The Journal of
the Korean Society on Water Environment

The Journal of
the Korean Society on Water Environment

Bimonthly
  • ISSN : 2289-0971 (Print)
  • ISSN : 2289-098X (Online)
  • KCI Accredited Journal

Editorial Office





Aquatic invertebrate, Fish, Gwangju, Large hydrophyte, Phytoplankton, Zooplankton

1. Introduction

์˜ค๋Š˜๋‚  ์ƒํƒœ๊ณ„์˜ ๋ณด์ „๊ณผ ๋ณต์›์„ ์œ„ํ•œ ํ•„์ˆ˜์ ์ธ ์‚ฌ์—…์œผ๋กœ ์ƒ๋ฌผ์ƒ์˜ ์กฐ์‚ฌ๊ฐ€ ์ „ ์„ธ๊ณ„์ ์œผ๋กœ ์ˆ˜ํ–‰๋˜๊ณ  ์žˆ๋‹ค. ์ƒ๋ฌผ์ƒ ์กฐ์‚ฌ๋Š” ์šฐ์„  ์„œ์‹์ฒ˜๋ฅผ ๊ธฐ์ดˆ๋กœ ํ•˜์—ฌ์•ผ ํ•œ๋‹ค. ์ด๋Ÿฌํ•œ ์„œ์‹์ฒ˜์—๋Š” ๋งค์งˆ์ด ํ† ์–‘, ๊ณต๊ธฐ, ๋ฌผ๋กœ ์ด๋ฃจ์–ด์ง„ ์ƒํƒœ๊ณ„ ๋“ฑ์ด ์žˆ๋Š”๋ฐ, ๋งค์งˆ์ด ๋ฌผ๋กœ ์ด๋ฃจ์–ด์ง„ ๊ฒƒ์„ ์ˆ˜์„œ์ƒํƒœ๊ณ„๋ผ ํ•œ๋‹ค. ์ด๋Š” ์ผ๋ฐ˜์ ์œผ๋กœ ํ•ด์–‘๊ณผ ๋‹ด์ˆ˜์ƒํƒœ๊ณ„๋กœ ๊ตฌ๋ถ„ํ•  ์ˆ˜ ์žˆ๋‹ค. ๋˜ํ•œ, ๋‹ด์ˆ˜์ƒํƒœ๊ณ„๋Š” ์œ ์ˆ˜๊ณ„์™€ ์ •์ˆ˜๊ณ„๋กœ ๊ตฌ๋ถ„๋œ๋‹ค(Barnes and Mann, 1991a,b; Welch and Lindell, 1992; Welschemeyer and Lorenzenl, 1985). ๋‹ค์–‘ํ•œ ์ƒ๋ฌผ๋“ค์ด ๊ฐ€์ง€๋Š” ์ฃผ์š” ๊ธฐ๋Šฅ์€ ์ƒ์‚ฐ์ž, ์†Œ๋น„์ž, ๋ถ„ํ•ด์ž์ธ๋ฐ, ์ด๋“ค ๊ธฐ๋Šฅ๊ตฐ์€ ๊ณ„๋‚ด๋กœ ์—๋„ˆ์ง€ ํ๋ฆ„์„ ํ˜•์„ฑํ•˜๊ณ , ์œก์ƒ์ƒํƒœ๊ณ„์™€ ์—ฐ๊ด€์„ ํ†ตํ•ด ์—๋„ˆ์ง€ ํ๋ฆ„์„ ์™„์„ฑํ•˜๋Š” ์ง€๊ตฌ์ƒํƒœ๊ณ„์˜ ์ค‘์š”ํ•œ ๊ตฌ์„ฑ๊ณ„๊ฐ€ ๋œ๋‹ค(Odum, 1971). ์ตœ๊ทผ ์ˆ˜์„œ์ƒํƒœ๊ณ„์˜ ์•ˆ์ •์„ฑ ํ™•๋ณด์™€ ์ƒ๋ฌผ์ƒ ๋ณด์ „์— ๋Œ€ํ•œ ์ดํ•ด๊ฐ€ ์ƒ๋‹นํžˆ ์ฆ๊ฐ€ํ•˜์˜€์œผ๋‚˜ ์ˆ˜์„œ์ƒ๋ฌผ๊ณผ ๊ทธ๋“ค์ด ์˜์กดํ•˜์—ฌ ์ƒํ™œํ•˜๋Š” ์ˆ˜์ค‘ํ™˜๊ฒฝ์€ ๋”์šฑ ์•…ํ™”๋˜์–ด ์™”๋‹ค(Leidy and Moyle, 1998). ์ˆ˜์„œํ™˜๊ฒฝ ์•…ํ™”์˜ ์ฃผ์š”์ธ์€ ์ธ๊ตฌ์ฆ๊ฐ€์™€ ์ธ๊ฐ„์˜ ํ™œ๋™์„ฑ ์ฆ๊ฐ€์— ๋”ฐ๋ฅธ ๊ฒƒ์ด๋‹ค. ์ด๋Š” ์ˆ˜์„œ ์ƒ๋ฌผ์ข… ๋‹ค์–‘์„ฑ์˜ ๋‹จ์ˆœํ™”๋ฅผ ์ดˆ๋ž˜ํ•˜๊ณ  ๋” ๋‚˜์•„๊ฐ€ ์ˆ˜ํ™˜๊ฒฝ๊ณผ ์ˆ˜์ž์›์˜ ์งˆ์  ์ €ํ•˜๋กœ ์ด์–ด์ง€๋Š” ๊ฒฝํ–ฅ์„ ๋ณด์ธ๋‹ค. ๋˜ํ•œ, ์ˆ˜์„œํ™˜๊ฒฝ์—์„œ ์ƒ๋ฌผ์ข… ๋‹ค์–‘์„ฑ์˜ ๊ฐ์†Œ๋Š” ์ƒํƒœ๊ณ„์˜ ์•ˆ์ •์„ฑ์„ ์ €ํ•˜์‹œ์ผœ ํ™˜๊ฒฝ์  ๊ต๋ž€์„ ์ฆํญ์‹œํ‚ค๊ณ  ์‹ฌํ™”๋œ ํ™˜๊ฒฝ์˜ ๊ต๋ž€์€ ์ˆ˜์„œ์ƒํƒœ๊ณ„์˜ ์†์ƒ์„ ๊ฐ€์ค‘์‹œํ‚ค๋Š” ์•…์ˆœํ™˜์„ ์œ ๋ฐœํ•œ๋‹ค. ๊ฒฐ๊ตญ ์ƒ๋ฌผ์ข… ๋‹จ์ˆœํ™”์™€ ๋‹จํŽธํ™”๋ฅผ ์œ ๋ฐœํ•˜์—ฌ ๊ถ๊ทน์ ์œผ๋กœ ์ƒ๋ฌผ๋‹ค์–‘์„ฑ๊ฐ์†Œ๋กœ ์ด์–ด์ง„๋‹ค. ํŠนํžˆ ์šฐ๋ฆฌ๋‚˜๋ผ์˜ ํ˜ธ๋‚จ์ง€์—ญ์€ ์ง€๋ฆฌ์ , ์ง€ํ˜•์  ํŠน์„ฑ์— ์˜ํ•ด ์ „ํ†ต์  ์ƒ๊ณ„๋†์—… ๋˜๋Š” ์ง‘์•ฝ๋†์—…์ด ์ฃผ๋กœ ์ด๋ฃจ์–ด์ ธ ํ˜ธ์†Œ๋“ค์€ ์ž์ •๊ฐ€๋Šฅํ•œ ์ •๋„์˜ ์˜ค์—ผ์ŠคํŠธ๋ ˆ์Šค๋ฅผ ๋ฐ›์•„์™”์—ˆ์œผ๋‚˜ ๊ธ‰์†ํ•œ ๋„์‹œํ™”์™€ ์‚ฐ์—…ํ™”๋กœ 20์„ธ๊ธฐ ํ›„๋ฐ˜๋ถ€ํ„ฐ ์˜ค์—ผ๋ฌผ์งˆ ๋ฐœ์ƒ๋Ÿ‰๊ณผ ๋น„๋ฃŒ์‚ฌ์šฉ๋Ÿ‰์˜ ์ฆ๊ฐ€์™€ ๋ถ€์˜์–‘ํ™” ๋“ฑ์ด ์ง„์ „๋˜์–ด ํ•˜์ฒœ๊ณผ ํ˜ธ์†Œ์˜ ์ˆ˜์งˆ์˜ค์—ผ์ด ์‹ฌํ™”๋˜์–ด ์ƒํƒœ๊ณ„์˜ ๊ธฐ๋Šฅ์ด ๋งŽ์ด ํ›ผ์†๋˜์—ˆ๋‹ค(Kim and Park, 2003; Park et al., 1992; Lee et al., 2000; Seong et al., 2003). ํŠนํžˆ ์ƒ์ˆ˜์›์œผ๋กœ ์ด์šฉ๋˜๊ณ  ์žˆ๋Š” ์˜์‚ฐ๊ฐ•๊ณผ ์„ฌ์ง„๊ฐ• ์ˆ˜๊ณ„์˜ ์ฃผ์š” ํ˜ธ์†Œ์ธ ์ฃผ์•”ํ˜ธ์™€ ๋™๋ณตํ˜ธ์—์„œ๋Š” ๋งค๋…„ ์—ฌ๋ฆ„์ฒ ์— ๋‚จ์กฐ๋ฅ˜์™€ ์™€ ํŽธ๋ชจ์กฐ๋ฅ˜ ๊ทธ๋ฆฌ๊ณ  ๋…น์กฐ๋ฅ˜๊ฐ€ ์ˆ˜ํ™”(water-blooms)๋ฅผ ํ˜•์„ฑํ•˜๋Š” ๋นˆ๋„๊ฐ€ ์žฆ์•„์ง€๋ฉด์„œ ์ˆ˜์งˆ ์•…ํ™”๊ฐ€ ์šฐ๋ ค๋˜๊ณ  ์žˆ๊ณ , ์ƒ์ˆ˜์›์˜ ๋ฏธ์ƒ๋ฌผํ•™์  ์ง€ํ‘œ์ธ ๋Œ€์žฅ๊ท ๊ตฐ์˜ ์กฐ์‚ฌ์—์„œ๋„ ๊ฐ•์šฐ์— ๋”ฐ๋ฅธ ๋ถ„์›์„ฑ์˜ ์œ ์—ญ์˜ค์—ผ์ด ๋งž๋ฌผ๋ฆฌ๋ฉด์„œ ๋ฏธ์ƒ๋ฌผํ•™์  ์ˆ˜์งˆ์ด ํŠน์ • ์‹œ๊ธฐ์— ๋†’์•„์ง€๋Š” ์–‘์ƒ์„ ๋ณด์ด๊ณ  ์žˆ๋‹ค(Choi et al., 1998; Chung et al., 1994; Lee, 1999). ๋”ฐ๋ผ์„œ, ์ˆ˜์„œ์ƒํƒœ๊ณ„์˜ ๊ฑด์ „์„ฑ ์œ ์ง€์™€ ์ˆ˜์งˆ๊ด€๋ฆฌ๋ฅผ ํ†ตํ•œ ์šฉ์ˆ˜์˜ ํ™•๋ณด, ์ƒ๋ฌผ๊ตฐ์ง‘ ํŒŒ์•…, ์˜์–‘๋ฌผ์งˆ ์ˆœํ™˜๊ณผ ๋ถ€์˜์–‘ํ™”์— ๋Œ€ํ•œ ํ‰๊ฐ€ ๋“ฑ์„ ์œ„ํ•œ ํ˜ธ์ˆ˜์˜ ์ƒ๋ฌผ ์„œ์‹ํ™˜๊ฒฝ ์กฐ์‚ฌ, ์ƒ๋ฌผ์ƒ ์กฐ์‚ฌ, ์˜์–‘๋ฌผ์งˆ ์กฐ์‚ฌ๋Š” ํ•„์ˆ˜์ ์ด๋‹ค. ์ด์— ๋”ฐ๋ผ, ๋ณธ ์—ฐ๊ตฌ์—์„œ๋Š” ์ „๋ผ๋‚จ๋„์™€ ๊ด‘์ฃผ๊ด‘์—ญ์‹œ์˜ ์ฃผ์š” ํ˜ธ์†Œ์˜ ์œ ์—ญํ™˜๊ฒฝ๊ณผ ํ˜ธ์†Œํ™˜๊ฒฝ, ๊ทธ๋ฆฌ๊ณ  ์ƒ๋ฌผ์ƒ์กฐ์‚ฌ๋ฅผ ์ˆ˜ํ–‰ํ•˜์—ฌ ํ˜ธ์†Œ์ƒํƒœ๊ณ„์˜ ๊ฑด์ „์„ฑ๊ณผ ์ง€์†๊ฐ€๋Šฅ์„ฑ์ด ํ™•๋ณด๋œ ํ˜ธ์†Œ์˜ ํ™˜๊ฒฝ๊ฐœ์„ ๊ณผ ์ˆ˜์งˆ๋ณด์กด๋Œ€์ฑ…์ด ์ฒด๊ณ„์ ์ด๊ณ , ๊ณผํ•™์ ์ด๋ฉฐ, ํšจ์œจ์ ์œผ๋กœ ์ถ”์ง„๋  ์ˆ˜ ์žˆ๋Š” ๊ธฐ์ˆ ์ ์ธ ์ •๋ณด์™€ ์ง€์‹(ํ˜ธ์†Œ๋ณ„ ํฌ์Šคํ„ฐ ๋ฐ ์‚ฌ์ง„์ง‘์ œ์ž‘)์„ ์ œ๊ณตํ•˜๊ณ  ์ˆ˜์ƒํƒœ ๋ฐ ์ˆ˜์งˆ๋ณด์กด๋Œ€์ฑ…์„ ์ˆ˜๋ฆฝํ•˜๊ธฐ ์œ„ํ•œ ๊ธฐ์ดˆ์ž๋ฃŒ๋กœ ์ œ๊ณตํ•˜๊ณ ์ž ํ•œ๋‹ค.

2. Materials and Methods

2.1. ์—ฐ๊ตฌ๋‚ด์šฉ

์กฐ์‚ฌ๋Œ€์ƒ ํ˜ธ์†Œ์—์„œ ์„œ์‹ํ™˜๊ฒฝ ์กฐ์‚ฌ ๋ฐ ๋™ยท์‹๋ฌผํ”Œ๋ž‘ํฌํ†ค, ์ €์„œ์„ฑ๋Œ€ํ˜•๋ฌด์ฒ™์ถ”๋™๋ฌผ, ์ˆ˜์ƒ์‹๋ฌผ, ์–ด๋ฅ˜์˜ ๋ถ„ํฌ์™€ ํŠน์„ฑ์กฐ์‚ฌ๋ฅผ ์‹ค์‹œํ•˜์˜€๋‹ค.

2.2. ์—ฐ๊ตฌ๋ฐฉ๋ฒ• ๋ฐ ๋ฒ”์œ„

์กฐ์‚ฌ๋Œ€์ƒ ํ˜ธ์†Œ๋Š” 2011๋…„ ์ „๋ผ๋‚จ๋„์™€ ๊ด‘์ฃผ๊ด‘์—ญ์‹œ๋‚ด ์žฅ์„ฑํ˜ธ, ๋‹ด์–‘ํ˜ธ, ๊ด‘์ฃผํ˜ธ, ๋‚˜์ฃผํ˜ธ, ๋Œ€๋™ํ˜ธ, ๋ถˆ๊ฐ‘์ œ, ๋Œ€๋™์ œ, ์ˆ˜์–‘์ œ, ์˜ค๋™์ œ, ์˜์‚ฐํ˜ธ, ๊ธˆํ˜ธํ˜ธ, ์˜์•”ํ˜ธ, ํ•™ํŒŒ1์ œ, ๊ฐœ์ดˆ์ œ, ์†Œํฌ์ œ, ๋‘”์ „์ œ, ๋ด‰์•”์ œ, ๋ณด์กด์ œ, ๊ตฐ๊ณก์ œ, ์ฃผ์•”ํ˜ธ, ์ƒ์‚ฌํ˜ธ, ์ˆ˜์–ดํ˜ธ, ๋ณด์„ฑ๊ฐ•ํ˜ธ, ํ•˜๋™ํ˜ธ, ๋™๋ณตํ˜ธ, ๋ฐฑ์šด์ œ, ์žฅ์ˆ˜์ œ, ์ˆ˜๋™์ œ, ์ง€์ •์ œ ๋“ฑ 29๊ฐœ ํ˜ธ์†Œ์ด๋‹ค(Fig. 1). ์กฐ์‚ฌํ•ญ๋ชฉ์€ ํ˜ธ์†Œ์˜ ์ผ๋ฐ˜ ๋ฐ ์ด์šฉํ˜„ํ™ฉ, ์ˆ˜ํ™˜๊ฒฝ์š”์ธ ์กฐ์‚ฌ ๊ทธ๋ฆฌ๊ณ  ๋™ ์‹๋ฌผํ”Œ๋ž‘ํฌํ†ค, ์ €์„œ์„ฑ๋Œ€ํ˜•๋ฌด์ฒ™์ถ”๋™๋ฌผ, ์ˆ˜์ƒ์‹๋ฌผ, ์–ด๋ฅ˜์˜ ์ถœํ˜„์ข…, ํ˜„์กด๋Ÿ‰, ์šฐ์ ์ข… ๋“ฑ ๋ฐ€๋„์กฐ์‚ฌ ๋ฐ ์ˆ˜์ƒ์‹๋ฌผ์˜ ํฌ๊ท€์ข…๊ณผ ๊ท€ํ™”์ข…, ์–ด๋ฅ˜์˜ ๋ณดํ˜ธ์ข…๊ณผ ์™ธ๋ž˜๋„์ž…์–ด์ข…์„ ์กฐ์‚ฌํ•˜์˜€๋‹ค. ์กฐ์‚ฌ ํšŸ์ˆ˜๋Š” ์‹๋ฌผํ”Œ๋ž‘ํฌํ†ค๊ณผ ๋™๋ฌผํ”Œ๋ž‘ํฌํ†ค์€ 29๊ฐœํ˜ธ์†Œ 4ํšŒ, ๊ธฐํƒ€ ๋ถ„์•ผ๋Š” ์ฃผ์•”ํ˜ธ, ์ƒ์‚ฌํ˜ธ, ๋ณด์„ฑ๊ฐ•ํ˜ธ, ์ˆ˜์–ดํ˜ธ, ํ•˜๋™ํ˜ธ, ๋™๋ณตํ˜ธ, ๋ฐฑ์šด์ œ, ์žฅ์ˆ˜์ œ, ์ง€์ •์ œ, ์ˆ˜๋™์ œ ๋“ฑ 10๊ฐœํ˜ธ์†Œ 1ํšŒ ์ด์ƒ์„ ์‹ค์‹œํ•˜์˜€๋‹ค. ๋˜ํ•œ, ์กฐ์‚ฌ๋„๊ตฌ, ์—ฌ๊ณผ๋Ÿ‰, ์กฐ์‚ฌ์ง€์  ๋“ฑ์— ๋Œ€ํ•˜์—ฌ๋Š” ํ™˜๊ฒฝ๋ถ€ ํ˜ธ์†Œํ™˜๊ฒฝ์กฐ์‚ฌ์ง€์นจ์— ๊ทผ๊ฑฐํ•˜์—ฌ ์‹ค์‹œํ•˜์˜€๋‹ค.

Fig. 1.

Study locations of lake environment.

../../Resources/kswe/31-6/images/SJBJB8_2015_v31n6_665_f001.jpg

3. Results and Discussion

3.1. ์„œ์‹ํ™˜๊ฒฝ์กฐ์‚ฌ

์กฐ์‚ฌ๋Œ€์ƒ ํ˜ธ์†Œ์˜ ์ œ์› ๋ฐ ์ผ๋ฐ˜ํ˜„ํ™ฉ์„ Table 1์— ๋‚˜ํƒ€๋‚ด์—ˆ๋‹ค.

Table 1.

General status of lakes

../../Resources/kswe/31-6/images/SJBJB8_2015_v31n6_665_t001.jpg

* : KRC : Korea Rural Community Co.

** : KHNP : Korea Hydro & Nuclear Power Co.

๊ฐ ํ˜ธ์†Œ๋ณ„ ๊ธฐํ›„ ํ™˜๊ฒฝ์€ ํ•ด๋‹น ์ง€์—ญ ๋ฐ ์ธ์ ‘ ์ง€์—ญ ๊ธฐ์ƒ๋Œ€์˜ ๊ธฐํ›„์ž๋ฃŒ๋ฅผ ์ด์šฉํ•˜์˜€๋‹ค. ์˜์‚ฐ๊ฐ• ์„ฌ์ง„๊ฐ• ์ˆ˜๊ณ„ ๋‚ด ๊ธฐ์ƒ ํ˜„ํ™ฉ์„ ๋Œ€ํ‘œํ•  ์ˆ˜ ์žˆ๋Š” ๊ธฐ์ƒ์ฒญ์˜ ๊ธฐ์ƒ ๊ด€์ธก์†Œ๋Š” ์ˆœ์ฒœ, ๊ด‘์ฃผ, ๋ชฉํฌ, ๊ณ ํฅ, ์žฅํฅ, ํ•ด๋‚จ, ์ง„๋„, ์˜๊ด‘ ๋“ฑ 8๊ฐœ์†Œ์ด๋‹ค. 2011๋…„ ์˜์‚ฐ๊ฐ•ยท์„ฌ์ง„๊ฐ• ์ˆ˜๊ณ„์˜ ์›”๋ณ„ ๊ธฐํ›„ ๋ฐ ๊ธฐ์ƒ ํŠน์„ฑ์€ Fig. 2์™€ ๊ฐ™๋‹ค. ์—ฐํ‰๊ท  ๊ธฐ์˜จ์€ 12.6(์ˆœ์ฒœ) ~ 13.9โ„ƒ(๋ชฉํฌ)์ด๋ฉฐ, ์ตœ์ € ํ‰๊ท  ๊ธฐ์˜จ์€ โˆ’2.7โ„ƒ(1์›”), ์ตœ๊ณ  ํ‰๊ท ๊ธฐ์˜จ์€ 25.9โ„ƒ(7์›”)๋ฅผ ๋‚˜ํƒ€๋ƒˆ๋‹ค. ์›”ํ‰๊ท  ์ตœ์†Œ, ์ตœ๋Œ€ ๊ฐ•์ˆ˜๋Ÿ‰์€ ๊ฐ๊ฐ 1์›”์— 4.9, 8์›”์— 336.7 mm๋กœ ๋‚˜ํƒ€๋‚ฌ๋‹ค. ํ‰๊ท  ํ’์†์€ 1.7(9 ~ 10์›”) ~ 2.9 m/s(1์›”), ์ƒ๋Œ€์Šต๋„๋Š” 57.9(3์›”) ~ 83.9%(8์›”), ์ผ์กฐ์‹œ๊ฐ„์€ 75.8(12์›”)~243.5 hr (3์›”)๋กœ ๋‚˜ํƒ€๋‚ฌ๋‹ค. ์˜์‚ฐ๊ฐ• ์„ฌ์ง„๊ฐ• ์ˆ˜๊ณ„์˜ ํ‰๊ท ๊ธฐ์˜จ์€ ๊ณ„์ ˆ์ ์ธ ์˜ํ–ฅ์œผ๋กœ 7์›”, 8์›”์— ๋†’๊ฒŒ ๋‚˜ํƒ€๋‚ฌ๋‹ค. ์—ฐํ‰๊ท  ๊ฐ•์ˆ˜๋Ÿ‰์€ ์—ฌ๋ฆ„์ฒ ์— ์ง‘์ค‘๋˜์–ด ์žˆ๊ณ  ๊ฒจ์šธ์ฒ ์—๋Š” ๋‚ฎ๊ฒŒ ๋‚˜ํƒ€๋‚ฌ๋‹ค. 8์›”์— ๊ฐ€์žฅ ๋งŽ์€ ๊ฐ•์ˆ˜๋Ÿ‰์„ ๊ธฐ๋กํ–ˆ์œผ๋ฉฐ ํ‰๋…„(1981~2010)์— ๋น„ํ•ด 7~8์›”์˜ ๊ฐ•์ˆ˜๋Ÿ‰์ด ์ฆ๊ฐ€ํ•˜๋Š” ๊ฒฝํ–ฅ์„ ๋‚˜ํƒ€๋ƒˆ๋‹ค. ํ‰๊ท  ํ’์†์€ 12~3์›” ์‚ฌ์ด์— ๊ฐ€์žฅ ๋†’์•˜๊ณ  9~10์›”์— ๊ฐ€์žฅ ๋‚ฎ์•˜๋‹ค. ์ƒ๋Œ€์Šต๋„๋Š” ๋†’์€ ๊ฐ•์ˆ˜๋Ÿ‰์„ ๋ณด์ธ ์—ฌ๋ฆ„์ฒ ์— ๋น„๊ต์  ๋†’๊ฒŒ ๋‚˜ํƒ€๋‚ฌ๋‹ค. ์ผ์กฐ์‹œ๊ฐ„๋„ ๋†’์€ ๊ฐ•์ˆ˜๋Ÿ‰์„ ๋ณด์ธ 6~8์›”์— ๊ฐ€์žฅ ์งง์•˜๋‹ค.

Fig. 2.

Meteorological conditions of Youngsan and Seomjin river basin.

../../Resources/kswe/31-6/images/SJBJB8_2015_v31n6_665_f002.jpg

์ˆ˜์งˆ์กฐ์‚ฌ ๊ฒฐ๊ณผ์—์„œ ์ˆ˜์˜จ์€ ํ˜ธ์†Œ๋ณ„ ์—ฐํ‰๊ท  10.9(๋‹ด์–‘ํ˜ธ) ~17.5โ„ƒ (๊ด‘์ฃผํ˜ธ)์˜ ๋ฒ”์œ„๋ฅผ ๋ณด์˜€๊ณ , ์ˆ˜์†Œ์ด์˜จ๋†๋„(pH)๋Š” 7.1(๋Œ€๋™ํ˜ธ) ~ 8.3(์˜์•”ํ˜ธ), ์šฉ์กด์‚ฐ์†Œ(DO) ๋†๋„๋Š” 7.1(๋Œ€๋™ํ˜ธ) ~10.9 mg/L(์ƒ์‚ฌํ˜ธ), ์ „๊ธฐ์ „๋„๋„์˜ ๊ฒฝ์šฐ 35.3(ํ•˜๋™ํ˜ธ) ~ 5308.0 ฮผs/cm(๊ธˆํ˜ธํ˜ธ), ํด๋กœ๋กœํ•„-a๋Š” 2.7(๋™๋ณตํ˜ธ) ~ 168.4 mg/m3(์žฅ์ˆ˜์ œ), BOD, COD๋Š” ๊ฐ๊ฐ 0.6(๋ถˆ๊ฐ‘์ œ) ~ 4.8 mg/L(์žฅ์ˆ˜์ œ), 2.3(์ˆ˜์–ดํ˜ธ) ~ 14.0 mg/L(์žฅ์ˆ˜์ œ)์˜ ๋ฒ”์œ„๋กœ ๋‚˜ํƒ€๋‚ฌ๋‹ค. ๋ถ€์œ ๋ฌผ์งˆ(SS)์˜ ๊ฒฝ์šฐ 1.9(๋™๋ณตํ˜ธ) ~ 38.5 mg/L(์˜์‚ฐํ˜ธ)์˜ ๋ฒ”์œ„์˜€๊ณ , ์ด์งˆ์†Œ๋Š” 0.520(ํ•™ํŒŒ์ œ) ~ 3.900 mg/L(์˜์‚ฐํ˜ธ), ์ด์ธ์€ 0.008(ํ•™ํŒŒ์ œ) ~ 0.183 mg/L(๊ด‘์ฃผํ˜ธ)๋กœ ๋‚˜ํƒ€๋‚ฌ๋‹ค. 2008๋…„๋ถ€ํ„ฐ 2011๋…„๊นŒ์ง€ ์ˆ˜์˜จ๋ณ€ํ™”๋Š” ์—ฐํ‰๊ท  10.9 ~ 22.0โ„ƒ๋กœ ๋‹ด์–‘ํ˜ธ(2011๋…„)๊ฐ€ ๋‚ฎ์€ ์ˆ˜์˜จ ๋ถ„ํฌ๋ฅผ ๋ณด์˜€๊ณ  ํ•˜๋™ํ˜ธ(2008๋…„)๊ฐ€ ๊ฐ€์žฅ ๋†’์•˜๋‹ค. ๊ณ„์ ˆ์  ์˜ํ–ฅ์„ ๋ฐ›์•„ 8 ~ 9์›”๊นŒ์ง€ ์ƒ์Šนํ•˜๋‹ค ๊ทธ ์ดํ›„์— ๊ฐ์†Œํ•˜๋Š” ๊ฒฝํ–ฅ์„ ๋ณด์˜€๋‹ค. ์ˆ˜์†Œ์ด์˜จ๋†๋„(pH)์˜ ๊ฒฝ์šฐ ํ‰๊ท  6.8 ~ 9.2๋กœ ๋Œ€๋™ํ˜ธ(2008๋…„)๊ฐ€ ๊ฐ€์žฅ ๋‚ฎ์•˜๊ณ  ๋ณด์„ฑ๊ฐ•ํ˜ธ, ์žฅ์ˆ˜์ œ(2009๋…„)๊ฐ€ ๋†’๊ฒŒ ๋‚˜ํƒ€๋‚ฌ๋‹ค. ์šฉ์กด์‚ฐ์†Œ(DO) ๋†๋„๋Š” 5.3(๋ณด์„ฑ๊ฐ•ํ˜ธ, 2010) ~ 11.6 mg/L(๊ด‘์ฃผํ˜ธ, 2008)์˜ ๋ฒ”์œ„๋กœ ๋‚˜ํƒ€๋‚ฌ๋‹ค. ์ „๊ธฐ์ „๋„๋„์˜ ๊ฒฝ์šฐ 35.3(ํ•˜๋™ํ˜ธ, 2011๋…„) ~ 6310.0 mg/L(๊ธˆํ˜ธํ˜ธ, 2009๋…„)์˜ ๋ฒ”์œ„๋กœ ํ•ด์ˆ˜์˜ ์œ ์ž…์ด ์žˆ๋Š” ์˜์‚ฐํ˜ธ, ์˜์•”ํ˜ธ, ๊ธˆํ˜ธํ˜ธ ๋“ฑ์ด ๋†’๊ฒŒ ๋‚˜ํƒ€๋‚ฌ๋‹ค. ํด๋กœ๋กœํ•„-a๋Š” 0.8(๋Œ€๋™ํ˜ธ, 2008) ~ 168.4 mg/m3(์žฅ์ˆ˜์ œ, 2011)์˜ ๋ฒ”์œ„๋กœ ์ง€์ •์ œ, ๊ฐœ์ดˆ์ œ, ๋ณด์ „์ œ, ๋ฐ ์žฅ์ˆ˜์ œ์—์„œ ๋†’๊ฒŒ ๋‚˜ํƒ€๋‚ฌ๋‹ค. BOD ๋ฐ COD๋Š” ๊ฐ๊ฐ 0.6(๋ถˆ๊ฐ‘์ œ, 2011) ~ 5.3 mg/L(๊ฐœ์ดˆ์ œ, 2008), 2.2(์ƒ์‚ฌํ˜ธ, 2008) ~ 12.8 mg/L(์ง€์ •์ œ. 2008)์˜ ๋ฒ”์œ„๋กœ ๋Œํ˜• ํ˜ธ์†Œ์˜ ๊ฒฝ์šฐ ์ˆ˜์งˆ์ด ์–‘ํ˜ธํ•œ ์ˆ˜์ค€์ด๋ฉฐ ๋†์—…์šฉ ์ €์ˆ˜์ง€๋Š” ๊ฑฐ์˜ ๋Œ€๋ถ€๋ถ„ ๋น„๊ต์  ๋†’์€ ๋†๋„๋ฅผ ๋ณด์˜€๋‹ค. ๋ถ€์œ ๋ฌผ์งˆ(SS)์€ 1.3(์ƒ์‚ฌํ˜ธ 2008, ๋Œ€๋™ํ˜ธ 2009) ~ 38.5 mg/L(์˜์‚ฐํ˜ธ, 2011)์˜ ๋ฒ”์œ„๋กœ ๋‚˜ํƒ€๋‚ฌ๋‹ค. ์ด์งˆ์†Œ(T-N) ๋ฐ ์ด์ธ(T-P)์˜ ๊ฒฝ์šฐ ๊ฐ๊ฐ 0.010(๋™๋ณตํ˜ธ 2008, ์ฃผ์•”ํ˜ธ, ์ƒ์‚ฌํ˜ธ, ๋‹ด์–‘ํ˜ธ 2009) ~ 3.900 mg/L(์˜์‚ฐํ˜ธ, 2011), 0.008(ํ•™ํŒŒ์ œ, 2011) ~ 5.61 mg/L(๊ฐœ์ดˆ์ œ, 2009)์˜ ๋ฒ”์œ„๋ฅผ ๋ณด์˜€๋‹ค.

Fig. 3.

Water quality of lakes (1 : Juam, 2 : Sangsa, 3 : Suaeo, 4 : Bosung, 5 : Dongbok, 6 : Damyang, 7 : Gwangju, 8 : Jangseong, 9 : Naju, 10 : Youngsan, 11 : Youngam, 12 : Guemho, 13 : Daedong, 14 : Hadong, 15 : Baekun, 16 : Jangsu, 17 : Sudong, 18 : Jisung, 19 : Hakpa, 20 : Daedong reservoir, 21 : Odong, 22 : Bulgap, 23 : Kungok, 24 : Suyang, 25 : Sopo, 26 : Bongam, 27 : Dunjeon, 28 : Gaecho, 29 : Bojeon).

../../Resources/kswe/31-6/images/SJBJB8_2015_v31n6_665_f003.jpg

29๊ฐœ ์กฐ์‚ฌ ๋Œ€์ƒ ํ˜ธ์†Œ์˜ ์ˆ˜์งˆ ๋ถ„์„ ๊ฒฐ๊ณผ(MOE, 2011)๋ฅผ ๋ฐ”ํƒ•์œผ๋กœ ํ‰๊ท  ๋†๋„๋ฅผ ์‚ฐ์ •ํ•œ ํ›„ ๊ฐ ํ˜ธ์†Œ๋ณ„ ์ˆ˜์งˆ ์ƒํƒœ๋ฅผ ํ™˜๊ฒฝ์ •์ฑ…๊ธฐ๋ณธ๋ฒ• ๋ณ„ํ‘œ 1์˜ ํ˜ธ์†Œ ์ˆ˜์งˆ ๊ธฐ์ค€์— ์˜๊ฑฐํ•˜์—ฌ ํ‰๊ฐ€ํ•˜์˜€์œผ๋ฉฐ ๊ทธ ๊ฒฐ๊ณผ๋Š” Table 2์™€ ๊ฐ™๋‹ค. ๋‹ด์–‘ํ˜ธ, ์ฃผ์•”ํ˜ธ, ์ƒ์‚ฌํ˜ธ, ์ˆ˜์–ดํ˜ธ๊ฐ€ Ib ๋“ฑ๊ธ‰(์ข‹์Œ)์œผ๋กœ ํ‰๊ฐ€๋˜์—ˆ๊ณ  ์žฅ์ˆ˜์ œ๊ฐ€ VI ๋“ฑ๊ธ‰(๋งค์šฐ ๋‚˜์จ)์œผ๋กœ ํ‰๊ฐ€๋˜์—ˆ๋‹ค. ์˜์–‘๋‹จ๊ณ„ ํ‰๊ฐ€๋Š” ์ˆ˜์ • Carlson ์ง€ํ‘œ(TSIm)์˜ ํ‰๊ฐ€ ๊ธฐ์ค€์— ๋”ฐ๋ผ TP, ํด๋กœ๋กœํ•„-a๋ฅผ ์ด์šฉํ•˜์—ฌ TSIm ์ง€์ˆ˜๋ฅผ ์‚ฐ์ •ํ•˜์˜€๊ณ , ์‚ฐ์ •๋œ ์ง€์ˆ˜๋“ค์˜ ํ‰๊ท ๊ฐ’์œผ๋กœ ์˜์–‘๋‹จ๊ณ„๋ฅผ ํ‰๊ฐ€ํ•˜์˜€๋‹ค. ์ˆ˜์ • Carlson ์ง€์ˆ˜(TSIm)์˜ ํ‰๊ฐ€ ๊ธฐ์ค€์€ ์ง€์ˆ˜๊ฐ€ 40 ๋ฏธ๋งŒ์ด๋ฉด ๋นˆ์˜์–‘ํ˜ธ์ด๋ฉฐ, 40 ~ 50์ด๋ฉด ์ค‘์˜์–‘ํ˜ธ, 50์„ ์ดˆ๊ณผํ•˜๋ฉด ๋ถ€์˜์–‘ํ˜ธ๋กœ ๊ตฌ๋ถ„ํ•˜์˜€๋‹ค. ๋ฐฑ์šด์ œ๊ฐ€ ๋นˆ์˜์–‘ํ˜ธ๋กœ ๋‹ด์–‘ํ˜ธ, ๋‚˜์ฃผํ˜ธ, ์ฃผ์•”ํ˜ธ, ์ƒ์‚ฌํ˜ธ, ์ˆ˜์–ดํ˜ธ, ๋™๋ณตํ˜ธ, ํ•™ํŒŒ์ œ, ๊ตฐ๊ณก์ œ ๋“ฑ 8๊ฐœ ํ˜ธ์†Œ๊ฐ€ ์ค‘์˜์–‘ ๋‹จ๊ณ„๋กœ ๋‚˜ํƒ€๋‚ฌ์œผ๋ฉฐ ๊ทธ ์™ธ ํ˜ธ์†Œ๋Š” ๋ถ€์˜์–‘ ๋‹จ๊ณ„๋กœ ํ‰๊ฐ€๋˜์—ˆ๋‹ค.

Table 2.

Water quality class and trophic level result of lakes

../../Resources/kswe/31-6/images/SJBJB8_2015_v31n6_665_t002.jpg

3.2. ์‹๋ฌผํ”Œ๋ž‘ํฌํ†ค ๋ถ„ํฌ ๋ฐ ํŠน์„ฑ ์กฐ์‚ฌ

์˜์‚ฐ๊ฐ•ยท์„ฌ์ง„๊ฐ• ์ˆ˜๊ณ„ 29๊ฐœ ํ˜ธ์†Œ์— ๋Œ€ํ•œ 45๊ฐœ ์ง€์ ์˜ ํ˜ธ์†Œํ™˜๊ฒฝ์กฐ์‚ฌ์—์„œ ๋™์ •๋œ ์‹๋ฌผํ”Œ๋ž‘ํฌํ†ค์€ ๊ทœ์กฐ๊ฐ• 161์ข…, ๋…น์กฐ๊ฐ• 157์ข…, ๋‚จ์กฐ๊ฐ• 39์ข… ๊ทธ๋ฆฌ๊ณ  ์œ ๊ธ€๋ ˆ๋‚˜๊ฐ•์„ ํฌํ•จํ•œ ๊ธฐํƒ€ 67์—ฌ์ข…์œผ๋กœ ์ด 424์ข…์ด์—ˆ๋‹ค. ๋ถ„๋ฅ˜๊ตฐ๋ณ„ ์กฐ์„ฑ์€ ๊ทœ์กฐ๊ฐ• 38%, ๋…น์กฐ๊ฐ• 37%, ๋‚จ์กฐ๊ฐ• 9% ๋“ฑ์œผ๋กœ ๊ทœ์กฐ๊ฐ•๊ณผ ๋…น์กฐ๊ฐ•์˜ ์‹๋ฌผํ”Œ๋ž‘ํฌํ†ค์ด ์ฃผ๋ฅผ ์ด๋ฃจ๋Š” ํŠน์ง•์„ ๋ณด์˜€๋‹ค(Fig. 4).

Fig. 4.

Species variation of phytoplankton at 29 lakes.

../../Resources/kswe/31-6/images/SJBJB8_2015_v31n6_665_f004.jpg

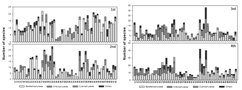
๊ฐ ์กฐ์‚ฌ์ง€์ ๋ณ„ ์ถœํ˜„์ข…์ˆ˜๋Š” 1์ฐจ ์กฐ์‚ฌ์—์„œ 2์ข…(์˜์‚ฐํ˜ธ1-์ƒ์ธต) ~ 22์ข…(๋Œ€๋™ํ˜ธ), 2์ฐจ ์กฐ์‚ฌ์—์„œ 2์ข…(์˜์•”ํ˜ธ3) ~ 28์ข…(์†Œํฌ์ œ), 3์ฐจ ์กฐ์‚ฌ์—์„œ 3์ข…(์˜์•”ํ˜ธ1) ~ 33์ข…(๋‘”์ „์ œ), 4์ฐจ ์กฐ์‚ฌ์—๋Š” 4์ข…(์˜์•”ํ˜ธ1,2) ~ 40์ข…(๋‘”์ „์ œ)์˜ ๋ฒ”์œ„๋ฅผ ๋ณด์˜€๋‹ค(Fig. 5). ์กฐ์‚ฌ ๊ธฐ๊ฐ„ ๋™์•ˆ 4์ฐจ ์กฐ์‚ฌ์‹œ๊ธฐ์— ๋‹ค์–‘ํ•œ ์ข…์ด ๋”์šฑ ๋งŽ์ด ์ถœํ˜„ํ•œ ๊ฒƒ์œผ๋กœ ๋ณด์ธ๋‹ค. ๊ฐœ์ดˆ์ œ, ๋‘”์ „์ œ ์ง€์ ์€ 1์ฐจ ~ 4์ฐจ ์กฐ์‚ฌ๊ธฐ๊ฐ„ ๋™์•ˆ ์‹๋ฌผํ”Œ๋ž‘ํฌํ†ค์ด ๊ฐ€์žฅ ํ’๋ถ€ํ•˜๊ฒŒ ์ถœํ˜„ํ•˜๋Š” ๊ฒƒ์œผ๋กœ ๋‚˜ํƒ€๋‚ฌ์œผ๋ฉฐ, ๋‘ ์ง€์  ๋ชจ๋‘ 4์ฐจ ์กฐ์‚ฌ์‹œ๊ธฐ์—๋Š” 40์ข… ์ด์ƒ์œผ๋กœ ๋งค์šฐ ๋‹ค์–‘ํ•˜๊ฒŒ ์ถœํ˜„ํ•˜์˜€๋‹ค. ๋Œ€๋™ํ˜ธ, ๋Œ€๋™์ œ, ์†Œํฌ์ œ, ๊ตฐ๊ณก์ œ, ๊ฐœ์ดˆ์ œ, ๋‘”์ „์ œ ์ง€์ ์€ ๋น„๊ต์  ๋‹ค์–‘ํ•œ ์ข…๋“ค์ด ์ถœํ˜„ํ•˜์˜€์ง€๋งŒ, ์˜์‚ฐํ˜ธ, ๊ธˆํ˜ธํ˜ธ, ์˜์•”ํ˜ธ ๋“ฑ์˜ ํ•˜์ฒœํ˜• ํ˜ธ์†Œ์—์„œ๋Š” ๋นˆ์•ฝํ•œ ์ข…์กฐ์„ฑ์„ ๊ฐ–๋Š” ๊ฒƒ์œผ๋กœ ์กฐ์‚ฌ๋˜์—ˆ๋‹ค.

Fig. 5.

Species number distribution at lakes (1 : Dongbok-1 up, 2 : Dongbok-1 middle, 3 : Dongbok-1 down, 4 : Dongbok-2 up, 5 : Dongbok-2 middle, 6 : Dongbok-2 down, 7 : Jangseong-1, 8 : Jangseong-2, 9 : Damyang-1, 10 : Damyang-2, 11 : Gwangju-1, 12 : Gwangju-2, 13 : Naju-1, 14 : Naju-1, 15 : Daedong, 16 : Bulgap, 17 : Daedong reservoir, 18 : Suyang, 19 : Odong, 20 : Sopo, 21 : Kungok, 22 : Youngsan-1 up, 23 : Youngsan-1 middle, 24 : Youngsan-2 up, 25 : Youngsan-2 middle, 26 : Youngsan-3 up, 27 : Youngsan-3 middle, 28 : Guemho-1, 29 : Guemho-2, 30 : Guemho-3, 31 : Youngam-1, 32 : oungam-2, 33 : Youngam-3, 34 : Gaecho, 35 : Hakpa, 36 : Bongam, 37 : Dunjeon, 38 : Bojeon, 39 : Juam-1, 40 : Juam-2, 41 : Juam-3, 42 : Bosung-1, 43 : Bosung-2, 44 : Sangsa-1, 45 : Sangsa-2, 46 : Suaeo-1, 47 : Suaeo-2, 48 : Hadong, 49 : Baekun, 50 : Jangsu, 51 : Jisung, 52 : Sudong)

../../Resources/kswe/31-6/images/SJBJB8_2015_v31n6_665_f005.jpg

์‹๋ฌผํ”Œ๋ž‘ํฌํ†ค์˜ ๊ฐœ์ฒด๊ตฐ ๋ฐ€๋„๋Š” 1์ฐจ ์กฐ์‚ฌ์—์„œ๋Š” 71(์˜์‚ฐํ˜ธ1-์ƒ์ธต) ~ 3,263 cells/ml(๋Œ€๋™์ œ), 2์ฐจ ์กฐ์‚ฌ์—์„œ๋Š” 19(์˜์‚ฐํ˜ธ1-์ƒ์ธต) ~ 12,059 cells/ml(์†Œํฌ์ œ), 3์ฐจ ์กฐ์‚ฌ์—์„œ๋Š” 43(๊ธˆํ˜ธํ˜ธ1) ~ 53,161 cells/ml(๋Œ€๋™์ œ), 4์ฐจ ์กฐ์‚ฌ์—์„œ๋Š” 16(์˜์‚ฐํ˜ธ3-์ƒ์ธต) ~ 9,601 cells/ml(๋Œ€๋™์ œ)์˜ ๋ฒ”์œ„๋ฅผ ๋ณด์˜€๋‹ค(Fig. 6). ์†Œํฌ์ œ ์ง€์ ์—์„œ๋Š” 2์ฐจ์‹œ๊ธฐ์— ๊ฐœ์ฒด๊ตฐ ๋ฐ€๋„๊ฐ€ ๋งค์šฐ ๋†’์•˜๋Š”๋ฐ ์ด๋Š” ๋‚จ์กฐ๋ฅ˜์ธ Coelosphaerium naegelianum ์ด 6,545 cells/ml, ๊ทธ๋ฆฌ๊ณ  Lyngbya limnetica ๊ฐ€ 2,014 cells/ml๋กœ ๋ฒˆ์„ฑํ•œ ๊ฒƒ์— ๊ธฐ์ธํ•˜์˜€๋‹ค. ๊ทธ๋ฆฌ๊ณ  ๋ถˆ๊ฐ‘์ œ ์ง€์ ์ด 2์ฐจ ์กฐ์‚ฌ์—์„œ ๋†’์€ ๊ฐœ์ฒด๊ตฐ ๋ฐ€๋„๋ฅผ ๋ณด์ธ ๊ฒƒ์€ ๋‚จ์กฐ๋ฅ˜์ธ Anabaena sp.์™€ ๋…น์กฐ๋ฅ˜์ธ Dictyosphaerium pulchellum ์ด ๋ฒˆ์„ฑํ•œ ๊ฒฐ๊ณผ์˜€๋‹ค. ๊ฐœ์ดˆ์ œ ์ง€์ ์—์„œ๋Š” 6์›”์— ๋†’์€ ๊ฐœ์ฒด๊ตฐ ๋ฐ€๋„๋ฅผ ๋ณด์—ฌ์ฃผ์—ˆ๋Š”๋ฐ, ์ด๋Š” ๋‚จ์กฐ๋ฅ˜์ธ Anabaena crassa ๊ฐ€ 2,195 cells/ml๋กœ, Merismopedia tenuissima๊ฐ€ 1,663 cells/ml์œผ๋กœ ์šฐ์ ํ•˜์˜€๊ธฐ ๋•Œ๋ฌธ์ด์—ˆ๋‹ค. ๋Œ€๋™์ œ ์ง€์ ์ด 8์›” ์กฐ์‚ฌ์—์„œ ๋†’์€ ๊ฐœ์ฒด๊ตฐ ๋ฐ€๋„๋ฅผ ๋ณด์ธ ๊ฒƒ์€ ๋‚จ์กฐ๋ฅ˜์ธ Phormidium sp.๊ฐ€ 51,865 cells/ml๋กœ ๋ฒˆ์„ฑํ•˜์˜€๊ธฐ ๋•Œ๋ฌธ์ด๋‹ค. ๊ฐœ์ฒด๊ตฐ ๋ฐ€๋„๊ฐ€ ๋†’์•˜๋˜ 2์ฐจ์กฐ์‚ฌ ์‹œ์˜ ์šฐ์ ์ข…์ด ์ฃผ๋กœ ๋‚จ์กฐ๋ฅ˜์˜€๋˜ ๊ฒƒ์€ ์กฐ์‚ฌ๋Œ€์ƒ ํ˜ธ์†Œ๋“ค์ด ์˜จ๋Œ€์ง€๋ฐฉ ํ˜ธ์†Œ ์‹๋ฌผํ”Œ๋ž‘ํฌํ†ค ๋ถ„ํฌ์˜ ์ผ๋ฐ˜์ ์ธ ํŒจํ„ด์„ ๋”ฐ๋ฅธ ๊ฒฐ๊ณผ๋กœ ๋ณด์ธ๋‹ค. ๋ฐฑ์šด์ œ ์ง€์ ์—์„œ๋Š” 10์›”์— ๊ทœ์กฐ๋ฅ˜์ธ Aulacoseira distans ๊ฐ€ 2,696 cells/ml๋กœ ์šฐ์ ํ•˜์˜€๋Š”๋ฐ, ์ด๋Š” ๊ฐ€์„ ์ดํ›„ ๊ทœ์กฐ๊ฐ€ ์šฐ์ ํ•˜๋Š” ์˜จ๋Œ€ ํ˜ธ์†Œ์˜ ์ฒœ์ดํŒจํ„ด์„ ๋‚˜ํƒ€๋‚ธ ๊ฒƒ์œผ๋กœ ๋ณด์ธ๋‹ค. 10% ์ด์ƒ์˜ ์šฐ์ ์œจ์„ ๋ณด์ด๋ฉฐ 3์ง€์  ์ด์ƒ์—์„œ ์šฐ์ ํ•˜์˜€๋˜ ์ข…์€ 1์ฐจ ์กฐ์‚ฌ์—์„œ๋Š” Asterionella formosa, Aulacoseira ambigua, Aulacoseira distans, Cyclotella sp., Fragilaria crotonensis, Chlamydomonas orbicularis., Monoraphidium arcuatum, Monoraphidium contortum ์ด์—ˆ๊ณ , 2์ฐจ ์กฐ์‚ฌ์—์„œ๋Š” Asterionella formosa, Aulacoseira ambigua, Aulacoseira granulata, Chaetoceros sp., Cyclotella sp., Fragilaria crotonensis, Merismopedia tenuissima, Phormidium sp.์ด์—ˆ์œผ๋ฉฐ, 3์ฐจ ์กฐ์‚ฌ์—์„œ๋Š” Aulacoseira ambigua, Aulacoseira distans, Aulacoseira granulata, Chaetoceras sp. Scenedesmus incrassatulus, Tetraedron minimum, Aphanothece clathrata, Phormidium sp., 4์ฐจ ์กฐ์‚ฌ์—์„œ๋Š” Asterionella formosa, Aulacoseira ambigua, Aulacoseira distans, Aulacoseira granulata, Chaetoceras sp., Cyclotella sp., Stephanodiscus sp., Pandorina morum, Staurastrum planctonicum var. ornatum, Phormidium sp., Trachelomonas volvocina ์ด์—ˆ๋‹ค. 20% ์ด์ƒ์˜ ์šฐ์ ์œจ์„ ๋ณด์ด๋ฉฐ ์„ฑ์žฅํ•œ ์กฐ๋ฅ˜๋Š” Asterionella formosa, Aulacoseira ambigua, Aulacoseira distans, Aulacoseira granulata, Cyclotella sp., Synedra acus, Coelastrum reticulatum, Pandorina morum, Scenedesmus arcuatus, Aphanothece clathrata, Microcystis aeruginosa, Phormidium sp. ๋“ฑ์˜ ์ข…์ด์—ˆ๋‹ค. ํด๋กœ๋กœํ•„-a์˜ ๋†๋„๋Š” 1์ฐจ ์กฐ์‚ฌ์—์„œ 1.06(์ฃผ์•”ํ˜ธ1) ~ 28.57 mg/m3 (์†Œํฌ์ œ), 2์ฐจ ์กฐ์‚ฌ์—์„œ๋Š” 0.39(์ˆ˜์–ดํ˜ธ1) ~ 220.72 mg/m3 (๊ฐœ์ดˆ์ œ), 3์ฐจ ์กฐ์‚ฌ๋Š” 0.19(๋™๋ณตํ˜ธ1 ํ•˜์ธต) ~ 71.18 mg/m3 (๋‘”์ „์ œ), 4์ฐจ ์กฐ์‚ฌ์—์„œ๋Š” 0.28 (๋™๋ณตํ˜ธ1 ํ•˜์ธต) ~ 11.92 mg/m3 (๋‘”์ „์ œ)์˜ ๋ฒ”์œ„๋ฅผ ๋ณด์˜€๋‹ค(Fig. 7). ์ „ ์กฐ์‚ฌ๊ธฐ๊ฐ„ ์ค‘ 4์ฐจ ์กฐ์‚ฌ์‹œ๊ธฐ์— ํด๋กœ๋กœํ•„์˜ ๋†๋„๊ฐ€ ๋šœ๋ ท์ด ๊ฐ์†Œํ•˜๋Š” ๊ฒƒ์„ ํ™•์ธํ•  ์ˆ˜ ์žˆ์—ˆ๋Š”๋ฐ, ์ด๋Š” ๊ฐ€์„์ฒ ์˜ ์กฐ๋ฅ˜๋ฒˆ์„ฑ ํ›„ ์‡ ํ‡ด๊ธฐ์— ๊ฐœ์ฒด์ˆ˜๊ฐ€ ๊ฐ์†Œํ•œ ๊ฒƒ์ด ๋ฐ˜์˜๋œ ๊ฒฐ๊ณผ๋กœ ํ•ด์„๋œ๋‹ค. ๊ฐœ์ดˆ์ œ ์ง€์ ์—์„œ๋Š” 1์ฐจ ~ 3์ฐจ ์กฐ์‚ฌ ๊ธฐ๊ฐ„๋™์•ˆ ํด๋กœ๋กœํ•„์ด 25 ~ 220.72 mg/m3๋กœ ๋งค์šฐ ๋†’๊ฒŒ ๋‚˜ํƒ€๋‚ฌ๋‹ค. ํŠนํžˆ 2์ฐจ ์กฐ์‚ฌ ์‹œ์— ์‹๋ฌผํ”Œ๋ž‘ํฌํ†ค์˜ ๊ฐœ์ฒด์ˆ˜ ๋ฐ€๋„๋Š” ๋†’์ง€ ์•Š์•˜๋Š”๋ฐ๋„ ํด๋กœ๋กœํ•„์˜ ๋†๋„๊ฐ€ 200 mg/m3 ์ด์ƒ์œผ๋กœ ๋งค์šฐ ๋†’๊ฒŒ ๋‚˜ํƒ€๋‚ฌ๋Š”๋ฐ, ์ด๋Š” 2์ฐจ ์กฐ์‚ฌ๊ฐ€ ์ด๋ฃจ์–ด์ง„ ๋•Œ์— ์ €์ˆ˜์ง€ ์ „์ฒด์— ๋„“๊ฒŒ ํผ์ง„ ๋ถ€์œ ์‹๋ฌผ(์ข€๊ฐœ๊ตฌ๋ฆฌ๋ฐฅ)์˜ ๋ฒˆ์„ฑ์— ์˜ํ•œ ๊ฒƒ์œผ๋กœ ๋ณด์ธ๋‹ค. ํด๋กœ๋กœํ•„ ๋†๋„๋Š” ์ˆ˜์ค‘ ์‹๋ฌผํ”Œ๋ž‘ํฌํ†ค ์ƒ๋ฌผ๋Ÿ‰์˜ ์ฒ™๋„๊ฐ€ ๋˜์ง€๋งŒ ๋ถ„๋ฅ˜๊ตฐ์— ๋”ฐ๋ผ ํฌ๊ธฐ์˜ ํŽธ์ฐจ๊ฐ€ ๋งค์šฐ ํฐ ์‹๋ฌผํ”Œ๋ž‘ํฌํ†ค์€ ๊ฐœ์ฒด์ˆ˜์— ๊ธฐ์ดˆํ•œ ์ƒ๋ฌผ๋Ÿ‰๊ณผ ํด๋กœ๋กœํ•„ ์ƒ๋ฌผ๋Ÿ‰ ์‚ฌ์ด์—๋Š” ๋ถˆ์ผ์น˜์˜ ์ •๋„๊ฐ€ ํฐ ๊ฒฝ์šฐ๊ฐ€ ๋งŽ๋‹ค. ์ด๋ฒˆ ์กฐ์‚ฌ์—์„œ๋„ ์‹๋ฌผํ”Œ๋ž‘ํฌํ†ค์˜ ๊ฐœ์ฒด์ˆ˜์™€ ํด๋กœ๋กœํ•„ ๋†๋„ ์‚ฌ์ด์—๋Š” ํฐ ๋ถˆ์ผ์น˜๊ฐ€ ์žˆ์—ˆ๋‹ค.

Fig. 6.

Cell number variation at lakes.

../../Resources/kswe/31-6/images/SJBJB8_2015_v31n6_665_f006.jpg
Fig. 7.

Chlorophyll-a variation at lakes.

../../Resources/kswe/31-6/images/SJBJB8_2015_v31n6_665_f007.jpg

3.3. ๋™๋ฌผํ”Œ๋ž‘ํฌํ†ค ๋ถ„ํฌ ๋ฐ ํŠน์„ฑ ์กฐ์‚ฌ

์ง€์ ์— ๋”ฐ๋ผ ์—ฐ์ค‘ 1ํšŒ ๋˜๋Š” 2ํšŒ์˜ ๊ณ ๋ฐ€๋„์‹œ๊ธฐ๊ฐ€ ๊ด€์ฐฐ๋˜์—ˆ์œผ๋ฉฐ ๊ฐ ํ˜ธ์†Œ์˜ ํŠน์„ฑ์— ๋”ฐ๋ผ ์ตœ๊ณ ๋ฐ€๋„๋ฅผ ๋‚˜ํƒ€๋‚ด๋Š” ์‹œ๊ธฐ๊ฐ€ ๋‹ค๋ฅด๋‚˜ ํ‰๊ท ์ ์œผ๋กœ ๋ณผ ๋•Œ (n=180) 2011๋…„ 29๊ฐœ ํ˜ธ์†Œ์—์„œ 45๊ฐœ ์ง€์ ์˜ ํ‰๊ท  ๋™๋ฌผํ”Œ๋ž‘ํฌํ†ค ๋ฐ€๋„๋Š” 369ยฑ827 ๊ฐœ์ฒด/L๋กœ ํŒŒ์•…๋˜์—ˆ๋‹ค. ๊ฐ€์žฅ ๋†’์€ ํ‰๊ท ๋ฐ€๋„๋ฅผ ๋‚˜ํƒ€๋‚ธ ์ง€์ ์€ ์ˆ˜๋™์ œ (2,104ยฑ3,354)์˜€์œผ๋ฉฐ ๊ทธ ๋‹ค์Œ์œผ๋กœ ์˜์•”ํ˜ธ3 (1,686ยฑ2,741) ๊ทธ๋ฆฌ๊ณ  ์žฅ์ˆ˜์ œ (1,526ยฑ2,529 ๊ฐœ์ฒด/L) ์ˆœ์ด์—ˆ๋‹ค. ์ด ์„ธ ์ง€์ ์˜ ๊ฒฝ์šฐ ๋งค์šฐ ๋†’์€ ๋ฐ€๋„๋ถ„ํฌ๋ฅผ ๋‚˜ํƒ€๋‚ด๊ณ  ์ด์™ธ์˜ ๋‹ค๋ฅธ ์ง€์ ๋“ค๊ณผ ์œ ์‚ฌํ•œ ๋ฐ€๋„๋ฅผ ๋‚˜ํƒ€๋‚ด๋Š” ํŠน์ง•์„ ๊ฐ€์ง€๋Š” ๊ฒƒ์œผ๋กœ ๋ถ„์„๋˜์—ˆ๋‹ค. ์ „์ฒด ์ง€์  ์ค‘ ํ‰๊ท ๋ณด๋‹ค ๋‚ฎ์€ ๋ฐ€๋„๋ฅผ ๋ณด์ด๋Š” ์ง€์ ์€ 34์ง€์ ์œผ๋กœ ๊ฑฐ์˜ ๋Œ€๋ถ€๋ถ„์ด์—ˆ์œผ๋ฉฐ, ์ด์ค‘ ๋‹ด์–‘ํ˜ธ1 (41ยฑ31), ๊ด‘์ฃผํ˜ธ2 (85ยฑ55), ๋ณด์ „์ œ (19ยฑ17), ๋ณด์„ฑํ˜ธ1 (89ยฑ113) ๊ทธ๋ฆฌ๊ณ  ๋ฐฑ์šด์ œ (46ยฑ35 ๊ฐœ์ฒด/L)๋Š” ์—ฐ์ค‘ ์ตœ์ €์ˆ˜์ค€์˜ ํ‰๊ท ๋ฐ€๋„๋ฅผ ๋‚˜ํƒ€๋ƒˆ๋‹ค. ๋ฐ˜๋ฉด, ์žฅ์„ฑํ˜ธ, ๋Œ€๋™ํ˜ธ, ๋Œ€๋™์ œ, ์˜์•”ํ˜ธ2, ๊ฐœ์ดˆ์ œ, ๊ตฐ๊ณก์ œ, ์ฃผ์•”ํ˜ธ1๊ณผ 2์—์„œ๋Š” 387 ~ 725 ๊ฐœ์ฒด/L์˜ ์ƒ๋Œ€์ ์œผ๋กœ ๋†’์€ ํ‰๊ท ๋ฐ€๋„๋ฅผ ๋ณด์—ฌ์ฃผ์—ˆ๋‹ค(Fig. 8).

Fig. 8.

Mean zooplankton abundance at lakes(n=4) (1: Jangseong-1, 2: Jangseong-2, 3: Damyang-1, 4: Damyang-2, 5: Gwangju-1, 6: Gwangju-2, 7: Naju-1, 8: Naju-2, 9: Suyang, 10: Bulgap, 11: Daedong, 12: Daedong reservoir, 13: Odong, 14: Youngsan-1, 15: Youngsan-2, 16: Youngsan-3, 17: Youngam-1, 18: Youngam-2, 19: Youngam-3, 20: Guemho-1, 21: Guemho-2, 22: Guemho-3, 23: Gaecho, 24: Hakpa, 25: Bojeon, 26: Dunjeon, 27: Bongam, 28: Sopo, 29: Kungok, 30: Sudong, 31: Jisung, 32: Bosung-1, 33: Bosung-2, 34: Dongbok-1, 35: Dongbok-2, 36: Juam-1, 37: Juam-2, 38: Juam-3, 39: Sangsa-1, 40: Sangsa-2, 41: Jangsu, 42: Baekun, 43: Suaeo-1. 44: Suaeo-2, 45: Hadong).

../../Resources/kswe/31-6/images/SJBJB8_2015_v31n6_665_f008.jpg

๊ฐ ๋ถ„๋ฅ˜๊ตฐ๋ณ„๋กœ 4์ฐจ์— ๊ฑธ์นœ ์กฐ์‚ฌ์˜ ์ง€์ ๋ณ„ ํ‰๊ท  (n=180) ๋ฐ€๋„๋ฅผ ๋ณผ ๋•Œ, ์œค์ถฉ๋ฅ˜๊ฐ€ 259ยฑ349 ๊ฐœ์ฒด/L๋กœ ๊ฐ€์žฅ ๋†’์€ ๋ฐ€๋„๋ฅผ ๋ณด์˜€๊ณ  ๊ทธ ๋‹ค์Œ์œผ๋กœ ์ง€๊ฐ๋ฅ˜๊ฐ€ 48ยฑ87, ์š”๊ฐ๋ฅ˜ ์œ ์ƒ์ด 43ยฑ51 ๊ทธ๋ฆฌ๊ณ  ์š”๊ฐ๋ฅ˜๊ฐ€ 20ยฑ30 ๊ฐœ์ฒด/L์˜ ์ˆœ์œผ๋กœ ์กฐ์‚ฌ๋Œ€์ƒ์ธ ์ „๋‚จ์ง€์—ญ ํ˜ธ์†Œ๋“ค์—์„œ๋Š” ์œค์ถฉ๋ฅ˜์˜ ๋ฐ€๋„๊ฐ€ ๊ฐ€์žฅ ๋†’์€ ๊ฒƒ์œผ๋กœ ํŒŒ์•…๋˜์—ˆ๋‹ค. 1 ~ 4์ฐจ์˜ ํ‰๊ท ๋ฐ€๋„(n=4)๋ฅผ ๋ณด๋ฉด, ํ˜ธ์†Œ์— ๋”ฐ๋ผ ํŠน์ • ๊ตฐ์ง‘์˜ ๊ฐ•์„ธ๊ฐ€ ์ž˜ ๋‚˜ํƒ€๋‚˜ ์œค์ถฉ๋ฅ˜๋Š” 9 (๋ณด์ „์ œ) ~1,859 ๊ฐœ์ฒด/L (์ˆ˜๋™์ œ)๋กœ ํฐ ํญ์˜ ๋ณ€ํ™”๋ฅผ ๋‚˜ํƒ€๋ƒˆ๋‹ค. ์œค์ถฉ๋ฅ˜์˜ ๊ฒฝ์šฐ ์ˆ˜๋™์ œ์™€ ๋”๋ถˆ์–ด ์˜์•”ํ˜ธ3 (1,598ยฑ2,737 ๊ฐœ์ฒด/L)์—์„œ ๊ฐ€์žฅ ๋†’์€ ์ˆ˜์ค€์˜ ๋ถ„ํฌ๋ฅผ ๋ณด์—ฌ์ฃผ๊ณ  ์žˆ์œผ๋ฉฐ ๋‹ค์Œ์œผ๋กœ ๋Œ€๋™์ œ (544ยฑ707), ๊ตฐ๊ณก์ œ (515ยฑ515), ์žฅ์„ฑํ˜ธ1 (491ยฑ506) ๊ทธ๋ฆฌ๊ณ  ๋Œ€๋™ํ˜ธ (432ยฑ774 ๊ฐœ์ฒด/L) ๋“ฑ์—์„œ ๋†’์•˜๋‹ค. ์ง€๊ฐ๋ฅ˜๊ฐ€ ๊ฐ€์žฅ ๋†’์€ ๋ฐ€๋„๋กœ ์ถœํ˜„ํ•˜๋Š” ์ง€์ ์€ ์žฅ์ˆ˜์ œ์˜€์œผ๋ฉฐ ํ‰๊ท  (n=4) 1,133ยฑ2,215 ๊ฐœ์ฒด/L์˜ ๋†’์€ ๋ฐ€๋„๋ฅผ ๋‚˜ํƒ€๋ƒˆ๋‹ค. ์ด์™ธ์—๋„ ์ˆ˜์–‘์ œ (235ยฑ470), ๋Œ€๋™์ œ (119ยฑ230) ๊ทธ๋ฆฌ๊ณ  ๋ณด์„ฑํ˜ธ2 (114ยฑ229 ๊ฐœ์ฒด/L)์—์„œ๋„ ๋น„๊ต์  ๋†’์€ ๋ฐ€๋„๋กœ ๋‚˜ํƒ€๋‚ฌ๋‹ค. ์š”๊ฐ๋ฅ˜๋Š” ๋‚ฎ์€ ๋ฐ€๋„๋ถ„ํฌ๋ฅผ ๋ณด์˜€์œผ๋ฉฐ ์ด 45๊ฐœ ์ง€์  ์ค‘ 24๊ฐœ ์ง€์ ์—์„œ ํ‰๊ท (n=4) 10 ๊ฐœ์ฒด/L ์ดํ•˜๋กœ ์ถœํ˜„ํ•˜์˜€๋‹ค. ๋ฐ˜๋ฉด, ๊ฐœ์ดˆ์ œ์—์„œ๋Š” 219ยฑ411 ๊ฐœ์ฒด/L๋กœ ์ตœ๊ณ ๋ฐ€๋„๋ฅผ ๋ณด์˜€๊ณ  ์ˆ˜๋™์ œ (105ยฑ193), ํ•˜๋™ํ˜ธ (65ยฑ122) ๊ทธ๋ฆฌ๊ณ  ํ•™ํŒŒ์ œ (64ยฑ76 ๊ฐœ์ฒด/L)์—์„œ๋Š” ์ƒ๋Œ€์ ์œผ๋กœ ๋†’์€ ์š”๊ฐ๋ฅ˜ ๋ฐ€๋„๊ฐ€ ๊ด€์ฐฐ๋˜์—ˆ๋‹ค. ์š”๊ฐ๋ฅ˜ ์œ ์ƒ์€ ์„ฑ์ฒด์— ๋น„ํ•ด ๋†’์€ ๋ฐ€๋„๋ถ„ํฌ๋ฅผ ๋‚˜ํƒ€๋‚ด๋Š” ์ง€์ ์ด ๋งŽ์•˜๊ณ  ํŠนํžˆ ๊ฐœ์ดˆ์ œ (199ยฑ321)์™€ ์žฅ์ˆ˜์ œ (172ยฑ240), ์ˆ˜๋™์ œ (127ยฑ129) ๊ทธ๋ฆฌ๊ณ  ์ง€์ •์ œ (120ยฑ195)์—์„œ๋Š” 100 ๊ฐœ์ฒด/L์ด์ƒ์˜ ๋†’์€ ๋ฐ€๋„๋ฅผ ๋ณด์ธ ๋ฐ˜๋ฉด ๋Œ€๋ถ€๋ถ„์˜ ์ง€์ ์—์„œ๋Š” ๋‹ค์†Œ ๋‚ฎ์€ ๋ฐ€๋„ ๋ถ„ํฌ๋ฅผ ๋‚˜ํƒ€๋ƒˆ๋‹ค. ๋†’์€ ์š”๊ฐ๋ฅ˜ ์œ ์ƒ์˜ ๋ฐ€๋„๋ฅผ ๋ณด์ธ ์ง€์  ์ค‘ ์žฅ์ˆ˜์ œ์™€ ์š”๊ฐ๋ฅ˜์˜ ๋ฐ€๋„๋Š” ๋†’์œผ๋‚˜ ์œ ์ƒ์˜ ๋ฐ€๋„๋Š” ํ•˜๋™ํ˜ธ๋ฅผ ์ œ์™ธํ•˜๊ณ  ์ „์ฒด์ ์œผ๋กœ ์š”๊ฐ๋ฅ˜ ์„ฑ์ฒด๊ฐ€ ๋งŽ์ด ์ถœํ˜„ํ•œ ์ง€์ ์—์„œ๋Š” ์œ ์ƒ์˜ ๋ฐ€๋„ ๋˜ํ•œ ๋†’์€ (R2=0.73) ๊ฒƒ์œผ๋กœ ํŒŒ์•…๋˜์—ˆ๋‹ค(Fig. 9). 45๊ฐœ ์ง€์ ์—์„œ 4ํšŒ์— ๊ฑธ์นœ ์กฐ์‚ฌ์—์„œ ํ‰๊ท  (n=4) 2 ~ 10๋ถ„๋ฅ˜๊ตฐ์˜ ์ข…๋‹ค์–‘์„ฑ ๋ถ„ํฌ๋ฅผ ๋ณด์˜€๋‹ค. ์—ฐ์ค‘ ๊ฐ€์žฅ ๋†’์€ ์ถœํ˜„๋ถ„๋ฅ˜๊ตฐ ์ˆ˜๋ฅผ ๋ณด์ธ ์ง€์ ์€ ๊ฐœ์ดˆ์ œ๋กœ 10.3๋ถ„๋ฅ˜๊ตฐ์ด์—ˆ์œผ๋ฉฐ ๋‹ค์Œ์œผ๋กœ๋Š” ๋Œ€๋™์ œ, ๋‘”์ „์ œ ๊ทธ๋ฆฌ๊ณ  ์†Œํฌ์ œ๊ฐ€ ๋ชจ๋‘ 8.5, ๊ทธ๋ฆฌ๊ณ  ์˜์‚ฐํ˜ธ1 (7.8)๊ณผ ๋‚˜์ฃผํ˜ธ1 (7.0๋ถ„๋ฅ˜๊ตฐ) ์ˆœ์ด์—ˆ๋‹ค. ๋ฐ˜๋ฉด, ๋ณด์„ฑํ˜ธ2์™€ ํ•˜๋™ํ˜ธ๋Š” 2.3, ์ƒ์‚ฌํ˜ธ1๊ณผ ์ˆ˜์–ดํ˜ธ2๊ฐ€ 2.5 ๊ทธ๋ฆฌ๊ณ  ์˜์•”ํ˜ธ1๊ณผ ๊ธˆํ˜ธํ˜ธ1์ด 2.8๋ถ„๋ฅ˜๊ตฐ์œผ๋กœ ์—ฐ์ค‘ ๊ฐ€์žฅ ๋‚ฎ์€ ์ˆ˜์ค€์˜ ์ข…๋‹ค์–‘์„ฑ์„ ๋ณด์˜€๋‹ค(Fig. 10).

Fig. 9.

Mean zooplankton abundance by community at lakes.

../../Resources/kswe/31-6/images/SJBJB8_2015_v31n6_665_f009.jpg
Fig. 10.

Mean number of species of zooplankton.

../../Resources/kswe/31-6/images/SJBJB8_2015_v31n6_665_f010.jpg

45๊ฐœ ์ง€์ ์˜ ๋ถ„๊ธฐ๋ณ„ ๋™๋ฌผํ”Œ๋ž‘ํฌํ†ค ๋ˆ„์  ์ถœํ˜„๋ถ„๋ฅ˜๊ตฐ์ˆ˜๋Š” 1์ฐจ ์กฐ์‚ฌ์—์„œ 19, 2์ฐจ ์กฐ์‚ฌ์—์„œ 32, 3์ฐจ ์กฐ์‚ฌ์—์„œ 29 ๊ทธ๋ฆฌ๊ณ  4์ฐจ ์กฐ์‚ฌ์—์„œ์— 38๋กœ ์‹œ๊ธฐ์— ๋”ฐ๋ผ ๋šœ๋ ทํ•œ ๋ณ€ํ™”๋ฅผ ๋‚˜ํƒ€๋‚ด์—ˆ๋‹ค. 1 ~ 4์ฐจ ์กฐ์‚ฌ์˜ ๋ˆ„์  ์ถœํ˜„๋ถ„๋ฅ˜๊ตฐ์ˆ˜๋กœ ๋ณผ ๋•Œ ๊ฐ€์žฅ ๋†’์€ ์ข…๋‹ค์–‘์„ฑ์„ ๋ณด์ธ ์ง€์ ์€ ๊ฐœ์ดˆ์ œ๋กœ ์ด 29๋ถ„๋ฅ˜๊ตฐ์ด์—ˆ์œผ๋ฉฐ ๊ตฐ์ง‘๋ณ„๋กœ๋Š” ์œค์ถฉ๋ฅ˜๊ฐ€ 24, ์ง€๊ฐ๋ฅ˜์™€ ์š”๊ฐ๋ฅ˜๊ฐ€ ๊ฐ๊ฐ 3 ๋ฐ 2๋ถ„๋ฅ˜๊ตฐ์œผ๋กœ ๊ตฌ์„ฑ๋˜์–ด ์žˆ์—ˆ๋‹ค. ๊ทธ๋ฐ–์— ๋‘”์ „์ œ (์ด 22๋ถ„๋ฅ˜๊ตฐ์œผ๋กœ ์œค์ถฉ๋ฅ˜๊ฐ€ 17, ์ง€๊ฐ๋ฅ˜์™€ ์š”๊ฐ๋ฅ˜๊ฐ€ ๊ฐ๊ฐ 3 ๋ฐ 2), ๋Œ€๋™์ œ(์ด 19๋ถ„๋ฅ˜๊ตฐ์œผ๋กœ ์œค์ถฉ๋ฅ˜๊ฐ€ 14, ์ง€๊ฐ๋ฅ˜์™€ ์š”๊ฐ๋ฅ˜๊ฐ€ ๊ฐ๊ฐ 3 ๋ฐ 2), ์˜์‚ฐํ˜ธ1, ํ•™ํŒŒ์ œ ๊ทธ๋ฆฌ๊ณ  ์†Œํฌ์ œ์—์„œ ๊ฐ๊ฐ 18, ๋‚˜์ฃผํ˜ธ1, ๊ตฐ๊ณก์ œ, ์žฅ์ˆ˜์ œ์—์„œ ๊ฐ๊ฐ 17๋ถ„๋ฅ˜๊ตฐ์œผ๋กœ ๋†’์€ ์ข…๋‹ค์–‘์„ฑ์„ ๋‚˜ํƒ€๋ƒˆ์œผ๋ฉฐ ๋Œ€๋ถ€๋ถ„์˜ ์กฐ์‚ฌ์ง€์ ์—์„œ ์œค์ถฉ๋ฅ˜์˜ ๋‹ค์–‘์„ฑ์— ์˜ํ•ด ๊ตฐ์ง‘ ์ „์ฒด์˜ ์ข…๋‹ค์–‘์„ฑ์ด ์ฆ๊ฐ€ํ•˜๋Š” ๊ฒƒ์œผ๋กœ ํŒŒ์•…๋˜์—ˆ๋‹ค. ํ•™ํŒŒ์ œ์˜ ๊ฒฝ์šฐ ์ง€๊ฐ๋ฅ˜์˜ ์ถœํ˜„๋ถ„๋ฅ˜๊ตฐ์ˆ˜๊ฐ€ 5๋กœ ์ „ ์กฐ์‚ฌ์ง€์  ์ค‘ ๊ฐ€์žฅ ๋†’์€ ํŠน์ง•์„ ๋ณด์ด๊ธฐ๋„ ํ•˜์˜€๋‹ค. 1 ~ 4์ฐจ ์กฐ์‚ฌ์˜ ๋ˆ„์  ์ถœํ˜„๋ถ„๋ฅ˜๊ตฐ์ˆ˜์˜ ํ‰๊ท  (n=4) ๊ฐ’์€ ์œค์ถฉ๋ฅ˜๊ฐ€ 9๋กœ ๋†’์•˜๊ณ  ์ง€๊ฐ๋ฅ˜์™€ ์š”๊ฐ๋ฅ˜๋Š” ๊ฐ๊ฐ 2 ๋ฐ 1๋ถ„๋ฅ˜๊ตฐ์œผ๋กœ ๋‚ฎ์•˜๋‹ค(Fig. 11). ํ‰๊ท  ํƒ„์†Œ ์ƒ์ฒด๋Ÿ‰์˜ ๊ฒฝ์šฐ 1 ~ 4์ฐจ ์กฐ์‚ฌ๊ธฐ๊ฐ„ ๋™์•ˆ ๊ฐ€์žฅ ๋‘๋“œ๋Ÿฌ์ง„ ํƒ„์†Œ ์ƒ์ฒด๋Ÿ‰ ๋ณ€ํ™”๋ฅผ ๋ณด์ธ ์ง€์ ์€ ์žฅ์ˆ˜์ œ(709ยฑ1,088)์™€ ๊ฐœ์ดˆ์ œ(672ยฑ1,156 ฮผgC/L) ๋‘ ์ง€์ ์ด์—ˆ๋‹ค. ์ด์™ธ์—๋„ ์ˆ˜๋™์ œ(399ยฑ536)์™€ ํ•™ํŒŒ์ œ(226ยฑ198)์—์„œ๋„ ์—ฐ์ค‘ ๋†’์€ ํƒ„์†Œ ์ƒ์ฒด๋Ÿ‰์„ ๋ณด์˜€๋‹ค. ํ˜ธ์†Œ๋ณ„๋กœ ๋ณผ ๋•Œ ๋‹ด์–‘ํ˜ธ, ๊ด‘์ฃผํ˜ธ, ๋ณด์„ฑํ˜ธ ๊ทธ๋ฆฌ๊ณ  ์ˆ˜์–ดํ˜ธ์—์„œ๋Š” ์ƒ๋Œ€์ ์œผ๋กœ ๋‚ฎ์€ ๊ฐ’์„ ๋‚˜ํƒ€๋ƒˆ๊ณ  ์ง€์ ๋ณ„๋กœ๋Š” ํŠนํžˆ ๋ณด์ „์ œ์—์„œ 6 ฮผgC/L์œผ๋กœ ์ตœ์ €๊ฐ’์„ ๋ณด์˜€์œผ๋ฉฐ ๋‹ด์–‘ํ˜ธ1, ๋ฐฑ์šด์ œ์—์„œ๋„ 20 ฮผgC/L ์ดํ•˜์˜ ๋‚ฎ์€ ๊ฐ’์„ ๋ณด์˜€๋‹ค(Fig. 12).

Fig. 11.

Cumulative number of species at lakes.

../../Resources/kswe/31-6/images/SJBJB8_2015_v31n6_665_f011.jpg
Fig. 12.

Carbon biomass of mean zooplankton at lakes.

../../Resources/kswe/31-6/images/SJBJB8_2015_v31n6_665_f012.jpg

3.4. ์ €์„œ์„ฑ๋Œ€ํ˜•๋ฌด์ฒ™์ถ”๋™๋ฌผ ๋ถ„ํฌ ๋ฐ ํŠน์„ฑ ์กฐ์‚ฌ

์กฐ์‚ฌ ๊ธฐ๊ฐ„ ๋™์•ˆ ์ „ ์ง€์ ์—์„œ ์ฑ„์ง‘๋˜์–ด ๋™์ •ยท๋ถ„๋ฅ˜๋œ ์ €์„œ์„ฑ๋Œ€ํ˜•๋ฌด์ฒ™์ถ”๋™๋ฌผ์€ ์ด 4๋ฌธ 7๊ฐ• 16๋ชฉ 44๊ณผ 61์† 71์ข…์ด์—ˆ๋‹ค. ์ด์ค‘ ์ ˆ์ง€๋™๋ฌผ๋ฌธ์— ์†ํ•˜๋Š” ์ˆ˜์„œ๊ณค์ถฉ๋ฅ˜๊ฐ€ 6๋ชฉ 28๊ณผ 44์† 50์ข…์œผ๋กœ ์ „์ฒด ๋ถ„๋ฅ˜๊ตฐ์˜ 70.4%๋กœ ๊ณผ๋ฐ˜์ˆ˜ ์ด์ƒ์„ ์ฐจ์ง€ํ•˜์˜€๋‹ค. ์ด์™ธ์— ์—ฐ์ฒด๋™๋ฌผ๋ฌธ์ด 2๊ฐ• 4๋ชฉ 8๊ณผ 9์† 13์ข…(18.3%), ํ™˜ํ˜•๋™๋ฌผ๋ฌธ์ด 2๊ฐ• 3๋ชฉ 4๊ณผ 4์† 4์ข…(5.6%), ์ ˆ์ง€๋™๋ฌผ๋ฌธ์˜ ๊ฐ‘๊ฐ๊ฐ•์ด 2๋ชฉ 3๊ณผ 3์† 3์ข…(4.2%), ํŽธํ˜•๋™๋ฌผ๋ฌธ 1์ข…(1.4%)์ด ์ถœํ˜„ํ–ˆ๋‹ค. ์ˆ˜์„œ๊ณค์ถฉ๋ฅ˜ ์ค‘์—์„œ๋Š” ํ•˜๋ฃจ์‚ด์ด๋ชฉ์ด 8๊ณผ 17์† 20์ข…(28.2%)์œผ๋กœ ๊ฐ€์žฅ ๋‹ค์–‘ํ•œ ์ข…์ด ์ถœํ˜„ํ–ˆ๊ณ , ๋‹ค์Œ์œผ๋กœ ๋‚ ๋„๋ž˜๋ชฉ 5๊ณผ 7์† 8์ข…(11.3%), ์ž ์ž๋ฆฌ๋ชฉ๊ณผ ํŒŒ๋ฆฌ๋ชฉ์ด ๊ฐ๊ฐ 4๊ณผ 6์† 7์ข…๊ณผ 5๊ณผ 6์† 7์ข…(9.9%), ๋”ฑ์ •๋ฒŒ๋ ˆ๋ชฉ 3๊ณผ 5์† 5์ข…(7.0%), ๋…ธ๋ฆฐ์žฌ๋ชฉ 3๊ณผ 3์† 3์ข…(4.2%)์ด์—ˆ๋‹ค(Fig. 13). ๊ฐ ํ˜ธ์†Œ์—์„œ ์ถœํ˜„ํ•œ ์ €์„œ์„ฑ๋Œ€ํ˜•๋ฌด์ฒ™์ถ”๋™๋ฌผ์„ ํ˜ธ์†Œ๋ณ„๋กœ ์‚ดํŽด๋ณด๋ฉด, ์ฃผ์•”ํ˜ธ๊ฐ€ 4๋ฌธ 7๊ฐ• 12๋ชฉ 21๊ณผ 30์† 33์ข…์œผ๋กœ ๊ฐ€์žฅ ๋‹ค์–‘ํ•œ ์ข…์ด ์ถœํ˜„ํ•˜์˜€๊ณ , ์žฅ์ˆ˜์ œ์™€ ์ˆ˜๋™์ œ๊ฐ€ ๊ฐ๊ฐ 6์ข…๊ณผ 7์ข…์œผ๋กœ ๊ฐ€์žฅ ๋นˆ์•ฝํ•œ ์ข…์ด ์ถœํ˜„ํ•˜์˜€๋‹ค. ํ•˜๋™ํ˜ธ 17์ข…๊ณผ ์ง€์ •์ œ 15์ข…์ด ์ถœํ˜„ํ•˜์˜€์œผ๋ฉฐ, ๊ทธ ์™ธ์˜ ํ˜ธ์†Œ์—์„œ๋Š” 20์ข… ์ด์ƒ์ด ์ถœํ˜„ํ•˜์˜€๋‹ค. ์ฑ„์ง‘์ง€ ์œ ํ˜•๋ณ„๋กœ ์‚ดํŽด๋ณด๋ฉด, ํ˜ธ์†Œ์˜ ์œ ์ž…๋ถ€์—์„œ๋Š” ์ฃผ์•”ํ˜ธ๊ฐ€ 4๋ฌธ 6๊ฐ• 11๋ชฉ 19๊ณผ 27์† 29์ข…์œผ๋กœ ๊ฐ€์žฅ ๋‹ค์–‘ํ•œ ์ข…์ด ์ถœํ˜„ํ•˜์˜€๊ณ , ์ˆ˜๋™์ œ์™€ ์žฅ์ˆ˜์ œ๊ฐ€ ๊ฐ๊ฐ 3์ข…๊ณผ 5์ข…์œผ๋กœ ๊ฐ€์žฅ ๋นˆ์•ฝํ•œ ์ข…์ด ์ถœํ˜„ํ•˜์˜€๋‹ค. ๋ณด์„ฑ๊ฐ•ํ˜ธ 18์ข…, ๋™๋ณตํ˜ธ 17์ข…, ํ•˜๋™ํ˜ธ 15์ข…๊ณผ ์ง€์ •์ œ 11์ข…์ด ์ถœํ˜„ํ•˜์˜€์œผ๋ฉฐ, ๊ทธ ์™ธ์˜ ํ˜ธ์†Œ์—์„œ๋Š” 20์ข… ์ด์ƒ์ด ์ถœํ˜„ํ•˜์˜€๋‹ค. ์ €์„œ์„ฑ๋Œ€ํ˜•๋ฌด์ฒ™์ถ”๋™๋ฌผ์€ ์ •์ˆ˜์—ญ(Waterbody : 0.5~5m)๋ณด๋‹ค๋Š” ์œ ์ˆ˜์—ญ(Inlet : ์ˆ˜์‹ฌ 50cm์ดํ•˜)์—์„œ ์„œ์‹ํ•˜๋Š” ์ข…์ด ์ˆ˜์ ์œผ๋กœ ์šฐ์„ธํ•œ ๊ฒƒ์ด ์ผ๋ฐ˜์ ์ด๊ธฐ ๋•Œ๋ฌธ์—, ํ˜ธ์†Œ์˜ ์ˆ˜์ฒด์—์„œ๋Š” ์ „์ฒด์ ์œผ๋กœ 10์ข… ๋ฏธ๋งŒ์˜ ์ข…์ด ์ถœํ˜„ํ•˜์˜€๋‹ค. ๊ทธ ์ค‘ ์ง€์ •์ œ์—์„œ 9์ข…์œผ๋กœ ๊ฐ€์žฅ ๋งŽ์€ ์ข…์ˆ˜๊ฐ€ ์ถœํ˜„ํ•˜์˜€์œผ๋ฉฐ, ๋ณด์„ฑ๊ฐ•ํ˜ธ๊ฐ€ 2์ข…์œผ๋กœ ๊ฐ€์žฅ ์ ์€ ์ข…์ˆ˜๊ฐ€ ์ถœํ˜„ํ•˜์˜€๋‹ค(Fig. 14).

Fig. 13.

Ratio of species richness of invertebrate.

../../Resources/kswe/31-6/images/SJBJB8_2015_v31n6_665_f013.jpg
Fig. 14.

Ratio of species number by riverbasin at lakes.

../../Resources/kswe/31-6/images/SJBJB8_2015_v31n6_665_f014.jpg

์กฐ์‚ฌ ๊ธฐ๊ฐ„ ๋™์•ˆ ์ „ ์ง€์ ์—์„œ ์ฑ„์ง‘๋œ ์ด ๊ฐœ์ฒด์ˆ˜ ํ˜„์กด๋Ÿ‰์€ 6,132๊ฐœ์ฒด์˜€๋‹ค. ์ด์ค‘ ํŒŒ๋ฆฌ๋ชฉ์ด 2,534๊ฐœ์ฒด๋กœ ์ „์ฒด์˜ 41.3%๋กœ ๊ฐ€์žฅ ๋†’์€ ๋น„์œจ์„ ์ฐจ์ง€ํ•˜์˜€๊ณ , ๋‹ค์Œ์œผ๋กœ ํ•˜๋ฃจ์‚ด์ด๋ชฉ 31.0%, ๋‚ ๋„๋ž˜๋ชฉ 17.5%, ํ™˜ํ˜•๋™๋ฌผ๋ฌธ 3.8%, ์—ฐ์ฒด๋™๋ฌผ๋ฌธ 3.3%, ๊ฐ‘๊ฐ๊ฐ• 0.4% ์ˆœ์ด์—ˆ๋‹ค(Fig. 15). ๊ฐ ํ˜ธ์†Œ์—์„œ ์ถœํ˜„ํ•œ ์ €์„œ์„ฑ๋Œ€ํ˜•๋ฌด์ฒ™์ถ”๋™๋ฌผ์˜ ๊ฐœ์ฒด์ˆ˜ ํ˜„์กด๋Ÿ‰์„ ํ˜ธ์†Œ๋ณ„๋กœ ์‚ดํŽด๋ณด๋ฉด, ํ•˜๋™ํ˜ธ๊ฐ€ 1,280๊ฐœ์ฒด๋กœ ๊ฐ€์žฅ ๋งŽ์€ ๊ฐœ์ฒด์ˆ˜๊ฐ€ ์ถœํ˜„ํ•˜์˜€๊ณ , ๋ถ„๋ฅ˜๊ตฐ๋ณ„๋กœ๋Š” ํŒŒ๋ฆฌ๋ชฉ์ด 85.2%๋กœ ๋Œ€๋ถ€๋ถ„์„ ์ฐจ์ง€ํ•˜์˜€๊ณ , ๋‹ค์Œ์œผ๋กœ ํ•˜๋ฃจ์‚ด์ด๋ชฉ 11.8, ๋‚ ๋„๋ž˜๋ชฉ 2.1, ๊ฐ‘๊ฐ๊ฐ• 0.4, ํ™˜ํ˜•๋™๋ฌผ๋ฌธ 0.3% ์ˆœ์ด์—ˆ๋‹ค. ์ฑ„์ง‘์ง€ ์œ ํ˜•๋ณ„๋กœ ์‚ดํŽด๋ณด๋ฉด, ํ˜ธ์†Œ ์œ ์ž…๋ถ€ ์กฐ์‚ฌ์—์„œ ํ•˜๋™ํ˜ธ๊ฐ€ 1,206๊ฐœ์ฒด๋กœ ๊ฐ€์žฅ ๋งŽ์€ ๊ฐœ์ฒด์ˆ˜๊ฐ€ ์ถœํ˜„ํ•˜์˜€๊ณ , ์ˆ˜๋™์ œ๊ฐ€ 17๊ฐœ์ฒด๋กœ ๊ฐ€์žฅ ์ ์€ ๊ฐœ์ฒด์ˆ˜๊ฐ€ ์ถœํ˜„ํ•˜์˜€๋‹ค. ์ƒ์‚ฌํ˜ธ์™€ ์ฃผ์•”ํ˜ธ๋Š” 1,000๊ฐœ์ฒด ์ด์ƒ์ด ์ถœํ˜„ํ•˜์˜€์œผ๋ฉฐ, ๊ทธ ์™ธ์—๋Š” 154 ~772 ๊ฐœ์ฒด์˜ ๋ฒ”์œ„๋กœ ์ถœํ˜„ํ•˜์˜€๋‹ค. ํ˜ธ์†Œ ์ˆ˜์ฒด์˜ ์กฐ์‚ฌ์—์„œ๋Š” ๋ฐฑ์šด์ œ๊ฐ€ 202๊ฐœ์ฒด๋กœ ๊ฐ€์žฅ ๋งŽ์€ ๊ฐœ์ฒด์ˆ˜๊ฐ€ ์ถœํ˜„ํ•˜์˜€๊ณ , ์žฅ์ˆ˜์ œ๊ฐ€ 7๊ฐœ์ฒด๋กœ ๊ฐ€์žฅ ์ ์€ ๊ฐœ์ฒด์ˆ˜๊ฐ€ ์ถœํ˜„ํ•˜์˜€๋‹ค. ๊ทธ ์™ธ์—๋Š” 10 ~74 ๊ฐœ์ฒด์˜ ๋ฒ”์œ„๋กœ ์ถœํ˜„ํ•˜์˜€๋‹ค(Fig. 16).

Fig. 15.

Ratio of species abundance of invertebrate at lakes.

../../Resources/kswe/31-6/images/SJBJB8_2015_v31n6_665_f015.jpg
Fig. 16.

Abundance by sampling sites at lakes.

../../Resources/kswe/31-6/images/SJBJB8_2015_v31n6_665_f016.jpg

์กฐ์‚ฌ ๊ธฐ๊ฐ„ ๋™์•ˆ ์กฐ์‚ฌ๋œ ๊ฐ ์ง€์ ๋“ค์˜ ์šฐ์ ์ข…์€ ํ˜ธ์†Œ์˜ ์œ ์ž…๋ถ€์™€ ์ˆ˜์ฒด์— ์ƒ๊ด€์—†์ด ์ฃผ๋กœ ํŒŒ๋ฆฌ๋ชฉ์˜ ๊น”๋”ฐ๊ตฌ๋ฅ˜๊ฐ€ ์šฐ์ ํ•˜๋Š” ๊ฒฝ์šฐ๊ฐ€ ๋งŽ์•˜๋‹ค. ๊ทธ ์™ธ์— ์œ ์ž…๋ถ€์—์„œ๋Š” ์—ฐ์ฒด๋™๋ฌผ๋ฌธ์˜ ๋‹ค์Šฌ๊ธฐ์™€ ์™ผ๋Œ์ด๋ฌผ๋‹ฌํŒฝ์ด, ํ™˜ํ˜•๋™๋ฌผ๋ฌธ์˜ ์‹ค์ง€๋ ์ด, ํ•˜๋ฃจ์‚ด์ด๋ชฉ์˜ ๋‘์ ํ•˜๋ฃจ์‚ด์ด, ์„ธ๊ฐˆ๋ž˜ํ•˜๋ฃจ์‚ด์ด์™€ ๋“ฑ์ค„ํ•˜๋ฃจ์‚ด์ด, ํŒŒ๋ฆฌ๋ชฉ์˜ ๋จนํŒŒ๋ฆฌ๋ฅ˜, ๋‚ ๋„๋ž˜๋ชฉ์˜ ์ค„๋‚ ๋„๋ž˜์™€ ํฐ์ค„๋‚ ๋„๋ž˜, ์ˆ˜์ฒด์—์„œ๋Š” ์—ฐ์ฒด๋™๋ฌผ๋ฌธ์˜ ํฐ๋…ผ์šฐ๋ ์ด, ํ™˜ํ˜•๋™๋ฌผ๋ฌธ์˜ ์‹ค์ง€๋ ์ด, ๊ฐ‘๊ฐ๊ฐ•์˜ ์ง•๊ฑฐ๋ฏธ์ƒˆ์šฐ, ํ•˜๋ฃจ์‚ด์ด๋ชฉ์˜ ์—ฐ๋ชปํ•˜๋ฃจ์‚ด์ด์™€ ๋™์–‘ํ•˜๋ฃจ์‚ด์ด, ์ž ์ž๋ฆฌ๋ชฉ์˜ ๋„‰์ ๋ฐ•์ด์ž ์ž๋ฆฌ, ๋…ธ๋ฆฐ์žฌ๋ชฉ์˜ ๊ผฌ๋งˆ๋ฌผ๋ฒŒ๋ ˆ๋„ ์šฐ์ ์ข…์œผ๋กœ ๋‚˜ํƒ€๋‚ฌ๋‹ค. ์šฐ์ ๋„๋ฅผ ์‚ดํŽด๋ณด๋ฉด, ์œ ์ž…๋ถ€์—์„œ๋Š” ์ˆ˜์–ดํ˜ธ์—์„œ 0.32๋กœ ๊ฐ€์žฅ ๋‚ฎ๊ฒŒ ๋‚˜ํƒ€๋‚œ ๋ฐ˜๋ฉด ๋ฐฑ์šด์ œ์—์„œ 0.98๋กœ ๊ฐ€์žฅ ๋†’๊ฒŒ ๋‚˜ํƒ€๋‚ฌ๋‹ค. ๊ทธ ์™ธ์˜ ์กฐ์‚ฌ ์ง€์ ๋“ค์€ 0.34-0.96์˜ ๋ฒ”์œ„๋ฅผ ๋‚˜ํƒ€๋‚ด์—ˆ๋‹ค. ์ˆ˜์ฒด์—์„œ๋Š” ๋ณด์„ฑ๊ฐ•ํ˜ธ์™€ ์ˆ˜์–ดํ˜ธ์—์„œ ๊ฐ๊ฐ 1.00์œผ๋กœ ๊ฐ€์žฅ ๋†’๊ฒŒ ๋‚˜ํƒ€๋‚œ ๋ฐ˜๋ฉด์— ์ฃผ์•”ํ˜ธ๊ฐ€ 0.53์œผ๋กœ ๊ฐ€์žฅ ๋‚ฎ๊ฒŒ ๋‚˜ํƒ€๋‚ฌ์œผ๋ฉฐ, ๊ทธ ์™ธ์˜ ์กฐ์‚ฌ ์ง€์ ๋“ค๋„ 0.60 ์ด์ƒ์œผ๋กœ ๋น„๊ต์  ๋†’์€ ์šฐ์ ๋„๋ฅผ ๋‚˜ํƒ€๋‚ด์—ˆ๋‹ค. ์ข… ๋‹ค์–‘๋„ ์ง€์ˆ˜๋Š” ์œ ์ž…๋ถ€์—์„œ๋Š” 3.60์„ ๋‚˜ํƒ€๋‚ธ ์ˆ˜์–ดํ˜ธ๊ฐ€ ๊ฐ€์žฅ ๋†’์€ ๋‹ค์–‘์„ฑ์„ ๋‚˜ํƒ€๋‚ด์—ˆ์œผ๋ฉฐ, ์žฅ์ˆ˜์ œ๊ฐ€ 0.58๋กœ ๊ฐ€์žฅ ๋‚ฎ์€ ๋‹ค์–‘์„ฑ์„ ๋‚˜ํƒ€๋‚ด์—ˆ๋‹ค. ๊ทธ ์™ธ์˜ ์กฐ์‚ฌ ์ง€์ ์—์„œ๋Š” 1.22-3.39 ๋ฒ”์œ„์˜ ๋‹ค์–‘์„ฑ์„ ๋‚˜ํƒ€๋‚ด์—ˆ๋‹ค. ์ˆ˜์ฒด์—์„œ๋Š” 2.42๋ฅผ ๋‚˜ํƒ€๋‚ธ ๋™๋ณตํ˜ธ๊ฐ€ ๊ฐ€์žฅ ๋†’์€ ๋‹ค์–‘์„ฑ์„ ๋‚˜ํƒ€๋‚ด์—ˆ์œผ๋ฉฐ, ์ˆ˜์–ดํ˜ธ๊ฐ€ 0.37๋กœ ๊ฐ€์žฅ ๋‚ฎ์€ ๋‹ค์–‘์„ฑ์„ ๋‚˜ํƒ€๋‚ด์—ˆ๋‹ค. ๊ทธ ์™ธ์˜ ์กฐ์‚ฌ ์ง€์ ์—์„œ๋Š” 0.69-2.39 ๋ฒ”์œ„์˜ ๋‹ค์–‘์„ฑ์„ ๋‚˜ํƒ€๋‚ด์—ˆ๋‹ค. ์ข…ํ’๋ถ€๋„ ์ง€์ˆ˜๋Š” ์œ ์ž…๋ถ€์—์„œ๋Š” ์ฃผ์•”ํ˜ธ์—์„œ 4.04๋กœ ๊ฐ€์žฅ ๋†’์€ ์ข…ํ’๋ถ€๋„๋ฅผ ๋‚˜ํƒ€๋‚ด์—ˆ์œผ๋ฉฐ, ์žฅ์ˆ˜์ œ์™€ ์ˆ˜๋™์ œ์—์„œ ๊ฐ๊ฐ 0.62์™€ 0.71๋กœ ๋‚ฎ์€ ์ข…ํ’๋ถ€๋„๋ฅผ ๋‚˜ํƒ€๋‚ด์—ˆ์œผ๋ฉฐ, ํ•˜๋™ํ˜ธ 1.97๊ณผ ์ง€์ •์ œ 1.99๋ฅผ ๋‚˜ํƒ€๋‚ด์—ˆ๊ณ , ๊ทธ ์™ธ์—๋Š” 3.00 ์ด์ƒ์„ ๋‚˜ํƒ€๋‚ด์—ˆ๋‹ค. ์ˆ˜์ฒด์—์„œ๋Š” ์ˆ˜์–ดํ˜ธ์—์„œ 0.30์œผ๋กœ ๊ฐ€์žฅ ๋‚ฎ์€ ์ข…ํ’๋ถ€๋„๋ฅผ ๋‚˜ํƒ€๋‚ด์—ˆ์œผ๋ฉฐ, ๋™๋ณตํ˜ธ์—์„œ 2.22๋กœ ๊ฐ€์žฅ ๋†’์€ ์ข…ํ’๋ถ€๋„๋ฅผ ๋‚˜ํƒ€๋‚ด์—ˆ๋‹ค. ๊ทธ ์™ธ์—๋Š” 0.43-2.02์˜ ๋ฒ”์œ„๋ฅผ ๋‚˜ํƒ€๋‚ด์—ˆ๋‹ค. ๊ท ๋“ฑ๋„๋ฅผ ์‚ดํŽด๋ณด๋ฉด, ์œ ์ž…๋ถ€์—์„œ๋Š” ๋™๋ณตํ˜ธ์—์„œ 0.83์œผ๋กœ ๊ฐ€์žฅ ๋†’๊ฒŒ ๋‚˜ํƒ€๋‚ฌ์œผ๋ฉฐ, ์žฅ์ˆ˜์ œ์—์„œ 0.25๋กœ ๊ฐ€์žฅ ๋‚ฎ๊ฒŒ ๋‚˜ํƒ€๋‚ฌ๋‹ค. ๊ทธ ์™ธ์˜ ์ง€์ ์—์„œ๋Š” 0.44-0.81์˜ ๋ฒ”์œ„๋กœ ๋‚˜ํƒ€๋‚ฌ๋‹ค. ์ˆ˜์ฒด์—์„œ๋Š” ์ฃผ์•”ํ˜ธ์—์„œ 0.93์œผ๋กœ ๋†’๊ฒŒ ๋‚˜ํƒ€๋‚ฌ์œผ๋ฉฐ, ๋ฐฑ์šด์ œ์—์„œ 0.27๋กœ ๋‚ฎ๊ฒŒ ๋‚˜ํƒ€๋‚ฌ๋‹ค. ๊ทธ ์™ธ์˜ ์ง€์ ์—์„œ๋Š” 0.37-0.88์˜ ๋ฒ”์œ„๋กœ ๋‚˜ํƒ€๋‚ฌ๋‹ค(Table 3).

Table 3.

DI, RI, H', J' and ESB of macroinvertebrate at lakes

../../Resources/kswe/31-6/images/SJBJB8_2015_v31n6_665_t003.jpg

โ€ปDI (Dominance Index), RI (Richness Index), H' (Diversity index), J' (Evenness index), ESB (Ecological Score of Benthic Macroinvertebrate Community)

3.5. ์ˆ˜์ƒ์‹๋ฌผ ๋ถ„ํฌ ๋ฐ ํŠน์„ฑ ์กฐ์‚ฌ

๋ณธ ์กฐ์‚ฌ์ง€์—ญ์ธ ์ „๋ผ๋‚จ๋„ ์ผ๋Œ€ 10๊ณณ์˜ ํ˜ธ์†Œ๋Š” ์ฃผ๋กœ ๋†์—…์šฉ์ˆ˜ํ™•๋ณด๋ฅผ ์œ„ํ•ด ์ถ•์กฐ๋œ ์ €์ˆ˜์ง€๋กœ์จ ๊ทœ๋ชจ๊ฐ€ ์ค‘์†Œํ˜•์˜ ์ธ๊ณตํ˜ธ์†Œ๋กœ ์ถ•์กฐ๋˜์–ด ์žˆ์œผ๋ฉฐ, ์กฐ์‚ฌ์ง€์ ์—์„œ ๋ถ„ํฌํ•˜๋Š” ์ˆ˜์ƒ์‹๋ฌผ์„ ์กฐ์‚ฌํ•œ ๊ฒฐ๊ณผ ์ด 20๊ณผ 26์† 2๋ณ€์ข… 32๋ถ„๋ฅ˜๊ตฐ์ด ๋ถ„ํฌํ•˜๋Š” ๊ฒƒ์œผ๋กœ ์กฐ์‚ฌ๋˜์—ˆ๋‹ค(Table 4). ์ •์ˆ˜์‹๋ฌผ์€ 22๋ถ„๋ฅ˜๊ตฐ์œผ๋กœ ๋ฏธ๊พธ๋ฆฌ ๋‚š์‹œ, ๊ณ ๋งˆ๋ฆฌ, ๊ฐœ๊ตฌ๋ฆฌ์ž๋ฆฌ, ๊ฐœ๊ตฌ๋ฆฌ๋ฏธ๋‚˜๋ฆฌ, ๋‚˜๋„๋ƒ‰์ด, ๋…ผ๋ƒ‰์ด, ์ž๊ท€ํ’€, ๋ฏธ๋‚˜๋ฆฌ, ์ˆ˜์—ผ๊ฐ€๋ž˜๊ฝƒ, ํ•œ๋ จ์ดˆ, ๋ฌผ๋‹ฌ๊ฐœ๋น„, ๋…ธ๋ž‘๊ฝƒ์ฐฝํฌ, ์‚ฌ๋งˆ๊ท€ํ’€, ๊ฐˆ๋Œ€, ๋‹ฌ๋ฟŒ๋ฆฌํ’€, ๋‚˜๋„๊ฒจํ’€, ์ค„, ๋ฌผํ”ผ, ์‡ ์น˜๊ธฐํ’€, ์• ๊ธฐ๋ถ€๋“ค, ๋ถ€๋“ค, ์—ฐ๊ฝƒ(์‹์žฌ) ๋“ฑ์ด ์กฐ์‚ฌ๋˜์—ˆ๋‹ค. ์นจ์ˆ˜์‹๋ฌผ์€ 4๋ถ„๋ฅ˜๊ตฐ์œผ๋กœ ๋ถ•์–ด๋งˆ๋ฆ„, ๋ฌผ์ˆ˜์„ธ๋ฏธ, ๋ง์ฆ˜ ๋ฐ ๋Œ€๊ฐ€๋ž˜๊ฐ€ ํ™•์ธ๋˜์—ˆ๊ณ , ๋ถ€์—ฝ์‹๋ฌผ์€ 3๋ถ„๋ฅ˜๊ตฐ์œผ๋กœ ๋งˆ๋ฆ„, ์–ด๋ฆฌ์—ฐ๊ฝƒ, ๊ฐ€๋Š”๊ฐ€๋ž˜๊ฐ€ ์กฐ์‚ฌ๋˜์—ˆ๋‹ค. ๋ถ€์œ ์‹๋ฌผ์€ 3๋ถ„๋ฅ˜๊ตฐ์œผ๋กœ ์ƒ์ด๊ฐ€๋ž˜, ๊ฐœ๊ตฌ๋ฆฌ๋ฐฅ, ์ข€๊ฐœ๊ตฌ๋ฆฌ๋ฐฅ์ด ํ™•์ธ๋˜์—ˆ๋‹ค. ์ˆ˜์ƒ์‹๋ฌผ 28๋ถ„๋ฅ˜๊ตฐ ์ค‘ ์‹๋ฌผ๊ตฌ๊ณ„ํ•™์  ํŠน์ •์‹๋ฌผ์€ ๊ฐ€๋Š”๊ฐ€๋ž˜ I๊ธ‰๊ณผ ์–ด๋ฆฌ์—ฐ๊ฝƒ II๊ธ‰์ด ํ™•์ธ๋˜์—ˆ๊ณ , ํฌ๊ท€์‹๋ฌผ์ด๋‚˜ ๋ฉธ์ข…์œ„๊ธฐ์ข…์€ ํ™•์ธ๋˜์ง€ ์•Š์•˜๋‹ค. ์กฐ์‚ฌ์ง€์—ญ ๋ณ„๋กœ ์ถœํ˜„์ข…์ˆ˜๋ฅผ ํ™•์ธํ•œ ๊ฒฐ๊ณผ ๊ฐ€์žฅ ๋งŽ์€ ์ˆ˜์ƒ์‹๋ฌผ์ด ๋ถ„ํฌํ•˜๋Š” ๊ฒƒ์œผ๋กœ ์กฐ์‚ฌ๋œ ์ง€์—ญ์€ ์ˆ˜์–ดํ˜ธ๋กœ์„œ 15๋ถ„๋ฅ˜๊ตฐ์ด ํ™•์ธ๋˜์—ˆ๋‹ค. ์ง€์ •์ œ๋Š” 12๋ถ„๋ฅ˜๊ตฐ์ด ์กฐ์‚ฌ๋˜์—ˆ๊ณ , ์žฅ์ˆ˜์ œ, ์ฃผ์•”ํ˜ธ, ๋ณด์„ฑ๊ฐ•ํ˜ธ์—์„œ๋Š” 9, ์ˆ˜๋™์ œ, ์ƒ์‚ฌํ˜ธ์—์„œ๋Š” 8๋ถ„๋ฅ˜๊ตฐ์ด ํ™•์ธ๋˜์—ˆ๋‹ค. ๋™๋ณตํ˜ธ๋Š” 7, ๋ฐฑ์šด์ œ๋Š” 6, ํ•˜๋™ํ˜ธ๋Š” 4๋ถ„๋ฅ˜๊ตฐ์ด ๋ถ„ํฌํ•˜๋Š” ๊ฒƒ์œผ๋กœ ํ™•์ธ๋˜์—ˆ๋‹ค. 1์ฐจ ์กฐ์‚ฌ ์‹œ์—๋Š” ๋™์ ˆ๊ธฐ ๋ฌผ๊ฐ€๋‘๊ธฐ์™€ ๋ด„๋น„๊ฐ€ ๋‚ด๋ฆฐ ํ›„ ์กฐ์‚ฌ๋ฅผ ํ–ˆ๊ธฐ ๋•Œ๋ฌธ์— ๋Œ€๋ถ€๋ถ„์˜ ํ˜ธ์†Œ๋“ค์ด ๋งŒ์ˆ˜์œ„๋กœ ์ˆ˜์ƒ์‹๋ฌผ์ด ๊ฑฐ์˜ ์ถœํ˜„ํ•˜์ง€ ์•Š์•˜๋‹ค. 2์ฐจ ์กฐ์‚ฌ์—์„œ๋Š” ๋งˆ๋ฆ„์ด ์ง€์ •์ œ๋ฅผ 90% ์ด์ƒ ์šฐ์ ํ•˜๊ณ  ์žˆ์—ˆ๋‹ค. ์ด๋Š” ์ง€์ •์ œ๊ฐ€ ๊ฐ„์ฒ™์ง€๋กœ์„œ ์ˆ˜์‹ฌ์ด ๋‚ฎ๊ณ (์•ฝ 3 ~ 4M), ๋ฐ”๋‹ค์™€ ์ ‘ํ•˜๊ณ  ๋ป˜์ด ๋งŽ์œผ๋ฉฐ, ๊ณ„๊ณก๋ถ€๊ฐ€ ์•„๋‹Œ ์‚ผ๋ฉด์ด ์ œ๋ฐฉ์œผ๋กœ ๋ง‰ํ˜€์žˆ๊ธฐ ๋•Œ๋ฌธ์— ๋ถ€์—ฝ์‹๋ฌผ์ด ์ž˜ ์ž๋ผ๋Š” ๊ฒƒ์œผ๋กœ ์ƒ๊ฐ๋œ๋‹ค. ์ฃผ๋ณ€์Šต์ƒ์‹๋ฌผ๋กœ๋Š” ์‡ ๋œจ๊ธฐ, ๊ฐ€๋ž˜๋‚˜๋ฌด, ์™•๋ฒ„๋“ค, ๊ฐฏ๋ฒ„๋“ค, ๋ฒ„๋“œ๋‚˜๋ฌด, ๋ฝ•๋‚˜๋ฌด, ์‚ฐ๋ฝ•๋‚˜๋ฌด, ํ™˜์‚ผ๋ฉ๊ตด, ์™œ๋ชจ์‹œํ’€, ๊ฐœ๋ชจ์‹œํ’€, ์ข€๊นจ์žŽ๋‚˜๋ฌด, ํ’€๊ฑฐ๋ถ๊ผฌ๋ฆฌ, ๋ฌผ์—ฌ๋€Œ, ์—ฌ๋€Œ, ๋ฉฐ๋А๋ฆฌ๋ฐฐ๊ผฝ, ๋ฉฐ๋А๋ฆฌ๋ฐ‘์”ป๊ฐœ, ๋งˆ๋””ํ’€, ๋ด„์—ฌ๋€Œ, ์†Œ๋ฆฌ์Ÿ์ด, ๋ฏธ๊ตญ์ž๋ฆฌ๊ณต, ์‡ ๋น„๋ฆ„, ์ ๋‚˜๋„๋‚˜๋ฌผ, ๋ฒผ๋ฃฉ๋‚˜๋ฌผ, ๊ฐœ๋ณ„๊ฝƒ, ์‡ ๋ณ„๊ฝƒ, ํฐ๋ช…์•„์ฃผ, ์‡ ๋ฌด๋ฆŽ, ๋ฏธ๋‚˜๋ฆฌ์•„์žฌ๋น„, ์‚ฌ์œ„์งˆ๋นต, ์ “๊ฐ€๋ฝ๋‚˜๋ฌผ, ์• ๊ธฐ๋˜ฅํ’€, ์‚ฐ๊ดด๋ถˆ์ฃผ๋จธ๋‹ˆ, ๋“คํ˜„ํ˜ธ์ƒ‰, ๊ฐ“, ๋ƒ‰์ด, ๊ฝƒ๋‹ค์ง€, ์ฝฉ๋‹ค๋‹ฅ๋ƒ‰์ด, ๋‹ค๋‹ฅ๋ƒ‰์ด, ์†์†์ดํ’€, ๋ง๋˜ฅ๋น„๋ฆ„, ๋ฑ€๋”ธ๊ธฐ, ๊ฐ€๋ฝ์ง€๋‚˜๋ฌผ, ์ฐ”๋ ˆ๋‚˜๋ฌด, ๋Œ๊ฐ€์‹œ๋‚˜๋ฌด, ์‚ฐ๋”ธ๊ธฐ, ์ž๊ท€๋‚˜๋ฌด, ์กฑ์ œ๋น„์‹ธ๋ฆฌ, ๋งค๋“ญํ’€, ์ž์šด์˜, ๋น„์ˆ˜๋ฆฌ, ์ฐธ์‹ธ๋ฆฌ, ์กฐ๋ก์‹ธ๋ฆฌ, ์นก, ํ† ๋ผํ’€, ๊ฐ€๋Š”๊ฐˆํ€ด, ์‚ด๊ฐˆํ€ด, ๋ฉ์ด๊ดญ์ด๋ฐฅ, ๊ดญ์ด๋ฐฅ, ์„ ์ด์งˆํ’€, ๋ถ‰๋‚˜๋ฌด, ๋‹ด์Ÿ์ด๋ฉ๊ตด, ์ˆ˜๊นŒ์น˜๊นจ, ์ฝฉ์ œ๋น„๊ฝƒ, ๋šœ๊ป‘๋ฉ๊ตด, ๋‹ฌ๋งž์ด๊ฝƒ, ๋‘๋ฆ…๋‚˜๋ฌด, ์‚ฌ์ƒ์ž, ๋•Œ์ฃฝ๋‚˜๋ฌด, ๋งˆ์‚ญ์ค„, ์„ ๊ฐˆํ€ด, ๊ฐˆํ€ด๋ฉ๊ตด, ํฐ๋ฉ”๊ฝƒ, ์‹ค์ƒˆ์‚ผ, ๊ฝƒ๋งˆ๋ฆฌ, ์ž‘์‚ด๋‚˜๋ฌด, ๊ด‘๋Œ€๋‚˜๋ฌผ, ๋ฐฐ์•”์ฐจ์ฆˆ๊ธฐ, ์ฃผ๋ฆ„์žŽ, ์„ ๊ฐœ๋ถˆ์•Œํ’€, ํฐ๊ฐœ๋ถˆ์•Œํ’€, ์งˆ๊ฒฝ์ด, ๋ผ์ง€ํ’€, ์‘ฅ, ๋ฌผ์‘ฅ, ๋ฏธ๊ตญ๊ฐ€๋ง‰์‚ฌ๋ฆฌ, ๊ฐ€๋ง‰์‚ฌ๋ฆฌ, ์กฐ๋ฑ…์ด, ๋ง์ดˆ, ์ด๊ณ ๋“ค๋นผ๊ธฐ, ๊ณ ๋“ค๋นผ๊ธฐ, ๋–ก์‘ฅ, ์™œ๋–ก์‘ฅ, ์ง€์นญ๊ฐœ, ์”€๋ฐ”๊ท€, ๋ฒ‹์Œ์”€๋ฐ”๊ท€, ๋ฒŒ์”€๋ฐ”๊ท€, ์™•๊ณ ๋“ค๋นผ๊ธฐ, ํฐ๋ฐฉ๊ฐ€์ง€๋˜ฅ, ๋„๊ผฌ๋งˆ๋ฆฌ, ๋ฝ€๋ฆฌ๋ฑ…์ด, ๊ณจํ’€, ์†ํ„ธ๊ฐœ๋ฐ€, ์ž์ฃผ๊ฐœ๋ฐ€, ์‚ฐ๊ฒจ์ด์‚ญ, ๋š์ƒˆํ’€, ๋ฉ”๊ท€๋ฆฌ, ๊ฐœํ”ผ, ์ฐธ์ƒˆ๊ท€๋ฆฌ, ์˜ค๋ฆฌ์ƒˆ, ๋ณด๋ฆฌ, ์ฅ๋ณด๋ฆฌ, ๋ฌผ์–ต์ƒˆ, ์ฃผ๋ฆ„์กฐ๊ฐœํ’€, ๋ฌผ์ฐธ์ƒˆํ”ผ, ํ„ธ๋ฌผ์ฐธ์ƒˆํ”ผ, ๊ฐˆํ’€, ์™•๋Œ€, ์ƒˆํฌ์•„ํ’€, ํฌ์•„ํ’€, ํฐ๊ธฐ๋ฆ„์ƒˆ, ๋„๊นจ๋น„์‚ฌ์ดˆ, ์ด์‚ญ์‚ฌํฌ, ๊ดญ์ด์‚ฌ์ดˆ, ๋ฐฉ๋™์‚ฌ๋‹ˆ, ๋ฐ”๋Š˜๊ณจ ๋“ฑ 174๋ถ„๋ฅ˜๊ตฐ์ด ํ™•์ธ๋˜์—ˆ๋‹ค. ๊ท€ํ™”์‹๋ฌผ์€ 30๋ถ„๋ฅ˜๊ตฐ์œผ๋กœ ์†Œ๋ฆฌ์Ÿ์ด, ๋ฏธ๊ตญ์ž๋ฆฌ๊ณต, ํฐ๋ช…์•„์ฃผ, ์ฝฉ๋‹ค๋‹ฅ๋ƒ‰์ด, ๊ฐ“, ๋‹ค๋‹ฅ๋ƒ‰์ด, ์ž์šด์˜ ํ† ๋ผํ’€, ๋ฉ์ด๊ดญ์ด๋ฐฅ, ๋‹ฌ๋งž์ด๊ฝƒ, ์„ ๊ฐœ๋ถˆ์•Œํ’€, ํฐ๊ฐœ๋ถˆ์•Œํ’€, ๋ผ์ง€ํ’€, ํฐ๋น„์งœ๋ฃจ๊ตญํ™”, ๋ฏธ๊ตญ๊ฐ€๋ง‰์‚ฌ๋ฆฌ, ๋ง์ดˆ, ๊ธฐ์ƒ์ดˆ, ์ฝ”์Šค๋ชจ์Šค, ์ฃผํ™์„œ๋‚˜๋ฌผ, ๊ฐœ๋ง์ดˆ, ๊ฐ€์‹œ์ƒ์ถ”, ๋ฐฉ๊ฐ€์ง€๋˜ฅ, ํฐ๋ฐฉ๊ฐ€์ง€๋˜ฅ, ๋„๊ผฌ๋งˆ๋ฆฌ, ๋ฉ”๊ท€๋ฆฌ, ์˜ค๋ฆฌ์ƒˆ, ์ฅ๋ณด๋ฆฌ, ๋ฏธ๊ตญ๊ฐœ๊ธฐ์žฅ, ๋ฌผ์ฐธ์ƒˆํ”ผ, ํ„ธ๋ฌผ์ฐธ์ƒˆํ”ผ ๋“ฑ์ด ์กฐ์‚ฌ๋˜์—ˆ๋‹ค. ์ด ์ค‘์—์„œ๋„ ์™ธ๊ตญ์œผ๋กœ๋ถ€ํ„ฐ ์ธ์œ„์  ๋˜๋Š” ์ž์—ฐ์ ์œผ๋กœ ์œ ์ž…๋˜์–ด ์ƒํƒœ๊ณ„์˜ ๊ท ํ˜•์— ๊ต๋ž€์„ ๊ฐ€์ ธ์˜ค๊ฑฐ๋‚˜ ๊ฐ€์ ธ์˜ฌ ์šฐ๋ ค๊ฐ€ ์žˆ๋Š” ์ƒํƒœ๊ณ„๊ต๋ž€์•ผ์ƒ๋™ยท์‹๋ฌผ์ธ ๋ฌผ์ฐธ์ƒˆํ”ผ, ํ„ธ๋ฌผ์ฐธ์ƒˆํ”ผ, ๋ผ์ง€ํ’€ 3๋ถ„๋ฅ˜๊ตฐ์ด ํ™•์ธ๋˜์—ˆ๋‹ค. ํŠนํžˆ ํ„ธ๋ฌผ์ฐธ์ƒˆํ”ผ๊ฐ€ ์ง€์ •์ œ์˜ ์ˆ˜๋ณ€์— ์ƒ๋‹นํžˆ ์šฐ์ ํ•˜์˜€๊ณ , ์ฃผ์•”ํ˜ธ์˜ site 3์—๋Š” ๋ผ์ง€ํ’€์ด ์ƒ๋‹นํžˆ ์šฐ์ ํ•˜๊ณ  ์žˆ์–ด ๊ด€๋ฆฌ๊ฐ€ ์š”๋ง๋œ๋‹ค.

Table 4.

Large hydrophyte at lakes

../../Resources/kswe/31-6/images/SJBJB8_2015_v31n6_665_t004.jpg

โ€ปF1 (Baekun), F2 (Jangsu), F3 (Sudong), F4 (Jisung), F5 (Sangsa), F6 (Juam), F7 (Bosung), F8 (Suaeo), F9 (Dongbok), F10 (Hadong)

โ€ปE.H; Emergent hydrophytes, F-L.H; Floating-Leaved hydrophytes, S.H; Submerged hydrophytes, F-F.H; Free-Floating hydrophytes, I and III: Floristic regional indicator plants

3.6. ์–ด๋ฅ˜ ๋ถ„ํฌ ๋ฐ ํŠน์„ฑ ์กฐ์‚ฌ

์ „๋ผ๋‚จ๋„ ๋™๋‚จ๊ถŒ์— ์œ„์น˜ํ•œ 10๊ฐœ ํ˜ธ์†Œ๋ฅผ 2ํšŒ์— ๊ฑธ์ณ ์กฐ์‚ฌํ•œ ๊ฒฐ๊ณผ ํ™•์ธ๋œ ์–ด๋ฅ˜๋Š” ์ด 4๋ชฉ 10๊ณผ 44์ข… 4,345๊ฐœ์ฒด๊ฐ€ ์ถœํ˜„ํ•˜์˜€์œผ๋ฉฐ, ๋ฉธ์ข…์œ„๊ธฐ์•ผ์ƒ๋™๋ฌผ ๋ฐ ์ฒœ์—ฐ๊ธฐ๋…๋ฌผ ๋“ฑ์˜ ๋ฒ•์ ๋ณดํ˜ธ์ข…์€ ํ™•์ธ๋˜์ง€ ์•Š์•˜๋‹ค. ๋ถ„๋ฅ˜๊ตฐ๋ณ„ ์ข… ์ถœํ˜„์€ ์ž‰์–ด๊ณผ ์–ด๋ฅ˜๊ฐ€ 25(56.8%)์œผ๋กœ ๋งค์šฐ ๋†’์€ ์ถœํ˜„์œจ์„ ๋ณด์˜€๊ณ , ๋ฏธ๊พธ๋ฆฌ๊ณผ๊ฐ€ 5์ข…(11.4%), ๋ง๋‘‘์–ด๊ณผ๊ฐ€ 3์ข…(6.8%), ๋™์ž๊ฐœ๊ณผ์™€ ๊บฝ์ง€๊ณผ, ๋™์‚ฌ๋ฆฌ๊ณผ, ๊ฒ€์ •์šฐ๋Ÿญ๊ณผ๊ฐ€ ๊ฐ๊ฐ 2์ข…(4.5%), ๋ฉ”๊ธฐ๊ณผ์™€ ๋ฐ”๋‹ค๋น™์–ด๊ณผ, ๊ฐ€๋ฌผ์น˜๊ณผ๊ฐ€ ๊ฐ๊ฐ 1์ข…(2.3%) ๋“ฑ์˜ ์ˆœ์œผ๋กœ ์ถœํ˜„ํ•˜์˜€๋‹ค. 10๊ฐœ ํ˜ธ์†Œ์˜ ์กฐ์‚ฌ์ง€์ ๋ณ„ ์ฃผ์š” ์šฐ์ ์ข…์€ ๊ฐ์‹œ๋ถ•์–ด, ์ฐธ๋ถ•์–ด, ๊ธด๋ชฐ๊ฐœ, ์ฐธ๋ชฐ๊ฐœ, ๊ฐˆ๊ฒจ๋‹ˆ, ํ”ผ๋ผ๋ฏธ, ์น˜๋ฆฌ, ๋ฐ€์–ด, ๋ฏผ๋ฌผ๊ฒ€์ •๋ง๋‘‘, ๋ธ”๋ฃจ๊ธธ์ด์—ˆ๋‹ค. ๊ฐ€์žฅ ๋นˆ๋„ ๋†’๊ฒŒ ๋‚˜ํƒ€๋‚œ ์ข…์€ Zacco platypus(ํ”ผ๋ผ๋ฏธ)๋กœ์„œ 18.9%์˜ ์šฐ์ ๋„๋ฅผ ํ™•๋ณดํ•˜๊ณ  ์žˆ์—ˆ๋‹ค. ๋ณธ ์กฐ์‚ฌ์‹œ ํ™•์ธ๋œ ํ•œ๊ตญ ๊ณ ์œ ์–ด์ข…์€ ๊ฐ์‹œ๋ถ•์–ด, ์นผ๋‚ฉ์ž๋ฃจ, ์ค„๋‚ฉ์ž๋ฃจ, ๊ฐ€์‹œ๋‚ฉ์ง€๋ฆฌ, ๊ธด๋ชฐ๊ฐœ, ์ฐธ๋ชฐ๊ฐœ, ๋Œ๋งˆ์ž, ์™•์ข…๊ฐœ, ์ค„์ข…๊ฐœ, ๋ˆˆ๋™์ž๊ฐœ, ๊บฝ์ง€, ๋™์‚ฌ๋ฆฌ, ์–ผ๋ฃฉ๋™์‚ฌ๋ฆฌ ๋“ฑ 13์ข…์œผ๋กœ์„œ ์ด ์ถœํ˜„์–ด์ข… 44์ข… ์ค‘ 29.5%์— ํ•ด๋‹นํ•˜๋Š” ๋นˆ๋„๋ฅผ ๋ณด์ด๊ณ  ์žˆ์—ˆ๋‹ค. ํ˜ธ์ˆ˜ ์ค‘ ๊ณ ์œ ์ข…์ด ์ถœํ˜„ํ•˜์ง€ ์•Š์€ ํ˜ธ์†Œ๋Š” ์—†์—ˆ์œผ๋‚˜ ์ˆ˜๋™์ œ์™€ ์ง€์ •์ œ์—์„œ 1์ข…๋งŒ์ด ํ™•์ธ๋˜์–ด ๊ฐ€์žฅ ๋‚ฎ์€ ๊ณ ์œ ๋„๋ฅผ ๋‚˜ํƒ€๋‚ด์—ˆ๊ณ , ์ฃผ์•”ํ˜ธ์—์„œ 10์ข…, ๋™๋ณตํ˜ธ์—์„œ 7์ข…์œผ๋กœ ๊ฐ€์žฅ ๋†’์€ ๊ณ ์œ ๋„๋ฅผ ๋‚˜ํƒ€๋‚ด๊ณ  ์žˆ์—ˆ๋‹ค(Table 5). ํ˜ธ์†Œ ์ „ ์ง€์—ญ์—์„œ ์ฑ„์ง‘๋œ ์™ธ๋ž˜๋„์ž…์–ด์ข…์˜ ํ˜„ํ™ฉ์„ ๋ณด๋ฉด ๋–ก๋ถ•์–ด(12๊ฐœ์ฒด, 0.28%), ๋ธ”๋ฃจ๊ธธ(406๊ฐœ์ฒด, 9.34%), ๋ฐฐ์Šค(46๊ฐœ์ฒด, 1.06%) ๋“ฑ 2๊ณผ 3์ข…(464๊ฐœ์ฒด, 10.68%)์œผ๋กœ ํ™•์ธ๋˜์—ˆ๋‹ค. ๋ณธ ์กฐ์‚ฌ ์ค‘ ์™ธ๋ž˜๋„์ž…์–ด์ข… 3์ข… ์ค‘ ํ•œ ์ข… ์ด์ƒ ์™ธ๋ž˜์–ด๊ฐ€ ๋‚˜ํƒ€๋‚œ ํ˜ธ์†Œ๋Š” ๋™๋ณตํ˜ธ, ๋ฐฑ์šด์ œ, ๋ณด์„ฑ๊ฐ•ํ˜ธ, ์ƒ์‚ฌํ˜ธ, ์žฅ์ˆ˜์ œ, ์ฃผ์•”ํ˜ธ ๋“ฑ 6๊ฐœ ํ˜ธ์†Œ์˜€๋‹ค(Table 6).

Table 5.

The status of Korean endemic species at lakes

../../Resources/kswe/31-6/images/SJBJB8_2015_v31n6_665_t005.jpg

โ€ป โ‘  Dongbok โ‘ก Baekun โ‘ข Bosung โ‘ฃ Sangsa โ‘ค Sudong โ‘ฅ Suaeo โ‘ฆ Jangsu โ‘ง Juam โ‘จ Jisung โ‘ฉ Hadong

Table 6.

The status of invasive species at lakes

../../Resources/kswe/31-6/images/SJBJB8_2015_v31n6_665_t006.jpg

์ „๋ผ๋‚จ๋„ ๋™๋‚จ๊ถŒ์— ์œ„์น˜ํ•œ 10๊ฐœ ํ˜ธ์†Œ๋ฅผ 2ํšŒ์— ๊ฑธ์ณ ์กฐ์‚ฌํ•˜์—ฌ ํ™•์ธ๋œ ์ข…์ˆ˜์™€ ๊ฐœ์ฒด์ˆ˜๋ฅผ ๋ฐ”ํƒ•์œผ๋กœ ๊ตฐ์ง‘๋ถ„์„์„ ์‹ค์‹œํ•œ ๊ฒฐ๊ณผ, ์šฐ์ ๋„์ง€์ˆ˜๋Š” 0.32 ~ 0.89๋กœ ๋‚˜ํƒ€๋‚ฌ์œผ๋ฉฐ, ์ƒ๋ฐ˜๊ธฐ ์กฐ์‚ฌ์‹œ ์ฃผ์•”ํ˜ธ๊ฐ€ ๊ฐ€์žฅ ๋‚ฎ๊ฒŒ, ์žฅ์ˆ˜์ œ๊ฐ€ ๊ฐ€์žฅ ๋†’๊ฒŒ ๋‚˜ํƒ€๋‚ฌ๋‹ค. ์ข… ๋‹ค์–‘๋„์ง€์ˆ˜๋Š” 0.94 ~ 2.72๋กœ ๋‚˜ํƒ€๋‚ฌ์œผ๋ฉฐ, ์žฅ์ˆ˜์ œ ์ƒ๋ฐ˜๊ธฐ ์กฐ์‚ฌ์‹œ ๊ฐ€์žฅ ๋‚ฎ๊ฒŒ ๋‚˜ํƒ€๋‚ฌ๊ณ , ์ฃผ์•”ํ˜ธ ํ•˜๋ฐ˜๊ธฐ ์กฐ์‚ฌ์‹œ ๊ฐ€์žฅ ๋†’๊ฒŒ ๋‚˜ํƒ€๋‚ฌ๋‹ค. ์ข…๊ท ๋“ฑ๋„์ง€์ˆ˜๋Š” 0.48 ~ 0.87๋กœ ๋‚˜ํƒ€๋‚ฌ์œผ๋ฉฐ, ์žฅ์ˆ˜์ œ ์ƒ๋ฐ˜๊ธฐ ์กฐ์‚ฌ์‹œ ๊ฐ€์žฅ ๋‚ฎ๊ฒŒ ๋‚˜ํƒ€๋‚ฌ๊ณ , ๋ณด์„ฑ๊ฐ•ํ˜ธ ์ƒ๋ฐ˜๊ธฐ ์กฐ์‚ฌ์‹œ ๊ฐ€์žฅ ๋†’๊ฒŒ ๋‚˜ํƒ€๋‚ฌ๋‹ค. ์ข…ํ’๋ถ€๋„์ง€์ˆ˜๋Š” 0.95 ~ 5.07๋กœ ๋‚˜ํƒ€๋‚ฌ์œผ๋ฉฐ, ์ง€์ •์ œ ์ƒ๋ฐ˜๊ธฐ ์กฐ์‚ฌ์‹œ ๊ฐ€์žฅ ๋‚ฎ๊ฒŒ ๋‚˜ํƒ€๋‚ฌ๊ณ , ์ฃผ์•”ํ˜ธ ํ•˜๋ฐ˜๊ธฐ ์กฐ์‚ฌ์‹œ ๊ฐ€์žฅ ๋†’๊ฒŒ ๋‚˜ํƒ€๋‚ฌ๋‹ค. ๊ตฐ์ง‘๋ถ„์„ ๊ฒฐ๊ณผ, ์ฃผ์•”ํ˜ธ์—์„œ ๊ฐ€์žฅ ์–‘ํ˜ธํ•œ ์ง€์ˆ˜๊ฐ’์„ ๋‚˜ํƒ€๋‚ด๊ณ  ์žˆ์—ˆ์œผ๋ฉฐ, ์žฅ์ˆ˜์ œ์—์„œ ๊ฐ€์žฅ ๋นˆ์•ฝํ•œ ์ง€์ˆ˜๊ฐ’์„ ๋‚˜ํƒ€๋‚ด๊ณ  ์žˆ์—ˆ๋‹ค(Table 7).

Table 7.

DI, RI, H', and J' at lakes

../../Resources/kswe/31-6/images/SJBJB8_2015_v31n6_665_t007.jpg

โ€ปDI (Dominance Index), RI (Richness Index), H' (Diversity index), J' (Evenness index)

4. Conclusion

์˜์‚ฐ๊ฐ•ยท์„ฌ์ง„๊ฐ• ์ˆ˜๊ณ„์˜ ์ฃผ์š” ํ˜ธ์†Œ๋ฅผ ๋Œ€์ƒ์œผ๋กœ ์ƒ๋ฌผ์ƒ์กฐ์‚ฌ๋ฅผ ์‹ค์‹œํ•˜์—ฌ ์ˆ˜์ƒํƒœ๊ณ„ ๋ณด์ „๊ณผ ์ˆ˜์ž์› ํ™•๋ณด์˜ ๊ณผํ•™์ ์ด๊ณ  ํšจ์œจ์ ์ธ ๋Œ€์ฑ…์„ ๋„์ถœํ•  ์ˆ˜ ์žˆ๋Š” ๊ธฐ์ดˆ์ž๋ฃŒ๋ฅผ ๋งˆ๋ จํ•˜๊ณ ์ž ์ „๋ผ๋‚จ๋„์™€ ๊ด‘์ฃผ๊ด‘์—ญ์‹œ ๊ถŒ์—ญ์˜ 29๊ฐœ ํ˜ธ์†Œ๋ฅผ ๋Œ€์ƒ์œผ๋กœ ์ƒ๋ฌผ ์„œ์‹ํ™˜๊ฒฝ ์กฐ์‚ฌ, ์‹๋ฌผํ”Œ๋ž‘ํฌํ†ค, ๋™๋ฌผํ”Œ๋ž‘ํฌํ†ค, ์ €์„œ์„ฑ๋Œ€ํ˜•๋ฌด์ฒ™์ถ”๋™๋ฌผ, ์ˆ˜์ƒ์‹๋ฌผ, ์–ด๋ฅ˜ ๋ถ„ํฌ ๋ฐ ํŠน์„ฑ์กฐ์‚ฌ๋ฅผ ์‹ค์‹œํ•œ ๊ฒฐ๊ณผ๋Š” ๋‹ค์Œ๊ณผ ๊ฐ™๋‹ค.

4.1. ์„œ์‹ํ™˜๊ฒฝ

2011๋…„ ์—ฐํ‰๊ท  ๊ธฐ์˜จ์€ 12.6(์ˆœ์ฒœ) ~ 13.9โ„ƒ(๋ชฉํฌ)์ด๋ฉฐ, ์ตœ์ € ํ‰๊ท ๊ธฐ์˜จ์€ โˆ’2.7โ„ƒ(1์›”), ์ตœ๊ณ  ํ‰๊ท ๊ธฐ์˜จ์€ 25.9โ„ƒ(7์›”)๋ฅผ ๋‚˜ํƒ€๋ƒˆ๋‹ค. ์›”ํ‰๊ท  ์ตœ์†Œ, ์ตœ๋Œ€ ๊ฐ•์ˆ˜๋Ÿ‰์€ ๊ฐ๊ฐ 1์›”์— 4.9 mm, 8์›”์— 336.7 mm๋กœ ๋‚˜ํƒ€๋‚ฌ๋‹ค. ๊ทธ๋ฆฌ๊ณ , ํ‰๊ท  ํ’์†์€ 2.8(1์›”) ~ 1.7 m/s (9, 10์›”), ์ƒ๋Œ€์Šต๋„๋Š” 57.9(3์›”) ~ 83.9%(8์›”), ์ผ์กฐ ์‹œ๊ฐ„์€ 93.5(8์›”) ~ 243.5 hr(3์›”)๋กœ ๋‚˜ํƒ€๋‚ฌ๋‹ค. ์ˆ˜์งˆ์กฐ์‚ฌ ๊ฒฐ๊ณผ, ์ˆ˜์˜จ์ด ํ‰๊ท  10.9(๋‹ด์–‘ํ˜ธ) ~ 17.5โ„ƒ(๊ด‘์ฃผํ˜ธ), pH๋Š” 7.1(๋Œ€๋™ํ˜ธ) ~ 8.3(์˜์•”ํ˜ธ), DO๋†๋„๋Š” 7.1(๋Œ€๋™ํ˜ธ) ~ 10.9 mg/L(์ƒ์‚ฌํ˜ธ), ์ „๊ธฐ์ „๋„๋„์˜ ๊ฒฝ์šฐ 35.3(ํ•˜๋™ํ˜ธ) ~ 5308.0 ฮผs/cm(๊ธˆํ˜ธํ˜ธ), ํด๋กœ๋กœํ•„-a๋Š” 2.7(๋™๋ณตํ˜ธ) ~ 168.4 mg/m3 (์žฅ์ˆ˜์ œ), BOD, COD๋Š” ๊ฐ๊ฐ 0.6(๋ถˆ๊ฐ‘์ œ) ~ 4.8 mg/L(์žฅ์ˆ˜์ œ), 2.3(์ˆ˜์–ดํ˜ธ) ~14.0 mg/L(์žฅ์ˆ˜์ œ)์˜ ๋ฒ”์œ„๋กœ ๋‚˜ํƒ€๋‚ฌ๋‹ค. SS์˜ ๊ฒฝ์šฐ 1.9(๋™๋ณตํ˜ธ) ~ 38.5 mg/L(์˜์‚ฐํ˜ธ)์˜ ๋ฒ”์œ„์˜€๊ณ , ์ด์งˆ์†Œ๋Š” 0.520(ํ•™ํŒŒ์ œ) ~ 3.900 mg/L(์˜์‚ฐํ˜ธ), ์ด์ธ์€ 0.008(ํ•™ํŒŒ์ œ) ~ 0.183 mg/L(๊ด‘์ฃผํ˜ธ)๋กœ ๋‚˜ํƒ€๋‚ฌ๋‹ค. COD(mg.L) ํ•ญ๋ชฉ์„ ๊ธฐ์ค€์œผ๋กœ ์ˆ˜์งˆ๋“ฑ๊ธ‰์„ ํ‰๊ฐ€ํ•˜์˜€์„ ๋•Œ ๋‹ด์–‘ํ˜ธ, ์ฃผ์•”ํ˜ธ, ์ƒ์‚ฌํ˜ธ, ์ˆ˜์–ดํ˜ธ๊ฐ€ Ib๋“ฑ๊ธ‰(์ข‹์Œ)์œผ๋กœ, ์žฅ์ˆ˜์ œ๊ฐ€ VI ๋“ฑ๊ธ‰(๋งค์šฐ ๋‚˜์จ)์œผ๋กœ ํ‰๊ฐ€๋˜์—ˆ๋‹ค. ์˜์–‘๋‹จ๊ณ„๋ฅผ ํ‰๊ฐ€ํ•œ ๊ฒฐ๊ณผ, ๋‹ด์–‘ํ˜ธ, ๋‚˜์ฃผํ˜ธ, ์ฃผ์•”ํ˜ธ, ์ƒ์‚ฌํ˜ธ, ์ˆ˜์–ดํ˜ธ, ๋™๋ณตํ˜ธ, ํ•™ํŒŒ์ œ, ๊ตฐ๊ณก์ œ ๋“ฑ 8๊ฐœ ํ˜ธ์†Œ๊ฐ€ ์ค‘์˜์–‘ ๋‹จ๊ณ„๋กœ ๋‚˜ํƒ€๋‚ฌ์œผ๋ฉฐ ๊ทธ ์™ธ ํ˜ธ์†Œ๋Š” ๋ถ€์˜์–‘ ๋‹จ๊ณ„๋กœ ํ‰๊ฐ€๋˜์—ˆ๋‹ค.

4.2. ์‹๋ฌผํ”Œ๋ž‘ํฌํ†ค ๋ถ„ํฌ ๋ฐ ํŠน์„ฑ

29๊ฐœ ํ˜ธ์†Œ 45๊ฐœ ์ง€์ ์˜ ํ˜ธ์†Œํ™˜๊ฒฝ์กฐ์‚ฌ์—์„œ ๋™์ •๋œ ์‹๋ฌผํ”Œ๋ž‘ํฌํ†ค์€ ๊ทœ์กฐ๊ฐ• 161์ข…, ๋…น์กฐ๊ฐ• 157์ข…, ๋‚จ์กฐ๊ฐ• 39์ข… ๊ทธ๋ฆฌ๊ณ  ์œ ๊ธ€๋ ˆ๋‚˜๊ฐ•์„ ํฌํ•จํ•œ ๊ธฐํƒ€ 67์—ฌ์ข…์œผ๋กœ ์ด 424์ข…์ด์—ˆ๋‹ค. ๋ถ„๋ฅ˜๊ตฐ๋ณ„ ์กฐ์„ฑ์€ ๊ทœ์กฐ๊ฐ• 38%, ๋…น์กฐ๊ฐ• 37%, ๋‚จ์กฐ๊ฐ• 9% ๋“ฑ์œผ๋กœ ๊ทœ์กฐ๊ฐ•๊ณผ ๋…น์กฐ๊ฐ•์˜ ์‹๋ฌผํ”Œ๋ž‘ํฌํ†ค์ด ์ฃผ๋ฅผ ์ด๋ฃจ๋Š” ํŠน์ง•์„ ๋ณด์˜€๋‹ค. ๋Œ€๋™ํ˜ธ, ๋Œ€๋™์ œ, ์†Œํฌ์ œ, ๊ตฐ๊ณก์ œ, ๊ฐœ์ดˆ์ œ, ๋‘”์ „์ œ ์ง€์ ์€ ๋น„๊ต์  ๋‹ค์–‘ํ•œ ์ข…๋“ค์ด ์ถœํ˜„ํ•˜์˜€์ง€๋งŒ, ํ•˜์ฒœํ˜• ํ˜ธ์†Œ์ธ ์˜์‚ฐํ˜ธ, ๊ธˆํ˜ธํ˜ธ, ์˜์•”ํ˜ธ ์ง€์ ์—์„œ ๋น„๊ต์  ๋นˆ์•ฝํ•œ ์ข…์กฐ์„ฑ์„ ๊ฐ–๋Š” ๊ฒƒ์œผ๋กœ ์กฐ์‚ฌ๋˜์—ˆ๋‹ค. ์‹๋ฌผํ”Œ๋ž‘ํฌํ†ค์˜ ๊ฐœ์ฒด๊ตฐ ๋ฐ€๋„๋Š” 19๏ฝž53,161 cells/ml์˜ ๋ฒ”์œ„๋ฅผ ๋ณด์˜€๊ณ  ์ผ๋ถ€ ์ง€์ ์—์„œ ํŠน์ • ๊ฐœ์ฒด๊ตฐ์˜ ์„ฑ์žฅ์— ์˜ํ•œ ๊ฐœ์ฒด๊ตฐ ๋ฐ€๋„์˜ ๊ธ‰๊ฒฉํ•œ ์ฆ๊ฐ€๊ฐ€ ๋‚˜ํƒ€๋‚ฌ๋‹ค. ํด๋กœ๋กœํ•„-a๋Š” 0.39๏ฝž220.72 mg/m3์˜ ๋ฒ”์œ„๋ฅผ ๋ณด์˜€๋‹ค. ๋‹ค๋ฅธ ์กฐ์‚ฌ์‹œ๊ธฐ๋ณด๋‹ค 4์ฐจ ์กฐ์‚ฌ๊ธฐ๊ฐ„์— ํด๋กœ๋กœํ•„์ด ๋‚ฎ์•„์ง€๋Š” ๊ฒƒ์„ ํ™•์ธํ•  ์ˆ˜ ์žˆ์—ˆ๋‹ค.

4.3. ๋™๋ฌผํ”Œ๋ž‘ํฌํ†ค ๋ถ„ํฌ ๋ฐ ํŠน์„ฑ

์ „๋‚จ์ง€์—ญ์˜ 29๊ฐœ ํ˜ธ์†Œ ๋‚ด 45๊ฐœ ์ง€์ ์„ ๋Œ€์ƒ์œผ๋กœ ๋™๋ฌผํ”Œ๋ž‘ํฌํ†ค ๊ตฐ์ง‘ํŠน์„ฑ์„ ํŒŒ์•…ํ•˜๊ธฐ ์œ„ํ•ด ํ˜„์žฅ์กฐ์‚ฌ๋ฅผ 4ํšŒ(1์ฐจ: 3 ~ 4์›”, 2์ฐจ: 5 ~ 6์›”, 3์ฐจ: 8์›”, 4์ฐจ: 10์›”)์‹ค์‹œํ•˜์˜€๋‹ค. ์กฐ์‚ฌ์‹œ๊ธฐ์™€ ์ง€์ ์— ๋”ฐ๋ผ ํฐ ํญ์˜ ๋ฐ€๋„๋ณ€ํ™”๊ฐ€ ๊ด€์ฐฐ๋˜์—ˆ์œผ๋ฉฐ, ์ „ ์ง€์ ์˜ ํ‰๊ท  (n=180) ๋ฐ€๋„๋Š” 369ยฑ827 ๊ฐœ์ฒด/L์˜€์œผ๋ฉฐ, ์‹œ๊ธฐ๋ณ„๋กœ (n=45)๋Š” 1์ฐจ ์กฐ์‚ฌ์—์„œ ๊ฐ€์žฅ ๋‚ฎ๊ณ (135ยฑ213), 2์ฐจ ์กฐ์‚ฌ์—์„œ ์ตœ๊ณ  ๋ฐ€๋„(692ยฑ1,115)๋ฅผ ๋ณด์ธ ํ›„ 3์ฐจ(379ยฑ1,048)์™€ 4์ฐจ(271ยฑ367)์— ๊ฑธ์ณ ์ ์ฐจ ๊ฐ์†Œํ•˜๋Š” ๊ฒƒ์œผ๋กœ ๋‚˜ํƒ€๋‚ฌ๋‹ค. ์ง€์ ๋ณ„๋กœ ๋ณผ ๋•Œ, ๋†’์€ ํ‰๊ท  (n=4) ๋ฐ€๋„๋ฅผ ๋‚˜ํƒ€๋‚ธ ์ง€์ ์€ ์ˆ˜๋™์ œ(2,104ยฑ3,354), ์˜์•”ํ˜ธ(1,686ยฑ2,741) ๊ทธ๋ฆฌ๊ณ  ์žฅ์ˆ˜์ œ(1,526ยฑ2,529)์˜€์œผ๋ฉฐ ๋ณด์ „์ œ(19ยฑ17)์™€ ๋ฐฑ์šด์ œ(46ยฑ35)์—์„œ ๊ฐ€์žฅ ๋‚ฎ์•˜๋‹ค. ๊ฐ€์žฅ ๋นˆ๋ฒˆํ•˜๊ฒŒ ์šฐ์ ํ•˜๋Š” ์ข…์€ ์œค์ถฉ๋ฅ˜์ธ Polyarthra vulgaris ์™€ Ketatella valga ์˜€๋‹ค. ์œค์ถฉ๋ฅ˜์˜ ์ƒ๋Œ€ํ’๋ถ€๋„๊ฐ€ 65 ~ 77%๋กœ ์—ฐ์ค‘ ๊ฐ€์žฅ ๋ณดํŽธ์ ์œผ๋กœ ์ถœํ˜„ํ•˜๋Š” ๊ตฐ์ง‘์ด์—ˆ๊ณ  ์ง€๊ฐ๋ฅ˜์˜ ๊ฒฝ์šฐ 2์ฐจ ์กฐ์‚ฌ์—์„œ ์ตœ๋Œ€ 23%์˜ ๋น„์ค‘์„ ๋ณด์˜€๋‹ค. ์š”๊ฐ๋ฅ˜ ์„ฑ์ฒด๋‚˜ ๋ฏธ์„ฑ์ˆ™๊ฐœ์ฒด์— ๋น„ํ•ด ์œ ์ƒ์˜ ์ƒ๋Œ€ํ’๋ถ€๋„๊ฐ€ ์ „๋ฐ˜์ ์œผ๋กœ ๋†’์•˜๋‹ค. ๋ˆ„์  ์ถœํ˜„๋ถ„๋ฅ˜๊ตฐ์ˆ˜๊ฐ€ ๋†’์•˜๋˜ ์ง€์ ์€ ๊ฐœ์ดˆ์ œ(29), ๋‘”์ „์ œ(22) ๊ทธ๋ฆฌ๊ณ  ๋Œ€๋™์ œ(19) ์ˆœ์ด์—ˆ์œผ๋ฉฐ ํ•˜๋™ํ˜ธ์™€ ๋ณด์ „์ œ์—์„œ๋Š” ๊ฐ๊ฐ 5 ๋ฐ 6๋ถ„๋ฅ˜๊ตฐ์œผ๋กœ ์ข…๋‹ค์–‘์„ฑ์ด ๋งค์šฐ ๋‚ฎ์•˜๋‹ค. ํ‰๊ท (n=45) ํƒ„์†Œ ์ƒ์ฒด๋Ÿ‰์˜ ๊ฒฝ์šฐ 1์ฐจ ์กฐ์‚ฌ์—์„œ๋Š” 45 ฮผgC/L๋กœ ๋‚ฎ์•˜๊ณ  2์ฐจ์™€ 4์ฐจ ์กฐ์‚ฌ์—์„œ ๋ชจ๋‘ 185 ฮผgC/L๋กœ ๋†’์•˜์œผ๋ฉฐ 3์ฐจ์—์„œ๋Š” 102 ฮผgC/L๋กœ ๋‹ค์†Œ ๋‚ฎ์•˜๋‹ค.

4.4. ์ €์„œ์„ฑ๋Œ€ํ˜•๋ฌด์ฒ™์ถ”๋™๋ฌผ ๋ถ„ํฌ ๋ฐ ํŠน์„ฑ

๋™์ •ยท๋ถ„๋ฅ˜๋œ ์ €์„œ์„ฑ๋Œ€ํ˜•๋ฌด์ฒ™์ถ”๋™๋ฌผ์€ ์ด 4๋ฌธ 7๊ฐ• 16๋ชฉ 44๊ณผ 61์† 71์ข…์ด์—ˆ๋‹ค. ์ด์ค‘ ์ ˆ์ง€๋™๋ฌผ๋ฌธ์— ์†ํ•˜๋Š” ์ˆ˜์„œ๊ณค์ถฉ๋ฅ˜๊ฐ€ 50์ข…์œผ๋กœ ์ „์ฒด ๋ถ„๋ฅ˜๊ตฐ์˜ 70.4%๋กœ ๊ณผ๋ฐ˜์ˆ˜ ์ด์ƒ์„ ์ฐจ์ง€ํ•˜์˜€๋‹ค. ์ด์™ธ์— ์—ฐ์ฒด๋™๋ฌผ๋ฌธ์ด 13์ข…, ํ™˜ํ˜•๋™๋ฌผ๋ฌธ์ด 4์ข…, ์ ˆ์ง€๋™๋ฌผ๋ฌธ์˜ ๊ฐ‘๊ฐ๊ฐ•์ด 3์ข…, ํŽธํ˜•๋™๋ฌผ๋ฌธ 1์ข…์ด ์ถœํ˜„ํ–ˆ๋‹ค. ์ˆ˜์„œ๊ณค์ถฉ๋ฅ˜ ์ค‘์—์„œ๋Š” ํ•˜๋ฃจ์‚ด์ด๋ชฉ์ด 20์ข…์œผ๋กœ ๊ฐ€์žฅ ๋‹ค์–‘ํ•œ ์ข…์ด ์ถœํ˜„ํ–ˆ๊ณ , ๋‹ค์Œ์œผ๋กœ ๋‚ ๋„๋ž˜๋ชฉ 8์ข…, ์ž ์ž๋ฆฌ๋ชฉ๊ณผ ํŒŒ๋ฆฌ๋ชฉ์ด ๊ฐ๊ฐ 7์ข…, ๋”ฑ์ •๋ฒŒ๋ ˆ๋ชฉ 5์ข…, ๋…ธ๋ฆฐ์žฌ๋ชฉ 3์ข…์ด์—ˆ๋‹ค. ๊ฐ ํ˜ธ์†Œ์—์„œ ์ถœํ˜„ํ•œ ์ €์„œ์„ฑ๋Œ€ํ˜•๋ฌด์ฒ™์ถ”๋™๋ฌผ์„ ํ˜ธ์†Œ๋ณ„๋กœ ์‚ดํŽด๋ณด๋ฉด, ์ฃผ์•”ํ˜ธ๊ฐ€ 33์ข…์œผ๋กœ ๊ฐ€์žฅ ๋‹ค์–‘ํ•œ ์ข…์ด ์ถœํ˜„ํ•˜์˜€๊ณ , ์žฅ์ˆ˜์ œ์™€ ์ˆ˜๋™์ œ๊ฐ€ ๊ฐ๊ฐ 6์ข…๊ณผ 7์ข…์œผ๋กœ ๊ฐ€์žฅ ๋นˆ์•ฝํ•œ ์ข…์ด ์ถœํ˜„ํ•˜์˜€๋‹ค. ํ•˜๋™ํ˜ธ 17์ข…๊ณผ ์ง€์ •์ œ 15์ข…์ด ์ถœํ˜„ํ•˜์˜€์œผ๋ฉฐ, ๊ทธ ์™ธ์˜ ํ˜ธ์†Œ์—์„œ๋Š” 20์ข… ์ด์ƒ์ด ์ถœํ˜„ํ•˜์˜€๋‹ค. ์ „ ์ง€์ ์—์„œ ์ฑ„์ง‘๋œ ์ด ๊ฐœ์ฒด์ˆ˜ ํ˜„์กด๋Ÿ‰์€ 6,132๊ฐœ์ฒด์˜€๋‹ค. ์ด์ค‘ ํŒŒ๋ฆฌ๋ชฉ์ด 2,534๊ฐœ์ฒด๋กœ ์ „์ฒด์˜ 41.3%๋กœ ๊ฐ€์žฅ ๋†’์€ ๋น„์œจ์„ ์ฐจ์ง€ํ•˜์˜€๊ณ , ๋‹ค์Œ์œผ๋กœ ํ•˜๋ฃจ์‚ด์ด๋ชฉ 31.0%, ๋‚ ๋„๋ž˜๋ชฉ 17.5%, ํ™˜ํ˜•๋™๋ฌผ๋ฌธ 3.8%, ์—ฐ์ฒด๋™๋ฌผ๋ฌธ 3.3%, ๊ฐ‘๊ฐ๊ฐ• 0.4% ์ˆœ์ด์—ˆ๋‹ค.

4.5. ์ˆ˜์ƒ์‹๋ฌผ ๋ถ„ํฌ ๋ฐ ํŠน์„ฑ

์ „๋ผ๋‚จ๋„ ์ผ๋Œ€ 10๊ฐœ ํ˜ธ์†Œ์˜ ์ˆ˜์ƒ์‹๋ฌผ์„ ์กฐ์‚ฌํ•œ ๊ฒฐ๊ณผ ์ด 20๊ณผ 26์† 2๋ณ€์ข… 32๋ถ„๋ฅ˜๊ตฐ์ด ๋ถ„ํฌํ•˜๋Š” ๊ฒƒ์œผ๋กœ ์กฐ์‚ฌ๋˜์—ˆ๋‹ค. ์ •์ˆ˜์‹๋ฌผ์€ 22๋ถ„๋ฅ˜๊ตฐ, ์นจ์ˆ˜์‹๋ฌผ์€ 3๋ถ„๋ฅ˜๊ตฐ, ๋ถ€์—ฝ์‹๋ฌผ์€ 4๋ถ„๋ฅ˜๊ตฐ, ๋ถ€์œ ์‹๋ฌผ์€ 3๋ถ„๋ฅ˜๊ตฐ์ด ๋ถ„ํฌํ•˜๋Š” ๊ฒƒ์œผ๋กœ ์กฐ์‚ฌ๋˜์—ˆ๋‹ค. ์ˆ˜์ƒ์‹๋ฌผ 32๋ถ„๋ฅ˜๊ตฐ ์ค‘ ์‹๋ฌผ๊ตฌ๊ณ„ํ•™์  ํŠน์ •์‹๋ฌผ๋กœ๋Š” ์–ด๋ฆฌ์—ฐ๊ฝƒ(ํŠน์ •II), ๊ฐ€๋Š”๊ฐ€๋ž˜(ํŠน์ •I)๊ฐ€ ํ™•์ธ๋˜์—ˆ๋Š”๋ฐ, ๊ทธ ์ด์™ธ์— ํฌ๊ท€์‹๋ฌผ์ด๋‚˜ ๋ฉธ์ข…์œ„๊ธฐ์ข…์€ ํ™•์ธ๋˜์ง€ ์•Š์•˜๋‹ค. ์กฐ์‚ฌ์ง€์—ญ ๋ณ„๋กœ ์ถœํ˜„์ข…์ˆ˜๋ฅผ ํ™•์ธํ•œ ๊ฒฐ๊ณผ ๊ฐ€์žฅ ๋งŽ์€ ์ˆ˜์ƒ์‹๋ฌผ์ด ๋ถ„ํฌํ•˜๋Š” ๊ฒƒ์œผ๋กœ ์กฐ์‚ฌ๋œ ์ง€์—ญ์€ ์ˆ˜์–ดํ˜ธ๋กœ์„œ 15๋ถ„๋ฅ˜๊ตฐ์ด ํ™•์ธ๋˜์—ˆ์œผ๋ฉฐ ์ง€์ •์ œ๋Š” ๋งˆ๋ฆ„์ด 90% ์ด์ƒ ์šฐ์ ํ•˜๊ณ  ์žˆ์—ˆ๋‹ค. ๊ทธ๋ฆฌ๊ณ  ํ™˜๊ฒฝ๋ถ€์ง€์ • ์ƒํƒœ๊ณ„๊ต๋ž€์•ผ์ƒ๋™ยท์‹๋ฌผ์ธ ๋ฌผ์ฐธ์ƒˆํ”ผ, ํ„ธ๋ฌผ์ฐธ์ƒˆํ”ผ, ๋ผ์ง€ํ’€ 3๋ถ„๋ฅ˜๊ตฐ์ด ๋ถ„ํฌํ•˜๋Š” ๊ฒƒ์œผ๋กœ ์กฐ์‚ฌ๋˜์—ˆ๋‹ค. ํŠนํžˆ ์ƒํƒœ๊ณ„๊ต๋ž€์•ผ์ƒ๋™ ์‹๋ฌผ์ธ ๋ฌผ์ฐธ์ƒˆํ”ผ๊ฐ€ ์ง€์ •์ œ์˜ ์ˆ˜๋ณ€์— ์ƒ๋‹นํžˆ ์šฐ์ ํ•˜์˜€๊ณ , ์ฃผ์•”ํ˜ธ์˜ site 3์—๋Š” ๋ผ์ง€ํ’€์ด ์ƒ๋‹นํžˆ ์šฐ์ ํ•˜๊ณ  ์žˆ์–ด ๊ด€๋ฆฌ๊ฐ€ ์š”๋ง๋œ๋‹ค.

4.6. ์–ด๋ฅ˜ ๋ถ„ํฌ ๋ฐ ํŠน์„ฑ

ํ™•์ธ๋œ ์–ด๋ฅ˜๋Š” ์ด 4๋ชฉ 10๊ณผ 44์ข…์ด ์ถœํ˜„ํ•˜์˜€๊ณ , ๋ฉธ์ข…์œ„๊ธฐ์•ผ์ƒ๋™๋ฌผ ๋ฐ ์ฒœ์—ฐ๊ธฐ๋…๋ฌผ ๋“ฑ์˜ ๋ฒ•์ ๋ณดํ˜ธ์ข…์€ ํ™•์ธ๋˜์ง€ ์•Š์•˜๋‹ค. ์ฑ„์ง‘ ์–ด์ข…๋“ค์„ ๊ณผ๋ณ„ ์ถœํ˜„๋นˆ๋„ ์ธก๋ฉด์—์„œ ํ™•์ธํ•˜๋ฉด, ์ž‰์–ด๊ณผ ์–ด๋ฅ˜๊ฐ€ 25(56.8%)์œผ๋กœ ๋งค์šฐ ๋†’์€ ์ถœํ˜„์œจ์„ ๋ณด์˜€๊ณ , ๋ฏธ๊พธ๋ฆฌ๊ณผ๊ฐ€ 5์ข…(11.4%), ๋ง๋‘‘์–ด๊ณผ๊ฐ€ 3์ข…(6.8%), ๋™์ž๊ฐœ๊ณผ์™€ ๊บฝ์ง€๊ณผ, ๋™์‚ฌ๋ฆฌ๊ณผ, ๊ฒ€์ •์šฐ๋Ÿญ๊ณผ๊ฐ€ ๊ฐ๊ฐ 2์ข…(4.5%), ๋ฉ”๊ธฐ๊ณผ์™€ ๋ฐ”๋‹ค๋น™์–ด๊ณผ, ๊ฐ€๋ฌผ์น˜๊ณผ๊ฐ€ ๊ฐ๊ฐ 1์ข…(2.3%)์œผ๋กœ ๋‚˜ํƒ€๋‚ฌ๋‹ค. ์ฃผ์š” ์šฐ์ ์ข…์€ ๊ฐ์‹œ๋ถ•์–ด, ์ฐธ๋ถ•์–ด, ๊ธด๋ชฐ๊ฐœ, ์ฐธ๋ชฐ๊ฐœ, ๊ฐˆ๊ฒจ๋‹ˆ, ํ”ผ๋ผ๋ฏธ, ์น˜๋ฆฌ, ๋ฐ€์–ด, ๋ฏผ๋ฌผ๊ฒ€์ •๋ง๋‘‘, ๋ธ”๋ฃจ๊ธธ์ด์—ˆ๋‹ค. ๊ฐ€์žฅ ๋งŽ์€ ๊ฐœ์ฒด์ˆ˜๋ฅผ ๋‚˜ํƒ€๋‚ธ ์ข…์€ ํ”ผ๋ผ๋ฏธ๋กœ์„œ 18.9%์˜ ์šฐ์ ๋„๋ฅผ ํ™•๋ณดํ•˜๊ณ  ์žˆ์—ˆ๋‹ค. ํ•œ๊ตญ ๊ณ ์œ ์–ด์ข…์€ ์ด 3๋ชฉ 5๊ณผ 13์ข…์œผ๋กœ 29.5%์˜ ๊ณ ์œ ๋„๋ฅผ ํ™•์ธํ•  ์ˆ˜ ์žˆ์—ˆ๊ณ  ๊ฐ์‹œ๋ถ•์–ด, ์นผ๋‚ฉ์ž๋ฃจ, ์ค„๋‚ฉ์ž๋ฃจ, ๊ฐ€์‹œ๋‚ฉ์ง€๋ฆฌ, ๊ธด๋ชฐ๊ฐœ, ์ฐธ๋ชฐ๊ฐœ, ๋Œ๋งˆ์ž, ์™•์ข…๊ฐœ, ์ค„์ข…๊ฐœ, ๋ˆˆ๋™์ž๊ฐœ, ๊บฝ์ง€, ๋™์‚ฌ๋ฆฌ, ์–ผ๋ฃฉ๋™์‚ฌ๋ฆฌ ๋“ฑ์œผ๋กœ ๋‚˜ํƒ€๋‚˜๊ณ  ์žˆ์—ˆ๋‹ค. 10๊ฐœ ํ˜ธ์†Œ ์ค‘ ๊ฐ€์žฅ ๋งŽ์€ ์–ด์ข…์ด ์ถœํ˜„ํ•œ ํ˜ธ์†Œ๋Š” ์ฃผ์•”ํ˜ธ๋กœ 30์ข…์˜ ์–ด์ข…์ด ํ™•์ธ๋˜์—ˆ์œผ๋ฉฐ, ๊ฐ€์žฅ ์ ์€ ์–ด์ข…์ด ์ถœํ˜„ํ•œ ํ˜ธ์†Œ๋Š” ์ง€์ •์ œ๋กœ 11์ข…์ด ์ฑ„์ง‘๋˜์—ˆ๋‹ค. ์™ธ๋ž˜๋„์ž…์–ด์ข…์ธ ๋–ก๋ถ•์–ด, ๋ธ”๋ฃจ๊ธธ, ๋ฐฐ์Šค๊ฐ€ ์ „์ฒด์ ์œผ๋กœ 466๊ฐœ์ฒด๋กœ ์ด๋Š” ์ „์ฒด๊ฐœ์ฒด์ˆ˜์˜ 10.7%๋กœ ๋‚˜ํƒ€๋‚ฌ๋‹ค. ์ˆ˜๋™์ œ, ์žฅ์ˆ˜์ œ, ์ง€์ •์ œ, ํ•˜๋™ํ˜ธ์—์„œ๋Š” ์™ธ๋ž˜๋„์ž…์–ด๋ฅ˜๊ฐ€ ํ™•์ธ๋˜์ง€ ์•Š์•˜๋‹ค. ์œ„ํ•ด์„ฑ ์™ธ๋ž˜์–ด์ข…์ธ L macrochirus, M. salmoides๋Š” ๋™๋ณตํ˜ธ, ๋ฐฑ์šด์ œ, ์ƒ์‚ฌํ˜ธ, ์žฅ์ˆ˜์ œ, ์ฃผ์•”ํ˜ธ์—์„œ ํ™•์ธ๋˜์—ˆ๋‹ค.

References

1 
Barnes R. S. K., Mann K. H., (1991a), Fundamentals of Aquatic Ecology, Barnes, R. S. K. and Mann, K. H. (1991a). Fundamentals of Aquatic Ecology, Blackwell Science Inc. (2nd Ed.).Google Search
2 
Barnes R. S. K., Mann K. H., (1991b), Fundamentals of Aquatic Ecology, Barnes, R. S. K. and Mann, K. H. (1991b). Fundamentals of Aquatic Ecology, Blackwell Scientific Publications, Oxford.Google Search
3 
Choi J. S., Kim H. S., Kang M. D., (1998), Seasonal Dynamics of Epilithic Diatom Community in the Sinchun, Korean Society of Limnology, Choi, J. S., Kim, H. S., and Kang, M. D. (1998). Seasonal Dynamics of Epilithic Diatom Community in the Sinchun, Korean Society of Limnology, 31(3), pp. 235-240. [Korean Literature], Vol. 31, No. 3, pp. 235-240Google Search
4 
Chung J., Kim H. S., Kim Y. J., (1994), Structure of Phytoplankton Community in the Nakdong River Estuary Dam, Korean Society of Limnology, Chung, J., Kim, H. S., and Kim, Y. J. (1994). Structure of Phytoplankton Community in the Nakdong River Estuary Dam, Korean Society of Limnology, 27(1), pp. 33-46. [Korean Literature], Vol. 27, No. 1, pp. 33-46Google Search
5 
Kim H. S., Park J. H., (2003), Development of Eutrophication Control Technology for a Pumped Storage Power Plant Dam: B. Evaluation of the Trophic Level of a Pumped Storage Power Olant Reservoir, International Journal of Research Institute of Industrial Science and Technology, Kim, H. S. and Park, J. H. (2003). Development of Eutrophication Control Technology for a Pumped Storage Power Plant Dam: B. Evaluation of the Trophic Level of a Pumped Storage Power Olant Reservoir, International Journal of Research Institute of Industrial Science and Technology, 17(2), pp. 51-57. [Korean Literature], Vol. 17, No. 2, pp. 51-57Google Search
6 
Lee D. H., Cho Y. G., Lee J. J., (2000), An Influence on the Water Quality by Sediments of Dongbok Reservoir,, Lee, D. H., Cho, Y. G., and Lee, J. J. (2000). An Influence on the Water Quality by Sediments of Dongbok Reservoir, 2002 Spring Co-Conference of the Korean Society on Water Environment and Korean Society of Water and Wastewater, Korean Society on Water Environment and Korean Society of Water and Wastewater, pp. 307-310. [Korean Literature], pp. 307-310Google Search
7 
Lee H. J., (1999), Epilithic Diatoms in the Nakdong River and its Value of the Diatom Assemblage Index of Organic Water Pollution (DAIpo), Korean Society of Limnology, Lee, H. J. (1999). Epilithic Diatoms in the Nakdong River and its Value of the Diatom Assemblage Index of Organic Water Pollution (DAIpo), Korean Society of Limnology, 31(1), pp. 38-44. [Korean Literature], Vol. 31, No. 1, pp. 38-44Google Search
8 
Leidy R. A., Moyle P. B., (1998), Conservation Status of World's Fish Fauna: An Overview. In Conservation Biology: For the Coming Decade, Leidy, R. A. and Moyle, P. B. (1998). Conservation Status of World's Fish Fauna: An Overview. In Conservation Biology: For the Coming Decade, eds Peggy S. Fiedler and Peter M. Kareiva, Capter 8. Chapman & Hall.Google Search
9 
(2011), Water Information System (WIS), Ministry of Environment (MOE). (2011). Water Information System (WIS), http://water.nier.go.kr (accessed 2011.12.14.) [Korean Literature]Google Search
10 
Odum E. P., (1971), Fundamentals of Ecology, Odum, E. P. (1971). Fundamentals of Ecology, International Thomson Publishing (3rd Ed.), pp. 574., pp. 574Google Search
11 
Park H. K., Cheon S. U., Park S. I., Lee M. H., Ryu J. K., (1992), Seasonal Successtion of Phytoplankton in some Artificial Lakes of Korea, Journal of Korean Society On Water Environment, Park, H. K., Cheon, S. U., Park, S. I., Lee, M. H., and Ryu, J. K. (1992). Seasonal Successtion of Phytoplankton in some Artificial Lakes of Korea, Journal of Korean Society On Water Environment, 8(3), pp. 150-158. [Korean Literature], Vol. 8, No. 3, pp. 150-158Google Search
12 
Seong C. N., Kim J. H., Cho H. U., Han W. D., Kim H. W., (2003), Survey on Lake Environment, Jeonnam Green Environment Center Final Report, Seong, C. N., Kim, J. H., Cho, H. U., Han, W. D., and Kim, H. W. (2003). Survey on Lake Environment, Jeonnam Green Environment Center Final Report.Google Search
13 
Welch E. B., Lindell T., (1992), Ecological Effects of Wastewater, Welch, E. B. and Lindell, T. (1992). Ecological Effects of Wastewater, 2nd. Champman & Hall, London.Google Search
14 
Welschemeyer N. A., Lorenzen C. J., (1985), Role of Herbivory in Controlling Phytoplankton Abundance: Annual Pigment Budget for a Temperate Marine Ford, Marine Biology, Welschemeyer, N. A. and Lorenzen, C. J. (1985). Role of Herbivory in Controlling Phytoplankton Abundance: Annual Pigment Budget for a Temperate Marine Ford, Marine Biology, 90(1), pp. 75-86., Vol. 90, No. 1, pp. 75-86DOI