유재정
(Jae Jeong Yu)
†
이혜진
(Hae Jin Lee)
이경락
(Kyung-Lak Lee)
이인정
(In Jeong Lee)
정강영
(Gang Young Jung)
천세억
(Se Uk Cheon)
-
국립환경과학원 낙동강물환경연구소
(Nakdong River Water Environmental Research Center, National Institute of Environmental
Research)
© Korean Society on Water Environment. All rights reserved.
Key words
Algae community, Cyanobacterial bloom, Environment factors, Eutrophic, Nakdong River, Water environment
1. Introduction
전 지구적으로 담수의 부영양화는 가장 심각한 생태문제 중의 하나이다(Nixon, 1995; Smith, 2003). 특히 유해조류 의 대량증식 현상은 발생빈도 및 강도가 높아지고 있어 가 장 큰 문제가 되고 있다(Smayda, 1997). 천이(succession)는 일반적으로 고정적이지만 계절과 시기의 변화에 따라 변할 뿐만 아니라 지역의 지형적 환경변화와 수환경에 따라서도 변한다.
낙동강에는 2012년에 8개의 보가 설치되었으며 이 로 인하여 유속의 감소와 하절기 성층화 현상으로 인한 조 류발생과 수질악화에 대한 우려가 높다.
수온, 햇빛, 영양 염(nutrient), 수체의 안정성 등은 조류의 대량증식에 특히 중요한 인자이다(Shitao, 2012; Xiaofeng et. al., 2013). 수온 의 변화는 수체의 수직이동에도 영향을 주어 초봄의 수온 상승은 하상 표면에 남아 있는 조류 종자(seed)가 수면으로 부상하게 하며, 수체에
유입된 조류들은 수온에 적응하며 경쟁을 시작하게 된다(Yuhong et al., 2013). 지표수의 pH 는 조류 개체의 성장에 강력한 영향을 줄 수 있는 환경인 자이다(Agrawal and Singh, 2000). 남조류는 약알칼리 환경 (pH 7.7~9.4)을 좋아하며(Wicks and Thief, 1990) 약산성 조건 에서는 남조류의 성장이 억제되지만 자연수는 약 알 칼리를 띠고 있다. 조류의 여름철 대량증식은 이른 봄에 수 체에 조류 종자의 유입(recruitment)이
선행되는데 Yuhong et al. (2013)은 조류 발생 시작시기의 조류성장 메카니즘을 이해하는 것이 중요하며 조류억제 대책은 이 시기에 집중 하는 것이 억제대책에 유리하다고 하였다.
중·상류에 대형 공단과 도시 등 오염원이 산재해 있는 낙 동강은 높은 수질오염과 부영양화의 잠재력을 가진다. 따라 서 낙동강의 조류의 종 구성 및
개체밀도 변화는 시·공간 적인 수질환경의 변화와 밀접한 관계를 가진다. Joung et al. (2013)은 물금지점의 연구에서 겨울 및 봄철에 저 수온 의 생태적 특성을 가지는 Stephanodiscus가 높은 생물량과 우점율을 보이고 있다고 하였다.
Chung et al. (2001)은 낙 동강 중·하류의 식물플랑크톤 군집구조 연구에서 규조류와 녹조류가 전체 구성종의 84.2%를 차지하였으며, 현존량은 79 cells ml-1에서 33,023 79 cells ml-1이었다고 하였고 주요 종은 Stephanodiscus hantzschii, Cycolotella meneghiniana, Synedra acus, Aulacoseira granulata var. angustissima 등 규조류 4종을 제시하였다. Jeong et al. (2007)은 낙동강 하 류에서 Microcystis aeruginosa 와 Stephanodiscus hantzschii 2개 종에 대해 1993년부터 2001년까지 유량조정에 따른 조류밀도의 계절성 연구결과를 통해 유량이 적고 고수온기 에는 높은 밀도의 Microcystis aeruginosa 가 출현하였다고 보고하였다. 이와 같이 낙동강의 조류군집 연구는 대부분 하류지역에 집중되어 있고, 중·상류를 포함한 낙동강 살리 기 사업(Jun and Kim, 2011) 이후의 조류군집 연구는 거의 없는 실정이다. 조류의 관리에 있어서 수화(Water blooms) 의 시작과 규모 및 환경요인과의 상관성을 파악하는
것은 매우 중요하다. 본 연구에서는 낙동강의 구미보와 합천창녕 보까지의 5개 보에 대해 2010년 5월부터 2013년 12월까지 4년동안의 기상,
수리·수문, 수질 및 조류분포 조사 등 측 정자료를 이용하여 보의 환경요인 변화가 조류의 종 조성 및 군집의 변화에 어떠한 영향을 미치고 있는지 그
상관성을 알아보고자 했다. 환경요인으로서는 유기물질 지표와 pH, 전기전도도, 탁도, 용존산소(dissolved oxygen, DO), 부유물 질(suspended
solid, SS) 등을 주요 분석대상으로 했다.
2. Materials and Methods
2.1. 대상유역의 현황 및 조사지점
낙동강은 유역면적이 23,717 km2로서 남한에서 두 번째 로 넓으며, 중·하류 지역에는 취수원이 밀집되어 있고 대 구, 구미 등 대형도시와 중·화학공단 등 오염원이 산재해 있다. 2011년에는
낙동강 살리기사업 추진으로 8개의 보가 설치되었다(Jun and Kim, 2011). 이번 연구대상 지점은 GM (구미보), CG(칠곡보), GG(강정고령보), DS(달성보), HC(합 천창녕보) 등 5개 지점이다(Fig. 1). 조사대상 구간길이는 120.0 km 이며, 보별 평균수심은 7.5 ~ 9.3 m 의 범위이며, 저수용량은 55.4 ~ 107.7 × 106m3이다(Table 1). 구미보 상류 에는 낙단보와 상주보가 있으며 합천창녕도 하류에는 창녕 함안보가 있다. 구미시의 하수와 폐수는 칠곡보 상류 8.7 km 지점에서
유입되며 대구광역시의 하수와 폐수는 금호 강을 통하여 달성보 상류 16.2 km지점에 유입된다. 이번 연구의 현장조사 위치는 보 상류 2 km 지점이다.
조사시기 는 2010년 5월부터 2013년 12월까지이며, 월 2회 조사를 실시하였다.
Fig. 1. Sampling sites in the Nakdong River.
Table 1. General situations of five weirs*constructed in the Nakdong River
|
Weir
|
Length (km)
|
Ave. Depth (m)
|
Ave. width of channel (m)
|
Capacity of storage (106m3)
|
|
Gumi
|
18.1
|
7.5
|
500
|
55.4
|
|
Chilgok
|
27.3
|
7.9
|
500
|
93.6
|
|
Gangjeonggoreung
|
25.2
|
9.3
|
560
|
107.7
|
|
Dalsung
|
20.4
|
8.9
|
470
|
56.0
|
|
Habchenchangneung
|
29.0
|
8.9
|
340
|
66.6
|
2.2. 물리·화학적 조사 및 조류조사
수질항목 중 수온, pH, 전기전도도(conductivity), DO(dissolved oxygen), 탁도(turbidity) 등은 시료 채수시
현장에서 측정하 였으며(YSI, 556 MPS), 일일 평균 수온은 보별로 설치된 8 개 수질자동측정소의 실시간 측정자료를 활용하였다. 시료 는 하천의
횡단면을 기준으로 중앙의 수심 0.5m 지점에서 Ruttner water sampler(Hydrobios, Germany, 1000mL)를 이 용하여
4 L 채수 하였다. 채수된 시료는 냉온 보관하여 실 험실까지 운반되었다. 식물성플랑크톤 분석을 위한 시료는 Lugol's solution으로 현장에서
고정하고 실험실로 옮겨 48 시간 이상 침강시킨 후 상등액을 제거하고 5배 이상 농축 하여 사용하였다. 동물플랑크톤을 위한 시료는 5 L 채취하 여
망목 64 μm 플랑크톤 sieve를 이용하여 100 ml로 농축하 였으며 5% sucrose-formalin solution (Haney and
Hall, 1972) 로 즉시 고정한 후 실험실로 운반하였다. BOD5 (생물화학적 산소요구량), CODMn (화학적산소요구량), SS (부유입자), Chl-a (클로로필 a), TN (총질소), TP (총인), NO3-N (질산성질소), NH3-N (암모니아성질소) 및 PO4-P (ortho-phosphate) 등은 수 질공정시험방법(MOE, 2008)에 따라 분석하였다. 식물성플 랑크톤 조사는 광학현미경(M1, Carl Zeiss)을 이용하여 200 배~400배로 검경하였다. 각 분류군은 종별로
동정한 후 세 포수를 계수하고 생물의 현존량(biomass)은 단위부피(mL) 당 세포수로 산출하였다. 식물플랑크톤의 종 동정은 한국담 수조류도감(Jeong, 1993)에 따라 실시하였다. 동물플랑크톤 분석은 SMZ-U(Carl Zeiss)와 M1(Carl Zeiss)으로 10~100배 율로 동정하였다.
기상현황은 조사지점과 인접한 5개 기상관측소(상주, 구 미, 대구, 합천, 부산)의 평균기온과 강수량 등의 자료를 활 용하였으며 적산일사량은 대구기상대
및 부산지방기상청 관측자료를 이용하였다. 보 구간의 수리·수문 현황조사는 국가 수자원관리 종합정보 홈페이지(http://www.wamis.go.kr) 자료를 활용하였다. 수질 및 조류의 분석시료는 상류부터 하류로 이동하며 2주마다 1회씩(매월 2회) 오전 10시부터 오후 3시경에 채취하였으며
지점별 채수시간은 거의 일정 한 시간에 이루어졌다.
2.3. 통계분석
자료의 변수의 비교는 정규분포의 경우는 one-way analysis of variance(ANOVA)으로 수행했으며, 그렇지 않은 경우는 Kruskal-Wallis
ANOVA를 이용해 수행되었다(SIGMASTAT, version 12). 환경인자와 식물성플랑크톤 개체 및 현존량과의 상호 관계는 Pearson correlation을
이용하여 평가하였다.
3. Results and Discussion
3.1. 기상 및 수질변화
담수에서 조류의 성장은 기상과 수체의 물리·화학적 요인 의 영향을 받는다. 조사기간 동안 낙동강 수계의 월평균 기 온과 강수량은 Fig. 2와 같다. 월평균 기온은 2011년 1월에 -4.0°C로서 가장 낮았고 2013년 8월에 27.7°C로서 계절별 변동성이 뚜렷했다. 그러나 Kruskal-Wallis
One Way ANOVA 에 의한 차이검정 결과 지점별 수온의 차이는 유의성이 없 었다. 조사기간 중 기온이 높았던 시기의 일일 평균기온과 평균수온
사이의 상관성을 알아보기 GG 지점의 2013년 6 월부터 9월까지의 변화를 나타내었다(Fig. 3) 수온은 강정고 령보에 위치한 성주 수질자동측정소에서 실시간 측정한 자 료이며 기온은 대구지역의 일일평균 기온이다. 수온과 기온 자료의 Pearson
상관계수는 0.71(p<0.01, n=123)로서 상관성 이 높았다. 4개월 간의 평균기온은 26.3°C, 평균수온은 27.4°C로서 수온이 1.1°C
높았으나 월별로는 6월, 8월 및 9 월은 평균수온이 각각 0.5, 1.4 및 3.4°C 높게 나타나고 7월 의 평균수온은 0.8°C 더 낮게 나타나고
있어 기온이 상승하 는 시기에는 수온보다 기온이 높은 경향이 있으나 기온이 하강하는 시기에는 수온이 기온보다 높은 경향이 있는 것으 로 판단이 되었다.
월강우량은 0.8 ~ 380.7 mm의 분포를 보 였고 연간 총 강우량은 2013년도에 1,049.2 mm로서 가장 낮았고 2012년도의 총 강우량은
1,520.2 mm로서 가장 높게 나타났다(Fig. 2).
Fig. 2. Monthly variation of atmospheric temperature and precipitation in the Nakdong River, 2010~2013.
Fig. 3. Daily variations of atmospheric temperature and water temperature from June to September 2013 in GG site, Nakdong River.
5개 조사지점에 대한 평균 수질현황은 Table 2, 수질요인 상호간의 Pearson 상관계수는 Table 3과 같다. 남조류는 약 알칼리 환경을 좋아하나 이번 조사에서 pH의 최소값이 6.8 ~ 7.4의 범위를 보여주고 있었다. Chl.a 와 양의 상관성이
유 의하게 나타난 것은 수온, pH, 전기전도도, DO, BOD, COD 등과 TN, TP 등 영양염이었으며 Chl.a 농도가 탁도 및 SS 와는
상관성이 유의하지 않았다(Table 3). Chl.a 농도는 수 온보다 pH 및 CODMn농도와의 상관성이 더 높게 나타나 pH와 CODMn 농도가 높아질 때 Chl.a 농도의 상승이 예상 되었다. 전기전도도는 영양염류와 양의 상관성이 매우 높게 나타났으며 Chl.a 와도 양의 상관성이
높게 나타났다. 탁도 도 영양염류와 대부분 양의 상관성을 나타냈으며 CODMn과 도 상관성이 매우 높게 나타났다. 탁도와 상관계수가 0.99 로 매우 높았던 SS 농도는 CODMn보다 BOD5와의 상관성 이 높게 나타났다. TP 및 CODMn는 SS 및 탁도와 상관성 이 높았으며 Chl.a는 이들과 상관성이 유의하지 않았음을 고려할 때 강우유출수가 TP 및 CODMn 농도에 영향을 크 게 미치는 것으로 추정이 된다. TN 농도변화도 SS 및 탁 도 농도와 상관성이 유의하게 나타났으나 TP와의 상관성 만큼은 높지
않았다.
Table 2. Variations of average water quality concentrations each study sites from May 2010 to December 2013 (n=87)
|
Site
|
|
W.T
|
pH
|
Cond.
|
Turb.
|
DO
|
SS
|
BOD5 |
|
|
°C
|
|
µS
|
NTU
|
mg l-1 |
mg l-1 |
mg l-1 |
|
|
GM
|
mean
|
15.8
|
8.2
|
23.8
|
23.8
|
11.1
|
28.0
|
1.9
|
|
|
min.
|
0.6
|
7.3
|
347
|
2.3
|
7.7
|
1.8
|
0.3
|
|
|
max.
|
31.9
|
9.5
|
2.3
|
347.0
|
17.1
|
372.0
|
8.1
|
|
CG
|
mean
|
16.6
|
8.2
|
28.7
|
28.7
|
10.9
|
32.5
|
1.9
|
|
|
min.
|
1.0
|
7.4
|
2.1
|
2.1
|
6.7
|
2.5
|
0.3
|
|
|
max.
|
31.6
|
9.6
|
400
|
400.0
|
16.2
|
406.0
|
6.0
|
|
GG
|
mean
|
17.3
|
8.2
|
31.6
|
31.6
|
10.8
|
34.6
|
2.1
|
|
|
min.
|
1.5
|
6.8
|
2.8
|
2.8
|
3.2
|
4.1
|
0.4
|
|
|
max.
|
34.3
|
9.6
|
535
|
535.0
|
188.8
|
552.0
|
8.1
|
|
DS
|
mean
|
16.4
|
8.2
|
27.0
|
27.0
|
11.1
|
30.8
|
2.4
|
|
|
min.
|
1.2
|
7.0
|
4.0
|
4.0
|
7.4
|
4.9
|
1.1
|
|
|
max.
|
31.8
|
9.6
|
236
|
236.0
|
19.8
|
231.0
|
6.4
|
|
HC
|
mean
|
16.8
|
8.2
|
32.6
|
32.6
|
10.7
|
37.1
|
2.3
|
|
|
min.
|
0.6
|
7.0
|
3.6
|
3.6
|
6.4
|
5.0
|
1.1
|
|
|
max.
|
32.7
|
9.7
|
380
|
380.0
|
18.9
|
399.0
|
5.2
|
|
|
|
|
CODMn |
TN
|
NH3-N
|
NO3-N
|
TP
|
PO4-P
|
Chl.a
|
|
|
|
mg l-1 |
mg l-1 |
mg l-1 |
mg l-1 |
mg l-1 |
mg l-1 |
mg m-3 |
|
|
GM
|
mean
|
5.3
|
2.345
|
0.051
|
2.105
|
0.065
|
0.015
|
16.2
|
|
|
min.
|
2.6
|
1.397
|
0.000
|
0.696
|
0.020
|
0.000
|
0.7
|
|
|
max.
|
16.3
|
3.718
|
0.216
|
3.060
|
0.324
|
0.074
|
76.9
|
|
CG
|
mean
|
5.6
|
2.734
|
0.088
|
2.306
|
0.100
|
0.039
|
19.3
|
|
|
min.
|
3.1
|
1.566
|
0.000
|
1.060
|
0.025
|
0.000
|
0.9
|
|
|
max.
|
15.3
|
4.628
|
0.502
|
4.119
|
0.349
|
0.127
|
106.5
|
|
GG
|
mean
|
6.0
|
2.634
|
0.080
|
2.166
|
0.098
|
0.031
|
23.3
|
|
|
min.
|
2.9
|
1.611
|
0.012
|
0.784
|
0.030
|
0.000
|
2.6
|
|
|
max.
|
18.4
|
4.067
|
0.294
|
3.792
|
0.373
|
0.094
|
119.6
|
|
DS
|
mean
|
6.6
|
3.592
|
0.103
|
2.978
|
0.147
|
0.066
|
31.0
|
|
|
min.
|
4.4
|
1.740
|
0.007
|
1.160
|
0.039
|
0.001
|
3.6
|
|
|
max.
|
11.4
|
6.375
|
0.414
|
5.300
|
0.334
|
0.230
|
121.3
|
|
HC
|
mean
|
6.3
|
3.216
|
0.086
|
2.650
|
0.126
|
0.048
|
27.1
|
|
|
min.
|
3.0
|
1.617
|
0.003
|
0.907
|
0.035
|
0.001
|
4.9
|
|
|
max.
|
13.9
|
6.552
|
0.409
|
5.248
|
0.335
|
0.145
|
127.7
|
Table 3. Pearson correlation coefficients between the listed parameters in the Nakdong River
|
|
pH
|
Cond
|
Turb
|
DO
|
SS
|
BOD5 |
COD
|
TN
|
NH3-N
|
NO3-N
|
TP
|
PO4-P
|
Chl.a
|
|
|
Temp
|
0.27** |
-0.45** |
0.03
|
-0.75** |
0.03
|
0.24** |
0.28** |
-0.58** |
-0.23** |
-0.66** |
0.03
|
-0.11* |
0.13** |
|
pH
|
1
|
0.00
|
-0.33** |
0.16** |
-0.31** |
0.48** |
0.14** |
-0.23** |
-0.29** |
-0.29** |
-0.26** |
-0.38** |
0.55** |
|
Cond
|
|
1
|
-0.13** |
0.39** |
-0.13** |
0.04
|
0.00
|
0.76** |
0.39** |
0.67** |
0.28** |
0.38** |
0.24** |
|
Turb
|
|
|
1
|
-0.21** |
0.99** |
0.07
|
0.61** |
0.14** |
0.08
|
0.12* |
0.62** |
0.23** |
-0.06
|
|
DO
|
|
|
|
1
|
-0.20** |
0.13** |
-0.13** |
0.44** |
-0.00
|
0.48** |
-0.09
|
-0.02
|
0.27** |
|
SS
|
|
|
|
|
1
|
0.62** |
0.10* |
0.13** |
0.31** |
0.10* |
0.60** |
0.20** |
-0.03
|
|
BOD5 |
|
|
|
|
|
1
|
0.65** |
0.03** |
-0.06
|
-0.16* |
0.20** |
-0.09
|
0.64** |
|
COD
|
|
|
|
|
|
|
1
|
0.12* |
-0.05
|
0.02
|
0.54** |
0.12* |
0.46** |
|
TN
|
|
|
|
|
|
|
|
1
|
0.41** |
0.94** |
0.51** |
0.58** |
0.12* |
|
NH3-N
|
|
|
|
|
|
|
|
|
1
|
0.33* |
0.26** |
0.33** |
-0.27** |
|
NO3-N
|
|
|
|
|
|
|
|
|
|
1
|
0.42** |
0.53** |
0.00
|
|
TP
|
|
|
|
|
|
|
|
|
|
|
1
|
0.79** |
0.16** |
|
PO4-P
|
|
|
|
|
|
|
|
|
|
|
|
1
|
-0.08
|
3.2. 종조성 및 현존량 현황
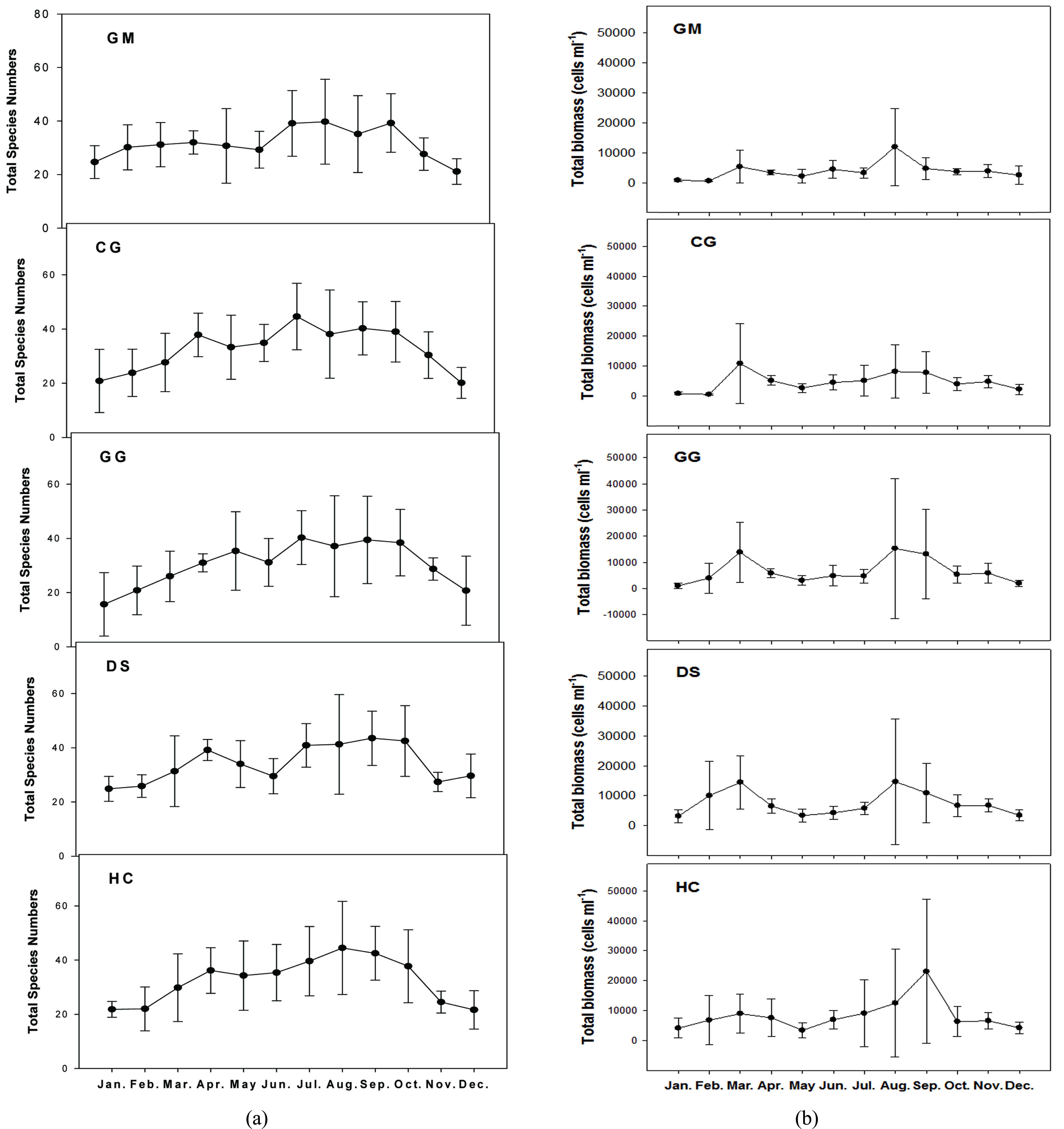
조류조사는 2010년 5월말부터 매월 2회, 4년간 총 87회 조사되었다. 조류의 종수와 현존량은 Fig. 4의 (a)와 (b)에 각각 나타내었다. 상·하류의 보 사이에는 종수의 상관계수 가 0.69~0.81 (p < 0.01)의 범위로서 매우 높게 나타났으며, 이는 보별
조류의 접종원(inoculum)으로서 상류 보의 방류 수가 중요함을 의미한다. 계절별로 조류종 변화는 봄철에 규조류를 중심으로 종수가 증가하다가 6월에
잠시 감소한 뒤 하절기의 고수온기에 녹조류 및 남조류를 중심으로 종 수가 크게 증가하고 있었다.
Fig. 4. Monthly fluctuations of total algal species numbers and algal biomass at each sites in the Nakdong River from 2010 to 2013 (n=87).
보별 총 현존량의 변화를 보면, 동절기에는 현존량이 낮 은 수준을 보이다가 대부분의 보에서 3월에 Stephanodiscus sp.에 의한 봄철 조류 대증식이 있었으며, 이후 수온이 증 가하는 5월 초에 현존량이 감소하면서 녹조류와 남조류로 의 개체밀도가 높아졌다. 수온이
증가하는 8월에는 GG, DS 및 HC 지점 등 하류 지점을 중심으로 Microcystis sp. 의 밀도가 높게 나타났으며 조사지점 중 가장 하류에 위치 한 HC 지점에서는 9월에 최고 현존량을 보여주고 있었다.
남조류의 평균 현존량은 상류의 GM 지점은 1,100 cells ml-1이었으나 구미하수가 유입되는 CG 지점은 1,000 cells ml-1으로 낮았으며 이후 GG 지점에서는 2,150 cells ml-1로 높아졌고 대구 하수가 유입되는 DS 지점에서는 1,800 cells ml-1로 낮아졌다가 HC 지점에서 3,240 cells ml-1로 최고치 를 보여주고 있었다. 녹조류는 겨울철의 저수온기에는 낮은 현존량을 유지하다가 봄철부터 증가하기 시작하여 하절기에 최고 수준으로 상승을 하지만
조사기간 동안 5개 지점의 평 균 최고현존량은 2013년 8월말의 8,800 cells ml-1였다. 기타 조류 중에는 은편모조류의 Rodomonas sp.와 갈색편모조류 인 Cryptomonas sp. 등이 비교적 높은 농도로 나타나며 6월 말과 7월초에는 와편모조류의 Peridinium sp.이 비교적 높게 나타나 수면을 진한 갈색으로 물들이기도 했다.
3.3. 수온, 적산일사량과 조류의 개체수 변화
조류 군집구조의 시·공간적 변화에 영향을 주는 요소는 댐이나 보 설치와 같은 대형 물리적 환경변화뿐만 아니라 햇빛, 강우 등과 같은 자연환경의 변화도
지속적인 영향을 미친다(Xiaofeng, 2013). 광합성을 하는 조류에 있어 일사량 은 연중 조류성장의 제한요인으로 작용할 정도로 중요하다 (Rita, 2007). 태양광 중 자외선(UV-radiation, 280-400nm)은 조류의 종 구성이나 복사에너지 수준에 따라 음의 영향(negative effect)
또는 양의 영향(positive effect)을 준다(Hongyan et al., 2009). 태양광에 노출되면 광합성 생물은 성장, 색소형성 (pigmentation), 효소생성 및 광합성 등 물리적인, 생물화학 적 작용을 한다. 그러나
강한 자외선에 장기간 노출되면 세포 손상이 일어나 조류세포가 사멸하는 원인이 된다(Franklin and Neale, 2002; Sinha and Hader, 2002).
Fig. 5는 5개 조사지점의 조사기간의 평균 일일 적산일사 량(accumulated solar radiation)에 따른 조류현존량의 변화 를 나타내고 있다.
이번 조사에서 적산일산량은 2월이 9.5 MJ로서 가장 낮았고 5월이 23.9 MJ로서 가장 높았다. 총 조류 현존량은 1월이 2,000 cells
ml-1로서 가장 적었고 3월 이 10,700 cells/ml로서 가장 높았으며 다음은 8월의 10,400 cells ml-1 순이었다. 적산일사량의 조류 현존량과 Pearson 상관계수는 0.11로서 통계적 유의성은 없었지만 여름철(6~8월) 의 상관계수는 0.33 (p<0.05)로서
통계적으로 유의하게 나타 났다. 남조류는 일사량과의 연중 양의 상관성을 보였고 규 조류는 전체적으로는 음의 상관을 보였지만 여름에는 양의 상관성을
보였다. Hongyan et al. (2009)은 해양적조의 원인 이 되는 Skeletonema costatum 을 이용한 실험에서 자외선 을 연속으로 조사할 때 세포의 순응반응을 확인하였는데, 낙동강에서도 하절기 우점종의 높은 일사량에 대한 순응반 응 여부
및 그 정도에 대한 추가적인 연구가 필요한 것으 로 사료된다.
Fig. 5. Monthly variations of algal biomass with accumulated solar radiations from 2010 to 2013 in five study sites, Nakdong River (sample No. : biomass=87, monthly solar radiation=140~155).
각 계절에 있어서 조류의 종조성은 변화되는 물리적, 화 학적 환경에 가장 잘 적응하는 종들에 의해 우점되며, 수 온은 조류 종조성 및 현존량에 있어
가장 중요한 요인이며 군집에 있어서 천이의 동력이 된다(Shitao, 2012). 조류는 분류군별로 수온에 대한 반응은 서로 다르게 나타나는데, 규조류는 수온에 음의 상관성을 나타내고 18°C 이하의 온 도를 선호한다고 하였다(Da Silva et al., 2005; Turner et al., 2009). 이번 조사에서 4년간 5개 지점에서 규조류 현존 량이 20,000 cells/ml를 초과한 경우는 8회였으며 이 중에 7회는 수온 4.0°C
~ 9.0°C의 범위에서 대량증식이 시작하였 고, 나머지 1회는 HC지점에서 9월 상반기의 수온 27.0°C 에서 시작하였다. 5,000 ~ 20,000
cells/ml 범위의 규조류 검 출은 81회 였으며, 이중 46.9%가 18°C이상에서 발생하는 등 규조류는 고수온에서도 높은 수준으로 검출되고
있었다. 고수온기에 있어서는 수체의 점도(Viscosity)가 낮아지므로 미세조류가 성장에 유리하며(Da Silva et al., 2005), 남조류 의 대량증식은 20°C 이상에서 나타난다(Liu et al., 2011). 이번 조사에서 남조류의 현존량은 모든 지점에서 수온과 양 의 상관성으로 나타났다. 남조류 현존량이 20,000 cells ml-1 를 초과한 경우의 수온의 범위는 22.0 ~ 32.3°C 였다.
남조류는 일반적으로 겨울에는 광화학적으로 생존 가능한 하상 표면에 존재하다가 바람 등 교란에 의해 수동적으로 수체에 이동하여 대량증식의 원인이 되는
것으로 알려져 있 다(Yuhong et al., 2013). 따라서 하천에서 출현하는 시기는 수온 외에 바람 등 다른 환경요인에 따라 차이가 날 수 있 다. 이번 조사에서도 남조류의 본격 출현온도는, 구미보
10.0 ~ 14.0°C, 칠곡보 2.2 ~ 15.0°C 강정보 6.4 ~ 17.0 ~ , 달성 보 12.3 ~ 16.0°C 등이었으며 합천창녕보에서는
연중 남조류 가 생존하는 경우가 많았다. Fig. 6은 수온분포에 따른 남조 류(a, b) 및 규조류(c, d)의 종수 및 현존량의 분포특성을 나 타내고 있다. 남조류는 저온에서도 출현은 하지만 종
풍부 도에 있어서는 매우 적은 것을 알 수 있으며, 20°C 이상에 서 출현 종수는 늘어났고, 현존량이 급격히 증가하는 것은 30°C 이상이었다.
규조류는 거의 모든 온도범위에서 출현하 고 있지만 남조류보다 저온에서 경쟁력이 강한 것을 볼 수 있다. 규조류의 현존량이 가장 높았던 온도는 5 ~
15°C였으 며 25°C 이상에서도 상당한 개체밀도를 보여주고 있었다.
Fig. 6. Variations of Species numbers and biomass for Cyanobacteria (a, b) and diatom (c,d) each water temperature range in the Nakdong River (n=435).
강수량이 낮고 기온이 높았던 2013년 하절기에는 낙동강 에 남조류의 대량증식이 지속되었었다. Fig. 7은 남조류의 대량증식이 심했던 GG, DS 및 HC 3지점에서 2013년 6월부 터 9월까지 수온 및 적산일사량의 변화에 따른 남조류 현존 량의 변화를
나타내었다. 6월 말부터 7월 초까지는 일일 광 도는 강했지만 수온과 적산일사량의 변동이 심했고 수온도 25°C 이하를 보이고 있어 남조류 현존량은
500 cells ml-1 이하를 보였으며 대량증식발생 시작단계라고 할 수 있다. 7 월 말부터 수온이 28°C 이상으로 상승하면서 현존량이 급 격히 증가하였고, 이때 남조류는
연속성장기로 접어들었다 고 할 수 있다(Yuhong et al., 2013). Allan and Thomas (1978)은 Mendota 호소에서 남조류의 온도영향 연구를 통해 남조류의 최적 광합성 온도는 20-30°C이라고 했으며 이것 은 다른 종보다 높은 수준의
온도라고 했다. 7월말과 8월 초에 일시적으로 일사량이 다소 낮아졌지만 수온이 30°C를 초과하고 있어 남조류는 대발생하고 있었고 GG 지점에서는
남조류가 전체 조류 현존량의 84%를 차지하고 있었다. 8월 말에는 수온이 32°C까지 상승하였고 일사량도 26.9 MJ 에 도달하는 등 폭염이 지속되었으나
남조류 밀도는 다소 감소하여 GG 지점의 남조류 비율도 67%로 감소하였다. 그 러나 하류에 있는 HC 지점에서는 9월 초까지 남조류 현존 량 비율이
88%로 높은 비율을 차지하고 있어 HC 지점은 상류보다 다소 다른 조류군집 변화특성을 보여주고 있었다.
Fig. 7. Fluctuation of cyanobacteria along to the water temperature and accumulated solar radiation at GG, DS and HC site from June to September 2013 in the Nakdong River.
3.4. 탁도, pH 변화와 조류 군집구조 변화 상관성
탁도가 높으면 영양염이 풍부할지라도 태양광 제한에 의 한 광합성 및 조류성장이 저해된다(Oliver et al., 2010). 탁 도 유발물질은 수체의 부유입자나 콜로이드물질이며 이들 은 강우유출 및 바람에 의한 하상물질의 부유 등에 의해 수체에 유입되며 내부요인인 조류의
발생에 의해서도 증가 한다. 이번 조사에서 ’12년 및 ’13년의 탁도는 5개 지점에 서 2.0 ~ 57.1 NTU 범위를 보이고 있었다. 그러나
’10년 및 ’11년에는 낙동강 살리기사업의 영향으로 ’12년 및 ’13년보 다 평균 4.1배 높았다. 사업시행 이후의 탁도는 외부유입의 영향이 적을
때에는 10 NTU 이하를 보이다가 강우유출 등의 영향이 있을 때 일시 높아지는 패턴을 보이고 있었다. 광투과를 저해하는 탁도는 수체내의 조류밀도
증가와 강한 양의 상관성을 가지는 것으로 보고되고 있다(Shen et al., 2011). 그러나 ’12 ~ ’13년에 있어 탁도와 현존량과의 상관 성은 상류 3개 지점에서는 -0.14로 통계적 유의성이 없었으 며, HC 지점은 0.27
(p<0.05)로 통계적으로 유의하게 나타 났다. 분류군별 탁도와 상관성은 서로 유사하게 나타났다. Fig. 8은 탁도와 상관성이 거의 나타나지 않은 GM 지점에 서의 2013년에 탁도와 조류 현존량과의 관계를 보여주고 있다. 그림에서 현존량이 가장 높았던
8월 초에는 탁도는 4.2 NTU였고 이때 강우량은 낮았다. 탁도가 가장 높았던 2월 5일에는 현존량은 652 cells ml-1이고 4일전에 28.4 mm 의 강우가 있었다. 이번 4개 조사지점에서 탁도가 조류밀 도와 강한 양의 상관성을 가지지 않는 것은 낙동강이 강우 유출이나
유역의 오염물질 유입 등 외부요인에 의해 탁도 가 영향을 받고 있기 때문인 것으로 추정이 된다.
Fig. 8. Fluctuation of turbidity along to the changes of the precipitation and biomass in the study site GM.
지표수의 pH는 조류 개체의 성장에 영향을 주는 강력한 환경인자이다(Agrawal and Singh, 2000). 조류는 다른 환경 요인이 만족된다 해도 어떤 pH의 범위 내에서만 잘 자라 고 pH가 맞지 않으면 사멸하거나 활성이 떨어진다(Twisti et al., 1988). 남조류는 약알칼리성(pH 7.7-9.4) 환경을 좋아 하며 이것은 자연수의 pH범위와 유사하다(Wicks and Thief, 1990). Fig. 9는 남조류와 규조류의 pH 범위별 box plot이 다. 남조류와 규조류 모두 높은 pH에서 밀도가 높게 나타 나고 있었는데, 이 시기에 외부적인
pH 급상승 요인은 없 었던 것으로 판단되며 조류의 호흡이 pH상승의 원인이 된 것으로 판단된다. 이번 조사에서 pH는 6.8 ~ 9.7의 범위였
으며, 분류군별로 Pearson 상관계수(p<0.01)는 남조류 0.33, 규조류 0.41, 녹조류 0.33으로 나타났다. 따라서 낙동강에서 외부요인에
의한 pH 감소로 조류개체 밀도의 감소는 없었 던 것으로 판단된다.
Fig. 9. Distributions of biomass of Cyanobacteria and Diatom each pH ranges in the Nakdong River (n=435).
4. Conclusion
본 연구에서는 낙동강 5개 보 구간에 대한 ’10년 5월부 터 ’13년 12월까지의 조류분포,수질, 기상, 수리·수문 조사 결과를 이용하여 환경요인과
조류군집 변화와의 상관성에 대해 연구를 하였다. 조사결과 Chl.a 농도는 수온, pH, TP, TN 등과 강한 양의 상관성을 보여주고 있었으나 조류개체
의 영향을 받는 SS 및 탁도와의 상관성은 유의하지 않았 다. 적산일사량은 조류 현존량과 Pearson 상관계수는 여름 철에는 0.33 (p < 0.05)로
나타났으나 나머지 계절에는 상관 성이 유의하지 않았다. 분류군별로는 남조류는 적산일사량 과 양의 상관성을 보였고 규조류는 하절기에는 양의 상관 성을
보였다. 낙동강에서 수온변화는 조류 군집변화에 가장 큰 영향요인이었다. 이번 조사에서 규조류 현존량이 20,000 cells ml-1를 초과한 경우의
대량증식 현상은 수온 4.0°C ~ 9.0°C의 범위에서 시작하였다. 그러나 5,000 ~ 20,000 cells ml-1 범위의 규조류 검출 중 46.9%가 18°C이상에서 발생하였다. 남조류의 현존량이 20,000 cells ml-1를 초과한 경우의 대량 증식 현상은 22.0 ~ 32.3°C에서 시작되었다. 탁도는 ’10 ~ ’11년에는 ’12 ~ ’13년보다 공사영향으로 인해
4.1배가 높았 다. ’12년 및 ’13년에 있어서 탁도는 조류 현존량과는 상관 성이 모든 분류군에서 나타나지 않았으나 강우유출이 많았 을 때에는
탁도가 높게 나타났다. 그러나 하류로 갈수록 탁도와 조류밀도와 양의 상관성이 다소 높아지고 있었다. 따라서 SS 및 탁도는 조류개체보다 강우유출수의
영향이 높은 것으로 판단되었으며, SS 및 탁도와 상관성이 높았던 CODMn 및 TP의 농도는 비점오염원의 강우유출의 영향이 높을 것으로 예상되었다.
이번 조사에서 하절기 조류대발생시 탁도, 낮은 pH, 낮은 일사량 등에 의한 조류성장 억제효과는 관찰되지 않았다. 낙동강에서 조류의 대량증식현상에
가장 큰 영향을 주고 있는 것은 수온으로 나타났으며, 일사량도 조류군집변화에 영향이 높은 것으로 나타났으나 하절기 이외의 계절에는 상관성이 유의하지
않았다.
Acknowledgement
본 연구는 낙동강수계 환경기초조사사업으로 추진하는 “낙동강수계 보 구간 수생태계 모니터링” 사업(2010 ~ 2013) 의 결과를 반영하여 작성되었으며
이에 감사를 드립니다.
References
Agrawal S.C., Singh V., 2000, Akinete Formation in Three Blue Green Algae and One
Green Algae in Relation to Light Intensity, Temperature, Heat Shock and UV Exposure,
Folia Microbiologica, Vol. 45, pp. 439-446

Allan K., Thomas D.B., 1978, Effect of Temperature on Blue Green Algae (cyanobacteria)
in Lake Mendota, Applied Environment Microbiology, Vol. 36, No. 4, pp. 572-576

Chung J.M., Choi C.M., Moon S.G., 2001, The Structure of Phytoplankton Community in
the Middle-lower Part of the Nakdong River, Journal of the Korean Environmental Science
Society, Vol. 10, No. 1, pp. 41-45

Da Silva C.A., Train S., Rodrigues L.C., 2005, Phytoplankton Assemblages in a Brazilian
Subtropical Cascading Reservoir System, Hydrobiologia, Vol. 537, pp. 99-109

Franklin L.A., Neale P.J., 2002, Biological Weighting Function for the Effect of UV
Radiation on Carbon Partitioning in Microalgae, Journal of Phycology, Vol. 38, pp.
10

Hongyan W., Kunshan G., Haiyan W., 2009, Responses of a Marine Red Tide Algae Skeletonema
Costatum (Bacillariophyceae) to Long-term UV Radiation Exposures, Journal of Photochemistry
and Photobiology B: Biology, Vol. 94, No. 2, pp. 82-86

Jeong J., 1993, Korean freshwater algae pictures, Academy books
Jeong K.S., Kim D.K., Joo G.J., 2007, Delayed Influence of Dam Storage and Discharge
on the Determination of Seasonal Proliferations of Microcystis aeruginosa and Stephanodiscus
hantzschii in a Regulated River System of the Lower Nakdong River (South Korea), Water
Research, Vol. 41, pp. 1269-1279

Joung S.H., Park H.K., Lee H.J., Lee S.H., 2013, Effect of Climate Change for Diatom
Bloom at Winter and Spring Season in Mulgeum Station of the Nakdong River, South Korea,
Journal of Korean Society on Water Environment, Vol. 29, No. 2, pp. 155-164

Jun K.S., Kim J.S., 2011, The Four Major Rivers Restoration Project: Impacts on river
flows, KSCE Journal of Civil Engineering, Vol. 15, No. 2, pp. 217-224

Liu X., Lu X., Chen Y., 2011, The Effects of Temperature and Nutrient Ratios on Microcystis
blooms in Lake Taihu, China: An 11-year Investigation, Harmful Algae, Vol. 10, pp.
337-343

Ministry of Environment (MOE), 2008, Standard Methods for the Examination Water Quality,
Ministry of Environment
Ministry of Land Transport and Maritime Affairs (MLTMA), 2009, Four Major Rivers Restoration
Master Plan, Headquarter of Four Major Rivers Restoration Execution, Ministry of Land
Transport and Maritime Affairs, pp. 315
National Water Resources Management Integrated Information System (NWRMIIS), 2014,
http://www.wamis.go.kr/
Nixon S.W., 1995, Coastal Marine Eutrophication: a Definition, Social Causes and Future
Concerns, Ophelia, Vol. 41, pp. 199-219

Oliver R.L., Mitrovic S.M., Rees C., 2010, Influence of Salinity on Light Conditions
and Phytoplankton Growth in a Turbid River, River Research Applied, Vol. 26, pp. 894-903

Rita B., Domingues C.S., Helena G., 2007, Impact of Reservoir Filling on Phytoplankton
Succession and Cyanobacteria Blooms in a Temperate Estuary, Estuarine, Coastal and
Shelf Science, Vol. 74, pp. 31-43

Shen P.P., Gang L., Huang L.M., Zhang J.L., Tan Y.H., 2011, Spatio-temporal Variability
of Phytoplankton Assemblage in the Pearl River Estuary, with Special Reference to
the Influence of Turbidity and Temperature, Continental Shelf Research, Vol. 31, pp.
1672-1682

Shitao P., Xuebo Q., Honghua S., Ran Z., Mingxin D., Dewen D., 2012, Distribution
and Controlling Factors of Phytoplankton Assemblages in a Semi-enclosed Bay During
Spring and Summer, Marine-Pollution Bulletin, Vol. 64, pp. 941-948

Sinha R.P., Hader D.P., 2002, Life under Solar UV Radiation in Aquatic Organisms,
Advanced Space Research, Vol. 30, pp. 1547-1556

Smayda T.J., 1997, Harmful Algal Blooms: Their Ecophysiology and General Relevance
to Phytoplankton Blooms in the Sea, Limnology and Oceanography, Vol. 42, pp. 1137-1153

Smith V.H., 2003, Eutrophication of Freshwater and Coastal Marine Ecosystems: a Global
Problem, Environmental Science and Pollution Research, Vol. 10, pp. 126-139

Turner J.W., Good B., Cole D., Lipp E.K., 2009, Plankton Composition and Environmental
Factors Contribute to Vibrio Seasonality, International Society for Microbial Ecology
(ISME), Vol. 3, pp. 1082-1092

Twisti H., Edeards A.C., Codd G.A., 1988, Algal Growth Responses to Waters of Contrasting
Tributaries of the River Dee, North-East Scotland, Water Research, Vol. 32, pp. 2471-2479

Wicks H., Thief P.G., 1990, Environmental Factors Affecting the Production of Peptide
Toxins in Floating Scums of the Cyanobacterium Microcystis aeruginosa in a Hypertrophic
African Reservoir, Environmental Science Technology, Vol. 24, No. 9, pp. 1413-1418

Xiaofeng F., Zhengjian Y., Daobin J., Xukoap Y., Defu L., 2013, Responses of Spring
Phytoplankton Communities to their Habitats in the Xiangxi Bay of Three Gorges Reservoir,
China, Acta Ecologica Sinica, Vol. 33, pp. 308-316

Yuhong J., Johnson D., Zhang M., Kong F., 2013, Growth Characteristics of Algae during
Early Stages of Phytoplankton Bloom in Lake Taihu, China, Journal of Environmental
Sciences, Vol. 25, No. 2, pp. 254-261
