nitrogen (mg l-1)
An1
Non-living organic nitrogen (NON) originated from algae in bottle (mg l-1)
An2
Ammonia nitrogen originated from algae in bottle (mg l-1)
An3
Nitrite nitrogen originated from algae in bottle (mg l-1)
BOD
5
5-day biochemical oxygen demand (mg l-1)
CBOD
Carbonaceous biochemical oxygen demand (mg l-1)
CBOD
5
5-day carbonaceous biochemical oxygen demand (mg l-1)
F
Preference for ammonia uptake (-)
H
Mean depth of water (m)
K
1
Deoxygenation rate of NCBOD (d-1)
K
2
Reaeration rate (d-1)
K
3
Settling rate of non-living CBOD (d-1)
K
4
Sediment oxygen demand (mgO2 m-2 d-1)
KN
Nitrogen half-saturation constant for algal growth (mg l-1)
KO
Half-saturation constant for denitrification oxygen limitation (mg l-1)
KP
Phosphorus half-saturation constant for algal growth (mg l-1)
L
Non-living carbonaceous biochemical oxygen demand (NCBOD) (mg l-1)
m
Fraction of algal death and excretion of algal decay (0 ~ 1)
N
1
Non-living organic nitrogen (NON) (mg l-1)
N
2
Ammonia nitrogen (NH3-N) (mg l-1)
N
3
Nitrite nitrogen (NO2-N) (mg l-1)
N
4
Nitrate nitrogen (NO3-N) (mg l-1)
NOD
Nitrogenous oxygen demand (mg l-1)
NOD
5
5-day nitrogenous oxygen demand (mg l-1)
O
Dissolved oxygen (DO) (mg l-1)
Os
Saturated dissolved oxygen (DO) (mg l-1)
O
2 (A)5
5-day bottle algal BOD (mg l-1)
O
2(AC)5
5-day bottle algal CBOD (mg l-1)
O
2(ACD)5
5-day bottle CBOD by degradation of dead algae (mg l-1)
O
2(ACR)5
5-day bottle CBOD by endogenous respiration of algae (mg l-1)
O
2(AN)5
5-day bottle algal NOD (mg l-1)
O
2(C)5
5-day bottle CBOD (mg l-1)
O
2(L)5
5-day bottle non-living CBOD (mg l-1)
O
2(N)5
5-day bottle NOD (mg l-1)
O
2(NL)5
5-day bottle non-living NOD (mg l-1)
P
1
Non-living organic phosphorus (NOP) (mg l-1)
P
2
Dissolved inorganic phosphorus (mg l-1)
R
Fraction of dead and respired algae recycled to the organic pool (0-1)
ROC
Oxygen to carbon ratio (2.67)
SumN
Summation of nitrogen in QUAL2E output file (mg l-1)
SumP
Summation of phosphorus in QUAL2E output file (mg l-1)
TIN
Total inorganic nitrogen (mg l-1)
TN
Total nitrogen (mg l-1)
TOC
Total organic carbon (mg l-1)
TON
Total organic nitrogen (mg l-1)
TOP
Total organic phosphorus (mg l-1)
TP
Total phosphorus (mg l-1)
α
0
Stoichiometric ratio of Chl.a to algal biomass [mgChl.am-3 /mgA l-1]
α
1
Stoichiometric ratio of algal nitrogen to algal biomass [mgN (mgA)-1]
α
2
Stoichiometric ratio of algal phosphorus to algal biomass [mgN (mgA)-1]
α
3
Oxygen production per unit of algal growth [mgO2 (mgA)-1]
α
4
Oxygen uptake per unit of algal respiration [mgO2 (mgA)-1]
α
5
Oxygen uptake per unit of NH3-N oxidation [mgO2 (mgA)-1]
α
6
Oxygen uptake per unit of NO2-N oxidation [mgO2 (mgA)-1]
α
7
Oxygen uptake per unit of NO3-N denitrification [mgO2 (mgN)-1]
β
1
Mineralization rate of NON (d-1)
β
2
Nitrification rate of NH3-N (d-1)
β
3
Nitrification rate of NO2-N (d-1)
β
4
Denitrification rate of NO3-N (d-1)
β
5
Mineralization rate of NOP (d-1)
μ
Growth rate of algae (d-1)
μm
Maximum growth rate of algae (d-1)
v
1
Settling velocity of NCBOD (m d-1)
v
2
Settling velocity of NON (m d-1)
v
3
Settling velocity of NOP (m d-1)
ρ
Decay rate of algae (d-1)
σ
1
Settling velocity of algae (m d-1)
σ
2
Release rate of dissolved inorganic phosphorus from sediment (mgP m-2 d-1)
σ
3
Release rate of ammonia nitrogen from sediment (mgP m-2 d-1)
σ
4
Settling rate of NON (d-1)
σ
5
Settling rate of NOP (d-1)
References
Ambrose R.B., Wool T.A., Martin J.L., 1993, The Water Quality Analysis Simulation
Program, WASP5 Part A: Model Documentation, U.S. Environmental Protection Agency
Brown L., Barnwell T.O., 1987, The Eenhanced Stream Water Quality Models QUAL2E and
QUAL2E-UNCAS: Documentation and User Manual, Report EPA/600/3-87/007, U.S. Environmental
Protection Agency

Chen C.W., Orlob G.T., 1975, Ecologic Simulation of Aquatic Environments, Systems
Analysis and Simulation in Ecology, Academic Press, Vol. Vol. 3
Kalff J., 2002, Limnology, Prentice Hall
Kong D., 1992, [Korean Literature], Limnological and Ecological Characteristics of
Lake Paldang, Ph.D thesis, Korea University
Kong D., Jung D.I., Kim T.K., Eom M.C., 1999, [Korean Literature], QUALKO Ver. 1.0,
National Institute of Environmental Research
Kong D., Jung D.I., 2007, [Korean Literature], QUALKO Ver. 2.0, National Institute
of Environmental Research
Kong D., Chung D.I., Lee H.J., Kim S.H., Kim S.S., Park H.K., Mun H.S., Park J.H.,
Kim S.M., Kang T.G., Chung I.Y., Byeon M.S., Kang P.G., Shin K.S., Seo J.M., Chang
S.H., 2005, [Korean Literature], Investigation on Loading and Water Quality Variation
in Namhangang Drainage Basin (I), NIER No. 2005-34-779, National Institute of Environmental
Research
Kong D., Yoon S.K., Lee H.J., Kim B.I., Kim S.S., Park H.K., Noh H.R., Kang T.G.,
Park J.H., Kim S.M., Chung I.Y., Byeon M.S., Kang P.G., Shin K.S., Chang S.H., You
K.A., 2006, [Korean Literature], Investigation on Loading and Water Quality Variation
in Namhangang Drainage Basin (II), NIER No. 2006-22-804, National Institute of Environmental
Research
Lee H.J., Kong D.S., Kim S.H., Shin K.S., Park J.H., Kim B.I., Kim S.M., Jang S.H.,
Cheon S.U., 2007, Investigation on Water Quality Variation Characteristics During
Dry Season in Namhan River Drainage Basein, [Korean Literature], Journal of Korean
Society on Water Environment, Vol. 23, No. 6, pp. 889-896

Park S.S., Lee Y.S., 2002, A Water Quality Modeling Study of the Nakdong River, Korea,
Ecological Modelling, Vol. 152, pp. 65-75

Thornton K.W., Kennedy R.H., Carroll J.H., Walker W.W., Gunkel R.C., Ashby S., 1981,
Reservoir Sedimentation and Water Quality-A Heuristic Model, American Society of Civil
Engineers, pp. 654-1661
Thornton K.W., Kimmel B.L., Payne F.E., 1990, Reservoir limnology: Ecological Perspectives,
Wiley-Interscience
Vollenweider R.A., Kerekes J., 1982, Eutrophication of waters: Monitoring, Assessment
and Control, OECD Cooperative Programme on Monitoring of Inland Waters, OECD
Yoon S.K., 2006, [Korean Literature], Effect of Algal Growth in Transitional Zone
on Water Quality of the Lacustrine Zone in Lake Paldang. MS. Thesis, Hanyang University
Yoon S.K., Kong D., Bae W., 2010, Simple Material Budget Modeling for a River-Type
Reservoir, Journal of Korean Society on Water Environment, Vol. 26, No. 3, pp. 420-431
