공학양
(Hak-Yang Kong)
*†
김세미
(Semi Kim)
**
이재윤
(Jaeyoon Lee)
**
이재안
(Jae-An Lee)
**
조형진
(Hyungjin Cho)
***
Copyright © 2016, Korean Society on Water Environment
Key words
Dam, Sandbar, Sand-mining, Vegetation Immigration, Vegetation recruitment, Willow
1. Introduction
사주는 물과 유사의 상호작용으로 형성되는 하천지형의 하나로, 홍수로 인하여 소멸하고 생성되며 지속적으로 이동하거나 형태가 바뀐다. 일반적인 충적하천에서
사주의 식생은 국지적으로 활착되었다가도 주기적 및 비주기적 교란에 의하여 소멸 및 생성과정을 반복하며 하천 환경의 천이가 진행된다(Arscott et al., 2002; Egger, 2007).
그러나 하천정비가 잦은 우리나라에서 하천 식생변화는 주로 인간의 영향으로 일어난다. 홍수에 의한 자연적 교란과는 달리 골재채취, 댐 건설 등과 같은
인위적 교란은 사주의 형태와 식생분포에 다른 영향을 미친다(Choi et al., 2004; Gordon and Meentermeyer, 2006). 하천변 골재채취는 하상의 급격한 저하, 지형, 유로, 하상구조 등에 다양한 환경변화를 유발시키며 특히 생물서식처에 영향을 미치는 하천교란의 주요한
원인이 되었다 (Jang et al., 2007). 또한 댐 건설은 하류 충적하천에 신선한 유사를 더 이상 공급하지 않게 되고, 하상소류력이 감소하므로 기존 형성된 사주의 안정성을 높이고, 식생의
이입을 증가시켰다(Woo, 2008).
하천변 홍수터에서 주로 서식하는 버드나무류는 사주나 제방 등을 고정하는 대표적인 하천변 개척자 식물의 우점종이다. 이러한 버드나무류 종자가 홍수터에
활착하기 위해서는 발아기 수분 유효성이 매우 중요하다고 알려져 있다(Kim et al., 1999; Lee, 2002; Ottenbreit and Staniforth, 1992; Yulia and Martin, 2005). 또한 봄철 홍수는 홍수터에 신선한 토사와 적절한 수분을 공급하여 종자 발아에 좋은 조건을 형성하나(Nakamura, 1999), 발아기 후인 7월 이후의 대규모 홍수는 하상재료의 세굴 등을 일으켜 봄에 발아한 버드나무 유묘의 정착을 방해하는 역할을 한다.
따라서 본 연구에서는 댐 건설 및 골재채취 후 수변의 물리적 환경변화를 조사하고, 사주 내 주 식생인 버드나무류의 이입과정을 분석하고자 한다. 이를
통하여 골재채취 및 댐 건설의 인공교란이 사주 내 식생천이에 미치는 영향을 고찰해 보고자 한다.
2. Materials and Methods
2.1. 연구지역 선정
하천환경의 자연성이 높고 골재채취 이외에는 하천교란 요인이 적은 금강 상류를 한정하여 행정자치기관에서 제공한 골재채취 신고기록을 기반으로 1980년대부터
2012년까지 항공사진 추출이 가능한 지점을 선정하였다(Fig. 1). 조사지점은 금강본류의 호탄리, 수두리, 봉곡리, 구강리 등 4 지점과 지천 보청천의 예곡리 1 지점 등 5곳을 선정하였고 이들과 비교하기 위한
대조구는 골채채취가 일어나지 않았던 호탄리 지점 상류 25 km의 무주 1 지점을 선정하였으며 대조구 상류 37 km에는 용담댐이 위치하고 있다.
대조구는 골재채취 신고기록이 없고 항공사진분석상에서도 골재채취 흔적이 나타나지 않았다.
Fig. 1.
Map showing the study area in Geum River, Korea. Circles indicate study sites. Arrows
indicate river flow.
2.2. 환경변화 조사
조사지역 인근에 위치한 추풍령 및 금산 관측소 자료를 토대로 1984~2012년까지 강수량을 조사하였고, 금강홍수통제소의 수문연보(1980~2011)
및 금강의 수문이 기록(1963~2011)된 문헌(MOC, 1980-1993; MOCT, 1989; MOCT, 1993; MOCT, 1994-2007)을 이용하여 유량자료와 수위자료를 수집하였다. 하상고 및 하상단면은 보청천 및 금강상류의 하천정비기본계획 보고서(Chungcheongbuk-do 1992; MOCT, 1989; MOCT, 1993; MLTMA, 2009)를 통해 조사하였고, 2013년 5월 15일, 21-22일, 6월27-28일, 8월 27-28일, 9월 10-11일에 각
조사지의 표토층 토양을 채취하여 입자간의 침강속도 차이를 이용한 pipet법으로 토성을 분석하고 Walkely-Black법으로 유기물함량을 분석하였다.
2.3. 식생이입 조사
골재채취 후 사주 내 식생이입 및 면적변화를 알아보기 위하여 국토지리정보원에서 제공하는 1984~2012년까지 40여 년간의 항공사진 정사영상을 기반으로
‘맨’사주, 초본이입 사주, 목본이입 사주의 면적 변화를 분석하였다. 또한 식생 이입의 원인분석을 위해 조사지 인근의 수위표 수위자료 및 미 공병단의
1차원모형 HEC-RAS를 이용하여 Cho(2012)의 방법에 따라 하상소류력이 0.06을 넘을 때 수심을 사용하여 발생수위 분석을 하였고, 2013년 5월 15일, 21-22일, 6월27-28일,
8월 27-28일, 9월10-11일에 조사지의 버드나무군락에서 근주직경, 수고 및 수령을 조사하였다.
3. Results and Discussion
3.1. 환경요인 변화
조사지역의 연 평균 강수량(추풍령 1206.9 mm, 금산 1379.6 mm)은 우리나라의 평균적인 강수량 유형을 나타냈다. 사주의 이입된 현존식생인
버드나무류 발아기로 추정되는 1998~2004년도 4~6월의 강수량은 평균 408.4 mm, 381.4 mm (금산, 추풍령)로 평년값 337.6
mm, 300.4 mm (금산, 추풍령)보다 높아 버드나무류의 이입 및 활착에 유리한 조건이 유지되고 있었다. 금강 상류의 유량은 골재채취(1992~1996)
이후, 2001년 완공된 용담댐 건설로 인해 유량 변동이 더욱 감소하여(Table 1) 조사지에 주기적 홍수와 같은 급격한 수위변동이 억제되었다. 그러나 보청천은 상류에서 큰 지류의 유입이 없고 가뭄과 홍수의 영향을 직접적으로 받는
자연유황을 보였다. 금강상류 하상고의 변화를 살펴보면 전체적인 최심하상고 및 평균하상고가 낮아졌고 특히 골재채취가 이루어진 지역에서는 평균하상고가
0.91 m가 낮아졌다(Table 2, MOCT, 1993; MLTMA, 2009). 보청천 지점은 일부지점의 최심하상고가 1.27 m 낮아졌으나 평균하상고는 변동이 없는 것으로 나타났다(Chungcheongbuk-do 1992; MOCT, 1989). 전체적으로 이러한 하상저하는 하안 및 사주의 침식을 일으키고 그로 인해 사주의 표면 높이가 낮아지므로, 사주의 높이와 하천수위가 큰 차이가 없어져
유기물의 퇴적 및 원활한 수분공급에 의해 식생이 발아되고 활착하기 유리한 조건을 만든다(Woo, 2008). 토양 분석결과 골재채취가 일어나지 않은 대조구는 모래 비율(75.3%)이 높고, 유기물 함량(0.30%)이 낮은 반면, 골재채취 지역에서는 채취
후 식생사주에서 봉곡리 지점을 제외하고는 토양의 실트 비율(26.8~63.4%)이 높고 유기물 함량(1.43~2.87%)이 높았다(Table 3). 사주 토성의 변화는 하상저하에 따른 영향으로 판단되며, 골재채취로 인하여 하상안정화 기간 동안 세굴된 지점에는 다시 모래 등의 하상재료가 쌓이면서
유기물과 영양분이 퇴적되는 홍수 이후와 같은 변화가 일어난 것으로 보인다. 이러한 물리적 환경의 변화는 식생의 구조 및 기능을 조절하는 역할을 하는데(Naiman et al., 2005), 골재채취는 일부구간에 자연 홍수와 같이 사주를 재형성하는 물리적 교란을 일으키고, 버드나무 등의 수변식생에 수분을 보충해주는 작용을(Mahoney and Rood, 1998) 하는 것으로 판단된다.
Table 3.
Soil texture and organic matter at study sites
3.2. 사주면적의 변화
골재채취 이전 금강상류에서의 ‘맨’사주 면적은 봉곡리의 경우 1985년 전체사주 면적 중 85% (66,993/78,809 m2)를 차지하였는데 골재채취 시기에 54% (42,084/78,248 m2)로 줄어들었으며 이후에도 점진적으로 감소하여 2012년에 전체 사주면적의 22.1% (20,708/93,714 m2)를 차지하였다. 가장 감소율이 높은 호탄리의 경우는 2012년에 전체 사주면적의 6.4%로 (7,701/121,191 m2) 반면 목본과 초본의 식생 사주 면적은 골재채취 이후 전체사주의 93% (호탄, 113,490/121,191 m2)까지 급격히 증가하였으며 이는 초본사주(88,735/121,191 m2)에서 더 두드러지게 나타나 골재채취가 식생이 입을 촉진시킨 것으로 판단된다. 사주 내 식생이입은 댐에 의한 영향이 매우 큰 것으로 알려져 있으며,
댐건설로 인한 유량조절은 식생의 결정적 이입 원인 중 하나이다(Woo, 2008). 댐 건설 이후 골재채취가 이루어지지 않은 대조구 지역에서도 식생사주의 면적이 19.3%가 증가하였고, 금강 상류의 골재채취지역에서는 평균 42.0%가
증가한 것으로 나타나 용담댐 건설로 인하여 사주에 식생이입이 더욱 촉진된 것으로 보인다. 그러나 자연유황의 예곡리에서도 골재 채취 11년 후 전체
식생면적이 74.4% 증가하였고, 목본이 전체사주의 35%를 차지하는 것으로 보아 홍수이후와 같이 골재채취로 인한 하상저하 이후 하상재료와 유기물
등의 재퇴적 작용이(Mahoney and Rood, 1998) 초본과 버드나무류의 이입 및 정착을 촉진시킨 것으로 판단된다(Fig. 2, Fig. 3). 따라서 골재채취 교란 이후 조절 및 비조절 하천 모두 사주에 식생면적이 증가하는 경향이 있으며, 조절하천의 사주 내 식생이입은 비조절하천에 비하여
안정적인 유황으로 인하여 다소 완만한 속도로 진행되었고 초본의 정착 이후 목본의 이입도 유사한 속도로 진행되었다.
Fig. 2.
Change of sandbar in Gugang-ri 1985-2012. Black arrows indicate river flow. Red oval
indicates sand mining area. Lemon color area indicates “sand” bar. Yellowish green
area indicates herb bar. Green area indicates wood (willow) bar.
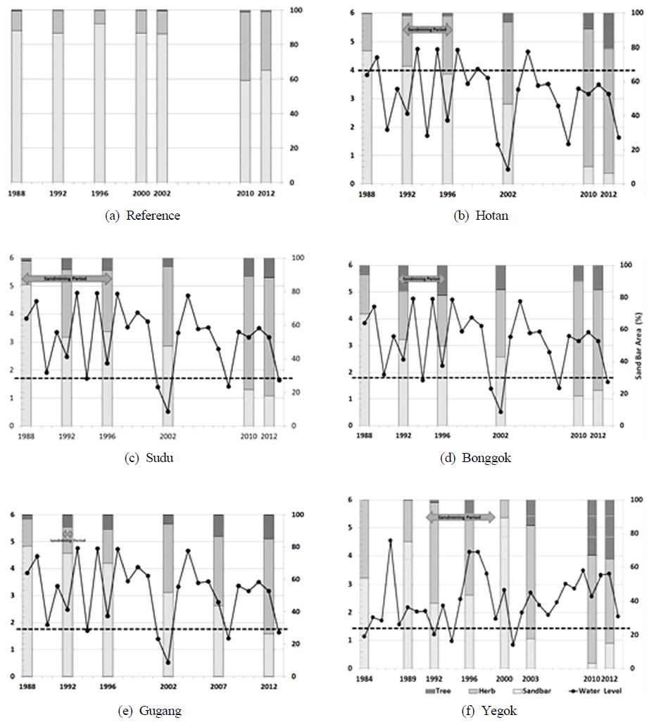
Fig. 3.
Area Change of sandbar and vegetation bar (m2, a: Reference, b: Hotanri, c: Sudu, d: Bonggok, e: Gugang, f: Yegok). Blue lines
indicate sandbar area. Red lines indicate vegetation bar area. Black arrows indicate
dam construction in (a) and sand mining in (b) - (f).
조사된 사주의 교목성 버드나무 수령은 6.8~12.5년 사이로 일반적인 관목성 버드나무류 천이 이후의 경향을 보인다. 항공사진 분석결과 골재채취 후
10여년이 지나면 갯버들 등의 관목성 버드나무류가 이입되고(Fig. 4) 그로부터 평균 10.6년 후에는 버드나무, 왕버들 등 교목성 버드나무림을 이루는 것으로 나타났으며 대조구 지역에서는 달뿌리풀 등의 다년생 초본류의
우점을 보였다(Table 4). 조절 및 비조절 하천에서 골재채취 이후 목본이 사주에 이입하는데 걸리는 시간은 10년 이상이 필요하지만 골재채취는 다수의 목본이 동시에 발아하기에
좋은 환경을 조성하여 이입을 촉진시키며, 일단 정착하면 대규모 군집을 형성하는 결과를 낳는다. 이는 버드나무류 군집이 우점하는 지역의 사주의 높이가
5-6월 조사시기 당시 수면으로부터 전체 평균 0.9 m로 매우 낮고 각 지점 표준편차가 0.0~0.4로 변화가 없으며, 버드나무 개체 간 간격이
평균 0.4 m로 좁고 수고의 각 지역표준편차가 0.2~3.6 m로 거의 일정한 모습과 상관이 있다.
Fig. 4.
Secular trend of vegetation recruitment at sandbar, variation in water level, and
dimensionless bed stress at study sites. Left axis indicates water level (m). Right
axis indicates vegetation ratio in sandbar (%). Dotted across line denotes critical
shear stress (τ* = 0.06).
Table 4.
Average growth characteristics of Salix genus
3.3. 하상소류력의 변화
하상소류력은 흐르는 물에 의해 하상재료에 작용하는 마찰로, 한계소류력 이상이 되면 하상재료가 이동하여 봄철 발아한 버드나무 등의 식물이 홍수로 인하여
세굴되거나 퇴적으로 매몰되어 정착하지 못하는 제한요소로 작용한다(Woo et al., 2010). 버드나무는 종자가 작고 산포력이 높아 발아조건만 맞으면 대규모 발생이 가능하다(Lee, 2002). 따라서 버드나무 종자가 산포된 후 하상소류력이 발생하지 않으면 초기 생장속도가 빠른 버드나무 군집은 대규모로 정착이 가능하다. HEC-RAS를
이용하여 지점별 한계소류력 발생수위를 분석한 결과 금강 상류는 1.7 m ~ 4 m이고, 보청천 예곡리 지점은 1.4 m로 나타났다(Fig. 4). 자연유황의 예곡리 지점은 7월 이후 최대수위가 하상소류력 이하로 나타난 1984년, 1992년, 1994년, 2001년 1~2년 이후를 식생이입
적정시기로 예상하였다. 그러나 1992년, 1996년에 목본이 정착했으나 소실되고 수위변동이 안정적이었던 2003년 이후에 급격히 증가한 것으로 나타났다.
이는 7월 이후 홍수로 인한 하상소류력이 발생하지 않더라도 안정적인 수위 유지가 목본이입을 조절하는 원인으로 판단된다. 금강본류에서는 하상소류력이
목본이입에 큰 연관성을 보이지 않아, 유량이 조절되는 하천에서 골재채취 지역의 홍수기 유량변화는 목본이입에 큰 영향을 보이지 않는 것으로 판단된다.
4. Conclusion
골재채취는 교란지역에 부분홍수와 같은 영향을 주는데, 골재채취로 식생기반이 파괴된 이후 하상저하가 일어나고, 유기물 함량 및 실트의 비율이 증가하는
토성변화로 사주에 다수의 식생이 동시에 이입하는 조건을 만든다. 댐의 영향을 받는 금강본류와 받지 않는 보청천 지류 모두 골재 채취 이후에 식생면적이
뚜렷하게 증가하고 버드나무류 목본으로 천이되어 골재채취는 식생이입 및 천이에 영향을 미치며 댐에 의한 유황변이감소는 식생이입을 더욱 촉진하는 것으로
나타났다. 자연유황을 가진 하천에서 7월 이후의 홍수는 버드나무가 사주에 정착하는 한계요인이 되며 골재채취로 식생기반이 파괴된 수변에서 그 해 여름
홍수에 하상소류력이 발생하지 않고 안정적인 수위변동 이내에서는 버드나무가 대규모로 이입될 수 있는 조건을 형성한다. 금강상류에서 골재채취 10년 경과
후 사주에 관목성 버드나무류 목본이 이입되었으며 10.6년 이후 교목으로 우점되어 교목성 하반림 생성에는 총 20.6년이 소요되었다.
Acknowledgements
본 연구는 국립환경과학원의 조사연구사업(수변환경 변화에 따른 식생군집 양상 연구)의 일환으로 수행되었습니다.
References
(2002), Aquatic Habitat Dynamics along a Braided Apline River Ecosystem: Tagliamento
River, Northeast Italy, Ecosystem, Arscott, D. B., Klement, T., Dimitry, N., and Ward,
J. V. (2002). Aquatic Habitat Dynamics along a Braided Apline River Ecosystem: Tagliamento
River, Northeast Italy, Ecosystem, 5, pp. 808-814., Vol. 5, pp. 808-814

(2012), Mechanisms and Model Early Succession of Riparian Vegetation in a Sandy Stream,
Cho, H. J. (2012). Mechanisms and Model Early Succession of Riparian Vegetation in
a Sandy Stream, Inha University Biology Ph. D. Dissertations. pp. 3-162. [Korean Literature],
pp. 3-162

(2004), Effect of Flow-regime Change due to Damming on the River Morphology and Vegetation
Cover in the Downstream River Reach; a Case of Wapchon Dam on the Hwang River, Journal
of Korea water Resources Association, Choi, S. W., Yoon, B. M., Woo, H. S., and Cho,
K. H. (2004). Effect of Flow-regime Change due to Damming on the River Morphology
and Vegetation Cover in the Downstream River Reach; a Case of Wapchon Dam on the Hwang
River, Journal of Korea water Resources Association, 37(1), pp. 55-66. [Korean Literature],
Vol. 37, No. 1, pp. 55-66

(1992), Geam River Basic Plan for Maintenance (supplement), Chungcheongbuk-do. (1992).
Geam River Basic Plan for Maintenance (supplement), pp. 12-22, 50-82. [Korean Literature]

, Floodplain Vegetation Models and Application in River Restoration, Egger, G. (2007).
Floodplain Vegetation Models and Application in River Restoration, KICT The 2nd International
Workshop on River Environment, pp. 41-66., pp. 41-66

2006, Effects of Dam Preration and Land Use on Stream Channel Morphology and Riparian
Vegetation, Geomorphloogy, Gordon, E. and Meentermeyer, R. K. (2006). Effects of Dam
Preration and Land Use on Stream Channel Morphology and Riparian Vegetation, Geomorphloogy,
82. pp. 412-429., Vol. 82, pp. 412-429

, Study on the Investigation of River Disturbance in Korea, Jang, C. R., Kim, J. T.,
and Lee, K. M. (2007), Study on the Investigation of River Disturbance in Korea, Conference
of Korea water Resources Association, pp. 946-950. [Korean Literature], pp. 946-950

(1999), Productivity and Production Structure of Salix nipponica, Korean Wetlands
Society, Kim, C. S., Lee, P. H., and Oh, K. H. (1999). Productivity and Production
Structure of Salix nipponica, Korean Wetlands Society, 1, pp. 61-69. [Korean Literature],
Vol. 1, pp. 61-69

(2002), Growth Characteristics and Community Dynamics of Riparian Salix in South Korea,
Lee, P. H. (2002). Growth Characteristics and Community Dynamics of Riparian Salix
in South Korea, Gyeongsang National University Life Science Ph. D. Dissertations,
pp. 2-26, 103-110. [Korean Literature]

(1998), Stream Flow Requirements for Cottonwood Seedling Recruitment - an Integrated
Model, Wetlands, Mahoney, J. M. and Rood, S. B. (1998). Stream Flow Requirements for
Cottonwood Seedling Recruitment - an Integrated Model, Wetlands, 18, pp. 634-645.,
Vol. 18, pp. 634-645

(1980-1993), Annual Hydrological Report on Korea, Ministry of Construction (MOC).
(1980-1993). Annual Hydrological Report on Korea, Ministry of Construction. [Korean
Literature]

(1989), Bocheong Stream Basic Plan for Maintenance, Ministry of Construction and Transportation
(MOCT). (1989). Bocheong Stream Basic Plan for Maintenance, Ministry of Construction
and Transportation, pp. 30-39, 49-59. [Korean Literature]

(1993), Bocheong Stream Basic Plan for Maintenance, Ministry of Construction and Transportation
(MOCT). (1993). Bocheong Stream Basic Plan for Maintenance, Ministry of Construction
and Transportation, pp. 13-18, 44-54, 64-72. [Korean Literature]

(1994-2007), Annual Hydrological Report on Korea, Ministry of Construction and Transportation
(MOCT). (1994-2007). Annual Hydrological Report on Korea, Ministry of Construction
and Transportation. [Korean Literature]

(2008-2011), Annual Hydrological Report on Korea, Ministry of Land, Transport and
Maritime Affair (MLTMA). (2008-2011). Annual Hydrological Report on Korea, Ministry
of Land, Transport and Maritime Affair. [Korean Literature]

(2009), Upper Geam River(Chogang junction-Yongdam dam) Basic Plan for Maintenance
(Supplement), 11-1611000-000004-14, Ministry of Land, Transport and Maritime Affairs,
Daejeon Regional Land Management Division. (2009). Upper Geam River(Chogang junction-Yongdam
dam) Basic Plan for Maintenance (Supplement), 11-1611000-000004-14, Ministry of Land,
Transport and Maritime Affair, pp.2-2-2-8, 3-34-3-64, 3-183-3-209. [Korean Literature]

(2005), Riparia: Ecology, Conservation and Management of Streamside Communities, Naiman,
R. J., Décamps, H., and McClain, M. E. (2005). Riparia: Ecology, Conservation and
Management of Streamside Communities, Elsevier Academic Press, San Diego, CA. p. 430.,
pp. 430

(1999), Influence of Dam Structures on Dynamics of Riparian Forests, Ecology and Civil
Engineering, Nakamura, F. (1999). Influence of Dam Structures on Dynamics of Riparian
Forests, Ecology and Civil Engineering, 2(2), pp. 125-139. [Japanese Literature],
Vol. 2, No. 2, pp. 125-139

(1992), Life Cycle and Age Structure of Ramets in an Expanding Population of Salix
exigua (Sandbar Willow), Canadian Journal of Botany, Ottenbreit, K. A. and Staniforth,
R. J. (1992). Life Cycle and Age Structure of Ramets in an Expanding Population of
Salix exigua (Sandbar Willow), Canadian Journal of Botany, 70, pp. 1141-1146., Vol.
70, pp. 1141-1146

, White River? Green River?, Woo, H. S. (2008). White River? Green River?, Conference
of Korea water Resources Association, 41(12), pp. 38-47. [Korean Literature], pp.
38-47

, A Hydrologic Investigation of Vegetation Recruitment on Sandbars in Front of the
Historical Village of Hahoe on the Nakdong River, Woo, H. S., Kim, J. S., Park, M.
H., Jung, S. J., and Kim, H. T. (2010). A Hydrologic Investigation of Vegetation Recruitment
on Sandbars in Front of the Historical Village of Hahoe on the Nakdong River, Conference
of Korea water Resources Association, pp. 509-514. [Korean Literature], pp. 509-514

(2005), Willows Beyond Wetlands : Uses of Salix L. Species for Environmental Projects,
Water, Air, and Soil Pollution, Yulia, A. K. and Martin, F. Q. (2005). Willows Beyond
Wetlands : Uses of Salix L. Species for Environmental Projects, Water, Air, and Soil
Pollution, 162, pp. 183-204., Vol. 162, pp. 183-204
