최희정
(Hee-Jeong Choi)
†
-
가톨릭 관동대학교 보건환경학과
(Department of Health and Environment, Catholic Kwandong University)
© Korean Society on Water Environment. All rights reserved.
Key words
Biomass, Biooil, Glycerol, Microalgae, Optical Panel Photobioreactor
1. Introduction
석유파동과 환경오염 등의 복합적인 문제는 신재생에너 지의 확보와 개발을 위한 다양한 연구와 노력으로 이어져 한편에서는 전기, 수소 등의 새로운 구동
시스템을 이용하 기 위한 노력을 진행하고 있으며 다른 한편에서는 기존의 연료를 대체하는 새로운 연료들을 개발하고 있다(Brennan and Owende, 2010). 휘발유 또는 디젤을 대체할 수 있는 가장 유력한 연료로 인식되고 있는 것은 지속적으로 이용 할 수 있는 재생자원인 바이오매스를 통해서 생산되는
바 이오연료들이다(Demirbas, 2009). 이미 브라질 등에서 이용 하고 있는 바이오 에탄올, 바이오 디젤 등은 대체 연료로 서 인정을 받고 있다. 바이오디젤(biodiesel)은 석유
기반인 경유의 대안으로 식물성 기름이나 동물성 지방과 같이 재 생 가능한 자원을 바탕으로 제조된다(Demirbas, 2009; Halim et al., 2012). 바이오디젤은 긴 지방산 고리를 가진 단일 알킬 에스터 혼합물이며 지방산 메틸에스테르로 구성되어 있고 에스테르 작용기의 산소 2개를 분자내에 포함하고
있 어 함산소 연료라고 할 수 있다. 바이오디젤과 같은 함산 소 연료(Oxygenated Fuel)는 연소시 분자에 포함하고 있는 산소가 반응에 참여하면서
연소반응을 촉진하여 완전연소 가 쉽고 그에 따른 배기가스 저감효과도 탁월하다(Xu et al., 2006). 바이오디젤은 1 kg 당 3.2 kg의 CO2를 저감할 수 있으며, 특히, SOx 99%, CO2 20%, 탄화수소 32%, 검댕 50%, 입자 39%를 저감할 수 있어 배기가스가 현저하게 개 선된다(Gong and Jiang, 2011; Halim et al., 2012). 바이오 디젤은 재생 가능한 연료로서 현재의 엔진 기름을 대체할 수 있고, 기존의 시설을 통해 운반, 판매가 가능하기 때문 에, 가장 중요한 교통
에너지 자원인 화석 연료의 유력한 대안으로 꼽히고 있다. 그러나 아직까지 바이오디젤은 순수 초저유황 연료의 낮은 윤활성을 향상시키기 위해 경유와 섞어
쓰는 경우가 많다(Demirbas, 2009; Gong and Jiang, 2011). 바이오디젤의 생산과 사용은 특히 유럽과 미국, 아 시아에서 급격히 증가하고 있지만, 전체 연료 시장에서 차 지하는 비율은 아직 미미하다.
유채, 곡물, 팜, 옥수수 등을 이용하여 바이오 디젤을 생 산할 경우 지구상의 식량문제가 아직 해결되지 않은 상태 에서 윤리적인 문제에서 자유로울
수가 없고, 환경오염의 문제가 따르기 때문에 상대적으로 자유로운 미세조류는 바 이오디젤을 생산할 수 있는 새로운 원료로 주목받고 있다 (Choi et al., 2013; Wijffels and Barbosa, 2010). 또한 미세 조류는 바이오디젤 뿐만 아니라 건강식품, 바이오 수소, 이 산화탄소 고정 및 어류의 먹이로도 사용할 수 있다. 그러 나 현재 미세조류의
생산성은 아직까지 기존 화석연료에 비해 1/5 - 1/10 수준으로 경제성이 떨어진다(Chisti, 2007). 이에 따라 최근에는 미세조류의 생산성을 높이기 위해 우 수 세포주의 탐색과 동시에 생명공학 기술을 이용하여 고 지질 및 고생산성 미세조류를 개발하는
연구가 진행되고 있다(Chisti, 2007; Choi and Lee, 2014). 미세조류 바이오 에너지가 기존 화석연료에 대해 경쟁력을 가지기 위해서는 지질생산성을 높이는 것이 중요하다(Brennan and Owende, 2010). 미세조류는 염색체의 수가 2개에서 24개까지 다양 하고, 지금까지 알려진 미세조류 유전체의 크기(genome size)는 11 Mb에서 138
Mb 이다. 수많은 미세조류를 대상 으로 지질함량을 조사한 결과, 미세조류의 종(species) 및 세포주에 따라서 건중량(dry weight) 대비
지질함량이 1% 에서 85%까지로 다양하며, 지방산의 사슬길이(chain length)도 C10에서 C24까지 다양하다(Schenk et al., 2008). Wijffels and Barbosa (2010)는 높은 광 조건에서 잘 자라고, 얇은 막을 가지며, 세포의 크기가 커야하며, 고농도 산소조건에 서 잘 생장할 수 있고, 증식과 동시에 지질 축적이
가능하 고, 세포들이 잘 응집되어 수확이 편리하고, 감염 등에 강 하고, 세포밖으로 지질 분비할 수 있는 미세조류 세포주가 바이오에너지 용도로 이상적
일 것으로 제안하였다. 향후 미세조류의 생명 공학적 개량방법을 이용하여 광합성에 영 향을 주는 여러 요인들을 조작함으로써 생장속도를 높여 바이오매스
생산이 수배 증가할 것으로 기대되며, 지방산 생합성 및 Triacylglycerols (TAG) 축적량을 증가시킴으로 써 지질생산량을 높이는 것이
가능할 것이다.
미세조류의 지질 함량은 배양환경에 차이를 보이며, Chlorella protothecoides 의 경우 독립영양상태(authotrophic)로 증 식할 때의 지질함량은 14.5%이지만 종속영양상태 (heterotrophic) 나 복합영양상태(mixotrophic)로
증식할 때는 40%와 55%로 증가한다(Andrade and Costa, 2007). 특히 미세조류 의 광합성과 유기물의 흡수능력을 향상시켜주는 glycerol의 양을 증가시킨 결과 미세조류 세포내의 지질함량이 40%가 증가하였다(Kong et al., 2013). 지금까지 유기탄소원으로 acetate, glycerol 그리고 glucose 등을 이용하여 미세조류의 지질함량과 바이오매스의 양을 증가시키는
연구들은 있으 나 유기탄소원의 적정 필요 농도에 대한 연구는 미비하다. 따라서 본 연구는 미세조류의 생산성과 지질함량을 높이기 위해 glycerol을
유기 탄소원으로 이용하여 mixotrophic 환 경에서 다양한 glycerol의 농도가 미세조류의 증식과 TAG 함량에 미치는 영향을 알아보고자
하였다.
2. Materials and Methods
2.1. Microalgae cultivation
본 연구에 사용된 Chlorella sp., Nannochloris sp. 와 Botryococcus braunii 는 BGII Medium (Stainier et al., 1971)을 이용하여 22 ± 2°C 온도의 항온기에 15일간 증식시킨 후에 사용하였다. 실험을 위해 선택한 미세조류는 Spirulina, Dunaliella 그리고 Haematococcus 등과 함께 현재 상업화 에 상용되는 균주이다. 본 실험은 상용화되고 있는 균주 중에 지질함량이 높고, 성장이 빠르며 환경에 적응성이 강 한 균주인
Chlorella sp., Nannochloris sp. 와 Botryococcus braunii 를 선택하여 유기탄소원인 glycerol이 지질함량과 바 이오매스 증가에 미치는 영향을 알아보고자 하였다.
Glycerol은 미세조류의 바이오디젤을 생산한 후에 발생한 것을 사용하였으며 15 L의 OPPBR (Optical panel photobioreactor)
반응기에 BGII를 넣고 복합영양소로 Glycerol을 각각 0, 2, 5, 10 g/L를 투입하여 Glycerol 양이 미세조류 생산량과 지방산함유량에
미치는 영향을 알아보았다. 미세 조류 배양을 위하여 배양기의 광원은 LED (Light Emitting Diode)를 사용하였다. LED는 미세조류에
필요한 파장의 빛을 선택적으로 사용할 수 있어 효율적이다. 실험에 사용 한 LED 램프는 optical panel (OP)에 삽입되는 빛의 집중도
를 향상시키기 위해 bar 형식의 LED 램프를 특별 제작하 였으며, LED에 공급되는 전원은 모델 FP-60-12 파워공급 기(AD & Lighting,
Suwon, Kyonggi-Do, Korea)를 사용하 였다. 모든 광원은 위에서 아래로 공급하였다. LED는 white 색상을 사용하였으며 광합성에
사용되는 빛의 양을 나타내 는 광량은 ~250 μmol photon/m2/s, 초기 Chlorella sp.의 바 이오매스는 0.357 ± 0.066 gDW/L, Nannochloris sp. 는 0.367 ± 0.057 gDW/L, Botryococcus braunii 는 0.342 ± 0.067 gDW/L 였다. 실험은 20일 동안 진행했으며, 5번 반복하여 평균값 을 사용하였다. 실험에 사용한 미세조류는 원심분리를
이용 하여 수확하여 바이오디젤 생산에 사용하였다.
2.2. Experimental design
Fig. 1(b)에 도광판(optical panel)을 나타내었다. 실험에 사 용한 도광판은 210 mm (가로) × 290 mm (세로) 크기이며, 빛의 투과율이
좋은 Poly-Methylmethacrylate (PMMA)로 제 작하였다. 일반적인 v-cut 방식은 뒷면에 홈을 내어 반사판 을 이용하여 전면으로
빛을 방출시키나 본 실험에서는 도광 판 양면에 v-cut 을 제작하여 빛이 양면으로 분산되게 하였 다. v-cut 방식은 빛의 분포를 최대한 균일하게
분사시키기 위해 광원으로부터 멀어질수록 v-cut의 간격을 줄이고, 깊이 를 늘리는 방법을 사용한다. 따라서 v-cut 방식은 홈의 간격 과 홈의
각도를 이용하여 빛의 분산도를 조절하기 때문에 홈이 없는 flat plate에 비해서 빛의 효율이 높다 (Choi et al., 2013). v-cut 도광판은 비중이 1.19, 광투과율이 93%, 열 변형 온도는 94°C 그리고 성형 수축률은 0.2 - 0.6% 이다.
Fig. 1. A scheme of OPPBR (a) and optical panel with LED (b).
OPPBR 반응기(Fig. 1(a))는 230 mm (가로) × 230 mm(세로) × 300 mm (높이) 의 크기이며, 반응기의 총용량은 15 L, 공기 주입률은 0.5 L/min로
지속적으로 공기를 주입했으며, 공기 주입률에 따른 CO2의 주입량은 0.02 vvm 이다.
도광판은 반응기의 정 가운데에 삽입하여 빛이 반응기 전체에 균일하게 전달되도록 하였으며 도광판 삽입 양쪽 반응기의 거리는 각각 115 mm 였다.
선행연구(Choi and Lee, 2014) 결과 도광판은 6 mm 두께가 경제성이나 빛의 분산율에서 다른 두께보다 뛰어나 본 실험에서는 6 mm 두 께의 도광판을 사용하였다(Fig. 1(b)).
2.3. Analytical methods
628 g에서 15분 동안 원심분리를 이용하여 수확한 미세 조류는 습식오일 추출을 하였으며, 용매추출법에 사용된 용 매는 핵산(Junsei 96%)을
사용하였다. 습식오일 추출은 습 중량 1 g 의 미세조류를 포함한 3.3 mL 시료를 이용하였으 며, 미세조류의 양은 용매 대비 5%(w/w)였다.
핵산과 혼합 한 미세조류를 3시간 동안 교반한 후 오일을 포함한 용매 층을 회수하여 감압증발(Genevac, EZ2 PLUS)하였고, 용매 를 휘발시키고
남아있는 오일을 회수하였다. 오일의 완전한 회수를 위하여 위와 같은 추출법을 3번 반복하였다. 미세 조류 오일 추출량은 다음과 같이 계산하였다.
미세조류 및 추출된 미세조류 오일의 총 지방산 함량을 측정하기 위해 수정된 direct trans-esterification법을 사용하 였다(AOCS, 2003). 건조 미세조류와 추출 오일 각각 10 mg 에 클로로포름-메탄올(2:1, v/v) 2 mL를 넣고 10분간 섞은 후, 내부 표준물질인 heptadecanoic
acid-chloroform solution (Sigma-Aldrich, 500 μg/L) 1 mL, 메탄올 1 mL 그리고 황 산 0.3 mL을
투입하였다. Vortex mixer로 10분간 섞어준 뒤 100°C 항온조에서 10분간 반응시킨 후 충분히 식혀 증 류수 1 mL을 첨가한 뒤 2469
g 에서 10 min 동안 원심분 리하여 분리된 용액 중 아래층을 주사기로 뽑아 필터로 여과 후 GC (Gas Chromatography, Agilent
7890A, Santa Clara, Califonia, USA)로 분석하였다. 외부 표준물질(Mix RM3, Mix RM5, GLC50, GLC70(Supelco))을
사용하여 지방산의 정량 분석을 수행하였고, 추출된 미세조류 오일 중의 유리 지방산 함량은 적정법에 의한 산가분석을 통하여 측정하였 다. 산가 및 유리지방산
함량은 다음과 같은 식을 이용하 여 계산하였다(Lepage and Roy, 1984).
V = 사용한 KOH 용액의 부피(mL), c = KOH 용액의 몰 농 도(M), m = 시료의 질량(g)이다.
미세조류의 지방산 분석은 추출된 오일의 지방산 함량 (mg/g oil) 분석 후, 표준 분석조건 EN ISO 5508 (Animal and vegetablefats
and oils - Preparation of test sample) 과 EN ISO 550에 따라 분석하였다(CEN, 2001). 250 mg 시료 가 내부 표준물질인 methyl heptadecanoate-heptane solution (Fluka, 10 mg/g) 5
mL와 교반한 후 GC (Gas Chromatography, Agilent 7890A, Santa Clara, Califonia, USA)로 분 석하였다.
FAME의 검출 및 분리를 위해 사용한 컬럼은 capillary Alltech AT-FAME (30 m × 0.25 mm× 0.25 μm)이다. Carrier
gas로는 질소(Nitrogen)를 사용하였고, split mode의 split ratio는 45:1로 하였으며 가스 유속은 2.2 mL/min이었
다. 오븐의 온도는 250°C까지 증가하며, Injector의 온도는 250°C, 검출기의 온도는 275°C로 하였다.
바이오매스의 증가량을 알 수 있는 미세조류의 건중량은 10 mL의 샘플을 GF/C (Watmann, 영국)로 여과한 후 105°C 에서 24시간 건조한
후 그 질량을 측정하였다.
P 는 바이오매스의 생산량(g/L/day), X1 및 X0 는 t1 과 t0 때 의 바이오매스의 양을 나타낸다.
미세조류의 specific growth rate (생장률)는 아래와 같이 계산하였다.
μ 는 생장률(1/day), X1 및 X0 는 초기 및 일정 배양 시간 후의 미세조류 농도 (g/L), 그리고 t는 배양시간 (day)를 나 타낸다.
3. Results and Discussion
3.1. Effect of glycerol concentration on the growth of investigated algae species
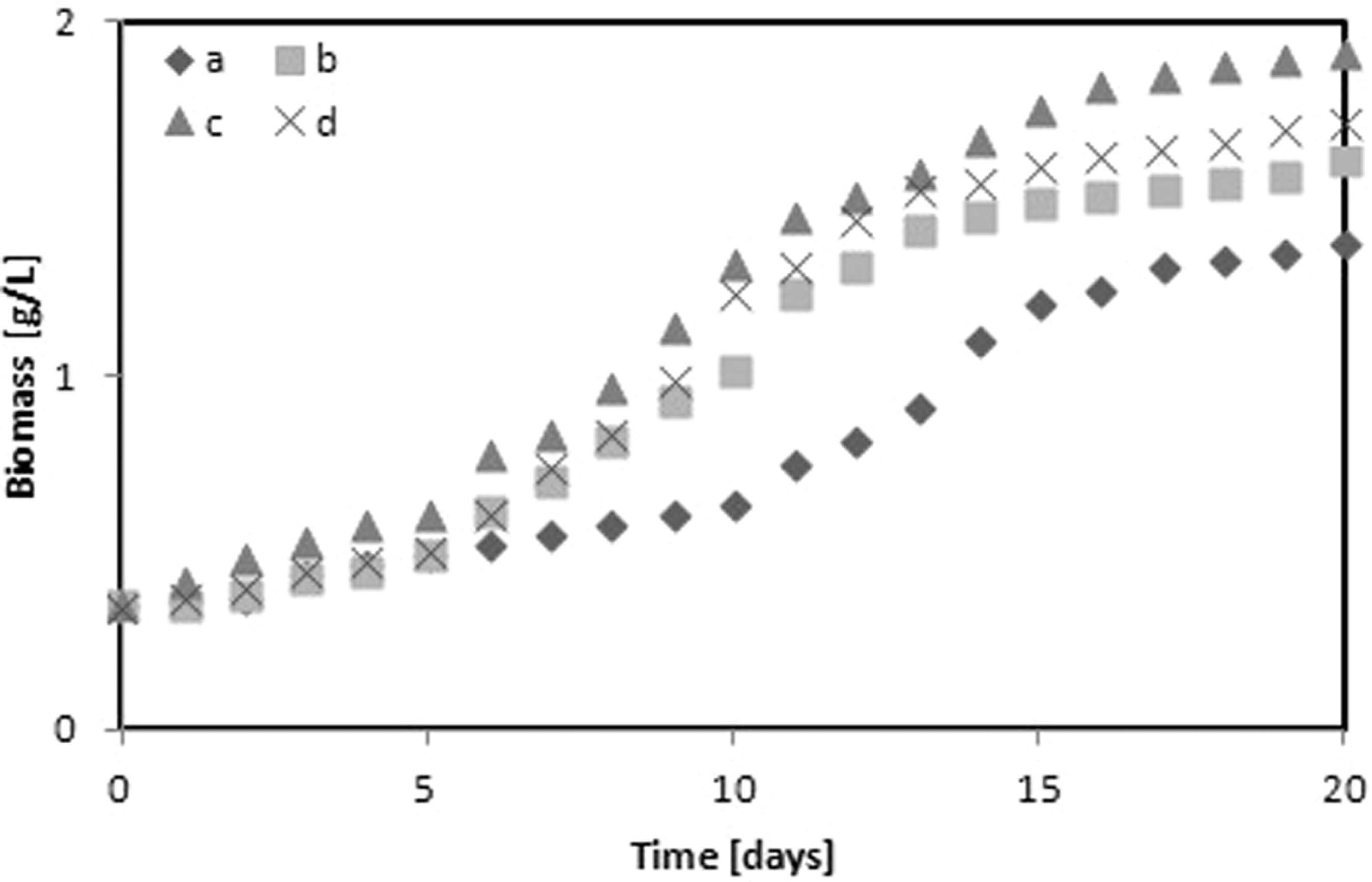
Glycerol은 유기 탄소원으로 미세조류의 광합성과 유기물 의 흡수 능력을 향상시켜주는 역할을 한다(Kong et al,. 2013). Fig. 2에 다양한 glycerol의 농도가 Chlorella sp.의 증식에 미치는 영향을 나타내었다. 실험 결과 최대 바이오 매스는 glycerol의 0, 2, 5, 10 g/L의 농도에 따라 각각 1.31,
1.61, 1.91 그리고 1.72 g/L를 나타내어 glycerol 농도 5 g/L에서 Chlorella sp.의 바이오매스가 가장 좋았다. 실험 5일째까지는 glycerol의 농도가 바이오매스 증가에 미치는 영향은 크지 않았으나 5일이 지난 후부터는
glycerol의 농 도에 따라 바이오매스의 증가는 뚜렷한 차이를 나타내었다.
Fig. 2. Growth ofChlorellasp. at various glycerol concentrations (a: 0, b: 2, c: 5 and d: 10 g/L).
Fig. 3에 다양한 glycerol의 농도에 따른 Nannochloris sp. 의 성장 속도를 나타내었다. 5일째까지는 10 g/L glycerol 의 농도와 0 g/L glycerol 샘플의 바이오매스 가 비슷하게
증가하였으나 5일 후부터 10 g/L glycerol의 바이오매스가 폭발적으로 증가하여 확연한 차이를 나타내었다. Nannochloris sp.는 Chlorella sp. 처럼 5 g/L glycerol 농도에서 1.92 g/L로 가장 좋은 바이오매스 증가를 나타내었다. 더불어 5 g/L glycerol의 농도는
glycerol을 사용하지 않은 0 g/L glycerol 샘플보다 37.5% 더 많은 바이오매스를 나타내었다.
Fig. 3. Growth ofNannochlorissp. at different glycerol concentrations (a: 0, b: 2, c: 5 and d: 10 g/L).
Botryococcus braunii 는 Chlorella sp. 와 Nannochloris sp. 와는 다른 바이오매스 증식과정을 나타내었다(Fig. 4). Fig. 4 에서 알 수 있듯이 Botryococcus braunii 는 1.47, 2.31, 2.24 그리고 1.87 g/L 의 최대 바이오매스를 나타내어 2 g/L glycerol 에서 바이오매스 증가가 가장 좋았다.
2 g/L glycerol 은 0 g/L glycerol 보다 36.36%의 높은 바이오매스를 나타내었으 나, 2 g/L 와 5 g/L glycerol
농도에서는 바이오매스의 차이 가 크게 없었다. 증식 5일째까지 모든 샘플이 비슷한 증식 과정을 나타내었으나 증식 10일 후부터는 0 g/L glycerol 과는 확연히 다른 뚜렷한 증식효과를 나타내었다.
Fig. 4. Growth ofBotryococcus brauniiat various glycerol concentrations (a: 0, b: 2, c: 5 and d: 10 g/L).
Table 1에 다양한 glycerol의 농도에 따른 최대 바이오매스 생산량(Pmax)와 최대 생장률(μmax)을 나타내었다. Chlorella sp. 는 5 g/L의 glycerol 농도에서 최대 바이오매스를 나타 내었지만 최대 바이오매스 생산량과 최대 생장률은 2 g/L glycerol에서
각각 0.227 g/L/day와 0.342 1/day를 나타내어 가장 높았고, Nannochloris sp. 는 5 g/L의 glycerol 농도에 서 최대 바이오매스를 나타내었지만 최대 바이오매스 생산 량(0.231 g/L/day)과 최대 생장률은(0.306
1/day) 10 g/L glycerol의 농도에서 측정되었다. 또한, Botryococcus braunii 는 10 g/L glycerol에서 최대 바이오매스를 나타냈지만 최 대 바이오매스 생산량과 최대 생장률은 각각 0.271 g/L/day와 0.301
1/day로 2 g/L의 glycerol에서 측정되었다. Chlorella sp., Nannochloris sp. 그리고 Botryococcus braunii 는 glycerol 을 첨가하지 않은 0 g/L의 glycerol 샘플보다 각각 60.79%, 66.23% 그리고 81.18%의 높은 최대 바이오매스를
나타내 어 glycerol이 바이오매스의 증가에 미치는 영향은 컸다.
Table 1. The maximum biomass productivity Pmaxand maximum specific growth rate µmaxof investigated algae species
|
Glycerol concentration
|
Chlorella sp.
|
Nannochloris sp.
|
Botryococcus braunii |
|
Pmax |
µmax |
Pmax |
µmax |
Pmax |
µmax |
|
0
|
0.089 ± 0.002
|
0.158 ± 0.013
|
0.078 ± 0.002
|
0.127 ± 0.004
|
0.051 ± 0.005
|
0.128 ± 0.004
|
|
2
|
0.227 ± 0.013
|
0.342 ± 0.007
|
0.165 ± 0.008
|
0.217 ± 0.025
|
0.271 ± 0.002
|
0.301 ± 0.016
|
|
5
|
0.148 ± 0.004
|
0.188 ± 0.011
|
0.191 ± 0.023
|
0.204 ± 0.024
|
0.123 ± 0.016
|
0.217 ± 0.018
|
|
10
|
0.138 ± 0.003
|
0.122 ± 0.016
|
0.231 ± 0.019
|
0.306 ± 0.017
|
0.258 ± 0.027
|
0.228 ± 0.024
|
Hsieh and Wu (2009)는 투명한 사각형 반응기에 일반 flat panel과 LED를 이용하여 Chlorella sp. 를 13일 증식하 여 미세조류의 바이오매스를 측정한 결과 0.142 g/L/day 의 바이오매스를 얻었으며, Sierra et al. (2008)은 flat plate를 이용한 광생물 반응기에서 Chlorella vulgaris 를 11일 증식 한 결과 0.127 g/L/day 의 바이오매스 증가율을 보고하였 다. 그러나 Moreno-Garrido (2008)은 flat plate glass 반응 기를 이용하여 Nannochloropsis 를 15일 증식한 결과 0.209 g/L/day 의 높은 바이오매스 증가율을 보고하였다. 배지에 Glycerol을 첨가한 본 실험과 비교하여 최대
바이오매스의 증가는 glycerol을 첨가한 경우가 더 높았음을 알 수 있다. 또한 glycerol을 첨가하지 않은 BGII의 바이오매스와 비교 하여도
OPPBR 반응기를 사용한 경우가 flat plate를 사용 한 실험보다 바이오매스 증가가 높았다.
Li et al. (2007)은 Chlorella protothecoides 를 heterotrophic culture 한 결과 0.13 1/day의 최대 생장률을 보고했 다. Chojnacka and Noworyta (2004)는 유기 탄소원으로 glucose를 이용하여 Spirulina sp. 를 mixotrophic 으로 증식 한 결과 1.32 1/day의 높은 최대 생장률을 보고했지만, 유 기탄소원으로 Molasses를 이용하여
Spirulina platensis 를 mixotrophic 으로 증식한 결과 0.147 1/day의 낮은 최대 생 장률을 보고하였다. mixotrophic 환경에서 미세조류의 빠른
증식을 위해서는 유기탄소원의 종류와 미세조류와의 적합 성 또한 중요한 인자이다.
3.2. Total fatty acid of investigated algae species
TAG의 양은 미세조류 종 및 세포주에 따라 다르지만 생 장환경에 따라서 크게 차이가 난다. 최적 생장조건에서는 생산된 지방산이 주로 막지질 합성에
사용되며, 이때 막지 질의 양은 건중량의 5-20%에 달한다. 그러나 생장환경이 좋지 않거나 스트레스 조건에서는 합성된 지방산이 주로 TAG 축적에
사용되고, 스트레스 조건이 계속되면 세포내 단백질도 TAG 합성에 사용된다(Cagliari et al., 2011; Msanne et al., 2012). 이때의 TAG 함량은 전체 지질의 80%에 달 하기도 한다.
바이오디젤은 미세조류에 함유된 TAG (Triacylglycerols)를 에스테르 교환반응(Trans-esterification)을 통하여 전환함으
로써 생성된다. 따라서 TAG 함량이 많을수록 바이오디젤의 생산량 또한 많아진다. Chlorella sp. 와 Nannochloris sp.는 2 g/L glycerol 농도에서 15.91%과 16.24%, Botryococcus braunii 는 10 g/L glycerol 농도에서 16.41%로 TAG 함량이 가장 많았다(Table 2). 그러나 Chlorella sp., Nannochloris sp. 와 Botryococcus braunii 모두 5 g/L 와 10 g/L glycerol 의 농도에서 Total TAG 함량의 차이는 크지 않았다.
Table 2. Total TAG content in dry mass of investigated algae species
|
Glycerol concentration [g/L]
|
Total TAG content in dry biomass of algae* (%)
|
|
Chlorella sp.
|
Nannochloris sp.
|
Botryococcus braunii |
|
0
|
3.71 ± 0.51
|
3.13 ± 0.42
|
7.11 ± 1.21
|
|
2
|
15.91 ± 1.30
|
16.24 ± 1.40
|
9.33 ± 1.46
|
|
5
|
8.73 ± 1.43
|
6.74 ± 0.76
|
15.02 ± 1.67
|
|
10
|
8.21 ± 1.52
|
6.32 ± 0.67
|
16.41 ± 1.53
|
Table 2에서 Total TAG 가 많이 측정된 glycerol 농도와 비교를 위하여 0 g/L glycerol 농도의 포화, 불포화 지방산 함유량을 Table
3에 나타내었다. 바이오 디젤의 천연 불포 화 지방산(특히 다불포화 지방산)은 활성 메틸렌기를 갖고 있어서 산화반응이 일어나기 쉽다. 이러한 자동산화에
의해 알코올, 케톤 및 알데히드 등 산화물을 생성하여 지질의 열화를 일으킬 것으로 생각된다. 따라서 자동산화는 바이오 디젤 연료 성분 중에서 불포화
지방도가 많을수록 빠르게 진행된다. 일반적으로 포화지방산 C18:0 stearic은 안정적이고, C18:1 oleic 보다는 C18:2 linoleic이
산화가 빠르고, C18:2 linoleic 보다 C18:3 linolenic가 산화가 빠르다(Biller et al., 2013; Halim et al., 2012). 불포화 레벨이 증가함에 따라 산화가 약 10배 정도 빠를 것으로 생각된다. 즉, C18:3은 C18:1에 비하여 100배는 빠르게 산화할 수
있다. 본 실험결 과 포화지방산은 Chlorella sp. 는 36.91%와 34.94%, Nannochloris sp. 는 14.27%와 14.23%를 0 g/L glycerol 과 2 g/L glycerol 농도에서 각각 나타내었다. Botryococcus braunii 는 18.78%와 13.39%를 0 g/L glycerol 과 10 g/L glycerol 농도 에서 나타내어 10 g/L glycerol 농도의
포화지방산 함유량이 0 g/L glycerol의 농도에 비하여 5.39% 낮았다. Chlorella sp. 와 Nannochloris sp. 도 역시 2 g/L glycerol이 0 g/L glycerol 보다 포화 지방산 함유량이 각각 1.97%, 0.04% 낮았다. 실험 에
사용한 미세조류의 종별 비교에서 보면 Chlorella sp. 는 Nannochloris sp. 에 비하여 22.64 - 22.68% 그리고 Botryococcus braunii 에 비하여 16.16 - 23.52% 포화지방산의 함유량 이 많았으며, Botryococcus braunii 의 10 g/L glycerol의 농도 가 13.39%로 포화지방산 함유량이 가장 낮았다.
Table 3. Composition of total fatty acid profiles of algae oil
|
Fatty acids
|
Composition (%) of total fatty acids
|
|
Chlorella sp.
|
Nannochloris sp.
|
Botryococcus braunii |
|
Glycerol concentration[g/L]
|
0
|
2
|
0
|
2
|
0
|
10
|
|
Saturated
|
36.91 ± 0.51
|
34.94 ± 0.49
|
14.27 ± 0.34
|
14.23 ± 0.38
|
18.78 ± 0.27
|
13.39 ± 0.42
|
|
C14:0 mystiric
|
0.31 ± 0.02
|
0.31 ± 0.03
|
ND
|
0.58 ± 0.04
|
0.23 ± 0.02
|
ND
|
|
C16:0 palmitic
|
31.09 ± 0.84
|
15.54 ± 0.67
|
8.62 ± 0.48
|
9.04 ± 0.75
|
9.78 ± 0.54
|
5.23 ± 0.38
|
|
C17:0 margarin
|
0.47 ± 0.04
|
1.71 ± 0.11
|
0.93 ± 0.07
|
0.48 ± 0.03
|
1.55 ± 0.14
|
1.45 ± 0.08
|
|
C18:0 stearic
|
4.11 ± 0.12
|
5.76 ± 0.07
|
2.81 ± 0.09
|
2.85 ± 0.06
|
3.99 ± 0.12
|
5.84 ± 0.13
|
|
C20:0 arachidic
|
0.57 ± 0.03
|
4.13 ± 0.24
|
0.73 ± 0.02
|
0.47 ± 0.04
|
1.37 ± 0.03
|
0.77 ± 0.02
|
|
C22:0 behenic
|
0.24 ± 0.02
|
5.27 ± 0.24
|
1.09 ± 0.12
|
0.71 ± 0.07
|
1.81 ± 0.07
|
0.04 ± 0.01
|
|
C24:0 lignoceric
|
0.13 ± 0.02
|
2.22 ± 0.08
|
0.09 ± 0.01
|
0.1 ± 0.04
|
0.05 ± 0.03
|
0.06 ± 0.02
|
|
Unsaturated
|
63.09 ± 2.31
|
65.06 ± 2.48
|
85.74 ± 3.58
|
85.78 ± 3.46
|
81.24 ± 2.61
|
86.61 ± 1.56
|
|
C16:1 palmitoleic
|
2.28 ± 0.27
|
2.1 ± 0.38
|
1.07 ± 0.07
|
2.1 ± 0.07
|
1.66 ± 0.03
|
2.49 ± 0.04
|
|
C18:1 oleic
|
43.01 ± 1.14
|
26.2 ± 2.06
|
62.35 ± 2.51
|
53.47 ± 1.67
|
49.43 ± 1.21
|
59.35 ± 1.65
|
|
C18:2 linoleic
|
10.95 ± 1.35
|
16.76 ± 1.31
|
12.72 ± 2.15
|
17.19 ± 1.95
|
13.67 ± 2.11
|
16.73 ± 1.23
|
|
C18:3 linolenic
|
6.03 ± 1.11
|
8.42 ± 1.24
|
5.44 ± 0.48
|
11.17 ± 0.87
|
10.94 ± 1.38
|
7.03 ± 1.41
|
|
C20:1 gadoleic
|
0.51 ± 0.09
|
2.9 ± 0.04
|
2.12 ± 0.03
|
0.82 ± 0.12
|
4.59 ± 0.24
|
0.75 ± 0.07
|
|
C22:1 erucic
|
0.24 ± 0.03
|
5.63 ± 0.12
|
0.62 ± 0.07
|
0.38 ± 0.07
|
0.83 ± 0.13
|
0.2 ± 0.05
|
|
C24:1 nervonic
|
0.02 ± 0.01
|
3.05 ± 0.21
|
1.49 ± 0.56
|
0.65 ± 0.04
|
0.12 ± 0.07
|
0.05 ± 0.01
|
불포화 지방산 함유량은 Botryococcus braunii (10 g/L glycerol 농도)가 86.61%로 가장 높았고, Nannochloris sp. 가 2 g/L glycerol 농도에서 85.78% 그리고 0 g/L glycerol 농도에서 85.74% 나타내었으며, Chlorella sp. 는 0 g/L glycerol 이 63.09%로 가장 낮았다. 같은 종의 비교에서 포화지방산 과 불포화지방산의 함유량차이는 크지 않았지만
glycerol을 복합영양소로 사용했을 경우 불포화지방산의 함유량이 약 간 높았다. 또한 Chlorella sp. 가 Nannochloris sp. 와 Botryococcus braunii 비교하여 불포화 지방산의 함량이 16.52 - 23.52% 정도 낮았다. 유럽의 Rapeseed는 포화 지방산이 5.40% 그 리고 불포화지방산이
94.60%로 나타나 실험에 사용한 미세 조류보다 불포화 지방산이 높았다. 미국에서 바이오디젤 연 료로 주로 사용하는 콩(Soybean)은 포화 지방산이
약 20%, 불포화 지방산의 함유량이 약 80% 로 나타나 Nannochloris sp. 나 Botryococcus braunii 가 함유하고 있는 불포화지방산 과 비슷했다. 반면 아시아에서 많이 생산되는 팜유의 경우 포화지방산과 불포화지방산의 비율이 1:1로 나타나 실험에
사용된 미세조류보다 포화지방산이 높았다. 포화지방산이 높다는 것은 바이오 디젤 역시 포화도가 높다는 것이며, 쉽 게 굳기 때문에 바이오 디젤로 동절기에
사용할 경우 문제 점을 야기할 수 있다(Lee et al., 2013). 육상식물과 유사하 게 미세조류에서 합성되는 대표적인 지방산은 탄소수가 16 (C16)에서 18(C18)이며, 주요 지방산은 palmitic acid이며
oleic acid 함량은 육상식물보다 적다(Chisti, 2007; Halim et al., 2012). 그러나 미세조류에 따라서 대량의 VLC- PUFAs (very long chain polyunsaturated fatty acids) (>18C)를
합성 하기도 한다(Mata et al., 2012). Chlorella sp. 는 41.5% - 46.3%, Nannochloris sp. 는 83.36 - 83.41% 그리고 Botryococcus braunii 는 76.88 - 84.54% 정도 불포화지방산이 포화지방산보다 많 아 불포화지방산의 함량만을 가지고 비교한다면 바이오디 젤로 사용하는데 문제가
없을 것으로 생각된다.
4. Conclusion
다양한 glycerol의 농도가 Chlorella sp., Nannochloris sp. 그리고 Botryococcus braunii 증식과 TAG 함량에 미치는 영향을 실험한 본 연구의 결과는 아래와 같다.
-
Chlorella sp. 와 Nannochloris sp. 는 5 g/L glycerol에서 그리고 Botryococcus braunii 2 g/L의 glycerol에서 각각 1.91, 1.92 그리고 2.31 g/L의 최대 바이오매스를 나타 내었다. Botryococcus braunii 는 2 g/L 와 5 g/L glycerol 과의 차이가 미미했다. 그러나 glycerol을 첨가하지 않고 BGII 배지에 증식한 각각의 미세조류와
비교하면 Chlorella sp.는 28.27%, Nannochloris sp.는 37.5% 그리고 Botryococcus braunii 는 36.36%의 높은 최대 바이오매스를 나 타내었다. 따라서 바이오매스 증가에 가장 좋은 glycerol 의 농도는 5 g/L였다.
-
TAG 함량은 Chlorella sp. 와 Nannochloris sp. 는 2 g/L의 glycerol에서 각각 15.91%와 16.24%, 그리고 Botryococcus braunii 는 10 g/L glycerol에서 16.41%를 나타내어 BGII 배지와 비교하여 12 - 13% 높았다.
-
Glycerol을 복합영양소로 사용했을 때가 glycerol을 사용 하지 않았을 때 보다 Chlorella sp. 는 1.97%, Nannochloris sp. 는 0.04% 그리고 Botryococcus braunii 는 5.37% 불 포화지방산의 함유량이 높았다.
-
실험에 사용한 미세조류 중에서 Botryococcus braunii 가 Chlorella sp. 또는 Nannochloris sp.와 비교하여 바이오 매스 증식이 빨랐고, 지질함량과 불포화지방산 함량이 많았다.
Acknowledgements
본 연구는 한국연구재단의 여성과학자 지원사업(2013006899) 의 지원으로 이루어졌으며, 이에 감사드립니다.
References
Andrade M.R., Costa J.A.V., 2007, Mixotrophic Cultivation of Microalga Spirulina platensis
using Molasses as Organic Substrate, Aquaculture, Vol. 264, No. 1-4, pp. 130-134

AOCS Official Method (Cd 3d-63), 2003, Acid Value, Official Methods and Recommended
Practices of the AOCS, AOCS
Brennan L., Owende P., 2010, Biofuels from Microalgae - A Review of Technologies for
Production, Processing, and Extractions of Biofuels and Co-Products, Renewable and
Sustainable Energy Reviews, Vol. 14, No. 2, pp. 557-577

Biller P., Friedman C., Ross A.B., 2013, Hydrothermal Microwave Processing of Microalgae
as a Pre-treatment and Extraction Technique for Bio-fuels and Bio-products, Bioresource
Technology, Vol. 136, pp. 188-195

Cagliari A., Margis R., Maraschin F.S., Turchetto-Zolet A.C., Loss G., Margis-Pinheiro
M., 2011, Biosynthesis of Triacylglycerols in Plants and Algae, doi: http://dx.doi.org/10.4081/pb.2011.e10,
International Journal of Plant Biology, Vol. 2, No. e10, pp. 40-52

CEN, EN 14103, 2011, Fat and Oil Derivatives - Fatty Acid Methyl Esters (FAME) - Determination
of Ester and Linolenic Acid Methylester Contents
Chisti Y., 2007, Biodiesel from Microalgae, Biotechnology Advances, Vol. 25, No. 3,
pp. 294-306

Choi H.J., Lee J.M., Lee S.M., 2013, A Novel Optical Panel Photobiorector for Cultivation
of Microalgae, Water Science and Technology, Vol. 67, No. 11, pp. 2543-2548

Choi H.J., Lee S.M., 2014, Effect of Optical Panel Thickness for Nutrient Removal
and Cultivation of Microalgae in the Photobioreactor, Bioprocess and Biosystems Engineering,
Vol. 37, No. 4, pp. 697-705

Chojnacka K., Noworyta A., 2004, Evaluation of Spirulina sp. Growth in Photoautotrophic,
Heterotrophic and Mixotrophic Cultures, Enzyme and Microbial Technology, Vol. 34,
No. 5, pp. 461-465

Demirbas A., 2009, Production of Biodiesel from Algae Oils, Energy Source, Part A,
Vol. 31, No. 2, pp. 163-168

Gong J., Jiang M., 2011, Biodiesel Production with Microalgae as Feedstock: from Strains
to Biodiesel, Biotechnology Letters, Vol. 33, No. 7, pp. 1269-1284

Halim R., Danquah M.K., Webley P.A., 2012, Extraction of Oil from Microalgae of Biodiesel
Production: A Review, Biotechnology Advances, Vol. 30, No. 3, pp. 709-732

Hsieh C.H., Wu W.T., 2009, A Novel Photpbioreactor with Transparent Rectangular Chambers
for Cultivation of Microalgae, Biochemical Engineering Journal, Vol. 46, No. 3, pp.
300-305

Kong W.B., Yang H., Cao Y.T., Song H., Hua S.F., Xia C.G., 2013, Effects of Glycerol
and Glucose on the Enhancement of Biomass, Lipid and Soluble Carbohydrate Production
by Chlorella vulgaris, Food Technology and Biotechnology, Vol. 51, pp. 62-69

Lee Y.C., Huh Y.S., Farooq W., Chung J., Han J.I., Shin H.J., Jeong S.H., Lee J.S.,
Oh Y.K., Park J.Y., 2013, Lipid Extractions from Docosahexaenoic Acid (DHA)- rich
and Oleaginous Chlorella sp. Biomasses by Organicnanoclays, Bioresource Technology,
Vol. 137, pp. 74-81

Lepage G., Roy C.C., 1984, Improved Recovery of Fatty Acid through direct Transesterification
without Prior Extraction or Purification, Journal of Lipid Research, Vol. 25, No.
12, pp. 1391-1396

Li X., Xu H., Wu Q., 2007, Large-Scale Biodiesel Production from Microalga Chlorella
protothecoides through Heterotrophic Cultivation in Bioreactors, Biotechnology and
Bioengineering, Vol. 98, No. 4, pp. 764-771

Mata T.M., Martins A.A., Caetano N.S., 2012, Microalgae for Biodiesel Production and
Other Applications; A Review, Renewable and Sustainable Energy Reviews, Vol. 14, No.
1, pp. 217-232

Moreno-Garrido I., 2008, Microalgae Immobilization: Current Techniques and Uses, Bioresource
Technology, Vol. 99, No. 10, pp. 3949-3964

Msanne J., Xu D., Konda A.R., Casas-Mollano J.A., Awada T., Cahoon E.B., Cerutti H.,
2012, Metabolic and Gene Expression Changes Triggered by Nitrogen Deprivation in the
Photoautotrophically Grown Microalgae Chlamydomonas reinhardtii and Coccomyxa sp.
C-169, Phytochemistry, Vol. 75, pp. 50-59

Schenk P.M., Thomas-Hall S.R., Stephens E., Marx U.C., Mussgnug J.H., Posten C., Kruse
O., Kankamer B., 2008, Second Generation Biofuels: High Efficiency Microalgae for
Biodiesel Production, Bioenergy Research, Vol. 1, No. 1, pp. 20-43

Sierra E., Acién F.G., Fernández J.M., García J.L., González C., Molina E., 2008,
Characterization of a Flat Plate Photobioreactor for the Production of Microalgae,
Chemical Engineering Journal, Vol. 138, No. 1-3, pp. 136-147

Stainier R.Y., Kunisawa R., Mandel M., Choen B., 1971, Purification and Properties
of a Unicellular Bluegreen Alga (order Chroococcales), Bacteriological Reviews, Vol.
35, No. 2, pp. 171-205

Wijffels R.H., Barbosa M.J., 2010, An Outlook on Microalgal Biofuels, Science, Vol.
329, No. 5993, pp. 796-799

Xu H., Miao X., Wu Q., 2006, High Quality Biodiesel Production from a Microalga Chlorella
Protothecoides by Heterotrophic Growth in Fermenters, Journal of Biotechnology, Vol.
126, No. 4, pp. 499-507
