The Journal of
the Korean Society on Water Environment

The Journal of
the Korean Society on Water Environment

Bimonthly
  • ISSN : 2289-0971 (Print)
  • ISSN : 2289-098X (Online)
  • KCI Accredited Journal

Editorial Office


  1. 국립환경과학원 물환경연구부 유역총량연구과 (Watershed and Total Load Management Research Division, Water Environment Research Department, National Institute of Environmental Research)



Ammonia nitrogen, Dissolved organic nitrogen, Land uses, Nitrate nitrogen, Particulate organic nitrogen, Total nitrogen components

1. Introduction

담수에서 질소의 주요형태는 유기질소, 암모니아성 질소, 아질산성 질소, 질산성 질소 그리고 다수의 유기질소 화합 물 등 다양한 형태로 존재한다. 수중에서 질소는 하천으로 직접 유입되는 강수, 수중과 퇴적물에서의 질소고정, 복류수 또는 지하수로부터의 기저유출, 유역으로부터의 직접유출, 박테리아 탈질화에 의한 질산성질소의 N2로의 환원에 이어 대기 중 질소기체로 되돌아가거나, 퇴적물에서의 무기, 유기 질소의 영구적인 손실로 인하여 유출된다(Wetzel, 1983).

수중의 질소는 1차 생산자인 조류성장에 효과적이나, 적 정하게 처리되지 않은 하수 또는 공장폐수가 수계로 유입 될 경우 수중의 용존산소결핍, 부영양화, 녹조현상의 원인 이 된다. 질소, 인 등의 상수원 유입으로 인한 부영양화는 수돗물에서 맛과 냄새의 원인이 되며, 정수공정에서 모래여 과지의 막힘 현상을 유발하여 여과지의 운전시간을 단축시 킨다. 암모니아성 질소는 여러 가지 금속이온과 결합된 형 태로 존재하기도 하고, 콜로이드성 입자, 부유물질, 그리고 하천 바닥 토사에 흡착되기도 하는데(Chung and Kim, 2005), 수중에 다량 존재할 경우 물고기의 아가미에 염증을 유발하고, 질산성 질소로 산화되는 과정에서 수중의 산소를 소모하여 용존산소 부족으로 인한 어류 및 수생식물에 영 향을 주며, 퇴적물로부터 수중으로 인(P)과 중금속의 용출 을 가속화시킬 수 있다. 상수원수 중 과량의 암모니아성 질소는 수처리 과정에서 염소요구량을 증가시켜 정수비용 에 따른 경제적인 손실이 발생하기도 한다. 또한, 질산성 질소는 체내에서 발암성 물질인 니트로아민(nitroamine)이 환원되어 암을 유발할 수 있으며, 영유아에게는 체내에서 산소전달을 방해하는 청색증의 원인물질로 알려져 있다 (Duncan et al., 1997).

공공수역과 수환경에 직접적인 영향을 주는 환경기초시 설 및 개별배출시설 등에서의 국내 질소 규제 현황을 살펴 보면, 총질소를 기준으로 관리하고 있으며 공공수역의 경우 호소에서는 용수 이용 등급별 0.2~1.5 mg/L의 총질소에 대 한 환경기준을 마련하여 관리하고 있으나, 질소 농도가 높 은 우리나라 호소 특성상 인이 제한 인자로 작용하여 질소 기준 적용은 거의 고려되고 있지 않다. 이에 따라 하천에 서도 질소에 대한 별도의 수질 기준 설정 없이 2009년에 총인 기준만 설정하여 관리하고 있는 실정이다. 또한 환경 기초시설 방류수 기준은 그 종류와 시설용량에 따라 20~60 mg/L이하이며, 개별배출시설에 대한 배출허용기준은 지역 에 따라 30~60 mg/L 이하를 적용하고 있다. 이처럼 환경 기초시설이나 개별배출원에 대한 규제 기준도 상당히 높게 설정되어 있어 별도의 처리 노력 없이도 기준을 만족할 수 있는 수준이다.

이와 같이 질소는 존재 형태별로 수생태계와 인체에 다 양한 형태로 영향을 끼침에도 불구하고 담수에서는 주로 인이 부영양화의 제한인자로 작용하여 질소 관리는 소홀히 여겨왔다. 또한 유역특성에 따라 동일한 총질소 농도임에도 불구하고 존재 형태별로 서로 다른 농도로 존재할 수 있어 현행 총질소 기준의 규제는 질소의 존재 형태별로 미치는 영향에 따른 적절한 대책을 수립하는데 어려움이 있다.

그간 담수에서의 질소와 관련한 연구에서는 Xia et al. (2004)이 질산화 과정에서 부유물질의 영향을 고찰한 바 있으며, Chung (2003)은 암모니아성 질소 농도 예측을 위한 회귀모형을 개발하였다. Chung et al. (1999)은 농업 비점오 염원에 의한 연중 질소부하량을 파악하였으며, Lee, Park, Lee et al. (2010)은 팔당호 유입하천에서의 질소수지를 산정 한 바 있으나 하천에서의 질소 존재형태별 분류와 분포특 성을 연구한 사례는 드물다.

따라서 본 연구에서는 하천에서의 총질소를 존재형태별 로 구분하고, 계절별, 강우/비강우 및 유황 시기별로 분포 상태를 시공간적으로 파악하여 차이에 대한 원인을 규명하 고자 하였으며, 이러한 분포 특성을 결정하는 유역인자 중 토지이용현황과의 관련성을 고찰하고자 하였다.

2. Materials and Methods

2.1. 조사지점 및 조사기간

연구대상 지점은 한강수계 북한강(N) 권역인 가평천(G.P.), 소양강(S.Y.), 인북천(I.B.), 조종천(J.J.) 4개 주요 지천, 충주 댐을 기점으로 남한강 상류(S1) 권역인 골지천(G.J.), 오대 천(O.D.), 주천강(J.C.), 평창강(P.C.) 4개 주요 지천, 남한강 하류(S2) 권역인 청미천(C.M.), 양화천(Y.H.), 복하천(B.H.) 3개 주요 지천, 경안천(G) 및 팔당댐 이하 한강 하류(H) 권역 인 왕숙천(W.S.), 중랑천(J.R.), 탄천(T.C.), 안양천(A.Y.) 4개 주요 지천 말단 지점 등 총 16개 지점으로 하였다(Fig. 1). 조 사기간은 한강물환경연구소에서 2009~2012년까지 최근 4 년간의 연 36회 이상 평균 8일 간격으로 수질과 유량을 동 시 측정한 자료를 활용하였다.

Fig. 1. A map showing the 16 study sites(S.Y. : Soyanggang, I.B. : Inbukcheon, G.P. : Gapyeongcheon, J.J. : Jojongcheon, G.J. : Goljicheon, O.D. : Odaecheon, J.C. : Jucheongang, P.C. : Pyeongchanggang, C.M. : Cheongmicheon, B.H. : Bokhacheon, Y.H. : Yanghwacheon, G.A. : Gyeongancheon, W.S. : Wangsukcheon, J.R. : Jungnangcheon, T.C. : Tancheon, A.Y. : Anyangcheon).
../../Resources/kswe/KSWE.2014.30.5.503/JKSWE-30-503_F1.jpg

2.2. 조사항목 및 분류방법

조사항목은 총질소(total nitrogen, TN), 입자성 유기질소 (particulate organic nitrogen, PON), 용존 총질소(dissolved total nitrogen, DTN), 용존 유기질소(dissolved organic nitrogen, DON), 암모니아성 질소(ammonia nitrogen, NH3-N), 아질산성 질소(nitrite nitrogen, NO2-N) 및 질산성 질소(nitrate nitrogen, NO3-N)를 대상으로 하였다. 이 중 TN, DTN, NH3-N, NO3-N 은 실측자료를 활용하였다. PON은 입자성 총질소(particulate total nitrogen, PTN)가 대부분 PON으로 존재함에 따라 PTN 을 PON으로 간주하여 산정하였다. NO2-N은 하천수에서는 거의 존재하지 않으므로 0으로 가정하였다. DON은 DTN에 서 NH3-N과 NO3-N의 합과의 차이로 산정하였다.

3. Results and Discussion

3.1. 대상유역 토지이용현황

조사지점 대상 유역의 특성을 파악하기 위하여 각 유역에 서의 토지이용현황을 조사하였다. 토지이용현황은 2012년 기준 지적 공부상 28개 토지 지목을 수질오염총량관리에서 적용중인 전, 답, 임야, 대지, 기타 5개 지목으로 재분류하 여 산정하였다(Table 1). 그 결과 N 및 S1 권역은 산림이 약 80% 이상이고, 대지는 3% 미만으로 비도시·산림지역의 특성을 나타내었다. S2 권역은 전·답 비율이 32~45%이고, 대지 비율이 8.9~13.7%로 도·농 복합지역의 특성을 보였다. 한편 G 및 H 권역은 대지 비율이 11.2~34.8%로 다른 수계 권역에 비해 훨씬 높아 전형적인 도시지역의 특성을 나타 내었다.

Table 1. Land use classification from the study sites
Upland Paddy Forest Site Other Total






Area (km2) % Area (km2) % Area (km2) % Area (km2) % Area (km2) % Area (km2)

N G.P 12.3 4.1 5.6 1.9 266.7 89.2 4.5 1.5 9.8 3.3 299.0
S.Y. 44.7 4.3 6.1 0.6 949.2 91.2 11.2 1.1 29.6 2.8 1040.8
I.B. 40.9 4.8 23.1 2.7 741.3 87.3 12.6 1.5 31.4 3.7 849.3
J.J. 14.5 6.1 8.2 3.5 189.1 80.0 10.5 4.5 14.2 6.0 236.5

S1 G.J. 53.7 6.5 4.3 0.5 717.1 87.1 14.8 1.8 33.6 4.1 823.5
O.D. 29.3 6.8 2.9 0.7 376.9 88.0 7.0 1.6 12.3 2.9 428.3
J.C. 59.7 10.1 20.0 3.4 466.2 78.6 17.0 2.9 30.2 5.1 593.2
P.C. 103.9 9.4 21.2 1.9 900.6 81.5 30.5 2.8 49.2 4.4 1105.5

S2 C.M. 72.7 12.7 110.5 19.2 285.4 49.7 51.2 8.9 54.9 9.6 574.8
Y.H. 32.6 18.8 44.5 25.7 58.0 33.5 20.0 11.5 18.2 10.5 173.2
B.H. 39.3 13.1 64.9 21.7 128.0 42.8 40.9 13.7 25.9 8.7 299.0

G G.A. 11.2 7.4 11.5 8.1 98.7 61.7 25.1 15.6 10.7 7.1 157.2

H W.S. 20.6 8.2 17.9 7.1 167.2 66.4 28.2 11.2 17.9 7.1 251.9
J.R 9.1 8.5 7.7 7.2 63.7 59.6 18.2 17.1 8.07 7.6 106.8
T.C. 8.5 4.4 8.5 4.4 92.0 47.2 60.3 30.9 25.6 13.1 194.9
A.Y. 14.6 8.5 8.514 5.0 75.6 44.0 59.8 34.8 13.4 7.8 171.9

3.2. 질소농도 분포 및 존재형태별 구성비

한강수계 내 주요 지류 하천의 질소성 오염물질의 농도와 존재형태별 구성비를 파악하여 권역별로 어떤 차이를 보이 는지 고찰하였다. TN과 존재형태별 농도를 분석한 결과를 Table 2에 정리하였다. TN 농도분포는 1.856~13.029 mg/L, PON은 0.051~0.689 mg/L, DON은 0.225~1.535 mg/L, NH3-N 은 0.020~5.808 mg/L, NO3-N은 1.535~4.996 mg/L의 범위로 권역별로 큰 차이를 보였으며, 공간적 농도 분포는 N 권역이 TN 뿐만 아니라 존재형태별 농도에서도 가장 낮은 농도를 보였으며, S1, S2, G 및 H 권역 순으로 높게 나타났다.

Table 2. The concentrations of total nitrogen components at the study sites (mean ± S.D. (C.V.))
Site TN (mg/L) PON (mg/L) DON (mg/L) NH3-N (mg/L) NO3-N (mg/L)

N G.P 2.240 ± 0.622 (0.28) 0.054 ± 0.077 (1.43) 0.267 ± 0.213 (0.80) 0.032 ± 0.035 (1.09) 1.888 ± 0.551 (0.29)
S.Y. 2.383 ± 0.487 (0.20) 0.051 ± 0.047 (0.92) 0.253 ± 0.147 (0.58) 0.020 ± 0.021 (1.05) 2.060 ± 0.450 (0.22)
I.B. 1.856 ± 0.542 (0.29) 0.056 ± 0.180 (3.21) 0.225 ± 0.123 (0.55) 0.040 ± 0.036 (0.9) 1.535 ± 0.428 (0.28)
J.J. 3.011 ± 1.005 (0.33) 0.069 ± 0.067 (0.97) 0.427 ± 0.594 (1.39) 0.028 ± 0.027 (0.96) 2.486 ± 0.708 (0.28)

S1 G.J. 2.536 ± 0.574 (0.23) 0.053 ± 0.059 (1.11) 0.293 ± 0.156 (0.53) 0.020 ± 0.019 (0.95) 2.170 ± 0.546 (0.25)
O.D. 3.391 ± 0.848 (0.25) 0.082 ± 0.191 (2.33) 0.358 ± 0.240 (0.67) 0.020 ± 0.019 (0.95) 2.931 ± 0.804 (0.27)
J.C. 2.949 ± 0.657 (0.22) 0.065 ± 0.092 (1.42) 0.331 ± 0.236 (0.71) 0.022 ± 0.017 (0.77) 2.531 ± 0.613 (0.24)
P.C. 3.020 ± 0.626 (0.21) 0.072 ± 0.085 (1.18) 0.317 ± 0.176 (0.56) 0.025 ± 0.018 (0.72) 2.606 ± 0.596 (0.23)

S2 C.M. 3.661 ± 1.442 (0.39) 0.151 ± 0.177 (1.17) 0.570 ± 0.265 (0.46) 0.223 ± 0.308 (1.38) 2.716 ± 1.204 (0.44)
Y.H. 4.604 ± 1.727 (0.38) 0.188 ± 0.268 (1.43) 0.643 ± 0.304 (0.47) 0.305 ± 0.334 (1.10) 3.468 ± 1.554 (0.45)
B.H. 6.501 ± 1.925 (0.30) 0.246 ± 0.330 (1.34) 0.834 ± 0.533 (0.64) 1.182 ± 1.157 (0.98) 4.240 ± 1.112 (0.26)

G G.A. 5.024 ± 2.130 (0.42) 0.206 ± 0.193 (0.94) 0.740 ± 0.436 (0.59) 0.575 ± 0.874 (1.52) 3.502 ± 1.328 (0.38)

H W.S. 10.516 ± 4.462 (0.42) 0.537 ± 0.571 (1.06) 1.220 ± 1.031 (0.85) 5.077 ± 5.020 (0.99) 3.682 ± 1.502 (0.41)
J.R 8.808 ± 3.019 (0.34) 0.400 ± 0.461 (1.15) 1.208 ± 0.819 (0.68) 2.293 ± 2.915 (1.27) 4.907 ± 1.877 (0.38)
T.C. 9.453 ± 3.701 (0.39) 0.552 ± 0.556 (1.01) 1.473 ± 0.984 (0.67) 4.120 ± 3.390 (0.82) 3.308 ± 1.022 (0.31)
A.Y. 13.029 ± 5.271 (0.40) 0.689 ± 0.722 (1.05) 1.535 ± 1.241 (0.81) 5.808 ± 5.496 (0.95) 4.996 ± 2.191 (0.44)

[i] S.D. : Standard deviation

[ii] C.V. : Coefficient of variation

질소 형태별 농도의 변이계수(C.V.)는 지점마다 다소 차 이를 보였으나 대체로 PON이 가장 크게 나타나고 있으며, NH3-N, DON 순으로 변동이 큰 것으로 나타났다. 이는 계 절에 따른 조류의 증식·사멸과 강우시 비점오염원으로부터 입자성 유기질소의 생성 및 유출에 의해 다른 존재형태별 질소 성분보다 변동 폭이 크기 때문으로 판단된다.

권역별 질소성분의 구성비를 살펴보면, N 권역이 PON 2.4%, DON 11.9%, NH3-N 1.3%, NO3-N이 84.4%로 97.6% 가 용존태인 DTN으로 이루어져 있었으며, 이중 86.1%가 NO3-N형태로 존재하였다(Fig. 2). S1 권역은 PON 2.3%, DON 11.1%, NH3-N 0.8%, NO3-N이 85.8%로 N 권역과 유사하게 NO3-N > DON > PON > NH3-N 순의 구성비를 나타내었다. S2 권역은 PON 4.9%, DON 15.6%, NH3-N 9.0%, NO3-N이 70.5%, G 권역은 PON 4.8%, DON 15.7%, NH3-N 8.4%, NO3-N이 71.1%로 N, S1 권역보다 상대적으 로 PON 비율이 높았으며, DTN 중에서는 DON과 NH3-N 비율이 높고 NO3-N이 낮아 용존태 구성비에서도 차이를 보였다. 한편 H 권역은 PON 5.0%, DON 13.7%, NH3-N 33.6%, NO3-N이 47.7%로 NH3-N의 비율이 다른 권역에 비 해 높아 인간의 경제활동 등 인위적인 오염원 증가에 따라 이들 성분의 비율도 높아지는 것으로 판단된다. 이로 미루 어 수체 내 질소는 해당 유역의 특성을 반영하며, 농도 및 구성 비율이 다르게 나타날 수 있음을 확인하였다.

Fig. 2. Proportion of total nitrogen from the study sites.
../../Resources/kswe/KSWE.2014.30.5.503/JKSWE-30-503_F2.jpg

질소성 오염물질을 입자성/용존성 기준으로 구분하면, 모 든 권역에서 용존성인 DTN 비율이 95.0~97.7%로 TN의 대부분을 차지하였으며, 이중 수생생물의 먹이원으로 이용 되는 DIN 비율은 79.5~86.6%, DIN중 NO3-N이 차지하는 비율이 58.7~99.1%로 상대적인 비율은 높았으나 유역특성에 따라 그 차이는 크게 나타났다. NO3-N 비율이 상대적으로 큰 이유는 NO3-N이 수용성으로 물에 잘 녹아 토양에서 용 탈이 잘 일어나고, 수체 내 호기성 조건 시 활발한 질산화 작용으로 쉽게 생성될 수 있기 때문이다(Horne and Goldman, 1994; Lee, Park, Lee et al., 2010).

한편, 용존성 질소 오염물질의 공간적 형태별 구성 비율 은 대체로 비도시·산림지역인 N, S1 권역에서 용존성 질소 성분이 높게 나타나고, 도농복합 및 도시 지역인 S2와 H 권역에서 상대적으로 낮아 이들 지역에서는 입자성질소의 영향을 더 크게 받음을 암시한다.

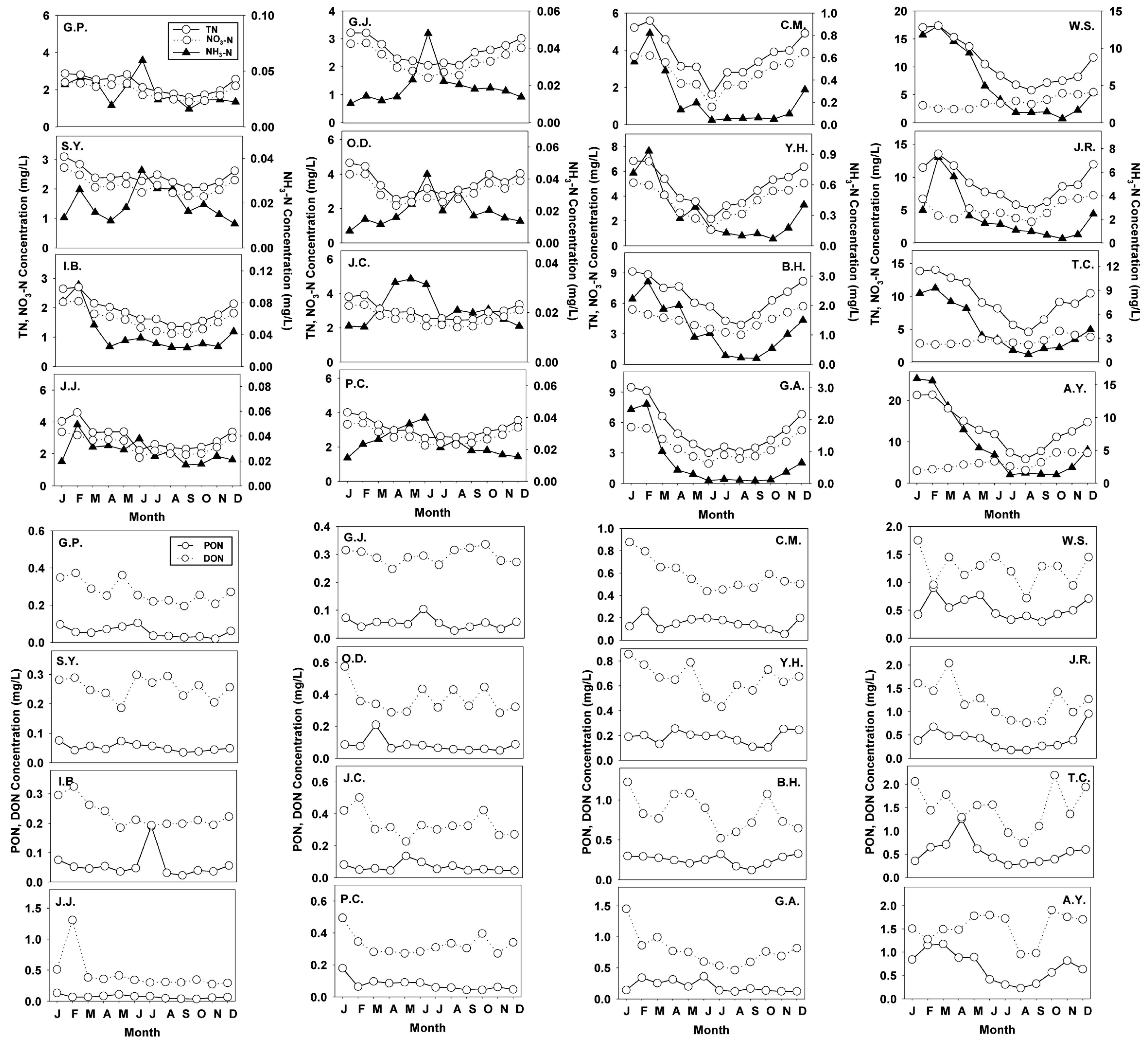
3.3. 존재형태별 질소의 계절별 변동 특성

계절별 질소의 존재형태별 변동 특성을 파악하기 위하여 권역별로 4년간 월별 평균 농도 변화를 분석하였다(Fig. 3). TN은 권역 구분 없이 동절기에 높고 하절기에 낮아지는 ∪ 자 형태의 패턴을 보였다. 다만 계절에 따른 변동 기울기는 N 및 S1 권역에서보다 S2, G 및 H 권역에서 크게 나타나 계절에 따른 변동 폭이 큼을 알 수 있었다. 이는 Lee et al. (2012)가 주거형 하천에서 장마기간 동안 TN이 최소 농도 를 보인 반면, 농지형 및 산림형 하천은 계절 변동이 크지 않다는 연구결과와도 일치하였다.

Fig. 3. Monthly changes of total nitrogen components from the study sites.
../../Resources/kswe/KSWE.2014.30.5.503/JKSWE-30-503_F3.jpg

PON은 권역별로 계절에 따른 뚜렷한 패턴을 보이지는 않았으나 동절기와 강우기에 높아지는 경향을 나타내었으 며, H 권역에서는 대체로 ∪자 형태의 분포 특성을 보였 다. DON도 PON과 마찬가지로 뚜렷한 변동 패턴이 없거나 ∪자 형태의 분포 특성을 나타내었다.

NH3-N은 I.B. 지점을 제외한 N 권역과 S1 권역에서 동절 기에 낮고 하절기에 높아지는 ∩자 형의 패턴을 나타내었으 며, S2, G 및 H 권역에서는 동절기에 높고 하절기로 갈수록 낮아지는 ∪자 형태의 분포특성을 보였다. 특히 H 권역의 A.Y. 지점은 동절기에 NH3-N이 NO3-N보다 최대 5.2배 높 은 농도를 나타내었다. 이러한 원인은 S2, G 및 H 권역은 동절기 하수처리장 등 환경기초시설에서 생물학적 공정의 질산화균 활성 저하 및 하천에서 1차 생산자의 증식률 감소 에 따른 영양염 이용률 저하와 관련이 있는 것으로 판단되 며, 하절기로 갈수록 하천 및 환경기초시설에서의 질산화율 증가 및 조류의 NO3-N보다 NH3-N의 높은 선택성에 의한 이용률 증가에 따른 영향으로 판단된다. 반면 N 및 S1 권역 의 변동 패턴은 질소성 오염물질에 대한 점오염원이 상대적 으로 적어 동절기 유출량이 적고, 하절기 강우시 경작지 등 비점오염원으로부터 입자성 유기질소의 유출속도 증가에 따 른 데 기인한 것으로 판단된다. N 권역인 I.B.지점에서는 ∪ 자형의 패턴을 보여 인접한 유역과는 다른 하류권역에서의 오염원 유출 특성을 나타내었으며, 이는 타 지점에 비해 점 오염원에 의한 영향을 좀 더 받는 것으로 보인다.

한편, Chapman (1992)은 계절적으로 하천에서 NH3-N 농 도는 온도가 낮고 질산화균이 활발하지 않은 겨울철에 높 게 나타나고, 유량이 풍부하고 온도가 높은 하절기에는 질산 화 작용 때문에 낮게 검출되는 경향이 있다고 하였다. 또 한, Chung and Kim (2005)도 금강 수계 하천에서 NH3-N 농도는 겨울철에 온도가 10~12°C 이하로 떨어질 때 급격 히 증가하는 경향이 있다고 보고하였으며, Park and Sohn (2012)의 팔당호 유입하천인 경안천과 남한강 유역의 계절 별 NH3-N 농도변화와도 일치하였다.

NH3-N가 높은 지점에서는 질산화과정을 거치는 동안 소 모되는 산소가 BOD에 영향을 줄 수 있다. Min et al. (2011) 에 따르면 하수처리장의 직하류 지점은 BOD의 19~26%, 일반 하천에서는 BOD의 3%까지 NOD가 차지하고 있다고 보고한 바 있다.

NO3-N은 TN과 같이 권역 구분 없이 ∪자형의 패턴을 나타내었으나, 계절에 따른 변동 기울기는 대체로 S2, G 유역이 N, S1 권역보다 크게 나타났으며, H 권역에서는 완 만한 변동 패턴을 보였다. 이는 NH3-N이 고농도로 존재하 는 H 권역에서는 오염원의 위치가 조사지점 인근에 위치 하여 동절기 낮은 수온에 의한 질산화균의 활성이 낮아져 질산화 반응이 억제됨에 따른 영향으로 판단된다.

3.4. 강우 및 유량에 따른 존재형태별 질소 분포 특성

강우 및 비강우기 TN과 존재형태별 질소의 유출 특성을 알아보기 위하여 NIER(2014)에서 제시한 유효강우 10mm/일을 기준으로 선행강우에 의한 영향을 고려하여 조사일로 부터 선행강우 3일 누적 강수량이 10mm 이상일 경우 강우 기로, 10mm 미만은 비강우기로 구분하여 TN, PON, DON, NH3-N 및 NO3-N의 강우/비강우 비를 구하였다(Fig. 4).

Fig. 4. The ratios of total nitrogen and its components by rainy/dry season.
../../Resources/kswe/KSWE.2014.30.5.503/JKSWE-30-503_F4.jpg

TN과 DON, NO3-N은 조사대상 권역에 상관없이 강우/비 강우 비가 1.0 미만으로 비강우기에 더 높았으며, 두 시기 간 농도 편차는 N 및 S1 권역에서 보다 S2 및 H 권역에서 더 큰 것으로 나타났다.

반면, NH3-N는 N과 S1 권역에서 각각 1.1, 1.3으로 강우 시 높은 농도를 나타내었으나 도·농 복합지역인 S2 권역과 G 및 대도시 지역이 밀집된 H 권역에서는 강우/비강우 비 가 각각 0.7, 0.5, 0.6으로 비강우시에 높은 것으로 나타났 다. 이는 N 및 S1 권역의 경우 점오염원이 적기 때문에 비 강우기에는 대부분의 질소성 오염물질이 토양층을 장기간 거치면서 제거되거나 질산화되어 기저유출을 통해 하천으 로 유입되는 반면, 강우기에는 지표면 유출량 증가로 토양 표층에 있는 유기성 질소 및 암모니아성 질소 형태의 오염 물질 또한 함께 단기간에 유출됨에 따른 영향으로 판단된 다. S2 및 H 권역은 비강우시 다수의 점오염원과 하수처리 장 방류수로부터 암모니아성 질소가 직접 유입되고, 강우시 에는 강우에 의한 희석효과가 점오염원에 의한 영향보다 더 크게 작용하는 것으로 보인다.

PON은 S1 권역에서 1.3, S2 권역 1.1로 강우기에 더 높 은 농도를 나타내었으나, N 권역은 0.9로 비강우기에 더 높게 나타났다. 이는 조사지점 중 I.B.지점이 3.3절에서 언 급한 바와 같이 점오염원 영향을 더 크게 받음에 따른 영 향으로 이를 제외하면 평균 1.0 수준으로 강우 유무에 따 른 유출 특성은 미미한 수준으로 판단된다.

유황시기에 따른 TN과 존재형태별 질소 농도 분포를 파악 하기 위하여 비초과 유량에 의한 TN 및 존재형태별 질소 농 도 분포 특성을 분석하였다. 비초과 유량백분율은 측정된 유량 자료를 가장 큰 값에서 작은 값 순으로 정렬하여 각 유량값 에 대하여 이 값을 초과하는 일수를 백분율로 계산한 것이다.

국토교통부에서는 연중 95일, 185일, 275일, 355일을 초 과하지 않는 유량을 각각 풍수량, 평수량, 저수량, 갈수량 으로 정의하고 있다. 또한 유량지속곡선 관련 연구에서 일 반적으로 수문학적 상태를 홍수량(High flows, 0~10%) 구간, 풍수량(Moist conditions, 10-40%) 구간, 평수량(Mid-Range conditions, 40~60%) 구간, 저수량(Dry conditions, 60~90%) 구간, 갈수량(Low flows, 90~100%) 구간으로 분류한다. 이 를 반영하여 유량지속곡선에 측정값의 분포를 나타내고, 각 구간에 대한 존재형태별 질소 평균값을 토대로 권역별 경 향을 분석한 결과를 Fig. 5~6에 도시하였다.

Fig. 5. Total nitrogen component concentrations plotted against flow duration interval at N and S1.
../../Resources/kswe/KSWE.2014.30.5.503/JKSWE-30-503_F5.jpg
Fig. 6. Total nitrogen component concentrations plotted against flow duration interval at S2, G and H.
../../Resources/kswe/KSWE.2014.30.5.503/JKSWE-30-503_F6.jpg

PON 농도는 N 및 S1 권역 등 상대적으로 낮은 오염지 역에서는 대체로 유황 시기별로 뚜렷한 경향을 보이지 않 거나 홍수기에서 갈수기로 갈수록 낮아지는 경향을 나타내 었고, G, S2 및 H 권역 등 높은 오염지역은 갈수기로 갈수 록 높아지는 경향을 보여 권역별로 PON의 유출기원이 서 로 다름을 알 수 있었다.

반면 DON, NO3-N은 S.Y., O.D., C.M. 지점 등 일부 지 점에서는 갈수기로 갈수록 낮아지는 경향을 보여주었으나 대체로 용존 형태의 특성을 반영하여 희석 영향이 큰 홍수 기보다는 갈수기로 갈수록 높아지는 경향을 나타내었다. 이 는 Lee, Park, Im et al. (2010)의 연구에서 밝힌 바와 같이 횡성호 유입하천에서의 하천유량과 NO3-N과는 음의 상관 성을 나타낸 것과 유사한 결과를 보였다.

NH3-N도 대체로 홍수기보다 갈수기로 갈수록 높아지는 경향을 보였으나 S1 권역에서는 오히려 홍수기에 높아지는 경향을 보였다. 이와 같은 원인은 S1 권역에서 비점오염원 의 주요 요인으로 지목되는 고랭지 경작의 성행과 관련이 있을 것으로 판단된다.

3.5. 상관성분석

TN의 변동에 영향을 미치는 존재형태별 인자를 파악하기 위하여 각 조사지점의 TN과 주요 구성성분인 PON, DON, NH3-N 및 NO3-N과의 상관성 분석을 수행하였다(Table 3). N 및 S1 권역에서의 TN은 NO3-N과는 상관계수 r=0.80 (p<0.01) ~ 0.96(p<0.01)의 강한 양(+)의 상관관계를 나타내 었으나, NH3-N 및 PON과는 뚜렷한 상관성을 보이지 않았 다. TN과 DON과의 상관성은 N 권역에서 r=0.34(p<0.01) ~ 0.71(p<0.01)를 보인 반면, S1 권역에서는 상관성이 높지 않 아 DON에 있어서는 권역 간 다소 차이를 나타내었다. 이 로 미루어 두 권역에서의 TN 변동특성은 대체로 NO3-N에 의해 결정되는 것으로 판단된다. G 및 S2 권역에서 TN은 NO3-N과는 상관계수 r=0.73(p<0.01) ~ 0.94(p<0.01), NH3-N 과는 상관계수 r=0.44(p<0.01) ~ 0.84(p<0.01)로 NO3-N과의 상관성이 높지만 NH3-N과도 유의미한 결과를 나타내어 두 성분이 복합적으로 작용하는 것으로 판단된다. TN과 PON 과는 상관성이 거의 없었으며 DON과도 낮은 상관성을 보 였다. H 권역은 북한강, 남한강 상류 권역과는 반대로 TN 이 NH3-N과는 상관계수 r=0.74(p<0.01) ~ 0.94(p<0.01)의 높 은 상관성을 보였으나, NO3-N 및 DON과는 뚜렷한 상관관 계를 보이지 않았으며, PON과도 약한 상관성을 보여 TN 변동은 NH3-N에 의해 결정되는 것으로 나타났다.

Table 3. Correlation analysis with nitrogen components against total nitrogen
n PON DON NH3-N NO3-N

G.P 180 .254** .432** .153* .916**
S.Y. 181 .108 .339** .079 .955**
I.B. 180 .377** .520** .536** .914**
J.J. 180 .209** .706** .118 .803**

G.J. 181 .118 .329** -.196** .952**
O.D. 181 .170* .275** .017 .932**
J.C. 181 .136 .326** -.005 .927**
P.C. 181 .230** .221** -.101 .955**

C.M. 181 .041 .466** .582** .940**
Y.H. 177 .044 .343** .435** .944**
B.H. 181 .220** .255** .779** .733**

G.A. 193 .080 .443** .842** .892**

W.S. 180 .404** .254** .937** -.491**
J.R 180 .399** .421** .738** .181*
T.C. 180 .470** .436** .906** -.058
A.Y. 180 .532** .182* .880** -.082

* p-value < 0.05

** p-value < 0.01

이와 같은 결과로부터 TN의 농도 변화에 영향을 주는 질소성분은 유역특성에 따라 상이하게 나타날 수 있음을 보여준다.

TN과 그 존재형태별 질소의 유출이 유역특성에 따라 다 르게 나타나는 원인을 규명하고자, 16개 조사지점 해당 유 역별 2012년 토지지목 현황을 총량관리 지목형태인 전, 답, 임야, 대지, 기타로 재분류하여 존재형태별 질소와의 상관 관계를 비교 분석하였다(Table 4). 그 결과 토지 지목분류 와 TN, NH3-N, NO3-N, PON, DON과의 상관성은 대지면 적과는 각각 r=0.91, 0.84, 0.88, 0.91, 0.95 (p<0.01), 논 면 적과는 각각 r=0.67, 0.74, 0.70, 0.71, 0.69 (p<0.01)으로 강 한 양의 상관관계를 나타내었으며, 산림면적과는 각각 r=-0.78, -0.75, -0.78, -0.80, -0.82 (p<0.01)로 모든 질소 형 태와 강한 음(-)의 상관관계를 나타내었다. 즉, 대지 면적이 증가할수록 질소 유출이 밀접하게 증가하며, 논 면적과도 질소 형태별 상관성이 크게 나타났다. 한편 밭 면적은 다 른 토지이용에 비해 통계적으로 유의미한 결과가 나타나지 않았는데, 이러한 원인은 밭의 경우 지역에 따라 토성, 재 배작물, 재배방법, 경작지의 경사도와 경사장, 비료와 퇴비 의 사용량, 강수량 등이 다양하므로 밭에서 배출되는 질소 화합물의 배출경로 및 배출량은 시간과 지역에 따라 매우 큰 편차를 보이기 때문으로 판단된다(Gale et al., 1993). 한 편 대지 면적과는 DON, 논 면적과는 NH3-N과의 상관관계 가 상대적으로 높게 나타났다.

Table 4. Correlation analysis between total nitrogen components and land use
n=16 upland paddy forest site other

TN .438 .665** -.779** .906** .747**
PON .412 .706** -.797** .912** .776**
DON .394 .694** -.815** .947** .800**
NH3-N .263 .735** -.749** .835** .752**
NO3-N .576* .703** -.779** .876** .682**

Dry season TN .462 .674** -.774** .903** .732**
PON .388 .697** -.806** .915** .797**
DON .394 .694** -.815** .947** .800**
NH3-N .238 .724** -.715** .803** .715**
NO3-N .438 .656** -.806** .888** .768**
Rainy season TN .485 .682** -.791** .897** .747**
PON .450 .712** -.771** .862** .738**
DON .409 .697** -.812** .924** .791**
NH3-N .288 .741** -.726** .824** .726**
NO3-N .418 .650** -.782** .894** .738**

* p-value < 0.05

** p-value < 0.01

토지이용과 존재형태별 질소 간 상관성을 유출 특성이 다른 강우/비강우기로 구분하여 분석한 결과, 강우/비강우 기 구분에 따른 상관성의 차이는 보이지 않았다. 이로 미 루어 토지이용별 질소 유출특성에 미치는 영향은 서로 다 르게 나타났지만 강우/비강우 시기와 토지이용과는 별다른 상관성을 보이지 않는 것으로 판단된다.

4. Conclusion

TN을 존재형태별로 구분하여 계절별, 강우/비강우별 유 황 시기별로 그 분포 특성을 시공간적으로 파악하고, 이러 한 유출 특성을 결정하는 유역인자 중 토지이용현황과의 관련성을 평가한 결과 다음과 같은 결론을 도출하였다.

  1. 조사대상 지점별 TN 농도분포는 2.240 ~ 13.029 mg/L, PON은 0.051 ~ 0.689 mg/L, DON은 0.225 ~ 1.535 mg/L, NH3-N은 0.020 ~ 5.808 mg/L, NO3-N은 1.535 ~ 4.996 mg/L 의 범위로 권역별로 큰 차이를 보였다.

  2. 질소성분의 구성비는 DTN 비율이 95 ~ 97.7%, 이중 DON 과 NH3-N은 대지 면적비가 높은 유역에서 상대적으로 높았다. 수생생물의 먹이원으로 이용되는 DIN 비율은 79.5 ~ 86.6%, 이중 NO3-N가 58.7 ~ 99.1%로 상대적인 비율은 높았으나 유역에 따라 그 차이는 크게 나타났다.

  3. 계절별 질소 존재형태별 변동특성은 TN과 NO3-N은 권 역과 상관없이 동절기에 높고 하절기에 낮아지는 ∪자 형태의 패턴을, NH3-N은 I.B.지점을 제외한 N 및 S1 권 역에서 ∩자 형 패턴을 보인 반면 S2, G 및 H 권역에 서는 ∪자 형태의 분포특성을 보였다.

  4. NH3-N의 계절적 변동은 동절기에는 환경기초시설에서 생물학적 공정에서의 질산화균 활성 저하와 하천에서 1 차 생산자의 증식률 감소에 따른 영양염 이용률 저하와 관련이 있다. 하절기에는 질산화율 증가와 조류의 NO3-N 보다 NH3-N의 높은 선택성에 의한 이용률 증가에 따른 영향에 기인한다. 반면 점오염원이 상대적으로 적은 유 역에서는 동절기 유출량이 적고, 하절기 강우시 경작지 등 비점오염원으로부터 입자성 유기 질소의 유출 속도 증가에 따른 데 기인한 것으로 판단된다.

  5. 강우 및 비강우에 의한 TN과 존재형태별 질소의 유출 특성은 TN, NO3-N 및 DON은 조사대상권역에 상관없 이 강우/비강우 비가 1.0 미만이었고, NH3-N의 경우 N 및 S1 권역에서는 1.0이상, S2, G 및 H 권역에서는 1.0 미만으로 NH3-N은 유역 특성에 따라 그 유출 양상이 다르게 나타났다.

  6. TN 변동에 영향을 미치는 존재형태별 인자는 N 및 S1 권역의 경우 NO3-N, G 및 S2 권역은 NO3-N와 NH3-N의 복합 작용에 의해, H 권역은 NH3-N에 의해 결정되었 다.

  7. 토지이용과 존재형태별 질소와의 유출과의 상관성 분석 에서는 존재형태별 질소에 상관없이 대지 > 논 면적 순 으로 상관성이 높았으며, 산림면적과는 모두 강한 음의 상관성을 나타내었다. 한편 강우/비강우 구분에 따른 상 관성은 차이를 보이지 않았다.

References

1 
Chapman D., 1992, Water Quality Assessments. A Guide to the Use of Biota, Sediments and Water in Environmental Monitoring, Chapman & Hall
2 
Chung J.B., Kim M.K., Kim B.J., Park W.C., 1999, Nitrogen, Phosphorus, and Organic Carbon Discharges in the Imgo Small Agricultural Watershed Catchment, [Korean Literature], Korean Journal of Environmental Agriculture, Vol. 18, No. 1, pp. 70-76Google Search
3 
Chung S.W., 2003, Development of Multiple Regression Models for the Prediction of Daily Ammonia Nitrogen Concentrations, [Korean Literature], Journal of Korea Water Resources Association, Vol. 36, No. 6, pp. 1047-1058Google Search
4 
Chung S.W., Kim Y.K., 2005, Impact of a Flushing Discharge from an Upstream Dam on the NH3-N Concentrations during Winter Season in Geum River, [Korean Literature], Journal of Korean Society on Water Environment, Vol. 21, No. 6, pp. 609-616Google Search
5 
Duncan C., Li H., Dykhuizen R., Frazer R., Johnston P., Macknight G., Smith L., Lamza K., Mckenzie H., Batt L., Kelly D., Golden M., Benjamin N., Leifert C., 1997, Protection Against Oral and Gastrointestinal Diseases: Importance of Dietary Nitrate Intake, Oral Nitrate Reduction and Enterosalivary Nitrate Circulation, Comparative Biochemistry Physiology, Vol. 118A, No. 4, pp. 939-948Google Search
6 
Gale J. A., Line D. E., Osmond D. L., Coffey S. W., Spooner J., Arnold J. A., Hoban T. J., Wimberley R. C., 1993, Evaluation of the Experimental Rural Clean Water Program, National Water Quality Evaluation Project, EPA-841-R-93-005Google Search
7 
Horne A.J., Goldman C.R., 1994, Limnology, McGraw-Hill, Inc.
8 
Lee J.E., Choi J.W., An K.G., 2012, Influence of Landuse Pattern and Seasonal Precipitation on the Long-term Physico-chemical Water Quality in Namhan River Watershed, [Korean Literature], Journal of the Environmental Sciences, Vol. 21, No. 9, pp. 1115-1129Google Search
9 
Lee J.H., Park H.K., Im J.H., Choi M.J., 2010, [Korean Literature], Relationship between the Amount of Inflow water and the Concentrations of Nitrogen and Phosphorus from Upper River of Lake Hoengseong during the Rainy Period, Korean Society on Water Environment and Korean Society of Water and Wastewater, pp. 181-182
10 
Lee J.H., Park H.K., Lee K., Kim E.M., 2010, The Nitrogen Behavior and Budget in Lake Paldang, [Korean Literature], Journal of Korean Society on Water Environment, Vol. 26, No. 1, pp. 71-80Google Search
11 
Min K.W., Jeong W.S., Lee D.H., Seo G.Y., Kim S.H., Paik K.J., Mun Y.W., 2011, Contribution of NOD to BOD of Effluent from Biological Sewage treatment Plant, [Korean Literature], Journal of Korean Society on Environmental Analysis, Vol. 14, No. 1, pp. 12-19Google Search
12 
National Institute of Environmental Research (NIER), 2014, [Korean Literature], Technical Guidelines of the Total Amount of Water Pollution Management, National Institute of Environmental Research, pp. 1-102
13 
Park J.H., Sohn S.M., 2012, [Korean Literature], Distribution of the Nitrogen Fraction and Contribution of the Nitrogen Loads Rate in the Inflows of Lake Paldang, Korean Society on Water Environment and Korean Society of Water and Wastewater, pp. 708-709
14 
Wetzel R.G., 1983, Limnology, Saunders college publishing
15 
Xia X.H., Yang Z.F., Huang G.H., Zhang X.Q., Yu H., Rong X., 2004, Nitrification in natural waters with high suspended-solid content-A study for the Yellow River, Chemosphere, Vol. 57, pp. 1017-1029Google Search