์ดํ์
(Hye-Suk Yi)
*โ
๊น๋์ญ
(Dong-sup Kim)
*
ํฉ๋งํ
(Man-Ha Hwang)
*
์๊ด๊ตญ
(Kwang-Guk An)
**
Copyright ยฉ 2016, Korean Society on Water Environment
Key words
Climate change, HSPF, RCP Scenario, Statistical analysis, Yongdam dam watershed
1. Introduction
๊ธฐํ๋ณํ๋ ์ ์ธ๊ณ์ ์ธ ํ์์ผ๋ก ์์ฌํด, ์์ง์ค์ผ์ ์ฆ๊ฐ ๋ฑ์ด ๊ฐ๋ฅํ๊ณ ์๋ฌธ ๋ฐ ์์ง๋ณํ์ ์๋ก์ด ํจํด์ ์ผ๊ธฐ์ํฌ ์ ์๊ธฐ ๋๋ฌธ์ ์๋ก์ด ๋ฌผ๊ด๋ฆฌ๋ฅผ ์ํ
์ฃผ์ ์ด์๊ฐ ๋๊ณ ์๋ค. ๊ธฐํ๋ณํ์ ๊ดํ ์ ๋ถ๊ฐ ํ์์ฒด(Intergovernmental Panel on Climate Change, IPCC)์ ๊ธฐํ๋ณํ์
๋ฌผ์ ๊ดํ ๊ธฐ์ ๋ณด๊ณ ์์์๋ ์ง๊ตฌ์ ๋ชจ๋ ์๋ช
์ฒด์ ํ์๋ถ๊ฐ๊ฒฐํ ์์, ๊ทธ๋ฆฌ๊ณ ๋ชจ๋ ์ ํ์ ์ธ๊ฐํ๋๊ณผ ์์กด์ ์์ด์ ๊ฐ์ฅ ์ค์ํ๊ฒ ์ธ์๋๊ณ ์๋ ์์์๊ณผ
๊ธฐํ๋ณํ์์ ์๊ด๊ด๊ณ๋ฅผ ์ค๋ช
ํ๊ณ ์์ผ๋ฉฐ, ์์์์ด ๊ธฐํ๋ณํ์ ์๋นํ ์ทจ์ฝํ๊ธฐ ๋๋ฌธ์ ์ํ๊ณ์ ๊ด๋ฒ์ํ๊ฒ ์ํฅ์ ๋ฏธ์น ๊ฒ์ด๋ผ๋ ์ฆ๋น ๋ฐ ์์ธก์๋ฃ๋ฅผ ์ ์ํ๊ณ
์๋ค(IPCC, 2013). ์ด์ ๊ฐ์ ๊ธฐํ ๋ณํ์ ์ํฅ์ผ๋ก ์ ์ธ๊ณ์ ์ผ๋ก ํ๊ท ๊ธฐ์จ์ด ์์นํ๊ณ ๊ฐ๋ญ ๋ฐ ์ง์คํธ์ฐ์ ๋ฐ์๋น๋๊ฐ ์ฆ๊ฐํ๊ณ ์์ผ๋ฉฐ ์ฐ๋ฆฌ๋๋ผ์ ๊ฒฝ์ฐ์๋ ์ง๋ 100๋
๊ฐ
๊ธฐ์จ์ ์ฝ 1.7โ ์์นํ์ฌ ์ธ๊ณ๊ธฐ์จ์ฆ๊ฐ์จ์ ๋นํด 2.3๋ฐฐ ์์นํ์๊ณ , ์ต๊ทผ 50๋
๋์ ๊ฐ์์ผ์๋ ๊ฐ์ํ๊ณ ํธ์ฐ๋ฐ์ ๋น๋๋ ์ฆ๊ฐํ๋ ๊ฒ์ผ๋ก ๋ํ๋ฌ๋ค(Jung at al., 2010). ์ด์ ๊ฐ์ ๊ธฐํ๋ณํ์ ์ํ ๋ฏธ๋ ๊ธฐ์จ ์์น๊ณผ ๊ฐ์๋์ ํจํด๋ณํ๋ ์๋ก์ด ์์์๊ด๋ฆฌ ํจํฐ๋ค์์ ์๊ตฌํ๊ณ ์์์ ๋ฐ๋ผ ๊ตญ๋ด์ธ ์์์์ฐ๊ตฌ๊ฐ ํ๋ฐํ ์งํ๋๊ณ
์๋ค. ํนํ, ์๋ฌธ๋ณํ์ ๊ธฐ์จ์ ์์น์ ์์จ๋ณํ๋ฅผ ์ ๋ฐํ๊ณ ์ด๋ ์์ง์ ์งฮ๊ฐ์ ์ ์ธ ์ํฅ์ ๋ฏธ์น๊ฒ ๋๋ค. ๋ง์ ์์งํญ๋ชฉ์ด ์จ๋์ ์์กดํ์ฌ ๋ณํํ๊ณ
์์จ์ ์ฆ๊ฐ๋ ์์ํ๊ณ์ ํ์ํ ์์ฒด ์ฉ์กด์ฐ์ ๋๋๋ฅผ ๊ฐ์์ํค๊ณ ํ์ฒ์ ์ฆ๊ฐ๋ ์์จ์ ์ ์์ง ์ ์
ํ์ ์ฑ์ธตํ์๋ ์ํฅ์ ๋ฏธ์นจ์ผ๋ก์จ ์์๋ฌผ์ง์ ์ํ์๋
์ํฅ์ ๋ฏธ์น๊ฒ ๋๋ค(Ahn and Han, 2010; Cheon et al., 2006; Gleick and Adams, 2000; Han et. al., 2008; Kim et al., 2006; Murdoch et al., 2000).
์ฐ๋ฆฌ๋๋ผ๋ ๊ฐ ์๊ณ๋ณ ๋ค๋ชฉ์ ๋์ด ์ด์๋๊ณ ์์ผ๋ฉฐ ๋์ ์์ง์ ์ํ๊ฒฝ์ ์ ์ญ์ผ๋ก๋ถํฐ ์ ์
๋๋ ์ค์ผ๋ฌผ์ง๊ณผ ์์ฒด๋ด ๊ฑฐ๋์ ์ํด ๊ฒฐ์ ๋๋ค. ์ต๊ทผ ๊ธฐํ๋ณํ์
๋ฐ๋ผ ๊ฐ์๋๊ณผ ๊ธฐ์จ ์ฆ๊ฐ๋ก ์ธํด ๋์ ์ญ์ ์ ๋ ๋ณํ์ ์์จ์ฆ๊ฐ๊ฐ ๋ฐ์ํ ์ ์๊ณ ์ด๋ ๋์ ์์ง ์์ง์ ์ํฅ์ ๋ฏธ์น ์ ์๋ค. ์ด์, ๋ค๋ชฉ์ ๋์ ํจ์จ์ ์ธ
์์ง๊ด๋ฆฌ๋ฅผ ์ํด์๋ ์ต๊ทผ ๋ฌผ๊ด๋ฆฌ ์ฃผ์ ์ด์์ธ ๊ธฐํ๋ณํ๋ฅผ ๊ณ ๋ คํ์ฌ ์ํฅ์ ํ์
ํ์ฌ ๋งค๋
์ฌ๋ฆ์ฒ ๋ฐ์ํ๋ ์กฐ๋ฅ ๋ฑ ์์ง๋ฌธ์ ๋ฅผ ๋๋นํด์ผ ํ๋ค. ๊ธฐํ๋ณํ๋ฅผ
ํ๊ฐํ๋ ๋ฐฉ๋ฒ์ ๊ด์ธก์๋ฃ์ ๊ฒฝํฅ์ฑ ํต๊ณ๋ถ์์ ํตํด ์ํฅ์ ํ์
ํ๊ณ , ๊ธฐํ๋ณํ์ ๊ดํ ์ ๋ถ ๊ฐ ํ์์ฒด์ธ IPCC์ ์ํด ์ ๊ณต๋๋ ์จ์ค๊ฐ์ค ์๋๋ฆฌ์ค ๋ํ๋๋๊ฒฝ๋ก
RCP ์๋๋ฆฌ์ค๋ฅผ ํ์ฉํ์ฌ ๋ ์ ์ญ์ ์ ๋ ๋ฐ ์์จ๋ณํ๋ฅผ ์ ๋งํ ์ ์๋ค(Nam et al., 2011). ๊ธฐํ๋ณํ์ ๋ฐ๋ฅธ ๋ฏธ๋ ์ ๋ง์ ์ํ์ฌ ์ ์ญ๋ชจํ์ด ์ ์ฉ๋๊ณ ์์ผ๋ฉฐ ์ ์ถ๋ ๋ฐ ์๋ฌธ์์์ ๋ง์ด ์ ์ฉ๋์ด ์์ผ๋ฉฐ ๋ชจํ์ ๋ถํ์ค์ฑ์ ์ค์ด๊ธฐ ์ํ ๋
ธ๋ ฅ๋
์ง์์ ์ผ๋ก ์ด๋ฃจ์ด์ง๊ณ ์๋ค(Bae et al., 2008; Jang et al., 2015; Kim et al., 2004; Shin et al., 2013; Shin et al., 2014; Yoon et al., 2007).
๋ณธ ์ฐ๊ตฌ์์๋ ๊ธ๊ฐ์๊ณ์ ์์นํ ์ฉ๋ด๋ ์ ์์ง์ ๊ธฐํ ๋ณํ์ ๋์ํ ์์ง๊ด๋ฆฌ ์์ฌ๊ฒฐ์ ์ ํ์ํ ๊ธฐ์ด ์ ๋ณด ์ ๊ณต์ ๋ชฉ์ ์ผ๋ก ๊ธฐํ๋ณํ ์๋๋ฆฌ์ค์ ์ํ
์ ์ถ๋ ๋ฐ ์์จ ๋ณํ๋ฅผ ์ ๋งํ๊ณ ์ ํ์๋ค. ์ฉ๋ด๋ ์ ์ญ์ ๊ณผ๊ฑฐ ์ฝ 30๋
๊ฐ(1973~2014๋
)์ ๊ฐ์๋, ๊ธฐ์จ์ ๊ด์ธก๊ฐ์ Mann-Kendall
๊ฒ์ ๋ฒ์ผ๋ก ๊ฒฝํฅ์ฑ ๋ถ์์ ์ํํ์๊ณ , RCP ๊ธฐํ๋ณํ ์๋๋ฆฌ์ค๋ฅผ ๊ณ ๋ คํ ์ฉ๋ด๋ ์ ์
ํ์ฒ์ ๋ํ์ง์ ์ ์ ๋ ๋ฐ ์์จ ๋ณํ๋ฅผ ์ ๋งํ์๋ค.
2. Materials and Methods
2.1. ์ฐ๊ตฌ๋์์ง์ญ
๋ณธ ์ฐ๊ตฌ์ ๋์์ ์ญ์ ๊ธ๊ฐ ์๊ณ ์๋ฅ์ ์ฉ๋ด๋ ์ ์ญ์ผ๋ก ๋ถ์ 35ยฐ35' ~ 36ยฐ00', ๋๊ฒฝ 127ยฐ20 ~ 127ยฐ45'์ ๋ฒ์์ ์์นํ๋ฉฐ,
๋ฌด์ฃผ๊ตฐ, ์ง์๊ตฐ, ์ฅ์๊ตฐ์ ํฌํจํ๋ ์ ๋ผ๋ถ๋ ๋ฐ ์ถฉ์ฒญ๋จ๋, ๊ฒฝ์๋จ๋์ ๊ฒฝ๊ณ์ ์์ผ๋ฉฐ ์ฃผ์ ํ์ฒ์ ์ฃผ์์ฒ, ์ ์์ฒ, ์ง์์ฒ, ๊ตฌ๋์ฒ ๋ฐ ๊ธ๊ฐ๋ณธ๋ฅ๋ก Fig. 1์ ๋ํ๋ด์๋ค. ์ ๋ก์ฐ์ฅ์ 62.58 km์ด๊ณ ์ ์ญ๋ฉด์ ์ 930.4 km2๋ก ๊ธ๊ฐ์ ์ญ๋ฉด์ ์ ์ฝ 9.5%๋ฅผ ์ฐจ์งํ๊ณ ์๋ค. ๋๋ถ๋ถ ์ฐ์ง(70%)์ ๋์
์ง์ญ(21%)์ ์ฐจ์งํ๊ณ ์์ผ๋ฉฐ ๊ธฐ์๊ด์ธก์๋ ์ ์ฃผ, ๊ธ์, ์์ค, ๊ฑฐ์ฐฝ,
์ฅ์ ์ด 5๊ฐ ์ง์ ์ด ์๊ณ ํ๊ฒฝ๋ถ ์์ง์ธก์ ๋ง์ ๊ธ๋ณธA ์ง์ ์ด ์์นํ๊ณ ์๋ค. ์ฉ๋ด๋ ์ ์ญ์ ๋์์ผ๋ก ๊ธฐํ๋ณํ ์ํฅํ๊ฐ๋ ์ฃผ๋ก ์ ์ถ๋ ๋ฐ ์๋ฌธ์ํ ์ฐ๊ตฌ๊ฐ
์ด๋ฃจ์ด์ง ๋ฐ ์์ผ๋ฉฐ(Jung et al., 2015, Park et al., 2015) ์์จ ๋ฐ ์์ง์ ๋ํ ํ๊ฐ๋ ๋ถ์กฑํ ์ค์ ์ด๋ค.
Fig. 1.
Map showing study area.
2.2. ๊ธฐ์์๋ฃ ์์ง ๋ฐ ๋ถ์๋ฐฉ๋ฒ
๊ธฐํ๋ณํ๋ก ์ธํ ์์์์ ๋ฏธ์น๋ ์ํฅ์ ๋ถ์ํ๋ ๋ฐฉ๋ฒ์ผ๋ก๋ ํฌ๊ฒ ๊ด์ธก ์๋ฃ๋ฅผ ์ด์ฉํด ๋ณํ๋ฅผ ๋ถ์ํ๋ ๋ฐฉ๋ฒ, ๊ธฐํ๋ชจํ์ ์ด์ฉํ๋ ๋ฐฉ๋ฒ, ๊ทธ๋ฆฌ๊ณ ๊ธฐํ๋ชจํ๊ณผ
๊ฒฐ์ ๋ก ์ ์๋ฌธ๋ชจํ์ ์ด์ฉํ๋ ๋ฐฉ๋ฒ์ผ๋ก ๋๋ ์ ์๋ค. ๊ด์ธก ์๋ฃ๋ฅผ ์ด์ฉํ๋ ๋ฐฉ๋ฒ์ ์ฃผ๋ก ๊ธฐํ๋ณํ์ ์งํ๋ ์ฆ๊ฑฐ ๋ถ์์ ์ด์ฉ๋๋ ๋ฐฉ๋ฒ์ผ๋ก ๊ณผ๊ฑฐ์ ์ค์
ํ์์ ํตํด ๊ธฐํ๋ณํ์ ํน์ฑ์ ํ์
ํ ์ ์๋ค(Kim et al., 2011). ๋ณธ ์ฐ๊ตฌ์์๋ ๊ธ๊ฐ์๊ณ ๋ค๋ชฉ์ ๋ ์ ์ญ์ ๊ธฐํ๋ณํ ๊ฒฝํฅ์ ์กฐ์ฌํ๊ธฐ ์ํ์ฌ ๊ธฐ์์ฒญ์์ ์ ๊ณตํ๋ ๊ธฐ์๊ด์ธก์์ 1973๋
๋ถํฐ 2014๋
๊น์ง์ ์ผ๋ณ ๊ธฐ์จ,
๊ฐ์๋ ์๋ฃ๋ฅผ ์์งํ์๋ค. ๊ด์ธก์์ ํฐ์ผ ๊ฐ์ค์น๋ฅผ ๊ณ ๋ คํ์ฌ ๋์ ์์ง ๋ํ๊ฐ์ ์ฐ์ถํ์ฌ ์ฐ๋ณ ๋ฐ ๊ณ์ ๋ณ๋ก ์ถ์ถํ ํ์ Mann-Kendall ๊ฒ์ ๋ฒ์
์ด์ฉํ ๊ฒฝํฅ์ฑ์ ๋ถ์ํจ์ผ๋ก์จ ๊ธฐํ๋ณํ ์๋๋ฆฌ์ค์ ์ํ ๋ฏธ๋ ์ ๋ง๋ฟ๋ง ์๋๋ผ ๊ณผ๊ฑฐ ๊ด์ธก์๋ฃ ํน์ฑ์ ์ ์ํ์ฌ ๋น๊ตํ๊ณ ์ ํ์๋ค. Mann-Kendall
๊ฒ์ ๋ฒ์ ์ ํต์ ์ธ ํต๊ณ๊ฒ์ ๋ฐฉ๋ฒ๋ค์ด ๋ชจํ๊ท ์ ๋ถํฌ๋ฅผ ๋์ผํ ๋ถ์ฐ์ ๋ํด ์ ๊ท๋ถํฌ๋ก ๊ฐ์ ํ๊ณ ๊ทธ ๋ถ์์ ์ํํ๋ ๊ฒ๊ณผ ๋ฌ๋ฆฌ ๋จ์ง ์ฐ์์ ์ธ ๋ชจํ๊ท ์ ๊ฐ์ง๋ค๋
๊ฐ์ ์๋ ๊ฒ์ ๋ถ์์ ์ํํ๋ค(Helsel et al., 1980). ๊ด์ธก์น์ ์ฐจ์ด๋ฅผ ์๋์ ์ธ ํฌ๊ธฐ๋ก ๊ณ์ฐํ๋ ๋น๋ชจ์ ํต๊ณ๋ฐฉ๋ฒ์ผ๋ก ํต๊ณ์น Z๋ฅผ ์ฐ์ ํ๊ณ ์ด๋ฅผ ์ ์์์ค(ฮฑ)์ ํ์ค ํต๊ณ์น์ ๋น๊ตํ์ฌ ๊ฒฝํฅ์ ํ์
ํ๋ค. ์ด๋ฌํ ํน์ฑ ๋๋ฌธ์ ๋น์ ๊ท ๋ถํฌ๋ฅผ ๊ฐ์ง๋ ์๋ฃ์ ๋ถ์์ ์ ํฉํ๋ฉฐ ์๊ณ์ด ์๋ฃ์ ๊ฒฝํฅ์ฑ์ ํ๋จํ๋ ์ ์ฉํ
์งํ๋ก ์ฌ์ฉ๋๋ค.
2.3. ์ ์ฉ๋ชจํ
HSPF (Hydrological Simulation Program - Fortran) ์ ์ญ๋ชจํ์ 1960๋
๋ ์ด ์คํ ํฌ๋ ์ ์ญ๋ชจํ(Standford
Watershed Model)์ผ๋ก ์ฒ์ ๊ฐ๋ฐ๋์์ผ๋ฉฐ 1970๋
๋ ์์ง ๊ธฐ์์ด 1980๋
๋ ์ ํ์ฒ๋ฆฌ ์ํํธ์จ์ด๊ฐ ์ถ๊ฐ ๋์๊ณ , ์ ์ญ๊ด๋ฆฌ๋ฅผ ์ํด ๋ง์ด
์ฌ์ฉ๋๋ ๋ชจํ ์ค์ ํ๋์ด๋ค. ๋ฏธ๊ตญ TMDL์ ์ํด ๊ฐ๋ฐ๋ BASINS์ ํตํด ์งํ๋ถ์ ๋ฐ ๋ฐฉ๋ํ ์
์ถ๋ ฅ ์๋ฃ ๊ด๋ฆฌ ๋ฑ์ด ์ฌ์ฉ์๊ฐ ํธ๋ฆฌํ๊ฒ ์ฌ์ฉํ
์ ์๋๋ก ๊ฐ๋ฐ๋์ด ์๋์ฐ ๊ธฐ๋ฐ์ WinHSPF๋ก ๋ฐ์ ๋์๋ค. ์ ์ญ๋ชจํ๋ด ์ ์ฉ ๋ชจ๋์ ํฌ์์ง์ญ์ ์๋ฌธ ๋ฐ ์์ง์ ๋ชจ์ํ๋ PERLND, ๋ถํฌ์์ง์ญ์
์๋ฌธ ๋ฐ ์์ง์ ๋ชจ์ํ๋ IMPLND, ์์ฒด ๋ด์ ์๋ฆฌ ๋ฐ ์์ง์ ๋ชจ์ํ๋ RCHRES๋ก ๊ตฌ์ฑ๋์ด ์์ผ๋ฉฐ, ๊ฐ ๋ชจ๋์ ๋ฌผ์ ํ๋ฆ๊ณผ ๊ด๊ณ๋ ๋ถ๋ถ, ํ ์ฌ์ ์ถ
๋ฐ ์์์ผ๋ฅ ๋ฑ ์์ง๊ณผ ๊ด๊ณ๋๋ ๋ถ๋ถ์ผ๋ก ๊ตฌ๋ถ๋์ด ์๋ค.
์ ์ญ์ ํฌ์์ธต๊ณผ ๋ถํฌ์์ธต์ผ๋ก ๊ตฌ๋ถํ์ฌ ๊ฐ๊ธฐ ๋ค๋ฅธ ๋ฐฉ์์ผ๋ก ์๋ฌธ๋ชจ์๊ฐ ์ด๋ฃจ์ด์ง๋ฉฐ ์๋ฌธ ๋ฐ ์๋ฆฌ ๋ชจ์์ ์ํฅ์ ์ฃผ๋ ์์๋ ๊ฐ์, ์๋ฌผ ๋ฑ์ ์ํ ์ฐจ๋จ,
์งํ์ ๋ฅ, ์ฆ๋ฐ์ฐ, ์นจํฌ, ์งํ์ ์ ์ถ, ์ค๊ฐ ์ ์ถ ๋ฐ ์งํ์ ์ ์ถ ๋ฑ์ด ์๋ค. ์์ฒด ๋ด ์๋ฆฌ ๋ชจ์๋ ํ๋ฆ์ ํ ๋ฐฉํฅ์ผ๋ก ๋ณด๋ฉฐ ํ ๋ถ๋ถ์ ์ ์
๊ณผ ์ฌ๋ฌ
๋ฐฉํฅ์ ์ ์ถ ๋ถ๋ถ์ผ๋ก ๊ตฌ์ฑ๋์ด ์์ผ๋ฉฐ, ์์ฒด์ ๊น์ด์ ๋ํ ์ํ๋ฉด์ ๊ณผ ์ ๋ฅ๋๋ ์๋๊ณผ์ ๊ด๊ณ๋ ๋ณํ์ง ์๋๋ค๋ ๊ฐ์ ์ ๊ธฐ์ด๋ก ํ๊ณ ์๋ค. ์์ง ๋ชจ์๋
๋ถํฌ์ ๋ฐ ํฌ์์ธต์ ์ค์ผ๋ฌผ์ง์ ์ถ์ ๋ฐ ์ธ์ ์ ์ํ์ฌ ์งํ ์ ์ถ, ์ค๊ฐ ์ ์ถ, ์งํ์ ์ ์ถ์ด ํ์ฒ์ผ๋ก ์ ์
๋๋ฉฐ ํ ์ฌ์ ํก์ฐฉ๋ ์ค์ผ๋ฌผ์ง, ์ฉ์กด ์ค์ผ๋ฌผ์ง๋ก
๊ตฌ๋ถ๋์ด ํ์ฒ์์ ๋ฐ์ํ๊ฒ ๋๋ค.
2.4. RCP ์๋๋ฆฌ์ค
IPCC 4์ฐจ ๋ณด๊ณ ์์์๋ ๋ฏธ๋ ์จ์ค๊ฐ์ค ๋ฐฐ์ถ์ ์ํฅ์ ๋ฏธ์น๋ ์ฌํ๊ฒฝ์ ์ ์์๋ค์ ๋ค๋ฃจ์ด ํฌ๊ฒ 4๊ฐ์ SRES (Special Report on Emission
Scenario, SRES) ์๋๋ฆฌ์ค(A1, A2, B1, B2)๋ก ๊ตฌ๋ถํ์์ผ๋ 5์ฐจ ๋ณด๊ณ ์์์์ RCP๋ ์จ์ค๊ฐ์ค, ์์ด๋ก์ ๋ฐ ์ธ๊ฐ์ ํ๋์ด ๋๊ธฐ์
๋ฏธ์น๋ ์์ธ์ ๊ณ ๋ คํ ์จ์ค๊ฐ์ค๋๋๋ฅผ ์ฐ์ ํ์๋ค. RCP ์๋๋ฆฌ์ค๋ ์ ํ๋ ํฅ์ ๋ฐ ๋ค์ํ ๋ถ์ผ์์ ํ์ฉ์ฑ์ ๊ณ ๋ คํ ํ์์ฑ์ด ์ ๊ธฐ๋์ด ๊ฐ๋ฐ๋์์ผ๋ฉฐ,
๋ณต์ฌ๊ฐ์ ๋ ฅ(radiative forcing)์ ๋ฐ๋ผ 4๊ฐ์ ์๋๋ฆฌ์ค(RCP 2.6, 4.5, 6.0, 8.5)๋ก ๊ตฌ๋ถ๋์ด ์๋ค. ๋ณธ ์ฐ๊ตฌ์์๋ ๊ธฐ์์ฒญ์์
์ ๊ณตํ๋ ๋จํ ์์ธ(1km) ๊ธฐํ๋ณํ ์๋๋ฆฌ์ค๋ฅผ ํ์ฉํ์๋ค. ์ด ์๋๋ฆฌ์ค๋ ์ง์ญ๊ธฐํ๋ชจ๋ธ์ธ Had-GEM3-RA๋ฅผ ํตํด ์์ฐ๋ ํ๋ฐ๋(12.5km)
๊ธฐํ๋ณํ ์๋๋ฆฌ์ค๋ฅผ ๋ฐํ์ผ๋ก ๊ด์ธก์๋ฃ(2000~2010)๋ฅผ ํต๊ณ์ ์์ธํํ์ฌ 1km ํด์๋์ ๊ด์ธก๊ฒฉ์ ์๋ฃ๋ก ์์ฐํ ๊ธฐํ๊ฐ์ผ๋ก ์ผ๊ฐ์๋, ์ผํ๊ท ๊ธฐ์จ,
์ผ์ต๊ณ ๊ธฐ์จ ๋ฐ ์ผ์ต์ ๊ธฐ์จ ๊ฐ์ ์ ์ญ๋ชจํ์ ์ ์ฉํ์๋ค. ๋จํ ์์ธ ๊ธฐํ๋ณํ ์๋๋ฆฌ์ค์ ์ ๋ขฐ๋๋ Bias๋ ์ผํ๊ท ๊ธฐ์จ๊ณผ ์ผ๊ฐ์๋ ๋ชจ๋ ๊ณ์ ์ ์๊ด์์ด
๋งค์ฐ ๋ฎ๊ฒ ๋ํ๋ฌ์ผ๋ฉฐ, RMSE๋ ์ผ๊ฐ์๋์ ๊ฒฝ์ฐ 1.80~6.63 mm, ์ผํ๊ท ๊ธฐ์จ 0.27~0.86โ, ์ผ์ต๊ณ ๊ธฐ์จ 0.31~1.03โ, ์ผ์ต์
๊ธฐ์จ 0.27~1.31โ๋ก ๋ถ์๋ ๋ฐ ์๋ค(Kim et al, 2012, Kim et al, 2013).
3. Results and Discussion
3.1. ๊ธฐ์ ๊ด์ธก์๋ฃ์ ๊ฒฝํฅ์ฑ ๋ถ์
๊ธ๊ฐ์๊ณ ์ฉ๋ด๋ ์ ์ญ์ ๊ธฐ์ ๊ด์ธก์๋ฃ ๊ฒฝํฅ์ฑ์ ํ๊ฐํ๊ธฐ ์ํ์ฌ ์ฐ๊ฐ์ฐ๋๊ณผ ์ฐํ๊ท ๊ธฐ์จ ๊ทธ๋ฆฌ๊ณ ๊ณ์ ๋ณ ํน์ฑ์ ๋ถ์ํ๊ธฐ ์ํ์ฌ ๋ด์ฒ (3~5์), ์ฌ๋ฆ์ฒ (6~8์),
๊ฐ์์ฒ (9~11์), ๊ฒจ์ธ์ฒ (12~2์)๋ก ์ถ์ถํ์๋ค. ์ ๋ ๋ฐ ๋ ์ ์
๋๊ณผ ์๊ด์ฑ์ด ๋์ ๊ฐ์๋์ ๊ฒฝ์ฐ ์ฌ๋ฆ์ฒ ์ฆ๊ฐ ๊ฒฝํฅ์ฑ์ด ํต๊ณ์ ์ผ๋ก ์ ์ํ ๊ฒ์
์ ์ธํ๊ณ ๋ ์ฆ๊ฐ ๊ฒฝํฅ์ฑ์ด ๋ํ๋์ง ์์๋ค. ๋ฐ๋ฉด์ ๊ธฐ์จ์ ๊ฒฝํฅ์ฑ ๋ถ์ ๊ฒฐ๊ณผ, ์ฐํ๊ท ๊ธฐ์จ๊ณผ ๊ฐ์, ๊ฒจ์ธ์ฒ ์ ํต๊ณ์ ์ผ๋ก ์ ์ํ๊ฒ ์ฆ๊ฐ ๊ฒฝํฅ์ฑ์ด ๋ํ๋ฌ์ผ๋ฉฐ
Table 1์ ํต๊ณ๊ฐ์ ๋ํ๋ด์๋ค. ์ด์ ๊ฐ์ ํน์ฑ์ Fig. 2์ ๋ํ๋ธ ๊ทธ๋ํ๋ฅผ ํตํ ๊ฒฝํฅ์ฑ์์๋ ํ์ธํ ์ ์์ผ๋ฉฐ ๊ฐ์ฐ๋์ ๊ฒฝ์ฐ ๋
๋๋ณ๋ก ์ง์์ ์ผ๋ก ์ฆ๊ฐํ๋ ๊ฒฝํฅ์ฑ ๋ณด๋ค๋ ์ฆ๊ฐ์ ๊ฐ์๊ฐ ๋ฐ๋ณต๋์ด ๋ํ๋๋ฉด์
์ ์ฒด์ ์ผ๋ก ์ฆ๊ฐํ๋ ๊ฒฝํฅ์ด ๋ํ๋ฌ์ผ๋ฉฐ ํนํ, ์ฌ๋ฆ์ฒ ์ ๊ฐ์ฐ๋ ์ฆ๊ฐ๊ฐ ๋๋ ทํ๊ฒ ๋ํ๋๊ณ ๋ด์ฒ ๊ณผ ๊ฒจ์ธ์ฒ ์๋ ํต๊ณ์ ์ผ๋ก ์ ์ํ์ง๋ ์์ง๋ง ์ ์ง์ ์ผ๋ก ๊ฐ์ํ๋
๊ฒฝํฅ์ ํ์ธํ ์ ์์๋ค. ๊ธฐ์จ์ ๊ฒฝ์ฐ์๋ ๊ฐ์ฐ๋๊ณผ๋ ๋ฌ๋ฆฌ ์ง์์ ์ธ ์ฆ๊ฐ ๊ฒฝํฅ์ฑ์ด ๋ํ๋๋ ๊ฒ์ ํ์ธํ ์ ์์๋ค. ์ด์ ๊ฐ์ ๊ณผ๊ฑฐ ๊ด์ธก๊ฐ์ ํ์ฉํ
ํต๊ณ๋ถ์์ ํตํด ๋์์ง์ ํน์ฑ์ ๋ถ์ํ ์๋ ์์ผ๋ ๊ธฐํ๋ณํ์ ์ํ ์ฅ๋จ๊ธฐ์ ์ธ ๋ฌผ๊ด๋ฆฌ ๊ณํ ์๋ฆฝ์ ์ํ ์๋ฃ ์ ๊ณต์๋ ํ๊ณ์ ์ด ์กด์ฌํ ์ ์๋ค.
Table 1.
Mann-Kendall trend analysis results for precipitation and air temperature in Yongdam
dam watershed
Fig. 2.
Yearly, seasonal precipitation (left graph) and air temperature (right graph) trend
line of Yongdam dam watershed (1973 ~ 2014).
3.2. ์ฉ๋ด๋ ์ ์ญ RCP ์๋๋ฆฌ์ค ๋ถ์
๊ธฐ์์ฒญ์์ 400๋
์ ์ด์ ๋ถ์ผ๋ก ์ ๊ณต๋๋ 1km ํด์๋์ RCP 2,6, 4.5, 6.0 ๋ฐ 8.5 ๊ธฐํ๋ณํ ์๋๋ฆฌ์ค์ ๋ํ์ฌ ์ฐ๊ฐ์๋, ์ผํ๊ท ๊ธฐ์จ,
์ผ์ต๊ณ ๊ธฐ์จ ๋ฐ ์ผ์ต์ ๊ธฐ์จ์ 2040s(2021~2060๋
), 2080s (2061~2100๋
)๋ก ๊ตฌ๋ถ ๋ฐ ์ถ์ถํ ํ์ Baseline (2003~2010๋
)์
๋ํ ๋ณํ์จ์ ๋ถ์ํ์๋ค. Baseline ๊ธฐ์ค์ ๋ ๊ฑด์ค์ดํ ์๋๋ฆฌ์ค ๊ด์ธก๊ธฐ๊ฐ์ธ 2010๋
๊น์ง๋ก ์ค์ ํ์๋ค. ์ฐ๊ฐ์๋์ ๊ฒฝ์ฐ, RCP 2.6์์๋
2040s์๋ 3.1%, 2080s์๋ 2.0% ๊ฐ์ํ๋ ๊ฒ์ผ๋ก ๋ํ๋ฌ์ผ๋ฉฐ RCP 4.5, 6.0 ๋ฐ 8.5์์๋ 2080s์ 4.4%, 3.9%
๋ฐ 5.6%๋ก ์ ์ฐจ ์ฆ๊ฐํ๋ ๊ฒ์ผ๋ก ์ ๋ง๋์๋ค. ํ๊ท ๊ธฐ์จ์ ๊ฒฝ์ฐ์๋ RCP 2.6์์๋ 2040s์ 2080s์ 1.2โ, 1.3โ ์ฆ๊ฐํ๋ ๊ฒ์ผ๋ก
์ ๋ง๋์์ผ๋ฉฐ RCP 4.5, 6.0 ๋ฐ 8.5์์๋ ๊ฐ๊ฐ 2080s์ 2.0โ, 2.0โ ๋ฐ 3.5โ ์ฆ๊ฐํ๋ ๊ฒ์ผ๋ก ์ ๋ง๋์๋ค. ์ต๊ณ ๊ธฐ์จ๊ณผ ์ต์ ๊ธฐ์จ์
๊ฒฝ์ฐ์๋ ํ๊ท ๊ธฐ์จ๊ณผ ์ ์ฌํ ์ฆ๊ฐํญ์ ๋ํ๋ด์์ผ๋ฉฐ RCP 8.5์์ 2080s์ ์ต์ ๊ธฐ์จ 3.4โ, ์ต๊ณ ๊ธฐ์จ 3.6โ ์ฆ๊ฐํ๋ ๊ฒ์ผ๋ก ์ ๋ง๋์๋ค(Table 2).
Table 2.
Yearly, seasonal precipitation (left graph) and air temperature (right graph) trend
lines for Yongdam dam watershed (1973 ~ 2014)
RCP ๊ธฐํ๋ณํ ์๋๋ฆฌ์ค์ ์ํ ์๋ณ ๋ณํ๋ฅผ ๋ถ์ํ ๊ฒฐ๊ณผ, ์ฐ๊ฐ์๋์ ๊ฒฝ์ฐ์๋ 2040s์๋ ์ฌ๋ฆ์ฒ (7~9์)๋ณด๋ค๋ ๋ด์ฒ (3~5์)๊ณผ ๊ฒจ์ธ์ฒ (12~2์)
์ฆ๊ฐํญ์ด ํฌ๊ฒ ๋ํ๋ฌ์ผ๋ฉฐ 2080s์๋ ์ฌ๋ฆ์ฒ ์ฆ๊ฐํญ์ด ๋์ฑ ์ปค์ง๋ ๊ฒ์ผ๋ก ์ ๋ง๋์์ผ๋ฉฐ Fig. 3๊ณผ Fig. 4์ ๋ํ๋ด์๋ค. ํ๊ท ๊ธฐ์จ์ ๊ฒฝ์ฐ์๋ 2040s์๋ ๊ฒจ์ธ์ฒ (12~2์) ์ฆ๊ฐํญ์ด RCP 2.6, 4.5, 6.0 ๋ฐ 8.5 ๊ฐ ์๋๋ฆฌ์ค์์ 1.1~2.7โ,
1.0~1.9โ, -0.5~1.4โ ๋ฐ 0.4~1.7โ์ ๋ฒ์๋ก ๊ฐ์ฅ ํฌ๊ฒ ๋ํ๋ฌ์ผ๋ฉฐ 2080s์๋ ๋ง์ฐฌ๊ฐ์ง๋ก ๊ฒจ์ธ์ฒ ์ฆ๊ฐํญ์ด ์ปธ์ผ๋ฉฐ 2040s์
๋นํด ๊ฐ์์ฒ ์ฆ๊ฐํญ๋ ์ปค์ง๋ ๊ฒ์ผ๋ก ์ ๋ง๋์๋ค.
Fig. 3.
Monthly precipitation changes under the RCP 2.6, 4.5, 6.0 and 8.5 scenarios in the
2040s (left graphs) and 2080s (right graph).
Fig. 4.
Monthly mean temperature under the RCP 2.6, 4.5, 6.0 and 8.5 scenarios in the 2040s
(left graphs) and 2080s (right graph).
3.3. ๊ธฐํ๋ณํ์ ๋ฐ๋ฅธ ์ฉ๋ด๋ ์ ์
ํ์ฒ์ ์ ๋ ๋ฐ ์์จ๋ณํ ์ ๋ง
3.3.1. ๋ชจํ ๊ตฌ์ถ
HSPF ๋ชจํ์ ์ ์ฉํ๊ธฐ ์ํ์ฌ ํ์ํ ์
๋ ฅ์๋ฃ๋ ์งํ ์๋ฃ, ํ ์งํผ๋ณต๋, ํ ์๋ ๋ฐ ๊ธฐ์์๋ฃ๋ก ๊ตฌ๋ถํ ์ ์๋ค. ์ฉ๋ด๋ ์ ์ญ์ 30m ร 30m
DEM์ผ๋ก๋ถํฐ Flow Direction๊ณผ Flow Accumulation์ ๊ณ์ฐํ์ฌ ํ์ฒ๋ง์ ์์ฑ์ํจ ํ, ํ์ฒ๋ ๋ฐ ์ ์ญ๋, ์์ง์ธก์ ์ง์ ์ ๊ณ ๋ คํ์ฌ
30๊ฐ ์์ ์ญ์ผ๋ก ๊ตฌ๋ถํ์๋ค. ๊ณต๊ฐ์ ์ผ๋ก ๋ณํํ๋ ์ ์ญ๋ด ์๋ฌธํ์ ๋ฐ ํ ์ฌ๋ฐ์ ๋ชจ์์ ํ์ํ ์
๋ ฅ์๋ฃ ๊ตฌ์ถ์ ์ํด DEM, ํ์ฒ๋ ๋ฐ ์ ์ญ๋๋ฅผ ์ฌ์ฉํ์ฌ
๊ฐ ์์ ์ญ๋ณ ๋ฉด์ , ๊ฒฝ์ฌ๋, ์ ์ญ์ ํ๊ท ๊ธธ์ด ๋ฑ ์งํํน์ฑ์ ์ถ์ถํ์์ผ๋ฉฐ ์ ์ญ๋ด ์นจํฌ ๋ฐ ์ ์ถ์ ๋ชจ์ํ ์ ์๋๋ก ๊ตฌ์ถํ์๋ค. ๊ธฐ์์๋ฃ์ ์ ์ค์ผ์ ๋ถํ๋์
WinHSPF ์๋ฃ๊ด๋ฆฌ ํ๋ก๊ทธ๋จ์ธ WDMUtil์ ํ์ฉํ์ฌ ์์ ์ญ๋ณ wdm ํ์ผ๋ก ์์ฑํ์๋ค.
3.3.2. ์ ์ญ๋ชจํ์ ์ ์ฉ์ฑ ํ๊ฐ
HSPF ๋ชจํ์ ์ ์ฉ์ฑ ํ๊ฐ๋ฅผ ์ํด 2008~2009๋
์ ์์ ํ๊ธฐ๊ฐ์ผ๋ก ์ค์ ํ๊ณ , 2010~2014๋
์ ์ต๊ทผ 5๋
๊ฐ์ ๋์์ผ๋ก ๋ชจ์ํ์๋ค. ๋ชจํ์
๋ณด์ ์ ๋ชจํ์ ์ด๊ธฐ์กฐ๊ฑด๊ณผ ๋งค๊ฐ๋ณ์๋ฅผ ์ ์ญ์ ์กฐ๊ฑด์ ๋ง๋๋ก ์ผ์น์ํค๋ ๊ณผ์ ์ผ๋ก ๊ณ์ฐ๋ ๊ฐ๊ณผ ์ธก์ ํ ๊ฐ์ด ๊ฐ์ฅ ์ ์ผ์นํ ๋์ ๋งค๊ฐ๋ณ์ ๊ฐ์ ์ถ์ ํ๋
๊ฒ์ด๋ค. ๋ณธ ์ฐ๊ตฌ์์๋ ๋ชจํ์ ์ฌํ์ฑ์ ํ๊ฐํ๊ธฐ ์ํ์ฌ R2 (Correlation coefficient) ๋ฐ NSE (Nash-Sutcliffe efficiency)๋ฅผ ์ฐ์ ํ์ฌ ์ ์ฉ์ฑ์ ํ๊ฐํ์์ผ๋ฉฐ ๊ณ์ฐ์์
Table 3์ ๋ํ๋ด์๋ค. ์ด ๋, Qobs,i ๋ i ์๊ฐ์ ์ค์ธก์น, Qpred,i๋ i์๊ฐ์ ์์ธก์น, ๋ ์ค์ธก์น์ ํ๊ท , : ์์ธก์น์ ํ๊ท , n์ ์ค์ธก์น์ ์์ธก์น ์์ ๊ฐ์๋ฅผ ์๋ฏธํ๋ค.
Table 3.
Equation used to estimate goodness-of-fit measures
์์ง์ค์ผ์ด๋์ง์ ์ธ ๊ธ๋ณธ A ์ง์ ์ ๋ํ ์ ์ถ๋ ์ ์ฉ์ฑ ํ๊ฐ ๊ฒฐ๊ณผ, Table 4์ ๋ํ๋ธ ๊ฒ๊ณผ ๊ฐ์ด R2๊ฐ์ 0.73~0.88, NSE๊ฐ์ 0.56~0.83๋ก ๋ํ๋ ๋ชจ์๋ ์ ๋์ด ์ค์ธก์ ๋์ ์ ๋ชจ์ํ๋ ๊ฒ์ผ๋ก ํ๋จ๋์๋ค. ์์จ ์ ์ฉ์ฑ ํ๊ฐ ๊ฒฐ๊ณผ์์๋
R2๊ฐ์ 0.91~0.96, NSE๊ฐ์ 0.89~0.94๋ก ๋์ ์์ธก๋ ฅ์ ํ์ธํ์ฌ ๋ชจํ์ด ์์ฐํ์์ ์ ์ฌํํ๋ ๊ฒ์ผ๋ก ๋ถ์๋์๋ค(Fig. 5~6). R2๊ฐ์ ์ ์ถ๋๊ณผ ์์จ์ ๊ฐ์ฐ, ๊ธฐ์จ ๋ฑ์ ์ํ ๋ฐ์ ๋ฏผ๊ฐ๋๋ฅผ ํ๊ฐํ ์ ์๊ณ , NSE๊ฐ์ ๋ชจ์์น์ ์ค์ธก์น์ ์ฒจ๋๊ฐ ์ฐจ์ด์ ๋ฏผ๊ฐ๋๋ฅผ ํ๊ฐํ ์ ์๋ ๊ฐ์ผ๋ก
๊ฐ๊ฐ ๋ค๋ฅธ ํน์ฑ์ ํญ๋ชฉ์ ์ด์ฉํ์ฌ ๋ชจํ์ ๋ชจ์๋ฅ๋ ฅ์ ํ๊ฐํ๊ณ ์ ํ์๋ค. ์ด์ ๊ฐ์ ํต๊ณํญ๋ชฉ์ ํตํด ๋ชจํ์ ์์ฐ ํ์ ์ฌํ๋ ฅ์ด ๊ฒ์ฆ๋ ํ์๋ ๋ฏธ๋ ์์ธก์
์ํ์ฌ ์ ์ฉ๊ฐ๋ฅํ๋ค๊ณ ํ๋จ๋๋ฉฐ ์ฉ๋ด๋ ์ ์ญ์ ์ ๋ ๋ฐ ์์จ๊ด์ธก์ง์ ๋ฐ ๊ฐ์ฐ์ ์๋ฃ์ ๋ถ์กฑ ๋ฑ ํ๊ณ์ ์ด ์์ด ์ ๋ฐํ ์ธก์ ์๋ฃ๊ฐ ๋ท๋ฐ์นจ ๋๋ค๋ฉด ๋ชจํ ์ ์ฉ์
๋ถํ์ค์ฑ์ด ๊ฐ์ ๋ ์ ์์ ๊ฒ์ผ๋ก ํ๋จ๋๋ค.
Table 4.
Statistical efficiency of calibration results for flow and water temperature
Fig. 5.
Comparison of the observed and simulated daily flow for Geumbon A in Yongdam dam watershed.
Fig. 6.
Comparison of the observed and simulated daily water temperature for Geumbon A in
Yongdam dam watershed.
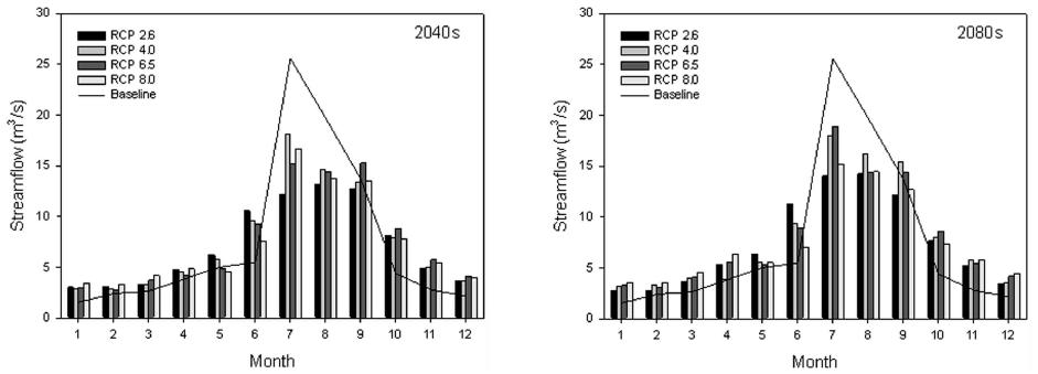
3.3.3. ์ฉ๋ด๋ ์ ์ญ์ ์ ๋ ๋ฐ ์์จ๋ณํ ์ ๋ง
HSPF ๋ชจํ์ ์ ์ฉ์ฑ์ ํ๊ฐํ ํ์ RCP ๊ธฐํ๋ณํ ์๋๋ฆฌ์ค ์ ์ฉ์ ๋ฐ๋ฅธ ์ฉ๋ด๋ ์ ์ญ ์ฃผ์ 5๊ฐ ํ์ฒ์์์ ์ฐํ๊ท ์ ๋ ๋ณํ๋ฅผ ์ ๋งํ์ฌ Table 5์ Fig. 7์ ๋ํ๋ด์๋ค. 2040s์ 2080s๋ก ๊ตฌ๋ถํ์ฌ ๋น๊ตํ ๊ฒฐ๊ณผ, RCP 2.6 ์๋๋ฆฌ์ค์์๋ ๋ชจ๋ ๊ฐ์ํ์์ผ๋ฉฐ ๊ธ๊ฐ๋ณธ๋ฅ์ธ ๊ธ๋ณธ A ์ง์ ์์ 2040s์
5.1%, 2080s์ 0.8% ๊ฐ์ํ๋ ๊ฒ์ผ๋ก ์ ๋ง๋์๋ค. RCP 4.5์ RCP 6.0 ์๋๋ฆฌ์ค์ ๊ฒฝ์ฐ์๋ ์ฐํ๊ท ์ ๋์ด ์ฆ๊ฐํ๋ ๊ฒ์ผ๋ก ๋ํ๋ฌ์ผ๋ฉฐ
2040s์์๋ณด๋ค 2080s์ ์ฆ๊ฐ์จ์ด ๋์ ๊ฒ์ผ๋ก ์ ๋ง๋์๋ค. RCP 4.5 ์๋๋ฆฌ์ค์์๋ 2040s์ ๋ณ๋ํญ์ด ๊ฑฐ์ ์์๊ณ 2080s ์๋๋ฆฌ์ค์์๋
ํ๊ท 8.1% ์ฆ๊ฐํ๋ ๊ฒ์ผ๋ก ์ ๋ง๋์๋ค. RCP 6.0 ์๋๋ฆฌ์ค์ ๊ฒฝ์ฐ์๋ 2040s์ ํ๊ท 4.9%์ ์ฆ๊ฐํ๋ ๊ฒ์ผ๋ก ์ ๋ง๋์๊ณ 2080s์๋
ํ๊ท 8.1% ์ฆ๊ฐ์จ์ด ์ ๋ง๋์๋ค. ๊ทธ๋ฆฌ๊ณ RCP 8.5 ์๋๋ฆฌ์ค ๊ฒฝ์ฐ์๋ 2040s์ 2080s์ ์ฆ๊ฐ์จ์ด ์ ์ฌํ๊ฒ ๋ํ๋ฌ๋ค. ๊ธ๊ฐ๋ณธ๋ฅ์ธ ๊ธ๋ณธ A
์ง์ ์ ๊ณ์ ๋ณ ๋ณ๋์ฑ์ ์ฌ๋ฆ์ฒ (7~9์)์๋ ์ ๋์ด ๊ฐ์ํ๊ณ ๊ฒจ์ธ์ฒ (12~2์) ์ฆ๊ฐ์จ์ด ๋์ ๊ฒ์ผ๋ก ๋ํ๋ฌ์ผ๋ฉฐ ์ด๋ ์ฐ๊ฐ์๋ ๋ณ๋์ฑ์ ์ํ ๊ฒ์ด๋ฉฐ
2040s๋ณด๋ค 2080s์ ๊ฐ์๋ ์ฆ๊ฐ์จ์ด ๋ค์ ๋์์ง๋ ๊ฒ์ผ๋ก ์ ๋ง๋์๋ค.
Table 5.
Annual mean streamflow changes in major streams in the Yongdam dam watershed
Fig. 7.
Monthly streamflow changes for Geum river (Geumbon A) under the RCP 2.6, 4.5, 6.0
and 8.5 scenarios in the 2040s (left graphs) and 2080s (right graph).
์ฉ๋ด๋ ์ ์ญ ์ฃผ์ ํ์ฒ์ RCP ๊ธฐํ๋ณํ ์๋๋ฆฌ์ค ์ ์ฉ์ ๋ฐ๋ฅธ ์์จ๋ณํ๋ฅผ ๋ถ์ํ ๊ฒฐ๊ณผ๋ฅผ Table 6๊ณผ Fig. 8์ ๋ํ๋ด์๋ค. RCP 2.6, 4.5, 6.0 ๋ฐ 8.5์ ๊ฐ ์๋๋ฆฌ์ค๋ณ๋ก 2040s์๋ ํ๊ท 0.7โ, 0.6โ, 0.6โ, 0.7โ, ์ฆ๊ฐํ์์ผ๋ฉฐ
2080s์๋ ํ๊ท 0.7โ, 0.9โ, 1.0โ, 1.3โ, ์ฆ๊ฐํ๋ ๊ฒ์ผ๋ก ๋ํ๋ 2040s๋ณด๋ค 2080s์ ์ฆ๊ฐ์จ์ด ๋์ ๊ฒ์ผ๋ก ์ ๋ง๋์๋ค.
๊ธ๊ฐ๋ณธ๋ฅ์ธ ๊ธ๋ณธ A์ง์ ์ ๊ฒฝ์ฐ์๋ RCP ๊ธฐํ๋ณํ ์๋๋ฆฌ์ค์ ์ ์ฉ์ ๋ฐ๋ผ 2040s์๋ 0.3~0.5โ ์ฆ๊ฐํ์์ผ๋ฉฐ 2080s์๋ 0.5~1.2โ
์ฆ๊ฐํ๋ ๊ฒ์ผ๋ก ์ ๋ง๋์์ผ๋ฉฐ ๊ณ์ ๋ณ ๋ณ๋์ฑ์ ๊ฒฝ์ฐ์๋ ๊ฒจ์ธ์ฒ ๊ณผ ๋ด์ฒ ์๋ ์์จ์ด ์ฆ๊ฐํ๊ณ ์ฌ๋ฆ์ฒ ์๋ ๋ค์ ๊ฐ์ํ๋ ๊ฒ์ผ๋ก ์ ๋ง๋์๋ค. ๊ทธ๋ฆฌ๊ณ , 2040s์
๋นํด 2080s์ ์์จ์ด ์ฆ๊ฐํ๋ ๊ฒ์ผ๋ก ๋ํ๋ฌ์ผ๋ฉฐ ๊ฐ์์ฒ ๋ณ๋์ฑ์ ์๋์ ์ผ๋ก ์์ ๊ฒ์ผ๋ก ์ ๋ง๋์๋ค.
Table 6.
Water temperature changes in major streams in the Yongdam dam watershed
Fig. 8.
Monthly water temperature changes for Geum river (Geumbon A) under the RCP 2.6, 4.5,
6.0 and 8.5 scenarios in the 2040s (left graph) and 2080s (right graph).
4. Conclusion
๋ณธ ์ฐ๊ตฌ์์๋ ๊ธ๊ฐ์๊ณ์ ์์นํ๊ณ ์๋ ์ฉ๋ด๋ ์ ์ญ์ ๋์์ผ๋ก ๊ณผ๊ฑฐ ์ฝ 30๋
๊ฐ(1973~2014๋
)์ ๊ฐ์๋, ๊ธฐ์จ์ ๊ด์ธก๊ฐ์ ๊ฒฝํฅ์ฑ ๋ถ์์ ์ํํ์๊ณ ,
RCP ๊ธฐํ๋ณํ ์๋๋ฆฌ์ค์ ์ํ ๋ฏธ๋ ๊ธฐํ๋ณํ, ์ด์ ๋ฐ๋ฅธ ์ฉ๋ด๋ ์ ์
ํ์ฒ์ ์ ๋ ๋ฐ ์์จ๋ณํ๋ฅผ ์ ๋งํ์๋ค. ๊ธฐ์์ฒญ์์ ์ ๊ณตํ๋ RCP ๊ธฐํ๋ณํ ์๋๋ฆฌ์ค์
๋ํ์ฌ ์ฐ๊ฐ์๋, ์ผํ๊ท ๊ธฐ์จ, ์ผ์ต๊ณ ๋ฐ ์ผ์ต์ ๊ธฐ์จ์ 2040s, 2080s์ผ๋ก ๊ตฌ๋ถํ์ฌ ๋ณํ์จ์ ๋ถ์ํ์๋ค. ์ฐ๊ฐ์๋์ ๊ฒฝ์ฐ, 2040s๋ณด๋ค 2080s์
์ฆ๊ฐํ๋ ๊ฒ์ผ๋ก ์ ๋ง๋์์ผ๋ฉฐ, ํ๊ท ๊ธฐ์จ์ ๊ฒฝ์ฐ์๋ 2040s๋ณด๋ค 2080s์ ์ฆ๊ฐํ๋ ๊ฒ์ผ๋ก ์ ๋ง๋์๋ค. ๊ณ์ ๋ณ ๋ณํ๋ฅผ ๋ถ์ํ ๊ฒฐ๊ณผ, ์ฐ๊ฐ์๋์ ๊ฒฝ์ฐ์๋
2040s์๋ ์ฌ๋ฆ์ฒ ๋ณด๋ค๋ ๋ด์ฒ ๊ณผ ๊ฒจ์ธ์ฒ ์ฆ๊ฐํญ์ด ํฌ๊ฒ ๋ํ๋ฌ์ผ๋ฉฐ 2080s์๋ ์ฌ๋ฆ์ฒ ์ฆ๊ฐํญ์ด ๋์ฑ ์ปค์ง๋ ๊ฒ์ผ๋ก ์ ๋ง๋์๋ค. ํ๊ท ๊ธฐ์จ์ ๊ฒฝ์ฐ์๋
2040s์๋ ๊ฒจ์ธ์ฒ ์ฆ๊ฐํญ์ด ํฌ๊ฒ ์ ๋ง๋์์ผ๋ฉฐ 2080s์๋ ๊ฐ์์ฒ ์ฆ๊ฐํญ๋ ๋ค์ ์ ๋ง๋์๋ค.
HSPF ์ ์ญ๋ชจํ์ ์ ์ฉ์ฑ์ ํ๊ฐํ ํ์ RCP ๊ธฐํ๋ณํ ์๋๋ฆฌ์ค์ ๋ฐ๋ฅธ ์ฉ๋ด๋ ์ ์ญ ์ฃผ์ ํ์ฒ์ ์ ๋๊ณผ ์์จ๋ณํ๋ฅผ ์ ๋งํ์๋ค. ํ๊ฒฝ๋ถ ์์ง์ค์ผ์ด๋์ธก์ ์ง์ ์ธ
๊ธ๋ณธ A ์ง์ ์ ๋ํ ์ ์ถ๋ ์ ์ฉ์ฑ ํ๊ฐ ๊ฒฐ๊ณผ, ๋ชจํ์ด ์์ฐํ์์ ์ ๋ชจ์ํ๋ ๊ฒ์ผ๋ก ๋ํ๋ฌ๋ค. 2040s์ 2080s๋ก ๊ตฌ๋ถํ์ฌ ํ์ฒ์ ๋์ ๋น๊ตํ
๊ฒฐ๊ณผ, RCP ๊ฐ ์๋๋ฆฌ์ค๋ณ ํ๊ท -5.1 ~ 8.1% ๋ณํํ์์ผ๋ฉฐ 2040s์์๋ณด๋ค 2080s์ ์ฆ๊ฐ์จ์ด ๋์ (์ต๋ 8.1%) ๊ฒ์ผ๋ก ๋ํ๋ฌ๋ค.
๊ณ์ ๋ณ ๋ณ๋์ฑ์ ๊ฒฝ์ฐ์๋ ์ฌ๋ฆ์ฒ ์๋ ์ ๋์ด ๊ฐ์ํ๊ณ ๊ฒจ์ธ์ฒ ์ฆ๊ฐ์จ์ด ๋์ ๊ฒ์ผ๋ก ๋ํ๋ฌ๋ค. ์์จ ๋ณํ๋ฅผ ๋ถ์ํ ๊ฒฐ๊ณผ, RCP ๊ฐ ์๋๋ฆฌ์ค๋ณ ํ๊ท 0.7~1.0โ
์ฆ๊ฐํ์์ผ๋ฉฐ 2040s๋ณด๋ค 2080s์ ์ฆ๊ฐ์จ์ด ๋์ ๊ฒ์ผ๋ก ์ ๋ง๋์๋ค. ๊ธ๊ฐ๋ณธ๋ฅ ์ง์ ์์ RCP ๊ธฐํ๋ณํ ์๋๋ฆฌ์ค์ ์ ์ฉ์ ๋ฐ๋ผ 2040s์๋ 0.3~0.5โ
์ฆ๊ฐํ์์ผ๋ฉฐ 2080s์๋ 0.5~1.2โ ์ฆ๊ฐํ๋ ๊ฒ์ผ๋ก ์ ๋ง๋์๋ค. ๊ณ์ ๋ณ ๋ถ์ ๊ฒฐ๊ณผ, ๊ฒจ์ธ์ฒ ๊ณผ ๋ด์ฒ ์๋ ์์จ์ด ์ฆ๊ฐํ๊ณ ์ฌ๋ฆ์ฒ ์๋ ๋ค์ ๊ฐ์ํ๋
๊ฒ์ผ๋ก ์ ๋ง๋์๋ค.
๋ณธ ์ฐ๊ตฌ๋ ์ฉ๋ด๋ ์ ์ญ์ ๊ธฐ์๊ด์ธก์๋ฃ์ ๊ฒฝํฅ์ฑ์ ๋ถ์ํ๊ณ ๋ฏธ๋ ๊ธฐํ๋ณํ๋ฅผ ์ ๋งํ๊ณ ์ด๋ก ์ธํ ํ์ฒ์ ๋๊ณผ ์์จ๋ณํ๋ฅผ ์ ๋งํจ์ผ๋ก์จ ๊ธฐํ๋ณํ ๋์ํ ์ฉ๋ด๋
์ ์์ง ์์ง๊ด๋ฆฌ์ ํ์ํ ๊ธฐ์ด์๋ฃ๋ก ์ ๊ณตํ๊ณ ์ ํ์๋ค. ์์จ์ ์ฆ๊ฐ๋ ์์ฒด๋ด ์ฉ์กด์ฐ์์ ๊ฐ์ ๋ฑ ํ์ฒ ์์ง๊ณผ ์ํ๊ณ ์์ ํ๊ฒฝ์ ์ํฅ์ ์ฃผ๋ ์์ธ์ผ๋ก
ํฅํ ์์ง ๋ฐ ๋น์ ์ค์ผ๋ฌผ์ง ๋ณํ์ ๋ํ ์ฐ๊ตฌ๊ฐ ์ถ๊ฐ์ ์ผ๋ก ์ด๋ฃจ์ด์ง์ผ๋ก์จ ๊ธฐํ๋ณํ์ ๋์ํ ํ์ฒ ๋ฐ ๋์ ์์ง ๋ฌผ๊ด๋ฆฌ๋ฅผ ์ํ ์๋ฃ๋ก ํ์ฉ๋ ์ ์์ ๊ฒ์ผ๋ก
ํ๋จ๋๋ค.
Acknowledgements
๋ณธ ์ฐ๊ตฌ๋ ๊ตญํ ๊ตํต๋ถ ๋ฌผ๊ด๋ฆฌ์ฌ์
์ ์ฐ๊ตฌ๋น์ง์(14AWMPB082564-01)์ ์ํด ์ํ๋์์ต๋๋ค.
References
(2010), Projected Climate Change Impact on Surface Water Temperature in Korea, Journal
of Korean Society on Water Environment, Ahn, J. H. and Han, D. H. (2010). Projected
Climate Change Impact on Surface Water Temperature in Korea, Journal of Korean Society
on Water Environment, 26(1), pp. 133-139. [Korean Literature], Vol. 26, No. 1, pp.
133-139

(2008), Long-term Trend of Precipitation and Runoff in Korean River Basins, Hydrological
Processes, Bae, D. H., Jung, I. W., and Chang, H. (2008). Long-term Trend of Precipitation
and Runoff in Korean River Basins, Hydrological Processes, 22(14), pp. 2644-2656.,
Vol. 22, No. 14, pp. 2644-2656

(2006), Relationship Among Inflow Volume, Water Quality and Algal Growth in the Daecheong
Lake, Journal of Korean Society on Water Environment, Cheon, S. U., Lee, J. A., Lee,
J. J., Yoo, Y. B., Band, K. C., and Lee, Y. J. (2006). Relationship Among Inflow Volume,
Water Quality and Algal Growth in the Daecheong Lake, Journal of Korean Society on
Water Environment, 22(2), pp. 342-348. [Korean Literature], Vol. 22, No. 2, pp. 342-348

(2000), Water: The potential Consequences of Climate Variability and Changes, A Report
of the National Water Assessment Group, Gleick, P. H. and Adams, D. B. (2000). Water:
The potential Consequences of Climate Variability and Changes, A Report of the National
Water Assessment Group, U.S. Global Changes Research Program.

(2008), Water Quality Variation Dynamics Between Artificial Reservoir and Effected
Downstream Watershed: The Case Study, Korean Journal of Limnology, Han, J. H. and
An, K. G. (2008). Water Quality Variation Dynamics Between Artificial Reservoir and
Effected Downstream Watershed: The Case Study, Korean Journal of Limnology, 41(3),
pp. 382-394. [Korean Literature], Vol. 41, No. 3, pp. 382-394

(1980), Computer Program for the Kendall Family of Trend Tests, Helsel, D. R., Mueller,
D. K., and Slack, J. R. (1980). Computer Program for the Kendall Family of Trend Tests,
Scientific investigation report 2005-5275, US. Geological Survey.

(2013), Climate Change 2013: the Physical Science Basis. Contribution of Working Group
I to the Fifth Assessment Report of the Intergovernmental Panel on Climate Change,
Intergovernmental Panel on Climate Change (IPCC). (2013). Climate Change 2013: the
Physical Science Basis. Contribution of Working Group I to the Fifth Assessment Report
of the Intergovernmental Panel on Climate Change, Cambridge University Press, Cambridge,
United Kingdom and New York, NY, USA.

(2015), Assessment of Climate Change Impact on Imha-Dam Watershed Hydrologic Cycle
under RCP Scenarios, Journal of the Korean Association of Geographic Information Studies,
Jang, S. S., Ahn, S. R., Joh, H. K., and Kim, S. J. (2015). Assessment of Climate
Change Impact on Imha-Dam Watershed Hydrologic Cycle under RCP Scenarios, Journal
of the Korean Association of Geographic Information Studies, 18(1), pp. 156-169. [Korean
Literature], Vol. 18, No. 1, pp. 156-169

(2015), A Comparison Study of Runoff Projections for Yongdam Dam Watershed Using SWAT,
Journal of Korea Water Resources Association, Jung, C. M., Shin, M. J., and Kim, Y.
O. (2015). A Comparison Study of Runoff Projections for Yongdam Dam Watershed Using
SWAT, Journal of Korea Water Resources Association, 48(6), pp. 439-449. [Korean Literature],
Vol. 48, No. 6, pp. 439-449

(2010), Recent Trends of Mean and Extreme Precipitation in Korea, International Journal
of Climatology, Jung, I. W., Bae, D. H., and Kim, G. (2010). Recent Trends of Mean
and Extreme Precipitation in Korea, International Journal of Climatology, doi: 10.1002/joc.2068

(2004), Impact of Climate Change on Yongdam Dam Basin, Journal of Korea Water Resources
Association, Kim, B. S., Kim, H. S., Seoh, B. H., and Kim, N. W. (2004). Impact of
Climate Change on Yongdam Dam Basin, Journal of Korea Water Resources Association,
37(3), pp. 185-193. [Korean Literature], Vol. 37, No. 3, pp. 185-193

(2012), Production Technique of Observation Grid Data of 1km Resolution, Journal of
Climate Research, Kim, M. G., Han, M. S., Jang, D. H., Baek, S. G., Lee, W. S., Kim,
Y. H., and Kim, S. (2012). Production Technique of Observation Grid Data of 1km Resolution,
Journal of Climate Research, 7(1), pp. 55-68. [Korean Literature], Vol. 7, No. 1,
pp. 55-68

Production and Validation of Daily Grid Data with 1km Resolution in South Korea, Journal
of Climate Research, Kim, M. G., Lee, D. H., and Kim, J. (2013). Production and Validation
of Daily Grid Data with 1km Resolution in South Korea, Journal of Climate Research,
8(1), pp. 13-25. [Korean Literature], Vol. 8, No. 1, pp. 13-25

(2006), Variational Characteristics of Nutrient Loading in Inflow Streams of the Yongdam
Reservoir Using Flow-Loading Equation, Journal of Environmental Impact Assessment,
Kim, T. G. (2006), Variational Characteristics of Nutrient Loading in Inflow Streams
of the Yongdam Reservoir Using Flow-Loading Equation, Journal of Environmental Impact
Assessment, 15(2), pp. 129-138. [Korean Literature], Vol. 15, No. 2, pp. 129-138

(2011), Analysis of A1B Climate Change Scenario in the Watersheds of 15 Multi-purpose
Dams in South Korea, Korean Journal of Limnology, Kim, H. R., Yi, H. S., and Shin,
J. K, (2011). Analysis of A1B Climate Change Scenario in the Watersheds of 15 Multi-purpose
Dams in South Korea, Korean Journal of Limnology, 44(2), pp. 187-194. [Korean Literature],
Vol. 44, No. 2, pp. 187-194

(2000), Potential Effects of Climate Change on Surface-water Quality in North America,
Journal of The American Water Resources Association, Murdoch, P. J., Baron, J. S.,
and Miller, T. L. (2000). Potential Effects of Climate Change on Surface-water Quality
in North America, Journal of The American Water Resources Association, 36, pp. 347-366.,
Vol. 36, pp. 347-366

(2011), Analysis of Climate Change Characteristics Observed over the Korean Peninsula
for the Estimation of Climate Change Vulnerability Index, Journal of Environmental
Impact Assessment, Nam, K. P., Kang, J. E., and Kim, C. H. (2011). Analysis of Climate
Change Characteristics Observed over the Korean Peninsula for the Estimation of Climate
Change Vulnerability Index, Journal of Environmental Impact Assessment, 20(6), pp.
891-905. [Korean Literature], Vol. 20, No. 6, pp. 891-905

(2015), Assessing Climate Change Impact on Hydrological Components of Yongdam Dam
Watershed Using RCP Emission Scenarios and Swat Model, Jounral of the Korean Society
of Agricultural Engineers, Park, J. Y., Jung, H., Jang, C. H., and Kim S. J., (2015).
Assessing Climate Change Impact on Hydrological Components of Yongdam Dam Watershed
Using RCP Emission Scenarios and Swat Model, Jounral of the Korean Society of Agricultural
Engineers, 56(3), pp. 19-29. [Korean Literature], Vol. 56, No. 3, pp. 19-29

(2013), Operational Hydrological Forecast for the Nakdong River Basin Using HSPF Watershed
Model, Journal of Korean Society on Water Environment, Shin, C. M., Na, E. Y., Lee,
E. J., Kim, D. G., and Min, J. H. (2013). Operational Hydrological Forecast for the
Nakdong River Basin Using HSPF Watershed Model, Journal of Korean Society on Water
Environment, 29(2), pp. 212-222. [Korean Literature], Vol. 29, No. 2, pp. 212-222

(2014), Operational Water Temperature Forecast for the Nakdong River Basin Using HSPF
Watershed Model, Journal of Korean Society on Water Environment, Shin, C. M., Na,
E. Y., Lee, E. J., Kim, D. G., and Kim, K. H. (2014). Operational Water Temperature
Forecast for the Nakdong River Basin Using HSPF Watershed Model, Journal of Korean
Society on Water Environment, 30(6), pp. 673-682. [Korean Literature], Vol. 30, No.
6, pp. 673-682

(2007), A Study on BASINS/WinHSPF for Evaluation of Non-point source Reduction Efficiency
in the Upstream of Nam-Han River Watershed, Journal of Korea Society on Water Environment,
Yoon, C. G., Shin, A. H., Jung, K. W., and Jang, J. H. (2007). A Study on BASINS/WinHSPF
for Evaluation of Non-point source Reduction Efficiency in the Upstream of Nam-Han
River Watershed, Journal of Korea Society on Water Environment, 23(6), pp. 951-960.
[Korean Literature], Vol. 23, No. 6, pp. 951-960
