The Journal of
the Korean Society on Water Environment

The Journal of
the Korean Society on Water Environment

Bimonthly
  • ISSN : 2289-0971 (Print)
  • ISSN : 2289-098X (Online)
  • KCI Accredited Journal

Editorial Office





cyanobacteria, diatoms, elemental stoichiometry, Lake Paldang, Lake Soyang, phytoplankton community

1. Introduction

생태적 화학양론은 생태계 상호작용에서 에너지와 탄소(C), 질소(N), 인(P)과 같은 원소들의 밸런스를 연구하여 생태계 내에서 어떻게 열역학법칙이 먹이망 거동과 영양물질 순환에 영향을 미치는지 규명한다. 즉 원소 수준의 화학양론적 접근을 통해 생물의 특성과 활동이 생태계에 어떻게 영향을 미치고 또한 생태계에 의해 어떻게 영향을 받는지를 분석하는데 있어 물질의 양 뿐만 아니라 질 또한 생태학적 상호작용의 복잡성을 이해하는데 중요하다는 것을 알 수 있다(Elser, 2000).

식물플랑크톤은 수생태계 1차생산자로서 작게는 특정 호수, 하천 또는 해양 생태계 먹이망의 에너지 흐름과 물질순환에서 크게는 지구 규모의 물질 순환에 까지 반드시 고려해야할 생물군이다. 뿐만 아니라 식물플랑크톤은 녹조, 적조와 같이 일부 부영양 수역에서 대량 증식하여 수환경에 악영향을 끼치는 주요 관리대상 생물이기도 하다. 식물플랑크톤 자연 군집의 원소수준 화학양론은 증식속도나 생산력 속도와 같은 생리학적 지표와 더불어 식물플랑크톤이 노출되어온 영양조건을 추정하는 데 사용된다(Reynolds, 2006; Wetzel, 2001). 뿐만 아니라 생태계 먹이망내 영양단계간의 상호작용(Elser et al., 1998; Sterner et al., 1998), 물질 순환(Elser and Urabe, 1999; Vanni, 2002), 식물플랑크톤의 종 구성, 증식속도와 천이패턴(Andersen et al., 2004; Moe et al., 2005; Schade et al., 2003), 생태계 내에서의 종의 역할과 같은 다양한 생태학적 주제에 대한 설명을 해준다(Cross et al., 2005). 소위 Redfield ratio 라고 불리는 해양플랑크톤의 C:N:P 비(106:16:1)는 비교적 일정하며, 이는 비교적 영양물질이 충분한 증식 환경과 보다 균질하고 안정된 해양의 특성에 기인한다(Goldman et al., 1979; Hecky et al., 1993). 이에 반해 호수 플랑크톤의 C:N:P 비는 상당한 편차를 보인다(Wetzel, 2001).

녹조나 적조 등 식물플랑크톤의 대량증식을 제어하기 위한 영양물질 저감대책 수립을 위해서는 대상 수체에서 식물플랑크톤 증식에 직접적인 영향을 미치는 제한 영양물질을 먼저 밝혀야 한다. 일반적으로 수중에서 식물플랑크톤 증식에 필요한 다량 영양물질 중에서 탄소, 수소, 산소와 달리 공급원이 상대적으로 한정되어 있는 인과 질소가 제한 영양염일 가능성이 높다(Downing, 1997; Smith, 1982). 특정 수역에서 인과 질소 중에 제한 영양염류를 판정할 때는 간접 지표로서 수중 총질소(TN):총인(TP) 비로 판정하고 있다. 팔당호 등 우리나라의 대부분 호수에서는 수중인 농도에 비해 질소농도가 훨씬 높아 즉 TN:TP 비가 매우 커 인을 제한 영양염으로 보고 있으며(Park et al., 2004), 이에 따라 이들 수역에서 녹조현상 등의 식물플랑크톤 대량발생 억제를 위한 대책으로 인을 타겟으로 영양물질 저감대책이 수립, 시행되고 있지만 실제 수역에서 서식하고 있는 식물플랑크톤 자연군집의 체내 원소 함량 및 구성비로서 영양물질 이용가능성 및 제한 영양물질을 규명한 사례는 거의 없다.

한편 우리나라의 식물플랑크톤 모니터링은 대부분의 경우 밀리리터당 세포수의 단위로 조사되고 있다. 그런데 식물플랑크톤은 종, 속, 분류군에 따라 세포 크기가 매우 다양하고 따라서 세포당 물질량도 큰 차이를 보이기 때문에 세포수 단위로 조사된 결과는 먹이망 물질순환 및 에너지 흐름 연구나 물질 수지 산정 등에서 바로 활용되기가 어렵다. 뿐만 아니라 현재까지 우리나라 수계에서 출현한 식물플랑크톤의 세포내 물질 함량 및 클로로필 a 함량을 조사한 사례는 거의 없는 실정이다. 따라서 본 연구에서는 수도권 상수원인 팔당호를 비롯한 한강 수계 주요 6개 호수의 식물플랑크톤 자연군집을 대상으로 세포내 물질함량 및 원소비 등의 화학양론적 조사를 통해 증식 제한 영양물질을 밝히고, 물질 순환 규명 등 생태학적 화학양론 연구를 위한 기초자료를 제공하고자 하였다.

2. Materials and Methods

조사대상 호수는 남한강 수계의 충주호, 횡성호, 도암호, 북한강 수계의 소양호, 청평호, 그리고 남, 북한강이 합류되는 팔당호 등 6개 댐호를 대상으로 조사하였다. 조사지점은 충주호, 소양호, 청평호와 같은 대형 댐호는 댐앞 지점을 포함하여 상류방향으로 호수를 3등분하여 3개 지점에서 조사하였고, 횡성호와 도암호는 댐앞 지점에서 조사하였다. 남, 북한강, 경안천이 합류되는 팔당호는 각 유입하천의 영향으로 수역에 따라 수질의 차이가 크기 때문에 댐앞 지점을 포함하여 북한강, 남한강, 경안천 수역별 대표 지점 등 4개 지점에서 조사하였다. 조사 시기는 충주호는 2005년과 2009년, 횡성호와 도암호는 2009년, 소양호는 2006년, 청평호는 2008년 그리고 팔당호는 2004년, 2006년, 2008년에 조사하였으며, 각 조사 해에 봄, 여름, 가을의 계절별로 조사하였고 가능하면 조류발생량이 많은 시기에 조사하였다.

식물플랑크톤 시료의 채취는 30 μm 망목의 플랑크톤네트를 사용하여 보트로 이동하면서 표층수를 수평예망하여 채취하였다. 채취된 시료는 시료통에 옮겨 냉장상태로 신속하게 실험실로 옮긴 후, 동물플랑크톤, detritus를 제거하기 위해 현미경 관찰에서 동물플랑크톤이 발견되지 않을 때까지 32~200μm 망목의 seive를 이용하여 순차적으로 여과하였다. 동물플랑크톤이 제거된 시료 중에서 남조류가 우점한 시료는 냉장고에서 일정시간 정치시킨 후 표층에 집적된 남조류만을 피펫으로 회수하였다. 최종적으로 시료를 GF/F filter로 여과하여 세균을 제거하고 남은 조체로 클로로필 a 농도(Chl. a)와 건중량(dry weight, DW)을 측정하였고(MOE, 2011), 일부는 건조 후 CHN 원소분석기(Elemental, Vario EL)로 탄소와 질소함량을 측정하였으며 일부는 증류수에 현탁한 후 수질오염공정시험기준(MOE, 2011)에 준하여 총인을 측정하였다. 세균을 제거한 최종 시료의 식물플랑크톤 동정 및 계수를 위해 일부 시료를 루골용액으로 고정하여 위상차 현미경으로 검경하였으며 수질오염공정시험 기준(MOE, 2011)에 따라 종 동정 및 개체수를 계산하였다.

각 식물플랑크톤 시료채취 지점의 수질을 평가하기 위해 식물플랑크톤 시료를 채취한 시기에 동일 지점에서 표층수를 채취하여 총인(TP), 용존총인(DTP), 인산염인(PO4-P), 총질소(TN), 용존총질소(DTN), 질산성질소(NO3-N), 암모니아성질소(NH4+-N)를 수질오염공정시험기준(MOE, 2011) 및 AWWA의 Standard method(APHA, AWWA, WEF, 2005)에 준하여 분석하였다. 인 계열은 persulfate digestion법과 ascorbic acid법에 따라 측정하였고, 총질소, 용존총질소, 질산성질소는 UV spectrophotometry법으로, 암모니아성질소는 Phenate 법에 따라 측정하였다.

각 측정항목간의 Pearson 상관분석은 SPSS 17.0 통계프로그램를 사용하여 분석하였다.

3. Results and Discussion

호수의 seston 내에는 식물플랑크톤, 동물플랑크톤, 세균 등의 생물체뿐만 아니라 detritus와 같은 비생물성 유기물도 포함되어 있다(Wetzel, 2001). 본 연구는 식물플랑크톤의 원소 함량을 산정하는 것을 목적으로 하였기 때문에 식물 플랑크톤 이외의 유기물을 최대한 배제하고자 시료 처리과정에서 다단계 여과를 통해 동물플랑크톤과 세균을 제거하였다. 또한 detritus의 함량을 낮추기 위해 식물플랑크톤 생체량이 높은 시료를 선별하였다. 즉 총 107개 채취 시료중에서 클로로필 a 농도가 80 mg m−3 미만의 시료를 제외하고 81.8~6,824.6 mg m−3 (평균 1,249.7 mg m−3) 범위의 98개 시료의 결과를 이용하여 물질 함량을 산정하였다.

6개 호수별 식물플랑크톤 건중량당 물질 함량을 보면 호수별로 약간씩 차이를 보여 탄소의 경우 평균값으로 볼 때 소양호가 가장 높고(31.7±10.2 μmol C mg DW−1) 청평호가 가장 낮았으며(17.2±6.9 μmol C mg DW−1), 질소함량도 소양호가 가장 높았고(7.4±3.7 μmol N mg DW−1), 청평호와 횡성호가 낮았다(3.1±0.8, 3.1±2.1 μmol N mg DW−1). 인함량은 0.04~0.18 μmol P mg DW−1로 호수별로 큰 차이를 보이지 않았으며 도암호를 제외하면 각 호수에서 변동폭도 크지 않았다(Fig. 1(a), (b), (c)).

Fig. 1.

Box plots of carbon (a), nitrogen (b), phosphorus (c) contents for phytoplankton-dominated seston collected from Lake Paldang (PD, n=41), Lake Chungju (CJ, n=20), Lake Soyang (SY, n=18), Lake Cheongpyung (CP, n=14), Lake Hoengsung (HS, n=3), and Lake Doam (DA, n=2), average relative abundance of four phytoplankton classes in phytoplankton-dominated seston from each lake (d), and average concentrations of total phosphorus (TP), dissolved total phosphorus (DTP) (e), total nitrogen (TN) and dissolved total nitrogen (DTN) (f). In box plots, boxes indicate 25th and 75th percentile confidence intervals, whiskers indicate 5th and 95th percentiles, dashed and solid lines within boxes indicate mean values and median values respectively, error bars in the bar graphs, indicate standard deviation.

../../Resources/kswe/30-6/images/SJBJB8_2014_v30n6_665_f001.jpg

식물플랑크톤의 원소 함량에 영향을 미치는 인자는 다양하며 이 중 식물플랑크톤의 생장에 필수적인 탄소, 질소, 인, 규소, 철 등의 영양물질 농도 즉 이용가능성에 따라 증식속도, 생산량 뿐만 아니라 체내 물질 함량도 영향을 받는다고 알려져 있다(Price, 2005; Reynolds, 2006; Sterner and Elser 2002; Wetzel, 2001). 조사대상 호수별 시료 채취시기의 평균 영양염류 농도를 분석한 결과, 총인의 경우 팔당호가 평균 0.079 mg L−1로 가장 높았으며, 질소는 충주호(평균 3.344 mg L−1)와 도암호(평균 3.426 mg L−1)가 높았다(Fig. 1(e), (f)). 팔당호에서 인 농도가 매우 높게 나타난 이유는 조사지점 중에 과영양상태의 경안천 수역 지점이 포함되어 있어 전체 평균의 영향을 주었기 때문이다.

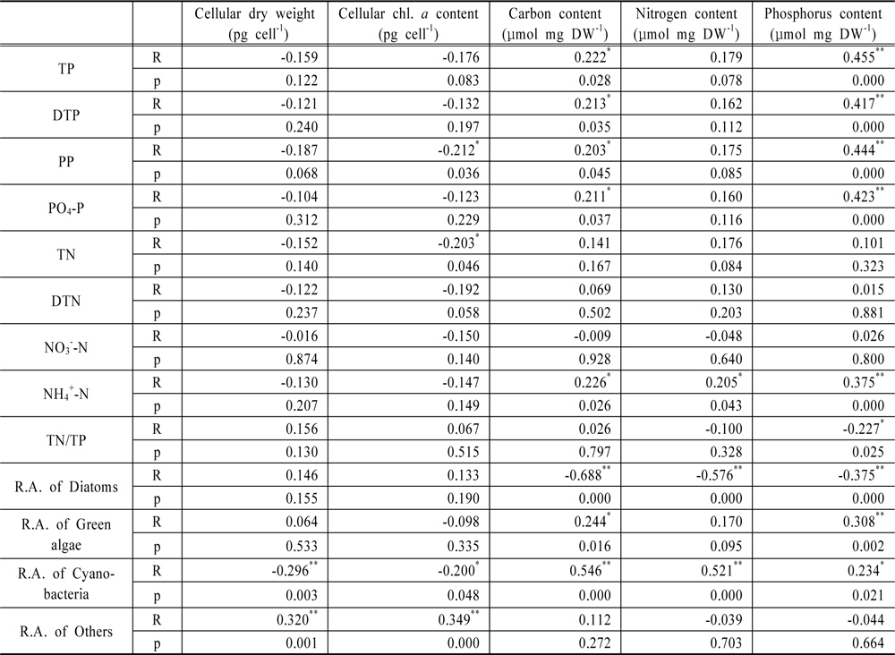
본 연구에서 조사된 각 호수의 수중 영양염류 평균농도와 식물플랑크톤의 평균 인, 질소 함량과의 비교(Fig. 1)만으로는 명확한 상관관계를 파악하기 어려웠기 때문에 98개 전체 시료에 대해 해당 시기의 수중 영양염류 농도와 식물플랑크톤 물질 함량, 세포당 건중량 및 클로로필 a 함량과의 상관관계를 분석하였다(Table 1). 그 결과 인 계열의 경우 수중 입자성 및 용존성 인 농도는 모두 식물플랑크톤의 인 함량과 높은 양의 상관관계를 보였고, 탄소 함량과도 유의한 양의 상관관계를 나타내었다. 수중 질소 계열 농도의 경우 암모니아성질소를 제외하고는 모두 식물플랑크톤의 물질 함량과는 유의한 상관관계를 보이지 않았으며 암모니아성질소는 식물플랑크톤의 탄소, 질소, 인 함량과 모두 유의한 양의 상관관계를 보였다. 본 연구에서 조사된 각 호수의 평균 수중 TN:TP 원소비는 103~380으로 인 제한 가능성을 나타내었다. 따라서 이런 증식환경은 식물플랑크톤의 물질 함량에 영향을 미쳐 수중 인의 농도가 조체내 탄소와 인의 함량에 직접적인 영향을 준 것으로 판단된다. 본 연구에서 조사된 각 호수의 평균 질소농도는 총질소가 1.256~3.426 mg L−1, 질산성질소가 0.874~2.797 mg L−1로 매우 높은 수준으로 나타났다. 따라서 과영양 수준으로 공급되는 수중 질소 농도는 식물플랑크톤의 증식 및 체내 질소를 포함한 물질함량에 직접적인 영향을 주지 않은 것으로 판단된다.

Table 1.

Relationship between nutrients concentrations, relative abundance (R. A.) of the phytoplankton groups and cellular dry weight, chlorophyll a content and elemental stoichiometry of phytoplankton-dominated seston from six lakes; R indicates Pearson coefficient, p indicates significance, n=98, * p<0.05, ** p<0.01

../../Resources/kswe/30-6/images/SJBJB8_2014_v30n6_665_t001.jpg

Healey and Hendzel (1980), Hecky et al. (1993), Kilham(1990)이 정리한 호수의 식물플랑크톤 우점 seston의 물질비에 따른 영양염류 제한 상태 구분을 보면 C:N 비가 8.3 이상이면 질소 제한 상태로 구분하였는데, 본 연구에서 조사된 호수별 시료의 C:N 비는 횡성호를 제외한 나머지 5개 호수가 모두 8.3 미만으로 질소 제한은 없는 것으로 나타났으며 횡성호는 약간의 질소제한 가능성을 보였다. N:P 비의 경우 23 이상이면 심각한 인 제한 상태로 구분하고 있는데 6개 호수별 평균 N:P 비는 모두 23 이상으로 심각한 인 제한 상태를 보였다. C:P 비로도 인 제한 상태를 판정할 수 있는데 133 미만은 제한 상태 아님, 133-258은 중간정도 제한 상태, 258 이상은 심각한 제한 상태라고 구분하였다. 6개 호수 시료의 C:P 비는 모두 133 이상으로 인 제한 상태로 나타났으나 팔당호와 청평호가 상대적으로 C:P 비가 적어 인 제한 상태가 중간 정도 수준인 것으로 나타났다(Table 2). 팔당호, 청평호 등에서는 매년 국지적인 녹조현상이 나타나고 있으며, 이에 대한 대책의 일환으로 유역에서의 인 유입을 저감하는 대책을 시행 중이다. 이러한 대책시행의 근거는 높은 수중 TN:TP 비로 녹조원인 조류의 제한 영양염을 인으로 추정하였기 때문이다. 본 연구에서 실제 팔당호 등 한강수계 주요 호수에서 증식한 식물플랑크톤의 체내 물질함량으로 제한 영양염을 판정한 결과, 극심한 인 제한상태인 것으로 밝혀졌으며, 또한 수중 인 농도에 따라 체내 물질 함량이 변동하는 등 식물플랑크톤의 증식에 직접적인 영향을 미치는 것으로 나타났다. 따라서 이들 호수에서의 인 저감 대책 시행은 실질적으로 식물플랑크톤 대량 증식 억제에 기여할 수 있을 것으로 판단된다.

Table 2.

Elemental ratios of phytoplankton-dominated seston in six lakes

../../Resources/kswe/30-6/images/SJBJB8_2014_v30n6_665_t002.jpg

C:Chl. a 비는 전반적인 영양물질의 결핍여부를 판정하는 지표로 사용되는데(Hecky et al., 1993) 청평호와 팔당호는 4.2~8.3 μmol μg−1의 범위에 들어 중간정도의 영양물질 제한 상태로 나타났으며, 충주호와 횡성호는 8.3 μmol μg−1이상으로 극심한 영양물질 제한 상태로 나타났다. 이 결과는 N:P 비나 C:P 비로 평가한 인 제한 상태 평가와 일치하였다.

식물플랑크톤을 포함한 조류의 물질함량에 영향을 미치는 환경인자는 수중 영양물질의 이용가능성 외에도 수온, 광량(Hessen et al., 2002; Sterner et al., 1997; Striebel et al., 2008), 대기 중의 CO2 분압(Elser, 2000; Urabe et al., 2003), 증식 단계, 군집구조 등 다양하다. 예를 들어 규조류는 세포의 구조가 규산질의 외각을 가지고 있기 때문에 다른 분류군에 비해 전체 세포함량에서 규산질의 함량이 매우 높고 따라서 다른 원소의 함량이 낮아진다(Reynolds, 2006). 본 연구에서 채취한 시료는 가능한 한 계절별 시료를 채취하였으나 호수의 특성에 따라 우점하는 식물플랑크톤 속 또는 분류군에 차이가 있으며 이는 곧 체내 물질함량의 차이로 나타날 수 있을 것이다. 식물플랑크톤을 규조류, 녹조류, 남조류 및 그 외 기타조류의 네 분류군으로 구분하여 호수별 시료의 식물플랑크톤 분류군별 평균 상대우점도(Relative abundance, R.A.)를 계산한 결과, 소양호와 횡성호 시료에서는 남조류가 각각 47.0, 36.9%로 우점도가 가장 높았고 나머지 4개 호수에서는 규조류가 45.6~70.6%의 상대우점도로 가장 우점하였다. 조사대상 6개 호수 중 시료수가 적은 횡성호와 도암호를 제외하면, 남조류의 평균 상대우점도가 가장 높았던 소양호에서 식물플랑크톤 체내물질 함량도 높게 나타나 식물플랑크톤 군집구조에 따라 물질함량이 변화될 가능성이 있을 것으로 보고 각 조사시료의 식물플랑크톤 분류군별 상대우점도와 탄소, 질소, 인 함량 및 건중량, 클로로필 a 함량을 상관분석하였다(Table 1). 규조류의 상대우점도는 식물플랑크톤의 탄소, 질소, 인 함량과 모두 유의한 음의 상관관계를 보였으며, 남조류의 상대우점도는 반대로 탄소, 질소 인 함량과 유의한 양의 상관관계를 보였다. 녹조류의 상대우점도도 식물플랑크톤 체내 탄소와 인 함량과 유의한 양의 상관관계를 보였으나 전체 시료에서 전반적으로 우점도가 낮았던 기타조류의 경우 물질함량과 유의한 상관관계를 나타내지 않았다. 이 결과는 규조류가 다른 분류군에 비해 상대적으로 규소를 제외한 필수 원소의 함량이 적다고 알려진 바와 일치되는 결과이며, 호수의 영양상태와 함께 군집구조가 전체 식물플랑크톤 군집의 원소함량에 영향을 주고 있음을 알 수 있다.

전체 98개 시료 중에서 단일 분류군이 80% 이상 우점한 시료와 이중에서 단일 속이 90% 이상 우점한 시료만을 대상으로 식물플랑크톤 물질 함량을 비교하였다(Fig. 2, Table 3). 탄소, 질소, 인 함량에 대한 각 분류군의 분포는 뚜렷하게 구분되며 세 물질에 대해 규조류가 가장 낮은 함량을 보였고, 남조류와 녹조류가 높은 함량을 보였다. 특히 규조류의 경우 질소 함량은 상당히 좁은 함량 범위를 보였으며 인 함량도 예외적으로 높은 한 시료(팔당호)를 제외하면 좁은 함량 범위를 보여 서식 환경이나 생리적인 상태의 영향을 적게 받는 것으로 나타났다. 반면에 탄소 함량은 상당히 넓은 함량 범위를 보였다. 남조류의 경우에는 탄소와 인의 함량은 비교적 좁은 범위를 보인데 반해 질소 함량은 상당히 넓은 범위를 보였다. 본 조사에서 채취된 남조류 속 중에 Anabaena 속과 같이 질소 고정을 하는 속이 포함되어 있기 때문에 남조류의 세포내 질소함량의 변동폭이 큰 것으로 판단된다. 녹조류의 경우 우점도가 80% 이상인 시료는 Eudorina 속과 Gleocystis 속이 우점한 2건 밖에 없었기 때문에 대표성을 보이기는 어려우나 규조류에 비해 물질함량이 높게 나타났다.

Fig. 2.

Relation between elemental contents of carbon, nitrogen and phosphorus (C:N, N:P, C:P) in each group of phytoplanktondominated (diatoms, green algae and cyanobacteria) seston (top) and each genus-dominated (Aulacoseira spp., Asterionella spp., Microcystis spp., Aphanizomenon sp.) seston (bottom).

../../Resources/kswe/30-6/images/SJBJB8_2014_v30n6_665_f002.jpg
Table 3.

Elemental stoichiometry of one class or one genus of phytoplankton-dominated seston

../../Resources/kswe/30-6/images/SJBJB8_2014_v30n6_665_t003.jpg

단일 속이 90% 이상 우점했던 시료에서는 이런 물질함량 특성이 더욱 뚜렷이 나타나 규조류인 Asterionella 속과 Aulacoseira 속은 남조류인 Microcystis 속과 Aphanizomenon 속에 비해 확연히 낮은 탄소와 질소 함량을 보였다. 인 함량의 경우 동일한 Microcystis 속 내에서도 상당한 차이를 보였고 전체 남조류 우점 시료(16건)의 평균 인 함량(0.218±0.122μmol P mg DW−1)에 비해 높거나 낮았는데 Microcystis 우점 시료 3건 중 인 함량이 높았던 시료 1건과 Aphanizomenon 시료 1건은 수중 총인농도가 매우 높은 팔당호 경안천 수역에서 채취한 시료이며, 인 함량이 낮은 Microcystis 속 우점 시료 2건은 모두 수중 총인농도가 낮은 충주호에서 채취한 시료이다. 따라서 남조류가 규조류에 비해 대체로 인 함량이 높지만 남조류 내에서는 서식 수역의 수중 인 농도에 따라 체내 인 축적 등으로 인 함량이 영향을 받는 것으로 판단된다.

본 연구에서 조사된 시료 중에서 단일 분류군이 80% 이상, 단일 속이 90% 이상 우점한 시료를 대상으로 세포당 물질함량 및 클로로필 a 함량, C:N:P 비를 계산한 결과, 분류군에 따라 세포당 물질 함량(cell quota)은 차이를 보였으며 세포크기가 큰 규조류와 녹조류의 물질 함량이 많았고 세포크기가 작은 남조류의 물질 함량이 적었다. 그러나 세포크기의 차이에 비해 물질 함량의 차이는 크기 않아 건중량당 물질 함량에서도 밝혀진 바와 같이 남조류에 비해 규조류가 C, N, P 함량이 상대적으로 낮은 것으로 나타났다.

클로로필 함량은 세포 부피에 비례한다고 알려져 있는데(Reynolds, 2006) 본 연구에서도 규조류가 평균 93% 우점한 시료와 남조류가 평균 95% 우점한 시료의 클로로필 a 함량을 비교한 결과, 세포크기가 큰 규조류가 세포당 클로로필 a 함량이 약 3배 많은 것으로 나타나 유사한 경향을 보였다. 규조류 중에서 Asterionella 속의 세포당 건중량과 클로로필 a 함량은 Reynolds (2006)Nalewajko (1966)가 조사한 결과(Asterionella formosa)에 비해 건중량과 클로로필 a 함량이 모두 적었고, Aulacoseira 속의 세포당 건중량과 클로로필 a 함량은 더 많았다. 남조류인 Microcystis 속과 Aphanizomenon 속의 경우 세포당 클로로필 a 함량은 0.2~ 0.5 pg cell−1의 범위로 Reynolds (2006)의 조사결과(0.04~0.36 pg cell−1)보다 다소 많았다. 전체 남조류 속이 95% 우점한 시료에 비해 Microcystis 속과 Aphanizomenon 속의 클로로필 a 함량이 적은 이유는 전체 남조류 우점 시료 중에는 위의 두 속에 비해 세포크기가 크고 세포당 클로로필 a 함량이 많은 것으로 알려진 Anabaena 속 (Reynolds, 2006)이 포함되어 있기 때문으로 추정된다.

서식 호수의 구분 없이 각 분류군 및 특정 속 우점시료의 평균 C:N 비는 모두 8.3 이하로 호수별 식물플랑크톤 시료의 물질 비에서와 마찬가지로 질소는 제한상태가 아닌 것을 알 수 있다. N:P 비의 경우에도 녹조류 우점시료를 제외한 규조류 및 남조류 우점 시료 모두가 23 이상으로 인 제한 상태에 있는 것으로 나타났다. 전체 규조류 우점시료와 Aulacoseira 우점 시료의 C:P 비는 중간정도의 인 제한 상태로 전체 남조류 우점 시료와 Microcystis 우점시료는 심각한 인 제한 상태로 나타났으며, 시료 수는 적으나 녹조류 우점시료와 Aphanizomenon 우점 시료는 인 제한이 거의 없는 것으로 나타났다. 이런 결과로 볼 때 한강수계의 주요 우점조류인 규조류와 남조류는 모두 인 제한상태에 있다고 할 수 있고, 따라서 봄철 규조류 대발생이나 여름철 녹조현상 등에 대한 대책으로 인 저감 대책이 중요할 것으로 생각된다.

본 연구에서 조사된 단일 분류군 및 단일 속의 세포당 물질함량 및 클로로필 a 함량, C:N:P 비는 해당 분류군이 80% 이상 우점한 시료이며 특히 단일 속의 경우 대부분 95% 이상의 절대 우점시료이므로 이 결과들은 향후 호수 생태계 먹이망에서 먹이질 평가, 먹이망을 통한 물질 순환 및 거동 규명, 그리고 물질 수지 산정 등의 생태학적 화학양론 연구의 기초자료로 유용하게 활용될 수 있을 것이다.

4. Conclusion

본 연구에서는 팔당호, 충주호, 횡성호, 도암호, 소양호, 청평호 등 한강수계 주요 6개 댐호의 식물플랑크톤 자연군집을 대상으로 세포내 물질함량 및 원소비 등의 화학양론적 조사를 통해 다음과 같은 결론을 도출하였다.

1) 6개 호수별 식물플랑크톤 건중량당 물질 함량을 보면 호수별로 약간씩 차이를 보여 탄소의 경우 평균값으로 볼 때 소양호가 가장 많고 청평호가 가장 적었으며, 질소함량도 소양호가 가장 높았고, 청평호와 횡성호가 낮았다. 인 함량은 0.04~0.18 μmol P mg DW−1로 호수별로 큰 차이를 보이지 않았다.

2) 수중 영양염류 농도와 식물플랑크톤 물질 함량, 세포당 건중량 및 클로로필 a 함량과의 상관관계를 분석한 결과, 수중 인 농도는 식물플랑크톤의 인 함량과 높은 양의 상관관계를 보였고, 탄소 함량과도 유의한 양의 상관관계를 나타내었다. 암모니아성질소를 제외한 수중 질소농도는 식물플랑크톤의 물질 함량과는 유의한 상관관계를 보이지 않았다.

3) 식물플랑크톤 세포내 C:N:P 비로 영양물질 제한상태를 평가한 결과, 6개 호수 모두 인 제한 상태로 평가되었으며 질소 제한은 없었다. 이런 결과로 볼 때 6개 호수의 식물플랑크톤 군집이 모두 인 제한 상태이기 때문에 수중 인의 농도가 식물플랑크톤의 증식과 세포내 탄소와 인의 함량에 직접적인 영향을 주고, 수중 질소 농도는 직접적인 영향을 주지 않는 것으로 판단된다.

4) 전체 시료를 대상으로 식물플랑크톤 분류군별 상대우점도와 탄소, 질소, 인 함량 및 건중량, 클로로필 a 함량을 상관분석한 결과, 규조류의 상대우점도는 식물플랑크톤의 물질 함량 유의한 음의 상관관계를, 남조류의 상대우점도는 반대로 유의한 양의 상관관계를 보여 군집구조가 전체 식물플랑크톤 군집의 원소함량에 영향을 주는 것으로 나타났다. 또한 단일 분류군이 80% 이상 우점한 시료와 단일 속이 90% 이상 우점한 시료만을 대상으로 식물플랑크톤 세포내 탄소, 질소, 인 함량을 비교한 결과, 규조류가 가장 낮은 함량을 보였고, 남조류와 녹조류가 높은 함량을 보였다.

5) 본 연구에서 조사된 단일 분류군 및 단일 속의 세포당 물질함량 및 클로로필 a 함량, C:N:P 비는 향후 호수생태계 먹이망에서 먹이질 평가, 먹이망을 통한 물질 순환 및 거동 규명, 그리고 물질 수지 산정 등의 생태학적 화학양론 연구의 기초자료로 유용하게 활용될 수 있을 것으로 판단된다.

References

1 
Andersen T., Elser J. J., Hessen D. O., 2004, Stoichiometry and Population Dynamics, Ecology Letters, Andersen, T., Elser, J. J., and Hessen, D. O. (2004). Stoichiometry and Population Dynamics, Ecology Letters, 7, pp. 884-900., Vol. 7, pp. 884-900DOI
2 
2005, Standard Methods for the Examination of Water and Wastewater, American Public Health Association, American Water Works Association, and Water Environment Federation (APHA, AWWA, WEF). (2005). Standard Methods for the Examination of Water and Wastewater, 21th ed., American Public Health Association, American Water Works Association, and Water Environment Federation.Google Search
3 
Cross W. F., Benstead J. P., Frost P. C., Thomas S. A., 2005, Ecological Stoichiometry in Freshwater Benthic Systems: Recent Progress and Perspectives, Freshwater Biology, Cross, W. F., Benstead, J. P., Frost, P. C., and Thomas, S. A. (2005). Ecological Stoichiometry in Freshwater Benthic Systems: Recent Progress and Perspectives, Freshwater Biology, 50, pp. 1895-1912., Vol. 50, pp. 1895-1912DOI
4 
Downing J. A., 1997, Marine Nitrogen: Phosphorus Stoichiometry and the Global N:P Cycle, Biogeochemistry, Downing, J. A. (1997). Marine Nitrogen: Phosphorus Stoichiometry and the Global N:P Cycle, Biogeochemistry, 37, pp. 237-252., Vol. 37, pp. 237-252DOI
5 
Elser J. J., 2000, Ecological Stoichiometry: from Sea to Lake to Land, Trends in Ecology and Evolution, Elser, J. J. (2000). Ecological Stoichiometry: from Sea to Lake to Land, Trends in Ecology and Evolution, 15(10), pp. 393-394., Vol. 15, No. 10, pp. 393-394DOI
6 
Elser J. J., Chrzanowski T. H., Sterner R. W., Mills K. H., 1998, Stoichiometric Constraints on Food-web Dynamics: a Whole Lake Experiment on the Canadian Shield, Ecosystems, Elser, J. J., Chrzanowski, T. H., Sterner, R. W., and Mills, K. H. (1998). Stoichiometric Constraints on Food-web Dynamics: a Whole Lake Experiment on the Canadian Shield, Ecosystems, 1, pp. 120-136., Vol. 1, pp. 120-136DOI
7 
Elser J. J., Urabe J., 1999, The Stoichiometry of Consumer-Driven Nutrient Recycling: Theory, Observations, and Consequences, Ecology, Elser, J. J. and Urabe, J. (1999). The Stoichiometry of Consumer-Driven Nutrient Recycling: Theory, Observations, and Consequences, Ecology, 80, pp. 735-751., Vol. 80, pp. 735-751DOI
8 
Goldman J. C., McCarthy J. J., Peavey D. G., 1979, Growth Rate Influence on the Chemical Composition of Phytoplankton in Oceanic Waters, Nature, Goldman, J. C., McCarthy, J. J., and Peavey, D. G. (1979). Growth Rate Influence on the Chemical Composition of Phytoplankton in Oceanic Waters, Nature, 279, pp. 210-215., Vol. 279, pp. 210-215DOI
9 
Healey F. P., Hendzel L. L., 1980, Physiological Indicators of Nutrient Deficiency in Lake Phytoplankton, Canadian Journal of Fisheries and Aquatic Sciences, Healey, F. P. and Hendzel, L. L. (1980). Physiological Indicators of Nutrient Deficiency in Lake Phytoplankton, Canadian Journal of Fisheries and Aquatic Sciences, 37, pp. 442-453., Vol. 37, pp. 442-453DOI
10 
Hecky R. E., Campbell P., Hendzel L. L., 1993, The Stoichiometry of Carbon, Nitrogen and Phosphorus in Particulate Matter of Lakes and Oceans, Limnology and Oceanography, Hecky, R. E., Campbell, P., and Hendzel, L. L. (1993). The Stoichiometry of Carbon, Nitrogen and Phosphorus in Particulate Matter of Lakes and Oceans, Limnology and Oceanography, 38(4), pp. 709-724., Vol. 38, No. 4, pp. 709-724DOI
11 
Hessen D. O., Faerovig P. J., Andersen T., 2002, Light, Nutrients and P:C-ratios in Algae: Grazer Performance Related to Food Quality and Quantity, Ecology, Hessen, D. O., Faerovig, P. J., and Andersen, T. (2002). Light, Nutrients and P:C-ratios in Algae: Grazer Performance Related to Food Quality and Quantity, Ecology, 83, pp. 1886-1898., Vol. 83, pp. 1886-1898DOI
12 
Kilham S. S., 1990, Relationship of Phytoplankton and Nutrients to Stoichiometric Measures;Large lakes: Ecological Structure and Function, Kilham, S. S. (1990). Relationship of Phytoplankton and Nutrients to Stoichiometric Measures, In Tilzer, M. M. and Serruya, C. eds., Large lakes: Ecological Structure and Function, Springer, pp. 403-414., pp. 403-414Google Search
13 
2011, Standard Method for the Examination of Water Pollution, Ministry of Environment (MOE). (2011). Standard Method for the Examination of Water Pollution, Ministry of Environment, [Korean Literature]Google Search
14 
Moe J. S., Stelzer R. S., Forman M. R., Harpole W. S., Daufresne T., Yoshida T., 2005, Recent Advances in Ecological Stoichiometry: Insights for Population and Community Ecology, Oikos, Moe, J. S., Stelzer, R. S., Forman, M. R., Harpole, W. S., Daufresne, T., and Yoshida, T. (2005). Recent Advances in Ecological Stoichiometry: Insights for Population and Community Ecology, Oikos, 109, pp. 29-39., Vol. 109, pp. 29-39DOI
15 
Nalewajko C., 1966, Dry Weight, Ash and Volume Data for Some Freshwater Planktonic Algae, Jouranl of the Fisheries Research Board of Canada, Nalewajko, C. (1966). Dry Weight, Ash and Volume Data for Some Freshwater Planktonic Algae, Jouranl of the Fisheries Research Board of Canada, 23, pp. 1285-1288., Vol. 23, pp. 1285-1288DOI
16 
Park H. K., Byeon M. S., Kim E. K., Lee H. J., Chun M. J., Jung D. I., 2004, Water Quality and Phytoplankton Distribution Pattern in Upper Inflow Rivers of Lake Paldang, Journal of Korean Society on Water Environment, Park, H, K., Byeon, M. S., Kim, E. K., Lee, H. J., Chun, M. J., and Jung, D. I. (2004). Water Quality and Phytoplankton Distribution Pattern in Upper Inflow Rivers of Lake Paldang, Journal of Korean Society on Water Environment, 20(6), pp. 615-624. [Korean Literature], Vol. 20, No. 6, pp. 615-624Google Search
17 
Price N. M., 2005, The Elemental Stoichiometry and Composition of an Iron-limited Diatom, Limnology and Oceanography, Price, N. M. (2005). The Elemental Stoichiometry and Composition of an Iron-limited Diatom, Limnology and Oceanography, 50(4), pp. 1159-1171., Vol. 50, No. 4, pp. 1159-1171DOI
18 
Reynolds C., 2006, The Ecology of Phytoplankton, Reynolds, C. (2006). The Ecology of Phytoplankton, Cambridge University Press, Cambridge, pp. 24-37., pp. 24-37Google Search
19 
Schade J. D., Kyle M., Hobbie S. E., Fagan W. F., Elser J. J., 2003, Stoichiometric Tracking of Soil Nutrients by a Desert Insect Herbivore, Ecology Letters, Schade, J. D., Kyle, M., Hobbie, S. E., Fagan, W. F., and Elser, J. J. (2003). Stoichiometric Tracking of Soil Nutrients by a Desert Insect Herbivore, Ecology Letters, 6, pp. 96-101., Vol. 6, pp. 96-101DOI
20 
Smith V. H., 1982, The Nitrogen and Phosphorus Dependence of Algal Biomass in Lakes: An Empirical and Theorietical Analysis, Limnology and Oceanography, Smith, V. H. (1982). The Nitrogen and Phosphorus Dependence of Algal Biomass in Lakes: An Empirical and Theorietical Analysis, Limnology and Oceanography, 27, pp. 1101-1112., Vol. 27, pp. 1101-1112DOI
21 
Sterner R. W., Clasen J., Lampert W., Weisse T., 1998, Carbon: Phosphorus Stoichiometry and Food Chain Production, Ecology Letters, Sterner, R. W., Clasen, J., Lampert, W., and Weisse, T. (1998). Carbon: Phosphorus Stoichiometry and Food Chain Production, Ecology Letters, 1. pp. 146-150., Vol. 1, pp. 146-150DOI
22 
Sterner R. W., Elser J. J., Fee E. J., Guildford S. J., Chrzanowski T. H., 1997, The Light: Nutrient Ratio in Lakes: The Balance of Energy and Materials Affects Ecosystem Structure and Process, The American Naturalist, Sterner, R. W., Elser, J. J., Fee, E. J., Guildford, S. J., and Chrzanowski, T. H. (1997). The Light: Nutrient Ratio in Lakes: The Balance of Energy and Materials Affects Ecosystem Structure and Process, The American Naturalist, 150(6), pp. 663-684., Vol. 150, No. 6, pp. 663-684DOI
23 
Sterner R. W., Elser J. J., 2002, Ecological Stoichiometry: the Biology of Elements From Molecules to the Biosphere, Sterner, R. W. and Elser, J. J. (2002). Ecological Stoichiometry: the Biology of Elements From Molecules to the Biosphere, Princeton University Press, Princeton, U.S.A.Google Search
24 
Striebel M., Spörl G., Stibor H., 2008, Light-induced Changes of Plankton Growth and Stoichiometry: Experiments with Natural Phytoplankton Communities, Limnology and Oceanography, Striebel, M., Spörl, G., and Stibor, H. (2008). Light-induced Changes of Plankton Growth and Stoichiometry: Experiments with Natural Phytoplankton Communities, Limnology and Oceanography, 53(2), pp. 513-522., Vol. 53, No. 2, pp. 513-522DOI
25 
Urabe J., Togari J., Elser J. J., 2003, Stoichiometric Impacts of Increased Carbon Dioxide on a Planktonic Herbivore, Global Change Biology, Urabe, J., Togari, J., and Elser, J. J. (2003). Stoichiometric Impacts of Increased Carbon Dioxide on a Planktonic Herbivore, Global Change Biology, 9, pp. 818-825., Vol. 9, pp. 818-825DOI
26 
Vanni M. J., 2002, Nutrient Cycling by Animals in Freshwater Ecosystems, Annual Review of Ecology and Systematics, Vanni, M. J. (2002). Nutrient Cycling by Animals in Freshwater Ecosystems, Annual Review of Ecology and Systematics, 33, pp. 341-370., Vol. 33, pp. 341-370DOI
27 
Wetzel R. G., 2001, Limnology: Lake and River Ecosystems, Wetzel, R. G. (2001). Limnology: Lake and River Ecosystems, 3rd ed., Elsevier, New York.Google Search