The Journal of
the Korean Society on Water Environment

The Journal of
the Korean Society on Water Environment

Bimonthly
  • ISSN : 2289-0971 (Print)
  • ISSN : 2289-098X (Online)
  • KCI Accredited Journal

Editorial Office





Coliform pollution, Environmental factors, Nakdong River, Precipitation

1. Introduction

산업의 발달과 인구 증가로 수계의 오염물질 유입은 심각한 수질오염을 야기하고 있으며, 특히 하수 등 사람이나 가축의 배설물에서 유래하는 분변성 오염은 수인성 질병의 원인이 되어 인간의 건강까지 해칠 수 있는 심각한 문제로 대두되고 있다(Jang and Lee, 2003). 지표미생물로서 대장균은 총대장균군과 E. coli 또는 Streptococcus 와 같은 분원성대장균군으로 구분되며(Beck and Sohn, 2006), 총대장균군과 분원성대장균군 분석은 지표수와 음용수를 대상으로 가장 널리 이용되는 분원성 오염도를 검출하는 방법 중 하나이다(Macdanielas et al., 1985). 총대장균군은 분변과 일반 환경, 즉 분원성 오염원이 거의 없는 먹는 물에서 증식하거나, 토양에서 발견되는 종들이 포함되어 분변오염의 지표로서는 제한적 요소가 있으며, 분원성대장균군군은 인간이나 다른 포유동물, 조류의 분변에 존재하는 대장균으로 분변으로 오염되지 않은 물이나 토양에서는 거의 발견되지 않는다.

지표수는 미생물 오염에 의한 잠재적 위험성이 있으며, 상수원으로 사용할 경우 먹는물의 안전성 확보에도 영향을 끼치게 된다. 특히 이러한 병원성 미생물은 하수처리장 방류수와 하수관거월류수 등 다양한 점오염원의 형태로 지표수로 유입되며, 가축시설이나 농지에서 사용하는 비료 등 비점오염원을 통해 수체로 유입되기도 한다(Kim and Yur, 2004). 이러한 오염 물질들은 강우에 의해 수체로 유입되며, 분원성 병원균은 숙주가 제거될 경우, 급속히 사멸하게 된다고 보고되고 있으나, 퇴적물 내에 분원성대장균군 농도가 높을 경우, 수체의 대장균군 농도가 증가하기도 하는 것으로 보고되고 있어(Gannon et al., 1983; Grabill et al., 1999) 효과적인 수질관리를 위해 지속적인 오염실태 파악이 필요하다. 현재 우리나라는 상수원수의 약 90% 이상을 하천과 호수 등의 지표수에 의존하고 있으며, 이들의 수질관리를 위하여 유기물 등 일반 수질항목과 더불어 분원성 오염의 지표미생물로 총대장균군과 분원성대장균군으로 구분하여 법적기준을 마련하여 관리하고 있다(Park et al., 2009).

낙동강은 유역면적(23,817 km2)이 넓고 유로연장(525 km)이 길며 유역 내 대도시와 산업단지, 농지 등이 많아 분원성 오염물질을 포함하여 다양한 형태의 오염물질이 수체로 유입된다. 특히 낙동강은 유역내 농업용수(51.0%)와 하천유지용수(27.4%)로 이용될 뿐만 아니라 본류 구간의 20여개 취·정수장을 통해 유역 내 주요 상수원으로도 이용되고 있어 수인성 질병을 일으킬 수 있는 분변오염관리가 더욱 중요하다. 또한 유역 내 도시하수처리장 방류수 등이 유입지천을 통해 본류로 유입 되므로 유입지천의 수질관리 또한 매우 중요한 요소로 인식되고 있다(Lee et al., 2015; Park et al., 2015).

따라서 본 연구는 낙동강 본류와 주요 유입지천을 대상으로 총대장균군과 분원성대장균군의 오염도 현황을 분석하고 대장균 오염도에 영향을 미치는 환경요인과의 상관성분석을 통해 상수원수 및 친수용수로 활용되는 지표수 수질관리를 위한 기초자료를 제공하고자 하였다.

2. Materials and Methods

본 연구는 낙동강수계의 대장균군 오염도를 분석하기 위하여 2012년부터 2014년까지 낙동강 본류는 안동댐 하류 영순(M1) 지점부터 낙동강 하류 물금(M30)까지 30개 지점, 유입지천의 경우, 반변천(T1) 등 낙동강 본류로 직접 유입되는 20개 하천 말단 지점을 대상으로 환경부 물환경정보시스템(MOE, 2015)의 수질과 유량 및 총대장균군, 분원성대장균군 자료를 활용하였다. 본류 및 지천의 자세한 측정지점에 대한 정보는 Table 1Fig. 1에 나타내었다. 강우량은 기상청(KMA, 2015) 자료를 활용하였으며, 수질항목과 강우량 등의 자료는 월별 산술평균값을 기준으로, 대장균군은 지수 성장하는 세균 증식 특성상 극대값과 극소값 등 피크 농도의 영향을 최소화하기 위하여 기하평균을 적용하여 분석하였다(NIER, 2001; Park et al., 2009). 조사기간 동안 낙동강 본류 구간의 계절별 총대장균군과 분원성대장균군의 변동은 Golden software Sufer 8 프로그램을 이용하여 나타내었다. 수계 내 대장균군 오염도와 환경요인간의 상관성을 알아보기 위하여 분원성대장균군 농도를 기준으로 오염도가 높은 지점을 선별하여 SPSS 12.0 통계 프로그램으로 Pearson’s correlation analysis를 실시하여 상관계수를 도출, 상호 연관성 여부를 분석하여 낙동강 본류와 지류의 환경요인이 대장균군의 오염도에 미치는 영향을 분석하였다.

Table 1.

Detailed information on 50 selected monitoring sites at the main stream and tributaries in the Nakdong River

../../Resources/kswe/32-3/images/SJBJB8_2016_v32n3_271_t001.jpg
Fig. 1.

Geographic locations of 50 monitoring sites in the Nakdong River. Gray symbols indicate the major weirs (recently) constructed in the main stream; these are SJ (Sangju) ND (Nakdan) GM (Gumi), CG (Chilgok), GG (Gangjeong-Goryeong), DS (Dalseong), HC (Hapcheon-Changnyeong), and CH (Changnyeong-Haman). Also, shown in solid and open circles are monitoring sites at the main stream (M1~M30) and tributaries (T1~T20), respectively.

../../Resources/kswe/32-3/images/SJBJB8_2016_v32n3_271_f001.jpg

3. Results and Discussion

조사기간(2012.1월~2014.12월) 동안 수질항목의 연간평균값과 표준편차, 최소값과 최대값 등을 Table 2에 나타내었다. 수온은 본류 구간에서 평균 16.1℃ (0~33.4℃), 유입지천 평균 16.4℃ (0~33.4℃)로 큰 차이를 보이지 않았으며, pH는 본류구간에서 평균 8.2로 유입지천 평균 7.8에 비해 다소 높았고, 전기전도도는 유입지천에서 평균 333.5 μs/cm로 본류구간 평균 279.6 μs/cm에 비해 외부 오염물질의 유입 영향을 더 받는 것으로 나타났다. 그 외 유기물 항목인 BOD, COD, SS는 평균 농도 뿐만 아니라 최대농도 값이 본류구간에 비해 높았고, 영양염류 항목인 TN, TP 등 수질항목 역시 유입지천 평균 농도가 각각 3.308 mg/L, 0.088 mg/L로 본류 2.922 mg/L와 0.059 mg/L에 비해 상대적으로 높게 나타나는 등 변동 폭이 큰 것으로 조사되었다.

Table 2.

Summary statistics of the major water quality parameters at the main stream and tributaries in the Nakdong River system for 2012-2014

../../Resources/kswe/32-3/images/SJBJB8_2016_v32n3_271_t002.jpg

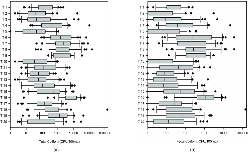
조사기간(2012.1월~2014.12월) 동안 낙동강 본류구간 조사지점의 총대장균군과 분원성대장균군의 3개년 기하평균값은 각각 74(22~465) CFU/100 mL, 8(3~42) CFU/100 mL의 범위를 보였으며, 구미(M10), 현풍(M19), 합천(M23), 남지(M25) 등 낙동강 중류와 하류에 위치하고 있는 일부 지점에서 오염도가 높은 경향을 보였다(Fig. 2). 조사기간 동안 낙동강 본류구간 수질에 영향을 미치는 유입지천의 총대장균군과 분원성대장균군의 3개년 기하평균값은 각각 275(36~5,145) CFU/100mL, 6(0~1,352) CFU/100mL의 범위로 본류에 비해 지점별 변동 폭이 큰 것으로 조사되었고, 감천(T6), 백천(T7), 금호강(T8), 계성천(T16) 등 낙동강 중하류로 유입되는 4개 지천의 오염도가 비교적 높았다(Fig. 3). 특히 감천과 금호강의 경우 조사기간 평균 유량이 각각 14.2 m3/sec (2.5~109.4), 39.0 m3/sec (7.9~259.4), 백천과 계성천은 각각 4.8 m3/sec (0.6~72.6), 1.4 m3/sec (0~14.1)로 감천과 금호강 등 본류로 유입되는 유량이 많은 지천의 경우, 하류에 위치하는 본류 지점인 구미(M10)와 현풍(M19)지점의 대장균군 오염도에 미치는 영향이 상대적으로 클 것으로 판단된다.

Fig. 2.

Box and whisker plot of (a) total coliform and (b) fecal coliform observed for the monitoring sites at the main stream in the Nakdong River for 2012-2014. Refer to Fig. 1 for abbreviations of the major weirs, SJ, ND, GM, CG, GG, DS, HC, and CH.

../../Resources/kswe/32-3/images/SJBJB8_2016_v32n3_271_f002.jpg
Fig. 3.

Box and whisker plot of (a) total coliform and (b) fecal coliform observed for the monitoring sites at the tributaries in the Nakdong River for 2012-2014.

../../Resources/kswe/32-3/images/SJBJB8_2016_v32n3_271_f003.jpg

낙동강 본류의 총대장균군과 분원성대장균군 오염도를 계절별로 분석한 결과를 Fig. 4에 나타내었다. 총대장균군의 경우 봄철과 겨울철에는 평균 41(10~235) CFU/100mL, 34(7~195) CFU/100mL로 구미(M10)지점의 오염도가 높았고, 여름과 가을철에는 지점별 평균 135(34~965) CFU/100mL, 160(32~661) CFU/100mL 범위로 현풍(M19) 등 낙동강 중 하류 구간에서 총대장균군 오염도가 높은 경향을 보였다. 분원성대장균군의 경우, 봄철에는 평균 3(1~23) CFU/100mL로 구미(M10)지점의 오염도가 높았고, 여름철에는 17(4~60) CFU/100mL로 합천(M23), 가을철과 겨울철에는 18(4~122) CFU/100mL, 13(1~83) CFU/100mL 범위로 현풍(M19)지점에서 오염도가 높은 것으로 보아 계절별로 상류부터 하류까지의 지점별 오염도 차이가 큰 것으로 나타났다. 종합적으로 낙동강 본류에서는 봄철과 겨울철에는 낙동강 중류에 위치하고 있는 칠곡보 구간에서 대장균군 오염도가 비교적 높게 나타났으며, 여름철과 가을철에는 중하류 지점으로 갈수록 오염도가 증가하는 것으로 보아 여름철 강우기에 유입되는 오염물질의 영향 뿐만 아니라 인근 상류에 위치하고 있는 유입지천의 영향을 지속적으로 받는 것으로 추정된다. Bergstein and Stone (1991)의 연구결과를 보면 오염도가 높은 Jordan 강 유입량의 증가가 Kinneret lake의 대장균군의 밀도 증가와 유의한 상관성을 보였고, 유입부로부터 거리가 멀어질수록 침강, 사멸, 희석효과 등 대장균군의 밀도가 현저하게 감소하는 것으로 보고되고 있다. 본 연구에서도 분원성대장균군 오염도가 높은 금호강(T8) 유입부와 인접하고 있는 낙동강 본류 화원나루(M16) 지점에서 오염도가 증가하였다가 고령(M17)지점 등 하류로 내려갈수록 분원성대장균군 농도가 감소하는 결과를 보여 분원성 오염도가 높은 시기에 유입지천의 유량 증가는 본류 직하류 지점의 분원성 오염에도 영향을 미칠 수 있음을 시사하였다.

Fig. 4.

Seasonal variations of (a) total coliform and (b) fecal coliform at 30 monitoring sites in the Nakdong River for 2012-2014.

../../Resources/kswe/32-3/images/SJBJB8_2016_v32n3_271_f004.jpg

낙동강 본류와 유입지천을 대상으로 수체 내 대장균군중 분원성 기원의 병원성 미생물이 차지하는 비율을 알아보고자 낙동강 본류와 유입지천의 총대장균군에 대한 분원성대장균군의 비(FC/TC)를 조사하였다(Fig. 5(a)). 그 결과, 낙동강 본류에서 분원성대장균군이 차지하는 비율이 평균 19%로 유입지천(평균 23%)에 비해 분원성 오염도가 적은 것으로 나타났으며, 월별로는 7월부터 본류와 지류에서 FC/TC 비가 모두 증가하였으며, 본류는 8월에 최대값을 나타낸 후, 9월부터 분원성대장균군의 상대비가 감소한 반면, 유입 지천에서는 FC/TC 비가 10월까지 증가하는 것으로 보아 강우기 이후 가을철까지 분원성 오염물질의 영향을 지속적으로 받는 것으로 보인다. 지점별로는 본류구간에서 평균 14~28% 범위로 강정(M9, 28%), 대암-1(M20, 26%), 상주 1(M2)와 구미(M10), 산곡(M7), 용산(M24)에서 24%로 비교적 높은 비율을 차지하였고 유입지천에서는 평균 18~31%로 황강(T11)에서 31%, 위천(T5)과 회천(T10)에서 각각 29%, 신반천(T13) 28%로 분원성대장균군의 비율이 높은 것으로 분석되어 시기별, 지점별 분원성 오염원의 관리가 필요할 것으로 보여진다.

Fig. 5.

Spatial and temporal variations of FC/TC ratio in the Nakdong River, 2012-2014: (a) monthly variations of FC/TC ratio of all monitoring sites in the main stream and tributaries, (b) temporal variations of FC/TC ratio of the main stream (left), (C) temporal variations of FC/TC ratio of the tributaries (right).

../../Resources/kswe/32-3/images/SJBJB8_2016_v32n3_271_f005.jpg

낙동강을 대상으로 선행 연구된 Park et al. (2006)Lee et al. (2006)의 연구결과에 의하면, 낙동강 상, 중, 하류의 오염정도가 다른 지점을 대상으로 분변오염지표세균인 분원성대장균군을 분석한 결과, 낙동강 중류에 위치하고 있는 성주대교의 오염도가 상류의 안동대교 지점, 하류의 남지 지점보다 높은 것으로 보고되었고, 본 연구결과에서도 분원성대장균군 오염도가 구미(M10)와 현풍(M19)에서 높은 것으로 나타났다. 조사시기와 지점이 서로 상이하지만, 분원성대장균군의 오염도를 기준으로 살펴볼 때 낙동강 상류구간에 비해 구미, 대구 등 대도시와 산업단지가 밀집되어 있는 구간에서 오염도가 높은 것으로 보아 이들 지역으로부터 다양한 오염물질이 지속적으로 유입되어 수체 내 분원성오염도를 증가시키는 것으로 추정된다.

낙동강 본류 구간 조사지점 중 오염도가 높은 4개 지점(구미, 현풍, 합천, 남지)의 분원성대장균군의 시기별 변동을 보면, 구미(M10), 합천(M23), 남지(M25)에서는 강우시기에 분원성대장균군오염도가 높고 비강우기에는 비교적 분원성대장균군 농도가 낮았다(Fig. 6). 이는 Boxter-Potter and Gilliland (1988)Bergstein and Stone (1991)의 선행 연구결과에서 나타낸 바와 같이 분원성대장균은 강우 이후 유량변화나 강우 기간 등에 영향을 받으며, 특히 표층수의 경우, 강우 이후에 분원성대장균군수가 최대값을 보인다는 결과(Ferguson et al., 1996; Mallin et al., 2001)와 유의한 경향을 나타내었다. 그러나 현풍(M19) 지점의 경우, 강우기뿐만 아니라, 비강우기인 10월부터 이듬해 4월까지 갈수기간에도 분원성대장균군의 오염도가 지속적으로 높은 것으로 보아 상류에 위치하고 있는 500톤 미만의 소규모 하수처리장과 논공단지 방류수 등 점오염원에 의한 영향을 지속적으로 받는 것으로 판단된다.

Fig. 6.

Monthly distribution of fecal coliform and rainfall for four selected sites at the main stream in the Nakdong River for 2012-2014. (a) Gumi (M10), (b) Hyeonpung (M19), (c) Hapcheon (M23), and (d) Namji (M25)

../../Resources/kswe/32-3/images/SJBJB8_2016_v32n3_271_f006.jpg

유입지천의 경우, 분원성대장균군 오염도가 높은 감천(T6), 백천(T7), 금호강(T8), 계성천(T16) 등 4개 지점의 경시적 변동을 보면 감천, 백천, 금호강의 경우, 강우량이 적은 갈수기에 비교적 오염도가 낮고, 강우량이 증가하는 6월부터 분원성대장균군 오염도가 증가하기 시작하여 여름철과 가을철에 최대값을 보였다(Fig. 7). 반면 계성천에서는 주로 갈수기에 높은 농도를 보여 유량이 적은 시기에 시설용량 약 5,000 m3/일 규모의 인근 하수처리장 방류수가 분원성 대장균군 오염도에 영향을 미치는 것으로 생각된다.

Fig. 7.

Monthly distribution of fecal coliforms and rainfall for four selected sites in the tributaries in the Nakdong River for 2012-2014. (a) Gam-cheon (T6), (b) Baek-cheon (T7), (c) Geumho gang (T8), and (d) Gyeseong-cheon (T16)

../../Resources/kswe/32-3/images/SJBJB8_2016_v32n3_271_f007.jpg

낙동강수계 내 대장균군 오염도와 환경요인간의 상관성을 알아보기 위하여 분원성대장균군을 기준으로 오염도가 높은 본류 4개 지점(구미, 현풍, 합천, 남지)과 유입 지천 4개 지점 (감천, 금호강, 차천, 계성천)을 대상으로 분원성대장균군과 기상 및 수질항목 등 환경인자와 상관분석을 실시한 결과, 강우(r=0.403, p<0.01)와 다소 유의한 상관관계를 보였고 그 외 유기물 항목인 COD (r=0.322, p<0.01), SS (r=0.425, p<0.01), 영양염류로는 인계열 항목인 TP (r=0.388, p<0.01), PO4-P (r=0.317, p<0.01)와 양의 상관성을 나타내었다. 유입지천의 경우, 분원성대장균군과 기타 환경요인간의 상관분석 결과 강우와(r=0.187, p<0.05) 상관성을 나타내었고, 그 외 BOD (r=0.219, p<0.05), TP (r=0.227, p<0.05), PO4-P (r=0.183, p<0.05)와 유의한 양의 상관관계를 보였다. 금호강(T8)의 분원성대장균군 변동은 강우(r=0.422, p<0.05), 유량(r=0.434, p<0.01)과 유의한 상관성을 보였으며, 이는 강우로 인해 유량이 증가하는 시기에 금호강 유역에 위치하고 있는 하수처리장 방류수 등 점오염원으로부터 유입되는 오염물질 뿐만 아니라 상류 유역으로부터 흘러들어오는 비점오염물질의 영향을 복합적으로 받는 것으로 추정된다.

Table 4.

Pearson correlation coefficient among total coliforms, fecal coliforms and environmental variables at the selected sites of the main stream and the tributary in the Nakdong River (*p < 0.05; **p < 0.01).

../../Resources/kswe/32-3/images/SJBJB8_2016_v32n3_271_t003.jpg

4. Conclusion

본 연구는 낙동강 본류와 유입지천을 대상으로 총대장균군과 분원성대장균군의 오염도 현황을 분석하고, 수계 내 대장균군 오염도에 미치는 환경요인의 영향을 파악하기 위해 분원성대장균군 농도를 기준으로 본류와 지류에서 오염도가 높은 지점을 선별하여 상관관계를 분석한 결과 아래와 같은 결론을 도출하였다.

  • 1) 조사기간(2012.1월~2014.12월) 동안 낙동강 본류구간 조사지점의 총대장균군과 분원성대장균군의 3개년 기하평균값은 각각 74(22~465) CFU/100 mL, 8(3~42) CFU/100 mL의 범위를 보였으며, 구미(M10), 현풍(M19), 합천(M23), 남지(M25) 등 낙동강 중하류로 갈수록 오염도가 높아지는 경향을 보였음.

  • 2) 낙동강 본류구간 수질에 영향을 미치는 유입지천의 총대장균군과 분원성대장균군의 3개년 기하평균값은 각각 275(36~5,145) CFU/100mL, 6(1~1,352) CFU/100mL이었으며, 유입지천 중 감천(T6), 백천(T7), 금호강(T8), 계성천(T16) 등 낙동강 중하류로 유입되는 4개 지천의 오염도가 높았음

  • 4) 낙동강 본류와 유입지천의 총대장균군에 대한 분원성대장균군의 비(FC/TC) 조사결과, 시기별로는 본류에서 평균 19%로 유입지천 평균 23%에 비해 분원성대장균군군의 상대비가 적었으며, 월별로는 7월부터 FC/TC 비가 본류와 지류에서 모두 증가하였으며, 본류는 8월에 최대값을 보인 후 9월부터 상대비가 감소하였고, 지류는 10월까지 증가하는 것으로 보여 여름철 강우기 이후 유역으로부터 분원성 오염물질이 지속적으로 유입되어 분원성대장균군 오염도에 영향을 미치는 것으로 판단됨

  • 5) 낙동강 본류 구간 중 오염도가 높은 4개 지점 중 구미(M10), 합천(M23), 남지(M25)의 분원성대장균군의 시기별 변동을 보면, 강우시기에 오염도가 증가하고, 비강우기에는 비교적 대장균군 농도가 낮았으나, 현풍(M19) 지점의 경우, 비강우기인 10월부터 이듬해 4월까지 갈수기간에도 대장균군의 오염도가 지속적으로 높은 경향을 나타내어 상류에 위치하고 있는 500톤 미만의 소규모 하수처리장과 논공단지 방류수 등 점오염원에 의한 영향을 지속적으로 받는 것으로 판단됨

  • 6) 낙동강수계 내 대장균군 오염도와 환경요인간의 상관성을 알아보기 위하여 분원성대장균군을 기준으로 오염도가 높은 본류와 유입 지천 각 4개 지점의 상관분석 결과, 본류의 경우, SS (r=0.425, p<0.01), 강우(r=0.403, p<0.01)와 비교적 높은 상관관계를 보였고 그 외 TP (r=0.388, p<0.01), COD (r=0.322, p<0.01), PO4-P (r=0.317, p<0.01)와 유의한 양의 상관성을 나타내었으며, 유입지천의 경우, TP (r=0.227, p<0.05), BOD (r=0.219, p<0.05), 강우(r=0.187, p<0.05), PO4-P (r=0.183, p<0.05)와 상관도를 보임

References

1 
(2006), Studies on the Effect of Water Quality Parameters on Total Coliform Concentration in Sewage Effluents, Journal of Korean Society on Water Environment, Beck, Y. S. and Sohn, J. S. (2006). Studies on the Effect of Water Quality Parameters on Total Coliform Concentration in Sewage Effluents, Journal of Korean Society on Water Environment, 22(1), pp. 166-171. [Korean Literature], Vol. 22, No. 1, pp. 166-171Google Search
2 
(1991), The Distribution of Fecal Pollution Indicator Bacteria in Lake Kinneret, Water Research, Bergstein, T. and Stone, L. (1991). The Distribution of Fecal Pollution Indicator Bacteria in Lake Kinneret, Water Research, 25(3), pp. 266-270., Vol. 25, No. 3, pp. 266-270Google Search
3 
(1988), Bacterial Pollution in Runoff from Agricultural lands, Journal of Environmental Quality, Boxter-Potter, W. R. and Gilliland, M. W. (1988). Bacterial Pollution in Runoff from Agricultural lands, Journal of Environmental Quality, 17, pp. 27-34., Vol. 17, pp. 27-34DOI
4 
(1996), Relationships Between Indicators, Pathogens and Water Quality in an Estuarine System, Water Research, Ferguson, C. M., Goote, B. G., Ashbolt, N. J., and Stevenson, I. M. (1996). Relationships Between Indicators, Pathogens and Water Quality in an Estuarine System, Water Research, 30(9), pp. 2045-2054., Vol. 30, No. 9, pp. 2045-2054DOI
5 
(1983), Fecal Coliform Disappearance in a River Impoundment, Water Research, Gannon, J. J., Busse, M. K., and Schillinger, J. E. (1983). Fecal Coliform Disappearance in a River Impoundment, Water Research, 17(11), pp. 1595-1601., Vol. 17, No. 11, pp. 1595-1601DOI
6 
(1999), The Impact of Sediment Fecal Coliform Reservoirs of Seasonal Water Quality in Oak Creek, Arizona, Water Research, Grabill, C., Donald, R., Snelling, J., Foust, R., and Southam, G. (1999). The Impact of Sediment Fecal Coliform Reservoirs of Seasonal Water Quality in Oak Creek, Arizona, Water Research, 33(9), pp. 2163-2171., Vol. 33, No. 9, pp. 2163-2171DOI
7 
(2003), A Study of Investigation of Fecal Contamination Indicator Bacteria for Management of Source Water Quality, Korean Journal of Environmental Health, Jang, H. J. and Lee, Y. W. (2003). A Study of Investigation of Fecal Contamination Indicator Bacteria for Management of Source Water Quality, Korean Journal of Environmental Health, 29(1), pp. 19-27. [Korean Literature], Vol. 29, No. 1, pp. 19-27Google Search
8 
(2004), Effect of the Non-Point Source Pollution on the Concentration of Pathogen Indicator Organism in the Geum River Basin, Republic of Korea, Journal of Civil Engineering, Kim, K. H. and Yur, J. H. (2004). Effect of the Non-Point Source Pollution on the Concentration of Pathogen Indicator Organism in the Geum River Basin, Republic of Korea, Journal of Civil Engineering, 8(2), pp. 181-187., Vol. 8, No. 2, pp. 181-187Google Search
9 
(2015), Whether Information, Korea Meteological Adminstration (KMA). (2015). Whether Information, http://www.kma.go.kr/whether/observation.currentweather.jsp (accessed Dec. 2015).Google Search
10 
, Coliform Pollution Status of Tributaries in Nakdong River System, Lee, J. H., Lee, H. J., Park, A. R., and Park, H. K. (2015) Coliform Pollution Status of Tributaries in Nakdong River System, Proceedings of the 2015 Co-Conference of the Korean Society on Water Environment and Korean society of Water and Wastewater, Korean Society on Water Environment and Korean Society of Water and Wastewater, pp. 505-506. [Korean Literature], pp. 505-506Google Search
11 
, Comparative studies on detecting methods for fecal indicators, Lee, Y. O., Cho, J. L., Kim, S. H., Kim, S. D., Heo, S. N., and Lee, H. J. (2006). Comparative studies on detecting methods for fecal indicators, Proceedings of the 2006 Spring Co-Conference of the Korean Society on Water Environment and Korean society of Water and Wastewater, Korean Society on Water Environment and Korean Society of Water and Wastewater, pp. 414-419. [Korean Literature], pp. 414-419Google Search
12 
(1985), Holding Effects on Coliform Enumaration in Drinking Water Samples, Applied and Environmental Microbiology, Macdanielas, A. E., Bordner, R. H., Gartside, P. S., Haines, J. R., Conner, K. P., and Rankin, C. C. (1985). Holding Effects on Coliform Enumaration in Drinking Water Samples, Applied and Environmental Microbiology, 50, pp. 755-762., Vol. 50, pp. 755-762Google Search
13 
(2001), Demographic, Landscape, and Meteological Factors Controlling the Microbial Pollution of Coastal Waters, Hydrobiologia, Mallin, M. A., Ensign, S. H., Mciver, M. R., Shank, G. C., and Fowler, P. K. (2001). Demographic, Landscape, and Meteological Factors Controlling the Microbial Pollution of Coastal Waters, Hydrobiologia, 460, pp. 185-193., Vol. 460, pp. 185-193DOI
14 
(2015), Water Environment Information System (WEIS), Ministry of Environment (MOE). (2015). Water Environment Information System (WEIS), http://water.nier.go.kr/waterMeasurement/selectWater.do (accessed Aug. 2015).Google Search
15 
(2001), The Application of Coliforms as a Fresh Water Quality Standard, National Institute of Environmental Research (NIER). (2001). The Application of Coliforms as a Fresh Water Quality Standard, NIER No. 2001-24-616, National Institute of Environmental Research, pp. 69-71. [Korean Literature], pp. 69-71Google Search
16 
, Total and Fecal Coliform Pollution changes in Nakdong River, Park, A. R., Lee, H. J., Lee, J. H., and Park, H. K. (2015). Total and Fecal Coliform Pollution changes in Nakdong River, Proceedings of the 2015 Co-Conference of the Korean Society on Water Environment and Korean society of Water and Wastewater, Korean Society on Water Environment and Korean Society of Water and Wastewater, pp. 479-480. [Korean Literature], pp. 479-480Google Search
17 
, Distribution of Coliform and Fecal Coliform Bacteria in Lake Paldang, Park, H. K., Shin, K. D., Kim, J. Y., and Kong, D. S. (2009). Distribution of Coliform and Fecal Coliform Bacteria in Lake Paldang, Proceedings of the 2009 Spring Co-Conference of the Korean Society on Water Environment and Korean Society of Water and Wastewater, Korean Society on Water Environment and Korean Society of Water and Wastewater, pp. 661-662. [Korean Literature], pp. 661-662Google Search
18 
(2006), Comparative Studies on Detecting Methods of Fecal Indicators (Coliforms) in Surface Water, Journal of Korean Society on Water Environment, Park, J. E., Kim, S. D., Cho, J. L., Kim, S. H., Lee, H. J., and Lee, Y. O. (2006). Comparative Studies on Detecting Methods of Fecal Indicators (Coliforms) in Surface Water, Journal of Korean Society on Water Environment, 22(6), pp. 1052-1059. [Korean Literature], Vol. 22, No. 6, pp. 1052-1059Google Search